Оцінка фінансово-економічної діяльності ПАТ 'Сумихімпром'
1. Загальна характеристика ПАТ
«Сумихімпром»
Публічне акціонерне товариство
«СУМИХІМПРОМ» - великий енергохімічний комплекс, промисловий майданчик якого
займає 226 га.
Підприємство розташоване на
північному сході України. До його складу входять 11 основних цехів, 20
допоміжних цехів, 7 підрозділів непромислової групи (комбінат громадського
харчування, санаторій - профілакторій та ін.).
ПАТ « СУМИХІМПРОМ » має статус
базового підприємства хімічної галузі промисловості України з виробництва
фосфорних мінеральних добрив.
Основні сфери діяльності ПАТ
«СУМИХІМПРОМ»:
виробництво комплексних мінеральних
добрив, діоксиду титану та іншої продукції великотоннажної неорганічної хімії;
оптова та роздрібна торгівля.
Асортимент основних видів продукції:
титану діоксид пігментний чотирьох
марок - «SumTitan» тм;
широкий асортимент високоефективних
гранульованих N: P: K та N : P - добрив, що містять всі основні живильні
елементи, необхідні для росту і розвитку рослин: азот, фосфор, калій, сірку, а
також мікроелементи: бор, цинк, марганець, залізо, молібден - «SuperAgro» тм;
сульфат заліза;
пігмент жовтий залізоокисний;
технічна сірчана кислота, олеум,
реактивна сірчана кислота;
сульфат алюмінію - коагулянт для
очищення питної води та стоків.
ПАТ «Сумихімпром»:
- одне із найбільших вітчизняних
підприємств з випуску складних мінеральних добрив, двоокису титану, сірчаної
кислоти та ін. видів продукції неорганічної хімії;
- входить до трійки
бюджетоутворюючих підприємства міста Суми;
- має можливість виробляти понад 50
марок NPK-добрив «Суперагро» з різним співвідношенням поживних речовин для всіх
грунтових і кліматичних зон України та світу;
- за 60-річну історію підприємства
вироблено понад 62 млн. 594 тис. 884 тонни
добрив, 1 млн. 651 тис. 585 тонн
двоокису титану;
- виробничий комплекс підприємства
розташований на площі 222 га;
- продукція виготовляється
відповідно до міжнародних стандартів, на підприємстві ефективно функціонують
Системи Менеджменту Якості (ISO 9001:2008) та Екологічного Управління (ISO
14001:2004).
. Оцінка фінансово-економічної
діяльності ПАТ «Сумихімпром»
При оцінці фінансового стану
підприємства ключовими показниками є коефіцієнти ліквідності. Ці показники
відображають здатність підприємства виконувати свої фінансові зобов’язання
перед усіма контрагентами та державою. Аналіз ліквідності та платоспроможності
підприємства приведений у табл. 1.
фінансовий фондовіддача банкротство
платоспроможність
Табл. 1 - Показники ліквідності та
платоспроможності підприємства
|
Показники
|
Джерело інформації, форма №1 Баланс
|
Нормативне значення
|
Роки
|
|
|
|
2011
|
2012
|
|
|
|
|
|
|
Чистий оборотний капітал, тис. грн.
|
ф.1 (р.260 - р.620)
|
> 0
|
-775612
|
-1136590
|
|
Власний оборотний (функціонуючий) капітал
(ВОК)
|
ф.1,р.380-ф.1,р.080
|
> 0
|
-1200133
|
-1148258
|
|
Коефіцієнт покриття (поточної ліквідності)
|
ф.1 р.260/ ф.1р.620
|
>1,5
|
0,37
|
0,44
|
|
Коефіцієнт швидкої ліквідності
|
(ф.1, р. 260 - ф.1 ( р.100 + р.120 + р. 130 +
р. 140))/ ф.1, р. 620
|
0,5-1
|
0,067
|
0,251
|
|
Коефіцієнт абсолютної ліквідності
|
(ф.1,р. 230 + ф.1,р. 240 + ф.1,р. 220)/ ф.1,р.
620
|
0,2-0,25
|
0,003
|
0,002
|
Аналіз показників ліквідності
підприємства за 2011-2012 рр. показав, що коефіцієнт покриття є незадовільним
по відношенню до нормативного значення. Це означає, що здатність підприємства
забезпечувати свої короткострокові зобов'язання щодо частини активів (оборотних
коштів), яка найбільш легко реалізовується, вкрай мала.
Коефіцієнти швидкої ліквідності за
період 2011-2012 рр. не знаходяться в межах нормативного значення (0,5-1). Це в
свою чергу свідчить про недостатність ліквідних активів для погашення
короткострокових зобов’язань. Даний коефіцієнт має вирішальне значення для
банків, так як характеризує ступінь надійності підприємства при поверненні
кредитів.
У 2011 році коефіцієнт абсолютної
ліквідності дорівнював 0,003, а в 2012 0,002. Значення цього коефіцієнта є
набагато нижчим за його норму, що свідчить про недостатню спроможність
товариства негайно погасити заборгованість за поточними зобов'язаннями.
Таким чином, можна зробити висновки,
що при зниженні рівня ліквідності підприємства обсяг поточних зобов'язань зможе
перевищити обсяг ліквідних активів.
Розрахуємо показники для
характеристики фінансової стійкості досліджуваного підприємства. Коефіцієнт
фінансової стійкості характеризує незалежність товариства від зовнішніх джерел
фінансування. Тому, чим вище значення коефіцієнта, тим кращий фінансовий стан.
Аналіз показників фінансової стійкості підприємства приведений у табл. 2.
Табл. 2- Показники фінансової
стійкості підприємства
|
Показники
|
Джерело інформації, форма №1Баланс
|
Нормативне значення
|
Роки
|
|
|
|
2011
|
2012
|
|
Коефіцієнт фінансової незалежності (автономії)
|
ф.1,р.380/ ф.1,р.640
|
>0,5
|
-0,20
|
-0,31
|
|
Коефіцієнт фінансової залежності
|
ф.1,р.640/ф.1,р.380
|
<1
|
-4,92
|
-3,21
|
|
Коефіцієнт маневреності власного капіталу
|
(ф.1,р.380- ф.1,р.080) /ф.1,р.380
|
0,4-0,6
|
-0,87
|
-1,84
|
|
Коефіцієнт покриття запасів і затрат власними
оборотними коштами
|
(ф.1,р.380-ф.1,р.080)/(р.100+110+120+130+140)
|
>0,5
|
-3,25
|
-2,91
|
|
Коефіцієнт фінансової стійкості
|
ф.1,р.380/ф.1,р.620
|
>0,75
|
-0,23
|
-0,24
|
|
Коефіцієнт забезпеченості власними оборотними
засобами
|
(ф.1,р.380- ф.1,р.080)/ф.1р.260
|
>0,1
|
-2,66
|
-1,26
|
Одним з найважливіших показників, що
характеризують фінансову стійкість підприємства, є коефіцієнт автономії. Він
показує, наскільки підприємство незалежно від позикового капіталу. Значення
даного показника у 2011-2012 рр. є нижчим від критичного рівня 0,5. Очевидним є
факт, що власного капіталу заводу недостатньо для компенсування усього обсягу
позикового капіталу. А це,в свою чергу, свідчить про зниження фінансової
незалежності та гарантії погашення підприємством своїх зобов'язань.
Коефіцієнт фінансової залежності у
2012 році значно збільшився в порівнянні з 2011 роком, зростання цього
показника в динаміці означає збільшення частки позичених коштів у фінансуванні
підприємства.
Коефіцієнт маневреності власного
капіталу є від’ємним протягом усього аналізованого періоду та за 2012 рік
зменшився на 111,5 % порівняно з 2011 рік. Цей коефіцієнт показує, яка частина
власного капіталу використовується для фінансування поточної діяльності, тобто
вкладена в оборотні кошти, а яка частина капіталізована. Значення цього
показника може змінюватися залежно від структури капіталу і галузевої
приналежності підприємства. Отже, можна дійти висновку, що дане підприємство не
здатне підтримувати рівень власного оборотного капіталу й поповнювати оборотні
кошти в разі потреби за рахунок власних джерел.
Коефіцієнт покриття запасів і витрат
власними оборотними коштами визначає, яка частина матеріальних запасів
фінансується за рахунок власних коштів підприємства. Аналіз підприємства
свідчить про те, що матеріальні запаси не фінансуються за рахунок власного
капіталу і протягом 2011-2012 років мають від’ємні значення.
Коефіцієнт фінансової стійкості
показує, яка частина активу фінансується за рахунок стійких джерел, тобто
частки тих джерел фінансування, які організація може використовувати у своїй
діяльності тривалий час. Значення цього показника є нижчим рекомендовано і має
тенденцію до зниження. У 2012 році показник знизився в порівнянні з попереднім
роком, та це безумовно викликає тривогу за стійкість компанії.
Коефіцієнт забезпеченості власними
оборотним коштами має від’ємне значення і становить у 2012 році -2,66 та у 2012
році -1,26, що говорить про низький рівень платоспроможності та
кредитоспроможності підприємства.
Важливою складовою фінансового
аналізу разом з оцінкою фінансового стану та результатів діяльності є аналіз
ділової активності підприємства (табл.3).
Табл. 3 - Аналіз ділової активності
підприємства
|
Показники
|
Джерела інформації, форми №1,№2
|
Нормативне значення
|
Роки
|
|
|
|
2012
|
2013
|
|
|
|
|
|
|
Коефіцієнт оборотності активів (Коа)
|
ф.2р.035/ ф.1(р.280(гр.3) + р.280(гр.4))/2
|
збільш.
|
1,58
|
1,46
|
|
Коефіцієнт оборотності власного капіталу
|
ф.2р.035/ ф.1(р.380(гр.3)+ +(р.380(гр.4))/2
|
збільш.
|
-7,60
|
-5,46
|
|
Коефіцієнт оборотності основних засобів
(фондовіддача)
|
ф.2р.035/ ф.1(р.031(гр.3)+ +(р.031(гр.4))/2
|
збільш.
|
1,70
|
1,62
|
|
Коефіцієнт оборотності запасів (Коз)
|
ф.2р.040/ ф.1(Σ(р.100-р.140)гр.3+
+Σ(р.100-р.140)гр.4)/2
|
збільш.
|
5,08
|
3,71
|
|
Коефіцієнт оборотності кредиторської
заборгованості (Кокз)
|
ф.2р.035/ ф.1(Σ(р.520-р.600)гр.3+
+Σ(р.520-р.600)гр.4)/2
|
збільш.
|
2,39
|
3,27
|
|
Коефіцієнт оборотності дебіторської
заборгованості (Кодз)
|
ф.2р.035/ ф.1(Σ(р.150-р.210)гр.3+
+Σ(р.150-р.210)гр.4)/2
|
збільш.
|
6,93
|
4,07
|
|
Строк погашення кредиторської заборгованості
(днів)
|
360/Кокз
|
>0, зменш.
|
150,63
|
110,09
|
|
Строк погашення дебіторської заборгованості
(днів)
|
360/Кодз
|
>0, зменш.
|
51,95
|
88,45
|
Коефіцієнт оборотності активів -
відображає швидкість обороту сукупного капіталу підприємства, тобто показує,
скільки разів за аналізований період відбувається повний цикл виробництва й
обіг, що приносить відповідний ефект у вигляді прибутку, або скільки грошових
одиниць реалізованої продукції принесла кожна одиниця активів:. За аналізований
період 2011-2012 рр. показник має тенденцію до зниження і це є негативним
фактором для підприємства.
Коефіцієнт оборотності власного
капіталу показує, скільки потрібно оборотів для оплати виставлених рахунків. У
2012 році цей показник перевищує рівень реалізації над вкладеним капіталом, що
тягне за собою збільшення кредитних ресурсів. У цьому випадку відношення
зобов'язань до власного капіталу збільшується, зростає також ризик кредиторів,
у зв'язку з чим компанія може мати серйозні труднощі, зумовлені зменшенням
доходів або загальною тенденцією до зниження цін.
Коефіцієнт оборотності основних
засобів (фондовіддача) показує, яка загальна віддача від використання кожної
гривні, вкладеної в основні засоби, тобто наскільки ефективним є це вкладення
коштів. Спостерігається тенденція зменшення цього показника з 1,70 в 2011 році
до 1,62 в 2012 році, що свідчить про неефективне використання основних засобів
підприємства та зменшення виручки, що припадає на одиницю основних виробничих
засобів.
Важливою складовою аналізу ділової
активності підприємства є аналіз стану дебіторської та кредиторської
заборгованостей. Ситуація для підприємства є несприятливою протягом 2011-2012
рр. У 2012 році коефіцієнт оборотності дебіторської заборгованості знизився на
в порівнянні з 2011 роком. Зниження дебіторської заборгованості відображає
погіршення платіжної дисципліни покупців (а також інших контрагентів) -
несвоєчасне погашення покупцями заборгованості перед підприємством.
Отже, за аналізований період
2011-2012 рр. спостерігається зменшення значень коефіцієнта оборотності
дебіторської заборгованості та збільшення строків їі погашення, що може мати
негативний вплив на подальшу діяльність підприємства.
. Аналіз ліквідності балансу ПАТ
«Сумихімпром»
Аналіз ліквідності балансу полягає в
порівнянні коштів за активом, згрупованих за ступенем спадної ліквідності
(табл. 4), з короткостроковими зобов'язаннями за пасивом, що групуються за
ступенем терміновості їхнього погашення.
Табл.4 - Групування активів за
ступенем ліквідності
|
Вид активу
|
2011
|
2012
|
|
Грошові засоби
|
3 333
|
3 052
|
|
Короткострокові фінансові вкладення
|
0
|
0
|
|
Разом у групі 1
|
3333
|
3 052
|
|
Векселі отримані
|
0
|
0
|
|
Дебіторська заборгованість за товари
|
31 934
|
20 830
|
|
Розрахунки з бюджетом
|
235 302
|
423 653
|
|
Розрахунки за виданими авансами
|
11 604
|
25 054
|
|
Інша поточна дебіторська заборгованість
|
814
|
1 570
|
|
Разом у групі 2
|
279 654
|
471 107
|
|
Готова продукція
|
99 860
|
111 442
|
|
Сировина і матеріали
|
242 948
|
259 563
|
|
Незавершене виробництво
|
12 111
|
23 283
|
|
Товари
|
527
|
815
|
|
Разом у групі 3
|
355 446
|
395 083
|
|
Необоротні активи
|
920 812
|
659 416
|
|
Витрати майбутніх періодів
|
72
|
126
|
|
Разом у групі 4
|
920 884
|
659 542
|
|
Усього
|
1 559 317
|
1 528 784
|
До першої групи (А1) входять
абсолютно ліквідні активи, такі як готівка і короткострокові фінансові
вкладення.
До другої групи (А2) належать
швидкореалізовані активи: векселі отримані і всі види поточної дебіторської
заборгованості. Ліквідність цієї групи оборотних активів залежить від вчасності
відвантаження продукції, оформлення банківських документів, швидкості
платіжного документообігу в банках, від попиту на продукцію, її
конкурентоспроможності, платоспроможності покупців, форм розрахунків і т. ін.
До третьої групи (А3) відносять
активи, що повільно реалізуються, до яких належать запаси сировини, матеріалів,
готової продукції, незавершеного виробництва товарів, для трансформування яких
у готівку потрібен значно більший термін.
Четверта група (А4) - це
важкореалізовані активи, до яких входять основні засоби, нематеріальні активи,
довгострокові фінансові вкладення, незавершене будівництво, довгострокова
дебіторська заборгованість, платежі за якою очікуються більш ніж через 12
місяців, відстрочені податкові активи, видатки майбутніх періодів, інші
необоротні активи.
Відповідно на чотири групи
поділяються і зобов'язання підприємства:
П1 - найбільш термінові
зобов'язання, які слід погасити протягом поточного місяця (кредиторська
заборгованість і кредити банку, терміни повернення яких настали);
П2 - середньострокові зобов'язання з
терміном погашення до одного року (короткострокові кредити банку, інші поточні
зобов’язання);
П3 - довгострокові зобов'язання
(довгострокові кредити банку і позики);
П4 - власний капітал, що постійно
перебуває в розпорядженні підприємства (розділ І, II і V пасиву балансу).
Вивчення співвідношень цих груп
активів і пасивів за кілька періодів дозволить установити тенденції зміни в
структурі балансу і його ліквідності (табл. 5).
Табл. 5 - Угруповання активів і
пасивів балансу для проведення аналізу ліквідності
|
Групи активів
|
Сума, тис.грн
|
Групи пасивів
|
Сума, тис.грн
|
Платіжний надлишок/нестача
|
|
2011
|
2012
|
|
2011
|
2012
|
2011
|
2012
|
|
А1
|
3 333
|
3 052
|
П1
|
742180
|
609402
|
-738847
|
-606350
|
|
А2
|
279 654
|
471 107
|
П2
|
15142
|
20076
|
264503
|
4511031
|
|
А3
|
355 446
|
395 083
|
П3
|
352571
|
379 752
|
2 875
|
15 331
|
|
А4
|
920 884
|
659 542
|
П4
|
-269469
|
-477048
|
1190353
|
1136590
|
|
Всього
|
1 559317
|
1 528784
|
|
840424
|
132354
|
|
|
Для визначення ліквідності балансу
слід зіставити підсумки по кожній групі активів і пасивів.
Баланс вважається абсолютно
ліквідним, якщо виконуються умови:
А1 >> П1
А2 >> П2
А3 >> П3
А4 << П4
Якщо виконуються перші три
нерівності, тобто поточні активи перевищують зовнішні зобов'язання
підприємства, то обов'язково виконується остання нерівність, що має глибокий
економічний сенс: наявність у підприємства власних оборотних коштів та
дотримується мінімальна умова фінансової стійкості.
Порівняємо отримані показники з
нормативними значеннями (табл.6):
Табл. 6 - Аналіз ліквідності балансу
ПАТ "Сумихімпром"
|
Нормативні показники
|
Співвідношення активів і пасивів балансу ПАТ
"Сумихімпром"
|
|
2012
|
2013
|
|
А1=>П1
|
А1<П1
|
А1<П1
|
|
А2=>П2
|
А2>П2
|
А2>П2
|
|
А3=>П3
|
А3>П3
|
А3>П3
|
|
А4<П4
|
А4>П4
|
А4>П4
|
Виходячи з отриманих даних, можна
охарактеризувати ліквідність балансу ПАТ «Сумихімпром» як недостатню, так як
співвідношення високоліквідних активів (А1) і найбільш термінових зобов’язань
(П1) не відповідає нормативним значенням.
Нерівність А2> П2 виконано, а це
означає, що швидко реалізовані активи перевищують короткострокові пасиви і ПАТ
"Сумихімпром" може бути платоспроможним підприємством в недалекому
майбутньому з урахуванням своєчасних розрахунків з кредиторами, отримання
коштів від продажу продукції в кредит. Отже, порівняння підсумків А2 і П2
задовольняє умові абсолютно ліквідного балансу.
Порівняння значень статей А3 і П3
(тобто активів і пасивів з термінами більше 1 року) відповідає нормативним
значенням в аналізованому періоді. Це означає, що в майбутньому при своєчасному
надходженні коштів від продажу та платежів ПАТ "Сумихімпром" зможе
бути платоспроможним на період, рівний середньої тривалості одного обороту
оборотних коштів після дати складання балансу.
Співвідношення А4 і П4 - відображає
фінансову стійкість, тобто наявність у підприємства власних оборотних коштів.
Нормативним значенням є А4<П4. У випадку ПАТ «Сумихімпром», ця умова не
виконана, що свою чергу, свідчить про недотримання мінімальної умови фінансової
стійкості організації та наявності у підприємства власних оборотних коштів.
Баланс розглянутого підприємства, а
саме ПАТ "Сумихімпром", не відповідає умовам ліквідності, так як
підприємство практично не має високо ліквідних джерел для оплати найбільш
термінових активів. Отже, має місце високий ризик невиконання поточних
зобов'язань.
Для комплексної оцінки ліквідності
балансу в цілому рекомендується використовувати загальний показник ліквідності
балансу підприємства, який показує відношення суми всіх ліквідних коштів
підприємства до суми всіх платіжних зобов'язань (короткострокових,
довгострокових, середньострокових) за умови, що різні групи ліквідних засобів і
платіжних зобов'язань входять до зазначених сум з певними ваговими
коефіцієнтами, що враховують їх значимість з точки зору термінів надходження
коштів та погашення зобов'язань. Загальний показник ліквідності балансу
визначається за формулою:
К = (А1 + 0,5 * А2 + 0,3 * А3) / (П1
+ 0,5 * П2 + 0,3 * П3)
Оцінює зміни фінансової ситуації в
компанії з точки зору ліквідності. Значення даного коефіцієнта повинно бути
більше або дорівнює 1.
Розрахуємо загальний показник
ліквідності балансу ПАТ «Сумихімпром» по двом рокам.
За 2011:
К=(3 333+0,5* 279 654 +0,3* 355
446)/(742 180+0,5*15 142 +0,3*352 571) = 0,29
За 2012:
К=(3 052 +0,5*471 107+0,3*395
083)/(609402 +0,5*20076+0,3*379 752) = 0,48
В аналізованому періоді показник
ліквідності балансу не відповідає нормативному значенню (2011р. = 0,29; 2013р.
= 0,48) ,але спостерігається позитивна динаміка, отже, баланс компанії не можна
назвати ліквідним; ПАТ "Сумихімпром" не може в повному обсязі
погасити найбільш короткострокову кредиторську заборгованість.
4. Методики оцінювання ймовірності
настання банкротства
В даній розрахунковій роботі
пропонується провести оцінювання ймовірності настання банкротства за двома
методиками, а саме за моделлю Альтмана (п’ятифакторною) та моделлю Ліса.
П’ятифакторна модель Альтмана:
Z = 1,2Х1 + 1,4Х2 + 3,3Х3 + 0,6Х4 +
Х5
X1 = власні оборотні кошти (робочий
капітал) /сума активів
Х2 = відношення суми чистого
прибутку (нерозподіленого прибутку) або непокритого збитку, взятого з
негативним знаком, до загальної суми активів
Х3 = відношення прибутку до
оподаткування до загальної суми активів
Х4 = відношення ринкової вартості
власного капіталу підприємства (сумарної ринкової вартості акцій підприємства)
до балансової вартості позикових коштів
Х5 = відношення виручки до загальної
суми активів
Для 2011 року:= (451403-
1227015)/1373568= -0,5646
Х2 = -714653/1373568 = -0,5202
Х3 = 56655/1373568 = 0,0412
Х4 = -279321/( 352571+ 1227015)=
-0,1768
Х5 = 2231039/1373568 = 1,62= 1,2*
(-0,5646)+ 1,4*(-0,5202) + 3,3*(0,0412) + 0,6*(-0,1768) + 1,62= 0,24
Для 2012
року:=(909330-2045920)/1568872 =- 0,7244
Х2 = -924464/1568872 = -0,5892
Х3 = 0/1568872 = 0
Х4 = -488842/( 0+ 2045920)= -0,2389
Х5 = 2245185/1568872 = 1,4310= 1,2*
(- 0,7244)+ 1,4*(-0,5892) + 3,3*(0) + 0,6*(-0,2389) + 1,4310 = -0.4065
В результаті підрахунку Z -
показника для конкретного підприємства робиться висновок:
Якщо Z <1,81 - ймовірність
банкрутства становить від 80 до 100%;
Якщо 2,77 <= Z <1,81 - середня ймовірність краху компанії від 35 до 50%;
Якщо 2,99 <Z <2,77 - ймовірність банкрутства не велика від 15 до 20%;
Якщо Z <= 2,99 - ситуація на
підприємстві стабільна, ризик неплатоспроможності протягом найближчих двох
років вкрай малий.
Отже, згідно моделі Альтмана,
ймовірність настання банкрутства для ПАТ «Сумихімпром» становить від 80% до
100% (дуже висока).
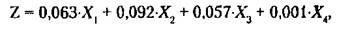
) Модель Ліса:
Х1 - відношення оборотного капіталу
до всіх активів
Х2 - відношення прибутку від
реалізації до всіх активів

Х4 - відношення власного капіталу до
позичкового капіталу
Для 2011 року:
Х1 = 451403/1373568 = 0,3286
Х2= (2113658-(1822733+63027+59734))
/ 1373568 =-2,9551
Х3=(-714653) / 1373568 = -0,5202
Х4 =(-279321) / (1373568 +279321)= -
0,1689= 0,063*0,3286 + 0,092*(-2,9551)+ 0,057*(-0,5202)+0,001*(- 0,1689) =
-0,2809
Для 2012 року:
Х1 = 909330 /1568872 = 0,5796
Х2= (2098387- (2102748 +77828 +46873
)) / 1568872 =-0,0823
Х3=(-924464) / 1568872 = -0,5892
Х4 =(-488842) / (1568872+ 488842)= -
0,2375 = 0,063*0,5796 + 0,092*(-0,0823)+ 0,057*(-0,5892)+0,001*(- 0,2375 ) =
-0,004
У разі якщо Z < 0,037 -
вірогідність банкрутства висока ; Z > 0,037 - ймовірність банкрутства
невелика.В нашому випадку Z значно менша за нормативне значення,що може
свідчити про дуже високу вірогідність банкрутста для нашого підприємства.
. Заходи щодо відновлення
платоспроможності ПАТ «Сумихімпром»
Основним напрямком покращення
фінансового стану підприємства є збільшення його прибутку.
Проаналізувавши розраховані вище
показники, можна запропонувати декілька заходів щодо покращення фінансового
стану ПАТ «Сумихімпром» та уникнення банкрутства.
Збільшення обсягу власних фінансових
ресурсів шляхом:
систематичного управління витратами
- можна почати зі зниження вже існуючих витрат. Для цього, наприклад, на
початку і в кінці звітного періоду проводити глобальну інвентаризацію. В
результаті вийде приблизно оцінити реальні витрати сировини і матеріалів;
скорочення суми постійних витрат на
забезпечення управлінського персоналу, ремонт основних засобів і т.д.;
зниження рівня змінних витрат за
рахунок скорочення чисельності виробничого персоналу й росту продуктивності
праці;
пошук внутрішніх резервів по
збільшенню прибутковості виробництва й досягненню беззбиткової роботи за
рахунок більш повного використання виробничої потужності підприємства,
підвищення якості й конкурентоздатності продукції, зниження її собівартості,
раціонального використання матеріальних, трудових і фінансових ресурсів,
скорочення непродуктивних витрат і втрат;
ресурсозбереження, а саме
впровадження прогресивних норм, нормативів і ресурсозберігаючих технологій,
організація діючого обліку й контролю за використанням ресурсів, вивчення й
впровадження передового досвіду в здійсненні режиму економії, матеріального й
морального стимулювання працівників за економію ресурсів;
модернізація виробничих процесів;
випуск нової продукції.
Реструктуризація кредиторської
заборгованості - отримання різних поступок з боку кредиторів, наприклад
скорочення суми заборгованості або зменшення процентної ставки по кредиту в
обмін на різні активи, що належать компанії. Одним з основних способів
реструктуризації кредиторської заборгованості є поступка прав власності на
основні засоби. Підприємство може домовитися з кредитором про погашення частини
кредиторської заборгованості в обмін на основні засоби. Але, перш ніж
пропонувати будь-які активи в якості відступного, треба оцінити, наскільки вони
важливі для виробничої діяльності підприємства і чи не є забезпеченням за
іншими зобов'язаннями. Доцільно буде пропонувати такий метод реструктуризації
тим кредиторам, які можуть використовувати або продати отримані активи.
Для систематизованого виявлення й
узагальнення всіх видів втрат на ПАТ «Сумихімпром» доцільно вести спеціальний
реєстр втрат із класифікацією їх по групах:
від браку;
зниження якості продукції;
втрати вигідних замовників, вигідних
ринків збуту;
неповного використання виробничої
потужності підприємства;
простоїв робочої сили, засобів
праці, предметів праці й грошових ресурсів;
перевитрати ресурсів на одиницю
продукції в порівнянні із установленими нормами;
псування й недостачі матеріалів і
готової продукції;
списання не повністю амортизованих
основних засобів;
сплати штрафних санкцій за порушення
договірної дисципліни;
списання незатребуваної дебіторської
заборгованості;
списання простроченої дебіторської
заборгованості;
залучення невигідних джерел
фінансування і т.д.
Аналіз динаміки цих втрат і розробка
заходів щодо їхнього усунення дозволять значно поліпшити фінансовий стан ПАТ
«Сумихімпром».
Можливо, ефективними заходами будуть
також проведення реінжинірингу бізнес-процесів, тобто потрібно докорінно
переглянути виробничу програму аналізує мого підприємства, матеріально-технічне
постачання, організацію праці й нарахування заробітної плати, відбір і
розміщення персоналу, управління якістю продукції, ринки сировини й ринки збуту
продукції, інвестиційну й цінову політику тощо.
Список використаної літератури
Бабич
Л.М. Актуальні проблеми удосконалення організаційно- методичного механізму
запобігання банкрутству на підприємствах // Актуальні проблеми економіки. -
2003 р. - № 4, с. 71-75.
Мержа
Н.В. Аналіз ймовірності банкрутства підприємств в економіці України //
Актуальні проблеми Економіки. - 2005 р. - №9 (51), с. 65-69.
Закон
України «Про відновлення платоспроможності боржника або визнання його
банкрутом» // Бюл. Законодавства і юридичної практики України. - 2002.: №4:
Законодавство України про банкрутство. - 366 с.
Матвійчук
А.О. Діагностика банкрутства підприємства // Економіка України. - 2007 р. - №
4, с. 20-28.
Фокіна
Н.П. Методика виявлення загрози банкрутства за оцінкою показників фінансового
стану // Актуальні проблеми економіки. - 2003 р. - №7, с. 56-63.
Додаток А - Баланс підприємства за
2011р.
Баланс станом на 2011 рік
|
Актив
|
Код рядка
|
На початок звітного періоду
|
На кінець звітного періоду
|
|
1
|
2
|
3
|
4
|
|
I. Необоротні активи
|
|
Нематеріальні активи:
|
|
- залишкова вартість
|
010
|
57
|
138
|
|
- первісна вартість
|
011
|
367
|
444
|
|
- накопичена амортизація
|
012
|
( 310 )
|
( 306 )
|
|
Незавершене будівництво
|
020
|
27650
|
30937
|
|
Основні засоби:
|
|
- залишкова вартість
|
030
|
597903
|
601359
|
|
- первісна вартість
|
031
|
1217587
|
1267098
|
|
- знос
|
032
|
( 619684)
|
( 665739)
|
|
Довгострокові біологічні активи:
|
|
- справедлива (залишкова) вартість
|
035
|
0
|
0
|
|
- первісна вартість
|
036
|
0
|
0
|
|
- накопичена амортизація
|
037
|
( 0 )
|
( 0 )
|
|
Довгострокові фінансові інвестиції:
|
|
- які обліковуються за методом участі в
капіталі інших підприємств
|
040
|
0
|
0
|
|
- інші фінансові інвестиції
|
045
|
50
|
34
|
|
Довгострокова дебіторська заборгованість
|
050
|
0
|
10481
|
|
Справедлива (залишкова) вартість інвестиційної
нерухомості
|
055
|
0
|
0
|
|
Первісна вартість інвестиційної нерухомості
|
056
|
0
|
0
|
|
Знос інвестиційної нерухомості
|
057
|
( 0
|
( 0 )
|
|
Відстрочені податкові активи
|
060
|
0
|
0
|
|
Гудвіл
|
065
|
0
|
0
|
|
Інші необоротні активи
|
070
|
134
|
134
|
|
Гудвіл при консолідації
|
075
|
0
|
0
|
|
Усього за розділом I
|
080
|
869759
|
920812
|
|
II. Оборотні активи
|
|
Виробничі запаси
|
100
|
126567
|
242948
|
|
Поточні біологічні активи
|
110
|
0
|
0
|
|
Незавершене виробництво
|
120
|
12111
|
25081
|
|
Готова продукція
|
130
|
35349
|
99860
|
|
Товари
|
140
|
527
|
851
|
|
Векселі одержані
|
150
|
0
|
0
|
|
Дебіторська заборгованість за товари, роботи,
послуги:
|
|
- чиста реалізаційна вартість
|
160
|
36501
|
31934
|
|
- первісна вартість
|
161
|
36501
|
34522
|
|
- резерв сумнівних боргів
|
162
|
( 0 )
|
( 2588 )
|
|
Дебіторська заборгованість за рахунками:
|
|
- за бюджетом
|
170
|
103962
|
235302
|
|
- за виданими авансами
|
180
|
13216
|
11604
|
|
- з нарахованих доходів
|
190
|
0
|
0
|
|
- із внутрішніх розрахунків
|
200
|
0
|
0
|
|
Інша поточна дебіторська заборгованість
|
210
|
11301
|
814
|
|
Поточні фінансові інвестиції
|
220
|
42
|
0
|
|
Грошові кошти та їх еквіваленти:
|
|
- в національній валюті
|
230
|
4200
|
3109
|
|
- у т.ч. в касі
|
231
|
9
|
39
|
|
- в іноземній валюті
|
240
|
976
|
224
|
|
Інші оборотні активи
|
250
|
9209
|
15235
|
|
Усього за розділом II
|
260
|
430302
|
451403
|
|
III. Витрати майбутніх періодів
|
270
|
5
|
72
|
|
IV. Необоротні активи та групи вибуття
|
275
|
0
|
0
|
|
Баланс
|
280
|
1301517
|
1373568
|
|
Пасив
|
Код рядка
|
На початок звітного періоду
|
На кінець звітного періоду
|
|
1
|
2
|
3
|
4
|
|
I. Власний капітал
|
|
Статутний капітал
|
300
|
434687
|
434687
|
|
Пайовий капітал
|
310
|
0
|
0
|
|
Додатковий вкладений капітал
|
320
|
0
|
0
|
|
Інший додатковий капітал
|
330
|
939
|
645
|
|
Резервний капітал
|
340
|
0
|
0
|
|
Нерозподілений прибуток (непокритий збиток)
|
350
|
-712046
|
-714653
|
|
Неоплачений капітал
|
360
|
( 0 )
|
( 0 )
|
|
Вилучений капітал
|
370
|
( 0 )
|
( 0 )
|
|
Накопичена курсова різниця
|
375
|
0
|
0
|
|
Усього за розділом I
|
380
|
-276420
|
-279321
|
|
Частка меншості
|
385
|
0
|
0
|
|
II. Забезпечення наступних виплат та платежів
|
|
Забезпечення виплат персоналу
|
400
|
7036
|
9852
|
|
Інші забезпечення
|
410
|
0
|
0
|
|
Сума страхових резервів
|
415
|
0
|
0
|
|
Сума часток перестраховиків у страхових
резервах
|
416
|
0
|
0
|
|
Цільове фінансування
|
420
|
0
|
0
|
|
З рядка 420 графа 4 Сума благодійної допомоги
(421)
|
421
|
0
|
|
Усього за розділом II
|
430
|
7036
|
9852
|
|
ІІІ. Довгострокові зобов’язання
|
|
Довгострокові кредити банків
|
440
|
365242
|
324530
|
|
Інші довгострокові фінансові зобов’язання
|
450
|
700
|
700
|
|
Відстрочені податкові зобов’язання
|
460
|
0
|
0
|
|
Інші довгострокові зобов’язання
|
470
|
1430
|
27341
|
|
Усього за розділом III
|
480
|
367372
|
352571
|
|
ІV. Поточні зобов’язання
|
|
Короткострокові кредити банків
|
500
|
72443
|
15142
|
|
Поточна заборгованість за довгостроковими
зобов’язаннями
|
11851
|
21420
|
|
Векселі видані
|
520
|
0
|
0
|
|
Кредиторська заборгованість за товари, роботи,
послуги
|
530
|
265090
|
364175
|
|
Поточні зобов’язання за розрахунками:
|
|
- з одержаних авансів
|
540
|
142210
|
261578
|
|
- з бюджетом
|
550
|
24533
|
49706
|
|
- з позабюджетних платежів
|
560
|
0
|
0
|
|
- зі страхування
|
570
|
70435
|
60440
|
|
- з оплати праці
|
580
|
7348
|
6281
|
|
- з учасниками
|
590
|
0
|
0
|
|
- із внутрішніх розрахунків
|
600
|
0
|
0
|
|
Зобов'язання, пов'язані з необоротними
активами та групами вибуття, утримуваними для продажу
|
605
|
0
|
0
|
|
Інші поточні зобов'язання
|
610
|
287862
|
448273
|
|
Усього за розділом IV
|
620
|
881772
|
1227015
|
|
V. Доходи майбутніх періодів
|
630
|
0
|
0
|
|
Баланс
|
640
|
1301517
|
1373568
|
Звіт про фінансові результати за
2011 рік
|
Стаття
|
Код рядка
|
За звітний період
|
За попередній період
|
|
1
|
2
|
3
|
4
|
|
Доход (виручка) від реалізації продукції
(товарів, робіт, послуг)
|
010
|
2231039
|
868811
|
|
Податок на додану вартість
|
015
|
117381
|
38805
|
|
Акцизний збір
|
020
|
( 0 )
|
( 0 )
|
|
025
|
( 0 )
|
( 0 )
|
|
Інші вирахування з доходу
|
030
|
( 0 )
|
( 0 )
|
|
Чистий доход (виручка) від реалізації
продукції (товарів, робіт, послуг)
|
035
|
2113658
|
830006
|
|
Собівартість реалізації продукції (товарів,
робіт, послуг)
|
040
|
( 1822733 )
|
( 746252 )
|
|
Валовий прибуток:
|
|
- прибуток
|
050
|
290925
|
83754
|
|
- збиток
|
055
|
( 0 )
|
( 0 )
|
|
Інші операційні доходи
|
060
|
1370961
|
825642
|
|
У т.ч. дохід від первісного визнання
біологічних активів і сільськогосподарської продукції, одержаних у наслідок
сільськогосподарської діяльності
|
061
|
0
|
0
|
|
Адміністративні витрати
|
070
|
( 63027 )
|
( 45829 )
|
|
Витрати на збут
|
080
|
( 59734 )
|
( 23606 )
|
|
Інші операційні витрати
|
090
|
( 1482470 )
|
( 890252 )
|
|
У т.ч. витрати від первісного визнання
біологічних активів і сільськогосподарської продукції, одержаних у наслідок
сільськогосподарської діяльності
|
091
|
( 0 )
|
( 0 )
|
|
Фінансові результати від операційної
діяльності:
|
|
- прибуток
|
100
|
56655
|
0
|
|
- збиток
|
105
|
( 0 )
|
( 50291 )
|
|
Доход від участі в капіталі
|
110
|
0
|
0
|
|
Інші фінансові доходи
|
120
|
2
|
0
|
|
Інші доходи
|
130
|
2650
|
6023
|
|
З рядка 130 графа 3 Дохід, пов'язаний з
благодійною допомогою (131)
|
131
|
0
|
|
Фінансові витрати
|
140
|
( 60030 )
|
( 103150 )
|
|
Втрати від участі в капіталі
|
150
|
( 0 )
|
( 0 )
|
|
Інші витрати
|
160
|
( 1884 )
|
( 3497 )
|
|
Прибуток (збиток) від впливу інфляції на
монетарні статті
|
165
|
0
|
0
|
|
Фінансові результати від звичайної діяльності
до оподаткування:
|
|
- прибуток
|
170
|
0
|
0
|
|
- збиток
|
175
|
( 2607 )
|
( 150915 )
|
|
У т.ч. прибуток від припиненої діяльності
та/або прибуток від переоцінки необоротних активів та групи вибуття у
наслідок припинення діяльності
|
176
|
0
|
2593
|
|
У т.ч. збиток від припиненої діяльності та/або
збиток від переоцінки необоротних активів та групи вибуття у наслідок
припинення діяльності
|
177
|
( 0 )
|
( 0 )
|
|
Податок на прибуток від звичайної діяльності
|
180
|
( 0 )
|
( 0 )
|
|
Дохід з податку на прибуток від звичайної
діяльності
|
185
|
0
|
0
|
|
Фінансові результати від звичайної діяльності:
|
|
- прибуток
|
190
|
0
|
0
|
|
- збиток
|
195
|
( 2607 )
|
( 150915 )
|
|
Надзвичайні:
|
|
- доходи
|
200
|
0
|
0
|
|
- витрати
|
205
|
( 0 )
|
( 0 )
|
|
Податки з надзвичайного прибутку
|
210
|
( 0 )
|
( 0 )
|
|
Частка меншості
|
215
|
0
|
0
|
|
Чистий:
|
|
- прибуток
|
220
|
0
|
0
|
|
- збиток
|
225
|
( 2607 )
|
( 150915 )
|
|
Забезпечення матеріального заохочення
|
226
|
0
|
0
|
Додаток Б -Баланс підприємства за
2012 р
Баланс станом на 2012 рік
|
Актив
|
Код рядка
|
На початок звітного періоду
|
На кінець звітного періоду
|
|
1
|
2
|
3
|
4
|
|
I. Необоротні активи
|
|
Нематеріальні активи:
|
|
- залишкова вартість
|
010
|
138
|
199
|
|
- первісна вартість
|
011
|
444
|
620
|
|
- накопичена амортизація
|
012
|
( 306 )
|
( 421 )
|
|
Незавершене будівництво
|
020
|
30937
|
40087
|
|
Основні засоби:
|
|
- залишкова вартість
|
030
|
601359
|
608490
|
|
- первісна вартість
|
031
|
1267098
|
1321477
|
|
- знос
|
032
|
( 665739 )
|
( 712987 )
|
|
Довгострокові біологічні активи:
|
|
- справедлива (залишкова) вартість
|
035
|
0
|
0
|
|
- первісна вартість
|
036
|
0
|
0
|
|
- накопичена амортизація
|
037
|
( 0 )
|
( 0 )
|
|
Довгострокові фінансові інвестиції:
|
|
- які обліковуються за методом участі в
капіталі інших підприємств
|
040
|
0
|
0
|
|
- інші фінансові інвестиції
|
045
|
34
|
25
|
|
Довгострокова дебіторська заборгованість
|
050
|
10481
|
10481
|
|
Справедлива (залишкова) вартість інвестиційної
нерухомості
|
055
|
0
|
0
|
|
Первісна вартість інвестиційної нерухомості
|
056
|
0
|
0
|
|
Знос інвестиційної нерухомості
|
057
|
( 0 )
|
( 0 )
|
|
Відстрочені податкові активи
|
060
|
0
|
0
|
|
Гудвіл
|
065
|
0
|
0
|
|
Інші необоротні активи
|
070
|
134
|
134
|
|
Гудвіл при консолідації
|
075
|
0
|
0
|
|
Усього за розділом I
|
080
|
643083
|
659416
|
|
II. Оборотні активи
|
|
Виробничі запаси
|
100
|
242948
|
259563
|
|
Поточні біологічні активи
|
110
|
0
|
0
|
|
Незавершене виробництво
|
120
|
25081
|
23283
|
|
Готова продукція
|
130
|
99860
|
111442
|
|
Товари
|
140
|
815
|
|
Векселі одержані
|
150
|
0
|
0
|
|
Дебіторська заборгованість за товари, роботи,
послуги:
|
|
- чиста реалізаційна вартість
|
160
|
31934
|
20830
|
|
- первісна вартість
|
161
|
34522
|
23206
|
|
- резерв сумнівних боргів
|
162
|
( 2588 )
|
( 2376 )
|
|
Дебіторська заборгованість за рахунками:
|
|
- за бюджетом
|
170
|
235302
|
423653
|
|
- за виданими авансами
|
180
|
11604
|
25054
|
|
- з нарахованих доходів
|
190
|
0
|
0
|
|
- із внутрішніх розрахунків
|
200
|
0
|
0
|
|
Інша поточна дебіторська заборгованість
|
210
|
814
|
1570
|
|
Поточні фінансові інвестиції
|
220
|
0
|
0
|
|
Грошові кошти та їх еквіваленти:
|
|
- в національній валюті
|
230
|
3109
|
3052
|
|
- у т.ч. в касі
|
231
|
39
|
32
|
|
- в іноземній валюті
|
240
|
224
|
799
|
|
Інші оборотні активи
|
250
|
15235
|
39269
|
|
Усього за розділом II
|
260
|
666962
|
909330
|
|
III. Витрати майбутніх періодів
|
270
|
72
|
126
|
|
IV. Необоротні активи та групи вибуття
|
275
|
0
|
0
|
|
Баланс
|
280
|
1310117
|
1568872
|
|
Пасив
|
Код рядка
|
На початок звітного періоду
|
На кінець звітного періоду
|
|
1
|
2
|
3
|
4
|
|
I. Власний капітал
|
|
Статутний капітал
|
300
|
434687
|
434687
|
|
Пайовий капітал
|
310
|
0
|
0
|
|
Додатковий вкладений капітал
|
320
|
0
|
0
|
|
Інший додатковий капітал
|
330
|
645
|
935
|
|
Резервний капітал
|
340
|
0
|
0
|
|
Нерозподілений прибуток (непокритий збиток)
|
350
|
-714653
|
-924464
|
|
Неоплачений капітал
|
360
|
( 0 )
|
( 0 )
|
|
Вилучений капітал
|
370
|
( 0 )
|
( 0 )
|
|
Накопичена курсова різниця
|
375
|
0
|
0
|
|
Усього за розділом I
|
380
|
-279321
|
-488842
|
|
Частка меншості
|
385
|
0
|
0
|
|
II. Забезпечення наступних виплат та платежів
|
|
Забезпечення виплат персоналу
|
400
|
9852
|
11794
|
|
Інші забезпечення
|
410
|
0
|
0
|
|
Сума страхових резервів
|
415
|
0
|
0
|
|
Сума часток перестраховиків у страхових
резервах
|
416
|
0
|
0
|
|
Цільове фінансування
|
420
|
0
|
0
|
|
З рядка 420 графа 4 Сума благодійної допомоги
(421)
|
421
|
0
|
|
Усього за розділом II
|
430
|
9852
|
11794
|
|
ІІІ. Довгострокові зобов’язання
|
|
Довгострокові кредити банків
|
440
|
0
|
0
|
|
Інші довгострокові фінансові зобов’язання
|
450
|
640
|
0
|
|
Відстрочені податкові зобов’язання
|
460
|
0
|
0
|
|
Інші довгострокові зобов’язання
|
470
|
0
|
0
|
|
Усього за розділом III
|
480
|
640
|
0
|
|
ІV. Поточні зобов’язання
|
|
Короткострокові кредити банків
|
500
|
0
|
207335
|
|
Поточна заборгованість за довгостроковими
зобов’язаннями
|
510
|
888
|
0
|
|
Векселі видані
|
520
|
0
|
4906
|
|
Кредиторська заборгованість за товари, роботи,
послуги
|
530
|
67295
|
53148
|
|
Поточні зобов’язання за розрахунками:
|
|
- з одержаних авансів
|
540
|
116550
|
454986
|
|
- з бюджетом
|
550
|
49706
|
18728
|
|
- з позабюджетних платежів
|
560
|
0
|
0
|
|
- зі страхування
|
570
|
96194
|
76733
|
|
- з оплати праці
|
580
|
6281
|
5807
|
|
- з учасниками
|
590
|
0
|
0
|
|
- із внутрішніх розрахунків
|
600
|
0
|
0
|
|
Зобов'язання, пов'язані з необоротними активами
та групами вибуття, утримуваними для продажу
|
605
|
0
|
0
|
|
Інші поточні зобов'язання
|
610
|
1242032
|
1436518
|
|
Усього за розділом IV
|
620
|
1578946
|
2045920
|
|
V. Доходи майбутніх періодів
|
630
|
0
|
0
|
|
Баланс
|
640
|
1310117
|
1568872
|
Звіт про фінансові результати за
2012 рік
|
Стаття
|
Код рядка
|
За звітний період
|
За попередній період
|
|
1
|
2
|
3
|
4
|
|
Доход (виручка) від реалізації продукції
(товарів, робіт, послуг)
|
010
|
2245185
|
2234718
|
|
Податок на додану вартість
|
015
|
146691
|
117993
|
|
Акцизний збір
|
020
|
( 0 )
|
( 0 )
|
|
025
|
( 0 )
|
( 0 )
|
|
Інші вирахування з доходу
|
030
|
( 107 )
|
( 0 )
|
|
Чистий доход (виручка) від реалізації
продукції (товарів, робіт, послуг)
|
035
|
2098387
|
2116725
|
|
Собівартість реалізації продукції (товарів,
робіт, послуг)
|
040
|
(2102748)
|
( 1825444 )
|
|
Валовий прибуток:
|
|
- прибуток
|
050
|
0
|
291281
|
|
- збиток
|
055
|
( 4361 )
|
( 0 )
|
|
Інші операційні доходи
|
060
|
162012
|
122681
|
|
У т.ч. дохід від первісного визнання
біологічних активів і сільськогосподарської продукції, одержаних у наслідок
сільськогосподарської діяльності
|
061
|
0
|
0
|
|
Адміністративні витрати
|
070
|
( 77828 )
|
( 63027 )
|
|
Витрати на збут
|
080
|
( 46873 )
|
( 59734 )
|
|
Інші операційні витрати
|
090
|
( 204144 )
|
( 234546 )
|
|
У т.ч. витрати від первісного визнання
біологічних активів і сільськогосподарської продукції, одержаних у наслідок
сільськогосподарської діяльності
|
091
|
( 0 )
|
( 0 )
|
|
Фінансові результати від операційної
діяльності:
|
|
- прибуток
|
100
|
0
|
56655
|
|
- збиток
|
105
|
( 171194 )
|
( 0 )
|
|
Доход від участі в капіталі
|
110
|
0
|
0
|
|
Інші фінансові доходи
|
120
|
2
|
2
|
|
Інші доходи
|
130
|
2110
|
2650
|
|
З рядка 130 графа 3 Дохід, пов'язаний з
благодійною допомогою (131)
|
131
|
0
|
|
Фінансові витрати
|
140
|
( 39809 )
|
( 60030 )
|
|
Втрати від участі в капіталі
|
150
|
( 0 )
|
( 0 )
|
|
Інші витрати
|
160
|
( 920 )
|
( 1884 )
|
|
Прибуток (збиток) від впливу інфляції на
монетарні статті
|
0
|
0
|
|
Фінансові результати від звичайної діяльності
до оподаткування:
|
|
- прибуток
|
170
|
0
|
0
|
|
- збиток
|
175
|
( 209811 )
|
( 2607 )
|
|
У т.ч. прибуток від припиненої діяльності
та/або прибуток від переоцінки необоротних активів та групи вибуття у
наслідок припинення діяльності
|
176
|
0
|
0
|
|
У т.ч. збиток від припиненої діяльності та/або
збиток від переоцінки необоротних активів та групи вибуття у наслідок
припинення діяльності
|
177
|
( 0 )
|
( 0 )
|
|
Податок на прибуток від звичайної діяльності
|
180
|
( 0 )
|
( 0 )
|
|
Дохід з податку на прибуток від звичайної
діяльності
|
185
|
0
|
0
|
|
Фінансові результати від звичайної діяльності:
|
|
- прибуток
|
190
|
0
|
0
|
|
- збиток
|
195
|
( 209811 )
|
( 2607 )
|
|
Надзвичайні:
|
|
- доходи
|
200
|
0
|
0
|
|
- витрати
|
205
|
( 0 )
|
( 0 )
|
|
Податки з надзвичайного прибутку
|
210
|
( 0 )
|
( 0 )
|
|
Частка меншості
|
215
|
0
|
0
|
|
Чистий:
|
|
- прибуток
|
220
|
0
|
0
|
|
- збиток
|
225
|
( 209811 )
|
( 2607 )
|