Планирование стратегии и методика анализа деятельности предприятия

  • Вид работы:
    Курсовая работа (т)
  • Предмет:
    Эктеория
  • Язык:
    Русский
    ,
    Формат файла:
    MS Word
    30,43 Кб
  • Опубликовано:
    2014-06-21
Вы можете узнать стоимость помощи в написании студенческой работы.
Помощь в написании работы, которую точно примут!

Планирование стратегии и методика анализа деятельности предприятия

Введение

Анализ финансово хозяйственной деятельности является необходимым элементом в системе функций управления предприятием, поскольку без него не могут реализоваться и многие другие функции и первую очередь связанные с принятием управленческих решений.

Базой для проведения любого анализа являются исходные данные касающиеся деятельности анализируемого су6ъекта. Данные следует подвергнyтъ обработке, и лишь тогда они станут управленческой информацией, пригодной для решений. Способы преобразования данных в информацию в определенной степенью условности можно разделить на две большие группы.

В первую группу можно отнести все, стандартные приемы, которые применяются через равные промежутки времени по стандартным отчетам и другим источникам сведений, частота и глубина проведения такого анализа диктуются требованиями конкретных пользователей, а методики легко формализуемы. Существует также множество специальных компьютерных программ для типовой обработки больших массивов разного рода данных, в том числе экономических.

Планирование представляет собой процесс разработки и принятия целевых установок количественного и качественного характера и определения путей наиболее эффективного их достижения. Любое планирование представляет собой оценку той задачи, которую необходимо выполнить путем решения вопросов о том, какие ресурсы для этого необходимы и будут ли они доступны тогда, когда это, будет нужно, и тех количествах, которые потребуются. Это достаточно сложная задача, поэтому сотрудники служб предприятия должны быть знакомы со статистическими методами прогнозирования. Самое важное для успешного функционирования предприятия - чтобы его продукция удовлетворяла требованиям потребителей, поэтому профессиональная подготовка производственных, сбытовых и инвестиционных планов является важным фактором успешной деятельности предприятия в рыночной экономике.

1. Планирование стратегии и методика анализа деятельности предприятия

1.1    Краткая характеристика объекта и его вида деятельности

Нефтегазодобывающее управление «Уфанефть» является филиалом акционерной нефтяной компании «Башнефть» и занимается разработкой и добычей нефти нескольких десятков месторождений.

Основной целью филиала является получение прибыли, и удовлетворение общественных потребностей в товарах и услугах производимыми ими.

Основными видами деятельности филиала являются:

- строительство нефтяных и газовых, скважин;

добыча нефти и газа, подготовка их к реализации;

обустройство, капитальный ремонт и подземный ремонт скважин;

ремонт и строительство, автодорог, мостов и сооружений;

оказание платных услуг, населению;

производство товаров народного потребления;

торгово-закупочная и посредническая деятельность

проектирование, строительство, эксплуатация, ремонт нефтепромысловых объектов и объектов социального назначения

транспортные услуги, услуги специализированной техники

подготовка и повышение квалификации кадров

маркетинговая и инвестиционная деятельность

проектирование и строительство объектов промышленного и гражданского значения;

проведение единой с компанией экономической, ценовой, технической и экологической политики.

НГДУ «Уфанефть» создана в порядке реорганизации НГДУ «Уфанефть» в соответствии с решением Совета директоров АНК «Башнефть»).

Филиал АНК «Башнефть» является её обособленным структурным подразделением.

1.2 Значение планирования для успешного функционирования предприятия

Планирование является одним из тех методов управления экономикой, которые весьма активно и успешно разрабатывались учеными. В этой области был накоплен немалый положительный опыт, однако в начале 90-х годов процесс реформирования отечественной экономики сопровождался довольно негативным отношением к идее планирования. Позднее страсти начали постепенно утихать и к этой идее стали возвращаться как к вполне здравой, не отрицаемой ни в какой самой "наирыночной" стране. Роль и значимость планирования вообще и финансового в частности можно достаточно легко обосновать с различных позиций, поэтому банальные дискуссии нужен план или нет в настоящее время вряд ли уместны; более того в условиях естественного динамичного развития экономики, стохастичности рынка и постоянно нарастающей конкурентной борьбы роль этой функции по крайней мере не уменьшается.

Естественно, нарождающиеся рыночные отношения привели не только к внедрению новых для нашей страны экономических категорий появлению иных подходов к планированию. Прежде всего следует отметить, что необходимость составления планов определяется многими причинами. Выделим три из них, являющиеся, по нашему мнению, основными:

- неопределенность будущего;

координирующая роль плана;

оптимизация экономических последствий.

Действительно, если бы будущее компании или предприятия было а6солютно предопределенным: не было бы нужды постоянно разрабатывать планы, совершенствовать методы их составления и структурирования. Отсюда, кстати видно, что главная цель составления любого плана - не определение точных цифр и ориентиров, поскольку сделать это невозможно в принципе, а идентификация по каждому из важнейших направлений нeкoтopoгo "коридора", в границах которого может быть тот или иной показатель.

Смысл координирующей (в известном смысле - системообразующей) роли плана состоит в том, что наличие хорошо структурированных, детализированных и взаимоувязанных целевых установок дисциплинирует как перспективную, так и текущую деятельность, приводит ее в определенную систему, позволяет хозяйствующему субъекту работать без существенных сбоев. Эта роль особенно проявляется в крупнейших компаниях, имеющих сложную структуру управления, а также на предприятиях, активно использующих систему поставки сырья "точно в срок", когда объем текущего наличного запаса сырья, материалов и полуфабрикатов рассчитан исходя из потребностей производства на несколько ближайших часов или дней.

Последняя причина составления планов заключается в том, что любое рассогласование деятельности системы требует финансовых затрат (прямых или косвенных) на eгo преодоление. Вероятность наступления подобного рассогласования гораздо ниже, если работа осуществляется по плану; кроме тoгo, и негативные финансовые последствия менее значительны.

Основой для разработки планов предприятия должна служить оценка намечаемых действий с учетом существующих экономических и производственных условий и имеющихся в распоряжении хозяйствующего субъекта ресурсов, а также характера рынка, который, как предполагается, будет преобладающим в течение срока действия плана. Не следует недооценивать и общий уровень экономического развития и стадию экономического цикла в стране, поскольку они накладывают серьезные ограничения на перспективы развития некоторых видов деятельности. Планы, предусматривающие расширение предприятий этих отраслей в период общего экономического спада в стране, нельзя признать удовлетворительными, поскольку выполнение их в данных условиях весьма проблематично.

Значение планирования в деятельности предприятия трудно переоценить, поскольку именно план представляет собой ориентир, к которому стремится предприятие, и одновременно критерий оценки успешности его деятельности.

Предприятие как экономический субъект может ставить перед собой различные цели, причем цели в краткосрочной и долгосрочной перспективе могут сильно отличаться. В экономической литературе часто встрeчается категорическое утверждение о том, что главной целью бизнеса является извлечение прибыли.

Основной целью любой экономической активности, прежде всего повышение благосостояния, экономического субъекта. Следует понимать не просто как богатство в денежном выражении, а в более широком смысле как улучшении качества жизни.

Эта цель может достигаться путем увеличения потребления отдельных материальных благ, но также и улучшения экологической ситуации в городе, возможности доступа к широкому кругу информационных ресурсов, к культурным ценностям, возможности получения определенных социальных благ. К достижению благосостояния экономический субъект стремится собственным путем, с помощью постановки системы постановки целей разработки планов их реализации.

Планирование не только позволяет добиться поставленных целей, оно также предоставляет возможность оценки управленческого аппарата предприятия. Деятельность руководителей должна быть направлена на выполнение плановых заданий и достижение запланированных результатов, и то, насколько обеспечена реализация этих целей на каждом конкретном участке работы и в каждом подразделении, можно считать показателем эффективности работы подразделений. Для многих предприятий критерий выполнения плановых заданий является также основой системы материального стимулирования. В качестве предпосылок появления стратегического планирования можно назвать:

- стремительные изменения во внешней среде организации, вызванные в жизни современным этапом НТР и проявляющиеся в безграничном росте возможностей производства, углубляющейся дифференциации потребностей, резком усилении конкуренции за ресурсы и рынки сбыта;

интернационализацию деловой жизни, широкую доступность научно-технической и экономической информации и стремительное нарастание ее объема;

- принципиальное изменение роли человека в производстве и связное с этим пробуждение его творческих возможностей и активности.

Если предприятие не имеет плана, его деятельность представляет собой случайные блуждания в дебрях. План же является по сути дела тропинкой в этой чаще ведущей к успеху.

Планирование не только позволяет добиться поставленных целей, оно также предоставляет возможность оценки управленческого аппарата предприятия. Деятельность руководителей должна быть направлена на выполнение плановых заданий и достижение запланированных результатов, и то, насколько обеспечена реализация этих целей на каждом конкретном участке работы и в каждом подразделении, можно считать показателем эффективности работы подразделений. Для многих предприятий критерий выполнения плановых заданий является также основой системы материального стимулирования обуславливают непредсказуемость путей развития организации и ее окружения и неопределенность даже сравнительна близкого будущего. Способом частичного ослабления или преодоления этой неопределенности и является составление стратегических планов.

Стратегические планы отражают сегодняшние шаги фирмы, направленные на формирование ее будущего потенциала и обеспечение перспективного выживания. В процессе их составления формулируются цели организации, соответствующие стратегии и распределяются необходимые ресурсы.

С организационной точки зрения, стратегическое планирование играет двоякую роль:

) служит связующим звеном между организацией и ее внешней средой, обеспечивающим соответствие ее деятельности внешним условиям;

) интегрирует и координирует все усилия, направленные на это. Его главным результатом является принятие обоснованных инвестиционных решений по всем направлениям деятельности фирмы, а также создание эффективных предпосылок для оперативного и текущего планирования. Специфику стратегического планирования составляет не временной горизонт, а содержание плана. В его рамках определяются:

- продукты, услуги, рынки и их сегменты, с которыми фирма собирается работать;

стратегии маркетинга и принципы поведения по отношению к партнерам, потребителям, конкурентам;

- направления распределения ресурсов;

программа маркетинга;

Стандартный стратегический план включает такие элементы, как предложения о тенденциях развития и характере конкуренции, изменений внешней среды; анализ сильных и слабых сторон самой организации; ее миссию и важнейшие цели; общую стратегию; план действий по созданию конкурентных преимуществ; функциональные стратегии на случай чрезвычайных обстоятельств для производства, НИОКР, маркетинга, сбыта, финансов, кадров; ресурсы, необходимые для реализации стратегий и планов, оценку вероятности стратегического успеха, график основных мероприятий.

Основу стратегических планов составляет глубокий анализ существующих тенденций, угроз и возможностей во внешнем окружении организации, всесторонний прогноз его будущего состояния, прежде всего НТП и рынков. Он позволяет сформулировать совокупность перспективных целей и стратегий в различных сферах деятельности, например, инновации, разработка новых продуктов, развитие производственного и кадрового потенциала, переход на новые технологии диверсификация, захват рынков и др.

Стратегии, составляющие основу таких планов, определяются прежде всего, исходя из возможностей (которые имеются или могут появиться во внешнем окружении организации), а не поиска и мобилизации внутренних ресурсов, что характерно для обычного перспективного планирования. Содержательным результатом их осуществления должны быть крупные перемены в организации.

Поскольку стратегические планы обеспечивают рассмотрение взаимосвязанных проблем, последствия которых сказываются в течении длительного времени, к их составлению подходят с особой тщательностью.

Таким образом, если фирма хочет выжить в современных нестабильных условиях, переход к стратегическому планированию неизбежен, но он должен быть постепенным, без разрушения традиций. Наряду со стратегическими изменениями и созданием в организации необходимого климата важной задачей, которую приходится решать руководству организации на стадии выполнения стратегии, является формирование и мобилизация ресурсов организации и ее человеческого потенциала для осуществления стратегии. По поводу стратегии использования человеческого потенциала необходимо сделать два самых общих замечания. Во-первых, важнейшим условием осуществления стратегии является приверженность, преданность членов организации тому делу, которое ведет организация, в частности делу осуществления стратегии, реализуемой организацией. Развить чувство приверженности достаточно сложно. На стадии выполнения стратегии руководству следует делать все возможное, чтобы у членов организации выработалось как можно более устойчивое восприятие стратегии организации как своего личного дела. Во-вторых, успех осуществления стратегии во многом зависит от того, насколько членам организации присуще стремление к достижению на своем рабочем месте наилучших результатов. Умение хорошо работать и стремление работать лучше являются теми характеристиками людей, которые всегда должны находиться в центре внимания руководства и, в частности, должны быть предметом особого внимания на стадии выполнения стратегии.

Процесс мобилизации ресурсов на стадии выполнения стратегии предполагает наряду с эффективным распределением ресурсов также оценку и удержание источников поступления капитала. Руководство не только должно знать о тех источниках, которые оно может использовать для получения денег, о возможностях и ограничениях на их исполнение о стоимости капитала, но и делать все возможное для того, чтобы сохранять эти источники и обретать новые, если это необходимо для осуществления стратегии.

Основным инструментом, используемым для распределения ресурсов, является составление и исполнение бюджета, который может касаться не только денежных средств, но и запасов, капитальных средств, продаж и т.д.

Выполнение всегда является самой сложной стадией в любом процессе. Ключевая роль в выполнении стратегии принадлежит руководству организации. Как видно из этой главы, выполнение стратегии предполагает проведение стратегических изменений и мобилизацию потенциала организации на осуществление стратегии. Эти две суперзадачи требуют от руководства организации не только ясного видения того, куда идет, организация, но и умения повести ее в нужном направлении. Настоящий стратег проявляет себя в том, что он может в максимальной степени мобилизовать ресурсы организации и распределить их таким образом, чтобы их использование дал наибольший эффект. Для настоящего стратега характерно то, что он не только знает, что и как менять, но и может провести необходимые изменения.

Наконец, настоящий стратег умеет взаимодействовать с членами организации таким образом, что они воспринимают его из идеи и своим трудом проводят их в жизнь.

платежеспособность стратегический план коэффициент

2. Традиционные методы определения финансовой устойчивости и платежеспособности предприятия

Традиционные методы оценки платежеспособности и финансовой устойчивости состоят в расчёте коэффициентов, которые определяются на основе структуры баланса каждого конкретного предприятия. Рассчитанные коэффициенты затем сопоставляются с их нормативными значениями, что и составляет заключительный акт оценки. Кроме того, делаются попытки оценивать уровень коэффициентов в баллах, и затем эти баллы суммировать, находя таким образом рейтинг данного предприятия при сравнении его с другими предприятиями. Выше было приведено общее, международно признанное понятие платежеспособности. Для ее измерения в России рассчитывается три коэффициента:

коэффициент ликвидности;

промежуточный коэффициент покрытия;

общий коэффициент покрытия (коэффициент текущей ликвидности).

Каждый из трех коэффициентов представляет собой отношение той или иной группы статей оборотных активов к одной и той же величине - сумме статей пассива, выражающих краткосрочную задолженность предприятия на момент времени (начало или конец отчетного периода).

Коэффициент ликвидности определяется как отношение суммы денежных средств и краткосрочных финансовых вложений к величине краткосрочной задолженности.

Промежуточный коэффициент, покрытия определяется как отношение суммы ликвидных активов (денежные средства плюс краткосрочные финансовые вложения) и дебиторской задолженности к величине краткосрочной задолженности.

Общий коэффициент покрытия (коэффициент текущей ликвидности) определяется как отношение суммы оборотных активов (ликвидные активы плюс дебиторская задолженность плюс запасы) к величине краткосрочной задолженности.

Для определения на практике платежеспособности или неплатежеспособности официально применяется третий из перечисленных коэффициентов - коэффициент текущей ликвидности (КТЛ).

Наш комментарий к измерению платежеспособности коэффициентом текущей ликвидности: ни запасы, ни просроченная дебиторская задолженность не могут быть превращены без промедления в платежные средства, следовательно, оборотные средства, взятые в полном объеме, покрытия краткосрочной задолженности не обеспечивают.

В лучшем случае дебиторская задолженность (освобожденная от просроченной своей части) может рассматриваться как гарантийное обеспечение краткосрочной задолженности, а запасы - как потенциальное. Только ликвидные активы обеспечивают действительное покрытие краткосрочной задолженности, выполняют функцию мобильных (легко мобилизуемых) платежных средств.

3. Коэффициенты оценки финансового состояния предприятия

Действующие «Методические положения по оценке финансового состояния предприятий и установлению неудовлетворительной структуры баланса» утверждены Распоряжением ФУДН - Федеральное управление по делам о несостоятельности (банкротстве) предприятий - № 31-р от 12.08.94.

Данное распоряжение относится только к предприятиям, находящимся в государственной собственности.

Поскольку для других предприятий нет никаких официальных методических рекомендаций, они также руководствуются этим документом.

Федеральное управление по делам о несостоятельности ввело в практику оценки финансового состояния предприятия три показателя:

. Коэффициент текущей ликвидности (КТЛк) на конец отчетного периода, с нормативным значением не менее 2, определяется как отношение суммы всех оборотных активов к краткосрочной задолженности


где Ао6 - оборотные активы (из бухгалтерского баланса строка 290, итог раздела II «Оборотные активы»);

Пкср - краткосрочная задолженность (из бухгалтерского баланса)

2. Коэффициент обеспеченности собственными средствами (КОС) с нормативным значением не менее 0,1, который упоминался в данной главе в перечне возможных измерителей финансовой устойчивости под названием «коэффициент обеспеченности оборотных активов собственными источниками».

Этот коэффициент исчисляется по формуле:


Числитель формулы рассчитывается следующим образом


где Пс/0б - собственный оборотный капитал;

Ксо6 - капитал собственный (из бухгалтерского баланса итог раздела III «Капитал и резервы», строка 490);

Ав/06 - внеоборотные активы (из бухгалтерского баланса итог раздела I «Внеоборотные активы», строка 190).

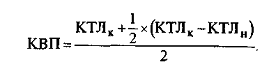
. Коэффициент восстановления (утраты) платежеспособности (КВП), с нормативным значением не ниже 1. Формула расчета КВП будет представлена ниже.


Считается, что предприятие, не имеющее удовлетворительного значения одного из двух коэффициентов - текущей ликвидности и обеспеченности собственными средствами - может восстановить через 6 месяцев платежеспособность, что прогнозируется с помощью экстраполяции наметившейся тенденции за отчетный период: в числителе дроби, в скобках помещается разность значений коэффициента текущей ликвидности на конец отчетного периода (КТЛк) и на начало периода (КТЛн), которая взвешивается с коэффициентом 1/2, по доле месяцев в полугодовом прогнозируемом периоде.

В знаменателе дроби указывается нормативное значение коэффициента ликвидности. Таким образом, если экстраполируется рост текущей ликвидности на предстоящее полугодие, то величина числителя укажет на возрастание коэффициента текущей ликвидности, а если экстраполируется снижение, то очевидно, коэффициент текущей ликвидности снизится.

Величина дроби характеризует отношение прогнозного значения коэффициента КТЛк к нормативному и должна равняться единице или превышать ее. Между тем вряд ли можно столь категорично переносить тенденцию прошлого периода на будущее. Получается, что переломить ситуацию нечего и пытаться, т.к. о будущем все равно судят по прошлому.

4. Рейтинг предприятия

Рейтинг предприятия означает отнесение предприятия к какому либо разряду, классу или категории. Рейтинг не остается постоянным - он может повышаться или понижаться.

Рейтинг предприятия устанавливается иначе, чем, например, рейтинг банков, т.к. оценка деятельности предприятия имеет свою специфику, подчиняется своим критериям.

В основе установления рейтинга предприятия, по общепринятым понятиям, лежит набор финансовых коэффициентов. Коэффициенты, включаемые в набор, получают оценку в баллах, высота которых зависит от значения данного коэффициента в качестве критерия оценки и от степени соответствия нормативному (оптимальному), количественно выраженному уровню. Суммарная величина баллов по всем коэффициентам для данного предприятия дает основание отнести предприятие к тому или иному классу, присвоить разряд, характеристику. Главная цель, преследуемая установлением рейтинга, - это определение близости или удаленности от угрозы банкротства. Банкротство не является объективным финансовым состоянием. Даже в том случае, если все финансовые коэффициенты выражают крайне низкий уровень, иск о банкротстве не обязательно возбуждается кредиторами, а если и возбуждается, арбитражный суд не всегда признает предприятие банкротом. Объективно предприятие может находиться в зоне риска, т.е. в таком состоянии, когда дело о банкротстве может быть возбуждено. Устанавливая рейтинг предприятия, определяют степень риска оказаться банкротом. Финансово-устойчивое предприятие по самой сути этого понятия находится вне зоны риска. В бухгалтерской литературе приводится таблица установления рейтинга предприятия по пяти классам, с суммарным числом баллов в I классе, равным 100, с последовательным понижением: во II классе - от 85,2 до 66, в III классе - от 63,4 до 56,5, в IV классе - от 41,6 до 28,5, в V классе - 14 баллов.

В каждом классе 20-балльной оценке подвергаются шесть коэффициентов: три коэффициента ликвидности (платежеспособности) и три коэффициента финансовой устойчивости. Наибольшее значение придается коэффициенту абсолютной ликвидности, т.е. способности предприятия расплатиться со всеми кредиторами по краткосрочным обязательствам в ближайшее время, за счет свободных денежных средств и быстрореализуемых активов. При этом авторы трактуют абсолютную ликвидность расширительно по сравнению с международными стандартами. Быстрореализуемые активы, по трактовке авторов- это дебиторская задолженность со сроком погашения менее чем через 12 месяцев. Конечно, это «натяжка». Но в данном аспекте, для установления рейтинга примем предложенную классификацию. Авторы считают значение коэффициента абсолютной ликвидности, равное 0,5, достаточным для отнесения в I класс и оценивают такое значение 20 баллами - высшей оценкой.

Высоко оценивается авторами также коэффициент финансовой независимости, равный 0,6 и выше, показывающий долю собственных средств (капитала и резервов, по бухгалтерскому балансу) в валюте (итог) баланса, т.е. во всей стоимости имущества - 17 баллов.

Предприятия, имеющие все шесть показателей на уровне I и II класса, являются платежеспособными, финансово-устойчивыми и кредитоспособными.

Они наиболее предпочтительны для любых партнеров - в области инвестиций, предоставления кредита, заключения договоров на приобретение материалов и поставку продукции.

Поиск эффективных методов определения рейтинга предприятия нельзя считать завершенным. Рейтинг должен быть весьма убедительным, можно сказать, даже наглядным, а методы расчета - доступными не только для бухгалтера, но и для инженерно-технического работника.

5. От бухгалтерского баланса к экономическому

Состояние финансово-экономического равновесия заключается в том, что реальные, производительные (долгосрочные и текущие нефинансовые) активы обеспечиваются собственным капиталом предприятия (капиталом и резервами, в терминологии бухгалтерского баланса). Это означает, что все финансовые активы (денежные средства, легкореализуемые ценные бумаги, дебиторская задолженность и долгосрочные финансовые вложения) уравновешиваются заемным капиталом (долгосрочными и краткосрочными займами, кредиторской задолженностью) или что то же самое: финансовые активы покрывают обязательства предприятия. Именно такое положение является устойчивым: в экстраординарном случае, когда все кредиторы желают одновременно получить по своим требованиям, предприятие может расплатиться со всеми, не продавая никаких производственных запасов или оборудования, не нарушая производственного цикла. Долгосрочные финансовые вложения при этом будут реализованы, проценты на них упущены, но, расплатившись с кредиторами, предприятие не потеряет своего доброго имени и легко получит новые кредиты.

Широко используемый в нашей практике коэффициент текущей ликвидности, даже если он равен 2, заставляет усомниться в истинной платежеспособности предприятия: запасы и затраты, которые рассматриваются при исчислении этого коэффициента как элементы покрытия, всего лишь потенциальное покрытие обязательств. Для гарантированного покрытия обязательств требуются финансовые активы, и чем мобильнее эти активы, чем быстрее их можно превратить в денежные средства, тем выше платежеспособность предприятия, тем устойчивее его положение.

Состояние финансово-экономического равновесия не может быть каким-то длительным состоянием. Это не более чем момент, т.к. движение происходит постоянно - либо набирается запас устойчивости (при этом равновесие сохраняется, оно - обязательный компонент устойчивости), либо этот запас сокращается. Но знание количественной характеристики равновесия необходимо - чтобы его не потерять.

Одновременное востребование погашения всех обязательств всеми кредиторами - не каждодневное событие. Но если в деловых кругах возникает неуверенность в каком-то партнере, то все кредиторы начинают оказывать давление на него одновременно. Поэтому к такому повороту событий следует быть готовым всегда.

Сопоставляя собственный капитал с нефинансовыми активами, определяют не только финансовое, но и экономическое состояние. При этом создается предпосылка для прогнозирования равновесного (сбалансированного) движения, с учетом формы дохода и имущества: денежной и неденежной. Дело в том, что мало получить доход и мало- получить кредит: и то, и другое надо получить в нужной форме. Налоги нельзя заплатить незавершенным строительством, а заработную плату - дебиторской задолженностью, даже если она имеет срок погашения менее 12 месяцев. Сказанное убеждает, как трудно управлять экономическим процессом, пользуясь непосредственно бухгалтерскими данными, которые характеризуются отрывом формы от содержания. Начисленная заработная плата на кредите счета 70 «Расчеты с персоналом» не снабжается указанием, в какой форме она существует. А когда ее выплачивают продукцией предприятия (хорошо, если такой, которую с грехом пополам работник может продать), то «выплаты» отражаются на дебете счета 70 точно так же, как если бы ее выплатили деньгами. Многие экономические процессы не оформляются бухгалтерскими проводками, они «просто происходят», ставя руководителя производства перед фактом. Но имея шахматный оборотно-сальдовый баланс, производя на его основе дополнительные вычисления, можно получать новую полезную информацию и управлять этими «загадочными» процессами, прежде всего образованием и распределением дохода - добавленной стоимости. Каждое предприятие уплачивает налог на добавленную стоимость, но ни в одной форме отчетности, ни в бухгалтерской, ни в статистической, нет показателя добавленной стоимости. Чтобы исчислять добавленную стоимость, нет необходимости ломать план бухгалтерских счетов и вводить какие-то дополнительные счета, например, счет «Добавленная стоимость». Но совершенно необходимо строить на основе шахматного бухгалтерского баланса экономический баланс (баланс экономического оборота - БЭО), в котором будет определяться добавленная стоимость и показываться ее распределение. Именно в распределении добавленной стоимости будут стоять рядом и сопоставляться друг с другом: оплата труда, выплаты в социальные фонды, налоги (все вместе), проценты за кредит, инвестиции финансовые, капиталообразование (прирост производительных активов). В образовании дохода предприятия будут сопоставлены между собой произведенная добавленная стоимость и доходы от собственности: полученная арендная плата, доходы от финансовых вложений.

Экономический баланс позволяет глубже увидеть формирование платежеспособности и на этой основе управлять ею, в то время как бухгалтерский баланс в основном только констатирует ее наличие или отсутствие.

Главное отличие баланса экономического оборота от оборотно-сальдового бухгалтерского баланса состоит в том, что в БЭО форма наполняется содержанием, а содержание получает форму. Это означает, что активы получают признак - собственные они или заемные, а заемные средства, прибыль, начисленная заработная плата находят свою форму воплощения. Если же эта форма не соответствует назначению данного источника, то между различными элементами дохода и имущества совершается обмен, одни структурные составляющие экономического оборота замещаются другими. Как при этом используется бухгалтерский баланс? Если это охарактеризовать в самом общем виде, то происходит наложение пассива на актив, кредитовых оборотов на дебетовые и наоборот.

Математически это допустимо, т.к. актив равен пассиву, а обороты по кредиту - оборотам по дебету. При этом совершается перевод описания и анализа хозяйственной деятельности предприятия с бухгалтерского языка на экономический.

6. Анализ производственно-хозяйственной деятельности НГДУ Уфанефть

Таблица 6.1 - Основные показатели деятельности НГДУ

показатели

предыдущий 2010 год в ценах и структуре

план

Факт (2011 год)

%

отклонение от прошлого года

валовая продукция,т.р

248671

346351

355082

102,5

106411

валовая добыча нефти т.тн

868,5

790

805,5

102

-63

товарная добыча нефти,т.тн

862,9

785,6

801

102

-61,9

годовая добыча попутного газа,млн.м3

24

18,8

22,9

121,8

-1,1

годовая добыча природного газа,млн.м3

21,1

18,7

20,6

110,2

-0,5

дебит скважин по нефти на скв.мес отработанный,т/смо

85,1

75,8

82,8

109,2

-2,3

добыча жидкости,т.тн

3131,4

2980

2820,7

94,6

-310,7

обводненность нефти,%

72,2

73,3

71,4

97,5

-0,8

закачка воды,т.м3

3293

3060,1

3254,7

106,4

-38,3

ввод новых скважин в эксплуатацию в т.ч из разведки

9 1

7 2

7 1

100 50

-2 100

коэф.экспл.действующего фонда СКВ,%

91,3

94

88,86

94,5

-2,4

объем кап.вложений

156009

112168

188914

168,4

32905

в т.ч производственного назначения

130866

109668

158232

144,3

27366

строительно монтажные работы

62072,9

26821

71654,6

267,2

9581,7

бурение экспл.

18078

22000

19803

90

1725,6

в т.ч на нефть на газ

18078

22000

19803

90

1725,6

среднегодовая стоимость ППФ,т.р

1593661

1669116

1669116

100

75455

фондоотдача,р.к

0,16

0,21

0,21

100

0,05

численность ППП,чел

2356

2036

2155

105,8

-201

производство валовой продукции на 1 работника,т.р

105,5

170,1

164,8

96,9

59,3

фонд оплаты ППП,т.р

28210,3

52158,5

52158,5

100

23948,2

ср .з/пл с учетом ден.средств и поощрений из прибыли,руб

997,8

2135

2017

94,5

1019,2

производственные затраты,т.р

20299

331800,3

308538

93

88239

себестоимость добычи 1 тонны нефти,р.к

252,59

419,82

382,71

91,2

130,1

экспл.бурение,т.м

5,5

8

7,9

98,8

2,4

сдача скважин УБР,скв

6

6

4

66,7

-2

По данным приведенным в таблице 6.1, можно сделать следующие выводы:

Валовая продукция отчетного 2011 года увеличилась по сравнению с предыдущем годом на 42,79%, при этом добыча нефти, попутного газа и природного газа снизилась соответственно на 7,25%; 4,58% и 2,37%. Это означает, что увеличение показателя валовой продукции вызвано ростом цен на продукцию. Отсутствие данных о ценах на каждый вид продукции не позволяет проанализировать изменение структуры, валовой продукции.

В текущем году в эксплуатацию введено 7 новых скважин, что благополучно отразилось на показателе обводненности нефти - она снизилась с 72,2% до 71,4%, то есть на 1,1 % (-0,8/72,2 = -0,01108). Это, в свою очередь, позволило при снижении добычи нефти на 7,25% снизить добычу жидкости на 9,92%.

Закачка воды в текущем году уменьшилась на 38,3 т.мЗ, то есть на 1,163% по сравнению с 2010 годом.

- Следует отметить невыполнение плана по вводу скважин в эксплуатацию из разведки: 1 вместо 2 (это не ниже уровня прошлого года),

Значительно изменился коэффициент эксплуатации действующего фонда нефтяных скважин:: с 91,3% до 88,86% - на 2,4% (удержание этого показателя на уровне- прошлого года позволило бы получить дополнительно 805,5/88,86*91,3-805,5=22,1 т нефти

- В отчетном году значительно вырос объем капитальных вложений в 1,21 раза, хотя капитальные вложения, производственного значения, составили меньше, чем прошлом году долю общем объеме (83,7% против 83,88% в прошлом году). Большая доля средств выделена на проведение строительно-монтажных работ 71,654,6/188914,0=37,929%, (но это меньше, чем в 2010 году (39,79%)), увеличилась доля средств, выделяемых на разведочное бурение (на 28,93-25,879=3,021 %).

Увеличилась среднегодовая стоимость основных промышленно производственных фондов.

Рост фондоотдачи (на 5 коп. на 1 руб. среднегодовой стоимости производственных фондов) вызван превышением темпов увеличения валовой продукции над темпами роста среднегодовой стоимости фондов, что, вероятно, вызвано разными темпами роста цен на нефть и инфляции, принимаемого при переоценке фондов.

Снижение численности промышленно-производственного персонала на 201 чел. связано с сокращением кадров при реорганизации производственной структуры предприятия. Что позволило увеличить производство валовой продукции на 1 работника ППП на 59,3 т. р./чел.

Значительно увеличился фонд оплаты труда и средняя зарплата промышленного персонала (соответственно в 1,85 и 2,02 раза).

Проанализируем использование добытой нефти в 2002 году

Таблица 6.2 - Динамика добычи нефти

баланс нефти

2010 год

план

Факт (2011 год)

+/-

остаток нефти на начало года

1,3

2,3

2,3


приход всего

868,5

790

805,5

15,5

расход всего

867,5

790

805,8

15,8

остаток на конец года

2,3

2,3

2

-0,3


Единственный источник прихода нефти за счет добычи нефти собственными подразделениями. Перевыполнение плана по приходу и расходу предприятия связано с введением в эксплуатацию новых скважин, дебит которых оказался выше прогнозируемой.

Таблица 6.3 - Динамика численности персонала

показатели

2010

2011

сумма

%

численность ППП

2356

2155

-201

8,53

в т.ч рабочих

1920

1730

-190

9,89


По данным таблицы 3 видно, что основную долю сокращенного промышленного персонала составляют рабочие 190/201=94,53%

Таблица 6.4 - Себестоимость добычи нефти в НГДУ в 2011 году

расходы

предыдущий

год

отчетный

год



затраты,р.к

вес,%

затраты,р.к

вес,%

+/-

расходы на Эл. энергию

15,01

5,9

15,18

3,3

расходы на искусственное воздействие на пласт

28,8

11,4

37,39

8,2

8,5

основная з/пл рабочих

1,62

0,6

3,15

0,7

1,5

дополнительная з/пл рабочих

0

0

0

0


отчисления на соц.страх

0,62

0,2

1,2

0,3

0,5

амортизация скважин

27,67

11

32,12

7

4,4

расходы по сбору и подготовке нефти и газа

9,39

3,7

16,13

3,5

6,7

расходы по технологической подготовке нефти

11,55

4,6

18,76

4,1

7,2

расходы на подготовку и освоение

0

0

0

0


расходы на эксплуатацию оборудования

55,79

22,1

81,55

17,8

25,7

цеховые расходы

20,4

8,1

39,4

8,6

1

общепромысловые расходы

47,18

18,7

65,86

14,4

18,6

прочие производственные расходы

34,37

13,6

146,99

32,11 112,6

производственная себестоимость валовой продукции

252,4

100

457,75

100 205,3


На основании данных таблицы 6.4 можно сделать следующие выводы:

Увеличение производственной себестоимости добычи нефти произошло главным образом, из-за увеличения расходов по статьям прочие производственные расходы (+114,62), расходы на содержание и эксплуатацию оборудования (+25,76), цеховые расходы (+19) и общепромысловые расходы (+ 18,68).

В текущем году возросли удельные веса в себестоимости продукции прочих производственных расходов с 13,6% в 2010 году до 32,11 % в 2011 гoдy, то есть в 2,36 раза; расходы при этом выросли в 4,28 раза, цеховых расходов (рост удельного веса 8,6/8,1=106,17%, прирост 0,5%), основной зарплаты производственных рабочих и отчислений в фонды социального страхования (+0,1 %).

Расходы по остальным статьям калькуляции выросли незначительно и удельные веса-этих статей снизились: амортизация скважин (-0,4%), расходы на искусственное воздействие на пласт (-3,2%); pacхoды по технологической подготовке нефти (-0,5%); расходы на содержание и обслуживание оборудования (-0,3%); общепромысловые pacxoды (-4,3%); расходы на энергию по извлечении нефти (-2,6%); расходы по сбору и транспортировке нефти и газа (-0,2%).

7. Анализ финансового состояния НГДУ «Уфанефть»

Таблица 7.1 - Аналитический баланс

актив

н.г

к.г

пассив

н.г

к.г

внеоборотные активы

792031

815988

капитал и резервы

727413

783430

оборотные активы

111403

106403

долгосрочные пассивы



в т.ч запасы

45337

43711

краткосрочные пассивы

176011

138853

ден.средства и краткосрочные бумаги

366

839

в т.ч краткосрочные обязательства



дебиторкая задолжность

65700

61745

кредиторская задолженность

176011

138853




прочие пассивы



всего активов

903434

922283

всего пассивов

903434

922283


7.1 Анализ финансовой устойчивости

1. Излишек или недостаток собственных оборотных средств дЕс = Ес-Z

Ес = Ис. - Z

На начало года:

Ес = 727413 - 792031 = -64618 дЕс = -64618 - 45337 = -109955

На конец года:

Ес = 783430 - 815988 = -32558 дЕс = -32558 - 43711 = -76269

. Излишек или недостаток собственных и долгосрочных заемных источников для формирования запасов и затрат

дЕт = (Ес + Кт) - z

На начало года:

д Ет = (-64618 + О) - 45337 = -109955

На конец года:

дЕт = (-32558+0)-43711 = -76269

3. Излишек или недостаток общей величины основных источников для формирования запасов и затрат

дЕн = (Ес + Кт + Kt + Rp) - z

На начало года дЕн = -64618 + 176011- 45337 = 66056

На конец года дЕн = -32558 + 138853 - 43711 = 62584.

В соответствии с показателями. дEс_<0_дЕт < 0, дЕн>О финансовое состояние НГДУ "Уфанефть" можно отнести к области критического.

Для более детального анализа финансовой устойчивости посчитаем следующие коэффициенты:

. Коэффициент автономии

Ка = Ис/В > 0,5

На начало года Ка = 727413/903434 = 0,805.

На конец года Ка = 783430/922283 = 0,849

Ка >0,5 при этом Ка на конец года больше Ка на начало года, значит

все обязательства предприятия могут быть покрыты собственными средствами, при этом финансовая независимость предприятия в течение года увеличилась.

, Коэффициент соотношения собственных и заемных средств:

Кз/с=(Кт+Кt+Rр)/Ис

На начало года Кз/с = 0,242

На конец года Кз/с = 0,177

Коэффициент' маневренности

= (Ис-Р)/Ис = Ес!Ис

Так как Ес <0, то Км<0 (и на начало и наконец года). Это свидетельствует о том, что у предприятия нет собственных средств находящихся в мобильной форме, что и является причиной ухудшения финансового состояния предприятия.

4 Коэффициент обеспеченности запасами и затрат собственными источниками формирования

Kz = (Ис - Р) I Z, Кz<0

5. Коэффициент имущества производственного назначения:

Кпр = (Остаточная стоимость ОФ (стр. 120 ф. 1) + Долгосрочные финансовые вложения (стр. 140 ф.1) + Незавершенное капитальное строительство ( cтp.l30 ф.l) + Остаточная стоимость нематериальных активов (стр. 110 ф.1) + Стоимость производственных запасов (стр. 211 фl)+ МПБ (стр. 213 ф1)]/Вг >= 0,5

На начало года Кпр = (723177+2+68156+696+54808+2386+ 10234)/903434 = 0,951 >=0,5

На конец года Кпр = (740036+2+75280+670+56138+ 168+8875)/932283 = 0,945 >= 0,5

. Коэффициент автономии источников формирования запасов и затрат

Каз = (Ие - F)/ (Ее + Кт + Kt + Rp)

Каз на начало и конец года меньше нуля.

7.2 Анализ платежеспособности

Для анализа платежеспособности НГДУ «Уфанефть» рассчитаем показатели ликвидности баланса:

. Коэффициент абсолютной ликвидности

Ка = d / (Kt + Rp) г 0.2 - 0.25

На начало года Ка - 0,002079, а на конец года Ка = 0,006

. Коэффициент ликвидности

Ки = ( d +r ) / (Kt + Rp) >= 0.8 - 1

На начало года Ки = 0,63 , а на конец года Ка = 0,766

. Коэффициент покpытия

Кп = (d+z+r) /(Kt + Rp) >= 2-2.5

На начало года Кп = 0,633 , а на конец года Кп = 0,766

Как видно из расчетов, платежеспособность предприятия в 2011 году несколько возросла, но значения коэффициентов ликвидности в несколько раз ниже нормативных, что говорит о финансовой несостоятельности НГДУ "Уфанефть".

Заключение

Проведений анализ производственно-хозяйственной деятельности НГДУ «Уфанефть» позволяет сделать следующие выводы. За 2011 год снизилась добыча нефти попутного и природного газа соответственно на 63 тыс.т , 1,1 млн м3. Средний дебит нефтяных скважин снизился с 2,48 т/сут. до 2,76т/сут. Введенные в эксплуатацию 7 новых скважин позволили удержать средний дебит скважин выше запланированного 2,53 т/сут, обводненность нефти уменьшилась на 0,8%.

В текущем году действующий фонд нефтяных скважин эксплуатировался менее эффективно, чем в прошлом году (коэффициент эксплуатации действующего фонда скважин уменьшился на 2,4%).

В 2011 году средняя зарплата промышленного персонала НГДУ «Уфанефть» выросла в 2,02 раза. Проводимая на предприятии реорганизация производственной структуры позволила сократить численность промышленно-производственного персонала на 201 человека, повысить выработку валовой продукции на 59,3 руб./чел. (в 1,56 раза).

При анализе себестоимости было выявлено изменение ее структуры. Для более глубокого анализа необходимо раскрыть содержание статьи "Прочие производственные затраты" занимающие наибольшую долю в структуре себестоимости 32,11%. НГДУ  «Уфанефть» в очень тяжёлом финансовом состоянии. Для выхода из критического состояния предприятию необходимо увеличить собственные оборотные средства. Расчет финансовых показателей показал, что все обязательства предприятия могут быть покрыты его собственными средствами, однако для этого недостаточно не только ликвидных средств, а даже общей величины собственных оборотных средств предприятия. В качестве решения сложившихся проблем можно рекомендовать увеличение выручки на 30% и снижение себестоимости на 20%.

Список использованных источников

1. Абрютина М.С., Грачёв А.В. Анализ финансово-экономической деятельности предприятия. - М.: Дело и Сервис, 2001. - 272с.

2. Андрейчиков А.В, Андрейчикова О.А. Анализ , синтез , планирование решений в экономике - М. :Финансы и статистика , 2000.

. Виханский О.С.Стратегическое управление.- М .:Гардарики,1999.

. Виханский О.С ,Наумов А.И.Менеджмент.-М:Гардарики,1998.

. Шеремет А.Д., Баканов М.И. Теория экономического анализа: Учебник.-М: Финансы и статистика,2000.

Похожие работы на - Планирование стратегии и методика анализа деятельности предприятия

 

Не нашли материал для своей работы?
Поможем написать уникальную работу
Без плагиата!
Без нейросетей!