Характеристика альдегидных препаратов
Содержание
Вступление
Глава 1. Общая характеристика альдегидных препаратов
.1 Характеристика альдегидной группы
.2 Свойства препаратов, имеющих в составе альдегидную группу
.3 Химические реакции альдегидных препаратов
Глава 2. Формальдегид
.1 Получение формальдегида
.2 Фармакологические свойства формальдегида
.3 Идентификация формальдегида
.4 Количественное определение формальдегида
.5 Применение формальдегида
Глава 3. Гексаметилентетрамин (Уротропин)
.1 Получение гексаметилентетрамина
.2 Фармакологические свойства гексаметилентетрамина
.3 Идентификация гексаметилентетрамина
.4 Количественное определение гексаметилентетрамина
.5 Применение гексаметилентетрамина
Глава 4. Хлоралгидрат
.1 Получение хлоралгидрата
.2 Фармакологические свойства хлоралгидрата
.3 Идентификация и количественное определение хлоралгидрата
Глава 5. Практическая часть
.1 Методика исследования
.2 Результаты исследования
Выводы
Список использованной литературы
Вступление
Нужно отметить, что дезинфекция не является самой важной мерой в борьбе с
инфекциями, есть и другие меры, как, например, изоляция (карантин). Но если
речь идет об уничтожении или подавлении опасных возбудителей болезней, то
стерилизация является самой важной мерой, потому что она безопасна и надежна, и
ее можно провести с помощью аппаратуры.
Дезинфекцию можно осуществить физическими мерами (кипячение в воде), но,
в первую очередь, химическими средствами.
Правильное применение дезсредств, основанное на постоянном обучении,
дисциплине и практическом опыте, играет ведущую роль в дезинфекции. Например, в
процессе дезинфицирования поверхностей или инструментария следует постоянно
следить за качеством их протирания.
Какие же существуют области применения химических дезсредств? Самой
важной областью является дезинфекция рук и кожи. Здесь различают гигиеническую
дезинфекцию рук, дезинфицирующее мытье рук, хирургическую дезинфекцию рук и
хирургическое мытье рук. Кроме того, существует еще предоперационная
дезинфекция кожи, того ее участка, который в ходе операции подлежит рассечению.
Еще одной областью применения дезинфекции является дезинфекция
инструментов путем погружения инструментария в раствор дезинфектанта.
Различают предстерилизационную дезинфекцию инструментов и дезинфекцию
инструментов и изделий медицинского назначения, которые не могут быть
подвергнуты стерилизации (например, гибкие эндоскопы).
Меньшее значение имеет дезинфекция поверхностей, при этом играет роль
размер поверхности, подвергающейся обработке.
Определенное значение имеет дезинфекция белья - сейчас ее проводят с
помощью машин - и дезинфекция выделений больных. Дезинфекция погружением
остается актуальной лишь в случае туберкулеза и эпидемий. химический альдегидный дезинфекция формальдегид
В области дезинфекции инструментов важную роль играет борьба с гепатитом
Б, но надо отчетливо понимать, что возбудитель гепатита Б является опасным лишь
в том случае, если он расположен в органических материалах, особенно в крови.
Дезинфицирующее средство для инструментов должно быть вирулицидным,
бактерицидным и фунгицидным.
Действующими веществами дезсредств для инструментария и поверхностей
являются альдегиды (формальдегид, глутаральдегид, глиоксаль). Для небольших
поверхностей можно применять алкогольсодержащие препараты. Для дезинфекции
белья рекомендуются альдегидные препараты, для дезинфекции выделений -
препараты с альдегидным или фенольным действующим веществом.
Таким образом, альдегидные препараты играют важную роль в области
дезинфекции, поэтому вопросы их идентификации и количественного определения
являются очень актуальными.
Цель данной работы - осветить вопросы идентификации, методик анализа и
количественного определения альдегидных препаратов.
Глава 1. Общая характеристика альдегидных препаратов
.1 Характеристика альдегидной группы
Характерной функциональной группой молекулы альдегида, определяющей его
реакционную способность, является карбонильная группа (> С = 0).
Эта группа характерна также для молекул кетонов и сложных эфиров.
Исключение
составляет формальдегид, в молекуле которого карбонильный атом углерода связан
с двумя водородами.
В
кетонах с карбонильным углеродом связаны две алкильные группы (R и R'), а в
сложных эфирах - одна алкильная, другая - алкоксильная группа (R'O -).
Все
эти типы соединений, содержащие одну и ту же функциональную группу
(карбонильную), имеют много общих свойств, общих реакций идентификации,
обусловленных именно этой группой.
В
свою очередь каждое из этих соединений имеет и частные, специфические реакции
идентификации, отличающие их друг от друга.
.2 Свойства препаратов, имеющих в составе альдегидную группу
Физиологическое действие препаратов, имеющих в молекуле альдегидную
группу, различно и зависит главным образом от характера алкильного остатка,
связанного с карбонильным углеродом (табл. 1).
Удлинение алкильного радикала в молекуле альдегида приводит к усилению
физиологической активности, но вместе с этим возрастает и токсичность.
Введение галогена в молекулу альдегида повышает его наркотическое
(снотворное) действие. Так, наркотические свойства хлораля более выражены, чем
у ацетальдегида.
Альдегидная
группа усиливает токсичность вещества, но она может быть значительно снижена
путем образования гидратной формы альдегида.
Способность
к образованию гидратной формы проявляется лишь у хлорированного альдегида. Так,
гидратная форма хлораля мало токсична, в такой форме хлораль применяется в медицине
под названием хлоралгидрата, проявляющего снотнорное действие.
По
физическим свойствам альдегиды могут быть газообразными (формальдегид), жидкими
(низшие альдегиды) и нерастворимыми твердыми (высшие альдегиды) веществами.
Альдегиды
хорошо растворяются в спирте и эфире. Низшие альдегиды имеют неприятный
удушливый запах. Альдегиды с большой молекулярной массой обладают приятным
цветочным запахом.
.3 Химические реакции альдегидных препаратов
В химическом отношении альдегиды весьма реакционноспособные соединения,
что обусловлено наличием в их молекуле сильно поляризованной двойной связи, за
счет которой протекает большинство реакций, характеризующих химические свойства
альдегидов. Многие из этих реакций, например образование оксимов,
семикарбазонов и ряда других соединений, используются для качественного и
количественного анализа лекарственных препаратов из группы альдегидов.
Из химических свойств альдегидов, лежащих в основе реакций их
идентификации, необходимо отметить следующие:
. Альдегиды легко окисляются, являясь сами хорошими восстановителями.
Восстановительная способность альдегидов выражается следующими реакциями:
а) реакция с аммиачным раствором нитрата серебра (образование серебряйого
зеркала); при добавлении к аммиачному раствору нитрата серебра раствора
альдегида при нагревании на стенках пробирки образуется налет восстановленного
серебра в виде зеркала.
Эта реакция рекомендуется ГФХ для подтверждения подлинности препаратов с
альдегидной группой в молекуле;
в) реакция с реактивом Несслера в щелочной среде; выпа дает в осадок
восстановленная ртуть темного цвета.
б) реакция с реактивом Фелинга; к раствору исследуемого альдегида
добавляют раствор Фслинга и нагревают, при этом постепенно выпадает осадок
оксида меди (I) Сu20 кирпично-красного цвета.
Применяя данные реакции в фармацевтическом анализе, надо учитывать их
чувствительность. Так, для подтверждения подлинности препарата с альдегидной
группой в молекуле следует применить реакцию с нитратом серебра и реактивом
Фелинга, а для обнаружения альдегидов как примесей в лекарственных препаратах
следует применить более чувствительную реакцию (с раствором Несслера).
Так, альдегиды легко присоединяют бисульфит натрия, образуя бисульфитные
производные альдегидов - кристаллические вещества, имеющие определенную
температуру плавления.
Бисульфитные производные альдегидов при нагревании с разбавленными
кислотами снова распадаются на альдегид и сернистую кислоту.
Бисульфитные производные альдегидов при нагревании с разбавленными
кислотами снова распадаются на альдегид и сернистую кислоту.
Этой реакцией пользуются не только для определения подлинности препарата
с альдегидной группой в молекуле, но и для очистки альдегидов и выделения их из
смесей с другими веществами, не реагирующими с гидросульфитом натрия.
К реакциям присоединения относится также реакция взаимодействия
альдегидов с фуксинсернистой кислотой, при которой раствор окрашивается в
красный или красно-фиолетовый цвет. При добавлении к реакционной смеси
минеральных кислот окрашивание исчезает. Исключение составляет лишь
формальдегид, в присутствии которого окраска не исчезает. Поэтому реакцию
считают специфичной для формальдегида.
. Реакции замещения - это реакции взаимодействия альдегидов с аминами и
их производными, например с гидроксиламином (I), фенилгидразином (II),
2,4-динитро-фенилгидрази-ном (III), семиркарбазидом (IV) и др.
Продукты
взаимодействия этих веществ с альдегидами выпадают в виде осадков и после
высушивания имеют определенную температуру плавления или окраску
(2,4-динитрофенилгидразин), поэтому эти реакции используются для идентификации
препаратов, имеющих в молекуле альдегидную группу.
Фармакопейными
препаратами из группы альдегидов являются: раствор формальдегида (формалин),
хлоралгидрат и глюкоза.
В
этой группе лекарственных препаратов рассматриваются также
гексаметилентетрамин, физиологическое действие которого обусловлено
формальдегидом, выделяющимся в кислой среде при разложении
гексаметилентетрамина.
Глава 2. Формальдегид
.1 Получение формальдегида
Формальдегид впервые получен в 1868 г. Гофманом пропусканием воздуха,
насыщенного парами метанола, через раскаленную платиновую спираль по реакции:
В промышленном масштабе формальдегид получают по непрерывному методу Е.
И. Орлова пропусканием смеси воздуха и метанола, нагретой до 650° над
раскаленным серебром. Газовую смесь, содержащую избыток метанола, пропускают в
контактный аппарат, где происходит образование смеси формальдегида, воды,
водорода, окиси и двуокиси углерода, метана, метанола и азота. Из этой смеси по
охлаждении поглощают водой формальдегид и метанол; насыщение ведут до
38-40%-ного содержания газообразного формальдегида. Кроме формальдегида,
формалин обычно содержит муравьиную кислоту и 10-12% метанола, который
способствует сохранению устойчивости препарата, препятствуя его полимеризации.
Формалин - бесцветная, прозрачная жидкость своеобразного острого запаха,
раздражающая слизистые оболочки глаз и носа, уд. в 1,081-1,096, смешивается с
водой и спиртом во всех соотношениях. Формальдегид легко полимеризуется с
образованием параформальдегпда (СН2О). А. М. Бутлеров, впервые
получивший это соединение, дал ему название триоксиметилена, предполагая, что
молекулярный вес этого соединения соответствует составу (СН2О)3.
Впоследствии было доказано, что при полимеризации в различных условиях
образуются разные полимеры (описано до восьми, из которых одни, с т. пл. 63-64
°С отвечает формуле триоксиметилена). Параформальдегид образуется и при
концентрировании водных растворов формальдегида. При нагревании параформальдегид,
особенно в присутствии кислот, отчасти деполимеризуется с образованием
газообразного формальдегида.
Также формальдегид получают в промышленности путем окисления метилового
спирта с медью. Для этого через нагретый до 50 °С метиловый спирт пропускают
ток воздуха, который насыщается парами метилового спирта и поступает в трубку с
раскаленной медной спиралью (медь играет роль катализатора).
%
раствор формальдегида в воде Solutio Formaldehydi является фармацевтическим
препаратом и описан в фармакопее.
Он
представляет собой прозрачную бесцветную жидкость с острым своеобразным
запахом.
2.2 Фармакологические свойства формальдегида
Коды ATX:
o D08AX (Прочие антисептики и дезинфицирующие препараты)
o A01AB11 (Прочие противомикробные препараты)
Клинико-фармакологические группы:
o 29.010 (Препарат с противомикробным и подсушивающим действием
для наружного применения)
o 29.080 (Препарат с дезодорирующим и противомикробным
действием, применяемый при гипергидрозе)
o 25.004 (Антисептик с противовоспалительным, дубящим,
прижигающим и дезодорирующим действием для местного применения в стоматологии)
Фармакологическое действие:
Оказывает дезодорирующее, дезинфицирующее действие.
Дозировка:
Наружно - 1-2 раза/сут.
Побочные действия:
Возможны местные реакции, в виде покраснения кожи, зуда.
Показания:
Повышенная потливость.
Противопоказания:
Повышенная чувствительность к формальдегиду.
Препараты, содержащие ФОРМАЛЬДЕГИД (FORMALDEHYDE):
o ФОРМАГЕЛЬ (FORMAGEL) - гель д/наружн. прим. 3.7%: тубы 10 г
или 15 г
o ТЕЙМУРОВА ПАСТА (TEIMUROV PASTA) - паста д/наружн. прим.:
туба 30 г
o ПАРОДИУМ (PARODIUM) - гель д/чувствительных десен 200 мкг + 1
мг + 2 мг / 1 г: туба 50 мл
o ТЕЙМУРОВА ПАСТА (TEIMUROV PASTA) - паста д/наружн. прим.:
туба 50 г
o ФОРМИДРОН (FORMIDRON) - р-р д/наружн. прим. спиртовой 10
г/100 г: фл. 50 мл или 100 мл
.3 Идентификация формальдегида
Для подтверждения подлинности препарата можно применить все те общие
реакции, которые характерны для альдегидов, однако для формальдегида существуют
и частные, специфические реакции, отличающие его от других альдегидов.
К таким реакциям относится, например, реакция взаимодействия
формальдегида с фенолами в присутствии концентрированной серной кислоты, при
этом образуются окрашенные продукты реакции.
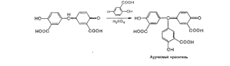
ГФ рекомендует для этой цели фенолокислаты - салициловую или
хроматроповую.
б)
аналогично протекает реакция с хромотроповой кислотой
На
первой стадии реакции концентрированная серная кислота играет роль
водоотнимающего агента, вследствие чего происходит конденсация фенола с
формальдегидом с образованием метиленбиссалициловой кислоты, которая окисляется
серной кислотой до хиноидной структуры. Последняя вступает во взаимодействие с
непрореагировавшей в реакции салициловой кислотой.
В
присутствии серной кислоты происходит окисление с образованием ауринового красителя
красного цвета.
Образование
гипойодита создает возможность окисления формальдегида.
При
стоянии гипойодит переходит в йодат.
Так
как реакция обратима, выделяющиеся кислоты необходимо нейтрализовать щелочью.
Но со щелочью реагирует и йод с образованием гипойодита и йодида.
После
того как формальдегид окислился, добавляют серную кислоту, которая вытесняет
йод из оставшихся солей (NaOI, NaOI3) и
эквивалентного им количества йодида натрия.
При
низкой температуре (ниже 9°С) формальдегид легко полимеризуется, образуя
параформ (СН2О)n, который выпадает в виде белого осадка. Параформ уже
не обладает теми свойствами, которые присущи раствору формальдегида как
медицинскому препарату. Поэтому нельзя хранить раствор формальдегида при
температуре ниже 9°С.
В
растворе формальдегида возможна примесь муравьиной кислоты, которая может
образовываться при получении формальдегида. Поэтому ГФ устанавливает допустимый
предел кислотности в препарате, а для предупреждения возможных
окислительно-восстановительных процессов и для стабилизации препарата к нему
добавляют метиловый спирт (не более 1%).
.4 Количественное определение формальдегида
Количественное определение препарата основано на способности альдегида
окисляться. В качестве окислителя можно использовать йод, пероксид водорода,
реактив Несслера.
ГФ рекомендует йодометрический метод определения формальдегида, при
котором формальдегид окисляется йодом.

Выделившийся йод оттитровывают тиосульфатом натрия. Разность между
количеством йода и тиосульфата натрия, пошедшего на оттитровывание йода, равна
количеству йода, пошедшему на окисление формальдегида.
Этот метод пригоден в том случае, если раствор формальдегида не имеет
примесей других альдегидов и ацетона, которые также реагируют с йодом.
.5 Применение формальдегида
Раствор формальдегида применяется в медицине как дезинфицирующее
средство. Действие его основано на способности свертывать белок. Белковые
вещества бактерий свертываются под влиянием формальдегида, что приводит их к
гибели. Являясь протоплазматическим ядом, раствор формальдегида не может
назначаться внутрь. Он применяется как дезинфицирующее средство для мытья рук
хирургов, обработки хирургических инструментов (0,5% раствор), обмывания ног
при потливости (0,5-1% раствор), спринцеваний в разведении 1:1000- 1:3000.
Так как раствор формальдегида способен придавать тканям упругость, его
часто применяют для консервации анатомических и биологических препаратов.
Хранить необходимо в темном месте в хорошо закупоренных склянках или
бутылях при температуре не ниже 9°С. На бутылях должна быть этикетка,
предупреждающая о ядовитости раствора формальдегида.
Глава 3. Гексаметилентетрамин (Уротропин)
.1 Получение гексаметилентетрамина
Гексаметилентетрамин
представляет собой продукт взаимодействия раствора формальдегида с аммиаком.
Впервые его получил А. М. Бутлеров (1860), но только 35 лет спустя после
открытия он стал применяться в медицине.
Сырьем
для получения гексаметилентетрамина служит 40% раствор формальдегида в воде и
аммиачная вода. К раствору формальдегида добавляют 25% аммиачную воду, смесь
перемешивают и поддерживают температуру в пределах 40-50 °С.
После
окончания реакции среда реакционной смеси должна «быть щелочной и должен
ощущаться запах аммиака. К смеси добавляют активированный уголь, фильтруют ее,
фильтрат выпаривают в вакууме до кашицеобразной массы. При охлаждении
выкристаллизовываются кристаллы гексаметилентетрамина. Их отсасывают, промывают
и сушат при температуре 30-35 °С. Полученный гексаметилентетрамин
перекристаллизовывают из спирта.
Гексаметилентетрамин
- белый кристаллический порошок, весьма гигроскопичный. Запаха не имеет. Вкус
жгучий, вначале сладкий, затем горьковатый. Препарат хорошо растворим в воде и
спирте, растворим в хлороформе, почти нерастворим в эфире. Водные растворы
гексаметилентетрамина обладают слабощелочной реакцией. При нагревании
улетучиваются не плавясь.
3.2 Фармакологические свойства гексаметилентетрамина
Синонимы:
Уротропин, Aminoform, Cystamine, Cystogen, Formamin, Hexamethylentetramin,
Hexamina, Methenamine, Metramine, Urisol, Urotropinum и др.
Состав:
Бесцветные кристаллы или белый кристаллический порошок жгучего и
сладкого, а затем горьковатого вкуса, без запаха. Легко растворим в воде
(1:1,5) и спирте (1:10). При нагревании улетучивается не плавясь. Горит бледным
пламенем. Водные растворы имеют щелочную реакцию (рН 40 % раствора 7,8 - 8,2).
Для внутривенного введения раствор готовят асептически.
Фармакологические свойства:
Получение гексаметилентетрамина было первым опытом (1899 г.) создания
лекарственного вещества, которое в настоящее время называют пролекарством
(Фенилсалицилат). При распаде гексаметилентетрамина в организме (в кислой
среде) высвобождается формальдегид, обладающий при выведении с мочой
антисептическим свойством.
Применяют гексаметилентетрамин как антисептическое средство при
инфекционных процессах в мочевыводящих путях (циститы, пиелиты). При щелочной
реакции мочи отщепления формальдегида не происходит и лечебного эффекта не
отмечается. В этих случаях назначают вещества, сдвигающие реакцию мочи в кислую
сторону (Аммония хлорид). Для предотвращения расщепления гексаметилентетрамина
в желудке его назначают натощак. При необходимости вводят раствор
гексаметилентетрамина внутривенно.
Показаниями к применению гексаметилентетрамина служат также холециститы и
холангиты, аллергические кожные заболевания (крапивница, полиморфная эритема и
др.), заболевания глаз (иридоциклиты, кератиты и др.). Препарат применят также
при менингите, энцефалите, арахноидите.
В настоящее время, в связи с наличием более эффективных средств,
гексаметилентетрамин широкого применения не имеет.
Применение:
Назначают внутрь в таблетках и растворах взрослым по 0,5 - 1,0 г на
прием, детям - по 0,1 - 0,5 г; принимают несколько раз в день. В вену вводят по
5 - 10 мл 40 % раствора.
Побочные эффекты: Гексаметилентетрамин может вызывать раздражение
паренхимы почек и в некоторых случаях способствовать распространению
болезненного процесса при пиелите. При обнаружении признаков раздражения почек
прием препарата прекращают.
Формы выпуска: порошок; таблетки по 0,25 и 0,5 г; 40 % раствор в ампулах
по 5 и 10 мл.
Хранение: в хорошо укупоренной таре; растворы - при температуре не выше
+20 С.
Гексаметилентетрамин является составной частью комбинированных таблеток
«Кальцекс» и «Уробесал». Выпускавшиеся ранее таблетки «Уросал», содержавшие по
0,3 г гексаметилентетрамина и фенилсалицилата, исключены из номенклатуры
лекарственных средств.
.3 Идентификация гексаметилентетрамина
При нагревании водных растворов гексаметилентетрамина он гидролизуется с
образованием формальдегида и аммиака.
В
кислой среде гексаметилентетрамин разлагается с выделением формальдегида. При
добавлении к реакционной смеси раствора щелочи ощущается запах аммиака.
Эта
реакция приводится в ГФ как реакция подлинности на.гексаметилентетрамин.
При
нагревании с салициловой кислотой в присутствии концентрированной серной
кислоты образуется фиолетово-красное окрашивание.
Реакция
основана на выделении формальдегида, который с салициловой кислотой в
присутствии серной образует ауриновый краситель
Гексаметилентетрамин
является однокислотным основанием, третичный азот придает ему основные
свойства, поэтому с кислотами он образует двойные соли, например гидрохлорид
гексаметилентетрамина. Наличие третичного азота, как у алкалоидов,
обусловливает также образование пикратов (желтый осадок), тетрайодидов и других
продуктов реакций. Гексаметилентетрамин обладает способностью давать
комплексные соединения с солями серебра, кальция и фосгеном.
В
отношении доброкачественности препарата ГФ требует отсутствия органических
примесей и примесей солей аммония (не должно появляться желтого окрашивания от
добавления к раствору препарата при нагревании реактива Несслера), примесей
параформа (помутнение раствора от добавления реактива Несслера при нагревании).
Допускаются примеси хлоридов, сульфатов, тяжелых металлов в пределах
соответствующих эталонов.
.4 Количественное определение гексаметилентетрамина
Количественное содержание препарата можно определить методом
нейтрализации. Навеску препарата нагревают с определенным количеством
титрованного раствора серной кислоты, после охлаждения смеси избыток кислоты
оттитровывают щелочью по метиловому красному. Параллельно в тех же условиях
проводят контрольный опыт (фармакопейный метод).
Гексаметилентетрамин
как основание может титроваться кислотой по смешанному индикатору (метиленовая
синь и метиловый оранжевый) до перехода окраски из зеленой в сине-фиолетовую.
Этот
метод менее точен, чем первый, но в экспресс-анализе лекарственных смесей им
довольно широко пользуются.
.5 Применение гексаметилентетрамина
Гексаметилентетрамин применяется как дезинфицирующее средство. Его
действие основано на образовании формальдегида в кислой среде, который и
оказывает дезинфицирующее действие. Применяется при заболевании мочевых путей.
Следует учитывать при этом, что, если моча не имеет кислой реакции, препарат
неэффективен, так как расщепления его на формальдегид не произойдет. Наряду с
антисептическим действием гексаметилентетрамин проявляет в некоторой степени и
противо-подагрическое действие, поэтому его применяют также при ревматизме.
Гексаметилентетрамин находит широкое применение и в качестве противогриппозного
средства. Препарат назначают внутрь в порошках и таблетках и внутривенно в виде
40% раствора.
Выпускается в порошке и таблетках по 0,25 и 0,5 г, а также в ампулах по
5-10 мл 40% раствора. Хранить следует в хорошо закупоренных банках.
Глава 4. Хлоралгидрат
.1 Получение хлоралгидрата
Впервые получен Либихом в 1832 г., в качестве лекарственного вещества
применен с 1869 г.
Получают хлорированием спирта в присутствии железных стружек вначале при
температуре не выше 25° до уд. в. 1.068, затем - при 50-95° до уд, в. 1.58,
Процесс хлорирования, длящийся более 10 суток, в точности не изучен, так как,
кроме хлорала и хлоралалкоголята, по реакции:
образуется еще трпхлорацеталь, хлорэтнл, хлорвинил несимметричный, трнхлорэтан,
трнхлорэтиловый спирт, ди- и трпхлоруксусные кислоты, хлористый водород и др.
Сырой хлорал, содержащий главным образом трихлоруксусныи альдегид, хлоралгидрат
и хлоралалкоголят, нагревают до 94-98и с серной кислотой для
превращения хлорал алкоголятa в
хлорал (до прекращения выделения хлористого водорода) и после централизации
вновь перегоняют при 94-98°
Гидратацию хлорала ведут при температуре не выше 45° в присутствии
хлороформа:
Образующийся хлоралгидрат высушивают при температуре 30-32.
Хлоралгидрат - бесцветные прозрачные гигроскопические кристаллы или
мелкокристаллический порошок, т. пл. 49-53°, с характерным острым запахом и
слегка горьковатым своеобразным вкусом, легко растворим в воде и в эфире,
спирте и хлороформе. На воздухе медленно улетучивается, со многими
органическими соединениями - камфарой, фенолом, ментолом, терппнгидратом и
другими - образует жидкие смеси. Водные растворы его нейтральны, но при
хранении на холоду медленно, а при нагревании быстрее разлагаются с
образованием трихлоруксуспой кислоты, дихлоруксусного альдегида, хлористого
водорода и воды:
Едкие и углекислые щелочи, бура, фосфат натрия и другие щелочные соли
слабых кислот разлагают хлоралгидрат с образованием хлороформа и формиата
натрия:
Концентрированная серная кислота превращает хлоралгидрат в хлорал,
концентрированная азотная кислота - в трихлоруксусную кислоту.
При нагревании хлоралгидрата с аммиачным раствором окиси серебра
выделяется металлическое серебро, при нагревании с раствором Фелинга - закись
меди, при нагревании с реактивом Несслера - металлическая ртуть; все эти
реакции, могущие служить для определения подлинности, являются реакциями на альдегидную
группу.
.2 Фармакологические свойства хлоралгидрата
Хлоралгидрат (chlorali hydras) обладает способностью вызывать седативный,
снотворный, аналгезирующий, противосудорожный эффекты. Хлоралгидрат угнетает
центральную нервную систему, в частности функцию дыхательного и вазомоторного
центров, поэтому его следует с осторожностью назначать больным, у которых
имеются признаки глубокого нарушения деятельности этих центров.
Показания к применению:
спазмофилия и судорожные состояния другого происхождения, столбняк,
эклампсия.
порошок, таблетки по 0,5, 0,75, 1,5 г. В настоящее время в педиатрии
применяется редко.
Препарат вводят в прямую кишку в виде клизмы 1% слизистого раствора
(приготовленного на крахмале) в следующих однократных дозах детям в возрасте:
до 6 мес. - 10 мл, от 6 до 12 мес. - 10 - 15 мл, от 1 года до 3 лет - 15 - 30
мл, от 3 до 7 лет - 40 - 60 мл, от 7 до 14 лет - 70 - 100 мл. Следует
учитывать, что введение в прямую кишку простого водного раствора хлоралгидрата
может явиться причиной сильного раздражения и воспаления слизистой оболочки
кишки с мучительными болями в животе, нарушениями функции толстого кишечника.
Противопоказания: выраженные заболевания печени, почек,
сердечнососудистой системы, острый или хронический колит.
.3 Идентификация и количественное определение хлоралгидрата
Чистоту препарата определяют по отсутствию примеси хлоралалкоголята
(хлоралгидрат нагревают с раствором едкого натра и прибавляют раствор йода в
йодиде калия - при этом не должен обнаруживаться запах йодоформа:
посторонних примесей (с концентрированной серной кислотой не должно
возникать бурого окрашивания), соляной кислоты, золы.
Количественное определение основано на разложении хлоралгидрата 0,1 н.
раствором едкого натра:
Не вошедшую в реакцию щелочь оттитровывают 1 н. раствором соляной кислоты
в присутствии индикатора фенолфталеина. 1 мл 0,1 н. раствора едкого натра,
израсходованного на разложение, соответствует 0,01654 г хлоралгидрата,
содержание которого должно быть не менее 99% и не более 101%.
Количественное определение может быть проведено и йодометрически:
После прибавления к раствору хлоралгидрата избытка 0,1 н. раствора йода и
едкого натра, не вошедший в реакцию йод оттитровывают после подкислення 0,1 н.
раствором тиосульфата натрия в присутствии индикатора крахмала. По разности
определяют количество йода, вошедшего в реакцию. 1 мл 0,1 н. раствора йода
соответствует 0,00827 г хлоралгидрата.
Хранят с предосторожностью (список Б) в хорошо закупоренных банках в
прохладном месте, защищенном от действия света. Высшая разовая доза - 2 г,
суточная - 6 г. Применяют как снотворное; при длительном применении наблюдается
хроническое отравление.
Глава 5. Практическая часть
.1 Методика исследования
Описание.
Прозрачная бесцветная жидкость своеобразного острого запаха. Смешивается
во всех соотношениях с водой и спиртом. Стабилизируют прибавлением метилового
спирта, не более 1,0%.
Подлинность.
К 2 мл раствора нитрата серебра прибавляют 10-12 капель раствора аммиака
и 2-3 капли препарата, нагревают на водяной бане с температурой 50-60°;
выделяется металлическое серебро в виде зеркала или cepoго осадка.
К раствору 0,02-0,03 г салициловой кислоты в 5 мл концентрированной
серной кислоты прибавляют 2 капли препарата и нагревают; появляется красное
окрашивание.
Количественное определение.
Около 1 г препарата (точная навеска) помещают в мерную колбу емкостью 100
мл и разводят водой до объема 100 мл. К 5 мл этого раствора в колбе с притертой
пробкой прибавляют 90 мл 0,1 н. раствора йода и 10 мл 1 н. раствора едкого
натра, взбалтывают и оставляют в темном месте на 10 минут. Затем прибавляют 11
мл 1 н. раствора серной кислоты и выделившийся йод титруют 0,1 н. раствором
тиосульфата натрия до обесцвечивания (индикатор - крахмал).
мл 0,1 н. раствора йода соответствует 0,001501 г СН20,
которого в препарате должно быть 36,5-37,5%.
Хранение. В хорошо укупоренных склянках, в защищенном от света месте, при
температуре не ниже 9°.
5.2 Результаты исследования
Таблица 5.1
|
Название и лекарственная
форма препарата
|
Показатель
|
Методика исследования
|
Результат
|
|
Раствор формальдегида
|
Подлинность
|
К 2 мл раствора нитрата
серебра прибавляют 10-12 капель раствора аммиака и 2-3 капли препарата,
нагревают на водяной бане с температурой 50-60°; выделяется металлическое
серебро в виде зеркала или cepoго осадка.
|
Соответствует
|
|
Раствор формальдегида
|
Подлинность
|
К раствору 0,02-0,03 г
салициловой кислоты в 5 мл концентрированной серной кислоты прибавляют 2
капли препарата и нагревают; появляется красное окрашивание.
|
Соответствует
|
|
Раствор формальдегида
|
Количественное определение
|
Около 1 г препарата (точная
навеска) помещают в мерную колбу емкостью 100 мл и разводят водой до объема
100 мл. К 5 мл этого раствора в колбе с притертой пробкой прибавляют 90 мл
0,1 н. раствора йода и 10 мл 1 н. раствора едкого натра, взбалтывают и
оставляют в темном месте на 10 минут. Затем прибавляют 11 мл 1 н. раствора
серной кислоты и выделившийся йод титруют 0,1 н. раствором тиосульфата натрия
до обесцвечивания (индикатор - крахмал). 1 мл 0,1 н. раствора йода
соответствует 0,001501 г СН20, которого в препарате должно быть
36,5-37,5%.
|
Соответствует
|
Выводы
Альдегидами называются органические соединения, в которых карбонильная
группа связана с водородом и радикалом R (остатки алифатических, ароматических и гетероциклических
соединений).
Полярность карбонильной группы обеспечивает полярность молекулы в целом,
поэтому альдегиды имеют более высокие температуры кипения, чем неполярные
соединения сравнимой молекулярной массы. Поскольку атомы водорода в альдегидах
связаны только с атомом углерода (близкие относительные
электроотрицательности), межмолекулярные водородные связи не образуются.
Поэтому температуры кипения альдегидов ниже, чем у соответствующих спиртов или
карбоновых кислот.
Низшие альдегиды растворимы в воде, вероятно, вследствие образования
водородных связей между молекулами растворенного вещества и растворителя.
Высшие альдегиды хорошо растворяются в большинстве обычных органических
растворителей (спирты, эфиры). Низшие альдегиды имеют резкий запах, у
альдегидов с С3-С6 весьма неприятный запах, в то время
как высшие альдегиды обладают цветочными запахами и применяются в парфюмерии.
В химическом отношении альдегиды - весьма реакционноспособные соединения.
Наиболее характерны для альдегидов реакции нуклеофильного присоединения, что
обусловлено присутствием в молекуле электрофильного центра - карбонильного
атома углерода группы
Многие из этих реакций, например, образование оксимов, семикарбазонов и
других соединений, используются в качественном и количественном анализе JIC из группы альдегидов потому, что
продукты присоединения альдегидов характеризуются определенной для каждого
альдегида температурой плавления. Так, альдегиды при встряхивании с насыщенным
раствором гидросульфита натрия легко вступают в реакцию присоединения.
Продукты присоединения представляют собой соли, имеющие определенную
температуру плавления, хорошо растворимы в воде, но не растворимы в
органических растворителях.
При нагревании с разбавленными кислотами гидросульфитные производные
гидролизуются до исходных соединений.
Способностью альдегидов образовывать гидросульфитные производные
пользуются как для определения подлинности препарата с альдегидной группой в
молекуле, так и для очистки альдегидов и выделения их из смесей с другими
веществами, не реагирующими с гидросульфитом натрия.
Альдегиды также легко присоединяют аммиак и другие азотсодержащие
нуклеофилы. Продукты присоединения обычно малоустойчивы и легко подвергаются
дегидратации и полимеризации. Образующиеся в результате полимеризации
циклические соединения при нагревании с разбавленными кислотами легко
разлагаются, вновь освобождая альдегид.
Альдегиды легко окисляются. Оксид серебра(1) и другие окислители с
невысоким значением окислительного потенциала способны окислять альдегиды.
Например, для альдегидов характерна реакция образования серебряного зеркала,
которая протекает с аммиачным раствором AgNО3. При этом на стенках пробирки образуется
зеркальный налет металлического серебра.
Аналогично альдегиды могут восстанавливать медь(II) до меди(I).
Для проведения реакции к раствору альдегида добавляют реактив Фелинга (щелочной
раствор тартратного комплекса меди(II)) и нагревают. Сначала образуется желтый осадок гидроксида меди(I) - СuОН, а затем красный - оксида меди(I) - Сu2O.
К окислительно-восстановительным относится также реакция взаимодействия
альдегидов с реактивом Несслера в щелочной среде; при этом выпадает темный осадок
восстановленной ртути. Следует иметь в виду, что реакция с реактивом Несслера
более чувствительна, поэтому ее используют для обнаружения примесей альдегидов
в ЛC. Подлинность лекарственных средств,
содержащих альдегидную группу, подтверждают менее чувствительными реакциями:
серебряного зеркала или с реактивом Фелинга. Некоторые другие соединения,
например полифенолы, также окисляются соединениями Ag(I) и Cu(II), т.е. реакция не является специфической.
Формальдегид и уксусный альдегид склонны к полимеризации. Формальдегид
полимеризуется, образуя циклические тримеры, тетрамеры или линейные полимеры.
Реакция полимеризации протекает в результате нуклеофильной атаки кислорода
одной молекулы карбонильного атома углерода другой.
Так, из 40 % водного раствора формальдегида (формалина) образуется
линейный полимер - параформ, тример и тетрамер.
Для альдегидов характерны наркотические и дезинфицирующие свойства. По
сравнению со спиртами альдегидная группа усиливает токсичность вещества.
Введение галогена в молекулу альдегида повышает его наркотические свойства.
Например, наркотические свойства хлораля более выражены, чем у уксусного
альдегида.
Альдегиды могут быть получены окислением первичных спиртов хромовой
кислотой (Na2CrО4, H2SО4) при кипячении или
перманганатом калия в щелочной среде.
Промышленное производство метаналя основано на парофазном окислении
метанола с железомолибденовым катализатором.
Проанализированный раствор формальдегида по показателям идентификации
соответствуют требованиям нормативно-технической документации.
Список использованной литературы
1. Фармацевтична хімія. Підручник для
студентів вищ. фармац. начальних закладів і фарм. фак. вищих мед. навчальних
закладів III-IV рівня акредитації / За заг. ред.
П.О. Безуглого. - Вінниця: Нова книга, 2008. - 560 с.
2. Арзамасцев А.П. Фармакопейный
анализ - М.: Медицина, 1971.
. Беликов В.Г.
Фармацевтическая химия. В 2 частях. Часть 1. Общая фармацевтическая химия:
Учеб. для фармац. ин-тов и фак. мед. ин-тов. - М.: Высш. шк., 1993. - 432 с.
. Глущенко Н. Н.
Фармацевтическая химия: Учебник для студ. сред. проф. учеб. заведений / Н.Н.
Глущенко, Т.В. Плетенева, В.А. Попков; Под ред. Т.В. Плетеневой. - М.:
Издательский центр «Академия», 2004. - 384с.
5. Государственная фармакопея СССР, Х издание -
под. ред. Машковского М.Д. Москва: “Медицина” - 1968, 1078 с.
6. Державна фармакопея України, перше видання -
під. ред. Георгієвського В.П. Харків: “РІРЕГ” - 2001, 531 с.
7. Драго Р. Физические методы в
химии - М.: Мир, 1981
8. Кольтгоф И.М., Стенгер В.А.
Объемный анализ В 2 томах - М.: Государственное научно-техническое издательство
химической литературы, 1950
. Коренман И.М.
Фотометрический анализ - М.: Химия, 1970
10. Коростелев П.П, Фотометрический и
комплексометрический анализ в металлургии - М.: Металлургия, 1984, 272 с.
. Мелентьева Г.А., Антонова
Л.А. Фармацевтическая химия. - М.: Медицина, 1985.- 480 с.
. Мискнджьян С.П. Кравченюк Л.П. Полярография лекарственных
препаратов. - К.: Вища школа, 1976.
232 с
14. Фармацевтическая химия: Учеб. пособие / Под ред. Л.П.
Арзамасцева. - М.: ГЭОТАР-МЕД, 2004. - 640 с.
15. Фармацевтический анализ лекарственных средств / Под
общей редакцией В.А. Шаповаловой - Харьков: ИМП «Рубикон», 1995
16. Фармацевтичний аналіз: Навч.
посіб. для студ. вищ. фармац. навч. закл. III-IV рівнів акредитації /П.О. Безуглий, В. О. Грудько,
С. Г. Леонова та ін.; За ред. П.О. Безуглого,- X.: Вид-во НФАУ; Золоті
сторінки, 2001.- 240 с.
17. Халецкий A.M. Фармацевтическая химия - Ленинград: Медицина, 1966
. Эшворт М.Р. Титриметрические
методы анализа органических соединений кн. 1, 2 - М.: Химия, 1972