Статистические методы прогнозирования социально-экономических явлений

  • Вид работы:
    Курсовая работа (т)
  • Предмет:
    Эктеория
  • Язык:
    Русский
    ,
    Формат файла:
    MS Word
    69,62 Кб
  • Опубликовано:
    2014-12-13
Вы можете узнать стоимость помощи в написании студенческой работы.
Помощь в написании работы, которую точно примут!

Статистические методы прогнозирования социально-экономических явлений













Курсовая работа

по дисциплине Статистика

Статистические методы прогнозирования социально-экономических явлений

Содержание


Введение

Глава 1. Прогнозирование

.1 Критерии качества прогнозных моделей

.2 Проработка спецификации

.3 Разработка прогнозной модели

.4 Технология создания систем прогнозирования

Глава 2. Классификация прогнозных моделей

.1 Методы прогнозирования, основанные на сглаживании, экспоненциальном сглаживании и скользящем среднем

.2 Методы Бокса-Дженкинса (ARIMA)

Заключение

Литература

 


Введение


Чаще всего необходимо знать будущие значения таких показателей, как цена товара на рынке, объем спроса, объемы собственных продаж, объемы производства и продаж конкурентов, рыночная конъюнктура, структура товарного ассортимента конкурентов. Ценность таких знаний существенно возрастает в агрессивной рыночной среде с изменчивым характером спроса, в условиях сезонности и цикличности.

Прогноз может быть экспертным, а может быть рассчитан математически с помощью прогнозных моделей. Математический прогноз является объективным, открытым и научно обоснованным. Только математические прогнозные модели позволяют осуществлять многовариантное моделирование. Математическая прогнозная модель - это математическая модель экономической системы: рынка в целом, отдельного предприятия или группы взаимосвязанных предприятий [20]. Такая модель разрабатывается для расчета прогнозных значений одного или нескольких показателей исследуемой систем.

Применение прогнозных моделей допустимо в условиях стационарности исследуемой системы. Это значит, что должны быть известны правила игры на рынке и эти правила не должны сильно изменяться с течением времени. По своей сути, прогнозная модель - это модель правил игры на рынке. Изменяться могут факторы и стратегии рыночных игроков. Эти изменения учитываются моделью, что и позволяет ей рассчитывать точные прогнозы.

Математическая прогнозная модель представляет собой набор формул с коэффициентами, которые формируются в процессе разработки модели, на стадии численного моделирования. В формулы подставляются факторы, отобранные в процессе разработки модели, на стадии качественного моделирования.

Глава 1. Прогнозирование


1.1 Критерии качества прогнозных моделей


Чем точнее прогноз, тем выше его ценность. Существуют две стадии оценки прогностических способностей моделей: прогнозирование прошедших периодов времени и опытная эксплуатация. В первом случае модель строится не на всей имеющейся статистике, а на так называемой обучающей выборке, из которой исключаются несколько последних точек - так называемая тестовая выборка. Модель как бы "не знает" о существовании этих последних, наиболее свежих данных. Разработчик модели рассчитывает прогнозные значения, соответствующие интервалам времени, на которые приходится тестовая выборка, и оценивает прогностические способности модели на основе разницы между фактическими и прогнозными значениями показателя [1].

Модель, прошедшая первую стадию тестирования, и переданная в опытную эксплуатацию, рассчитывает будущие значения показателя в чистом виде [16]. По мере наступления будущего, прогнозные значения показателя сравниваются с его фактическими значениями.

Прогноз, рассчитываемый с помощью модели, может быть двух типов: точечный и интервальный. Точечный прогноз - это одно число для одного периода времени. Интервальный прогноз - это два числа для одного периода времени: верхняя и нижняя граница прогноза.

Рассчитать прогноз объема продаж с точностью до одной упаковки очень маловероятно. Точечный прогноз будет где-то около фактического значения. В этом случае точностью прогнозной модели будет степень близости расчетного и фактического значений.

В случае с интервальным прогнозом ситуация иная. Расстояние между верхней и нижней границей прогноза называется доверительным интервалом. Чем шире доверительный интервал, тем выше вероятность попадания в этот интервал фактического значения прогнозируемого показателя. Теоретически, можно сделать доверительный интервал настолько широким, что вероятность попадания в него будет равна ста процентам.

Точность модели можно повышать постоянно, для этого есть два способа: экстенсивный и интенсивный. Экстенсивный способ - это пересчет коэффициентов модели на дополнительной статистике. Промышленная реализация прогнозных моделей может включать в себя механизм самонастройки по мере поступления новой информации с течением времени. Интенсивный способ - это дополнительная проработка спецификации модели, одна из самых затратных работ в процессе создания прогнозной модели.

1.2 Проработка спецификации


Спецификацией прогнозной модели называется механизм расчета прогноза. Это набор факторов, вид формул, варианты включения факторов в формулы - простая зависимость, лаговые зависимости, инструментальные переменные на базе факторов и тому подобное.

Процесс проработки спецификации модели - одна из самых затратных работ в процессе создания прогнозной модели [18]. Проработка спецификации начинается с постановки задачи и далее циклически повторяется между стадиями качественного и численного моделирования до тех пор, пока не будет достигнута требуемая точность прогнозирования и степень соответствия модели и исследуемой системы.

Оценить степень проработки спецификации можно, используя две методики: анализ дескриптивных характеристик модели и ее экспертное тестирование. Дескриптивные характеристики - коэффициент множественной регрессии, остаточная вариация, коэффициент детерминации, F-статистика - дают количественную оценку того, насколько успешно модель отражает изменение прогнозируемого показателя в прошлом. Это самая начальная, базовая оценка качества модели. С плохими дескриптивными характеристиками нельзя получить хороший прогноз, ведь прогнозная модель - это модель правил функционирования исследуемой системы [3]. Экспертное тестирование дает оценку модели с точки зрения содержательного смысла.

Сложность проработки спецификации модели заключается, прежде всего, в том, что зависимость между реальными показателями может быть промоделирована несколькими различными способами без существенных изменений дескриптивных характеристик модели. Утрированный пример: из двойки можно получит четверку путем прибавления еще одной двойки, умножения на два или возведения во вторую степень. Понятно, что если сделать еще один шаг тем же методом, результаты будут сильно отличаться друг от друга.

Поэтому проработка спецификации модели требует как непосредственного участия экспертов, так и немалого опыта, аналитических способностей и интуиции разработчиков.

1.3 Разработка прогнозной модели


Разработка прогнозной модели - это циклический процесс, включающий несколько этапов, на каждом из которых происходит тесное взаимодействие специалистов разработчика с экспертами. Разработчик знает толк в методах прогнозирования, но хорошая модель получится лишь после выяснения всех деталей механизма исследуемой системы.

Результаты очередного этапа разработки модели могут потребовать сбор дополнительной статистической информации, выявление скрытых процессов функционирования исследуемой системы на стадии численного моделирования приводит к переработке концепции модели на стадии качественного моделирования и так далее.

1.4 Технология создания систем прогнозирования


Постановка. На первом этапе построения прогнозной модели выявляется и формулируется проблема. На основе этой формулировки ставится задача и определяется набор прогнозируемых показателей [14].

Качественное моделирование. Следующий этап - это качественное моделирование исследуемой системы. Выдвигаются и оцениваются гипотезы касательно механизма функционирования исследуемой системы. Определяется набор факторов, воздействующих на прогнозируемый показатель, выясняется характер зависимости между ними.

Сбор статистической информации. Определившись с набором факторов и показателей, переходим к третьему этапу - сбору статистической информации. Для разработки прогнозной модели требуется достоверная статистическая информация об исследуемой системе. Статистическая информация - пища математических моделей. Чем больше статистики, тем лучше получится модель.

Вся исходная информация в обязательно порядке проходит выверку, так как на основе недостоверных исходных данных ничего, кроме недостоверных результатов, рассчитать не получится. Выверка данных за прошлые периоды времени производится преимущественно на основе косвенных признаков: отсутствующие точки, наличие нулевых и отрицательных значений, проверка минимальных и максимальных значений, содержательное объяснение "всплесков" и "провалов" показателей, наличие цепочек одинаковых значений.

От оперативности сбора и выверки статистической информации за прошлые периоды времени в существенной степени зависит скорость построения модели.

Параллельно с разработкой прогнозной модели необходимо налаживать регламентированный сбор статистической информации в реальном времени, так как для расчета прогноза на будущее необходимо знать всю информацию о прошлом и настоящем [10]. На данном этапе неоценимую роль играют функционирующие учетные системы, из которых можно в реальном времени получать свежую достоверную информацию, необходимую для разработки и эксплуатации прогнозных моделей.

Численное моделирование. Четвертый этап разработки модели посвящен численному моделированию на основе собранной статистической информации. Результатом данного этапа, в конечном счете, становится прототип прогнозной модели, проходящий экспертное тестирование. Прототип модели, как правило, оформляется в виде листа MS Excel, что позволяет самым доступным образом изучить структуру модели: набор вошедших в нее переменных, характер взаимосвязи между ними, коэффициенты переменных.

Экспертному тестированию подлежат два ключевых аспекта: точность прогноза и полученный механизм расчета прогноза. Необходимо определить требования к точности работы модели и таким образом установить один из двух критериев готовности модели. Спецификация подлежит экспертному тестированию для того, чтобы определить, насколько точно в модели отражен механизм функционирования реальной экономической системы - это второй критерий готовности прогнозной модели [7].

Например, в ходе качественного моделирования, было установлено, что цена скоропортящегося товара зависит от температуры воздуха. В результате численного анализа было установлено, что существует сильная зависимость текущей цены от температуры за несколько прошедших недель. В данном случае экспертное тестирование позволяет определить, за какой именно период времени необходимо учитывать температуру воздуха, чтобы это не приводило к рассогласованию со сроком хранения товара.

В результате численного анализа собранной статистической информации нередко удается обнаружить сильные, но неочевидные процессы, присутствующие в исследуемой системе, например внутригодовые циклы [12]. В данном случае процесс экспертного тестирования модели дает двойной результат: способствует уточнению спецификации модели и предоставляет экспертам дополнительную информацию об исследуемой системе.

Рассчитанный прогноз представляется в виде графиков и таблиц с числовыми данными. Все рассчитанные прогнозы записываются в хранилище данных, к ним организован удобный доступ в любое время. Есть механизм сравнения вариантов прогнозов, рассчитанных на разных наборах факторов. В ходе опытной эксплуатации происходит окончательная доработка прогнозного комплекса в соответствии с требованиями, после чего прогнозный комплекс переходит в промышленную эксплуатацию и становится на техническую и методическую поддержку.

После разработки модели можно экстраполировать тенденцию, т.е. получить прогноз. Экстраполяция - метод, который предполагает распространение выводов, полученных при изучении части целого, на другую его часть.

 


Глава 2. Классификация прогнозных моделей


В зависимости от используемых методик, модель может быть аналитической или алгоритмической. Аналитическая модель рассчитывает прогнозные значения на основе факторов. Алгоритмическая модель работает без факторов как таковых. Факторами алгоритмической модели являются время и прошлые значения прогнозируемого показателя.

Аналитические модели по сравнению с алгоритмическими, как правило, дают более точные прогнозы. Однако они могут давать сильную погрешность, если нет достоверной информации по всем факторам. Для расчета прогнозного значения нужно знать точные значения факторов в прошлом и будущем. Это является основным ограничением длины прогнозного периода в ходе применения аналитических моделей. Горизонт прогнозирования алгоритмических моделей сильно зависит от типа модели: он может не превышать одного периода, а может быть теоретически неограниченным.

Разработка аналитических моделей - это, как правило, более длинный и сложный процесс по сравнению с разработкой алгоритмических моделей. Аналитические модели отражают самую суть функционирования исследуемой системы. Алгоритмические модели отражают основные законы изменения прогнозируемого показателя. Это сезонность, цикличность, годовые и ежемесячные темпы роста, зависимость показателя от его предыдущих значений (автокорреляция).

Процесс получения прогнозов с помощью математических моделей можно начать даже в ситуации, когда нет никакой статистики, но для поддержки принятия решения уже требуются прогнозные значения ряда экономических показателей [8]. Это, конечно, не означает, что полученная в такой ситуации модель будет давать блестящие результаты: все дело в требуемой точности прогнозов.

В такой ситуации необходимо как можно быстрее пройти постановочную часть разработки модели и наладить процесс регистрации текущих значений прогнозируемых показателей. В этом случае сразу открывается дорога к построению простейших алгоритмических моделей. Далее, по мере прохождения стадии качественного моделирования, выясняется круг факторов и налаживается процесс регистрации их текущих значений.

Также необходимо начать работы по поиску статистической информации за прошлые периоды времени. Как показывает практика, часть информации доступна в открытых источниках, а часть можно восстановить даже по разрозненным файловым источникам данных, если предприятие имеет историю. На начальной стадии построения прогнозной модели даже самая незначительная информация играет большую роль, так как позволяет уточнить спецификацию модели на качественном уровне [5].

Общепризнанные методы прогнозирования временных рядов:

1.      Эконометрические

2.      Регрессионные

.        Методы Бокса-Дженкинса (ARIMA, ARMA)

2.1 Методы прогнозирования, основанные на сглаживании, экспоненциальном сглаживании и скользящем среднем


"Наивные" модели прогнозирования

При создании "наивных" моделей предполагается, что некоторый последний период прогнозируемого временного ряда лучше всего описывает будущее этого прогнозируемого ряда, поэтому в этих моделях прогноз, как правило, является очень простой функцией от значений прогнозируемой переменной в недалеком прошлом.

Самой простой моделью является

Y(t+1)=Y(t),

что соответствует предположению, что "завтра будет как сегодня".

Вне всякого сомнения, от такой примитивной модели не стоит ждать большой точности [9]. Она не только не учитывает механизмы, определяющие прогнозируемые данные (этот серьезный недостаток вообще свойственен многим статистическим методам прогнозирования), но и не защищена от случайных флуктуаций, она не учитывает сезонные колебания и тренды. Впрочем, можно строить "наивные" модели несколько по-другому

(t+1)=Y(t)+[Y(t)-Y(t-1)],(t+1)=Y(t)*[Y(t)/Y(t-1)],

такими способами мы пытаемся приспособить модель к возможным трендам

(t+1)=Y(t-s),

это попытка учесть сезонные колебания

Средние и скользящие средние

Самой простой моделью, основанной на простом усреднении является

(t+1)=(1/(t))*[Y(t)+Y(t-1)+...+Y(1)],

и в отличии от самой простой "наивной" модели, которой соответствовал принцип "завтра будет как сегодня", этой модели соответствует принцип "завтра будет как было в среднем за последнее время". Такая модель, конечно более устойчива к флуктуациям, поскольку в ней сглаживаются случайные выбросы относительно среднего. Несмотря на это, этот метод идеологически настолько же примитивен как и "наивные" модели и ему свойственны почти те же самые недостатки [13].

В приведенной выше формуле предполагалось, что ряд усредняется по достаточно длительному интервалу времени. Однако как правило, значения временного ряда из недалекого прошлого лучше описывают прогноз, чем более старые значения этого же ряда. Тогда можно использовать для прогнозирования скользящее среднее

(t+1)=(1/(T+1))*[Y(t)+Y(t-1)+...+Y(t-T)],

Смысл его заключается в том, что модель видит только ближайшее прошлое (на T отсчетов по времени в глубину) и основываясь только на этих данных строит прогноз.

При прогнозировании довольно часто используется метод экспоненциальных средних, который постоянно адаптируется к данным за счет новых значений. Формула, описывающая эту модель записывается как

(t+1)=a*Y(t)+(1-a)*^Y(t),

^Y(t) - прошлый прогноз на момент времени t- постоянная сглаживания (0<=a<=1))

В этом методе есть внутренний параметр a, который определяет зависимость прогноза от более старых данных, причем влияние данных на прогноз экспоненциально убывает с "возрастом" данных. Зависимость влияния данных на прогноз при разных коэффициентах a приведена на графике.


Видно, что при a->1, экспоненциальная модель стремится к самой простой "наивной" модели. При a->0, прогнозируемая величина становится равной предыдущему прогнозу [11].

Если производится прогнозирование с использованием модели экспоненциального сглаживания, обычно на некотором тестовом наборе строятся прогнозы при a=[0.01, 0.02, ..., 0.98, 0.99] и отслеживается, при каком a точность прогнозирования выше. Это значение a затем используется при прогнозировании в дальнейшем.

Хотя описанные выше модели ("наивные" алгоритмы, методы, основанные на средних, скользящих средних и экспоненциального сглаживания) используются при бизнес-прогнозировании в не очень сложных ситуациях, например, при прогнозировании продаж на спокойных и устоявшихся западных рынках, мы не рекомендуем использовать эти методы в задачах прогнозирования в виду явной примитивности и неадекватности моделей.

Вместе с этим хотелось бы отметить, что описанные алгоритмы вполне успешно можно использовать как сопутствующие и вспомогательные для предобработки данных в задачах прогнозирования. Например, для прогнозирования продаж в большинстве случаев необходимо проводить декомпозицию временных рядов (т.е. выделять отдельно тренд, сезонную и нерегулярную составляющие) [15]. Одним из методов выделения трендовых составляющих является использование экспоненциального сглаживания.

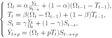
Методы Хольта и Брауна

В середине прошлого века Хольт предложил усовершенствованный метод экспоненциального сглаживания, впоследствии названный его именем. В предложенном алгоритме значения уровня и тренда сглаживаются с помощью экспоненциального сглаживания. Причем параметры сглаживания у них различны.


Здесь первое уравнение описывает сглаженный ряд общего уровня.

Второе уравнение служит для оценки тренда. Третье уравнение определяет прогноз на p отсчетов по времени вперед.

Постоянные сглаживания в методе Хольта идеологически играют ту же роль, что и постоянная в простом экспоненциальном сглаживании. Подбираются они, например, путем перебора по этим параметрам с каким-то шагом. Можно использовать и менее сложные в смысле количества вычислений алгоритмы. Главное, что всегда можно подобрать такую пару параметров, которая дает большую точность модели на тестовом наборе и затем использовать эту пару параметров при реальном прогнозировании.

Частным случаем метода Хольта является метод Брауна, когда a=ß.

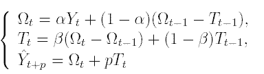
Метод Винтерса

Хотя описанный выше метод Хольта (метод двухпараметрического экспоненциального сглаживания) и не является совсем простым (относительно "наивных" моделей и моделей, основанных на усреднении), он не позволяет учитывать сезонные колебания при прогнозировании. Говоря более аккуратно, этот метод не может их "видеть" в предыстории. Существует расширение метода Хольта до трехпараметрического экспоненциального сглаживания. Этот алгоритм называется методом Винтерса [19]. При этом делается попытка учесть сезонные составляющие в данных. Система уравнений, описывающих метод Винтерса выглядит следующим образом:


Дробь в первом уравнении служит для исключения сезонности из Y(t). После исключения сезонности алгоритм работает с "чистыми" данными, в которых нет сезонных колебаний. Появляются они уже в самом финальном прогнозе, когда "чистый" прогноз, посчитанный почти по методу Хольта умножается на сезонный коэффициент.

Регрессионные методы прогнозирования

Наряду с описанными выше методами, основанными на экспоненциальном сглаживании, уже достаточно долгое время для прогнозирования используются регрессионные алгоритмы. Коротко суть алгоритмов такого класса можно описать так.

Существует прогнозируемая переменная Y (зависимая переменная) и отобранный заранее комплект переменных, от которых она зависит - X1, X2, ..., XN (независимые переменные). Природа независимых переменных может быть различной. Например, если предположить, что Y - уровень спроса на некоторый продукт в следующем месяце, то независимыми переменными могут быть уровень спроса на этот же продукт в прошлый и позапрошлый месяцы, затраты на рекламу, уровень платежеспособности населения, экономическая обстановка, деятельность конкурентов и многое другое [6]. Главное - уметь формализовать все внешние факторы, от которых может зависеть уровень спроса в числовую форму.

Модель множественной регрессии в общем случае описывается выражением


В более простом варианте линейной регрессионной модели зависимость зависимой переменной от независимых имеет вид:


Здесь  - подбираемые коэффициенты регрессии, e- компонента ошибки. Предполагается, что все ошибки независимы и нормально распределены.

Для построения регрессионных моделей необходимо иметь базу данных наблюдений примерно такого вида [17]:


переменные

 

независимые

зависимая

X1

X2

...

XN

Y

1

x_11

x_12

...

x_1N

Y_1

2

x_21

x_22

...

x_2N

Y_2

...

...

...

...

...

...

m

x_M1

x_M2

...

x_MN

Y_m


С помощью таблицы значений прошлых наблюдений можно подобрать (например, методом наименьших квадратов) коэффициенты регрессии, настроив тем самым модель.

При работе с регрессией надо соблюдать определенную осторожность и обязательно проверить на адекватность найденные модели. Существуют разные способы такой проверки. Обязательным является статистический анализ остатков, тест Дарбина-Уотсона [4]. Полезно, как и в случае с нейронными сетями, иметь независимый набор примеров, на которых можно проверить качество работы модели.

прогнозный спецификация сглаживание arima

2.2 Методы Бокса-Дженкинса (ARIMA)


В середине 90-х годов прошлого века был разработан принципиально новый и достаточно мощный класс алгоритмов для прогнозирования временных рядов. Большую часть работы по исследованию методологии и проверке моделей была проведена двумя статистиками, Г.Е.П. Боксом (G.E.P. Box) и Г.М. Дженкинсом (G.M. Jenkins). С тех пор построение подобных моделей и получение на их основе прогнозов иногда называться методами Бокса-Дженкинса. Более подробно иерархию алгоритмов Бокса-Дженкинса мы рассмотрим чуть ниже, пока же отметим, что в это семейство входит несколько алгоритмов, самым известным и используемым из них является алгоритм ARIMA. Он встроен практически в любой специализированный пакет для прогнозирования. В классическом варианте ARIMA не используются независимые переменные. Модели опираются только на информацию, содержащуюся в предыстории прогнозируемых рядов, что ограничивает возможности алгоритма. В настоящее время в научной литературе часто упоминаются варианты моделей ARIMA, позволяющие учитывать независимые переменные. В данном учебнике мы их рассматривать не будем, ограничившись только общеизвестным классическим вариантом. В отличие от рассмотренных ранее методик прогнозирования временных рядов, в методологии ARIMA не предполагается какой-либо четкой модели для прогнозирования данной временной серии. Задается лишь общий класс моделей, описывающих временной ряд и позволяющих как-то выражать текущее значение переменной через ее предыдущие значения. Затем алгоритм, подстраивая внутренние параметры, сам выбирает наиболее подходящую модель прогнозирования. Как уже отмечалось выше, существует целая иерархия моделей Бокса-Дженкинса. Логически ее можно определить так

(p)+MA(q)->ARMA(p,q)->ARMA(p,q)(P,Q)->ARIMA(p,q,r)(P,Q,R)->...

AR(p) -авторегрессионая модель порядка p.

Модель имеет вид:

(t)=f_0+f_1*Y(t-1)+f_2*Y(t-2)+...+f_p*Y(t-p)+E(t)

Где Y(t)-зависимая переменная в момент времени t. f_0, f_1, f_2, ..., f_p - оцениваемые параметры [2]. E(t) - ошибка от влияния переменных, которые не учитываются в данной модели. Задача заключается в том, чтобы определить f_0, f_1, f_2, ..., f_p. Их можно оценить различными способами. Правильнее всего искать их через систему уравнений Юла-Уолкера, для составления этой системы потребуется расчет значений автокорреляционной функции. Можно поступить более простым способом - посчитать их методом наименьших квадратов.

MA(q) -модель со скользящим средним порядка q.

Модель имеет вид:

(t)=m+e(t)-w_1*e(t-1)-w_2*e(t-2)-...-w_p*e(t-p)

Где Y(t)-зависимая переменная в момент времени t. w_0, w_1, w_2, ..., w_p - оцениваемые параметры.

Заключение


Прогнозирование - это самостоятельная отрасль науки, которая находит широкое применение во всех сферах человеческой деятельности. Существует большое разнообразие видов и способов прогнозирования, разработанных с учетом характера рассматриваемых задач, целей исследования, состояния информации. Этим вопросам посвящено много книг и журнальных статей. Мы здесь не ставим целью рассказать о теории прогнозирования в целом. Наша задача - показать на примере линейной регрессии применение эконометрических моделей в прогнозировании значений экономических показателей. В обыденном понимании прогнозирование - это предсказание будущего состояния интересующего нас объекта или явления на основе ретроспективных данных о прошлом и настоящем состояниях при условии наличия причинно-следственной связи между прошлым и будущим. Можно сказать, что прогноз - это догадка, подкрепленная знанием. Поскольку прогностические оценки по сути своей являются приближенными, может возникнуть сомнение относительно его целесообразности вообще. Поэтому основное требование, предъявляемое к любому прогнозу, заключается в том, чтобы в пределах возможного минимизировать погрешности в соответствующих оценках. По сравнению со случайными и интуитивными прогнозами, научно обоснованные и планомерно разрабатываемые прогнозы без сомнения являются более точными и эффективными. Как раз такими являются прогнозы, основанные на использовании методов статистического анализа. Можно утверждать, что из всех способов прогнозирования именно они внушают наибольшее доверие, во-первых, потому что статистические данные служат надежной основой для принятия решений относительно будущего, во-вторых, такие прогнозы вырабатываются и подвергаются тщательной проверке с помощью фундаментальных методов математической статистики.

Похожие работы на - Статистические методы прогнозирования социально-экономических явлений

 

Не нашли материал для своей работы?
Поможем написать уникальную работу
Без плагиата!
Без нейросетей!