Статистический анализ инвестиционной деятельности в регионе
Содержание
Введение
Глава I. Инвестиционная деятельность в ПМР
.1 Инвестиционная деятельность как объект исследования
.2 Состав и роль инвестиции в основной капитал ПМР
Глава II. Анализ инвестиционной деятельности в основной капитал
ПМР
.1 Первичный статистический анализ данных
.2 Корреляционный анализ данных
.3 Регрессионный анализ данных
.4 Анализ временных рядов
Заключение
Список использованных источников
Введение
Современное понимание и
основополагающее значение инвестиций и инвестиционного процесса, существовавших
во все времена и у всех народов, для экономики складывается и возрастает с
развитием рынка. После формирования национальных и международных рынков
инвестиции и инвестиционный процесс приобретают непреходящее значение для
национальной и мировой экономики. Другими словами, основу современной рыночной
экономики всех стран и мировой экономики в целом составляют отношения,
связанные с инвестированием в производство материальных и духовных ценностей.
Внешняя инвестиционная политика
государства с правовой точки зрения представляет собой создание благоприятного
правового климата для иностранных инвестиций, что предполагает использование
национально-правового регулирования, национально-правовых форм и норм (законов
и других нормативных актов), а также соответственно международно-правового
регулирования, международно-правовых форм и норм (двусторонних и многосторонних
договоров и соглашений).
Цель данной работы состоит в
определении инвестиций и инвестиционной деятельности за период с 2002 по 2011.
Для достижения поставленной цели в
курсовой работе решаются следующие частные задачи:
Дать понятие инвестиций;
Рассмотреть факторы, определяющие
общие принципы и методы регулирования инвестиций;
Рассмотреть инвестиционный процесс и
его участников;
Дать характеристику инвестиционного
рынка. Объект исследования - инвестиции и инвестиционная деятельность.
Глава I. Инвестиционная деятельность
в ПМР
.1 Инвестиционная деятельность как
объект исследования
Под инвестицией следует понимать
передачу денежных средств или иного имущества в денежной оценке одним лицом,
именуемым инвестором, другому лицу - реципиенту инвестиций с целью извлечения
прибыли. Инвестиции связаны с осуществлением инвестором своего вещного права.
Одной из форм защиты вещного права является его регистрация. С регистрацией
инвестиций связано признание статуса того или иного лица как инвестора.
Приднестровское законодательство не содержит четких указаний, какие юридические
действия лежат в основании признания у того или иного лица статуса инвестора и
с какого момента можно говорить о праве на защиту лица как инвестора.
Когда речь идет о прямых иностранных
инвестициях, для иностранных инвесторов прямо оговаривается их право на
возмещение убытков, причиненных им в результате незаконных действий
(бездействия) государственных органов, органов местного самоуправления или
должностных лиц этих органов, в соответствии с гражданским законодательством.
Инвестиционную деятельность как
объект исследования можно рассмотреть в единстве следующих основных элементов:
субъектов, объектов и собственно экономических отношений. К объектам
инвестиционной деятельности относятся различные виды реальных и финансовых
активов: вновь создаваемое и (или) модернизируемое имущество, ценные бумаги,
нематериальные активы и т.д. Объекты инвестиционной деятельности различаются:
по масштабам проекта;
направленности проекта;
степени участия государства;
эффективности использования вложения
средств.
К субъектам инвестиционной
деятельности относятся физические и юридические лица (как нашей страны, так и
зарубежные), являющиеся инвесторами, пользователями объектов инвестирования и
другими участниками инвестиционной деятельности. Субъектами инвестиционной
деятельности, осуществляемой в форме капитальных вложений, являются инвесторы,
заказчики, подрядчики, пользователи объектов капитальных вложений и другие
лица.
Инвесторы - физические и юридические
лица, государственные органы, органы местного самоуправления, которые
осуществляют вложения собственных, заемных и привлеченных средств в виде
инвестиций и обеспечивают их целевое использование. На основании существующего
законодательства все инвесторы имеют равные права на осуществление
инвестиционной деятельности, самостоятельное определение объемов и направлений
капитальных вложений, владение, пользование и распоряжение этими объектами, а
также результатами осуществленных инвестиций.
Заказчики - уполномоченные
инвесторами физические и юридические лица, которые осуществляют реализацию
инвестиционных проектов. Заказчиками могут выступать инвесторы. Заказчик, не
являющийся инвестором, наделяется правами владения, пользования и распоряжения
капитальными вложениями согласно договору и (или) государственному контракту.
Подрядчики - физические и
юридические лица, которые выполняют работы по договору подряда и (или)
государственному контракту, заключаемому с заказчиками.
Пользователи объектов капитальных
вложений - физические и юридические лица, государственные органы, иностранные
государства, международные объединения и организации, для которых создаются
объекты инвестиционной деятельности. Пользователями объектов капитальных
вложений могут быть и сами инвесторы. При вложении капитальных ценностей в
реальный экономический сектор в целях организации производства движение
инвестиций на стадии окупаемости затрат осуществляется в виде индивидуального
кругооборота производственных фондов, последовательной смены форм стоимости. В
ходе этого движения создается готовый продукт, воплощающий в себе прирост
капитальной стоимости, в результате реализации которого образуется доход.
Инвестиционная деятельность -
необходимое условие индивидуального кругооборота средств хозяйствующего
субъекта. В свою очередь деятельность в сфере производства создает предпосылки
для новых инвестиций. С этой точки зрения любой вид предпринимательской
деятельности включает в себя процессы инвестиционной и основной деятельности.
Движение инвестиций, в процессе которого они последовательно проходят все фазы
воспроизводства от момента мобилизации инвестиционных ресурсов до получения дохода
(эффекта) и возмещения вложенных средств, выступает как кругооборот инвестиций
и составляет инвестиционный цикл. Инвестиционная деятельность как объективное
единство процессов вложения инвестиционных ресурсов и получения дохода должна
происходить на основе совпадения инвестиционного спроса и предложения, которое
реализуется посредством механизма инвестиционного рынка. В наиболее общем виде
инвестиционный рынок может рассматриваться как форма взаимодействия субъектов
инвестиционной деятельности, воплощающих инвестиционный спрос и инвестиционное
предложение. Он характеризуется определенным соотношением спроса, предложения,
уровнем цен, конкуренции и объемами реализации. Инвестиционный спрос
представляет потребность хозяйственных субъектов в инвестиционных ресурсах.
Инвестиционный спрос формируется под воздействием макроэкономических и
микроэкономических факторов.
Инвестиционный цикл разбивается на
следующие фазы:
предынвестиционную;
инвестиционную;
эксплуатационную, иногда из
последней фазы выделяют отдельно ликвидационную.
Регулирование иностранных инвестиций
на уровне субъектов Республики, в частности регистрация коммерческих
предприятий с иностранным капиталом, противоречило основным началам
регулирования инвестиций, закрепленным в действовавшем тогда Законе об
иностранных инвестициях и в международных договорах. Согласно этим началам
определенные в договоре обязательства государства по предоставлению режима,
регулированию и защите инвестиций возлагались на договаривающееся федеративное
государство, а не на его административные подразделения. Такая практика не
соответствовала также и положениям Конституции ПМР о создании правовых основ
единого рынка и о регулировании внешнеэкономических отношений,
предусматривавшим исключительную компетенцию Приднестровской Республики в этой
области. Только государственный уровень регулирования мог обеспечить надлежащую
защиту инвесторов в Приднестровской Республике.
Третьим принципом правового
регулирования инвестиций является участие норм международных договоров в правовом
регулировании инвестиций на национальном рынке. Нормы международных договоров
воздействуют на национальное законодательство об инвестициях, и оно меняется. А
нормы международных соглашений, как правило, на уровне органов исполнительной
власти, становятся частью национально-правового регулирования.
Нормы международных договоров
применяются независимо от национальной принадлежности инвестиций, то есть
независимо от того, идет ли речь о национальных или об иностранных инвестициях.
Так, инвестиции в условиях рыночных отношений подчиняются действию норм
соглашений ГАТТ/ВТО. Указанные соглашения обязывают государства-участники
законодательным путем обеспечивать равные условия конкуренции на национальном
рынке (включая рынок капиталов или рынок финансовых услуг), воздерживаться от
принятия мер ограничительного характера не только для иностранных, но также и
для национальных предпринимателей. Под воздействием международных договоров
одним из условий эффективного регулирования инвестиций становится использование
метода антимонопольного регулирования инвестиций. Необходимо признать большое
значение в регулировании инвестиций международных договоров, разработанных
Международным банком реконструкции и развития (Мировым банком) и направленных
на защиту прямых иностранных инвестиций. Это Вашингтонская конвенция 1965 г. о
порядке разрешения инвестиционных споров между государством и лицом другого
государства и Сеульская конвенция 1985 г. об учреждении Многостороннего
агентства по гарантиям инвестиций (МАГИ). Обе Конвенции формируют единую
систему международно-правовой защиты частных инвестиций. Однако отношение
Приднестровья к указанным Конвенциям сложилось неодинаковое.
Таким образом, решение проблемы
защиты прав иностранного инвестора и защита прав инвесторов на приднестровском
рынке полностью зависят от двух факторов: от состояния национально-правового
регулирования и от точности исполнения Приднестровьем своих международных
обязательств. Государство должно создать условия для развития собственных
инвестиций и систему защиты прав национальных инвесторов, чтобы участвовать в
инвестиционной деятельности
.2 Состав и роль инвестиции в
основной капитал ПМР
Стратегическими целями
социально-экономической политики Приднестровской Молдавской Республики являются
обеспечение устойчивого повышения уровня жизни населения, наиболее низкая
степень зависимости от мировой конъюнктуры, стимулирование деловой активности
приднестровской экономики. Опыт экономического развития нашего государства за
почти 19 лет показывает, что рыночная экономика сама по себе не способна
автоматически, без прямого участия государства, регулировать
предпринимательскую и инвестиционную деятельность, регулировать социальные
процессы в интересах всего общества и каждого гражданина. Частный бизнес не
всегда заинтересован вкладывать капитал в социально значимые проекты типа
"Охраны окружающей среды". Бизнес не дает гарантий справедливого
распределения дохода, не обеспечивает право каждого члена общества на труд и на
финансовую поддержку незащищенных слоев населения. Эти проблемы решаются
государством.
Анализируя состояние Приднестровской
Молдавской Республики, динамику ее развития и тенденции экономического роста,
необходимо учитывать влияние внешних и внутренних факторов, периодически
накладывающих негативный отпечаток на экономическое развитие региона.
Положительные тенденции в экономике сменяются снижением темпов роста
макроэкономических показателей в периоды блокад и нестабильности
внешнеполитической ситуации.
Так, темпы социально-экономического
развития республики за 2003 год продолжались в 2004 и 2005 годах. Если эти годы
рассматривать как единый период "доблокадного" развития экономики, то
динамика основных макроэкономических показателей может быть представлена в
следующем виде:
прирост обобщающего показателя экономической
деятельности - валового внутреннего продукта - в этот период составил почти
30%,
денежные доходы населения возросли в
2,3 раза
несмотря на увеличение инфляции в
совокупности за три года на 31%, её значение в 2005 году (10,8%) снизилось
практически в 2 раза по сравнению с 2004 годом (20,4%). Следовательно, общие
доходы населения в этот период росли более быстрыми темпами, чем подорожание
жизни.
Итоговые показатели 2004-2005 годов
свидетельствуют о том, что развитие экономики республики в течение данного
периода происходило динамично и поступательно, что обеспечило стабильные темпы
роста основных макроэкономических показателей. Но в 2006 году ухудшение
внешнеполитической ситуации привело фактически к экономической блокаде
республики, что негативно повлияло на все сферы и отрасли экономики. В
наибольшей мере это сказалось на отрицательной динамике развития внешней
торговли, промышленности и транспорта. Экономические потери составили более 500
млн долларов. В этих непростых условиях сбалансированная
социально-экономическая политика государства, а также гуманитарная и финансовая
помощь Российской Федерации, позволили сохранить ориентир республики на
повышение уровня и качества жизни её населения. Реальная заработная плата даже
в период блокады выросла на 24% и пенсии - на 26,5%. Отсутствовали
задолженности по выплате пособий на детей и по безработице.
Социально-экономическую ситуацию в
республике в 2007 году и в первой половине 2008 года можно рассматривать как
период сохранения позитивных тенденций в развитии ряда сфер и отраслей
экономики. Однако мировой финансовый кризис, разразившийся к концу 2008 и в
2009 году, фактически свел на нет многие наши усилия. Особенностью развития
приднестровской экономики является необходимость одновременного повышения
уровня жизни и модернизация народно-хозяйственного комплекса, особенно его
промышленного потенциала, с масштабным отвлечением финансовых ресурсов на
обеспечение безопасности государства. В этих условиях важным рычагом
воздействия на предпринимательскую деятельность субъектов хозяйствования и
экономику страны является инвестиционная политика - одна из составных частей
экономической политики государства. При помощи инвестиционной политики
государство непосредственно может воздействовать на темпы развития и объемы
производства, на изменение структуры общественного производства и решение
многих социальных проблем. Наблюдавшееся в 2003-м и последующих годах оживление
экономики в Приднестровской Молдавской Республике кардинальным образом связано
с объявленной и реализуемой новой инвестиционной политикой государства. Это
выражалось принятием ряда законодательных и нормативно-правовых актов и
проведением приватизационных процессов в отношении государственной
собственности. Особенность приватизации в Приднестровье состояла в том, что для
этих целей не осуществлялась эмиссия соответствующих ценных бумаг (ваучеров,
чеков, бонов) и не создавались инвестиционные фонды. Приобретение собственности
проводилось исключительно на возмездной основе. При этом одним из главных приоритетов
государства в выборе новых собственников явилось установление условий выкупа
государственной собственности, при которых покупатель брал на себя
обязательство вложить в течение пяти лет конкретные инвестиции в предприятие и
достигнуть определенных объемов производства, а также ряд социальных
требований. С 2003 года приватизировано 146 объектов государственной
собственности в виде целостных предприятий, акционерных обществ или
государственной доли пакетов акций на общую сумму 421,6 млн долларов США. Активизация
приватизационных процессов в эти годы явилась источником финансовых поступлений
в бюджет и от инвестиционных вложений хозяйствующих субъектов. Объем инвестиций
увеличился с 397 млн рублей в 2003 году до 1411 млн рублей в 2007 году.
В эти годы кардинальным образом
изменилась инвестиционная политика государства. В общем объеме капитальных
вложений значительно возросли инвестиции, осуществляемые за счет собственных
средств предприятий и организаций. Так, если в 90-х годах доля собственных
средств предприятий и организаций в общей сумме капитальных вложений составляла
40-50%, то в 2003 году она достигла 95%, в 2008 году - 94%. При этом большая
часть этих средств направлялась хозяйствующими субъектами на поддержание в
рабочем состоянии имеющихся основных фондов, капитальный ремонт объектов
недвижимости и оборудования. В 2008 году инвестиции в основной капитал с учетом
оценки инвестиционных вложений субъектов малого предпринимательства и
индивидуальных застройщиков составили 1 487,1 млн руб. и превысили уровень
базового показателя 2007 года на 5%, а показателя 2003 года - почти в 4 раза.
Таким образом, в 2008 году достигнут наибольший уровень инвестиционной
активности за все предыдущие годы.
В 2008 году наблюдалось увеличение
доли инвестиций предприятиями смешанной формы собственности (с участием
иностранного капитала), которая составила 24%, а лидирующее место по
инвестиционным вложениям приходилось на организации частной формы собственности
- более 59%. Для сравнения: доля государственных и муниципальных инвестиций в
структуре инвестиционных вложений составила 16%.Понимая, что источником
устойчивого экономического роста может стать увеличение инвестиций в основной
капитал при неуклонно расширяющемся потребительском спросе, наибольшую долю
совокупного объема инвестиционных вложений в 2008 году (60%) мы направили на
строительство, реконструкцию и техническое перевооружение объектов
промышленного комплекса республики. Этот объем превысил сопоставимый уровень
2007 года на 4,6% и составил 674,0 млн. рублей. А всего в прошедшем году в
объекты производственного назначения было направлено инвестиций на 968,0 млн.
рублей, что на 10,0% в текущих ценах больше сопоставимого показателя 2007 года,
и составило в общем объеме инвестиционных вложений 86%.
Более высокие темпы роста
капитальных вложений в 2008 году наблюдались в транспортных организациях, где
высокая инвестиционная активность в III квартале способствовала расширению
итогового показателя в целом за 2008 год до 14,5 млн. рублей или в 2,5 раза,
его доля в структуре инвестиций составила 1,3%.
Благодаря помощи Российской
Федерации в 2008 году инвестиционные потоки на развитие сельского хозяйства
возросли в 2 раза и составили 128,0 млн. рублей. При этом их доля в отраслевой
структуре инвестиций увеличилась до 11%. Существенный прирост потока капитала
наблюдался также в отрасли "Торговля и общественное питание" (на
66%), его удельный вес в общей структуре инвестиций в основной капитал составил
1,5%.
Значительные инвестиционные потоки
приходятся на отрасли "Связь" и "Жилищное и коммунальное
строительство". Их доля в структуре инвестиционных вложений соответствует
8% и 6%. За 2008 год в эти отрасли было направлено 88 млн. рублей и 63 млн
рублей соответственно.
Рост инвестиционной активности
способствует улучшению текущей экономической ситуации, закладывает фундамент
для последующего устойчивого развития экономики. Поскольку основная часть
инвестиционных средств (свыше 90,0% от общего объема) направляется на
строительство, расширение, реконструкцию и техническое перевооружение объектов
производственного назначения, сам собой напрашивается вывод, что с приходом
нового собственника начался постепенный приток капитала, как в промышленное
производство, так и в экономику республики в целом.
В соответствии с Законом Приднестровской
Молдавской Республики "Об иностранных инвестициях" у нас закреплены
следующие принципы правового режима инвестиционной деятельности:
наличие официально провозглашенной и
стабильной государственной инвестиционной политики;
свободный режим ввоза капитала;
наличие налоговых льгот и
преференций для иностранных инвесторов, в том числе в таможенном режиме;
наличие определенных стимулов и
гарантий, поощряющих инвестиции в отдельные отрасли экономики;
наличие стимулов для работы
иностранных инвесторов на внутреннем рынке;
отсутствие ограничений на размер
иностранных инвестиций в приднестровские предприятия и возможность контроля над
ними.
Правильно определенные приоритетные
направления государственной инвестиционной политики конкретизируют роль
государства в этом процессе, обеспечивают взаимосвязь инвестиционной политики с
другими направлениями работы исполнительной власти в области экономики и
социального развития, помогают грамотно определить формы и масштабы
государственного вмешательства в инвестиционную деятельность.
Принципиально важно и то, что при
рассмотрении единой инвестиционной системы нам следует выделить инвестиционную
систему семьи (домашнего хозяйства), ресурсы которой предопределяют
платежеспособный спрос всего населения, а значит, стимулируют развитие
внутреннего рынка. Следовательно, семьи самым активным образом влияют на
государственную инвестиционную политику, обеспечивая обратную связь между
государством и системами их жизнеобеспечения, то есть обратную связь с реальной
жизнью. Не скрою и то, что неслучайным является сам факт проведения нашего
форума в год, объявленный в Приднестровье Годом семьи. Мы стремимся всячески
содействовать сохранению положительных тенденций в сфере доходов и уровня жизни
населения республики, понимая, что полноценное функционирование и развитие
инвестиционной системы отдельной семьи может служить интегральным критерием
эффективности не только государственной инвестиционной политики, но и
социально-экономической политики государства в целом.
Еще одной немаловажной проблемой при
рассмотрении целостной инвестиционной политики и системы ее жизнеобеспечения
является проблема инвестиционных возможностей финансовой системы республики с
учетом специфики ее функционирования. Можно отметить ограниченные
инвестиционные возможности коммерческих банков Приднестровья из-за нехватки
финансовых ресурсов, высоких инвестиционных рисков и других причин. Поэтому,
например, увеличение совокупного капитала приднестровских банков, которое
позволило бы повысить объем привлеченных средств населения во вклады, привлечь
инвестиции (в том числе и зарубежные) под республиканские программы, увеличить
объем кредитования реального сектора экономики, связано со многими трудностями.
В любом случае, в рамках реализации государственной инвестиционной политики
необходимо отслеживать динамику банковской системы республики с учетом
действующей сети филиалов иногородних банков, ее инвестиционные возможности.
Поскольку инвестиционная
деятельность без инновационной деятельности малоэффективна и конкурентоспособную
экономику без них сформировать невозможно, то акцентируем внимание и на таком
принципиальном вопросе. Социальная сфера и экономика кардинальным образом
перестраиваются, значит, настало время говорить и о структурных изменениях в
сфере науки, о ее потенциальной роли в социально-экономических преобразованиях,
о ее отдаче. Необходимо с экономических позиций оценить успехи и недостатки в
этой области, исключить устаревшие стереотипы, чтобы наметить конкретные пути
формирования грамотной инновационной политики и органов управления ею на
государственном уровне. Без этого условия создать фундаментальные основы
экономически эффективной инвестиционной системы будет весьма проблематично. Вот
почему среди представленных к рассмотрению на форуме проектов есть и целый ряд
инновационных предложений наших ученых.
Форуму представлены и отраслевые
уровни инвестиционной деятельности государства, которые учитывают специфику
развития отраслей экономики и социальной сферы при разработке отраслевых
инвестиционных стратегий, при формировании отраслевых инвестиционных систем.
При этом внимание акцентировано на деятельности отдельных предприятий,
предпринимательских структур, на формировании полноценной информационной базы,
чтобы обеспечить необходимую государственную поддержку предприятий, в первую
очередь, тех, которые проводят грамотную инвестиционную политику, а также на
взаимоотношениях власти и бизнеса.
Первый Приднестровский
инвестиционный форум, без сомнения, - особо значимое событие для экономического
развития Приднестровской Молдавской Республики. Для нас это еще одна
возможность представить экономический потенциал государства иностранным
инвесторам. Как показывает опыт, подобные форумы всегда результативны. Уверен,
что работа форума будет способствовать качественному росту инвестиционной
привлекательности Приднестровья, переходу производственного потенциала на
качественно новый уровень, увеличению занятости населения, и, как следствие,
реализации основной задачи республики - повысить жизненный уровень населения
нашего государства.
Глава II. Анализ инвестиционной
деятельности в основной капитал ПМР
.1 Первичный статистический анализ
данных
Для анализа инвестиционной
деятельности в основной капитал был использован статистический ежегодник
Приднестровской Молдавской Республики. Проведем первичную обработку показателей
инвестиционной деятельности в ПМР за период 2002-2011 гг. Исходными данными для
исследования являются инвестиции в основной капитал по источникам
финансирования.
Исходные данные введем в пакет SPSS
в редактор данных DataEditor
Рис.1. Набор переменных
Инвестиции в основной капитал по источникам финансирования
Создано всего 6
переменных, 5 из которых принадлежат к количественной, а одна к номинальной.
Таблицы частот для переменных
таблицы «Инвестиции в основной капитал по источникам финансирования»
Таблица 1.
|
Собственных_средств_организаций
|
|
|
Частота
|
Процент
|
Валидный процент
|
Кумулятивный процент
|
|
Валидные
|
105636
|
1
|
8,3
|
8,3
|
8,3
|
|
109903
|
1
|
8,3
|
8,3
|
16,7
|
|
135124
|
1
|
8,3
|
8,3
|
25,0
|
|
185369
|
1
|
8,3
|
8,3
|
33,3
|
|
208915
|
1
|
8,3
|
8,3
|
41,7
|
|
290972
|
1
|
8,3
|
8,3
|
50,0
|
|
526273
|
1
|
8,3
|
8,3
|
58,3
|
|
760816
|
1
|
8,3
|
8,3
|
66,7
|
|
960449
|
1
|
8,3
|
8,3
|
75,0
|
|
1052579
|
1
|
8,3
|
8,3
|
83,3
|
|
1423700
|
1
|
8,3
|
8,3
|
91,7
|
|
1468175
|
1
|
8,3
|
8,3
|
100,0
|
|
Итого
|
12
|
100,0
|
100,0
|
|
По данным таблиц (приложение 2)
частот можно сделать вывод, что значения таблицы «Инвестиции в основной капитал
по источникам финансирования» одинаковы. Это подтверждают также (приложение 1)
полученные столбчатые диаграммы для частотного распределения по этим же
переменным.
Следующим этапом частотного анализа
данных является получение описательных статистик. Для каждой переменной
определим следующие статистические характеристики:
Стандартная ошибка среднего
значения. В интервале шириной, равной удвоенной стандартной ошибке, отложенному
вокруг среднего значения, располагается среднее значение генеральной
совокупности с вероятностью примерно 67%. Стандартная ошибка определяется как
стандартное отклонение, деленное на квадратный корень из объема выборки.
Медиана - это точка на шкале
измеренных значений, выше и ниже которой лежит по половине всех измеренных
значений.
Мода - это значение, которое
наиболее часто встречается в выборке. Если распределение имеет несколько мод,
то говорят, оно мультимодально или многомодально (имеет два и более «пика»).
Стандартное отклонение. Оно равно
квадратному корню из дисперсии. В интервале шириной, равной удвоенному
стандартному отклонению, который отложен по обе стороны от среднего значения,
располагается примерно 67% всех значений выборки, подчиняющейся нормальному
распределению.
Дисперсия. Она определяется как
сумма квадратов отклонений всех измеренных значений от их среднеарифметического
значения, деленная на количество измерений минус 1.
Размах - разница между наибольшим
значением (максимумом) и наименьшим значением (минимумом).
Процентили: Здесь имеются в виду
значения процентилей, определяемые пользователем. Введем значения процентилей
10,20,30,40,50,60,70,80,90.
Таблица 2
Таблица описательных статистик
|
Статистики
|
|
|
Всего
|
Республиканский_бюджет
|
Местный_бюджет
|
Собственных_средств_организаций
|
Прочих_источников
|
|
N
|
Валидные
|
12
|
12
|
12
|
12
|
12
|
|
Пропущенные
|
0
|
0
|
0
|
0
|
0
|
|
Среднее
|
669560,00
|
38287,42
|
13501,58
|
602325,92
|
15611,75
|
|
Медиана
|
436898,00
|
9247,50
|
12598,00
|
408622,50
|
10759,50
|
|
Мода
|
110384a
|
200a
|
0a
|
105636a
|
267a
|
|
Стд. Отклонение
|
577739,212
|
58986,456
|
10282,932
|
515157,387
|
15051,333
|
|
Дисперсия
|
3,338E11
|
3,479E9
|
1,057E8
|
2,654E11
|
2,265E8
|
|
Размах
|
1557835
|
145416
|
33733
|
1362539
|
44927
|
|
Минимум
|
110384
|
200
|
0
|
105636
|
267
|
|
Максимум
|
1668219
|
145616
|
33733
|
1468175
|
45194
|
|
Сумма
|
8034720
|
459449
|
162019
|
7227911
|
187341
|
|
Процентили
|
10
|
115781,30
|
260,00
|
120,00
|
106916,10
|
354,00
|
|
20
|
138528,80
|
1105,00
|
4075,60
|
125035,60
|
2499,80
|
|
25
|
161525,50
|
1636,75
|
6632,75
|
147685,25
|
3815,00
|
|
30
|
203717,00
|
1797,30
|
6910,30
|
180344,50
|
3867,00
|
|
40
|
246046,60
|
4517,00
|
9797,60
|
225326,40
|
4821,80
|
|
50
|
436898,00
|
9247,50
|
12598,00
|
408622,50
|
10759,50
|
|
60
|
859644,60
|
10078,00
|
15340,80
|
713907,40
|
17258,00
|
|
70
|
1029332,90
|
27707,80
|
16844,70
|
969662,00
|
24814,20
|
|
75
|
1097920,25
|
95170,00
|
17798,25
|
1029546,50
|
29567,00
|
|
80
|
1311257,60
|
128380,20
|
22588,60
|
1201027,40
|
32611,40
|
|
90
|
1645261,50
|
143713,70
|
32380,30
|
1454832,50
|
41966,60
|
|
a. Имеется несколько мод. Показана наименьшая.
|
Проанализируем полученные
результаты: Средние значение всех инвестиций за период с 2002 по 2011 составило
669560.00 из них инвестиции за счёт республиканского бюджета - 38287.42,за счёт
местного бюджета -13501.58,за счёт собственных средств организаций - 602235.92
и прочих источников - 15611.75. Медиана (значение признака, разделяющее всю
совокупность, упорядоченную по возрастанию значения признака, на две равные по
численности части) - 436898.00.Мода (наиболее часто встречающееся в
совокупности значение) - 110384.Максимальная сумма инвестиций за период с 2002
- 2011 составила 1668219, а минимальная сумма инвестиций - 110384.Размах
составил 1557835.
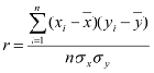
.2 Корреляционный анализ данных
Графическое представление
корреляционной зависимости. Для графического представления корреляционной связи
можно использовать прямоугольную систему координат с осями, которые
соответствуют обеим переменным. Каждая пара значений маркируется при помощи
определенного символа. Такой график называется диаграммой рассеяния. Она
строится для переменных, которые как минимум относятся к интервальной шкале.
Существует 4 вида диаграмм:
Простая диаграмма
Матричная диаграмма
Наложенная диаграмма
-D диаграмма
Мы воспользуемся простой диаграммой
рассеивания. Корреляционный анализ Инвестиции в основной капитал по источникам
финансирования
Рис.4. Диаграмма
рассеивания между переменными «Всего» и «республиканский бюджет»
По полученной простой
диаграмме рассеяния (рис.7) можно сделать вывод, что между переменными «Всего»
и «республиканский бюджет» существует положительная корреляционная зависимость
(чем больше значение одной переменной, тем больше значение второй). По
приближенности друг к другу точек можно судить о степени этой связи.
Количественно ее можно оценить с помощью коэффициента корреляции.
Коэффициент корреляции
Пирсона. Так как переменные измерены в интервальной шкале, то для расчета
корреляционной зависимости используем коэффициент корреляции Пирсона.
Коэффициент корреляции Пирсона также носит название линейного корреляционного
коэффициента и рассчитывается по следующей формуле:
где
и
-
значения двух переменных,
и
-
их средние значения,
и
-
стандартные отклонения, - количество пар значений (объем выборки).
Вычислим коэффициент
корреляции Пирсона в пакете SPSS.
Таблица 3
Таблица корреляции
переменных «Всего» и «республиканский бюджет»
|
Корреляции
|
|
|
Всего
|
Республиканский_бюджет
|
|
Всего
|
Корреляция Пирсона
|
1
|
,748**
|
|
Знч.(2-сторон)
|
|
,005
|
|
N
|
12
|
12
|
|
Республикански_бюджет
|
Корреляция Пирсона
|
,748**
|
1
|
|
Знч.(2-сторон)
|
,005
|
|
|
N
|
12
|
12
|
|
**. Корреляция значима на уровне 0.01 (2-сторон.).
|
Полученные результаты содержат:
корреляционный коэффициент Пирсона r, количество использованных пар значений
переменных (N=12) и вероятность ошибки р, соответствующая предположению о
ненулевой корреляции. В приведенном примере существует сильная корреляция
(r=0,748), поэтому все коэффициенты являются сверхзначимыми (p<0,005).
Корреляционный анализ «всего» и
«местный бюджет»
Рис.5. Диаграмма
рассеивания между переменными «всего» и «местный бюджет»
По полученной простой
диаграмме рассеяния (рис.8) можно сделать вывод, что между переменными «всего»
и «местный бюджет» существует положительная корреляционная зависимость (чем
больше значение одной переменной, тем больше значение второй). По
приближенности друг к другу точек можно судить о степени этой связи.
Количественно ее можно оценить с помощью коэффициента корреляции.
Таблица 4
|
Корреляции переменных «всего» и «местный бюджет»
|
|
|
Всего
|
Местный_бюджет
|
|
Всего
|
Корреляция Пирсона
|
1
|
,849**
|
|
Знч.(2-сторон)
|
|
,000
|
|
N
|
12
|
12
|
|
Местный_бюджет
|
Корреляция Пирсона
|
,849**
|
1
|
|
Знч.(2-сторон)
|
,000
|
|
|
N
|
12
|
12
|
|
**. Корреляция значима на уровне 0.01 (2-сторон.).
|
Полученные результаты содержат:
корреляционный коэффициент Пирсона r, количество использованных пар значений
переменных (N=12) и вероятность ошибки р, соответствующая предположению о
ненулевой корреляции. В приведенном примере существует сильная корреляция
(r=0,849), поэтому все коэффициенты являются сверхзначимыми (p<0,000).
Рис.6. Диаграмма
рассеивания между переменными «Всего» и «Собственных средств организаций»
статистический анализ
инвестиционный
По полученной простой
диаграмме рассеяния (рис.9) можно сделать вывод, что между переменными «всего»
и «Собственных средств организаций» существует положительная корреляционная
зависимость (чем больше значение одной переменной, тем больше значение второй).
По приближенности друг к другу точек можно судить о степени этой связи.
Количественно ее можно оценить с помощью коэффициента корреляции.
Вычислим коэффициент
корреляции Пирсона в пакете SPSS.
Таблица 5
|
Таблицы корреляции переменных «всего» и «собственных средств
организаций»
|
|
|
Всего
|
Собственных_средств_организаций
|
|
Всего
|
Корреляция Пирсона
|
1
|
,998**
|
|
Знч.(2-сторон)
|
|
,000
|
|
N
|
12
|
12
|
|
Собственных_средств_организаций
|
Корреляция Пирсона
|
,998**
|
1
|
|
Знч.(2-сторон)
|
,000
|
|
|
N
|
12
|
12
|
|
**. Корреляция значима на уровне 0.01 (2-сторон.).
|
Полученные результаты содержат:
корреляционный коэффициент Пирсона r, количество использованных пар значений
переменных (N=12) и вероятность ошибки р, соответствующая предположению о
ненулевой корреляции. В приведенном примере существует сильная корреляция
(r=0,998), поэтому все коэффициенты являются сверхзначимыми (p<0,000).
Корреляционный анализ по переменным
«всего» и «прочих источников»
Рис.7. Диаграмма
рассеивания между переменными «всего» и «прочих источников»
По полученной простой
диаграмме рассеяния (рис.10) можно сделать вывод, что между переменными «всего»
и «прочих источников» существует положительная корреляционная зависимость (чем
больше значение одной переменной, тем больше значение второй). По
приближенности друг к другу точек можно судить о степени этой связи. Количественно
ее можно оценить с помощью коэффициента корреляции.
Вычислим коэффициент
корреляции Пирсона в пакете SPSS.
Таблица 6
Таблица корреляции переменных
«всего» и «прочих источников»
|
Корреляции
|
|
|
Всего
|
Прочих_источников
|
|
Всего
|
Корреляция Пирсона
|
1
|
,712**
|
|
Знч.(2-сторон)
|
|
,009
|
|
N
|
12
|
12
|
|
Прочих_источников
|
Корреляция Пирсона
|
,712**
|
1
|
|
Знч.(2-сторон)
|
,009
|
|
|
N
|
12
|
12
|
|
**. Корреляция значима на уровне 0.01 (2-сторон.).
|
Полученные результаты содержат:
корреляционный коэффициент Пирсона r, количество использованных пар значений
переменных (N=12) и вероятность ошибки р, соответствующая предположению о
ненулевой корреляции. В приведенном примере существует сильная корреляция
(r=0,712), поэтому все коэффициенты являются сверхзначимыми (p<0,009).
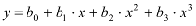
.3 Регрессионный анализ данных
Если расчёт корреляции характеризует
силу связи между переменными, то регрессионный анализ служит для определения
вида этой связи и дает возможность для прогнозирования значения одной
(зависимой) переменной, отталкиваясь от значения другой независимой переменной.
Целью регрессионного анализа
является подбор наиболее подходящей под данный вид связи линии регрессии. Можно
выбрать одну из следующих различных моделей, которым соответствуют формулы
С помощью регрессионного анализа мы
можем определить вид связи, а также выразить ее с помощью уравнения регрессии.
Таблица 7
Сначала исследуем зависимость между
«всего» и «республиканский бюджет»
|
Сводка модели и оценки параметров
|
|
Зависимая переменная:Всего
|
|
Уравнение
|
Сводка для модели
|
Оценки параметра
|
|
-квадрат
|
F
|
тт.св.1
|
ст.св.2
|
Знч.
|
Константа
|
b1
|
b2
|
b3
|
|
Линейный
|
,560
|
12,702
|
1
|
0
|
005
|
389054,703
|
7,326
|
|
|
|
Логарифмическая
|
586
|
4,155
|
1
|
0
|
,004
|
-1130798,594
|
201945,684
|
|
|
|
Обратная
|
222
|
,859
|
1
|
0
|
122
|
811397,482
|
-1,816E8
|
|
|
|
Квадратичный
|
655
|
,539
|
2
|
9
|
008
|
237648,100
|
34,836
|
000
|
|
|
Кубический
|
667
|
,338
|
3
|
8
|
026
|
293264,158
|
22,136
|
,623E-5
|
1,161E-9
|
|
Составная
|
,456
|
8,379
|
1
|
10
|
,016
|
280152,305
|
1,000
|
|
|
|
Степенная
|
,593
|
14,573
|
1
|
10
|
,003
|
18014,468
|
,358
|
|
|
|
S
|
,343
|
5,212
|
1
|
10
|
,046
|
13,299
|
-397,052
|
|
|
|
Роста
|
,456
|
8,379
|
1
|
10
|
,016
|
12,543
|
1,165E-5
|
|
|
|
Экспоненциальная
|
,456
|
8,379
|
1
|
10
|
,016
|
280152,305
|
1,165E-5
|
|
|
|
Логистическая
|
,456
|
8,379
|
1
|
10
|
,016
|
3,569E-6
|
1,000
|
|
|
|
Независимой переменной является Республиканский_бюджет.
|
Рис.8. Подбор линии
регрессии для переменных «всего» и «республиканский бюджет»
На графике (рис.11)
изображены различные виды линий регрессии для связи общего числа инвестиций и
за счёт республиканского бюджета. Необходимо определить, какая из них наиболее
точно описывает вид связи между переменными. Качество подобранной линии
регрессии оценивается с помощью коэффициента детерминации (R-квадрат). Эта
величина характеризует степень соответствия между регрессионной моделью и
исходными данными. Мера определенности всегда лежит в диапазоне от 0 до 1. По
максимальному значению коэффициента детерминации определим вид нашего
уравнения. квадрат максимальный равен 0,667 и соответствует кубическому виду
связи и уравнению
.
Коэффициенты b0,b1,b2,b3выведены в соответствующей строке и равны 0,
22.136,5,623E-5,-1,161E-9 соответственно.
Уравнение регрессии
имеет вид:
Всего=22,136*(Республиканский
бюджет)+5,623E-5*(Республиканский бюджет)2-1,161E-9(Республиканский бюджет)3
Теперь исследуем зависимость между
«Всего» и «Местный Бюджет»
Таблица регрессионного анализа 2
|
Сводка модели и оценки параметров
|
|
Зависимая переменная:Всего
|
|
Уравнение
|
Сводка для модели
|
Оценки параметра
|
|
R-квадрат
|
F
|
ст.св.1
|
ст.св.2
|
Знч.
|
Константа
|
b1
|
b2
|
b3
|
|
Линейный
|
,222
|
25,921
|
1
|
10
|
,000
|
25166,166
|
47,727
|
|
|
|
Логарифмическаяa
|
.
|
.
|
.
|
.
|
.
|
,000
|
,000
|
|
|
|
Обратнаяb
|
.
|
.
|
.
|
.
|
.
|
,000
|
,000
|
|
|
|
Квадратичный
|
,725
|
11,889
|
2
|
9
|
,003
|
-26603,203
|
58,034
|
,000
|
|
|
Кубический
|
,748
|
7,936
|
3
|
8
|
,009
|
60617,978
|
1,283
|
,005
|
-1,057E-7
|
|
Составная
|
,780
|
35,472
|
1
|
10
|
,000
|
134452,223
|
1,000
|
|
|
|
Степеннаяa
|
.
|
.
|
.
|
.
|
.
|
,000
|
,000
|
|
|
|
Sb
|
.
|
.
|
.
|
.
|
.
|
,000
|
,000
|
|
|
|
Роста
|
,780
|
35,472
|
1
|
10
|
,000
|
11,809
|
8,741E-5
|
|
|
|
Экспоненциальная
|
,780
|
35,472
|
1
|
10
|
,000
|
134452,223
|
8,741E-5
|
|
|
|
Логистическая
|
,780
|
35,472
|
1
|
10
|
,000
|
7,438E-6
|
1,000
|
|
|
|
Независимой переменной является Местный_бюджет.
|
|
a. Независимая переменная (Местный_бюджет) содержит
неположительные значения. Минимальное значение равно 0. Логарифмическая и
Степенная модели не могут быть оценены.
|
|
b. Независимая переменная (Местный_бюджет) содержит нулевые
значения. Обратная и S модели не могут быть оценены.
|
Рис.9. Подбор линии
регрессии для переменных «всего» и «местный бюджет»
На графике (рис.12)
изображены различные виды линий регрессии для связи общего числа инвестиций и
за счёт местного бюджета. Необходимо определить, какая из них наиболее точно
описывает вид связи между переменными. Качество подобранной линии регрессии
оценивается с помощью коэффициента детерминации (R-квадрат). Эта величина
характеризует степень соответствия между регрессионной моделью и исходными
данными. Мера определенности всегда лежит в диапазоне от 0 до 1. По
максимальному значению коэффициента детерминации определим вид нашего уравнения.
квадрат максимальный равен 0,748 и соответствует кубическому виду связи и
уравнению
.
Коэффициентывыведены в соответствующей строке и равны 0, 1.283,
0.005,-1.057E-7.
Уравнение регрессии
имеет вид:
Всего = 1,283*(Местный
Бюджет)+0,005*(Местный Бюджет)2-1,057E-7*(Местный Бюджет)3.
Теперь исследуем связь
между «всего» и «собственных средств организаций».
Таблица регрессионного анализа 3
|
Сводка модели и оценки параметров
|
|
Зависимая переменная:Всего
|
|
Уравнение
|
Сводка для модели
|
Оценки параметра
|
|
R-квадрат
|
F
|
ст.св.1
|
ст.св.2
|
Знч.
|
Константа
|
b1
|
b2
|
3
|
|
Линейный
|
,996
|
2606,100
|
1
|
10
|
,000
|
-4644,786
|
1,119
|
|
|
|
Логарифмическая
|
,909
|
100,241
|
1
|
10
|
,000
|
-6359130,320
|
|
|
|
Обратная
|
,697
|
23,051
|
1
|
0
|
,001
|
1227893,345
|
-1,451E11
|
|
|
|
Квадратичный
|
,996
|
1201,547
|
2
|
9
|
,000
|
4313,708
|
1,074
|
3,067E-8
|
|
|
Кубический
|
,997
|
803,445
|
3
|
8
|
,000
|
-35755,452
|
1,397
|
-4,876E-7
|
,186E-13
|
|
Составная
|
,916
|
108,444
|
1
|
10
|
,000
|
140169,005
|
1,000
|
|
|
|
Степенная
|
,998
|
4638,423
|
1
|
10
|
,000
|
1,020
|
1,006
|
|
|
|
S
|
,910
|
101,447
|
1
|
10
|
,000
|
14,113
|
-291994,375
|
|
|
|
Роста
|
,916
|
108,444
|
1
|
10
|
,000
|
11,851
|
1,890E-6
|
|
|
|
Экспоненциальная
|
,916
|
108,444
|
1
|
10
|
,000
|
140169,005
|
1,890E-6
|
|
|
|
Логистическая
|
,916
|
108,444
|
1
|
10
|
,000
|
7,134E-6
|
1,000
|
|
|
|
Независимой переменной является Собственных_средств_организаций.
|
Рис.10. Подбор линии
регрессии для переменных «всего» и «собственных средств организаций»
На графике (рис.13)
изображены различные виды линий регрессии для связи общей площади
лесонасаждений и площади, непокрытой лесом. Необходимо определить, какая из них
наиболее точно описывает вид связи между переменными. Качество подобранной
линии регрессии оценивается с помощью коэффициента детерминации (R-квадрат).
Эта величина характеризует степень соответствия между регрессионной моделью и
исходными данными. Мера определенности всегда лежит в диапазоне от 0 до 1. По
максимальному значению коэффициента детерминации определим вид нашего
уравнения. квадрат максимальный равен 0,998 и соответствует степенному виду
связи и уравнению
.
Коэффициенты
и
выведены
в соответствующей строке и равны 0 и 1.
Уравнение регрессии
имеет вид:
Всего =
1.006(Собственных средств организаций)
Теперь исследуем связь
между «всего» и «прочих источников».
Таблица регрессионного анализа 4
|
Сводка модели и оценки параметров
|
|
Зависимая переменная: Всего
|
|
Уравнение
|
Сводка для модели
|
Оценки параметра
|
|
R-квадрат
|
F
|
ст.св.1
|
ст.св.2
|
Знч.
|
Константа
|
b1
|
b2
|
b3
|
|
Линейный
|
,507
|
00,266
|
1
|
10
|
,009
|
243055,374
|
27,319
|
|
|
|
Логарифмическая
|
,427
|
б,452
|
1
|
10
|
,021
|
-1387123,876
|
231454,182
|
|
|
|
Обратная
|
,181
|
2,214
|
1
|
10
|
,168
|
792243,518
|
-2,200E8
|
|
|
|
Квадратичный
|
,508
|
4,639
|
2
|
9
|
,041
|
262688,579
|
23,100
|
,000
|
|
|
Кубический
|
,599
|
3,981
|
3
|
8
|
,052
|
46013,544
|
111,789
|
-,005
|
7,915E-8
|
|
Составная
|
,480
|
б,226
|
1
|
10
|
,013
|
210637,236
|
1,000
|
|
|
|
Степенная
|
,447
|
8,082
|
1
|
10
|
,017
|
10750,057
|
,417
|
|
|
|
S
|
,218
|
2,782
|
1
|
10
|
,126
|
13,226
|
-424,675
|
|
|
|
Роста
|
,480
|
9,226
|
1
|
10
|
,013
|
12,258
|
4,684E-5
|
|
|
|
Экспоненциальная
|
,480
|
9,226
|
1
|
10
|
,013
|
210637,236
|
4,684E-5
|
|
|
|
Логистическая
|
,480
|
9,226
|
1
|
10
|
,013
|
4,747E-6
|
1,000
|
|
|
|
Независимой переменной является Прочих_источников.
|
Рис.14. Подбор линии
регрессии для переменных «всего» и «прочих источников»
На графике (рис.14)
изображены различные виды линий регрессии для связи общей площади
лесонасаждений и площади, непокрытой лесом. Необходимо определить, какая из них
наиболее точно описывает вид связи между переменными. Качество подобранной
линии регрессии оценивается с помощью коэффициента детерминации (R-квадрат).
Эта величина характеризует степень соответствия между регрессионной моделью и исходными
данными. Мера определенности всегда лежит в диапазоне от 0 до 1. По
максимальному значению коэффициента детерминации определим вид нашего
уравнения. квадрат максимальный равен 0,599 и соответствует кубическому виду
связи и уравнению
.
Коэффициенты выведены в соответствующей строке и равны
0,111.789,-0.005,7,915E-8.
Уравнение регрессии
имеет вид:
Всего = 111.789*(Прочих
источников)-0,005*(Прочих источников)2+7,915E-8*(Прочих источников)3
.4 Анализ временных
рядов
Временной ряд - это
последовательность чисел; его элементы - это значения некоторого протекающего
во времени процесса. Проведем анализ временных рядов.
Целью прикладного
статистического анализа временных рядов является построение математической
модели ряда, с помощью которой можно объяснить поведение ряда и осуществить
прогноз его дальнейшего поведения.
Найдем уравнение
регрессии, характеризующее зависимость между инвестициями за счёт
республиканского бюджета и годами.
Таблица 8
|
Сводка модели и оценки параметров
|
|
Зависимая переменная: Год
|
|
Уравнение
|
Сводка для модели
|
Оценки параметра
|
|
R-квадрат
|
F
|
ст.св.1
|
ст.св.2
|
Знч.
|
Константа
|
b1
|
b2
|
b3
|
|
Линейный
|
,530
|
11,299
|
1
|
10
|
,007
|
2003,795
|
4,452E-5
|
|
|
|
Логарифмическая
|
,270
|
3,694
|
1
|
10
|
,084
|
1997,877
|
,855
|
|
|
|
Обратная
|
,002
|
,022
|
1
|
10
|
,884
|
2005,589
|
-113,416
|
|
|
|
Квадратичный
|
,531
|
5,105
|
2
|
9
|
,033
|
2003,699
|
6,210E-5
|
-1,238E-10
|
|
|
Кубический
|
,581
|
3,704
|
3
|
8
|
,062
|
2004,408
|
-9,978E-5
|
3,062E-9
|
-1,480E-14
|
|
Составная
|
,530
|
11,274
|
1
|
10
|
,007
|
2003,794
|
1,000
|
|
|
|
Степенная
|
,269
|
3,684
|
1
|
10
|
,084
|
1997,896
|
,000
|
|
|
|
S
|
,002
|
,022
|
1
|
10
|
,885
|
7,604
|
-,056
|
|
|
|
Роста
|
,530
|
11,274
|
1
|
10
|
,007
|
7,603
|
2,219E-8
|
|
|
|
Экспоненциальная
|
,530
|
11,274
|
1
|
10
|
,007
|
2003,794
|
2,219E-8
|
|
|
|
Логистическая
|
,530
|
11,274
|
1
|
10
|
,007
|
,000
|
1,000
|
|
|
|
Независимой переменной является Республиканский_бюджет.
|
Рис.11. Подбор линии
тренда для переменных «год» и «Республиканский бюджет»
На графике (рис.15)
изображены различные виды линий регрессии для связи инвестиций за счёт
республиканского бюджета и годами. Необходимо определить, какая из них наиболее
точно описывает вид связи между переменными. Качество подобранной линии
регрессии оценивается с помощью коэффициента детерминации (R-квадрат). Эта
величина характеризует степень соответствия между регрессионной моделью и исходными
данными. Мера определенности всегда лежит в диапазоне от 0 до 1. По
максимальному значению коэффициента детерминации определим вид нашего
уравнения. квадрат максимальный равен 0,843 и соответствует кубическому виду
связи и уравнению
.
Коэффициенты выведены в соответствующей строке и равны 0,-9,978E-5,3,062E-9 и
-1,480E-14.
Уравнение регрессии
имеет вид:
Найдем уравнение
регрессии, характеризующее зависимость между инвестициями за счёт местного
бюджета и годами.
Таблица 9
|
Сводка модели и оценки параметров
|
|
Зависимая переменная:Год
|
|
Уравнение
|
Сводка для модели
|
Оценки параметра
|
|
R-квадрат
|
F
|
ст.св.1
|
ст.св.2
|
Знч.
|
Константа
|
b1
|
b2
|
b3
|
|
Линейный
|
,431
|
7,569
|
1
|
10
|
,020
|
2002,393
|
,000
|
|
|
|
Логарифмическаяa
|
.
|
.
|
.
|
.
|
.
|
,000
|
,000
|
|
|
|
Обратнаяb
|
.
|
.
|
.
|
.
|
.
|
,000
|
,000
|
|
|
|
Квадратичный
|
3,943
|
2
|
9
|
,059
|
2003,389
|
3,186E-5
|
6,021E-9
|
|
|
Кубический
|
,692
|
5,994
|
3
|
8
|
,019
|
2005,089
|
-,001
|
1,048E-7
|
-2,060E-12
|
|
Составная
|
,430
|
7,559
|
1
|
10
|
,021
|
2002,393
|
1,000
|
|
|
|
Степеннаяa
|
.
|
.
|
.
|
.
|
.
|
,000
|
,000
|
|
|
|
Sb
|
.
|
.
|
.
|
.
|
.
|
,000
|
,000
|
|
|
|
Роста
|
,430
|
7,559
|
1
|
10
|
,021
|
7,602
|
1,147E-7
|
|
|
|
Экспоненциальная
|
,430
|
7,559
|
1
|
10
|
,021
|
2002,393
|
1,147E-7
|
|
|
|
Логистическая
|
,430
|
7,559
|
1
|
10
|
,021
|
,000
|
1,000
|
|
|
|
Независимой переменной является Местный_бюджет.
|
|
a. Независимая переменная (Местный_бюджет) содержит
неположительные значения. Минимальное значение равно 0. Логарифмическая и
Степенная модели не могут быть оценены.
|
|
b. Независимая переменная (Местный_бюджет) содержит нулевые
значения. Обратная и S модели не могут быть оценены.
|
Рис.12. Подбор линии
тренда для переменных «год» и «местный бюджет»
На графике изображены
различные виды линий регрессии для связи инвестиций за счёт республиканского
бюджета и годами. Необходимо определить, какая из них наиболее точно описывает
вид связи между переменными. Качество подобранной линии регрессии оценивается с
помощью коэффициента детерминации (R-квадрат). Эта величина характеризует
степень соответствия между регрессионной моделью и исходными данными. Мера
определенности всегда лежит в диапазоне от 0 до 1. По максимальному значению
коэффициента детерминации определим вид нашего уравнения. квадрат максимальный
равен 0,692 и соответствует кубическому виду связи и уравнению
.
Коэффициенты выведены в соответствующей строке и равны 0,-0,001,1,048E-7 и
-2,060E-12
Заключение
В ходе курсовой работы был проведен
статистический анализ данных по инвестиционной деятельности в ПМР за 2002-2011
гг.
Были проведены:
Первичный статистический анализ инвестиционной
деятельности в Приднестровье;
Корреляционный анализ зависимости
между общим числом инвестиций и инвестиций за счёт республиканского бюджета;
Анализ динамики изменения количества
инвестиций за 2002-2011 гг.
По результатам обработки данных
посредством статистического пакета SPSS можно сделать следующие выводы:
На первом этапе статистического
исследования проведен частотный анализ показателей инвестиций в основной
капитал. Был сделан вывод, что значения не повторялись и частоты равны 1.
Также для каждой переменной
определили следующие описательные характеристики: среднее значение, медиану,
моду, дисперсию, размах выборки, максимум, минимум, сумму всех значений,
процентили.
На следующем этапе был проведен
корреляционный анализ инвестиционной деятельности.
Коэффициент корреляции всегда имел
сильную положительную корреляционную зависимость.
Далее был проведен регрессионный
анализ показателей инвестиционной деятельности. Функциональная зависимость
результата от факторов представлена следующими уравнениями:
Всего=22,136*(Республиканский
бюджет)+5,623E-5*(Республиканский бюджет)2-1,161E-9(Республиканский бюджет)3
Проведен анализ временных рядов
инвестиционной деятельности за 2002-2011 гг. Проведено моделирование тенденции
временного ряда. Наиболее подходящей линией тренда при анализе инвестиционной
деятельности является кубическая. Таким образом, моделью тренда показателей
инвестиционной деятельности является уравнение:
Несмотря на наличие разнообразных
ограничений, в течение исследуемого периода происходил устойчивый рост основных
показателей.
Список использованных источников
1. Статистический сборник ПМР 2011 г.
. Ахим Бююль, Петер Цёфель, SPSS - искусство обработки
информации Diasoft
. Материалы научно-практической конференции «Педагог и
общество»
. Материалы международной научно-практической конференции
«Проблемы экономики Приднестровья и пути их решения»
. Дубнов П.Ю. Обработка статистической информации с помощью
SPSS/ Москва, NTPress
. Долгов ЮА. Сбор, обработка и моделирование
экспериментальной информации: Учебное пособие. - Тирасполь: РИО ПГКУ
. http://www.pridnestrovie-daily.net/gazeta/articles/view.aspx?ArticleID=13767
. http://gov-pmr.org/press/messages/item1024.html
. http://rumanager.com/investicionnaya-deyatelnost-kak-obekt-issledovaniya/