Статистические методы изучения доходов населения
Федеральное
государственное бюджетное образовательное учреждение высшего профессионального
образования «Амурский гуманитарно-педагогический государственный университет»
Курсовая
работа по дисциплине: Макроэкономическая статистика
направление
подготовки: экономика
профиль
статистика
студентка
3 курса
Чайникова
И.С.
Комсомольск-на-Амуре
2014г.
Оглавление
Введение
. Статистические методы
изучения доходов населения
.1 Доходы населения, их виды
.2 Методика изучения доходов
населения
. Статистические показатели доходов
и потребления населения в Хабаровском крае
Заключение
Библиографический список
Приложение
Введение
Социальная статистика представляет собой одно из
важнейших приложений статистических методов, исследующих количественную характеристику
структуры общества, жизни и деятельности людей, позволяет выявить и измерить
основные закономерности в распределении благ между социальными группами.
К числу наиболее значимых направлений
исследования в социальной статистике относятся: социальная и демографическая
структура населения, её динамика, уровень жизни населения, уровень
благосостояния, уровень здоровья населения, культура и образования, моральная
статистика, общественное мнение, политическая жизнь. Применительно к каждой
области исследования разрабатывается и система показателей, определяются
источники информации и существуют специфические подходы к использованию
статистических материалов в целях регулирования социальной обстановки в стране
и регионах. Вместе с тем все эти направления дают, в конечном счёте, единую,
последовательную и интегрированную информацию о картине социальной жизни, о
тенденциях и закономерностях развития общества.
Эффективность работы экономической системы
государства оценивается, прежде всего, благосостоянием населения страны.
Благосостояние в свою очередь определяется системой показателей,
характеризующих уровень жизни народа. Но уровень жизни не имеет постоянного
фиксированного значения, т.к. он изменяется вместе с изменениями в экономике,
т.е. с ростом общественных экономических возможностей.
Общественные потребности - это
многофункциональная зависимость от уровня культуры, национальных традиций,
системы общественных экономических взглядов, климатических условий жизни в
стране и целого ряда других показателей.
Однако никакими стараниями эти потребности не
могут быть удовлетворены, если в обществе нет для этого соответствующих
экономических возможностей. Т.е. экономические возможности - это тот верхний
предел, который определяет благосостояние народа.
Цель работы - рассмотреть доходы и потребление
населения в статистике.
Задачи работы рассмотреть:
. Теоретические аспекты статистических методов
исследования доходов населения.
. Рассмотреть доходы и потребление населения в
Хабаровском крае
Объект исследования - доходы населения.
Предмет исследования - статистические методы
изучения доходов населения.
Методы исследования - статистический,
математический, наблюдение.
Для реализации поставленных целей и задач
использованы учебники и учебные пособия по экономической статистике, экономике.
.
Статистические методы изучения доходов населения
1.1 Доходы
населения, их виды
Доходы - ресурсы в денежном и натуральном
выражении, которые могут быть использованы на удовлетворение личных
потребностей, налоговые и другие платежи, сбережения.
Статистическая Комиссия при ООН утвердила набор
показателей уровня жизни. Среди них: численность населения, ожидаемая
продолжительность жизни при рождении, уровень детской смертности, уровень
образования населения, показатели материального благосостояния (реальные
располагаемые доходы, среднемесячная заработная плата), показатели
экономической активности населения и материальной обеспеченности домашних
хозяйств, жилищные условия населения, уровень преступности и др.[5, c.
102]
Интегральные и дифференцированные показатели
характеризуют доступность и покупательную способность доходов, неравенство в их
распределении, гарантированный государством минимальный уровень обеспеченности,
т.е. экономические ресурсы которыми располагает население в целом.
Агрегированные и дезагрегированные показатели
содержат данные о личном потреблении (удовлетворении основных физиологических
потребностей), т.е. реальные потребительские возможности населения.
Демографические показатели - предназначены для
анализа влияния уровня жизни на воспроизводство населения.
Показатель денежного дохода населения - служит
для измерения доходов на макроуровне и рассчитан по данным Баланса денежных
доходов и расходов населения. Включает в себя оплату труда всех категорий
населения, доходы лиц, занятых предпринимательской деятельностью; поступления
от продажи сельскохозяйственных продуктов; пенсии, пособия, стипендии;
поступления из финансовой системы (страховые возмещения, кредиты, ссуды);
доходы населения от продажи иностранной валюты.
Основными источниками данных о доходах и
расходах населения являются данные государственной и ведомственной статистики,
полученные, на основе ведомственной отчётности. К таким данным относятся:
Баланс денежных доходов и расходов населения,
который обобщает информацию от финансовых учреждений и строится Центральным
банком РФ;
Данные о размере выплаченных пенсий и пособий,
предоставляемые государственным пенсионным фондом;
Суммы декларируемых населением доходов и
уплаченных с них налогов по данным Государственной налоговой службы РФ (ГНС
РФ).
К основным задачам статистики при изучении
доходов и расходов населения относятся:
- Характеристика размера и состава
доходов и расходов населения и домашних хозяйств;
- Анализ дифференциации денежных
доходов и потребления;
- Изучение динамики денежных доходов;
- Моделирование доходов, расходов и
потребления населения;
- Изучение влияния доходов (расходов)
населения на потребление и другие социально-экономические показатели.
В зависимости от формы получения дохода
выделяют: 1) денежные доходы, 2) личные доходы (денежные доходы + доходы в
натуральной форме), 3) совокупные доходы (личные доходы + стоимость
предоставленных бесплатно услуг, оказываемых учреждениями образования, медицины
и культуры). По источнику получения доходов выделяют: [3 c.
89]
- Заработная плата;
- Доходы от предпринимательской
деятельности;
- Доходы от собственности;
- Трансферты - пенсии, стипендии,
пособия;
- Доходы от личного хозяйства;
- прочие
В зависимости от стадии процесса распределения
доходов выделяют:
- Первичные доходы;
- Располагаемые доходы (первичные
доходы + сальдо текущих трансфертов);
- Скорректированные располагаемые
доходы (располагаемые доходы + сальдо социальных трансфертов)
Абсолютные показатели доходов определяют
величину доходов всего населения или отдельных групп. Относительные показатели
рассчитываются как среднедушевые - на одного человека. Для анализа динамики
доходов используют понятие номинальных и реальных доходов.
Номинальный доход (NT) - количество денег,
полученное отдельными лицами в течение определенного периода; также он
характеризует уровень денежных доходов независимо от налогообложения.
Номинальный доход = начисленный доход.
Располагаемый доход (DI) - доход, который может
быть использован на личное потребление и личные сбережения. Располагаемый доход
меньше номинального дохода на сумму налогов и обязательных платежей.
Реальный доход (RI) - представляет собой
количество товаров и услуг, которое можно купить на располагаемый доход в
течение определенного периода. Реальный доход = располагаемый доход / ИПЦ
На основе баланса денежных доходов и расходов
населения рассчитываются и публикуются следующие статистические показатели,
характеризующие доходы и расходы населения:
Денежные доходы населения, включающие оплату
труда, пенсии, пособия, стипендии, поступления от продажи продуктов сельского
хозяйства; доходы от собственности в виде процентов по вкладам, ценным бумагам,
дивидендов; доходы лиц, занятых предпринимательской деятельностью; страховые
возмещения и пр.
Денежные расходы и сбережения населения,
охватывающие расходы на покупку товаров и оплату услуг, обязательные платежи и
взносы, покупку иностранной валюты и прирост сбережений во вкладах и ценных
бумагах;
Располагаемые доходы населения, определяемые
исходя из денежных доходов за минусом обязательных платежей и взносов;
Реальные располагаемые денежные доходы,
вычисляемые их делением на индекс потребительских цен.
Кроме перечисленных показателей органы
государственной статистики строят следующие показатели доходов на основе данных
статистической отчетности:
Среднемесячную номинальную начисленную
заработную плату работников предприятий и организаций по отраслям экономики.
Социальные пособия, получаемые работниками из государственных и
негосударственных внебюджетных фондов, не включаются в фонд заработной платы и
среднюю заработную плату;
Реальную начисленную заработную плату,
определяемую делением начисленной заработной платы на индекс потребительских
цен (ИПЦ);
Реальный размер назначенных месячных пенсий,
получаемый делением назначенной пенсии на ИПЦ.
Сопоставление показателей между собой позволяет
расширить возможности анализа. Сравнивая динамику располагаемых денежных
доходов с реальными располагаемыми доходами, можно охарактеризовать рост
(ослабление) налоговой нагрузки на доходы населения при опережении (отставании)
индекса по первому показателю над вторым.
Для того, чтобы понять соответствуют ли
имеющиеся потенциальные возможности обеспечения благосостояния народа потребностям
общества на данном этапе общественного развития, необходимо подсчитать эти
потребности, выразив их в тех же единицах измерения, что и Бэ отн, но при
общественно необходимых уровнях абсолютной прибавочной стоимости.
Экономисты давно уже научились считать подобные
показатели. Так как потребности людей характеризуются конкретными товарами, то
их выражают в ценах этих товаров и при суммировании получают уровни потребления
такие, как, например, "прожиточный минимум", "черта бедности"
и т.д. [12, c. 154]
Сегодня в развитых странах более целесообразно
было бы рассчитать такие уровни потребления как нормально потребление и
комфортное потребление. Первое из них характеризует начальный уровень
потребления, при котором обеспечиваются научно обоснованные нормы питания,
потребление одежды и обуви, жилищного обеспечения. Второе - дополнительно
включает в себя товары длительного пользования, создающие комфортные условия
жизни.
Наши стоимостные оценки экономического
потенциала в сравнении с США показывают, что нормальные потребности народа
могли быть удовлетворены еще в семидесятых годах, если бы система
экономического управления была нацелена на решение именно этих задач, а
идеологические установки не ставили экономику с ног на голову.
В развитых капиталистических странах для
качественной оценки возможности достижения нормального уровня потребления не
надо производить и расчетов.
Мы не зря сказали, что уровни потребления должны
учитывать абсолютную прибавочную стоимость, т.е. количество людей, занятых в
сфере воспроизводства и общее количество трудоспособного населения. Это
означает, что потребности рассчитываются для всего трудоспособного населения, а
затем пересчитываются для сравнения с Бэ отн с учетом количества людей занятых
в сфере воспроизводства. Это было важно для плановой экономики, в которой
нарушалось естественное развитие экономики.
В рыночной экономике, где рост абсолютной
прибавочной стоимости регулируется автоматически, т.е. высвобождение живого
труда на каждом новом этапе экономического развития происходит только после
обеспечения потребностей общества в товарах, производимых на предыдущем этапе,
сама величина абсолютной прибавочной стоимости, обеспечившая переход к
постиндустриальному экономическому этапу, свидетельствует о создании
необходимых экономических условий для обеспечения нормального уровня
потребления всех участников общественного труда. И тот факт, что в развитых
странах капитализма довольно значительная часть населения живет ниже уровня
бедности, объясняется не отсутствием экономических возможностей, а недостатками
системы управления экономикой, при которой огромная часть экономического
потенциала расходуется на нужды далекие от потребностей людей [25, с 127].
Огромную часть прибавочной стоимости
"съедает" военное производство. Велики расходы на постоянно растущую
бюрократическую структуру общества из-за низкого уровня культуры управления и
отсутствие научно обоснованных управленческих норм. Но главная беда развитых
капиталистических стран - гигантская неравномерность в распределении национального
дохода между различными слоями общества.
Неравномерность распределения доходов обычно
оценивается разницей между суммарным доходом 20% семей с самыми низкими
доходами и 20% семей с самыми высокими доходами в % отношении от национального
дохода.
Таким образом, доходы населения являются
составной частью изучения социальной статистики.
1.2 Методика
изучения доходов населения
К числу важнейших методов изучения
дифференциации доходов населения относится построение вариационных рядов и, на
их основе, - статистических рядов распределения населения по уровню
среднедушевых денежных доходов, представляющих собой ранжированные и
сгруппированные в определенных интервалах по величине дохода результаты
наблюдений.
Расчеты распределения населения по уровню среднедушевых
денежных доходов осуществляются с применением методов имитационного
моделирования) путем преобразования эмпирического распределения, полученного на
основе данных выборочных обследований), в ряд распределения, соответствующий
значению группировочного признака в генеральной совокупности).
При расчете распределения населения по уровню
среднедушевых денежных доходов используются данные эмпирического распределения
и статистические оценки, рассчитываемые в среднем за месяц отчетного периода).
При этом условии показатели распределения характеризуют значение денежных
доходов в среднем за месяц отчетного периода. [7, c.
22]
Процедура построения ряда распределения
основывается на расчете частостей (частот), соответствующих заданным
интервальным значениям среднедушевых доходов (переменной величины) и закону
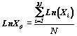
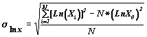
логнормального распределения. Расчеты производятся по следующей формуле:
при Х>0
где
; 
;
;
где
Хi - среднемесячный доход i-го члена выборочного
обследования за отчетный период,
) Актуализируется ежегодно по согласованию с
Минэкономики России, Минтруда России и Минсоцзащиты России.
) При наличии условий, не опровергающих
относительного соответствия экономического и математического аспектов
распределения исследуемого показателя в выборочной и генеральной совокупности.
) С 1992 г. в этих целях используются данные
выборочного обследования бюджетов домашних хозяйств.
) Среднедушевой денежный доход, полученный на
основе Баланса денежных доходов и расходов населения.
) При этом эмпирическое распределение за
отчетный период не является поинтервальной суммой частот месячных распределений.-
среднемесячная численность обследуемых за отчетный период,
- среднедушевой
доход по генеральной совокупности в среднем за месяц отчетного периода.
К характеристикам ряда распределения относятся
оценки моды и медианы.
Модальный доход - значение показателя, наиболее
часто встречающегося в распределении. [11, c.
78]
Его расчет производится по следующей формуле:
Медианный доход - значение показателя, стоящего
в центре распределения.
Его расчет осуществляется по следующей формуле:
Б. Методика построения кривой Лоренца и расчета
показателей дифференциации доходов населения.
Кривая Лоренца представляет собой кумулятивное
распределение численности населения и соответствующих этой численности доходов.
В результате она показывает соотношение процентов всех доходов и процентов всех
их получателей.
Если бы доходы распределялись равномерно, т.е.
10% получателей имели бы десятую часть доходов, 50% - половину и т.д., то такое
распределение имело бы вид линии равномерного распределения (диагонали квадрата
со сторонами от 0% до 100%). Неравномерное распределение характеризуется кривой
Лоренца (линией фактического распределения), отстоящей от прямой тем дальше,
чем больше дифференциация.
Коэффициент концентрации Лоренца или индекс
Джини (КL) дает возможность численно оценить степень неравенства. Для
равномерного распределения он равен нулю, в условиях абсолютного неравенства он
равен единице.
Для расчета коэффициента концентрации Лоренца
(индекса Джини) используется следующая формула:
где
(Fi-Fi-1) - доля населения, относящаяся к i-ому
интервалу,, Si - доля суммарного дохода, приходящаяся на начало и конец i-ого
интервала 1) .
) Объем доходов по каждой интервальной группе
определяется по кривой распределения населения по размеру среднедушевого дохода
путем умножения середины доходного интервала на численность населения в этом
интервале.
Коэффициент фондов (Kf) измеряет соотношение
между средними доходами внутри сравниваемых групп:
Где- суммарный доход, который приходится на 10%
населения с самыми высокими доходами,- суммарный доход, который приходится на
10% населения с самыми низкими доходами.
Для численной оценки дифференциации в
распределении доходов используются также соотношения показателей доходов между
квантилями (точками ряда распределения, делящих его в определенном
соотношении). К их числу относятся: квартили (четверти), децили (десятые
части), полудецили (двадцатые части) и перцентили (сотые части).
Децильный коэффициент дифференциации (Kd)
рассчитывается как отношение уровней, ниже и выше которых находятся десятые
доли совокупности в разных концах распределения по уровню доходов:
= d9/d1
где
где,9
-определяется по таблице значений функций нормального распределения для
значений 0,1 и 0,9 соответственно,- -значение аргумента (в данном случае
дохода), вероятность быть ниже которого равна 0,1 (F1) (т.е. 10% населения
имеют доход ниже этого значения),- -значение аргумента, вероятность быть ниже
которого равна 0,9 (F9) (т.е. 10% населения имеют доход выше этого значения).
[25, c. 142]
При
изучении уровня жизни населения страны необходимо учитывать только первичные
доходы, полученные ее резидентами, сумма которых за определенный период в
рыночных ценах представляет собой национальный доход.
Не
все первичные доходы могут быть непосредственно использованы домашними
хозяйствами на потребление или сбережение. Часть из них передается в виде
текущих налогов на доходы и собственность, обязательных отчислений на
социальное страхование, пожертвований, штрафов, добровольных взносов и т. п. в
другие сектора экономики. С другой стороны, имеет место и встречный поток
текущих трансфертов из других секторов домашним хозяйствам: выплаты социального
характера (пенсии, стипендии, пособия и др.), страховые премии и возмещения и
т. п.
Первичные
доходы, скорректированные на сальдо текущих трансфертов, образуют располагаемые
доходы домашних хозяйств:
РД
= ПД+ΔТТ,
доход население статистический показатель
где
ПД - первичные доходы;
ΔТТ - сальдо
текущих трансфертов, определяемое как разница между текущими трансфертами,
полученными и уплаченными другим секторам экономики.
Национальный
доход, исчисленный с учетом сальдо текущих трансфертов, полученных и переданных
за границу, представляет собой располагаемый национальный доход -
макроэкономический показатель, который наряду с показателем национального
дохода может использоваться при проведении комплексного анализа уровня жизни
населения и состояния экономики страны.
За
счет располагаемого дохода осуществляются расходы домашних хозяйств на конечное
потребление, а разница между ними образует сумму сбережения данного сектора.
Однако
трансферты могут предоставляться домашним хозяйствам не только в денежной, но и
в натуральной форме (в виде бесплатных услуг учреждений здравоохранения,
образования, культуры и т. д.). Если сумму таких поступлений, именуемых
социальными трансфертами, прибавить к располагаемому доходу, то можно получить
скорректированный располагаемый доход домашних хозяйств:
СРД
= РД + СТ,
где
СТ - социальные трансферты в натуральной форме, получаемые домашними
хозяйствами от органов государственного управления и некоммерческих
организаций, обслуживающих домашние хозяйства.
Скорректированный
располагаемый доход домашних хозяйств позволяет более точно определить объем их
конечного потребления с учетом получаемых социальных трансфертов. Такой
уточненный показатель потребления называется фактическим конечным потреблением.
Определение его величины особенно актуально в условиях реформирования
экономики. При переходе к рынку многие услуги социального характера, которые
раньше предоставлялись населению бесплатно, приобретают рыночный характер. В
связи с этим увеличение расходов на конечное потребление, даже опережающее рост
потребительских цен, может не сопровождаться фактическим увеличением
потребления из-за резкого сокращения объема социальных услуг, получаемых
бесплатно. Таким образом, для оценки уровня жизни населения и анализа его
динамики из всех перечисленных) выше показателей доходов в настоящее время
наиболее предпочтительным представляется показатель скорректированного
располагаемого дохода домашних хозяйств. [16, c. 88]
В
статистической практике России исчисляется ряд показателей доходов населения,
но наиболее близким к описанным выше показателям по своему экономическому
содержанию является располагаемый денежный доход, определяемый как доход,
полученный домашними хозяйствами от производственной деятельности, от
собственности и в результате перераспределительных операций. При этом
учитываются лишь перераспределительные операции, осуществляемые в денежной
форме, т. е. без социальных трансфертов, получаемых домашними хозяйствами в
натуральном выражении. Основой для исчисления этого показателя служат данные
баланса денежных доходов и расходов населения, который составляется в
соответствии с методологическими принципами, положенными в основу баланса
народного хозяйства. Ввиду отсутствия достаточно разработанной информационной
базы указанный показатель исчисляется при допущениях, снижающих ценность
полученного результата.
Баланс
денежных доходов и расходов населения является одним из основных источников
информации об объеме и структуре денежных доходов, расходов и сбережений
населения. Он традиционно используется отечественной статистикой в качестве
одного из инструментов анализа уровня жизни. Его доходная часть позволяет
получить информацию об общей сумме денежных доходов населения, проанализировать
их структуру по источникам получения и динамику. Кроме того, данные баланса
используются при изучении распределения населения страны по уровню дохода,
определении покупательной способности денежных доходов населения, изучении уровня
и границ бедности и проведении других экономических расчетов как на
федеральном, так и на региональном уровне.
Следует
отметить, что приведенная выше подсистема показателей отражает в большей
степени количественную сторону изучаемой категории. Для качественной
характеристики условий жизни населения необходимее использовать показатели
социальной статистики, дающие представление о качестве жизни. К их числу
относятся основные показатели демографической статистики, состояния и охраны
здоровья, качества и структуры потребляемых продуктов питания, уровня
грамотности и состояния) сферы образования и культуры, комфортабельности жилья
и др. Указанные показатели используются в международной статистической практике
для более полной характеристики благосостояния населения. Некоторые из них
применяются как обобщающие характеристики уровня жизни, например, коэффициент
младенческой смертности и средняя продолжительность предстоящей жизни, которые
наряду с объемом ВВП на душу населения входят в блок обобщающих показателей, не
только отражающих уровень жизни населения, но и являющихся важнейшими
индикаторами уровня социально-экономического развития страны.
Как
было отмечено выше, некоторые показатели в этой системе (доход, потребление)
обычно рассматриваются как наиболее важные для анализа уровня жизни, однако они
не охватывают все аспекты изучаемой категории. В этой связи в специальной
литературе обсуждается вопрос о возможности и целесообразности исчисления
единого обобщающего показателя уровня жизни. Многие специалисты весьма
скептически относятся к возможности его построения. Тем не менее, время от
времени предпринимаются попытки предложить схему исчисления обобщающего
показателя благосостояния населения. Например, несколько лет тому назад в
рамках ООН стали исчислять «индекс человеческого развития», который претендует
на роль обобщающего показателя уровня жизни. Однако, как будет показано ниже,
он имеет ряд существенных недостатков.
Изучение
состава расходного раздела баланса подтверждает вывод о том, что отражаемые в
нем показатели по своему экономическому содержанию не тождественны аналогичным
по названию показателям СНС. Например, сбережения населения в указанном балансе
учитывают только прирост сбережений во вкладах и ценных бумагах. Прирост
финансовых активов может быть обусловлен ростом обязательств или сменой формы
активов. Кроме того, часть сбережения может быть израсходована на приобретение
нефинансовых активов, например, покупку земли, дач и т. д.
Превышение
суммы доходов населения над его расходами дает представление о приросте активов
в форме денежной наличности. Если же имеет место обратное соотношение, то это
свидетельствует о том, что потребительские расходы населения финансировались за
счет сокращения накопленных активов домашних хозяйств.
Для
более глубокого и всестороннего анализа уровня жизни населения проводятся
выборочные бюджетные обследования домашних хозяйств, которые служат важным
источником статистической информации о структуре доходов и потребительских
расходов населения. Такие обследования позволяют установить зависимость между
уровнем материального благосостояния домохозяйств и их составом, источниками
доходов, занятостью членов семьи в различных секторах экономики. Получаемая
информация является основой для изучения потребительского поведения населения,
выявления взаимосвязи между уровнями потребления, доходов и цен. [9, c. 25]
Для
количественного отражения зависимости между динамикой доходов или цен и уровня
потребления отдельных товаров рассчитываются коэффициенты эластичности, которые
показывают, насколько изменяется уровень потребления при изменении
среднедушевого дохода (или цены) на 1 %:
Кэл=(ΔУ/Уо)/(ΔХ/Хо)
Где
Уо и У1 - уровень потребления соответственно в базисном и отчетном периоде;
Δу -
изменение уровня потребления в отчетном периоде по сравнению с базисным, т. е. Δу =У1-Уо
х0
и х1 - среднедушевой доход (или цена товара) соответственно в базисном и
отчетном периоде;
Δх -
изменение среднедушевого дохода (цены товара) за истекший период, т. е. Δх = Х1 - Хо.
При
проведении выборочных обследований регулярно фиксируются как доходы, так и
расходы домашних хозяйств. Расходы подразделяются на две группы:
потребительские расходы и расходы, не связанные с потреблением.
2.
Статистические показатели доходов и потребления населения в Хабаровском крае
В
январе-марте 2013 г. объем денежных доходов населения Хабаровского края
сложился в размере 76998,3 млн. руб. и по сравнению с январем-мартом 2012г.
увеличился на 28,3%. Это говорит о том, что благосостояние среднего класса
имеет тенденцию к увеличению.
Рис. 1 -Реальные располагаемые
денежные доходы населения Хабаровского края в % к среднемесячному значению
2013г.
Средняя начисленная заработная плата
в феврале 2013г. составила 20432 рубля и по сравнению с февралем 2012г.
увеличилась на 10,1%.
Просроченная задолженность
организаций (без субъектов малого предпринимательства) по заработной плате по
кругу наблюдаемых видов деятельности на 1 апреля 2013г. составила 329,3 млн.
рублей и уменьшилась по сравнению с 1 марта 2013г. на 10,6 млн. рублей
(3,1%).[19]
Задолженность из-за несвоевременного получения
денежных средств из бюджетов всех уровней составила 29,8 млн. рублей.
Задолженность по заработной плате из-за
отсутствия собственных средств составила 299,5 млн. рублей или 91,0% общей
суммы просроченной задолженности.
Таблица 1 - Динамика численности экономически
активного населения
|
год
|
Экономически
активное население
|
в
том числе
|
Уровень
безработицы, %
|
|
тыс.
человек
|
в
% к предыдущему периоду
|
занятые
|
безработные
|
|
|
|
|
тыс.
человек
|
в
% к предыдущему периоду
|
тыс.
человек
|
в
% к предыдущему периоду
|
|
|
2012
|
|
|
|
|
|
|
|
|
(в
среднем за месяц)
|
771,3
|
97,2
|
690,3
|
95,3
|
81,0
|
116,7
|
10,5
|
|
2013
|
|
|
|
|
|
|
|
|
Декабрь
2012г. - январь 2013г.
|
773,5
|
101,7
|
682,1
|
101,3
|
91,4
|
104,3
|
11,8
|
|
Январь
- февраль
|
769,0
|
99,4
|
686,8
|
100,7
|
82,2
|
89,9
|
10,7
|
|
Февраль
- март
|
760,7
|
98,9
|
688,1
|
100,2
|
72,6
|
88,3
|
9,6
|
Численность экономически активного населения в
Хабаровском крае в феврале-марте 2013г. составила 760,7 тыс. человек, в их
числе 688,1 тыс. человек, или 90,4% экономически активного населения были
заняты в экономике и 72,6 тыс. человек (9,6%) не имели занятия, но активно его
искали (в соответствии с методологией Международной Организации Труда они
классифицируются как безработные).
Таблица 2- Основные показатели, характеризующие
уровень жизни населения Хабаровском крае
|
Показатель
|
2012
год
|
Темп
прироста за год, %
|
2011
год
|
2010
год
|
2009
год
|
|
Денежные
доходы (в среднем на душу населения), руб. в месяц
|
9279
|
7597
|
22.1
|
6743
|
5066
|
4852
|
|
Среднемесячная
начисленная заработная плата одного работника, руб.
|
11335.6
|
8948.4
|
26.7
|
10853
|
9624
|
8977
|
|
Средний
размер назначенных месячных пенсий, руб.
|
2925.4
|
2339.1
|
25.1
|
2799
|
2381
|
2092
|
Денежные расходы населения включают расходы на
покупку товаров и оплату услуг, обязательные платежи и разнообразные взносы
(налоги и сборы, платежи по страхованию, взносы в общественные и кооперативные
организации, проценты за кредиты и др.), расходы на приобретение недвижимости и
прирост финансовых активов.
За указанный период средний размер расходов на
покупку товаров и оплату услуг составил 6027 рублей в месяц, что на 27.4%
больше, чем за предыдущий год. [29]
В структуре использования денежных доходов
населения 65% составляет покупка товаров и оплата услуг, 9.2% - обязательные
платежи и разнообразные взносы, 2.1% - приобретение недвижимости и 23.7% -
прирост финансовых активов. По сравнению с предыдущим годом структура
использования денежных доходов изменилась следующим образом. Доля расходов на
покупку товаров и оплату услуг выросла на 2.7 процентных пункта; обязательных
платежей и взносов - выросла на 0.3 процентных пункта; расходов на приобретение
недвижимости - выросла на 0.1 процентных пункта; прироста финансовых активов -
снизилась на 3.1 процентных пункта.
Таблица 3 - Структура использования денежных
доходов населения в Хабаровском крае (в процентах от общего объема денежных
доходов)
|
Показатель
|
2013
год
|
2012
год
|
Прирост
за год, процентных пунктов
|
2011
год
|
2010
год
|
2009
год
|
|
Покупка
товаров и оплата услуг
|
65.0
|
62.3
|
2.7
|
60,4
|
58,7
|
56.3
|
|
Обязательные
платежи и разнообразные взносы
|
9.2
|
8.9
|
0.3
|
8,4
|
7,7
|
6,5
|
|
Приобретение
недвижимости
|
2.1
|
2.0
|
0.1
|
1,9
|
1,8
|
1,6
|
|
Прирост
финансовых активов
|
23.7
|
26.8
|
-3.1
|
27,2
|
29,1
|
29,5
|
Структура потребительских расходов населения
была следующей: 30.5% составляет покупка продуктов питания, 43.1% -
приобретение непродовольственных товаров, 1.8% - покупка алкогольных напитков и
24.6% - оплата услуг.
Таблица 4 - Структура потребительских расходов
домашних хозяйств в Хабаровском крае (в процентах)
|
Показатель
|
2013
год
|
2012
год
|
2011
год
|
2010
год
|
2009
год
|
|
Покупка
продуктов питания
|
30.5
|
33.6
|
-3.1
|
35,3
|
37,4
|
38,2
|
|
Покупка
непродовольственных товаров
|
43.1
|
39.3
|
3.8
|
38,4
|
37,9
|
36,3
|
|
Покупка
алкогольных напитков
|
1.8
|
2.0
|
-0.2
|
2,1
|
2,3
|
2,5
|
|
Оплата
услуг
|
24.6
|
25.1
|
-0.5
|
25,7
|
25,9
|
26,5
|
|
|
|
|
|
|
|
|
Дифференциация доходов населения.
Социально-экономическая дифференциация населения
региона характеризуется следующими данными. На долю 20% наиболее обеспеченного
населения приходилось 44.3% общего объема денежных доходов (в 2012 г. - 44.5%),
а на долю 20% наименее обеспеченного населения - 6.1% (6% в прошлом году
соответственно).
Степень социального расслоения характеризуется
коэффициентом фондов (коэффициентом дифференциации доходов). Этот показатель
рассчитывается как соотношение между средними уровнями денежных доходов 10%
населения с самыми высокими доходами и 10% населения с самыми низкими доходами.
В 2013 году этот показатель был равен 12.3. По сравнению с предыдущим годом его
значение уменьшилось на 0.8%. Это говорит о снижении социально-экономического
неравенства населения. [30]
Неравномерность распределения доходов в обществе
измеряется с помощью коэффициента Джини (индекса концентрации доходов).
Значение этого показателя может варьироваться от 0 до 1. При этом, чем ближе
значение к 1, тем более неравномерно распределены доходы в обществе. В 2013
году этот показатель был равен 0.38, снизившись по сравнению с 2012 годом на
0.3%. Таким образом, распределение доходов за указанный период стало более
равномерным.
Таблица 5 - Распределение общего объема денежных
доходов по 20-процентным группам населения в Хабаровском крае (удельный вес
общего объема денежных доходов, приходящихся на соответствующую группу
населения, в общем объеме денежных доходов, процентов)
|
Группа
населения
|
2013
год
|
2012
год
|
Прирост
за год, процентных пунктов
|
2011
год
|
2010
год
|
2009
год
|
|
первая
(с наименьшими доходами)
|
6.1
|
6.0
|
0.1
|
5,9
|
5,7
|
5.5
|
|
вторая
|
10.9
|
10.9
|
0.0
|
10,9
|
10,9
|
10,9
|
|
третья
|
15.8
|
15.7
|
0.1
|
15,6
|
15,5
|
15,4
|
|
четвертая
|
22.9
|
22.9
|
0.0
|
22,9
|
22,9
|
|
пятая
(с наибольшими доходами)
|
44.3
|
44.5
|
-0.2
|
44,7
|
44,9
|
45,1
|
Прожиточный минимум и уровень бедности.
Величина прожиточного минимума представляет
собой стоимостную оценку потребительской корзины (устанавливается Федеральным
законом - в целом по Российской Федерации, законодательными (представительными)
органами субъектов Российской Федерации - в субъектах Российской Федерации), а
также обязательные платежи и сборы. Потребительская корзина включает
минимальные наборы продуктов питания, непродовольственных товаров и услуг,
необходимых для сохранения здоровья человека и обеспечения его
жизнедеятельности.
Величина прожиточного минимума определяется
ежеквартально и устанавливается Правительством Российской Федерации - в целом
по России, и органами исполнительной власти субъектов Российской Федерации - в
субъектах РФ. В IV квартале 2013 г. она составила 4331 руб. Таким образом, по
сравнению с аналогичным периодом предыдущего года прожиточный минимум возрос на
18.3%.
Согласно таблице 6 приложения величина
прожиточного минимума устанавливается для различных социально-демографических
групп населения. Прожиточный минимум трудоспособного населения в IV квартале
2013 г. был равен 4648 руб. Эта величина на 7.3% больше прожиточного минимума
для всего населения. По сравнению с предыдущим годом она выросла на 18.0%.
Прожиточный минимум пенсионеров составил 3264
руб., что на 24.6% меньше значения, установленного для населения в целом. За
год значение показателя возросло на 18.3%.
Прожиточный минимум детей установлен на уровне
4167 руб. Это на 3.8% меньше, чем прожиточный минимум населения в целом. По
сравнению с аналогичным периодом 2012 года показатель вырос на 19.5%.
Заключение
В результате проделанной работы можно сделать
следующие основные выводы. Одним из важнейших обобщающих показателей уровня
жизни являются доходы населения. Статистика исследует количественные
характеристики формирования общего объема доходов населения, структуру этих
доходов, распределение между отдельными группами населения. В соответствии с
методикой СНС расчета баланса денежных доходов и расходов населения исчисляются
номинальные денежные доходы и располагаемые доходы домашних хозяйств.
Социальная статистика занимается всесторонним и глубоким изучением состояния и
развития экономики страны, различных социальных процессов, происходящих в ней,
их закономерностей, путем сбора, обработки, анализа и обобщения данных о них.
На современном этапе рыночных отношений можно выделить такие основные задачи:
на базе современной системы статистических показателей, методологии их расчета
и методов сбора статистической отчетности завершить создание модели
государственной статистики, адаптированной к условиям развития рыночных
отношений; усилить интегрирующие функции органов государственной статистики в
общем процессе информационного отображения общественных явлений в стране;
сформировать единую методологическую основу для отраслевых систем
статистической информации; обеспечить высокую оперативность и максимальную
достоверность статистических данных; повысить программно-технологический и
технический уровень системы. Показатели, изучаемые в данной отрасли,
используются в изучении мероприятий по социальной защите населения России, в
том числе, индексации доходов населения. При этом устанавливается порог
повышения индекса цен по фиксированному набору товаров и услуг, который и
служит своеобразным сигналом корректировки доходов.
Библиографический список
1. Авраамова,
Е. М. Формирование среднего класса в России: определение, методология,
количественные оценки / Е.М. Авраамова / / Общественные науки и современность.
- 2009. - № 1.
. Большев
Л.Н., Смирнов Н.В. Таблицы математической статистики. М.: Наука, 2008. -269с.
. Боровков
А.А. Математическая статистика. М.: Наука,2010.-347с.
. Гмурман
В.Е. Руководство к решению задач по теории вероятностей и математической
статистике. - М.: Высшая школа, 2012. - 400с.
. Гмурман
В.Е. Теория вероятностей и математическая статистика. - М.: Высшая школа, 2011.
- 400с.
. Гусаров
В.М. Теория статистики. - М.: ЮНИТИ, 2008. - 448 с.
. Данко
П.Е., Попов А.Г., Кожевникова Т.Я. Высшая математика в упражнениях и задачах.
Ч.2. - М.: Высшая школа, 2008. - 415с.
. Доценко
А.Д., Нагулин Н.И. Методические указания к практическим занятиям по курсу
“Высшая математика” (Ряды). Харьков: ХИРЭ, 2008. - 38с.
. Едронова
Н. Н. Общая теория статистики. - М.: Финансы и статистика, 2010. - 648 с.
. Елисеева
И.И., Юзбашев М.М. Общая теория статистики. - М.: Финансы и статистика, 2008. -
368 с.
. Ефимова
М. Р., Петрова Е.В., Румянцев В.Н. Общая теория статистики. - М.: ИНФРА-М.
2009. - 414 с.
. Заварина
Е. С., Сивориновский Б. Г., Ладонычева Г. Ю. Актуальные вопросы межрегиональных
сравнений // Вопр. статистики. - 2009. - № 6.
. Кемпбелл
Р. Макконел. Стенли Л. Брю. Экономикс. - М.: Республика, 2010.-574с.
. Корн
Г., Корн Т. Справочник по математике для научных работников и инженеров. - СПБ:
Издательство «Лань», 2010.-452с.
. Коршунов
Д.А., Чернова Н.И. Сборник задач и упражнений по математической статистике.
Новосибирск: Изд-во Института математики им. С.Л.Соболева СО РАН, 2011.-258с.
. Леонтьев
В. Межотраслевая экономика. - М.: Экономика, 2012. - 611с.
. Микро-
и макроэкономика, практикум. СПб: АО Литера плюс, 2012.-498с.
. Ойкен
В. Основы национальной экономики. /Пер. с нем. /Общ. ред. В.С. Автономова, В.П.
Гутника, К. Херрманн-Пиллата. - М.: Экономика, 2009. -556с.
. Официальный
сайт Территориальный орган федеральной службы государственной статистики по
Хабаровскому краю: http://habstat.gks.ru/.
. Пехелецкий
И.Д. Математика: учебник для студентов. - М.: Академия, 2011.-452с.
. Пискунов
Н.С. Дифференциальное и интегральное исчисления. Т.2. - М.: Наука, 2008. -
506с.
. Радаев,
В.В. Социальная стратификация / В.В. Радаев, О.И. Шкаратан. М.: Наука, 2008,
-237 с.
. Региональная
экономика./Под ред. Т.Г. Морозовой.- М. , Юнити, 2008.- 469 с.
. Региональная
экономика: метод. Указания для выполнения контрольных работ. / сост.: д.г.н.,
проф. Г.Г.Шалмина, к.э.н., доц. Б.В. Мелентьев. - Новосибирск.: НГАЭиУ, 2009.-347с.
. Россия:
внешнеэкономические связи в условиях перехода к рынку. Под. ред. И. П.
Фаминского. - М.: МО, 2011.-532с.
. Стенлейк
Дж. Ф. Экономикс для начинающих. Москва: Республика, 2009.-682с.
. Суходольский
В.Г. Лекции по высшей математике для гуманитариев. - СПБ Издательство
Санкт-петербургского государственного университета. 2012.-322с.
. Теория
статистики / Под редакцией Громыко Г. Л. - М.: ИНФРА-М, 2008. - 576 с.
29. www.marketing.ru
. www.gdeparfum.ru
Приложение
Таблица 6 - Величина прожиточного минимума,
установленная в Хабаровском крае за IV квартал (в среднем на душу населения,
руб. в месяц)
|
Показатель
|
2013
год
|
2012
год
|
Темп
прироста за год, %
|
2011
год
|
2010
год
|
2009
год
|
|
Все
население
|
4331
|
3662
|
18.3
|
3574
|
3482
|
3378
|
|
в
том числе по социально-демографическим группам:
|
|
|
|
|
|
|
|
трудоспособное
население
|
4648
|
3940
|
18.0
|
3876
|
3752
|
3556
|
3264
|
2758
|
18.3
|
2647
|
2598
|
2508
|
|
дети
|
4167
|
3487
|
19.5
|
3371
|
3287
|
3199
|
|
Численность
населения с денежными доходами ниже величины прожиточного минимума, в % от общей
численности населения
|
21.9
|
23.4
|
…
|
23,6
|
23,9
|
23,9
|