Расчет установки изомеризации
МИНИСТЕРСТВО
ОБРАЗОВАНИЯ И НАУКИ РОССИЙСКОЙ ФЕДЕРАЦИИ
Филиал
федерального государственного бюджетного образовательного учреждения высшего
профессионального образования
«Российский
государственный университет нефти и газа имени И. М. Губкина в г. Оренбурге»
Отделение
«Химическая технология переработки углеводородного сырья и экологии»
Курсовая
работа
по
дисциплине «Химия и технология органических веществ»
Тема
курсовой работы: «Расчет установки изомеризации. Вариант 1»
Выполнил: студент группы ОХТ-09-01
Дугаева Е.В.
Оренбург,
2014 г.
Содержание
Введение
. Обоснование выбора схемы установки
изомеризации
.1 Теоретические основы процесса
изомеризации
.2 Технологическое оформление
процесса изомеризации
.3 Высокотемпературная изомеризация
пентановой фракции
. Технологический расчет реакторного
блока установки высокотемпературной изомеризации фракции н.к. - 62оС
.1 Исходные данные
.2 Расчет материального баланса
процесса изомеризации
.3 Расчет теплового баланса процесса
изомеризации
.4 Расчёт реакторного блока
.5 Гидравлический расчёт реактора
Заключение
Список использованных источников
Введение
Процесс изомеризации парафиновых углеводородов
предназначен для повышения октанового числа пентан-гексановых фракций бензинов,
выкипающих до 70°С, и получения индивидуальных парафиновых углеводородов -
изобутана и изопентана - из н-бутана и н-пентана с целью увеличения ресурсов
сырья при синтезе изопренового каучука, для процесса алкилирования и получения
изобутилена при синтезе метил-трет-бутилового эфира. Изопентаны и изогексаны
используются как компоненты автомобильного бензина.
1.
Обоснование выбора схемы установки изомеризации
.1 Теоретические основы процесса
изомеризации
Реакции изомеризации, являясь равновесными,
происходят без изменения объёма, поэтому термодинамическое равновесие зависит
только от температуры. Низкие температуры благоприятствуют образованию
изопарафиновых углеводородов и получению смесей углеводородов с высокими
октановыми числами. Изомеризация протекает с небольшим экзотермическим эффектом
- от 2 до 20 кДж/моль; теплота изомеризации мало изменяется с температурой. При
расчете равновесных составов по значениям констант равновесия учитывают лишь
наиболее вероятностно образующиеся изомеры. Например, в продуктах изомеризации
н-пентана на всех катализаторах из трёх теоретически возможных изомеров были
обнаружены только н-пентан и изопентан.
Изомеризация парафиновых углеводородов
сопровождаются побочными реакциями крекинга и диспропорционирования; для
подавления этих реакций и поддержания активности катализатора на постоянном
уровне процесс проводится при давлении водорода 2-4 МПа и циркуляции
водородсодержащего газа. Кинетика и механизм реакции зависят от типа
катализатора и условий проведения реакции.
Процессы изомеризации на катализаторах,
содержащих металлы VIII группы, происходит по следующим основным схемам:
На катализаторах с сильной кислотностью носителя
изомеризация протекает на кислотных центрах, а роль металла сводится к
ограничению образования кокса и предохранению от дезактивации кислотных
центров, благодаря процессам образования более активного атомарного водорода в
зоне каталитической конверсии. Примером может служить изомеризация парафиновых
углеводородов на алюмоплатиновом катализаторе, промотированном хлором:
где К - кислотные центры.
. На катализаторах с низкой кислотностью
носителя изомеризация происходит на металлических центрах и механизм реакции
зависит от размера кристаллита металла. При этом увеличением размера
кристаллита замедляет стадию внутренней диффузии атомарного водорода и смещает
механизм в область бифункционального катализа (вариант 3). Напротив, уменьшение
размера кристаллита приводит к ускорению стадии внутренней диффузии атомарного
водорода и смещает механизм в сторону низкоскоростного катализа по варианту 1.
3. На бифункциональных катализаторах механизм
реакции отвечает схеме, отвечающей сбалансированности скоростей различных
процессов:
где М - металлические центры, К - кислотные
центры.
Современные промышленные катализаторы
изомеризации парафиновых углеводородов являются каталитическими
бифункциональными системами металл - носитель. В качестве металлического
компонента катализатора используются платина или палладий, в качестве носителя
- фторированную или хлорированную окись алюминий, аморфные или кристаллические
алюмосиликаты. Механизм действия и условия работы катализатора зависят от
природы носителя и способа его промотирования. Алюмоплатиновые катализаторы
(промотированы фтором), позволяющие осуществить процесс изомеризации при
360-420 оС, называются высокотемпературными; металл- цеолитные
катализаторы, которые используются при 230-380 оС (в зависимости от
типа применяемого цеолита) - среднетемпературные. Алюмоплатиновые катализаторы,
промотированные хлором, применяются при 100-200 оС -
низкотемпературные. Наибольшее значение для изомеризации С4-С6
углеводородов получили низко- и высокотемпературные процессы.
Температура является основным фактором,
определяющим равновесное содержание изомеров в продуктах реакции.
Термодинамически процесс изомеризации низкотемпературный, причём низкие
температуры способствуют образованию более разветвлённых изомеров и
соответственно более высокооктановых компонентов. Температура процесса определяется
в первую очередь активностью катализатора и должна строго выдерживаться в
технологическом процессе. Подъём температуры осуществляется по мере
необходимости с учётом обеспечения заданной характеристики изомеризата по
октановому числу, а также степени отработки ресурса катализатора. Значительное
повышение температуры при достижении термодинамического равновесия изопентанов
и нормального пентана может привести к быстрому закоксовыванию катализатора.
Изомеризация парафинов протекает при парциальном
давлении паров углеводородов 0,5-1,0 МПа и парциальном давлении водорода 2-3
МПа. Давление водорода создаётся путём циркуляции водородсодержащего газа. Для
уменьшения отложений кокса на катализаторе предусматривается системы свежим
водородсодержащим газом. При этом процесс изомеризации парафиновых
углеводородов тормозится при избыточном парциальном давлении водорода.
Повышение давления парафиновых углеводородов приводит к заметному торможению
реакции, а снижение давления менее 1,5-2,0 МПа - к быстрому закоксовыванию
катализатора и потере его активности.
Объёмная скорость подачи сырья определяется
отношением объёма сырья к объёму катализатора. Увеличение объёмной скорости
приводит к уменьшению выхода изомеров и увеличению рециркулята (возврат
непрореагировавшего н-пентана в процессе). Как уменьшение, так и увеличение
объёмной скорости приводит к ухудшению эксплуатационных показателей получаемых
продуктов.
Изменение времени контакта влияет на степень
изомеризации, практически не изменяя её селективность. Последнее связано с
малой скоростью побочных процессов.
Современные катализаторы обладают достаточной
селективностью для изомеризации парафиновых углеводородов С4 - С6,
не корродируют аппаратуру и не чувствительны к присутствию ароматических
углеводородов, так как последние подвергаются каталитическому гидрированию с
образованием изомерных циклогексанов. Наличие серы в сырье приводит к
отравлению катализатора, поэтому сырьё подвергают обессериванию.
Один из недостатков промотированных хлором
бифункциональных катализаторов - их низкая активность при температурах ниже 380°С,
поэтому добавление платины, палладия или редкоземельных металлов на цеолите
типа У позволяют снизить как температуру активизации каталитической системы,
равно как и общую температуру процесса до 300°С.
Окислительную регенерацию катализатора проводят
азот-воздушной смесью, которой предшествует освобождение реакторного блока то
паров углеводородов продувкой инертным газом. Регенерация алюмоплатинового
катализатора проводится аналогично регенерации катализатора установок
каталитического крекинга в три стадии ступенчатым повышением температуры:
-ая стадия - 300 ¸
350°С
с выжигом до 25% масс. кокса;
-ая стадия - 380 ¸
420°С
с выжигом дополнительно 25% масс. кокса;
-ья стадия - 450 ¸
520°С
с выжигом остаточного количества кокса.
После выжига кокса в реакторе производится
прокаливание катализатора до 500°С.
1.2 Технологическое оформление процесса
изомеризации
Как видно из таблиц 1, 2 используемые в
промышленности высоко- и низкотемпературные процессы полимеризации
характеризуются весьма многообразными параметрами. При этом высокотемпературная
изомеризация нецелесообразна, так как при высокой температуре равновесие
реакции смещается в нежелательную сторону. При использовании установок
низкотемпературной изомеризации (см. таблицу 2) получают изомеризат с
октановыми числами 82,1 ¸ 84,6 (исследовательский метод)
в чистом виде, за исключением процесса TIP который реализует выделение
нормальных пентана и гексана из изомеризата с помощью молекулярных сит, что позволяет
повысить октановое число до 90,7. С экономической точки зрения
низкотемпературная изомеризация также предпочтительнее высокотемпературной,
хотя и требует дополнительных затрат, связанных с необходимостью более
тщательной подготовки сырья и повышенной (до 99,9 % масс.) доли водорода в
составе водородсодержащего газа.
Таблица 1 - Процессы низкотемпературной
изомеризации бутановой и пентан-гексановой фракции
|
Показатели
|
Бутановая
фракция
|
Пентан-гексановая
фракция
|
|
Shell
|
UOP
|
British
Petroleum
|
Shell
|
UOP
|
British
Petroleum
|
Union
Carbide
|
|
Тип
каталитич. системы
|
жидкофазный
процесс; р-р AlCl3 в SbCl3
|
Стационарный
слой кат-ра: Pt на Al2O3 + AlCl3
|
Стационарный
слой кат-ра: Pt на Al2O3 + AlCl3
|
Стационарный
слой кат-ра: Pt на цеолите
|
Стационарный
слой кат-ра: Pt на Al2O3 +AlCl3
|
Стационарный
слой кат-ра: Pt на Al2O3
|
Стационарный
слой кат-ра: Pt на цеолите
|
|
Непрерывное
добавление промотора
|
--
|
не
указано
|
осуществ.
|
нет
|
осуществ.
|
осуществ.
|
нет
|
|
Условия
процесса:
|
|
-
тем-ра °С
|
65
- 100
|
не
указана
|
150
- 200
|
230
- 285
|
120
- 200
|
90
- 160
|
260
- 370
|
|
-
Ризб. МПа
|
2,0
|
не
указана
|
2,0
|
1,3
- 3,0
|
2,0
- 6,5
|
1,7
- 2,5
|
1,4
- 3,5
|
|
-
об. скорость подачи, ч-1
|
2
|
2
- 3
|
2
- 3
|
1,5
- 3,0
|
2
|
1
- 2
|
1
- 3
|
|
-
мольное соотношение Н2: сырьё
|
без
Н2
|
не
указано
|
0,1
- 0,5
|
1
- 4
|
--
|
1
- 2
|
1
- 4
|
|
избирательность
к сырью С5-С6
|
95
|
95
|
97
|
>
97
|
>
97
|
>
97
|
>
97
|
|
Расходные
показателина 1 м3 сырья:
|
|
эл.эн.кВт*ч
|
--
|
--
|
--
|
11,9
|
10,6
|
8,17
|
19,54
|
|
пар,
т
|
--
|
--
|
--
|
0,33
|
--
|
0,40
|
0,53
|
|
топ-во
мДж
|
--
|
--
|
--
|
79,0
|
219,0
|
15,2
|
86,0
|
|
расход
Н2
|
--
|
--
|
--
|
13,1
|
--
|
--
|
17,8
|
Таблица 2 - Сопоставительные данные по процессам
низко- и высокотемпературной изомеризации
|
Показатель
|
Высокотемпературная
изомеризация
|
Низкотемпературная
изомеризация
|
|
Температура,
°С
|
380
- 450
|
150
- 165
|
|
Давление,
МПа
|
3,5
|
3,0
|
|
Объёмная
скорость подачи сырья, ч-1
|
1,0
|
1,5
|
|
Мольное
соотношение Н2 : пентан
|
3
: 1
|
2
: 1
|
|
Степень
конверсии пентана за проход, % масс.
|
50
|
70
|
|
Капитальные
вложения, %
|
100
|
79
|
|
Себестоимость
изопентана, %
|
100
|
88
|
Исходя из исходных данных, указанных в задании
на курсовую работу, а также на основе полученных сведений о различных процессах
изомеризации, выбираем высокотемпературную изомеризацию фракции н.к. - 62 оС.
1.3 Высокотемпературная изомеризация пентановой
фракции
Развитие отечественного процесса изомеризации
углеводородов С4 - С5 связано с увеличением производства
изопренового каучука. Изомеризация прямогонных бензиновых фракций, выкипающих
до 62°С
используется также для получения компонентов смешения высокооктановых
автомобильных бензинов.
В качестве сырья на установках, входящих в состав
заводов СК, используется пентановая фракция, выделенная на ГФУ; на установках в
составе НПЗ или ГПЗ - бензиновая фракция н.к. - 62°С.
В качестве водорода подпитки используется электролитический водород и
водородсодержащий газ с установок каталитического риформинга. Процесс
изомеризации н-пентана осуществляется в реакторе со стационарным слоем
катализатора в паровой фазе при давлении и циркуляции водородсодержащего газа.
Выход изопентана "за проход" составляет 50-53 %, при этом достижение
полного превращения н-пентана в изопентан осуществляется путем рециркуляции
непревращенного н-пентана.
Процесс изомеризации осуществляется на
катализаторе ИП-62 - платинированная g-Al2O3,
промотированная фтором - которая изготовляется на ПО “Ангарскнефтеоргсинтез”.
Размер таблеток: d = 2,8 мм, l = 5 мм. Свежезагруженный в реактор катализатор
ИП- 62 подвергается последовательной термообработке азотом и водородом с целью
удаления воды и разложения сернистой платины. На катализаторе одновременно с
процессом изомеризации протекают реакции обессеривания н-пентана и изопентана с
образованием сероводорода, который частично удаляется при отдувке
циркулирующего газа и при стабилизации катализатора.
Схема установки изомеризации бензиновой фракции
н.к. - 62°С ЛИ-150-В приведена на рисунке 1. Её
характерной особенностью является разделение технологической линии на два
самостоятельных блока: ректификации и изомеризации - что позволяет использовать
при необходимости каждый из них самостоятельно. В отличие от установки
изомеризации пентановой фракции здесь использована однопоточная схема
реакторного и ректификационного блоков, что значительно упростило схему и
сократило площадь установки.
В блоке ректификации производится выделение
товарных продуктов из смеси исходной фракции н.к. - 62°С
и стабильного изомеризата: изопентана (в колонне К-1), изогексанов (в колонне
К-4); н-пентан, направляемый на изомеризацию, выделяется в колонне К-2. Для
повышения эффективности работы установки ЛИ-150-В и получения большего
количества изопентана можно использовать изогексановую колонну для выделения
изопентановой фракции, что позволяет и увеличить выработку последней на 20 %, и
повысить качество пентановой фракции (сырья блока изомеризации) за счёт
снижения содержания в ней изопентана до 4 ¸ 5%, интенсифицировать
работу блока ректификации, а изогексановую фракцию (остаток ректификации
пентановой колонны К-2) направлять в автомобильный бензин.
Рисунок 1 - Технологическая схема
высокотемпературной изомеризации фракции н.к. - 62°С
Ректификационные колонны: К-1 - изопентановая;
К-2 - пентановая; К-3 - бутановая; К-4 - изогек-сановая; К-5 -
адсорбер-осушитель; К-6 - колонна стабилизации; К-7 - абсорбер; 1 - реактор; 2
- трубчатая печь; 3 - паровой нагреватель; 4 - теплообменник; 5 - воздушный
холоди-льник; 6 - водяной холодильник; 7 - компрессор
Исходными данными для расчёта реакторного блока
установки высокотемпературной изомеризации являются:
1) количество и состав исходного сырья;
2) количество и состав водородсодержащего
газа;
) параметры процесса: температура,
давление, объёмная скорость подачи сырья, мольное соотношение водород - сырьё;
характеристика катализатора.
На рисунке 2 изображён продольный разрез
реактора каталитической изомеризации.
Рисунок 2 - Реактор каталитической
изомеризации: 1 - распределитель сырья; 2- корпус; 3- катализатор; 4- опорная
решетка; 5- керамические шарики; 6 - муфта для термопары; 7 - секционная
термопара; - муфта для монтажа.
2.
Технологический расчет реакторного блока установки высокотемпературной
изомеризации фракции н.к. - 62оС
.1 Исходные данные
Часовая производительность по сырью: Gс
= 25 000,00 кг/ч;
Температура газа на входе в реактор - 440 оС;
Температура продуктов при выводе из реактора -
400 оС;
Давление - 3,50 МПа;
Объемная скорость подачи сырья - 1,8 ч-1;
Мольное соотношение водород - н-пентан = 3,0:1;
Характеристика катализатора - ИП-62;
Выход за однократный пропуск - 54,00 % масс.;
Суммарный выход с рециркуляцией - 93,00 % масс.;
Состав исходного газа представлен в таблице 3;
Состав водородсодержащего газа представлен в
таблице 4.
Таблица 3 - Состав сырьевого газа
|
компонент
|
Мr
|
%
масс
|
|
i-C5H12
|
72,00
|
27,50
|
|
n-C5H12
|
72,00
|
44,00
|
|
i-C6H14
|
86,00
|
26,20
|
|
n-C6H14
|
86,00
|
2,30
|
|
Итого:
|
|
100,00
|
Таблица 4 - Состав водородсодержащего газа
|
компонент
|
Мr
|
%масс
|
|
водород
|
2,00
|
98,40
|
|
моноэтаноламин
|
61,00
|
1,60
|
|
Итого:
|
|
100,00
|
2.2 Расчет материального баланса процесса
изомеризации
Расчет состава сырьевого газа был произведен по
следующим формулам:
Gi
= xi
∙
Gс
(1)
где Gi
- количество i-го компонента
сырьевого газа, кг /ч;
xi
- массовое количество i-го
компонента сырьевого газа, %масс.;
Gс
- общее количество сырьевого газа, поступающего на установку, кг/ч.
yi = 
(2)
где yi
- мольная доля i-го
компонента сырьевого газа;
xi
-
массовое кол-во i-го
компонента сырьевого газа, %масс.;
Mi
- молекулярная масса i-го
компонента сырьевого газа, кг/кмоль.
Gс
= Vс
/22,4∙ Мср (3)
где Gс
- общее количество сырьевого газа, поступающего на установку, кг/ч; Vс
- общее кол-во сырьевого газа, поступающего на установку, м3 /ч;
Мср - средняя молекулярная масса
поступающего газа, кг/кмоль.
Мср = ∑Mi
∙yi (4)
где Мср - средняя молекулярная масса
поступающего газа;
Mi
-
молекулярная масса i-го
компонента сырьевого газа, кг/кмоль;
yi
- мольная доля i-го
компонента сырьевого газа.
Vi
= yi
∙
Vс
(5)
где Vi
- количество i-го компонента
сырьевого газа, м3 /ч;
yi
- мольная доля i-го
компонента сырьевого газа;
Vс -
общее количество сырьевого газа, поступающего на установку, м3/ч.
Все расчеты состава сырьевого газа представлены
в таблице 5.
Таблица 5 - Расчет состава сырьевого газа
|
компонент
|
Мr
|
%масс.
|
Gc, кг/ч
|
Nc, кмоль/ч
|
мольн.
доля
|
Vc, м3/ч
|
Мср
|
|
i-C5H12
|
72,00
|
27,50
|
6875,00
|
95,49
|
0,29
|
2138,89
|
20,76
|
|
n-C5H12
|
72,00
|
44,00
|
11000,00
|
152,78
|
0,46
|
3422,22
|
33,22
|
|
i-C6H14
|
86,00
|
26,20
|
6550,00
|
76,16
|
0,23
|
1706,05
|
19,78
|
|
n-C6H14
|
86,00
|
2,30
|
575,00
|
6,69
|
0,02
|
149,77
|
1,74
|
|
Итого:
|
|
100,00
|
25000,00
|
331,11
|
1,00
|
7416,93
|
75,50
|
Рассчитаем количество водородсодержащего газа,
необходимого для процесса изомеризации (кмоль/ч):
(6)
где GН2 - количество водорода,
кмоль/ч;
xН2 -
массовая доля водорода в ВСГ.
Зная мольное соотношение водород : н-пентан =
3:1, расcчитываем количество
водорода и ВСГ из соотношения, кмоль/ч и кг/ч:

(7)
GН2 =
Gс∙
N ∙МН2
/ Mc = 25000,00 *3*2
/75,50 = 1986,68 кмоль/ч
NВСГ =
GН2 /ХН2 =1986,68/ 0,98 = 2018,98 кмоль/ч
Тогда необходимое количество свежего ВСГ (кг/ч)
составит:ВСГ = 2018,98 ∙2,03 = 4100,55 кг/ч
Принимаем по практическим данным для
катализатора ИП-62: количество образующихся продуктов крекинга от метана до
бутана - 2 - 3%.
Сводим материальный баланс процесса изомеризации
в таблице 6.
Таблица 6 - Материальный баланс процесса
изомеризации
|
Приход
|
Расход
|
|
Статьи
баланса
|
Выходы
продуктов
|
Статьи
баланса
|
Выходы
продуктов
|
|
%,
масс.
|
кг/ч
|
|
%,
масс.
|
кг/ч
|
|
i-C5H12
|
27,50
|
6875,00
|
С1
- С2
|
1,66
|
415,80
|
|
н-C5H12
|
44,00
|
11000,00
|
i-C5H12
|
68,42
|
17105,00
|
|
i-C6H14
|
26,20
|
6550,00
|
н-С5Н12
|
1,42
|
354,20
|
|
н-C6H14
|
575,00
|
i-С6Н14
|
26,20
|
6550,00
|
|
|
|
|
н-С6Н14
|
2,30
|
575,00
|
|
Итого:
|
100,00
|
25000,00
|
Итого:
|
100,00
|
25000,00
|
|
ВСГ
|
14,09
|
4100,55
|
ВСГ
|
14,09
|
4100,55
|
|
Всего:
|
114,09
|
29100,55
|
Всего:
|
114,09
|
29100,55
|
.3 Расчет теплового баланса процесса
изомеризации
Тепловой баланс процесса изомеризации рассчитаем
по формуле:
Qc + Qвсг = Qc.г.+
Qб.ф.+ Qкат (8)
илиc∙ qс440
+ Gвсг∙ qвсг 440 = Gc.г.∙qс.г.
400 + Gб.ф.∙qб.ф 400 + Gкат∙qкат
400 + qр (9)
где Qc, Qвсг, Qc.г.,
Qб.ф., Qкат - количество тепла, привносимого соответственно
сырьём, ВСГ, сухим газом, бутановой фракцией и катализатором, ккал/ч.c,
Gвсг, Gc.г., Gб.ф., Gкат -
количество соответственно сырья, ВСГ, сухого газа, бутановой фракции,
катализатора, кг/ч; it
- энтальпии компонентов при рабочей температуре процесса 440°С,
ккал/кг; р - теплота реакции, ккал/кг.
Определяем энтальпию сырья при 440 °С
и атмосферном давлении расчетным методом.
Для определения энтальпии паров нефтепродуктов
(ккал/кг) при атмосферном давлении пользуемся эмпирической формулой:
с440 = (50,2 + 0,109t +
0,00014t2)(3,992 -
0,9952d420)
- 73,8 (10)
где d420 - плотность паров;- рабочая температура процесса,
°С.
Полученное значение энтальпии корректируем,
вычитая поправку на давление. Для определения поправки на давление рассчитываем
приведённые давление (Рпр) и температуру (Тпр):
(11)
(12)
где Ркр - критическое давление, МПа;
Ткр - критическая температура, °К;
Р - давление в аппарате, МПа;
Т - температура в аппарате, К.
Находим поправку на энтальпию при повышенных
давлениях:

(13)
где Dq - изменение
энтальпии в зависимости от изменения давления, ккал/кг;
М - молекулярный вес;
Т - температура, К.
С учётом рассчитанной поправки на давление
находим энтальпии паров нефтепродуктов в реакторе (ккал/кг):
qп440 = qс440 - Dq , (14)
Все расчеты сведены в таблицу 7.
Таблица 7 - Расчет энтальпии сырьевого газа
|
|
i-C5H12
|
н-C5H12
|
i-C6H14
|
н-C6H14
|
сумма
|
|
Т,К
|
|
|
|
713,00
|
|
Р,МПа
|
|
|
|
|
3,50
|
|
М
|
72,00
|
72,00
|
86,00
|
86,00
|
|
|
Выход,кг/ч
|
6875,00
|
11000
|
6550,00
|
575,00
|
25000,00
|
|
к-во
моль
|
95,49
|
152,78
|
76,16
|
6,69
|
331,11
|
|
мольн.доля
|
0,29
|
0,46
|
0,23
|
0,02
|
1,00
|
|
Мср
|
20,76
|
33,22
|
19,78
|
1,74
|
75,50
|
|
ТКР,К
|
460,40
|
469,60
|
507,30
|
507,30
|
|
|
ТПКР,К
|
135,77
|
216,68
|
116,69
|
10,24
|
476,38
|
|
ТПР,К
|
|
|
|
|
1,51
|
|
РКР,МПа
|
3,38
|
3,37
|
3,01
|
3,01
|
|
|
РПКР,Мпа
|
0,98
|
1,55
|
0,69
|
0,06
|
3,28
|
|
РПР,МПа
|
|
|
|
|
1,07
|
|
Дq,ккал/кг
|
|
|
|
|
-12,97
|
|
d420,кг/м3
|
0,62
|
0,62
|
0,66
|
0,66
|
|
|
|
0,18
|
0,29
|
0,15
|
0,01
|
0,63
|
|
qc440,ккал/кг
|
|
|
|
|
376,37
|
|
qП440,ккал/кг
|
|
|
|
|
389,34
|
Энтальпию ВСГ (ккал/кг) находим по формуле:
qвсг440 = Ср∙
Т- Dq
, (15)
где Ср - теплоёмкость ВСГ (ккал/кг∙град),
рассчитываемая по правилу аддитивности теплоёмкостей, входящих в него
компонентов:
Ср =S Срi∙
xi (16)
Расчеты сводим в таблицу 8.
Таблица 8 - Расчет энтальпии водородсодержащего
газа
|
компонент
|
Мr
|
%масс.
|
масс.доля
|
Срi
|
Ср
|
qвсг
440
|
|
водород
|
2,00
|
98,40
|
0,98
|
3,49
|
3,44
|
|
|
моноэтаноламин
|
61,00
|
1,60
|
0,02
|
0,73
|
0,01
|
|
|
Итого
|
|
100,00
|
1,00
|
|
3,45
|
2459,69
|
Аналогично определяем энтальпии продуктов реакции
при Т = 400 °С, учитывая что Ср кат. =0,27
ккал/(кг∙К). Тепловой эффект реакции изомеризации принимаем по
практическим данным: qр = 25 ккал/кг.
Результаты расчетов энтальпии продуктов реакции
представлены в таблице 9.
Таблица 9 - Расчет энтальпии продуктов реакции
|
|
С1-С2
|
i-C5H12
(кат)
|
н-C5H12
|
i-C6H14
|
н-C6H14
|
|
М
|
23,00
|
72,00
|
72,00
|
86,00
|
86,00
|
|
Выход,кг/ч
|
415,80
|
17105,00
|
354,20
|
6550,00
|
575,00
|
|
мольн.доля
|
0,05
|
0,69
|
0,01
|
0,22
|
0,02
|
|
ТКР,К
|
250,00
|
460,40
|
469,60
|
507,30
|
507,30
|
|
ТПР,К
|
2,69
|
1,46
|
1,43
|
1,33
|
1,33
|
|
РКР,МПа
|
4,70
|
3,38
|
3,37
|
3,01
|
3,01
|
|
РПР,МПа
|
0,75
|
1,04
|
1,04
|
1,16
|
1,16
|
|
Дq,ккал/кг
|
-4,92
|
-13,63
|
-14,52
|
-17,13
|
-17,13
|
|
d420,кг/м3
|
0,48
|
0,62
|
0,63
|
0,66
|
0,66
|
|
qС400,ккал/кг
|
334,09
|
318,42
|
317,66
|
313,82
|
313,82
|
|
qП400,ккал/кг
|
339,01
|
332,05
|
332,17
|
330,595
|
330,95
|
Сводим тепловой баланс процесса изомеризации в
таблице 10.
Таблица 10 - Тепловой баланс процесса
изомеризации
|
Статьи
баланса
|
q,
ккал/кг
|
Q,
ккал/ч
|
Статьи
баланса
|
q,
ккал/кг
|
Q,
ккал/ч
|
|
Приход
|
Расход
|
|
Сырье
|
389,34
|
9733446,99
|
Сухой
газ
|
339,01
|
140959,67
|
|
ВСГ
|
2459,69
|
10086078,03
|
Катализат
|
332,05
|
5679701,40
|
|
|
|
|
н-пентан
|
332,17
|
117654,98
|
|
|
|
|
i-гексан
|
330,95
|
2167703,50
|
|
|
|
|
н-гексан
|
330,95
|
190294,58
|
|
|
|
|
Тепловой
эффект реакции
|
|
25,00
|
|
Итого:
|
|
19819525,02
|
Итого:
|
|
8296339,14
|
Потери тепла составляют:
,02 - 8296339,14 = 11523185,88 ккал/ч
.4 Расчёт реакторного блока
Расчёт реакторного блока проводится для
параметров:
температура ввода сырья - 440 °С,
температура вывода продуктов - 400 °С,
давление в реакторе - 3,50 МПа.
Объём паров смеси сырья и циркулирующего газа,
проходящих через сечение реактора определяем по формуле:
Vсм. = Vc + Vвсг
(17)
где Vc - сырья, м3/с; всг - объём
циркулирующего водородсодержащего газа, м/с.
(18)
где t - средняя температура в реакторе (в данном
случае 420 °С );
Р0 - атмосферное давление, равное 0,1
МПа;
P - рабочее давление
в аппарате ( 3,5 МПа) ;- коэффициент сжимаемости;i - расход i-го
компонента, кг/час;
Мi - молекулярная масса i-го
компонента.
Аналогичное выражение для ВСГ имеет вид:

(19)
Коэффициент сжимаемости для сырья рассчитываем
через приведенные параметры процесса ( Тпр, Рпр).
Тпр = Т/Ткр (20)
Рпр =Р/Ркр , (21)
где Ткр и Ркр -
критическая температура сырья, рассчитанная по правилу аддитивности через
критические параметры индивидуальных компонентов, значения которых приведены в
литературе.
= 0,990 + (Рпр -0,0681) / (-26,481 Тпр2
+ 49,11 Тпр - 25,17) =0,90
Для ВСГ коэффициент сжимаемости газов может быть
принят равным 1, так как водород относится к несжимаемым в этих условиях газам.
(22)
где u
- линейная скорость движения сырья и ВСГ, м/с;
Из практических данных принимаем u
= 2 м/с.
Рассчитываем объём катализатора (м3) в реакторе:
(23)
где w
- объёмная скорость подачи сырья, ч-1;
w = 1,8 ч-1;
rс - плотность сырья.
Расчеты сводим в таблицу 11.
Таблица 11 - Результаты расчёта основных
параметров реакторного блока
|
компоненты
|
Мi
|
Gi
|
Gi/Mi
|
VC
|
VВСГ
|
VСМ
|
S
|
VK
|
|
i-C5H12
|
72,00
|
6875,00
|
95,49
|
0,04
|
|
|
|
|
|
н-C5H12
|
72,00
|
11000,00
|
152,78
|
0,06
|
|
|
|
|
|
i-C6H14
|
86,00
|
6550,00
|
76,16
|
0,03
|
|
|
|
|
|
н-C6H14
|
86,00
|
575,00
|
6,69
|
0,003
|
|
|
|
|
|
Итого:
|
|
25000,00
|
331,11
|
0,14
|
1,38
|
1,53
|
0,76
|
1,34
|
|
компоненты
|
Мi
|
Gi
|
Gi/Mi
|
VВСГ
|
|
водород
|
2,00
|
4034,94
|
2017,47
|
0,91
|
|
моноэтаноламин
|
61,00
|
656,09
|
10,76
|
0,005
|
|
Итого:
|
|
4691,03
|
2028,23
|
0,92
|
Диаметр реактора (м) рассчитываем по формуле:
(24)
где S
- площадь поперечного сечения реактора, м2;
р - 3,14.
Принимаем диаметр равный 1м.
Общую высоту слоя (м) реактора во всех реакторах
определяем по формуле:
(25)
Принимаем число реакторов n = 3, тогда высоту
слоя (м) катализатора в каждом реакторе рассчитываем:

(26)
Высоту цилиндрической части (м) реактора
рассчитываем:

(27)
Высота реактора (м) связана с диаметром и
определяется:
Н = h2 + D = 0,88 +1 = 1,88 м.
.5 Гидравлический расчёт реактора
Определяем фактор формы шара, равновеликого по
объему грануле катализатора:

(28)
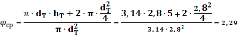
где dт = 2,8±0,2- диаметр таблетки
катализатора, мм;т = 5±2 - высота таблетки катализатора, мм.
Определяем объем таблетки
катализатора, мм3:
V=(р∙dт2 ∙hт)/4=
30,77 мм3 (29)
Определяем диаметр равновеликого по объему шара,
мм:
dр.ш.=(V/п)1/3 =2,14 мм (30)
Определяем эквивалентный диаметр гранулы
катализатора, мм:
dэ=dр.ш./ ц ср =
0,94 мм (31)
Определяем средне-эквивалентный объем смеси, м3/с,
согласно формуле:

(32)
Vвх = 0,14 м3/с;
Vвых = 0,16 м3/с
Vср = (Vвх
+ Vвых)/2 = 0,15 м3/с
(33)
Определяем скорость смеси (м/с) на входе и
выходе из слоя катализатора и их среднее значение:
wвх.=VВХ/р∙R= 0,0052
м/с (34)
wвых.=VВЫХ/р∙R=
0,0059 м/с (35)
wср=(wвх+wвых)
/ 2 = 0,0055 м/с (36)
Определяем динамическую вязкость смеси (Па∙с):
m =Т(6,6-2,25∙lg∙M)∙10-8
(37)
где Т-температура ввода сырья, К,
М - средняя молекулярная масса углеводородов
сырья и продуктов.
m =1,6578∙ Е-05
Определяем линейную скорость потока:
u = (4∙Vср)/(р∙D2) = 0,19
м/с (38)
где Т-температура ввода сырья, К,
М - средняя молекулярная масса углеводородов
сырья и продуктов.
Перепад давления в слое катализатора рассчитываем
по формуле Эргуна:

(39)
DР - перепад
давления в слое катализатора, Па;1 - высота слоя катализатора, м;-
средний диаметр частиц, м;- линейная скорость потока, м/с;- плотность потока
при рабочих условиях, кг/м3;
m -
динамическая вязкость парогазовой смеси, Па∙с;ускорение свободного
падения, м/с2;
e -
порозность слоя катализатора
Порозность
слоя катализатора определяется по формуле:
e = 1 - gн/gк
(40)
где gн
- насыпная плотность катализатора, кг/м3;
gк - кажущаяся
плотность катализатора, кг/м3.
DР / h1
= 0,36
DР = 0,21 Па
изомеризация катализатор реактор
Заключение
Процесс изомеризации является
одним из самых рентабельных способов получения высокооктановых компонентов бензинов
с улучшенными экологическими свойствами. Актуальность установок изомеризации
также возросла с введением новых сверхжестких ограничений на экологические
свойства автомобильных бензинов, включая ограничение по фракционному составу,
содержанию ароматических соединений и бензола. Установки изомеризации позволяют
получить топливо с характеристиками, отвечающими жестким стандартам ЕВРО-4 и
ЕВРО-5. Интенсивное наращивание мощностей процесса изомеризации осуществляется
за счет реконструкции существующих и строительства новых установок.
Одновременно проводятся модернизация и интенсификация действующих установок
изомеризации под процессы с рециркуляцией непревращенных нормальных парафинов.
Сырьём изомеризации являются легкие бензиновые фракции с концом кипения от 62
°С до 85 °C. Повышение октанового числа достигается за счёт увеличения доли
изопарафинов. Процесс осуществляется, как правило, в одном или двух реакторах
при температуре, в зависимости от применяемой технологии, от 110 до 450 °C и
давлении до 35 атм.
Список использованных источников
1. Адельсон С.В., Вишнякова Т.П.,
Паушкин Я.М. Технология нефтехимического синтеза. М.: Химия, 1985.
2. Кузнецов А.А., Кагерманов С.М.,
Судаков Е.Н. Расчеты процессов и аппаратов нефтеперерабатывающей
промышленности. Л.: Химия, 1974.
3. Николаев В.В., Бусыгин И.Г.,
Бусыгина Н.В., Паламарчук В.С., Туманян Б.П. Основные процессы химической
переработки газа. М.: Недра, 1996.
. Сарданашвили А.Г., Львова
А.И. Примеры и задачи по технологии переработки нефти и газа. М.: Химия, 1973.