Статистический анализ и перспективы занятости в Красноярском крае

  • Вид работы:
    Курсовая работа (т)
  • Предмет:
    Эктеория
  • Язык:
    Русский
    ,
    Формат файла:
    MS Word
    186,3 Кб
  • Опубликовано:
    2014-10-25
Вы можете узнать стоимость помощи в написании студенческой работы.
Помощь в написании работы, которую точно примут!

Статистический анализ и перспективы занятости в Красноярском крае

Министерство образования и науки Российской Федерации

Федеральное государственное бюджетное образовательное учреждение

высшего профессионального образования

«РОССИЙСКИЙ ЭКОНОМИЧЕСКИЙ УНИВЕРСИТЕТ ИМЕНИ Г.В. ПЛЕХАНОВА»

Ивановский филиал

Кафедра финансов, кредита и экономической безопасности

Учебная дисциплина: Статистика





Курсовая работа

«Статистический анализ и перспективы занятости в Красноярском крае»








Иваново 2014

ВВЕДЕНИЕ

Экономический рост, процветание любой страны и региона зависят не только от удачного географического положения, наличия природных ресурсов и благоприятной истории развития, но и от особых усилий общества и государства по решению стратегических задач развития.

Финансово-экономический кризис 2008-2009 гг. особенно жестко обозначил ситуацию исторического вызова - выбора направления социально-экономического развития - как в целом для страны, так и для входящих в нее регионов. Это выбор между вариантом будущего «Россия - сырьевой придаток мира» и вариантом «Россия - страна с диверсифицированной экономикой, обладающая мощным инновационно-технологическим потенциалом». Если первый вариант складывается инерционным образом, то во втором нужно серьезно пересмотреть существующие стратегии социально-экономического развития, позиции власти и общества в отношении задач сохранения и развития человеческого капитала. Особенно важной в этом случае является роль федеральных университетов, которые должны стать ключевыми субъектами развития в сфере образования и инновационно-технологической деятельности, полигонами по разработке и апробации новых социально-культурных практик.

Развитие человеческого капитала страны - это ключевая тема Концепции долгосрочного социально-экономического развития Российской Федерации на период до 2020 г., утвержденной Правительством в 2008 г. Для решения этой задачи не только выполнили большую аналитическую работу (анализ публикаций российских и зарубежных «фабрик мысли»), но и провели Делфи-опрос экспертов, в число которых вошли ведущие ученые, представители власти и бизнеса, политики и общественные деятели Красноярского края.

Особенность Красноярского края - его срединное положение в Российской Федерации и Евразии определяет одну из его ключевых функций - обеспечение экономической, транспортной и социально-культурной связности страны и континента. Это означает, что население Красноярского края, помимо его включенности в социально-экономические процессы, выполняет также важнейшую геополитическую функцию - самим фактом своего проживания удерживает территориальную целостность России и ее цивилизационное присутствие в Северной и Северо-Восточной Азии. Расширяющееся в долгосрочной перспективе освоение и обживание территорий Красноярского края является важным фактором национальной безопасности России, сохранения территориальной целостности и контроля над природными ресурсами Сибири и Дальнего Востока. Осмысливая перспективы и проблемы наращивания человеческого капитала Красноярского края, необходимо учитывать эту функцию связывания территории России в единое пространство; она приоритетна в сравнении с более узкими экономическими функциями.

Целью курсовой работы является статистический анализ занятости населения Красноярского края.

Для достижения поставленной цели были сформулированы следующие задачи исследования:

. Рассмотреть теоретические основы статистического анализа населения.

. Проанализировать структуру и динамику занятости населения.

. Провести анализ статистических данных по Красноярскому краю.

. Спрогнозировать занятость населения Красноярского края.

Объект исследования: города и районы Красноярского края.

Предмет исследования: показатели, характеризующие уровень занятости в Красноярском крае (удельный вес населения в трудоспособном возрасте, инвестиции в основной капитал, численность ищущих работу граждан, не занятых трудовой деятельностью).

РАЗДЕЛ 1. ТЕОРЕТИЧЕСКИЕ ОСНОВЫ СТАТИСТИКИ ЗАНЯТОСТИ НАСЕЛЕНИЯ

.1 Статистические показатели занятости

В нашей стране для расчета общей по регионам численности занятых в течение года служат данные текущей отчетности по труду: форма № 1-Т «Отчет по труду» (месячная, квартальная, годовая). По этой форме отчитываются не все предприятия. Для малых предприятий численность занятых может быть получена из единовременного отчета: № 1-МП «Об основных показателях деятельности малого предприятия» за год. Изучение состава занятых по отраслям народного хозяйства, секторам экономики производится по балансам трудовых ресурсов, составляемым на середину (1 июля), конец (начало - 1 января) года и в среднем за год. В них обобщается не только информация предприятий, получаемая в порядке текущей отчетности по труду, но и данные налоговой инспекции о численности занятых индивидуальным трудом, работающих по найму у отдельных граждан, а также численность работников, учитываемая в централизованном порядке [3].

Для количественной характеристики занятости населения статистикой разработаны специальные показатели. Они подразделяются на две группы: абсолютные и относительные.

Абсолютные показатели отражают экономический потенциал, возможности развития страны, потому что занятое население составляет основной элемент процесса производства. Без работников средства и предметы труда мертвы, так как их соединение становится невозможным. К абсолютным показателям занятости населения относятся: численность занятых в экономике; распределение занятых по отраслям экономики, полу, возрасту, уровню образования и т. д.; численность лиц трудоспособного возраста, занятых в экономике и др.

Относительные показатели занятости характеризуют степень вовлечения в экономику населения и его отдельных групп. Они охватывают такие показатели, как коэффициент занятости населения, коэффициент занятости трудовых ресурсов, коэффициент занятости населения трудоспособного возраста, коэффициент занятости трудоспособных в трудоспособном возрасте и др [6].

Коэффициент занятости населения широко применяется в сравнительном анализе и показывает удельный вес занятых в общей численности жителей, проживающих на определенной территории:


где - коэффициент занятости населения;З - численность населения, занятого в экономике;- общая численность населения.

Коэффициент занятости населения не учитывает того обстоятельства, что не все население может принимать участие в общественном производстве, например дети и старики. В этом заключается его недостаток.

Коэффициент занятости населения сильно зависит от возрастно-половой структуры. Например, изменение численности населения в дорабочем и послерабочем возрастах может привести к снижению коэффициента занятости при постоянной численности занятых в народном хозяйстве [6].

В этой связи для более углубленного анализа применяют коэффициент занятости трудовых ресурсов, который исчисляется по отношению к населению, потенциально способному принимать участие в общественном производстве:


где - коэффициент занятости трудовых ресурсов;

Т - численность трудовых ресурсов.

Коэффициент занятости трудовых ресурсов позволяет получить более реальную картину о фактическом уровне занятости в стране, области или регионе. Он отражает удельный вес трудовых ресурсов, занятых в экономике [6].

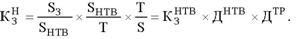
Коэффициент занятости трудовых ресурсов по своей величине всегда больше коэффициента занятости населения, потому что при одинаковом числителе знаменатель первого показателя меньше. Коэффициент занятости трудовых ресурсов может быть рассмотрен более узко, т. е. по отношению к населению трудоспособного возраста. Такой подход вызван тем, что население трудоспособного возраста составляет ядро трудовых ресурсов. Коэффициент занятости населения трудоспособного возраста показывает долю женщин от 16 до 55 лет и мужчин от 16 до 60 лет, занятых в экономике:


где - коэффициент занятости населения трудоспособного возраста ;НТВ - численность населения трудоспособного возраста.

Особенность коэффициента занятости лиц трудоспособного возраста заключается в том, что он завышает фактический уровень вовлечения населения в общественное производство, так как в числителе показателя учитываются занятые в экономике подростки и пенсионеры, а в знаменателе эти категории работников отсутствуют. Однако этот факт нисколько не снижает практической и познавательной ценности коэффициента, который наряду с уже рассмотренными показателями применяется в комплексном анализе занятости населения. Правда, при анализе занятости населения требуется учитывать, что установленный законом период трудоспособности у мужчин на пять лет больше, чем у женщин, а это вызывает необходимость дифференцированного подхода к исследованию динамики степени вовлечения в экономику мужского и женского населения трудоспособного возраста. Важно не забывать и то обстоятельство, что не все люди трудоспособного возраста способны к труду. Среди них имеются отдельные категории населения, которые в силу самых различных причин не могут быть привлечены к трудовой деятельности, например инвалиды по рождению, лица, получившие травмы на производстве и полностью утратившие трудоспособность, лица, страдающие серьезными заболеваниями нервной системы, и др. Все эти категории людей объединяет то, что, находясь в границах трудоспособного возраста, они фактически являются нетрудоспособными [31].

В этой связи коэффициент занятости может быть также определен по отношению к трудоспособным лицам трудоспособного возраста, который находится как разность численности населения трудоспособного возраста и численности, нетрудоспособных в трудоспособном возрасте:


где - коэффициент занятости трудоспособного населения трудоспособного возраста;

- численность трудоспособного населения трудоспособного возраста.

Рассмотренные коэффициент занятости населения и коэффициенты составляющих его категорий взаимосвязаны следующими соотношениями:


где - доля трудоспособных лиц трудоспособного возраста в общей численности населения трудоспособного возраста;


где  - доля населения трудоспособного возраста в общей численности трудовых ресурсов;


где  - доля трудовых ресурсов в общей численности населения.

На основе приведенных соотношений можно записать всю цепочку взаимосвязи коэффициента занятости населения и коэффициента занятости трудоспособных лиц трудоспособного возраста:


По аналогичной схеме могут быть построены взаимосвязи коэффициента занятости трудоспособного населения трудоспособного возраста и коэффициента занятости трудовых ресурсов, коэффициента занятости населения трудоспособного возраста и коэффициента занятости всего населения. В зависимости от цели исследования общая цепочка взаимосвязи показателей может быть сокращена до трех или двух сомножителей, например:


где - доля трудоспособных лиц трудоспособного возраста в общей численности трудовых ресурсов; ТР


где - доля трудоспособных лиц трудоспособного возраста в общей численности населения.

Кроме количества сомножителей, включенных во взаимосвязь, сами сомножители также могут быть вычленены по усмотрению исследователя, например:


Практическое значение взаимосвязей коэффициентов занятости заключается в возможности определять неизвестный показатель на основе нескольких известных.

Все рассмотренные взаимосвязи применяются при построении индексных моделей влияния отдельных факторов на уровень занятости населения, трудовых ресурсов и т.д. [31].

1.2 Методики анализа занятости населения

Для анализа занятости населения применяют следующие методы: анализ структуры и динамики, корреляционно-регрессионный анализ, кластерный анализ и прогнозирование [33].

Процесс развития, движения социально-экономических явлений во времени в статистике принято называть динамикой. Для отображения динамики строят ряды динамики (хронологические ряды, временные ряды), которые представляют собой ряды изменяющихся во времени значений статистического показателя, расположенных в хронологическом порядке.

Составными элементами ряда динамики являются показатели уровней ряда (уровни ряда) и периоды времени (годы, кварталы, месяцы, сутки) или моменты (даты) времени.

При изучении явления во времени перед исследователем встает проблема количественного описания изменений, происходящим с уровнями в динамическом ряду. Для этого рассчитываются специальные показатели анализа динамики. Рассматривают цепные и базисные показатели. Их отличие в том, какой уровень ряда берется за базу для сравнения с текущим уровнем при расчете показателя. Когда сравнение проводится с начальным (базисным) периодом или моментом времени в ряду динамики, то показатель называется базисным. Если же сравнение производится с предыдущим периодом или моментом времени, то соответствующий показатель является цепным. Любой уровень в ряде динамики может быть охарактеризован как при помощи цепного, так и при помощи базисного показателя. Но если значения цепного показателя рассчитываются однозначно, то значения базисного зависят от выбранных единиц измерения. Фактически и цепные, и базисные показатели описывают одни и те же единицы совокупности, и каждому базисному показателю можно однозначно поставить в соответствие цепной показатель. К показателям динамики относятся: абсолютный прирост, темп роста, темп прироста, коэффициент роста, значение 1% прироста, средние показатели динамики [33].

Корреляционная связь (от англ. corelation - соответствие) является частным случаем статистической связи, при которой изменение среднего значения результативного признака обусловлено изменением значений факторного признака (парная корреляция) или множества факторных признаков (множественная корреляция). Для оценки тесноты связи (связь отсутствует, слабая, умеренная, сильная), определения ее направленности (связь прямая или обратная), а также формы (связь линейная, параболическая, гиперболическая, степенная и т.д.) используется корреляционно-регрессионный метод.

Корреляционно-регрессионный анализ позволяет количественно измерить тесноту, направление связи (корреляционный анализ), а также установить аналитическое выражение зависимости результата от конкретных факторов при постоянстве остальных действующих на результативный признак факторных признаков (регрессионный анализ) [32].

Основные условия применения корреляционно-регрессионного метода

. Наличие достаточно большой по объему выборочной совокупности.

Считается, что число наблюдений должно превышать более чем в 10 раз число факторов, влияющих на результат.

. Наличие качественно однородной исследуемой совокупности.

. Подчинение распределения совокупности по результативному и факторным признакам нормальному закону или близость к нему. Выполнение этого условия обусловлено использованием метода наименьших квадратов (МНК) при расчете параметров корреляции и некоторых др.

Основные задачи корреляционно-регрессионного анализа

. Измерение тесноты связи между результативным и факторным признаком (признаками). В зависимости от количества влияющих на результат факторов задача решается путем вычисления корреляционного отношения, коэффициентов парной, частной, множественной корреляции или детерминации.

. Оценка параметров уравнения регрессии, выражающего зависимость средних значений результативного признака от значений факторного признака (признаков). Задача решается путем вычисления коэффициентов регрессии.

. Определение важнейших факторов, влияющих на результативный признак. Задача решается путем оценки тесноты связи факторов с результатом.

. Прогнозирование возможных значений результативного признака при задаваемых значениях факторных признаков. Задача решается путем подстановки ожидаемых значений факторов в регрессионное уравнение и вычисления прогнозируемых значений результата [2].

Кластерный анализ - это совокупность методов, позволяющих классифицировать многомерные наблюдения, каждое из которых описывается набором исходных переменных. В отличие от комбинационных группировок кластерный анализ приводит к разбиению на группы с учетом всех группировочных признаков одновременно.

В методах классификации, основанных на кластерном анализе, используется принцип образования групп, так называемый политетический подход. Все группировочные признаки одновременно участвуют в группировке, т. е. они учитываются все сразу при отнесении наблюдения в ту или иную группу. При этом, как правило, не указаны четкие границы каждой группы, а также неизвестно заранее, сколько же групп необходимо выделить в исследуемой совокупности.

Кластерные методы классификации важное место занимают в тех отраслях науки, которые связаны с изучением массовых явлений и процессов. Широко используются они и в социальной статистике. Поэтому целесообразно было применить данный метод и для анализа занятости населения Красноярского края [14].

Методы кластерного анализа позволяют решать следующие задачи:

проведение классификации объектов с учетом признаков, отражающих сущность, природу объектов. Решение такой задачи, как правило, приводит к углублению знаний о совокупности классифицируемых объектов;

проверка выдвигаемых предположений о наличии некоторой структуры в изучаемой совокупности объектов, т.е. поиск существующей структуры;

построение новых классификаций для слабоизученных явлений, когда необходимо установить наличие связей внутри совокупности и попытаться привнести в нее структуру;

сжатие данных - если исходная выборка избыточно большая, то можно сократить её, оставив по одному наиболее типичному представителю от каждого кластера[9].

Прогнозирование - это метод, в котором используются как накопленный в прошлом опыт, так и текущие допущения насчет будущего с целью его определения. Можно сказать, что прогноз - это догадка, подкрепленная знанием. Поскольку прогностические оценки по сути своей являются приближенными, может возникнуть сомнение относительно его целесообразности вообще. Поэтому основное требование, предъявляемое к любому прогнозу, заключается в том, чтобы в пределах возможного минимизировать погрешности в соответствующих оценках. По сравнению со случайными и интуитивными прогнозами, научно обоснованные и планомерно разрабатываемые прогнозы без сомнения являются более точными и эффективными. Как раз такими являются прогнозы, основанные на использовании методов статистического анализа. Можно утверждать, что из всех способов прогнозирования именно они внушают наибольшее доверие, во-первых, потому что статистические данные служат надежной основой для принятия решений относительно будущего, во-вторых, такие прогнозы вырабатываются и подвергаются тщательной проверке с помощью фундаментальных методов математической статистики. К статистическим методам прогнозирования относятся: метод скользящих средних, метод экспоненциального сглаживания, модели авторегрессии, модель Бокса-Дженкинса, методы Хольта и Брауна, регрессионные методы прогнозирования, прогнозирование с помощью тренда, прогнозирование на основе систем рядов динамики[1].

РАЗДЕЛ 2. ХАРАКТЕРИСТИКА КРАСНОЯРСКОГО КРАЯ

Для Красноярского края характерны типические черты ресурсно-индустриальных экономик начала XX в. и поздней фазы советского проекта освоения Сибири: 1) высокие экономические показатели за счет ресурсодобывающей, экспортноориентированной экономики; 2) низкий инновационно-технологический потенциал; 3) недостаточно развитая социальная, жилищно-коммунальная и транспортная инфраструктура, имеющая высокий уровень износа; 4) неудовлетворительные социально-демографические показатели; 5) низкое качество человеческого капитала по уровню образования и профессиональным квалификациям; 6) критический уровень экологических загрязнений и низкий уровень технологической безопасности.

Красноярский край является крупнейшим экономически развитым субъектом РФ и экономическим лидером Сибирского федерального округа. В 2007 г. он занимал седьмое место в России по объему валового регионального продукта (ВРП) - 734,4 млрд. руб. или 2,6 % от суммы ВРП по субъектам РФ. Край является лидером по объему ВРП среди регионов Сибирского федерального округа, его вклад составляет 24,3 %. Объем ВРП на душу населения в Красноярском крае на 27,7 % выше среднероссийского уровня и на 64,1 % выше, чем в среднем по СФО.

В то же время Красноярский край - это типичный регион сырьевой экономики, работающий преимущественно на внешний рынок и специализирующийся на производстве и экспорте цветных металлов, лесопродукции и топливно-энергетических ресурсов. Вклад края в общероссийское производство цветных металлов составляет 30 %, на предприятиях края производится более 70 % меди, более 80 % никеля, более 90 % металлов платиновой группы, 28 % алюминия, около 10 % золота.

В последние годы в Красноярском крае планируется и реализуется ряд крупномасштабных инвестиционных проектов в формате частно-государственного партнерства, до 2020 г. предполагается реализация 15 крупных проектов с общим объемом инвестиций 32 млрд. долл. США, что составит более 9 % от объема всех планируемых на этот период инвестиций в России.

В промышленном производстве Красноярского края преобладают технологии II-IV технологических укладов с доминированием технологий ранней индустриализации - добычи сырьевых ресурсов и первичной их переработки (обогащения сырья, производства металла и металлообработки).

Удельный вес высокотехнологичных отраслей обрабатывающей промышленности в структуре промышленного производства в крае в 3,7 раза меньше, чем в среднем по стране. В промышленном производстве края доминируют среднетехнологичные отрасли низкого уровня - их удельный вес в 2 раза выше среднероссийского уровня.

Производительность труда в Красноярском крае в 2-5 раз ниже среднероссийских показателей в большинстве отраслей промышленности, за исключением металлургического производства.

Негативным фактором для научно-технологического сектора края является политика крупнейших предприятий в области технологического развития: минимизация расходов на технологическую модернизацию; ориентация на «импорт технологий» и технологического оборудования; размещение заказов на НИР и ОКР за пределами Красноярского края.

В масштабах экономики региона эффект от инновационной деятельности практически отсутствует - ее доля в 2008 г. составила в общем объеме товаров, работ и услуг всего 1,5 %. Численность персонала, занятого НИОКР, в 2,5 раза ниже чем в среднем в России (в пересчете на 10 тыс. занятых в экономике), внутренние затраты на НИОКР в 2 раза ниже среднероссийских (в долях от ВРП). Остается очень низкой эффективность затрат на инновации, которая в 2008 г. была 4 раза ниже, чем в среднем по России.

Площадь ветхого и аварийного жилого фонда составляла на начало 2008 г. 3,1 млн.м2 (5 % всего жилого фонда). Износ тепловых сетей, котельных, тепловых пунктов, канализационных сетей и водопровода, электросетей, трансформаторных подстанций и др. составляет 50-60 %, по отдельным муниципальным образованиям - до 70-80 %. Более 20 % автомобильных дорог края имеют неудовлетворительные эксплуатационные характеристики.

Степень износа основных фондов в системе образования превышает 30 %, в аварийном состоянии находится 3 % школ, капитального ремонта требуют 30 % школ.

В сфере здравоохранения 93 % краевых медучреждений, 70 % участковых больниц, 65 % врачебных амбулаторий, 80 % фельдшерско-акушерских пунктов не имеют лицензий из-за неудовлетворительного состояния материально-технической базы.

По предварительным оценкам, на приведение в нормативное состояние жилого фонда и учреждений социальной сферы требуется около 100 млрд.руб., в том числе на жилье - 50 млрд.руб., на образование - 20 млрд.руб., на здравоохранение - 30 млрд.руб.

Население Красноярского края на начало 2009 г. составляло 2890 тыс.чел., плотность населения в 7 раз ниже, чем в среднем по России. В 2001-2008 гг. население Красноярского края сокращалось на 23 % быстрее, чем в среднем по России (за счет естественной убыли и значительного миграционного оттока).

По показателю ожидаемой продолжительности предстоящей жизни Красноярский край отстает от среднероссийских значений, а по показателю младенческой смертности опережает их.

Смертность от внешних причин (интегральный показатель социального неблагополучия) в Красноярском крае в 2008 г. превышала среднероссийское значение на 35 %, причем смертность от случайных отравлений алкоголем была в 2,2 выше, чем в РФ; от убийств - на 64 % выше, чем в РФ.

Уровень образованности населения Красноярского края ниже, чем в среднем в России: доля людей с высшим образованием, занятых в экономике края, на 20 % меньше, чем в среднем в России; доля людей только со «школьным» образованием на 21 % выше, чем в среднем в России.

Число студентов в вузах Красноярского края в 2008 г. в пересчете на 10 тыс. жителей составляло 456 чел., что на 16 % ниже среднероссийских показателей - 529 чел.

В последние 15-20 лет происходило устойчивое сокращение занятых в НИОКР Красноярского края и высококвалифицированных кадров (кандидатов и докторов наук).

По обеспеченности высококвалифицированными кадрами край отстает от среднероссийского уровня и показателей регионов СФО - число кандидатов и докторов наук на 10 тыс. занятых в экономике в 2,5 раза ниже среднероссийского значения и почти в 7 раз ниже, чем в Новосибирской области.

По удельным выбросам загрязняющих веществ в атмосферу на душу населения Красноярский край в 3,9 раза превосходит среднероссийский уровень, в 9-17 раз опережает наиболее благополучные в этом отношении регионы страны. До нормативного уровня очищается лишь 30 % промышленных и бытовых сточных вод. Около 40 % населения края вынуждено употреблять воду, не соответствующую санитарно-гигиеническим требованиям. Красноярск и Норильск входят в список городов страны с критически высоким уровнем загрязнения воздуха. Около 60 % городского населения края проживает в городах с высоким и очень высоким уровнем загрязнения воздуха.

Критическим для Красноярского края является износ оборудования, инженерных сетей и несоблюдение норм технологической безопасности на объектах транспортно-энергетического комплекса, результатом чего стала крупнейшая авария на Саяно-Шушенской ГЭС. Объектами повышенной опасности являются гидроэнергетические и теплоэнергетические объекты (ГЭС, ГРЭС, ТЭЦ), многие из которых проектировались и строились в 1950-70-е годы и не отвечают современным требованиям безопасности.

Стратегические перспективы Красноярского края и возможности развития человеческого капитала определяются: 1) масштабными инвестиционными проектами добычи, транспортировки и переработки природных ресурсов; 2) созданием производственно-энергетического комплекса Нижнего Приангарья и соответствующей транспортной инфраструктуры; 3) формированием Красноярской агломерации как научно-образовательного, сервисно-технологического и транспортно-логистического центра Сибири и транспортных коридоров «ЕС - Россия - страны ЮВА»; 4) созданием Южного высокотехнологичного аграрно-рекреационного комплекса края с выходом на международные рынки сбыта.

Риски возможной модернизации экономики и социальной сферы Красноярского края будут усиливаться в случае: 1) слабых результатов модернизационной и инновационно-технологической политики в России; 2) сохранения сложившейся политики «снятия природной ренты», минимизации издержек на социальную инфраструктуру и развитие человеческого капитала Красноярского края; 3) утраты политической воли региональными лидерами и недостаточного организационно- управленческого потенциала краевых элит; 4) ускоренного миграционного оттока экономически активного населения и инновационно ориентированной молодежи в случае доминирования ресурсодобывающего сценария.

В настоящее время Красноярский край представляет собою сложную и во многом противоречивую картину. С одной стороны, это регион, в настоящем которого присутствует прошлое - экономика стадии индустриализации с соответствующим уровнем социальной инфраструктуры. До последнего времени Красноярский край был в минимальной степени затронут процессами инновационного развития и становления высокотехнологичной экономики.

С другой стороны, край - один из немногих регионов России, в котором отчетливо присутствует будущее в виде масштабных проектов развития, которые не сводятся только к проектам добычи сырья, но и ориентированы на инновационно-технологическую, постиндустриальную перспективу. К таким проектам относится создание Сибирского федерального университета, формирование Красноярской агломерации, создание инновационной инфраструктуры.

Неопределенность будущего края состоит в том, что проекты индустриального развития могут стать базой для формирования постиндустриальной экономики, но как достаточно рентабельные, простые в реализации и дающие быструю «отдачу» могут и вытеснить проекты постиндустриального развития. Задача государственной власти, общества, бизнеса - использовать сырьевую конъюнктуру для системного развития «новой экономики» края и эффективных вложений в развитие человеческого капитала Красноярского края.

Важно отметить, что Красноярский край относится к «серединным регионам» России, которые обеспечивают инфраструктурную, экономическую, социальную и культурную связность страны. Развитие Красноярского края, насыщенность его человеческой деятельностью, обжитость и освоенность сибирских территорий - это важнейший фактор геополитического позиционирования России в XXI веке, в условиях ужесточения конкуренции за природные ресурсы и человеческий капитал.

Красноярский край относится к группе регионов со «старым населением22» - доля населения старше 65 лет в 2008 г. составила 11,2 % (в РФ - 13,8 %). При этом население Красноярского края несколько «моложе», чем в среднем по России: доля населения в трудоспособном возрасте в 2008 г. составляла 64,8 % (в РФ - 62,9 %); доля населения молодых возрастов - 16,8 %, населения в старших возрастах - 18,4 % (в РФ - соответственно 15,9 % и 21,2 %)23.

Красноярский край обладает одной из самых развитых городских систем за Уралом. Численность населения формирующейся Красноярской агломерации, включающей города Красноярск, Сосновоборск, Дивногорск, Железногорск и Березовский, Емельяновский, Манский и Сухобузимский районы, будет превышать 1,1 млн. жителей, и по своему масштабу она станет третьей на востоке страны.

По показателю «индекс развития человеческого потенциала» (ИРЧП) Красноярский край в 2006 г. занимал 7-ю позицию, уступая Москве, Тюменской обл., С-Петербургу, Республике Татарстан и Томской, Белгородской, Липецкой областям. Причем отставание было связано с низкими значениями «индекса долголетия» и «индекса образования», а высоким был «индекс дохода». Это значит, что высокий показатель ИРЧП Красноярского края определяется не высоким качеством жизни и развитием человеческого капитала, а, в первую очередь, сырьевыми доходами региона.

Красноярский край имеет более высокие, чем в РФ, темпы снижения численности населения. За период 2001-2008 гг. население края уменьшилось на 3,7 %, а население России на 3,0 %. Это обусловлено естественной убылью населения по 10,2 тыс. чел. в год и значительным миграционным оттоком населения, в среднем по 4,8 тыс. чел. в год (в 2001-2006 гг.). Однако в начале реализации крупных инвестиционных проектов в 2007-2008 гг. наблюдался миграционный приток населения, соответственно 0,9 тыс. чел и 1,5 тыс. чел.

В 2008 г. почти 40% населения региона (1140 тыс.чел.) проживало в столице края (Красноярске), четырех пригородных муниципальных районах (Березовском, Емельяновском, Манском, Сухобузимском) и двух городских округах (Сосновоборске, Дивногорске) - на территории формирующейся Красноярской агломерации.

Доля городского населения, проживающего в 23 городах и 40 поселках городского типа, составляет 75,7 %, что выше среднероссийских показателей.

Реализация инвестиционных проектов приведет к увеличению доли активно осваиваемых территорий Красноярского края на 30 %. Наибольший территориальный прирост зон развития будет в промышленном районе Нижнее Приангарье, на территории Южной Эвенкии, в Туруханском, Таймырском районах и на юге края.

Основным центром концентрации человеческого капитала будет Красноярская агломерация, численность населении в которой к 2020 г. может достигнуть (по оптимистическому сценарию) - 1,5 млн. чел., что сделает ее опорным центром урбанизации в Сибири.

Рис. 2.1 - Прогноз среднегодовой численности населения Красноярского края

РАЗДЕЛ 3. СТАТИСТИКА ЗАНЯТОСТИ КРАСНОЯРСКОГО КРАЯ

.1 Статистика занятости населения Красноярского края до 2013

По данным за 2012 год, Красноярский Край находится на 32 месте по уровню безработицы, который составил 5.55%, тогда как средний уровень по стране составил 5.46%. Минимальный уровень безработицы 0.81% зафиксирован в Городе Москва, а максимальный в 47.68% - в Республике Ингушетия.

Таблица 3.1 - Сравнение уровня безработицы в Красноярском Крае, России, Городе Москва и Республике Ингушетия за 2012 год

Год

Безработица в регионе

Безработица в среднем по стране

Безработица в регионе с минимальным уровнем безработицы

Безработица в регионе с максимальным уровнем безработицы

2012

5.46

0.81

47.68


Графически сравнение уровня безработицы в Красноярском Крае, России, Городе Москва и Республике Ингушетия за 2012 год отобразим на графике 3.1.

Рис. 3.1 - Сравнение уровня безработицы в Красноярском Крае, России, Городе Москва и Республике Ингушетия за 2012 год

В 2012 году отмечалось улучшение ситуации в сфере занятости и на рынке труда в Красноярском крае:

численность безработных граждан (по методологии Международной организации труда) сократилась на 7,3 % (с 94,3 тыс. человек в 2011 году до 87,4 тыс. человек в 2012 году). Уровень общей безработицы в среднем за 2012 год составил 5,5 % от численности экономически активного населения - на 0,5 % меньше, чем в 2011 году (6,0 %) (справочно: в 2012 году уровень общей безработицы по краю значительно меньше, чем в среднем в Сибирском федеральном округе (7,1 %), и равен среднему по Российской Федерации - 5,5 %);

численность безработных граждан, зарегистрированных в центрах занятости населения, сократилась на 6,1 тыс. человек или на 20,1 % и на 01.01.2013 составила 24,4 тыс. человек (на 01.01.2012 - 30,5 тыс. человек) - это минимальное значение на начало года за последние 19 лет. Темпы снижения безработицы в Красноярском крае (20,1 %) превышают средние значения по регионам Сибирского федерального округа (15,9 %) и Российской Федерации (17,2 %);

уровень зарегистрированной безработицы сократился с 1,9 % на 01.01.2012 до 1,6 % на 01.01.2013 (справочно: уровень регистрируемой безработицы в Красноярском крае снизился на 0,3 % при среднем снижении по Сибирскому федеральному округу на 0,4 %, по Российской Федерации - на 0,3 %);

коэффициент напряженности (отношение численности незанятых граждан к количеству заявленных вакансий в среднемесячном исчислении) сократился с 1,4 в 2011 году до 0,7 в 2012 году (справочно: коэффициент напряженности в среднем по регионам Сибирского федерального округа составил 1,0, по Российской Федерации - 0,8).

Таблица 3.2 - Таблица усредненных статистических данных о занятости и безработице в Красноярском Крае по годам

Год

Экономически Активные

Занятые

Безработные

Уровень Безработицы

2012

1 513 000

1 429 000

84 000

5,55

2011

1 511 000

1 421 000

90 000

5,98

2010

1 555 000

1 458 000

97 000

6,24

2009

1 541 000

1 395 000

145 000

9,44

2008

1 501 000

1 406 000

96 000

6,38

2007

1 554 000

1 436 000

118 000

7,60

2006

1 580 000

1 442 000

138 000

8,75

2005

1 604 000

1 452 000

152 000

9,47

2004

1 597 000

1 469 000

128 000

8,01

2003

1 604 000

1 456 000

147 000

9,19

2002

1 542 000

1 422 000

7,77

2001

1 522 000

1 374 000

148 000

9,74

2000

1 550 000

1 360 000

190 000

12,25


Таблица 3.3 - Усредненный уровень безработицы в Красноярском Крае по годам, %

Год

Уровень Безработицы

2000

12.25

2001

9.74

2002

7.77

2003

9.19

2004

8.01

2005

9.47

2006

8.75

2007

7.6

2008

6.38

2009

9.44

2010

6.24

2011

5.98

2012

5.55


Графически усредненные статистические данные о занятости и безработице в Красноярском Крае по годам отобразим на графике 3.2.

Рис. 3.2 - Усредненные статистические данные о занятости и безработице в Красноярском Крае по годам

Таблица 3.4 - Усредненное число экономически активных людей в Красноярском Крае по годам

Год

Экономически Активные

2000

1550000

2001

1522000

2002

1542000

2003

1604000

2004

1597000

2005

1604000

2006

1580000

2007

1554000

2008

1501000

2009

1541000

2010

1555000

2011

1511000

1513000


Графически усредненное число экономически активных людей в Красноярском Крае по годам отобразим на графике 3.3.

Рис. 3.3 - График усредненного числа экономически активных людей в Красноярском Крае по годам

Таблица 3.5 - Усредненное число занятых людей в Красноярском Крае по годам

Год

Занятые

2000

1360000

2001

1374000

2002

1422000

2003

1456000

2004

1469000

2005

1452000

2006

1442000

2007

1436000

2008

1406000

2009

1395000

2010

1458000

2011

1421000

2012

1429000


График усредненного числа занятых людей в Красноярском Крае по годам представлен на рисунке 3.4.

Рис. 3.5 - График усредненного числа занятых людей в Красноярском Крае по годам

Таблица 3.6 - Усредненное число безработных людей в Красноярском Крае по годам

Год

Безработные

2000

190000

2001

148000

2002

120000

2003

147000

2004

128000

2005

152000

2006

138000

2007

118000

2008

96000

2009

145000

2010

97000

2011

90000

2012

84000


График усредненного числа безработных людей в Красноярском Крае по годам представлен на рисунке 3.6.

Рис. 3.6 - График усредненного числа безработных людей в Красноярском Крае по годам представлен на рисунке 3.6

В 2012 году государственные услуги в области содействия занятости населения получили более 400 тыс. человек.

Выросло число получателей информационных услуг как среди граждан, так и среди работодателей Красноярского края. В 2012 году информацию о ситуации на рынке труда получили 286,8 тыс. человек (в 2011 году - 268,0 тыс. человек) и 14,7 тыс. работодателей (в 2011 году - 14,5 тыс.).

В 2012 году среднемесячная численность граждан, в период поиска работы получающих пособие по безработице, составила 21,9 тыс. человек (в 2011 году - 27,0 тыс. человек), стипендию в период профессионального обучения по направлению органов службы занятости - 1,9 тыс. человек (в 2011 году - 2,1 тыс. человек), пенсию, назначенную досрочно по предложению органов службы занятости, - 0,9 тыс. человек (в 2011 году - 1,2 тыс. человек).

В 2012 году по сравнению с 2011 годом повысилась эффективность реализации мер активной политики занятости и мер содействия трудоустройству:

трудоустроено 75,1 % от численности граждан, обратившихся за содействием в поиске подходящей работы, против 71,2 % в 2011 году;

трудоустроено 56,5 % инвалидов от численности инвалидов, обратившихся в поиске работы, против 51,7 % в 2011 году;

средняя продолжительность периода безработицы уменьшилась с 5,0 месяцев на 01.01.2012 до 4,6 месяца на 01.01.2013.

В течение 2012 года статус безработного получили 63,1 тыс. человек (на 17,2 % меньше, чем в 2011 году). Доля граждан, признанных безработными, в численности незанятых граждан, обратившихся за содействием в поиске работы (с учетом переходящих), уменьшилась с 65,4 % в 2011 году до 62,5 % в 2012 году.

В течение 2012 года снижение численности безработных граждан отмечено в 57 из 61 муниципального образования края. Наибольшее снижение численности безработных граждан отмечено в городах Шарыпово (на 35,2 %), Красноярске (на 33,3 %), Боготоле (на 32,6 %), Назарово (на 29,2 %), Енисейске (на 28,1 %) и Боготольском (на 36,8), Козульском (на 31,2 %), Ачинском (на 29,5 %), Пировском (на 27,7 %) и Балахтинском (на 26,9 %) районах. Вместе с тем численность безработных граждан увеличилась в Кежемском, Северо-Енисейском, Туруханском и Шарыповском районах.

В 8 из 61 муниципального образования края уровень зарегистрированной безработицы составил более 5,0 % от трудоспособного населения в трудоспособном возрасте (на 01.01.2012 - в 9), из данной группы исключен Боготольский район (3,1 %). Максимальные значения показателя отмечены в Бирилюсском районе (8,8 %), п. Кедровый (8,6 %), наиболее низкий уровень безработицы зарегистрирован в г. Красноярске (0,5 %), г. Дивногорске и Березовском районе (по 0,6 %), г. Железногорске и Богучанском районе (по 0,8 %), г. Ачинске и Балахтинском районе (по 0,9 %), г. Зеленогорске, г. Норильске, г. Сосновоборске и Рыбинском районе (по 1,0%).

3.2 Наиболее актуальные проблемы рынка труда Красноярского края

статистика труд рынок занятость

В 1 полугодии 2013 года получили развитие следующие тенденции, влияющие на ситуацию в сфере занятости населения и рынок труда Красноярского края:

увеличились объемы высвобождений - в органы службы занятости населения Красноярского края поступили сведения о высвобождении 11,4 тыс. человек из 549 организаций (в аналогичном периоде 2012 года - 10,2 тыс. человек из 540 организаций); высвобождено 4,2 тыс. человек (в аналогичном периоде 2012 года - 3,0 тыс. человек);

ухудшилась ситуация с массовыми высвобождениями работников организаций края - 64 организации заявили о массовом высвобождении 7,5 тыс. работников (в аналогичном периоде 2012 года - 70 организаций заявили о массовом высвобождении 6,2 тыс. работников). Наиболее крупные высвобождения запланировали организации, задействованные на строительстве Богучанской ГЭС (более 1,0 тыс. человек), Ирбинский филиал ОАО «Евразруда» (801 человек), ОАО «ПО «Красноярский завод комбайнов» (654 человека), ОАО «Дивногорский завод низковольтных автоматов» и ООО «Дивногорский завод низковольтной аппаратуры» (505 человек), ОАО «Маклаковский ЛДК» (475 человек);

количество вакансий, заявленных работодателями в органы службы занятости населения Красноярского края, сохранилось на уровне 2012 года и составило 120,2 тыс. единиц;

уровень общей безработицы (по методологии Международной организации труда) в среднем за 1 полугодие 2013 года составил 5,9 % (в аналогичном периоде 2012 года - 6,0 %);

численность безработных граждан, зарегистрированных в органах службы занятости населения Красноярского края, с начала года сократилась на 3,6 тыс. человек или на 14,9 % и по состоянию на 01.07.2013 составила 20,7 тыс. человек (по состоянию на 01.07.2012 - 24,4 тыс. человек);

уровень зарегистрированной безработицы с начала года сократился на 0,2 % и по состоянию на 01.07.2013 составил 1,4 % (по состоянию на 01.07.2012 - 1,6 %).

Недопущению критической ситуации на рынке труда Красноярского края способствует комплексная реализация мер активной политики занятости, повышение эффективности деятельности органов службы занятости.

В Красноярском крае реализуется широкий спектр федеральных и краевых инвестиционных проектов по развитию традиционных и созданию новых высокотехнологичных производств.

Прежде всего, это развитие Нижнего Приангарья, Ангаро-Енисейский кластер, кластер инновационных технологий в г. Железногорск, освоение Ванкорского, Юрубчено-Тахомского и Куюмбинского нефтегазовых месторождений, развитие лесопромышленного комплекса и золотодобывающей отрасли, межрегиональный проект по строительству железнодорожной линии «Кызыл - Курагино» с привязкой к разработке крупных рудных месторождений.

В целом ежегодная дополнительная кадровая потребность прогнозируется на уровне 65-68 тыс. человек. В ближайшие 5 лет на крупнейших инвестиционных проектах Красноярского края будет создано более 38 тыс. новых рабочих мест для высококвалифицированных специалистов.

Вместе с тем экономика Красноярского края испытывает дефицит квалифицированных трудовых ресурсов, который в условиях интенсивного роста экономики при сохранении тенденций депопуляции, стабилизации уровня миграционного прироста и сохранении существующего уровня производительности труда будет только нарастать. По прогнозным оценкам вследствие демографических процессов и изменения возрастной структуры населения к 2020 году численность трудоспособного населения Красноярского края может сократиться до 1600-1650 тыс. человек, составляя до 57,5 % населения Красноярского края (увеличение демографической нагрузки на трудоспособное население в результате демографических сдвигов).

Наиболее актуальные проблемы рынка труда Красноярского края:

территориальное и структурное несоответствие спроса и предложения рабочей силы;

значительный удельный вес в числе незанятых граждан лиц, имеющих низкую конкурентоспособность на рынке труда и испытывающих особые трудности в поиске работы;

дефицит квалифицированных трудовых ресурсов на фоне растущей кадровой потребности.

Цели развития человеческого капитала Красноярского края формулируются исходя из необходимости социально-экономического развития края в целом.

Обеспечить соответствие квалификаций населения края запросам экономических кластеров.

Обеспечить человеческий капитал формирующегося инновационного сектора.

Обеспечить общее число занятых в экономике:1572 тыс. в 2020 г., 1662 тыс. в 2030 г. (в соответствии с прогнозом спроса на труд).

Цели развития человеческого капитала включают следующие цели.

Поддержание и рост численности населения (до 3,1 - 3,2 млн. чел. в 2030 г.).

Обеспечение миграционного прироста населения (до 1,2 - 2,5 % в 2030г.).

Доведение ожидаемой продолжительности жизни до 72 лет.

Сокращение потерь человеко-лет в результате предотвратимой смертности: к 2010 г. на 15 % (от значения в 2008 г.); к 2020 г. в 1,5 раза; к 2030 г. в 2 раза.

Сокращение младенческой смертности до уровня менее 6 на 1000 новорожденных.

Рост среднего класса до 55-65 % населения.

Рост уровня предпринимательской активности (числа регистрируемых предприятий малого бизнеса в год на 10 тыс. трудоспособного населения) в 2010 г. - до 40 предприятий; 2020 г. - до 100 предприятий; 2030 г. - до 200 предприятий.

Рост образованности населения: до 75-80 % занятных в экономике должны иметь высшее или среднее профессиональное образование.

Рост числа студентов (высшее или среднее профессиональное образование) до 1000 на 10 тыс. населения.

Повышение уровня высшего образования: 25 % обучающихся в вузах - магистранты и аспиранты.

Рост доли специалистов высшей квалификации - до 30 кандидатов и докторов наук на 10000 занятых в экономике (показатели Томской области в 2000 г.).

ЗАКЛЮЧЕНИЕ

По статистическим данным служб занятости по Красноярскому краю, который к сегодняшнему дню стал одним из наиболее развитых у нас в России центров промышленности и производства, атмосфера на рынке работы в наше время очень оптимистичная. В частности, постепенно происходит уменьшение показателя напряженности - сокращается количество нетрудоустроенного населения по отношению к количеству доступных рабочих мест. Таким образом, по итогам первой половины 2014-ого года коэффициент напряженности составил 1.6. В целом по Сибирскому Федеральному округу этот показатель такой же - 1.6. Но все же если сравнивать с коэффициентом по всей России, то Красноярскому краю есть, куда стремиться - в среднем по нашей стране показатель напряженности - 1.3.

Также уменьшился и уровень безработицы - 6.2 процента в противовес 9.5 процента в 09. В общем по Российской Федерации ситуация хуже - 7.4 процента, в Сибирском Федеральном округе - 8.1 %. Статистика по зарегистрированному нетрудоустроенному населению - 2.1 процента - для Сибирского федерального округа, 2 процента для Красноярского края, 1.9 процента - в среднем стране.

Согласно данных Федеральной службы государственной статистики, число безработного населения в регионе составило порядка девяносто тысяч человек, большая доля которых проживает в краевом центре. Вместе с тем кадровая необходимость составила около пятидесяти пяти тысяч человек, и едва ли она повысится в ближайшем будущем. Скачков можно ожидать к 17-ому году, когда, согласно мнения специалистов, необходимость в рабочих ресурсах повысится до девяносто тысяч.

В связи с ростом доступности информационных сервисов все больше безработного населения подыскивает объявления на вакансии через специализированные онлайн-проекты. По статистическим данным рейтинговых обзоров важными игроками на рынке работы Красноярска теперь стали веб-сайты: работа.ру, сайт росработа в Красноярске и нгс.работа. Наибольшее Больше всего резюме выложено на онлайн-портале нгс.работа. То есть, другими словами этот сайт максимально привлекателен для работодателей. Наибольшее число объявлений можно найти на Яндекс.Работе. Если же принимать во внимание усредненные цифры по сайтам работы, то прослеживается следующий тренд - на одну вакансию приходится около 2 претендента.

Граждан, проживающих в крае зачастую интересуют вакансии в Красноярске бухгалтеров, экономистов и менеджеров. Помимо этого нужно отметить стабильную востребованность вакансий инженеров и водителей. Фирмы, привлекающие жителей города Красноярска: Сбербанк, Варконнефть, Роснефть, МЧС, Газпром, а также ФСБ.

В наши дни можно заметить следующий тренд - потенциальные работники предпочитают работать напрямую с компаниями работодателями, минуя разнообразные посреднические агентства. Отсюда вполне логичное увеличение спроса на тематические онлайн-ресурсы по поиску вакансий, где можно будет отыскать непосредственно объявления на вакансии, идущие от работодателей. Между тем, по статистике Яндекса количество поисковых запросов "работа в Красноярске" уверенно увеличивается, что слабо поддается объяснению.

Таким образом, не лишним будет подчеркнуть, что обстановка с безработицей в Красноярском крае постепенно нормализуется, соискатели ежегодно все чаще пользуются сервисом тематических и стремятся сотрудничать напрямую с компаниями работодателями.

СПИСОК ИСПОЛЬЗОВАННОЙ ЛИТЕРАТУРЫ

1.      Бархатов В.И. Статистика: учебно-методический комплекс/под ред. Бархатова В.И. Плетнева Д.А. - Челябинск, 2009.

.        Боровик В.С., Ермакова Е.E., Похвощев В.А. Занятость населения: Учебное пособие - Ростов-на-Дону: «Феникс», 2010. - 320 c.

.        Валлерстайн И. Динамика глобального кризиса: тридцать лет спустя // «Эксперт». 2009. 35 (672).

.        Гимпельсон В., Капелюшников Р., Лукьянова А. Спрос на труд и квалификацию в промышленности: между дефицитом и избытком / Препринт WP3/2007/03. - М.: ГУ ВШЭ, 2009. 60 с.

.        Государственный доклад «О состоянии здоровья населения красноярского края в 2008 году». - Красноярск, 2009. 278 с.

.        Громыко, Г. Л. Теория статистики: учебник / под ред. Г. Л. Громыко. - М.: Инфра-М, 2000. - 414 с. - (Высшее образование). - ISBN 5-16-00177-8.

.        Доклад о развитии человеческого потенциала в Российской Федерации за 2008 г. / Под общей редакцией А.Г. Вишневского и С.Н. Бобылева. М.: «Сити-Принт», 2009. 208 с.

.        Долгосрочный прогноз «Предположительная численность населения Российской Федерации до 2030 года (Статистический бюллетень)», 2009.

.        Елисеева И.И., Юзбашев М.М. Общая теория статистики: Учебник / под ред. И.И. Елисеевой. М.: Финансы и статистика, 2010.

.        Елисеева И.И. Социальная статистика: Учебник/ Под ред. И.И. Елисеевой. -М.: Финансы и статистика, 2009.- 480 с.

.        Ефимова М.Р. Социальная статистика: Учебное пособие/ под ред. М.Р. Ефимовой. - М.: Финансы и статистика, 2009. - 560 с.

.        Итоги социально-экономического развития Красноярского края в 2008 году. Министерство экономики и регионального развития Красноярского края. Апрель 2009 г.

.        Капелюшников Р.И. Структура российской рабочей силы: особенности и динамика / Препринт WP3/2006/04. М.: ГУ ВШЭ, 2011. 64 с.

.        Капелюшников Р.И. Теория человеческого капитала. URL: http://creativeconomy.ru/library/prd28.php.

15.    Концепция долгосрочного социально-экономического развития Российской Федерации на период до 2020 года от 17 ноября 2008 г. № 1662-р.

.        Красноярский краевой статистический ежегодник. Красноярскстат. Красноярск, 2009.

.        Краткосрочные экономические показатели Красноярского края. URL: http://www.statis.krs.ru/public/Doc1/I060110R.htm.

18.    Краткосрочные экономические показатели Российской Федерации. - М.: Росстат. Октябрь 2009 г.

.        Мир после кризиса. Глобальные тенденции - 2025: меняющийся мир. Доклад Национального разведывательного совета США. - М.: «Европа», 2009. 188 с.

.        Мониторинг рынка труда топ-менеджеров в России (2000-2007 гг.) / Г.А. Лукьянов, С.Ю. Рощин, С.А. Солнцев, П.В. Травкин, Н.С. Успенский; под ред. С.Ю. Рощина, С.А. Солнцева / Препринт WP15/2009/02. - М.: ГУ ВШЭ, 2009. 76 с.

.        Научная и инновационная деятельность Красноярского края. Красноярскстат. - Красноярск, 2009.

.        Основные показатели социально-экономического положения регионов Российской Федерации и исполнение бюджетов. URL: http://www.gks.ru/bgd/free/B02_83/Main.htm.

.        Отчет о научно-исследовательской работе «Форсайт-исследование развития человеческого капитала Красноярского края до 2030 года: концепция, технологии, форматы управления». Научн. рук. В.В. Овчинников. - Красноярск: СФУ, 2009. 566 с.

.        Переслегин С. Через тридцать лет //«Эксперт». 2009. 37 (674).

.        Подберезкин А. Человеческий капиталъ. Т. 1: Идеология опережающего развития человеческого потенциала. - М.: «Европа», 2010. 464 с.

.        Политика иммиграции и натурализации в России: состояние дел и направления развития. Аналитический доклад / Под ред. С.Н. Градировского. - М.: ЦСР ПФО, 2009.

.        Программы социально-экономического развития Красноярского края на 2007-2017 гг. (проект).

.        Регионы России. Основные социально-экономические показатели. Росстат. - М., 2011.

.        Росстат. Россия в цифрах 2009. Краткий статистический сборник. - М., 2009.

.        Салин, В.Н Социально-экономическая статистика: Учебник / В.Н. Салин Е.П. Шпаковская Е.П. - М.: Юристъ, 2013г. - 461 с.

.        Сивелькин В.А., Кузнецова В.Е. Статистический анализ структуры социально-экономических явлений и процессов: учебное пособие.-Оренбург: ГОУ ВПО ОГУ, 2012. - 99 с.

.        Селезнева В. Д., Полякова И. В. Экономические основы воспроизводства здоровья населения в условиях переходной экономики. - СПб.: «Сударыня». 2012. 80 с.

.        Стратегия социально-экономического развития Красноярской агломерации до 2020 года. Разработка и технико-экономическое обоснование стратегии социально-экономического развития Красноярской агломерации до 2020 года приоритетного инфраструктурного (инвестиционного) проекта «Комплексное развитие Красноярской агломерации до 2020 года». Отчет о работах по разделам I, II, III, IV. Государственный контракт № 6/2008-ГК от 28 июля 2008 года. - Красноярск, 2009. 950 с.

.        Федеральная служба государственной статистики. Предположительная численность населения российской Федерации до 2030 года. Статистический бюллетень. - М., 2009. 235 с.

.        Человеческий капитал Красноярского края: Форсайт-исследование - 2030 / Аналитический доклад; под ред. В.С. Ефимова. - Красноярск: Сибирский федеральный университет, 2010. - 126 с.

Похожие работы на - Статистический анализ и перспективы занятости в Красноярском крае

 

Не нашли материал для своей работы?
Поможем написать уникальную работу
Без плагиата!
Без нейросетей!