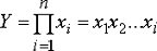
Анализ себестоимости продукции

  • Вид работы:
    Курсовая работа (т)
  • Предмет:
    Эктеория
  • Язык:
    Русский
    ,
    Формат файла:
    MS Word
    173,8 Кб
  • Опубликовано:
    2015-05-26
Вы можете узнать стоимость помощи в написании студенческой работы.
Помощь в написании работы, которую точно примут!

Анализ себестоимости продукции

Содержание

Введение

Глава 1. Значение, задачи и методы анализа себестоимости продукции

.1 Cебестоимость продукции

.2 Понятие экономического анализа

.3 Характеристика основных приемов и методов экономического анализа

1.4 Методика факторного анализа

Глава 2. Анализ себестоимости продукции

.1 Классификация затрат на производство

.2 Анализ динамики обобщающих показателей и факторов

2.3 Анализ затрат на рубль товарной продукции

.4 Анализ себестоимости важнейших изделий

.5 Анализ прямых материальных и трудовых затрат

.6 Анализ косвенных затрат

. Практическая часть

Заключение

Список использованной литературы

Введение

В связи с переходом экономики нашей страны на рыночные отношения изменяется и отношение к получаемой от экономических субъектов информации. Информация о финансовом состоянии организации, его финансовых результатах становится очень важна для широкого круга пользователей, как внешних - налоговые инспекции, коммерческие банки, акционеры и т.д., так и внутренних - администрация, менеджеры, внутренние финансовые службы организации.

Имея на руках бухгалтерскую финансовую отчетность за отчетный год или за ряд предыдущих лет, акционеры общества должны оценить эффективность использования вложенных капиталов, рентабельность активов организации, финансовую устойчивость и перспективы развития на будущее. К сожалению, это сделать не всегда просто. Для более точной оценки деятельности организации необходимо использовать методы экономического анализа. Имея на вооружении набор инструментов анализа хозяйственной деятельности, возможно достоверно и всесторонне оценить результаты хозяйственной деятельности организации.

В экономически развитых западных странах ни один инвестиционный проект не обходится без глубокого экономического анализа. Для этого разработаны целые комплексы оценки эффективности деятельности организации. В эту систему входят различные показатели: коэффициенты финансовой устойчивости, рентабельности, платежеспособности. В результате многочисленных исследований деятельности успешных и убыточных компаний разработаны оптимальные значения ряда коэффициентов, дающих возможность оценить динамику развития организации и перспективы ее роста на будущее.

Для того чтобы экономический анализ имел практическое применение, он должен быть, с одной стороны, комплексным, т.е. анализ должен охватывать все стороны экономического процесса и всесторонне выявлять причинные зависимости, влияющие на деятельность организации в той или иной степени.

Себестоимость продукции является важнейшим показателем экономической эффективности ее производства. В ней отражаются все стороны хозяйственной деятельности, аккумулируются результаты использования всех производственных ресурсов. От ее уровня зависят финансовые результаты деятельности предприятий, темпы расширенного воспроизводства, финансовое состояние субъектов хозяйствования.

Анализ себестоимости продукции, работ и услуг имеет большое значение в системе управления затратами. Он позволяет изучить, тенденции изменения ее уровня, установить отклонение фактических затрат от нормативных (стандартных) и их причины, выявить резервы снижения себестоимости продукции и дать оценку работы предприятия по использованию возможностей снижения себестоимости продукции.

Исчисление этого показателя необходимо по многим причинам, в том числе для определения рентабельности отдельных видов продукции и производства в целом, определения оптовых цен на продукцию, осуществления внутрипроизводственного хозрасчета, исчисления национального дохода в масштабах страны. Себестоимость продукции является одним из основных факторов формирования прибыли. Если она повысилась, то при остальных равных условиях размер прибыли за этот период обязательно уменьшиться за счет этого фактора на такую же величину. Между размерами величины прибыли и себестоимости существует обратная функциональная зависимость. Чем меньше себестоимость, тем больше прибыль, и наоборот. Себестоимость является одной из основных частей хозяйственной деятельности и соответственно одним из важнейших элементов этого объекта управления.

Основными источниками информации, необходимой для проведения анализа себестоимости, являются отчетные данные; данные бухгалтерского учета (синтетические и аналитические счета, отражающие затраты материальных, трудовых и денежных средств, соответствующие ведомости, журналы-ордера и в необходимых случаях первичные документы); плановые (сметные, нормативные) данные о затратах на производство и реализацию продукции и отдельных изделий (работ, услуг).

Цель моей работы изучить порядок проведения анализа себестоимости продукции (товаров и услуг) на предприятии и на его основе разработать мероприятия по предупреждению банкротства. Для достижения намеченной цели необходимо решить ряд задач: дать понятие себестоимости продукции, выявить задачи анализа себестоимости продукции, рассмотреть методы анализа, классификацию затрат на производство, анализ динамики обобщающих показателей и факторов, анализ затрат на рубль товарной продукции, анализ себестоимости важнейших изделий, анализ прямых материальных и трудовых затрат, анализ косвенных затрат. В практической части произвести факторный анализ затрат на 1 рубль продукции (работ, услуг) на предприятии.

Глава 1. Значение, задачи и методы анализа себестоимости продукции

.1 Cебестоимость продукции

Под определением (калькулированием) себестоимости продукции понимается исчисление затрат, приходящихся на единицу продукции.

При определении себестоимости единицы продукции также исчисляется себестоимость:

продукции (работ, услуг) вспомогательных производств, используемых основным производством;

промежуточных продуктов (полуфабрикатов) основного производства;

продукции подразделений предприятия для выявления результатов их деятельности;

всего товарного выпуска предприятия.

Данные о себестоимости продукции (работ, услуг) - основа для принятия решений по управлению предприятием, в том числе при разработке мер по предупреждению банкротства.

Повышенные темпы роста себестоимости единицы продукции по сравнению с ростом отпускных цен на нее являются сигналом к пересмотру системы организации производства, модернизации технологий с целью снижения себестоимости.

Анализ себестоимости продукции подразделений предприятия дает возможность оценить результаты их работы за отчетный период.

Используя данные о себестоимости продукции (работ, услуг) вспомогательных производств, можно сделать вывод о целесообразности содержания вспомогательных производств по сравнению с приобретением выпускаемых ими полуфабрикатов, выполняемых работ и услуг у сторонних организаций.

Объектами калькулирования себестоимости являются отдельные виды продукции, работ, услуг, продукция (работы, услуги) отдельного подразделения предприятия, вся товарная продукция предприятия.

Объекты калькулирования могут измеряться в натуральных единицах (штуках, тоннах, килограммах, литрах, погонных метрах), укрупненных натуральных единицах (100 пар обуви), условно-натуральных единицах (по содержанию полезного вещества, в пересчете на 100% спирт), стоимостных единицах (затраты на рубль товарной продукции), трудовых единицах (нормо - часах), условных единицах (тонно-километрах, машино - сменах).

В зависимости от оперативности контроля и объектов учета затрат используются нормативный, попроцессный, попередельный и позаказный методы учета затрат и вычисления себестоимости продукции (работ, услуг).

.2 Понятие экономического анализа

Экономический анализ как наука представляет собой систему специальных знаний, базирующихся на законах развития и функционирования систем и направленных на познание методологии оценки, диагностики и прогнозирования финансово-хозяйственной деятельности предприятия.

Каждая наука имеет свой предмет. Под предметом экономического анализа понимаются хозяйственные процессы предприятий, их социально-экономическая эффективность и конечные финансовые результаты деятельности, складывающиеся под воздействием объективных и субъективных факторов, находящие отражение через систему экономической информации.

Предмет экономического анализа определяет стоящие перед ним задачи. Среди основных выделим:

· повышение научно-экономической обоснованности бизнес-планов, бизнес-процессов и нормативов в процессе их разработки;

· объективное и всестороннее исследование выполнения бизнес-планов, бизнес-процессов и соблюдения нормативов;

· определение эффективности использования трудовых и материальных ресурсов;

· контроль за осуществлением требований коммерческого расчета;

· выявление и измерение внутренних резервов на всех стадиях производственного процесса;

· проверка оптимальности управленческих решений.

Экономический анализ является необходимым элементом управления экономикой. В зависимости от потребностей управления можно выделить виды анализа.

На практике отдельные виды экономического анализа встречаются редко.

В процессе управления для обоснования принимаемых решений используется совокупность различных видов экономического анализа. Например, рыночная экономика характеризуется динамичностью ситуаций внешней и внутренней среды деятельности предприятия. В этих условиях важная роль отводится оперативному анализу. Его отличительными чертами являются комплексность, компьютерная обработка оперативных информационных массивов, использование его результатов на уровне отдельных функциональных служб предприятия в виде ориентированной фрагментарной информации.

Метод экономического анализа представляет собой способ подхода к изучению хозяйственных процессов в их плавном развитии.

Характерными особенностями метода экономического анализа являются:

· определение системы показателей, всесторонне характеризующих хозяйственную деятельность организаций;

· установление соподчиненности показателей с выделением совокупных результативных факторов и факторов (основных и второстепенных), на них влияющих;

· выявление формы взаимосвязи между факторами;

· выбор приемов и способов для изучения взаимосвязи;

· количественное измерение влияния факторов на совокупный показатель.

Совокупность приемов и способов, которые применяются при изучении хозяйственных процессов, составляет методику экономического анализа.

Методика экономического анализа базируется на пересечении трех областей знаний: экономики, статистики и математики.

К экономическим методам анализа относят сравнение, группировку, балансовый и графический методы.

Статистические методы включают в себя использование средних и относительных величин, индексный метод, корреляционный и регрессивный анализ и др.

Математические методы можно разделить на три группы: экономические (матричные методы, теория производственных функций, теория межотраслевого баланса); методы экономической кибернетики и оптимального программирования (линейное, нелинейное, динамическое программирование); методы исследования операций и принятия решений (теория графов, теория игр, теория массового обслуживания).

1.3 Характеристика основных приемов и методов экономического анализа

Сравнение - сопоставление изучаемых данных и фактов хозяйственной жизни. Различают горизонтальный сравнительный анализ, который применяется для определения абсолютных и относительных отклонений фактического уровня исследуемых показателей от базового; вертикальный сравнительный анализ, используемый для изучения структуры экономических явлений; трендовый анализ, применяемый при изучении относительных темпов роста и прироста показателей за ряд лет к уровню базисного года, т.е. при исследовании рядов динамики.

Обязательным условием сравнительного анализа является сопоставимость сравниваемых показателей, предполагающая:

· единство объемных, стоимостных, качественных, структурных показателей;

· единство периодов времени, за которые производится сравнение;

· сопоставимость условий производства;

· сопоставимость методики исчисления показателей.

Средние величины - исчисляются на основе массовых данных о качественно однородных явлениях. Они помогают определять общие закономерности и тенденции в развитии экономических процессов.

Группировки - используются для исследования зависимости в сложных явлениях, характеристика которых отражается однородными показателями и разными значениями (характеристика парка оборудования по срокам ввода в эксплуатацию, по месту эксплуатации, по коэффициенту сменности и т.д.).

Балансовый метод состоит в сравнении, соизмерении двух комплексов показателей, стремящихся к определенному равновесию. Он позволяет выявить в результате новый аналитический (балансирующий) показатель.

Например, при анализе обеспеченности предприятия сырьем сравнивают потребность в сырье, источники покрытия потребности и определяют балансирующий показатель - дефицит или избыток сырья.

Как вспомогательный, балансовый метод используется для проверки результатов расчетов влияния факторов на результативный совокупный показатель. Если сумма влияния факторов на результативный показатель равна его отклонению от базового значения, то, следовательно, расчеты проведены правильно. Отсутствие равенства свидетельствует о неполном учтете факторов или о допущенных ошибках:


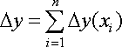
где у - результативный показатель; - факторы;

 - отклонение результативного показателя за счет фактора хi.

Балансовый метод применяют также для определения размера влияния отдельных факторов на изменение результативного показателя, если известно влияние остальных факторов:


Графический способ. Графики являются масштабным изображением показателей и их зависимости с помощью геометрических фигур.

Графический способ не имеет в анализе самостоятельного значения, а используется для иллюстрации измерений.

Индексный метод основывается на относительных показателях, выражающих отношение уровня данного явления к его уровню, взятому в качестве базы сравнения. Статистика называет несколько видов индексов, которые применяются при анализе: агрегатные, арифметические, гармонические и т.д.

Использовав индексные пересчеты и построив временной ряд, характеризующий, например, выпуск промышленной продукции в стоимостном выражении, можно квалифицированно проанализировать явления динамики.

Метод корреляционного и регрессионного (стохастического) анализа широко используется для определения тесноты связи между показателями не находящимися в функциональной зависимости, т.е. связь проявляется не в каждом отдельном случае, а в определенной зависимости.

С помощью корреляции решаются две главные задачи:

· составляется модель действующих факторов (уравнение регрессии);

· дается количественная оценка тесноты связей (коэффициент корреляции).

Матричные модели представляют собой схематическое отражение экономического явления или процесса с помощью научной абстракции. Наибольшее распространение здесь получил метод анализа «затраты-выпуск», строящийся по шахматной схеме и позволяющий в наиболее компактной форме представить взаимосвязь затрат и результатов производства.

Математическое программирование - это основное средство решения задач по оптимизации производственно-хозяйственной деятельности.

Метод исследования операций направлен на изучение экономических систем, в том числе производственно-хозяйственной деятельности предприятий, с целью определения такого сочетания структурных взаимосвязанных элементов систем, которое в наибольшей степени позволит определить наилучший экономический показатель из ряда возможных.

Теория игр как раздел исследования операций - это теория математических моделей принятия оптимальных решений в условиях неопределенности или конфликта нескольких сторон, имеющих различные интересы.

.4 Методика факторного анализа

Все явления и процессы хозяйственной деятельности предприятий находятся во взаимосвязи и взаимообусловленности. Одни из них непосредственно связаны между собой, другие косвенно. Отсюда важным методологическим вопросом в экономическом анализе является изучение и измерение влияния факторов на величину исследуемых экономических показателей.

Под экономическим факторным анализом понимается постепенный переход от исходной факторной системы к конечной факторной системе, раскрытие полного набора прямых, количественно измеримых факторов, оказывающих влияние на изменение результативного показателя.

По характеру взаимосвязи между показателями различают методы детерминированного и стохастического факторного анализа.

Детерминированный факторный анализ представляет собой методику исследования влияния факторов, связь которых с результативным показателем носит функциональный характер.

Основные свойства детерминированного подхода к анализу:

· построение детерминированной модели путем логического анализа;

· наличие полной (жесткой) связи между показателями;

· невозможность разделения результатов влияния одновременно действующих факторов, которые не поддаются объединению в одной модели;

· изучение взаимосвязей в краткосрочном периоде.

Различают четыре типа детерминированных моделей:

Аддитивные модели представляют собой алгебраическую сумму показателей и имеют вид


К таким моделям, например, относятся показатели себестоимости во взаимосвязи с элементами затрат на производство и со статьями затрат; показатель объема производства продукции в его взаимосвязи с объемом выпуска отдельных изделий или объема выпуска в отдельных подразделениях.

Мультипликативные модели в обобщенном виде могут быть представлены формулой


Примером мультипликативной модели является двухфакторная модель объема реализации


где Ч - среднесписочная численность работников;- средняя выработка на одного работника.

Кратные модели:

Примером кратной модели служит показатель срока оборачиваемости товаров (в днях). ТОБ.Т:


где ЗТ - средний запас товаров;

ОР - однодневный объем реализации.

Смешанные модели представляют собой комбинацию перечисленных выше моделей и могут быть описаны с помощью специальных выражений:


Примерами таких моделей служат показатели затрат на 1 руб. товарной продукции, показатели рентабельности и др.

Для изучения зависимости между показателями и количественного измерения множества факторов, повлиявших на результативный показатель, приведем общие правила преобразования моделей с целью включения новых факторных показателей.

Для детализации обобщающего факторного показателя на его составляющие, которые представляют интерес для аналитических расчетов, используют прием удлинения факторной системы.

Если исходная факторная модель

, то модель примет вид

Для построения новых факторных показателей применяют прием сокращения факторных моделей. При использовании данного приема числитель и знаменатель делят на одно и то же число.


Детализация факторного анализа во многом определяется числом факторов, влияние которых можно количественные оценить, поэтому большое значение в анализе имеют многофакторные мультипликативные модели. В основе их построения лежат следующие принципы:

· место каждого фактора в модели должно соответствовать его роли в формировании результативного показателя;

· модель должна строиться из двухфакторной полной модели путем последовательного расчленения факторов, как правило качественных, на составляющие;

· при написании формулы многофакторной модели факторы должны располагаться слева направо в порядке их замены.

Построение факторной модели - первый этап детерминированного анализа. Далее определяют способ оценки влияния факторов.

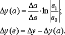
Способ цепных подстановок заключается в определении ряда промежуточных значений обобщающего показателя путем последовательной замены базисных значений факторов на отчетные. Данный способ основан на элиминировании. Элиминировать - значит устранить, исключить воздействие всех факторов на величину результативного показателя, кроме одного. При этом исходя из того, что все факторы изменяются независимо друг от друга, т.е. сначала изменяется один фактор, а все остальные остаются без изменения. потом изменяются два при неизменности остальных и т.д.

В общем виде применение способа цепных постановок можно описать следующим образом:


где a0, b0, c0 - базисные значения факторов, оказывающих влияние на обобщающий показатель у;, b1, c1 - фактические значения факторов;, yb, - промежуточные изменения результирующего показателя, связанного с изменением факторов а, b, соответственно.

Общее изменение Dу=у1-у0 складывается из суммы изменений результирующего показателя за счет изменения каждого фактора при фиксированных значениях остальных факторов:


Преимущества данного способа: универсальность применения, простота расчетов.

Недостаток метода состоит в том, что, в зависимости от выбранного порядка замены факторов, результаты факторного разложения имеют разные значения. Это связано с тем, что в результате применения этого метода образуется некий неразложимый остаток, который прибавляется к величине влияния последнего фактора. На практике точностью оценки факторов пренебрегают, выдвигая на первый план относительную значимость влияния того или иного фактора. Однако существуют определенные правила, определяющие последовательность подстановки:

· при наличии в факторной модели количественных и качественных показателей в первую очередь рассматривается изменение количественных факторов;

· если модель представлена несколькими количественными и качественными показателями, последовательность подстановки определяется путем логического анализа.

Под количественным факторами при анализе понимают те, которые выражают количественную определенность явлений и могут быть получены путем непосредственного учета (количество рабочих, станков, сырья и т.д.).

Качественные факторы определяют внутренние качества, признаки и особенности изучаемых явлений (производительность труда, качество продукции, средняя продолжительность рабочего дня и т.д.).

Способ абсолютных разниц является модификацией способа цепной подстановки. Изменение результативного показателя за счет каждого фактора способом разниц определяется как произведение отклонения изучаемого фактора на базисное или отчетное значение другого фактора в зависимости от выбранной последовательности подстановки:


Способ относительных разниц применяется для измерения влияния факторов на прирост результативного показателя в мультипликативных и смешанных моделях вида у = (а - в). с. Он используется в случаях, когда исходные данные содержат определенные ранее относительные отклонения факторных показателей в процентах.

Для мультипликативных моделей типа у = а. в. с методика анализа следующая:

· находят относительное отклонение каждого факторного показателя:


· определяют отклонение результативного показателя у за счет каждого фактора


Интегральный метод позволяет избежать недостатков, присущих методу цепной подстановки, и не требует применения приемов по распределению неразложимого остатка по факторам, т.к. в нем действует логарифмический закон перераспределения факторных нагрузок. Интегральный метод позволяет достигнуть полного разложения результативного показателя по факторам и носит универсальный характер, т.е. применим к мультипликативным, кратным и смешанным моделям. Операция вычисления определенного интеграла решается с помощью ПЭВМ и сводится к построению подынтегральных выражений, которые зависят от вида функции или модели факторной системы.

Можно использовать также уже сформированные рабочие формулы, приводимые в специальной литературе:

.        Модель вида


.        Модель вида


. Модель вида


. Модель вида

Далее представлена возможность использования основных методов детерминированного анализа, обобщив вышеизложенное в виде матрицы (табл. 1).

Табл.1. Матрица применения способов детерминированного факторного анализа

Способы

Модели


Мультипликативные

Аддитивные

Кратные

Смешанные

Цепной подстановки

+

+

+

+

Абсолютных разниц

+

-

+

-

Относительных разниц

+

-

-

Интегральный

+

-

+


Глава 2. Анализ себестоимости продукции

.1 Классификация затрат на производство

Анализ себестоимости продукции, работ и услуг имеет исключительно важное значение. Он позволяет выявить тенденции изменения данного показателя, выполнения плана по его уровню, определить влияние факторов на его прирост и на этой основе дать оценку работы предприятия по использованию возможностей и установить резервы снижения себестоимости продукции.

В основе анализа производственных затрат лежит их классификация по тому или иному признаку или нескольким признакам одновременно. Напомним классификацию затрат на производство по различным основаниям (См. табл.2).

Табл.2. Классификация затрат на производство

Признаки классификации

Подразделение затрат

По экономическим элементам По статьям себестоимости По отношению к технологическому процессу По составу По способу отнесения на себестоимость продукта По роли в процессе производства По целесообразности расходования По возможности охвата планом По отношению к объёму производства По периодичности возникновения По отношению к готовому продукту

экономические элементы затрат статьи калькуляции себестоимости основные, накладные одноэлементные, комплексные прямые, косвенные производственные, внепроизводственные производительные, непроизводительные планируемые, непланируемые переменные, постоянные текущие, единовременные затраты на незавершённое производство, затраты на готовый продукт


Наиболее важным признаком для цепей анализа является деление затрат по элементам затрат, по статьям затрат, по способу отнесения на себестоимость продукции.

На основе элементов затрат составляются сметы затрат. Деление затрат по статьям себестоимости позволяет рассчитать затраты на единицу продукции или партию, составить калькуляцию.

Затраты, сгруппированные по статьям себестоимости, отличаются от затрат по её элементам тем, что они отражают затраты, которые связаны с производством и реализацией товарной продукции за данный отчётный период. Затраты же по элементам показывают все произведённые предприятием расходы ресурсов за отчётный период, включая расходы на рост остатков незавершённого производства, затраты, отнесённые за счёт будущих периодов и т. п.

Для предприятия, работающего в условиях рыночной экономики, часто имеют место экономические ситуации, связанные с колебаниями загрузки производственных мощностей, что влечёт за собой изменение производства и продаж, а это в свою очередь, существенно влияет на себестоимость продукции, а следовательно, на финансовые результаты. С этим связанно деление затрат на постоянные и переменные.

Этому делению уделяется большое внимание в западной системе учёта, которая носит название “директ-костинг”.

Основные положения данной теории:

. Поведение затрат в зависимости от изменения объёма производства.

. Относительность (условность) классификации затрат на постоянные и переменные.

. Методы деления затрат на постоянные и переменные.

К постоянным затратам принято относить такие затраты, величина которых не меняется с изменением степени загрузки производственных мощностей или объёма производства (амортизация, арендная плата, определённые виды заработной платы руководителей организаций и пр.)

Под переменными понимают затраты, величина которых изменяется с изменением степени загрузки производственных мощностей или объёмов производства (затраты на сырьё, основные материалы, заработная плата основных производственных рабочих, затраты на техническую энергию и др.).

В зависимости от этой классификации общие суммарные затраты на производство продукции (З) можно представить в виде следующей формулы:


де A - сумма постоянных расходов;- ставка переменных расходов на единицу продукции;П - объём производства продукции.

Тогда затраты на единицу продукции (Зед) следует записать в виде


Графически это можно представить следующим образом (рис. 1, 2):

Рис.1. Зависимость общей суммы затрат от объёма производства

Рис.2. Зависимость себестоимости единицы продукции от объёма её производства

На графиках хорошо видно, что переменные расходы в себестоимости всего выпуска растут пропорционально изменению объёма производства, а в себестоимости единицы продукции они составляют постоянную величину. Величина постоянных расходов, наоборот, не изменяется с увеличением объёма производства в общей сумме затрат, а в расчёте на единицу продукции затраты уменьшаются пропорционально его росту.

Все вышеизложенные положения используем при проведении анализа себестоимости.

Анализ себестоимости проводят по следующим направлениям:

. Анализ динамики и структуры обобщающих показателей себестоимости и факторов её изменения.

. Анализ затрат на 1 руб. товарной продукции.

. Анализ себестоимости важнейших изделий.

. Анализ прямых материальных и трудовых затрат.

. Анализ косвенных затрат.

.2 Анализ динамики обобщающих показателей и факторов

Анализ себестоимости начинают с анализа динамики себестоимости всей товарной продукции. При этом сравнивают фактические затраты с плановыми или с затратами базисного периода. В процессе анализа выявляют, по каким статьям затрат произошёл наибольший перерасход и как это изменение повлияло на изменение общей суммы переменных и постоянных расходов.

Общая сумма затрат может измениться из-за объёма выпуска продукции, её структуры, уровня переменных затрат на единицу продукции и суммы постоянных расходов. Порядок проведения факторного анализа представлен в табл.3.

Изучение структуры затрат на производство и её изменений за отчётный период по отдельным элементам затрат, а также анализ статей расходов фактически выпущенной продукции составляют следующий этап анализа себестоимости.

Табл. 3. Исходные данные для факторного анализа общей суммы издержек на производство и реализацию продукции

Затраты

Факторы изменения затрат


объём выпуска продукции

структура продукции

переменные затраты

постоянные затраты

По плану на плановый выпуск продукции:

План

План

План

План

По плану, пересчитанному на фактический объём производства продукции:

Факт

План

План

План

По плановому уровню на фактический выпуск продукции:

Факт

Факт

План

План

Фактические при плановом уровне постоянных затрат:

Факт

Факт

Факт

План

Фактические:

Факт

Факт

Факт

Факт


Анализ структуры себестоимости по статьям и элементам расходов проводится в аналитической таблице табл. 4.

Табл. 4. Состав затрат на производство

Элементы затрат

За предшествующий год

По плану на отчётный год

Фактически за отчётный год

Изменение фактических удельных весов по сравнению


сумма, тыс. руб.

уд. вес, %

сумма, тыс. руб.

уд. вес, %

сумма, тыс. руб.

уд. вес, %

с предшествующим годом

с планом, %








(гр.7 - гр.3)

(гр.7 - гр.5)

Анализ структуры себестоимости проводится сопоставлением удельных весов отдельных элементов с планом и в динамике.

При помощи показателей структуры рассматривается влияние каждой статьи на сумму абсолютной и относительной экономии или перерасхода затрат. Анализ структуры затрат позволяет оценить материалоёмкость, трудоёмкость, энергоёмкость продукции, выяснить характер их изменений и влияние на себестоимость продукции. Для оценки влияния каждой статьи затрат на себестоимость 1 руб. товарной продукции рассчитывается уровень затрат по каждой статье и элементу расходов, изучаются причины отклонений. Анализ проводится в аналитической табл. 5.

Табл. 5. Затраты на производство продукции по статьям

Статьи затрат

Базисный период

Отчётный период

Отклонения уровня затрат


Сумма

Уровень затрат

План

Факт

от плана (гр.6 - гр.4)

от показателя базисного периода (гр.6 - гр.2)




Сумма

Уровень затрат

Сумма

Уровень затрат



1

2

3

4

5

6

7

8

9


Уровень затрат определяется делением расходов по каждой статье на объём товарной продукции.

Анализ динамики и выполнения плана по структуре и уровню затрат позволяет своевременно реагировать на отклонения от плановых, нормативных показателей себестоимости, принимать конкретные управленческие решения по их устранению или согласованию.

2.3 Анализ затрат на рубль товарной продукции

Наиболее обобщающим показателем себестоимости продукции, выражающим её прямую связь с прибылью, является уровень затрат на 1 рубль товарной продукции:


Непосредственное влияние на изменение уровня затрат на 1 руб. товарной продукции оказывают факторы, которые находятся с ним в прямой функциональной связи: изменение объёма выпущенной продукции, её структуры, изменение уровня цен на продукцию, изменение уровня удельных переменных затрат, изменение суммы постоянных затрат. Схема факторной системы затрат на 1 руб. товарной продукции представлена на рис. 3.

Рис. 3. Взаимосвязь факторов, определяющих уровень затрат на рубль товарной продукции

Влияние факторов первого уровня на изменение затрат на 1 руб. товарной продукции рассчитывается способом цепных подстановок по данным табл. 2 и по данным о выпуске товарной продукции:

Товарная продукция:

а) по плану:


б) фактически при плановой структуре и плановых ценах:


в) фактически по ценам плана:

 

г) фактически:


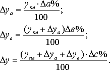
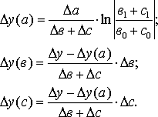
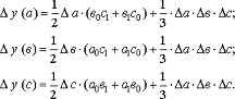
Если затраты на 1 руб. товарной продукции (У3) представить в виде


то анализ проводится методом цепных подстановок и его алгоритм аналогичен алгоритму проведения факторного анализа материалоёмкости.

Чтобы установить, как эти факторы повлияли на изменение суммы прибыли, необходимо абсолютные приросты затрат на 1 руб. товарной продукции за счёт каждого фактора умножить на фактический объём реализации продукции, выраженный в плановых ценах (табл. 6).

Табл. 6. Порядок расчёта влияния факторов на изменение суммы прибыли

Фактор

Формула расчёта влияния фактора

Объём выпуска товарной продукции Структура товарной продукции Уровень переменных затрат на единицу продукции Изменение суммы постоянных затрат Изменение уровня отпускных цен

    

Итого


В процессе анализа проводят также сравнение затрат на 1 руб. товарной продукции в динамике и, если есть возможность, сравнение со среднеотраслевым показателем.

.4 Анализ себестоимости важнейших изделий

Для более глубокого изучения причин изменения себестоимости анализируют отчётные калькуляции по отдельным изделиям, сравнивают фактический уровень затрат на единицу продукции с плановым и данными прошлых лет в целом и по статьям затрат.

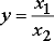
Анализ проводят методом цепных подстановок на основе формулы себестоимости единицы продукции:


Общее изменение себестоимости единицы продукции:

,

а) объёма производства продукции


б) суммы постоянных затрат


в) суммы удельных переменных затрат


Затем более детально изучают себестоимость товарной продукции по каждой статье затрат, для чего фактические данные сравнивают с плановыми и данными за прошлые периоды.

.5 Анализ прямых материальных и трудовых затрат

Как правило, наибольший удельный вес в себестоимости промышленной продукции занимают затраты на сырьё и материалы. Система факторов, оказывающих влияние на прямые материальные затраты, приведена на рис. 4.

Рис. 4. Блок-схема факторной системы материальных затрат


Расчёт влияния факторов производится способом цепных подстановок. Для этого необходимо произвести пересчёт затрат на производство продукции:

а) по плану:


б) по плану, пересчитанному на фактический объём производства продукции:


в) по плановым нормам и плановым ценам на фактический выпуск продукции:


г) фактически по плановым ценам:


д) фактически:


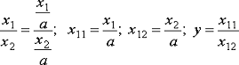
Сумма материальных затрат на выпуск отдельных изделий зависит от тех же факторов, кроме структуры производства продукции:


где УРi - удельный расход i-го материала;

ЦМi - средняя цена i-го материала.

Расход материалов на единицу продукции зависит от качества сырья и материалов, замены одного вида материала другим, изменения рецептуры сырья, техники, технологии и организации производства, квалификации работников, отходов сырья и др. Прирост суммы материальных затрат на производство i-го вида продукции за счёт изменения удельного расхода материалов рассчитывают по формуле:


Уровень средней цены материалов зависит от рынков сырья, отпускной цены поставщика, внутригрупповой структуры материальных ресурсов, уровня транспортно-заготовительных расходов, качества сырья и т.д. Чтобы узнать, как за счёт каждого из факторов изменилась общая сумма материальных затрат, воспользуемся формулой


где  - изменение средней цены i-го вида или группы материалов за счёт фактора.

В результате замены одного материала другим изменяется не только количество потреблённых материалов на единицу продукции, но и их стоимость:


где  - изменение нормы расхода в связи с заменой материала;

  - расход материала после замены;

- цена заменяемого материала;

 - изменение цены в связи с заменой материала.

Расчёты проводятся по каждому виду продукции на основе плановых и отчётных калькуляций с последующим обобщением полученных результатов в целом по предприятию.

В ходе дальнейшего анализа переходят к изучению затрат по статье “Заработная плата”, т.е. прямых трудовых затрат. Факторы, определяющие сумму прямой зарплаты, представлены на рис. 5.

Рис. 5. Схема факторной системы зарплаты на производство продукции


Для расчёта влияния этих факторов необходимо иметь следующие исходные данные.

Сумма прямой зарплаты на производство продукции, млн. руб.:

по плану:


по плану, пересчитанному на фактический выпуск продукции при плановой её структуре:


по плановому уровню затрат на фактический выпуск продукции:


фактически при плановом уровне оплаты труда:

фактически:

На основе данных анализ можно провести способом цепных подстановок либо интегральным методом.

Зарплата на выпуск отдельных изделий зависит от тех же факторов. Фактор структуры производства продукции не оказывает влияния на данный показатель:


.6 Анализ косвенных затрат

Косвенные затраты в себестоимости продукции представлены следующими комплексными статьями: расходы на содержание и эксплуатацию оборудования, общепроизводственные и общехозяйственные расходы, коммерческие расходы. Анализ этих расходов производится путём сравнения фактической их величины на 1 руб. товарной продукции в динамике за 5-10 лет, а так же с плановым уровнем отчётного периода. Такое сопоставление показывает, как изменилась их доля в стоимости товарной продукции в динамике и по сравнению с планом, и какая наблюдается тенденция - роста или снижения. В процессе последующего анализа выясняют причины, вызвавшие абсолютное и относительное изменение затрат. По своему составу это комплексные статьи, состоящие из нескольких элементов.

Расходы по содержанию и эксплуатации машин и оборудования (РСЭО) включают амортизацию машин и оборудования, затраты на их содержание, затраты по эксплуатации, расходы по внутризаводскому перемещению грузов, износ МБП и др. Некоторые виды затрат (например, амортизация) не зависят от объёма производства продукции и являются условно-постоянными. Другие полностью или частично зависят от его изменения и являются условно-переменными. Степень их зависимости от объёма производства продукции устанавливается с помощью коэффициентов, величина которых определяется опытным путём, или с помощью корреляционного анализа по большой совокупности данных от объёма выпуска продукции и суммы этих затрат.

Для проведения анализа РСЭО целесообразно построить табл.7.

Табл. 7. Затраты на РСЭО

Затраты

Коэффициент зависимости затрат от объёма выпуска

Сумма затрат, т. руб

Затраты по плану, пересчитанному на факт. объём продукции

Отклонение от плана



план

факт


Общее

В том числе за счёт







Объёма выпуска

Уровня затрат

Амортизация








Ремонт








Эксплуатационные расходы








Износ МБП








Итого









Для пересчёта плановых затрат на фактический выпуск продукции можно использовать формулу:


где Зск - затраты скорректированные на фактический выпуск продукции;

Зпл - плановая сумма затрат по статье;

 - перевыполнение (недовыполнение) плана по выпуску товарной продукции %;з - коэффициент зависимости затрат от объёма производства продукции.

В ходе дальнейшего анализа выясняют причины относительного перерасхода или экономии средств по каждой статье затрат.

Анализ цеховых и общехозяйственных расходов имеет большое значение, т.к. они занимают большой удельный вес в себестоимости продукции. Эти расходы так же разделяют на условно-постоянные и условно-переменные, а последние корректируют на процент выполнения плана по производству товарной продукции. Фактические данные сравнивают с плановой величиной накладных расходов.

Для анализа цеховых и общезаводских расходов по статьям затрат используют данные аналитического бухгалтерского учёта. По каждой статье выявляют абсолютное и относительное отклонение от плана и их причины. (табл. 8).

Табл. 8. Факторы изменения общепроизводственных и общехозяйственных расходов

Статья расходов

Фактор изменения затрат

Формула расчёта

Заработная плата работников аппарата управления

Численность персонала (Ч), Средняя заработная плата одного работника (ОТ)

Содержание основных фондов: - амортизация - расходы на освещение, отопление, водоснабжение и пр.

Первоначальная стоимость основных фондов (ОС), норма амортизации (Na) Норма потребления ресурса (H) тариф на услугу (Ц1)

 

Затраты на текущий ремонт, испытания

Объём работ (V); средняя стоимость единицы работы (Ц2)

Содержание легкового транспорта

Количество машин (К) Средние затраты на содержание одной машины (З)

Расходы по командировкам

Количество командировок (К1) средняя продолжительность (Д), средняя стоимость одного дня командировки (Ц3)

Оплата простоев

Количество человеко-дней простоя (К) уровень оплаты за один день простоя (ОТ1)

Налоги и сборы, относимые на себестоимость.

Налогооблагаемая база (Б), процентная ставка налога (С)

Расходы на охрану труда

Налогооблагаемая база (Б), процентная ставка налога (С)

При проверке выполнения сметы нельзя всю полученную экономию отнести на счёт предприятия, так же как и все допущенные перерасходы оценивать отрицательно. Оценка отклонений фактических расходов от сметы зависит от того, какие причины вызвали экономию или перерасход по каждой статье затрат. В ряде случаев экономия связана с невыполнением намеченных мероприятий по улучшению условий труда, технике безопасности, изобретательству, подготовке и переподготовке кадров и т. д. Невыполнение этих мероприятий наносит предприятию иногда больший ущерб, чем сумма полученной экономии. В процессе анализа должны быть выявлены непроизводительные затраты, потери от бесхозяйственности, которые можно рассматривать как неиспользованные резервы снижения себестоимости продукции.

Непроизводительными затратами следует считать потери от порчи и недостачи сырья (материалов) и готовой продукции, оплату простоев по вине предприятия, доплаты за это время и в связи с использованием рабочих на работах, требующих менее квалифицированного труда, стоимость потреблённой энергии и топлива за время простоя предприятия и др.

Анализ общепроизводственных расходов в себестоимости единицы изделия производится с учётом результатов, полученных при анализе их в целом по предприятию. Эти расходы распределяются между отдельными видами изготовленной продукции пропорционально прямым затратам за исключением покупных материалов или заработной платы основных производственных рабочих.

Сумма этих расходов, приходящихся на единицу продукции (УК), зависит от изменения:

а) общей суммы цеховых и общезаводских расходов (Зц);

б) суммы прямых затрат, которые являются базой распределения косвенных (УДi)

в) объёма производства продукции (VBП)


Коммерческие расходы включают затраты по отгрузке продукции покупателям, расходы на тару и упаковочные материалы, рекламу, изучение рынков сбыта.

Расходы по доставке товаров зависят от расстояния перевозки, веса перевезённого груза, транспортных тарифов за перевозку грузов, вида транспортных средств.

Расходы по погрузке и выгрузке могут изменяться в связи с изменением веса отгруженной продукции и расценок за погрузку и выгрузку одной тонны продукции.

Расходы на тару и упаковочные материалы зависят от их количества и стоимости. Количество, в свою очередь, связано с объёмом отгруженной продукции и нормой расхода упаковочных материалов на единицу продукции.

Экономия на упаковочных материалах не всегда желательна, так как красивая, эстетичная, привлекательная упаковка - один из факторов повышения спроса на продукцию и увеличение затрат по этой статье окупается увеличением объёма продаж. То же можно сказать и о затратах на рекламу, изучение рынков сбыта и другие маркетинговые расходы.

В заключение анализа косвенных затрат подсчитываются резервы возможного их сокращения и разрабатываются конкретные рекомендации по их освоению.

3. Практическая часть

Получение наибольшего эффекта с наименьшими затратами, экономия трудовых, материальных и финансовых ресурсов зависят от того, как решает предприятие вопросы снижения себестоимости продукции.

Непосредственной задачей анализа являются: проверка обоснованности плана по себестоимости, прогрессивности норм затрат; оценка выполнения плана и изучение причин отклонений от него, динамических изменений; выявление резервов снижения себестоимости; изыскание путей их мобилизации.

Выявление резервов снижения себестоимости должно опираться на комплексный технико-экономический анализ работы предприятия: изучение технического и организационного уровня производства, использование производственных мощностей и основных фондов, сырья и материалов, рабочей силы, хозяйственных связей.

Затраты живого и овеществленного труда в процессе производства составляют издержки производства. В условиях товарно-денежных отношений и хозяйственной обособленности предприятия неизбежно сохраняются различия между общественными издержками производства и издержками предприятия. Общественные издержки производства - это совокупность живого и овеществленного труда, находящая выражение в стоимости продукции. Издержки предприятия состоят из всей суммы расходов предприятия на производство продукции и ее реализацию. Эти издержки, выраженные в денежной форме, называются себестоимостью и являются частью стоимости продукта. В нее включают стоимость сырья, материалов, топлива, электроэнергии и других предметов труда, амортизационные отчисления, заработная плата производственного персонала и прочие денежные расходы. Снижение себестоимости продукции означает экономию овеществленного и живого труда и является важнейшим фактором повышения эффективности производства, роста накоплений.

Наибольшая доля в затратах на производство промышленной продукции приходится на сырье и основные материалы, а затем на заработную плату и амортизационные отчисления. В легкой промышленности доля сырья и основных материалов составляет 86%, а заработной платы с отчислениями на социальное страхование - около 9%.

Себестоимость продукции находится во взаимосвязи с показателями эффективности производства. Она отражает большую часть стоимости продукции и зависит от изменения условий производства и реализации продукции. Существенное влияние на уровень затрат оказывают технико-экономические факторы производства. Это влияние проявляется в зависимости от изменений в технике, технологии, организации производства, в структуре и качестве продукции и от величины затрат на ее производство. Анализ затрат, как правило, проводится систематически в течение года в целях выявления внутрипроизводственных резервов их снижения.

Для анализа уровня и динамики изменения стоимости продукции используется ряд показателей. К ним относятся: смета затрат на производство, себестоимость товарной и реализуемой продукции, снижение себестоимости сравнимой товарной продукции и затраты на один рубль товарной (реализованной) продукции.

Смета затрат на производство - наиболее общий показатель, который отражает всю сумму расходов предприятия по его производственной деятельности в разрезе экономических элементов. В ней отражены, во-первых, все расходы основного и вспомогательного производства, связанные с выпуском товарной и валовой продукции; во-вторых, затраты на работы и услуги непромышленного характера (строительно-монтажные, транспортные, научно-исследовательские и проектные и др.); в-третьих, затраты на освоение производства новых изделий независимо от источника их возмещений. Эти расходы исчисляют, как правило, без учета внутризаводского оборота.

В себестоимость товарной продукции включают все затраты предприятия на производство и сбыт товарной продукции в разрезе калькуляционных статей расходов. Себестоимость реализуемой продукции равна себестоимости товарной за вычетом повышенных затрат первого года массового производства новых изделий, возмещаемых за счет фонда освоения новой техники, плюс производственная себестоимость продукции, реализованной из остатков прошлого года. Затраты, возмещаемые за счет фонда освоения новой техники, включаются в себестоимость товарной, но не входят в себестоимость реализуемой продукции. Они определяются как разница между плановой себестоимостью первого года массового производства изделий и себестоимостью, принятой при утверждении цен:

СР = СТ - ЗН + (СП2 - СП1),

где СР - себестоимость реализованной продукции

СТ - себестоимость товарной продукции

ЗН - повышенные затраты первого года массового производства новых изделий, возмещаемые за счет фонда освоения новой техники

СП1, СП2 - производственная себестоимость остатков нереализованной (на складах и отгруженной) продукции соответственно на начало и конец года.

Для анализа уровня себестоимости на различных предприятиях или ее динамики за разные периоды времени затраты на производство должны приводиться к одному объему. Себестоимость единицы продукции (калькуляция) показывает затраты предприятия на производство и реализацию конкретного вида продукции в расчете на одну натуральную единицу. Калькуляция себестоимости широко используется в ценообразовании, хозяйственном расчете, планировании и сравнительном анализе.

Показатель снижения себестоимости сравнимой товарной продукции применяется для анализа изменения себестоимости во времени при сопоставимом объеме и структуре товарной продукции на тех предприятиях, которые имеют устойчивый по времени ассортимент изделий. Под сравнимой понимают такую продукцию, которая производилась серийно или массово в предшествующем году. К ней относится и частично модернизированная продукция, если эти изменения не привели к введению новых моделей, стандартов и технических условий.

Затраты на один рубль товарной (реализованной) продукции - наиболее известный на практике обобщающий показатель, который отражает себестоимость единицы продукции в стоимостном выражении обезличенно, без разграничения ее по конкретным видам. Он широко используется при анализе снижения себестоимости и позволяет, в частности, характеризовать уровень и динамику затрат на производство продукции в целом по промышленности.

В процессе внутрифирменного анализа рассматриваются следующие проблемы:

. Ведение раздельного учета затрат по отдельным видам продукции. Лучше всего это делать, выделяя для каждого изделия на счете 20 свой субсчет. В настоящее время многие предприятия ведут “котловой” учет затрат, не позволяющий контролировать себестоимость отдельных видов продукции;

. Политика списания затрат в дебет счета 40. Здесь у предприятия существуют значительные возможности управлять уровнем текущей ликвидности путем регулирования остатков незавершенного производства и себестоимости товарной, а, следовательно, и реализованной продукции.

. Сравнение плановой и фактической калькуляции и выявление причин расхождения;

. Структура затрат. Следует рассмотреть состав затрат. Дифференцировать затраты по степени управляемости. К расходам, которыми предприятие может управлять относится заработная плата (а следовательно и начисления на нее). Чем выше удельный вес заработной платы в себестоимости продукции, тем большая часть затрат поддается управлению. Практически невозможно управлять материалами, коммунальными затратами, которые зависят от уровня тарифов, устанавливаемых поставщиками, на которые предприятие не может воздействовать.

Необходимо исследовать динамику отдельных видов затрат. В частности, динамику фонда заработной платы (ФЗП) следует сопоставить с динамикой производительности труда или объемов выпуска продукции. Опережающий рост ФЗП является негативным признаком.

Необходимо исследовать рациональность уровня оплаты труда. Часто встречается ситуация, когда номинальный (начисляемый) ФЗП выше реальных выплат работникам. Это случается в той ситуации, когда администрация под давлением трудового коллектива вынуждена повышать заработную плату, а уровень реализации продукции не позволяет обеспечить эти выплаты денежными средствами. С повышением номинальной оплаты труда положение предприятия еще более ухудшается. Номинальная (начисленная) зарплата включается в затраты на производство. Увеличивается себестоимость, а значит и цена продукции, платежеспособный спрос на нее сокращается. Поступление денежных средств предприятию также сокращается. Реальная (выплачиваемая) зарплата не увеличивается, а часто, наоборот сокращается. Растет кредиторская задолженность перед персоналом. Ухудшаются показатели рентабельности и ликвидности. Процесс может закончиться банкротством предприятия.

. Метод списания накладных (косвенных) расходов на себестоимость продукции. Возможны различные варианты, например, списание их на счет основного производства или счет реализации продукции.

При списании накладных расходов на счет основного производства рассматривается проблема их распределения между отдельными видами продукции. Изменяя метод распределения можно управлять себестоимостью отдельных видов продукции, а следовательно и уровнем их конкурентоспособности, от которого в значительной степени зависит финансовое состояние предприятия.

Затраты на рубль товарной продукции определяются по выражению:


где СТП - себестоимость товарной продукции;

ТП - товарная продукция в отпускных ценах, руб.

Исследование этого показателя производится при анализе эффективности отдельных видов продукции. Другим показателем, характеризующим эту эффективность, является рентабельность продукции. Оценка затрат на рубль продукции может производиться как по товарной, так и по реализованной продукции. Внешний анализ (по официальной отчетности) позволяет определить только затраты на один рубль реализованной продукции.

Данные о реализации продукции предприятия в течение 9 месяцев отчетного года приведены в “Отчете о прибылях и убытках”. Необходимо выполнить факторный анализ затрат на 1 рубль реализованной продукции.

Таблица 1


Показатель

Отчетный период




I квартал

I полугодие

9 месяцев

1

Выручка от реализации (без НДС)

126

240

400

2

Себестоимость реализации

100

220

330

3

Коммерческие расходы

10

18

30

4

Управленческие расходы

6

14

24

5

НДС полученный (из данных бух. учета)

25

48

78

6

Выручка с НДС (1+5)

151

288

478

7

Полная себестоимость (2+3+4)

116

252

384

8

Затраты на 1 р. реализованной продукции по форме 2 (7/1)

0,92

1,2

0,96

9

Затраты на 1 р. реализованной продукции с НДС (7/6)

0,77

0,89

0,8


) Оценим уровень затрат на рубль реализованной продукции.

а) за первый квартал он ниже граничного значения

без учета НДС З = 0,92<1 руб/руб,

с учетом НДС З = 0,77<0,833 руб/руб

Следовательно, производство продукции в этом периоде было эффективным.

б) за I полугодие

Без учета НДС З= 1,20>1 руб/руб

С учетом НДС З= 0,89>0,833 руб/руб

Следовательно производство продукции в этом периоде было не эффективным.

в) за 9 месяцев без учета НДС З= 0,96<1 руб/руб,

с учетом НДС З= 0,80<0,833 руб/руб.

Положение дел выправилось.

Оценим причины динамики этого показателя.

Отчетные данные в форме 2 представлены нарастающим итогом с начала года.

Таблица 2


Показатель

Отчетный период



1 квартал

2 квартал

3 квартал

1

Выручка от реализации с НДС

151

288-151=137

478-288=190

2

Полная себестоимость

116

252-116=136

384-252=132

3

Затраты на 1 р. реализованной продукции

0,77

0,99

0,69


Анализ же необходимо делать сопоставляя квартальные значения показателя. Это объясняется следующим. Рассмотрим динамику показателя за первое полугодие. В первом квартале он имел удовлетворительное значение. Однако за полугодие его значение ухудшилось. Следовательно, это ухудшение произошло во втором квартале. Именно в этом квартале следует искать причину ухудшения финансового состояния предприятия. Таким образом, необходимо рассчитать значение этого показателя за второй квартал и сравнить с уровнем первого квартала. То же относится и к показателю за 9 месяцев. Очевидно выправление его уровня произошло в третьем квартале. Следовательно, нужно определить затраты на рубль реализованной продукции за третий квартал и сравнить их с данными за второй квартал. Для упрощения анализ проведен для выручки, включающей НДС.

ДЗ= (Срп1/РП1 - Срп0/РП1) + (Срп0/РП1 - Српо/РПо)

ДЗ1-2= (136/137 - 116/137) + (116/137 - 116/151)=

= 0,16+ 0,08 = 0,24 руб/руб.

Рост затрат на рубль реализованной продукции во втором квартале на 0,24 руб/руб. обусловлен на 0,08 руб/руб. снижением выручки и на 0,16 руб/руб. ростом себестоимости.

ДЗ2-3=(0,69 - 136/190)+(136/190- 0,99)= -0,03- 0,27= -0,30,3

Снижение затрат на рубль реализованной продукции в 3 квартале на 0,3 руб/руб. обусловлено ростом выручки от реализации (ДЗрп=-0,27 руб/руб.) и снижением себестоимости (ДЗс/с=-0,03). Основной эффект получен от увеличения выручки (90%).

Решающим условием снижения себестоимости служит непрерывный технический прогресс. Внедрение новой техники, комплексная механизация и автоматизация производственных процессов, совершенствование технологии, внедрение прогрессивных видов материалов позволяют значительно снизить себестоимость продукции.

Серьезным резервом снижения себестоимости продукции является расширение специализации и кооперирования. На специализированных предприятиях с массово-поточным производством себестоимость продукции значительно ниже, чем на предприятиях, вырабатывающих эту же продукцию в небольших количествах. Развитие специализации требует установления и наиболее рациональных кооперированных связей между предприятиями.

Снижение себестоимости продукции обеспечивается, прежде всего, за счет повышения производительности труда. С ростом производительности труда сокращаются затраты труда в расчете на единицу продукции, а следовательно, уменьшается и удельный вес заработной платы в структуре себестоимости.

Успех борьбы за снижение себестоимости решает, прежде всего, рост производительности труда рабочих, обеспечивающий в определенных условиях экономию на заработной плате. Рассмотрим, в каких условиях при росте производительности труда на предприятиях снижаются затраты на заработную плату рабочих. Увеличение выработки продукции на одного рабочего может быть достигнуто за счет осуществления организационно-технических мероприятий, благодаря чему изменяются, как правило, нормы выработки и соответственно им расценки за выполняемые работы. Увеличение выработки может произойти и за счет перевыполнения установленных норм выработки без проведения организационно-технических мероприятий. Нормы выработки и расценки в этих условиях, как правило, не изменяются.

В первом случае, когда изменяются нормы выработки и расценки, предприятие получает экономию на заработной плате рабочих. Объясняется это тем, что в связи со снижением расценок доля заработной платы в себестоимости единицы продукции уменьшается. Однако это не приводит к снижению средней заработной платы рабочих, так как приводимые организационно-технические мероприятия дают возможность рабочим с теми же затратами труда выработать больше продукции. Таким образом, проведение организационно-технических мероприятий с соответствующим пересмотром норм выработки позволяет снижать себестоимость продукции за счет уменьшения доли заработной платы в единице продукции одновременно с ростом средней заработной платы рабочих.

Во втором случае, когда установленные нормы выработки и расценки не изменяются, величина затрат на заработную плату рабочих в себестоимости единицы продукции не уменьшается. Но с ростом производительности труда увеличивается объем производства, что приводит к экономии по другим статьям расходов, в частности сокращаются расходы по обслуживанию производства и управлению. Происходит это потому, что в цеховых расходах значительная часть затрат (а в общезаводских почти полностью) - условно-постоянные расходы (амортизация оборудования, содержание зданий, содержание цехового и общезаводского аппарата и другие расходы), не зависящие от степени выполнения плана производства. Это значит, что их общая сумма не изменяется или почти не изменяется в зависимости от выполнения плана производства. Отсюда следует, что, чем больше выпуск продукции, тем меньше доля цеховых и общезаводских расходов в ее себестоимости.

С ростом объема выпуска продукции прибыль предприятия увеличивается не только за счет снижения себестоимости, но и вследствие увеличения количества выпускаемой продукции. Таким образом, чем больше объем производства, тем при прочих равных условиях больше сумма получаемой предприятием прибыли.

Важнейшее значение в борьбе за снижение себестоимости продукции имеет соблюдение строжайшего режима экономии на всех участках производственно-хозяйственной деятельности предприятия. Последовательное осуществление на предприятиях режима экономии проявляется прежде всего в уменьшении затрат материальных ресурсов на единицу продукции, сокращении расходов по обслуживанию производства и управлению, в ликвидации потерь от брака и других непроизводительных расходов.

Материальные затраты, как известно, в большинстве отраслей промышленности занимают большой удельный вес в структуре себестоимости продукции, поэтому даже незначительное сбережение сырья, материалов, топлива и энергии при производстве каждой единицы продукции в целом по предприятию дает крупный эффект.

Предприятие имеет возможность влиять на величину затрат материальных ресурсов, начиная с их заготовки. Сырье и материалы входят в себестоимость по цене их приобретения с учетом расходов на перевозку, поэтому правильный выбор поставщиков материалов влияет на себестоимость продукции. Важно обеспечить поступление материалов от таких поставщиков, которые находятся на небольшом расстоянии от предприятия, а также перевозить грузы наиболее дешевым видом транспорта. При заключении договоров на поставку материальных ресурсов необходимо заказывать такие материалы, которые по своим размерам и качеству точно соответствуют плановой спецификации на материалы, стремиться использовать более дешевые материалы, не снижая в то же время качества продукции.

Основным условием снижения затрат сырья и материалов на производство единицы продукции является улучшение конструкций изделий и совершенствование технологии производства, использование прогрессивных видов материалов, внедрение технически обоснованных норм расходов материальных ценностей.

Сокращение затрат на обслуживание производства и управление также снижает себестоимость продукции. Размер этих затрат на единицу продукции зависит не только от объема выпуска продукции, но и от их абсолютной суммы. Чем меньше сумма цеховых и общезаводских расходов в целом по предприятию, тем при прочих равных условиях ниже себестоимость каждого изделия.

Резервы сокращения цеховых и общезаводских расходов заключаются прежде всего в упрощении и удешевлении аппарата управления, в экономии на управленческих расходах. В состав цеховых и общезаводских расходов в значительной степени включается также заработная плата вспомогательных и подсобных рабочих. Проведение мероприятий по механизации вспомогательных и подсобных работ приводит к сокращению численности рабочих, занятых на этих работах, а следовательно, и к экономии цеховых и общезаводских расходов. Важнейшее значение при этом имеют автоматизация и механизация производственных процессов, сокращение удельного веса затрат ручного труда в производстве. Автоматизация и механизация производственных процессов дают возможность сократить и численность вспомогательных и подсобных рабочих в промышленном производстве.

Сокращению цеховых и общезаводских расходов способствует также экономное расходование вспомогательных материалов, используемых при эксплуатации оборудования и на другие хозяйственные нужды.

Значительные резервы снижения себестоимости заключены в сокращении потерь от брака и других непроизводительных расходов. Изучение причин брака, выявление его виновника дают возможность осуществить мероприятия по ликвидации потерь от брака, сокращению и наиболее рациональному использованию отходов производства.

Снижение себестоимости планируется по двум показателям: по сравнимой товарной продукции; по затратам на 1 руб. товарной продукции, если в общем объеме выпуска удельный вес сравнимой с предыдущим годом продукции невелик. К сравнимой товарной продукции относят все ее виды, производимые на данном предприятии в предыдущем периоде в массовом или серийном порядке.

Заключение

экономический себестоимость трудовой

Себестоимость продукции является качественным показателем, характеризующим производственно-хозяйственную деятельность предприятия. Себестоимость отражает затраты предприятия на производство и сбыт продукции, выраженные в денежном измерении. Кроме этого, в себестоимости как в обобщающем экономическом показателе находят свое отражение все стороны деятельности предприятия: степень технологического оснащения производства и освоения технологических процессов; уровень организации производства и труда, степень использования производственных мощностей; экономичность использования материальных и трудовых ресурсов и другие условия и факторы, характеризующие производственно-хозяйственную деятельность.

Для комплексного анализа себестоимости продукции применяются специальные показатели, которые позволяют рассчитывать и анализировать затраты предприятия на весь объем произведенной товарной продукции, затраты на производство конкретного вида продукции, а также затраты предприятия на получение каждого рубля выручки.

С целью упрощения расчетов и для систематизации данных все затраты предприятия классифицируются. Причем данная классификация является универсальной для всех промышленных предприятий, могут изменяться лишь некоторые статьи в зависимости от специализации предприятия.

Наиболее важным моментом в изучении такого показателя, как себестоимость является рассмотрение факторов, влияющих на показатель и определение основных направлений по снижению себестоимости. От того, как решает предприятие данный вопрос зависит получение наибольшего эффекта с наименьшими затратами, рост накоплений, экономия трудовых, материальных и финансовых ресурсов. Себестоимость отражает большую часть стоимости продукции и зависит от изменения условий производства и реализации продукции. Поэтому существенное влияние на уровень затрат оказывают технико-экономические факторы производства. Это влияние проявляется в зависимости от изменений в технике, технологии, организации производства, в структуре и качестве продукции и от величины затрат на ее производство. Отсюда следует, что выявление резервов снижения себестоимости должно опираться на комплексный технико-экономический анализ работы предприятия: изучение технического и организационного уровня производства, использование производственных мощностей и основных фондов, сырья и материалов, рабочей силы, хозяйственных связей; а также всех составляющих себестоимости. Результаты проведенного анализа должны быть использованы для принятия правильных управленческих решений администрацией организации и обоснованных инвестиционных решений акционерами-собственниками.

По результатам анализа можно определить объемы выпуска продукции, обеспечивающие, наибольшую прибыль при согласованном уровне цен.

Следовательно, предприятиям, заинтересованным в повышении конкурентоспособности продукции, необходимо организовать целенаправленную работу по снижению себестоимости продукции, а именно за счет:

рационального использования материальных затрат (которые занимают в себестоимости около 60 %);

сокращения суммы накладных (общепроизводственных, общехозяйственных и коммерческих) расходов, приходящихся на единицу продукции.

В работе по повышению конкурентоспособности должен быть принят комплексный, системный подход. Улучшение качества продукции должно сопровождаться снижением себестоимости, что позволит обеспечить конкурентоспособность продукции (по качеству и цене).

Список использованной литературы

1.      Абрютина М.С. Экономический анализ торговой деятельности. Учебное пособие. - М.: « Дело и сервис», 2005. - 512 с.

.        Абрютина М.С. Грачев А.В. Анализ финансово-экономической деятельности предприятия. Учебно-практическое пособие. - М.: «Дело и сервис», 2006. - 526 с.

.        Анализ хозяйственной деятельности в промышленности под ред. В.И. Стражева. - Мн.: Высшая школа, 2008. - 527 с.

.        Баканов М.И. Шеремет А.Д. Теория экономического анализа. - Н.: Учебник Финансы и статистика, 2008. - 536 с.

.        Бобылева А.З. Финансовый менеджмент. Проблемы и решения. - М.: Дело, 2008. - 336 с.

.        Гиляровская Л.Т., Соболев А.В.Факторный анализ показателей рентабельности активов коммерческих организаций//Аудит и финансовый анализ, 2000, №4.

.        О.В. Грищенко. Анализ и диагностика финансово-хозяйственной деятельности предприятия.

.        Ефимова О.В. Анализ финансовой отчетности. - М.: Омега-Л, 2007. - 452 с.

.        Жарковская, Е.П. Бродский Б.Е. Антикризисное управление. - М.: Омега Л, 2007. - 368 с.

.        Кравченко Л.М. Анализ хозяйственной деятельности в торговле: Учебник для вузов. - Мн.: Высшая школа, 2004. - 544 с.

.        Ковалев В.В., Патров В.В. Как читать баланс. - М.: Финансы и статистика, 2006. - 672с.

.        Ковалев В.В. Финансовый анализ. М.: Финансы и статистика, 2006. - 560с.

.        Кован С.Е., Ряховская А.Н., Мокрова Л.П.Теория антикризисного управления предприятием. М.: КноРус, 2008. - 160 с.

14.    Колышкин А.В. Новые подходы к оценке вероятности банкротства. <http://bizoffice.ru/>

.        Круглова Н.Ю. Антикризисное управление. - М.: КноРус, 2008. - 512 с.

.        Любушин М.П., Лещева В.Б., Дьякова В.Г. Анализ финансово-экономической деятельности предприятия. Учебное пособие для вузов. - М.: ЮНИТИ, 2004. - 471 с.

.        Маркарьян Э.А., Герасименко Г.П. Финансовый анализ: Учебное пособие. - М.: Экономика и управление, 2007. - 224 с.

.        Савицкая Г.В. Анализ хозяйственной деятельности предприятия. - М.: Инфра-М, 2007. - 512 с.

.        Шеремет А.Д., Негашев Е.В. Методика финансового анализа деятельности коммерческих организаций. - М.: Инфра, 2005 г., с - 237.

Похожие работы на - Анализ себестоимости продукции

 

Не нашли материал для своей работы?
Поможем написать уникальную работу
Без плагиата!
Без нейросетей!