Фізико-хімічна характеристика композитів високодисперсних оксидів перехідних металів з електропровідними полімерами

  • Вид работы:
    Курсовая работа (т)
  • Предмет:
    Химия
  • Язык:
    Украинский
    ,
    Формат файла:
    MS Word
    51,22 Кб
  • Опубликовано:
    2015-06-27
Вы можете узнать стоимость помощи в написании студенческой работы.
Помощь в написании работы, которую точно примут!

Фізико-хімічна характеристика композитів високодисперсних оксидів перехідних металів з електропровідними полімерами

ЗМІСТ

Вступ

.        Літературний огляд

.1      Електропровідні полімери та їх методи одержання

.2      Нанокомпозити на основі електропровідних полімерів та оксидів металів

.3      Оксид молібдену як електродний матеріал для хімічних джерел струму

.4 Напрямки використання провідних полімерних сполук та композитів на їх основі

2. Методика експериментального дослідження

2.1 Опис вихідних речовин

.2 Фізико-хімічна характеристика досліджуваних речовин

.3 Методика синтезу композитів

.3.1 Синтез ПАн-МоО3

.3.2 Синтез ППірол-МоО3

.4 Методика вимірювання електропровідності

.5 Виготовлення літієвих джерел струму та вивчення їх розрядних характеристик

. Результати експериментальних досліджень та їх обговорення

3.1 Електропровідність зразків синтезованих композитів

.2 Вивчення розрядних характеристик літієвих джерел струму із синтезованими катодними матеріалами

Висновки

Список використаної літератури

ВСТУП

електропровідний полімер композит літієвий

Актуальним завданням є дослідження композитів високодисперсних оксидів перехідних металів (MoO3, V2O5, Fe3O4, TiO2, MnO2) з електропровідними полімерами - поліаніліном, політіофеном, поліпіролом, для виготовлення електродів ХДС, яке відкриває перспективу зменшення ступеня їхньої структурної деградації, збільшення швидкості перебігу струмоутворюючих процесів, що у свою чергу, забезпечує тривалу експлуатацію ХДС, можливість їх заряджання - розряджання великим струмом.

1. ЛІТЕРАТУРНИЙ ОГЛЯД

.1 Електропровідні полімери та їх методи одержання

Відкриття високомолекулярних сполук з високою власною електро-провідністю знаменувало появу нових фундаментальних напрямків дослід-ження і спонукало багаточисленні їх публікації. Спільним для електропровідних полімерів є наявність у структурі системи спряжених зв’язків, причому у систему спряження входять C=C, C-N, C-S зв’язки в залежності від природи вихідного мономера. Внаслідок перекривання молекулярних π-орбіталей електрони можуть вільно переміщуватися вздовж ланцюга спряження із створенням зони провідності [1]. Серед електропровідних полімерів особливе місце займає поліанілін (ПАн). Полімери аніліну (Ан) та його похідних легко синтезувати хімічним чи електрохімічним окисленням вихідних мономерів [2-5], вони можуть переходити в електропровідний стан легуванням хімічними допантами із газової фази або розчину та електрохімічним шляхом [6-7]. Поліаніліни зберігають свої властивості при контакті з атмосферним киснем і вологою [8], здатні накопичувати електричні заряди високої питомої густини [9], можуть змінювати свій колір в залежності від величини електродного потенціалу [10] та проявляти високу вибіркову чутливість до аміаку, оксидів азоту, парів аліфатичних спиртів тощо [11-13]. Шляхом сумісної окиснювальної конденсації орто-фенілдіаміну з піримідиламіном були синтезовані аморфні полімери, які є стійкими при нагріванні до 560 0С [14].

Інтерес до електропровідних полімерів органічних матеріалів в останній час значно виріс, що пов’язано з розвитком нових галузей науки і техніки, зокрема, нанотехнологій, засобів відображення інформації, перетворювачів енергії нового типу [15], а також з необхідністю зменшення витрат матеріалів.

Однак, широке практичне використання таких матеріалів стримується через їхні недосконалі механічні властивості, через низьку їх еластичність, погану здатність до термопластичної обробки. Особливого значення набувають полімерні композити на основі спряжених поліаміноаренів, здатних змінювати забарвлення і відповідно спектральні характеристики під дією електричного поля або температури. Позитивних результатів слід очікувати при використанні композитів електропровідних полімерів з високопластичними матеріалами, зокрема з відомими полімерами-поліакрилатами, полікарбонатами, полівінілхлоридом та ін.

Електропровідні полімери дають змогу забезпечити перехід метал - ізолятор і здійснити процес створення нового покоління матеріалів з електричними і оптичними властивостями металів чи напівпровідників. Найбільш важливими областями застосування таких електропровідних сумішей або композитів є антистатичні матеріали [16, 17]. Деякі матеріали, у яких використано політіофен або поліанілін вже використовуються у виробництві екранів [18]. Іншим важливим застосуванням електропровідних полімер-полімерних композитів є їхня здатність до поглинання електромагнітного поля, що може бути використано для антирадарного захисту. Перспективним є застосування таких композитів в електротехнічній, електронній, радіотехнічній та інших галузях виробництва для отримання струмопровідних адгезивів, герметиків, заливних композицій та антистатичних покрить на металічних і неметалічних поверхнях.

Більшість полімерів є електроізоляторами з дуже низьким питомим об’ємним опором. Але з них можна виготовити електропровідні композиції шляхом введення дисперсних наповнювачів (технічний вуглець, графіт, вуглецеві волокна або метали).

Провідність полімерних матеріалів, що містять електропровідні наповнювачі, може змінюватись в межах десяти десяткових порядків, досягаючи значень від ізоляторів до металів , ЕПП є одним з найбільш цікавих класів низькорозмірних матеріалівЕПП матеріали використовують як електроактивні плівки, інгібітори корозії, антистатичні покриття, захисні екрани від електромагнітного випромінювання, а також для створення джерел струму та оптичних вікон із регульованою областю прозорості. В останній третині XX століття синтезовані провідні й напівпровідникові полімери зі спряженими зв’язками, які можуть знайти застосування в створенні високовпорядкованих органічних матеріалів та нанодисперсій [19]. ПАн і його похідні (поліаміноарени) вважають одними з найбільш перспективних спряжених полімерів внаслідок високої стабільності, відносно низької собівартості та різноманітності електронних та оптичних властивостей, здатності поглинати радіоактивні промені. Тому саме ці ЕПП становлять найбільший інтерес для отримання функціональних полімер-полімерних композитів.

Досліджень в галузі створення полімер-полімерних струмопровідних композитів досить небагато, і вони, як правило, мають пошуковий, несистематичний характер.

Органічні полімери з системою спряжених зв’язків можуть бути синтезовані класичними методами хімічної вільнорадикальної полімеризації [20]. Окиснення аніліну (Ан) проводять у водних, водно-органічних (вода-метанол, вода-ацетон, вода-ецетонітрил, гексан-вода, толуен-вода, тощо) та органічних розчинах (ацетонітрил, пропіленкарбонат) мінеральних кислот (HCl, HClO4, HNO3, H2SO4, H3РO4 та ін.), органічних кислот (мурашина, оцтова, гексанова, винна, яблучна, пара-толуенсульфонова та ін.) як при перемішуванні так і без нього [24].

Синтез ПАн окисненням Ан різними окисниками у водних розчинах використовують не тільки для отримання дисперсного ПАн, а й для модифікації різних матеріалів цим полімером у процесі синтезу (in situ) [26-28, 24].

Проблема нанесення електроактивних полімерів і ПАн, зокрема у вигляді плівок чи дисперсій на матеріали різної природи методом in situ в процесі хімічного синтезу [27, 25] має важливе практичне значення. Частина ПАн, що формується в об’ємі реакційного середовища, може самочинно осідати на поверхню різних матеріалів (субстратів), занурених в полімеризаційний розчин. Ефективність осадження шару ПАн на різні субстрати забезпечують вибором умов проведення реакції окиснення Ан, співвідношенням концентрацій окиснювач/мономер, температури реакції й відповідної попередньої підготовки поверхні субстрату [27].

Серед широко використовуваних для модифікації субстратів важливе місце займають природні матеріали - різні мінерали [27, 29], а також бентоніти [30], глини [31] та ін.

Таким методом зазвичай одержують недоповані - поліспряжені полімери, які хімічними чи електрохімічними методами можуть бути переведені в провідний n- чи р-допований стан. Часто електропровідні полімери одержують вже безпосередньо в р-допованому стані шляхом окиснення вихідних мономерів сильними окисниками, такими як (NH4)2S2O8, FeCl3, Cu(ClO4)2 та ін .

Іншим методом одержання електропровідних полімерів є електрохімічний. Органічні полімери з системою спряжених зв’язків одержують у вигляді тонких ЕП плівок на поверхні інертних електродів шляхом анодного окиснення чи катодного відновлення відповідних мономерів у водному чи неводному середовищі [21, 22].

Одним із факторів, що впливають на структуру полімерної плівки, є температура, при якій проводять електросинтез електропровідних полімерів. Іншим фактором, що впливає на морфологію полімерної плівок і, відповідно, на їх фізико-хімічні характеристики, є потенціал електросинтезу. Так, наприклад, проведення електросинтезу поліпіролу при низьких потенціалах окиснення піролу (0.32 В відносно Ag/AgCl мінімальний потенціал полімеризації) призводить до утворення дуже щільних плівок, а при високих потенціалах (0.84 В) до пористих рихлих плівок поліпіролу [23].

Властивості електропровідних полімерів визначаються також товщиною плівки, осадженої на електроді. Слід зазначити, що товщина полімерної плівки є не просто геометричним параметром, що впливає на їх фізико-хімічні характеристики. У випадку полімерів на основі п’ятичленних гетероциклів (тіофен, пірол і ін.) зменшення товщини плівки призводить до зміни її морфологї. В дуже тонких плівках зростає протяжність ланцюга спряження, що може суттєво вплинути на провідність, спектральні і електрохімічні властивості полімера.

Оскільки електросинтез іде за йон-радикальним механізмом з одночасним допуванням генерованого на електроді полімера, можна вважати, що на макромолекулярну структуру плівки впливає природа розчинника, а також фоновий електроліт.

Одним із важливих методів одержання ПАн та його композитів є хімічний метод синтезу за допомогою яуого отримано велику кількість різноманітних композитів серед них і композити із неорганічними матеріалами те речовинами [24, 25].

1.2 Нанокомпозити на основі електропровідних полімерів та металів оксидів

Синтез полімерних нанокомпозитів - один з цікавих і перспективних напрямків в науці про полімери і матеріалознавстві останніх років. Композиційними називають матеріали, що складаються з двох чи більше фаз з чіткою міжфазною межею. Полімерні композиційні матеріали складаються з полімерної матриці і наповнювача. Питомі характеристики композитів помітно вищі ніж вихідних компонентів. Саме завдяки цьому композити відрізняються від наповнених полімерних систем, в яких роль наповнювача зводиться до здешевлення ціни.

Композиційні матеріали відрізняються типом матриці (органічна, неорганічна), можливістю її переробки (термопласт, термореактив), типом наповнювача і їх орієнтацією (ізотропна, орієнтована). Властивості композитів залежать від структури і властивостей міжфазної межі. У звичайних композиційних матеріалах фази мають мікронні і субмікронні розміри. У нанокомпозитах середній розмір одної з фаз становить менше 100 нм.

Основними структурними параметрами наночастинок є їх форма і розмір. Фізичні, фізико - хімічні властивості наносистем, що визначаються значною питомою поверхнею наночастинок, значно відрізняються від властивостей макросистем. Властивості нанокомпозиційного матеріалу залежать від природи взаємодії між фазами і будови міжфазних областей, об’ємна частка яких дуже велика. Несумісність органічних і неорганічних компонентів є основною проблемою синтезу таких нанокомпозитів. У таких композитах важливо контролювати ступінь мікрофазового розділення [2].

За структурою нанокомпозити на основі полімерної матриці і неорганічного наповнювача можна поділити на композити з шаруватою і сітчастою структурою.

Нанокомпозити з шаруватою структурою синтезують з використанням природних шаруватих неорганічних структур. Шар такого матеріалу насичують мономером з активною кінцевою групою, а потім проводять полімеризацію. Так отримують шаруваті нанокомпозити з високим вмістом неорганічного наповнювача. Ці матеріали характеризуються добрими механічними властивостями, термічною і хімічною стійкістю.

Нанокомпозити на основі полімерів та неорганічних оксидів поєднують в собі якості складових компонентів. Завдяки цьому покращуються різні властивості матеріалу в порівнянні з його компонентами.

Нанокомпозити є особливим класом матеріалів, що володіють унікальними фізичними властивостями і широким потенціалом застосування у різноманітних сферах [2]. Нові властивості нанокомпозитів можна отримати успішним комбінуванням характеристик вихідних складників у єдиний матеріал. Інкапсуляція неорганічних наночастинок всередину оболонки провідникового полімеру є найпопулярнішим та найцікавішим напрямком нанокомпозитного синтезу. Ці матеріали відрізняються як від чистих полімерів, так і від неорганічних наночастинок за деякими фізичними та хімічними властивостями.

π-спряжені провідні полімери є нерозчинними у більшості звичних розчинників. Така властива інертність робить неможливим поєднання їх з іншими матеріалами з утворенням нанокомпозитів за допомогою методів перемішування. Тому, для синтезу таких нанокомпозитів використовують вищезазначені методики інкорпорації неорганічних компонентів у провідні полімери.

Серед провідникових полімерів поліпірол займає особливе місце завдяки наявності у нього реакційно здатних -NH- груп у полімерному ланцюзі, з кожного боку від яких розміщуються ненасичені цикли, що в поєднанні створює лабільну з хімічної точки зору систему зв’язків, яка надає поліпіролу здатності проводити струм і реагувати на зміну властивостей середовища, в яке поміщена плівка полімеру або індикаторний електрод на її основі [2].

Поліпірол є перспективним матеріалом для перезаряджуваних хімічних джерел струму, знайшли використання поліпірольні плівки, модифіковані порошками металів, оксидами металів, на плівці поліпіролу з ферментом пероксидазою спостерігається прямий біоелектрокаталіз катодного відновлення пероксиду водню, що показує перспективність застосування поліпірольних композитів для конструювання біосенсорних пристроїв.

.3 Оксид молібдену як електродний матеріал для хімічних джерел струму

Cтворення нових функціональних нанодисперсних матеріалів та композитів на їх основі із покращеними фізико - хімічними властивостями,

вдосконалення технології одержання та оптимізація структури і морфології існуючих матеріалів відкриє нові можливості їх практичного використання в якості електродних електрохімічних джерел струму нового покоління, розширює їх застосування, задовільняє запити на створення потужних батарейних систем зберігання та накопичення електричної енергії для відновлювальної енергетики, електромобілебудування тощо.

Сьогодні розвинутими країнами створюються джерела акумуляторного типу з високою питомою енергією для використання в електромобілебудуванні, а також у якості накопичувача електричної енергії, одержаної від відновлювальних джерел, наприклад, сонячного випромінювання, а також енерґії у формі тепла, що утворююється при згорянні продуктів хімічного, біохімічного або рослинного походження [33].

Гальванічні елементи знайшли широке використання в сотових телефонах, калькуляторах, ноутбуках, портативних контрольно-вимірювальних і навігаційних приладах, медичному обладнанні, в тому числі імплантованих кардіостимуляторах, океанографічному і метрологічному устаткуванні.

Гальванічний елемент, як джерело електричної енергії, можна побудувати на основі будь-якої окисно - відновлювальної реакції. Пара речовин у даній електрохімічній системі повинна бути підібрана таким чином, щоб хімічне джерело струму (ХДС) мало високе значення електрорушійної сили (ЕРС) і, відповідно, розрядної напруги. Відновлювальний компонент струмоутворючої реакції, який постачає електрони для реакції окиснення, підбирають із більш від’ємним значенням електродного потенціалу, ніж компонента - відновлювача [34]. При цьому ЕРС гальванічного елемента не повинна перевищувати напругу розкладу електроліту.

Найкращими матеріалами - відновниками для виготовлення від’ємного аноду в ХДС є лужні метали, а серед них літій, який у реакції відновлення має у водному розчині найбільш від’ємний електродний потенціал, рівний (-3,04) В. Питома енергетична спроможність літієвого аноду становить 3860 мА∙год∙г-1.

Високий від’ємний потенціал літієвого аноду дозволяє використовувати в якості позитивного електроду (катоду) гальванічного елемента речовини-окиснювачі навіть з невисоким позитивним потенціалом. При виборі матеріалу катоду звертають особливу увагу на його хімічну стійкість і нерозчинність в електроліті, електропровідність та величину хімічного еквіваленту.

Упродовж тривалого часу досліджень і вдосконалення літієвих джерел енергії запропоновано велику кількість як органічних, так й неорганічних речовин, придатних до використання в якості позитивного електроду.

Серед неорганічних речовин можна виділити галогени й галогеніди - I2 , (CFx)n, сульфіди, селеніди та телуриди - Mo6S8 , CuS , Bi2Se3 , InSe , GaSe , Bi2Te3 ; оксиди металів - V2O5, MоO3, CuO та інші.

Матеріал катоду повинен мати особливі фізико-хімічні властивості, які б забезпечували:

велику сорбційну ємність щодо атомів літію;

швидкий транспорт іонів літію структурними каналами матеріалу до місця їх локалізації;

електронну провідність;

незмінність координаційного оточення катіонів матеріалу при зміні їх ступеня окиснення і структури матеріалу в цілому;

донорно - акцепторну активність катіонів матеріалу;

відсутність побічних хімічних реакцій матеріалу катоду з електролітом.

Первинні джерела після розрядження до кінцевої напруги не можуть у подальшому використовуватися і їх утилізують, а вторинні джерела можуть відновлювати свій енергетичний ресурс від стороннього джерела.

Для від’ємного електроду (катоду) акумулятора дослідники продовжували використовувати металічний літій, а в якості позитивного - застосовували халькогеніди або оксиди металів змінної валентності.

Так як більшість досліджених оксидів металів поступаються сульфідам і селенідам щодо електронної провідності, для покращення струмоутворення в катодну масу вводять електропровідну добавку і зв’язуюче. Однак, оксиди металів вважаються більш перспективними у порівнянні з халькогенідами металів, оскільки вони дозволяють створювати джерела з більш високою питомою електричною енергією [34, 35].

Хімічні процеси струмоутворення у первинному гальванічному елементі базуються на розчиненні літієвого аноду, відновленні на ньому атомів літію з утворенням іонів літію та їх вкоріненням у структурні порожнини матеріалу позитивного катоду. В літієвому акумуляторі при його зарядженні відбувається зворотній процес - деінтеркаляція іонів літію з матеріалу катоду, перенесення їх до аноду, на якому іони літію окиснюються до нуль валентного стану та осаджуються на літієвому електроді.

Рівняння струмоутворення в літієвому джерелі з катодом на основі оксиду металу (МеО) записують у вигляді :+ + MеОm → LixMеОm ( 1.1)

Для зменшення дифузійного шляху при інтеркаляції іонів літію і прискорення струмоутворюючих реакцій доцільно зменшувати розмір частинок катодного матеріалу до нанометричних розмірів.

Процес одержанн шпінельних наноматеріалів базується на золь-гель технології і в деяких випадках передбачає висушування колоїдних дисперсій при критичних режимах.

За таких умов зникає поверхневий натяг дисперсійного середовища і не відбувається агрегація наночастинок синтезованого матеріалу.

Ряд оксидів та солей (насамперед, фторидів металів), а саме MnO2 , SnO2, VO2, WO2, MoO3, MnF2, CoF2 та ZnF2, вже використовуються або мають перспективу використання в електродах хімічних джерел струму, мають рутилові тетрагональну структуру (P4/mnm). Характерною особливістю рутильної структури є те, що в щільні гексагональній упаковці іонів оксигену тільки половина октаедричних пустот зайнята катіонами Ме4+. Октаедричні пустоти є більш вигідними для локалізації інтеркальованих йонів літію в порівнянні з тетраедричними пустотами шпінельних оксидних матеріалів електроліту.

Літій іонні джерела в даний час функціонують переважно на основі рідкофазних електролітів. Для їх одержання використовують солі літію і апротонні органічні розчинники. Широке практичн застосування знайшли електроліти на основі LiClO4 , LiAlCl4 , LiBF4 , LiAsF6 і деяких інших солей. В якості розчинників використовують диполярні органічні речовини - пропіленкарбонат, γ-бутиролактон, тетрагідрофуран, диметилсульфоксид, тіонілхлорид та інші. В акумуляторах із металічним літієвим анодом використання рідких електролітів пов’язане з проблемою їх реакційної взаємодії, що приводить до дендритоутворення і капсулювання літію. Передбачається, що дана проблема може бути розв’язана при використанні відповідного полімерного електроліту. Однак, створені на даний час полімерні електроліти не мають високої іонної провідності, достатньої для широкого практичного використання.

Таким чином, застосування порошкових матеріалів з частинками нанометричного розміру і композицій на їх основі для виготовлення електродів ХДС дозволяє зменшити ступінь їх структурної деградації, збільшити швидкість перебігу струмоутворюючих процесів, що у свою чергу, забезпечує тривалу експлуатацію джерел, можливість їх зарядження / розрядження великим струмом [35].

В якості активних матеріалів катоду досліджені оксиди ванадію V2O5, V6O13, V6O14, марганцю MnO2, молібдену MoO3, міді CuO, і, в меншій мірі, оксиди хрому Cr2O3, Cr2O5, Cr3O8, CrO3, NiOx.

Літієві акумулятори з катодом на основі MоO3 мають розрядну напругу ~3,0 В. Їх енергетичні показники залежать від природи електроліту,структури матеріалу, величини струму розрядження. Питома енергетична ємність може становити 130-200 мА×год×г-1.оO3 є традиційним матеріалом в акумуляторах і суперконденсаторах, а також використовують в багатьох органічних синтезах. З іншого боку, незважаючи на те, що застосування оксиду молібдену дуже поширене, питання механізмів процесів, що протікають на ньому, залишаються відкритими [33].

Потрібно відзначити, що вимоги, пропоновані до нього в нових умовах, мають на увазі пошук шляхів удосконалення матеріалу. Тому оксид молібдену привертає увагу дослідників всіх провідних наукових центрів світу: США, Японії , Південної Кореї, Китаю, Австралії, Польщі.

.4 Напрями використання провідних полімерних сполук та композитів на їх основі

Акумуляторні батареї ( були одним з перших комерційних продуктів, заснованих на застосовуваннях полімерних сполук, що проводять. У якості матеріалу позитивного електроду в них використовують поліпірол, политіофен або поліанілін. Матеріалом для виготовлення негативних електродів зазвичай служать літій або його сплави (наприклад, з алюмінієм).

В процесі розряду акумулятора електрони рухаються від негативного електроду до позитивного по зовнішньому ланцюгу. При цьому літій окислюється, переходячи в електроліт у вигляді позитивно заряджених іонів, полімерне з'єднання відновлюється, що супроводжується переходом заряд компенсованих аніонів з полімеру в електроліт. При заряді акумулятора від зовнішнього джерела струму на електродах протікають зворотні процеси.

Електролітом може бути як сольовий розчин на основі пропіленкарбонату, що часто використовується як розчинник в джерелах струму, так і полімерна мембрана, насичена відповідною сіллю літію (твердий полімерний електроліт). У останньому випадку акумулятор зовсім не містить рідкої фази, що робить його найбільш безпечним і зручним [12].

На сьогодні розроблено вже декілька поколінь суперконденсаторів (СК), а саме на основі вуглецевих матеріалів, оксидів металів та електроактивних полімерів. У першому типі СК джерело накопичення енергії є справді електростатичним. Електродами у цьому випадку є ідентичні пористі вуглецеві електроди з високорозвинутою питомою поверхнею (симетричний СК) і ємність виникає в результаті розділення заряду на межі тверда поверхня|рідкий електроліт. Здебільшого ємність ПЕШ на поверхні вуглецю та металів становить 10-40 мкФ·см-2, а питома ємність високо розвинутої вуглецевої поверхні - ~4 Ф·кг-1. Енергію W та потужність Р для такого типу суперконденсаторів можна розрахувати за формулами :


2. МЕТОДИКА ЕКСПЕРИМЕНТАЛЬНОГО ДОСЛІДЖЕННЯ

.1 Опис вихідних речовин

Під час синтезу композитів, а також одержання композитів на основі поліпіролу та поліаніліну використовували наступні речовини та матеріали :

MоO3;

ванадат амонія (NH4VO3);

дистильована вода;

сульфатна кислота (H2SO4);

ППірол ;

ПАн ;

графіт .

.2 Фізико-хімічна характеристика досліджуваних речовин

2 - порошок жовтого кольору, розчинний у воді. Мr = 143,94 г/моль; Тпл.= 795 °С; Ткип.= 1255 °С Найбільш стійкі сполуки молібдену, широко поширені в земній корі (молібденіт (MoS2) ).ЛД= 125мг/кг.

Пірол - розчинний у воді; змішується з органічними розчинниками. Полімеризується під дією кислот. Tкип .=129,76ºС, Тпл = -23,42ºС.

NH4VO3- білі або жовтуваті кристали, розчинні у воді. Тпл =138 ºС.

Анілі́н - ( C6H5NH2 ), найпростіший ароматичний амін. Безбарвна рідина, малорозчинна у воді, змішується з спиртом, ефіром, бензолом; Під впливом повітря швидко темніє, стає коричневою. Пара його отруйна. t° кип. 184,4С°, t° плав. - 6°С.

2.3 Методика синтезу композитів

.3.1 Синтез ПАн-МоО3

Наважку порошку ванадату амонію (NH4VO3) 0,8г було перенесено в конічну колбу, що містить 98мл дистильованої води, одержану суміш перемішуємо на магнітній мішалці протягом 20хв., а потім суспензію підкислюють (по краплях) концентрованою сульфатною кислотою (H2SO4) 2мл, щоб колір розчину став блідо-жовтим. До цього блідо-жовтого розчину додають 0,3г порошку МоО3 і обробляють ультразвуком протягом 30хв., повинна сформуватись суспензія брудно-білого кольору. Одержану суміш поміщаємо у льодяну баня, і перемішуємо на магнітній мішалці.

За допомогою дозиметра додаємо до реакційної суміші 0,5мл аніліну. Колір суспензії поступово повинен змінюватись від брудно-білого до темно-зеленого кольору. Реакцйну суміш продовжують перемішувати протягом 12 год. при кімнатній температурі. Одержаний осад відфільтровуємо 1л дистильованої води , після чого осад сушимо при 50 0С під вакуумом 12 годин. Одержаний продукт ідентифікуємо як композит ПАн-МоО3.

.3.2 Синтез ППірол-МоО3

Процедура схожа на синтез ПАн-МоО3, яка згадувалась вище була прийнята для синтезу ППірол-МоО3. Одна лише відміність, замість мономеру аніліну , додавали 0,5мл піролу.

.4 Методика вимірювання електропровідності

Електропровідність композитів MoO3-поліпірол, MoO3-поліанілін визначали шляхом вимірювання опору за допомогою Омметра (Щ 306-1). Для цього зразки формували у вигляді таблетки під пресом. Одержані таблетки поміщали між двома плоскопаралельними мідними контактами, які затискали зразок з певним зусиллям і визначали опір. Одержані дані перераховували у електропровідність та питому електропровідність попередньо вимірявши розміри таблеток зразків.

Електропровідність вимірювали у спеціально виготовлених чарунках, де діелектриком слугував фторопласт, контактами - срібні пластини, внутрішній опір такої чарунки становив менш ніж 0,001 Ом та комплексу апаратури для вимірювання опору - прецизійного інтегруючого омметру Щ306. Порошкоподібні зразки полімеру чи композиту пресували у таблетки товщиною ~ 2 мм і діаметром 10 мм у металевій пресформі при зусиллі 150 атм/см2 упродовж 5хв. при температурі 20 оС. Розрахунок електропровідності проводили за формулою ( 3.1):

=rL/S,

де R - опір зразка, Ом; r - електропровідність, См×см-1; L - товщина зразка, см; S - площа зразка, см2.

Отримані значення електропровідністі перетворювали у питому електропровідність (c) за формулою ( 3.2):

 

c = 1/r,

 

де r - електропровідність, См×см-1.

.5 Виготовлення літієвих джерел струму та вивчення їх розрядних характеристик

Синтезовані поліпірол, поліанілін і композити поліпірол-MoO3, поліанілін-MoO3 використовують для виготовлення макетів літієвих ХДС. За двохелектродною схемою : літієвий електрод ( діаметр 1 см, товщина 5 мм ) щільно прилягав до поверхні катодного матеріалу через сепаратор з пористого поліпропілену із розчином перхлорату літію в пропіленкарбонаті. ХДС відрізнялися між собою природою та складом матеріалу катода, який формували шляхом пресування таблетки ( діаметр 1 см ) при зусилі

кг/см2 ( наважка композиту для формування катоду складала 0,135 г, до якої додавали 0,015 г розшитого графіту ( 10% ) ). Сформована таблетка щільно прилягала до нікелевої пластинки, до якої був припаяний провідник для забезпечення контакту з клемами вольтметра і амперметра, які входять до складу установки для зняття розрядних характеристик [ 53 ].

Для дослідження розрядних характеристик і побудови кривої розряду складаємо схему для розряду елемента, що включає вольтметр, міліамперметр, резистор ( рис. 3.1).

Рисунок 1. - Схема установки для вивчення розрядних характеристик ХДС.( V - вольтметр; E - елемент; мА - міліамперметр; К - ключ; R - магазин опорів ).

Вивчали електричні та експлуатаційні характеристики елементів, розряджаючи їх при постійному опорі зовнішнього кола. Внутрішній опір джерел струму визначався наступним чином :

а) - виходячи з даних розряду шляхом екстраполяції залежностей I - t1/2 і U - t1/2 ( де I - струм, U - напруга і t - час розряду ) знаходили значення розрядних струму ( I0) та напруги (U0) в початковий момент часу t = 0.

б) - розрахунок внутрішнього опору елемента проводили за формулою: r = Uр.к - U0 / I0, де Uр.к - напруга розімкненого кола елемента.

3. РЕЗУЛЬТАТИ ЕКСПЕРИМЕНТАЛЬНИХ ДОСЛІДЖЕНЬ ТА ЇХ ОБГОВОРЕННЯ

.1 Електропровідність зразків синтезованих композитів

Питому електропровідність синтезованих композитів вимірювали по методиці приведеній в розділі 2.4. Результати вимірювань представлені в таблиці 1

Таблиця 1. - Електропровідність одержаних композитів.

Cклад пресованої таблетки

Розміри таблетки

χ´106 (См/см)


l, (см)

D, (см)

S,(см2)

0,20

1,000

0,785

49,0

поліанілін

0,26

1,000

0,785

27

поліанілін-MoO3

0,23

1,000

0,785

34

поліпірол

0,22

1,000

0,785

41

поліпірол-MoO3

0,22

1,000

0,785

45


Як видно із табл.1. зразки електропровідних композитів володіють невисокою електропровідністю порівняно із самим МоО3, це може бути обумовлено тим, що ступінь легування поліпіролута полі аніліну є дуже невеликий, оскільки наночастинки MоO3 одержаного в ході синтезу можуть прилипати до макромолекул поліпіролу та поліаніліну, блокуючи активні центри в полімері і тим самим перешкоджають їх адсорбції та легуванню.

.2 Вивчення розрядних характеристик літієвих джерел струму із синтезованими катодними матеріалами

Наступним етапом наших досліджень було вивчення впливу умов синтезу композитів MoO3-ППірол, MoO3-ПАн, а також способу формування катодного матеріалу на розрядні характеристики сконструйованих макетів літієвих хімічних джерел струму.

Для цього нами були сформовані макети ХДС, які можна описати наступними схемами:

Схема елемента ХДС 1:

Li│2MLiCIO4 в пропіленкарбонаті│[поліанілін+MoO3+графіт 10%]

Схема елемента ХДС 2:

Li │ 2MLiCIO4 в пропіленкарбонаті │ [поліанілін+графіт 10% ]

Схема елемента ХДС 3:

Li│2MLiCIO4 в пропіленкарбонаті│[поліпірол+MoO3+графіт 10%]

Схема елемента ХДС 4:

Li │ 2MLiCIO4 в пропіленкарбонаті │ [поліпірол+графіт 10% ]

Схема елемента ХДС 5:│2MLiCIO4 в пропіленкарбонаті│[ MoO3+графіт 10%]

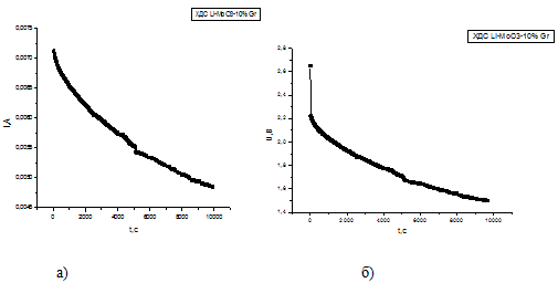
Нами були випробувані методики зняття розрядних кривих при постійному зовнішньому опорі (300 Ом) для досліджуванних макетів ХДС, які описані в розд.2.5. Експериментальні дані цих досліджень приведені на рис.2.

Рисунок 2 - Розрядні криві для літієвого ХДС з катодним матеріалом такого складу : порошок (MoO3+Gr 10%): а) I = f(t); б) U = f(t).

На основі розрядних кривих були розраховані питомі енергетичні характеристики досліджуваних ХДС із катодними матеріалами виготовленими із синтезованих композитів. Результати розрахунків приведені в таблиці 2.

Таблиця 2. - Результати досліджень джерел струму

Елементи ХДС

Напруга розімкненого кола,В

Внутрішній опір, Ом

Густина розрядного струму впочатковий момент часу,А/см2

Питома ємкість, А·с/г

Питома енергія, Вт·с/г

Li-MоO3 + Gr 10%

2,651

300

0,00089

2,87

0,596

Літієвий гальванічний елемент Li│2M LiCIO4 в пропіленкарбонаті│[ MoO3+графіт 10%] має Uр.к.=2,7В, і при розрядному опорі 300 0м характеризується досить тривалим часом розряджання , при цьому сила розрядного струму знаходиться в межах 7,12-4,82 mА.


ВИСНОВКИ

1. Синтезовано композити поліпірол-MоO3, поліанілін-MоO3, методом полімеризаційного наповнення при окиснювальній поліконденсації π - спряжених мономерів в присутності MоO3 та NH4VO3, вивчено їхні електрохімічні властивості як перспективних матеріалів для виготовлення катодів літієвих джерел струму.

2. Виміряно електропровідність синтезованих зразків електропровідний полімер-МоО3 ; показано, що вона залежить від природи легуючих доданків та ступеня легування поліпіролу та поліаніліну.

. Сконструйовано ряд зразків літієвих ХДС із катодними матеріалами на основі синтезованих полімерних композитів. Випробувано методики зняття розрядних кривих літієвих ХДС та підібрано оптимальні умови формування зразків для катодних матеріалів і конструктивного оформлення ХДС. Показано, що літієвий гальванічний елемент Li│2M LiCIO4 в пропіленкарбонаті│[ MoO3+графіт 10%] має Uр.к.= 2,7В, і при розрядному опорі 300 0м характеризується досить тривалим часом розряджання , при цьому сила розрядного струму знаходиться в межах 7,12-4,82 mА.

СПИСОК ВИКОРИСТАНОЇ ЛІТЕРАТУРИ

1. Оксидні електродні матеріали літієвих джерел струму / В.О Коцюбинський, В.Л. Челядин, В.В. Мокляк, К.Б. Остафійчук, Н.І. Нагірна, П.І. Колковський, А.Б. Груб’як // Фізика і хімія твердого тіла. - 2010. - Т.11, №2. - С.484 - 492.

2. Сумм Б. Д. Коллоидно-химические аспекты нанохимии - от Фарадея до Пригожина / Б.Д. Сумм, Н.И. Иванова // Вест. Моск. Ун-та. Сер. 2 Химия. -2001. - Т. 42, №5.

3 Xingwei Li. Surface modification of TiO2 nanoparticles by polyaniline / Xingwei Li, Wei Chen, Chaoqing Bian // Applied Surface Science. -2003. -Vol. 217. -. 16-22.

. Gurunathan K. Synthesis and characterization of conducting polymer composite (PAn/TiO2) for cathode matherial in rechargeable battery / K. Gurunathan, D.P. Amalnerkar, D.C. Trivedi // Materials Letters. - 2003. -Vol. 57. -P. 1642-1648.

. Yanzhong H. Photoelectrochemical studies on acid-doped polyaniline as sensitizer for TiO2 nanoporous film / H. Yanzhong, Y. Maizhi, Y. Chen // Solar Energy Materials and Solar Cells. -1998. - Vol. 56. -P. 75-84.

. Wang. J. Sol-gel materials for electrochemical biosensors / Joseph Wang // Analitica Chimica Acta. -1999. - Vol. 399. - P. 21-27.

. MacDiarmid Alan G. "Synthetic metals": a novel role for organic polymers / Alan G. MacDiarmid // Current Applied Physics. -2000. - Vol. 1. - P. 269-279.

. Przyluski E.J. Electrochemistry of conducting polymers : Material sci. forum / E.J. Przyluski, S. Roth.// Aedermannsdorf : Trans. Techn. Publ. Ltd. - 1987. - Vol. 21. - P. 231.

9. Shaolin M.U. Poly - o - methylaniline used as a cathode material in rechardeable batteries. / M.U. Shaolin, Q. Bidong // Synth. Met. - 1989. - Vol. 32. - P. 129 - 134.

10. Ji-Chuan X. Titanium dioxide doped polyaniline / X. Ji-Chuan, L. Wei-Min, L. Hu-Lin // Materials Science and Engineering. - 2005. - Vol. 25. - P. 444 - 447.

. Тимонов A.M. Электронная проводимость полимерных соединений / А.М. Тимонов, С.В Васильева // Российский государственный педагогический университет им. А.Т. Грецана, Санк - Петербург, 2000.

. Natan M.C. Chemically Modified Microelectrode Arrays / M.C. Natan, M.S. Wrighton // Prog. in Inorgan. Chem. - 1990. - Vol. 37. - P. 391 - 494.

. Somani P. High piezoresistivity and its origin in conducting polyaniline/TiO2 composites / P. Somani, R. Marimuth., U. Mulik // Synthetic Metals. - 1999. -. 106. - P. 45-52.

. Synthesis of PANI/AgCl, PANI/BaSO4 and PANI/TiO2 nanocomposites in CTAB/hexanol/water reverse micelle / S. Xiaomeng, C. Yin, X. Shuangxi, L. Chengzhan // Material Letters. - 2004. - Vol. 58. - P. 1255-1259.

16. Owen J. R. lov Conducting polymer in the book Electrochemical science / J.R. Owen, R.G. Liuford // London and New York. - 1987. - P. 45 - 66.

. Аксіментьєва О.І. Електрохімічні методи синтезу та провідність спряжених полімерів / О.І Аксіментьєва // Львів, Світ. - 1998. - 154 с.

18. Ковальчук Е.П. Электрохимические свойства полиацетилена / Е.П Ковальчук, Е.И. Аксиментьєва, Т.А. Плюснина // Тез. докл. XII Всесоюз. совещ. по электрохимии орг. соед. ЭХОС - 90, Москва-Караганда, - 1990. - С. 191-192.

. Ковальчук Е.П. Электрохимическое получение тонких резистивных плёнок на основе фенола и его производных / Е.П. Ковальчук, Е.И. Аксиментьева, Т.А. Плюснина // Композицион. полимер. материалы. - 1992. - №52. - С. 66-68.

. Electrochemically Activec polymers for rechargeable batteries /Novak, Klaus Muller, K.S.V. Santhanam, Otto Haas // Chem. Rev. - 1997. - Vol. 97. -P. 207-281

21. Koval’chuk E.P. Co-polimers of aniline and nitroanilines. Part 2.Physicochemical properties. / E.P. Koval’chuk, S. Whittingham, O.M. Skolozdra // Mat. Chem. Phys. -2001. - Vol. 70. - P. 38-48.

. Karakisla M. The preparation of polypyrrole conductive polymer films an polycarbonate-coated of electrode / M. Karakisla, M. Sacak // J. Polym. Sac. Part A: Polym. Chem. -2000. -Vol. 38. - P. 51-59.

23. Electrochemically synthesized conducting polymeric materials for applications towards technology in electronics, optoelectronic and energy storage devices / K. Gurunathan, A. R. Murugan, R. Marimuthu, U.P. Mulik, D.P. Amalnerkar // Mat. Chem. Phys. - 1999. - Vol. 61. - P. 173-191.

. Electrochemical behavior of polyaniline-poly ( styrene sulfonate ) / M. Morita, S. Miyazaki, H. Tanone, M. Ishikawa, Y. Matsuda // Composite films in organic electrolyte solution. J. Electrochem. - 1994. - Vol. 141. - P. 1409-1413.

25. Electroanal. Chem. / A.F. Daiz, J.I. Castillo, J.A. Logan, W. -Y.Lee. // Material Sci. - 1981 - Vol. 129. - P. 115.

. Elektrochem. Acta / M.A.D.Paoli, S.Panero,P.Prosperi, B.Scrosati // Material Sci. - Vol.35. - P. 1145.

27. Diaz A.F. Extended Linear Chain Compounds (Ed. J.S. Miller) / A.F.Diaz, K.K.Kanazawa // Plenum, New York. - 1983. - P. 417.

. Diaz A.F. Chemica Scripta / A.F.Diaz // Material Sci. - 1981. - Vol. 17. - P. 145.

29. Scharifker B.R. Electroanal Chem / B.R.Scharifker, E.Garcia - Pastoriza, W. Marino // Material Sci. - 1991. - Vol. 300. - P. 85.

Schirmeisen M. J. Appl. Elektrochem / M.Schirmeisen, F.Beck // Material Sci. -1989. - Vol. 19. - P. 401.

31. Tang Z. Electrochemical synthesis of polyaniline nanoparticles / Z. Tang, S. Liu, Z. Wang // Electrochemistry communications. - 2000. - Vol. 2, - № 1. - P. 32-35

. Chuan C. Novel Nanocomposite Materials for Advanced Li-Ion Rechargeable / Chuan Cai, Ying Wang // Batteries. Materials. - 2009. - № 2. - С. 1205-1238.

. Скундин А.М. Современное состояние и перспективы развития литиевых аккумуляторов / А. М. Скундин, О. Н. Ефимов, О. В. Ярмоленко // Успехи химии. - 2002. - Т. 71, № 4. - С. 329 - 346.

. Ran L. MоO3/Poly(3,4-ethylendioxythiophene) coaxial nanowires by one-step coelectrodeposition for electrochemical energy storage / Liu Ran // J. Am. Chem. Soc. - 2008. - Vol. 130, - № 10. - P. 2942−2943.

. Enchanced electrochemical stability and change storage of MоO3/ carbon nanotubes composite modified by polyaniline coating layer in acidic electrolytes / Changzhou Yuana, Linghao Sua, Bo Gaoa and Xiaogang Zhang // Electrochem. acta. - 2008. - Vol. 53, - № 24. - P. 7039−7037.

36. A simple method to synthesize α-MоO3 and β- MоO3 single-crystalline nanorods / Song Xu-Chun, Zheng Yi-Fan, Lin Shen, Wang Yun // Acta Phys. − Chim. Sin. - 2007. - Vol. 2, - № 2. - P. 258−261.

. Walanda D. K. Hydrothermal MоO3 : synthesis, structure, morphology and discharge performance / Walanda Daud K., Lawrance Geoffrey A., Donne Scott W // Journal of power sources. - 2005. - Vol. 139, - № 2. - P. 325−341.

Похожие работы на - Фізико-хімічна характеристика композитів високодисперсних оксидів перехідних металів з електропровідними полімерами

 

Не нашли материал для своей работы?
Поможем написать уникальную работу
Без плагиата!
Без нейросетей!