Статистико-экономический анализ развития производства на предприятии СПК 'им. Красина'
СОДЕРЖАНИЕ
ВВЕДЕНИЕ
ОРГАНИЗАЦИОННО - ЭКОНОМИЧЕСКАЯ
ХАРАКТЕРИСТИКА ПРЕДПРИЯТИЯ
АНАЛИЗ РАЗВИТИЯ РАСТЕНИЕВОДСТВА
АНАЛИЗ РАЗВИТИЯ ЖИВОТНОВОДСТВА
КОРРЕЛЯЦИОННЫЙ АНАЛИЗ ВЗАИМОСВЯЗИ
ВЫВОДЫ И ПРЕДЛОЖЕНИЯ
СПИСОК ЛИТЕРАТУРЫ
ВВЕДЕНИЕ
Сельское хозяйство - это одна из важнейших
отраслей материального производства. Задача сельскохозяйственного производства
в качестве одной из сфер АПК - это обеспечение снабжения населения продуктами
питания, обеспечение продовольственной безопасности страны. Результаты
производственной, коммерческой, финансовой и других видов хозяйственной
деятельности зависят от разнообразных факторов, находящихся в разной степени
связи между собой и итоговыми показателями. Их действие и взаимодействие
различны по своей силе, характеру и времени. Причины или условия, порождающие
эти факторы, также различны. Не вскрывая и не оценивая направление, активность
и время их действия, нельзя обеспечить эффективность производства. Качественно
выполнить эту сложную работу можно только с помощью комплексного анализа
хозяйственной деятельности, отвечающего современным требованиям развития
рыночной экономики.
Под статистикой понимают совокупность цифровых
сведений, характеризующих состояние массовых явлений и процессов общественной
жизни. Также - это статистические данные, представленные в отчетности
предприятий, организаций, отраслей экономики, публикуемые в сборниках,
справочниках периодической печати и в сети Интернет, которые являются
результатом статистической работы.
Наличие систематической, полной и достоверной
информации о происходящих процессах является необходимым условием принятия
эффективных управленческих решений на государственном и региональном уровнях.
Важной задачей на современном этапе развития государственной статистики
является внедрение Общероссийского классификатора видов экономической
деятельности (ОКВЭД). До настоящего времени обеспечение проведения
статистического наблюдения базировалось на Общероссийском классификаторе
отраслей народного хозяйства (ОКОНХ). Единицей классификации в ОКОНХ является
состоящее на самостоятельном балансе предприятие. Объектом классификации в
ОКВЭД является вид экономической деятельности, который характеризуется
затратами на производство, процессом производства и выпуском продукции
(оказанием услуг).
Цель написания данной курсовой: проведение
статистико-экономического анализа развития производства на предприятии - СПК
(колхоз) «им. Красина», которое является объектом исследования. А предметом
исследования являются показатели анализа развития производства данной организации.
Исходя из цели можно выделить следующие задачи
написания курсовой:
· дать организационно-экономическую
характеристику предприятия
· провести анализ развития
растениеводства
· провести анализ развития
животноводства
· провести корреляционный анализ взаимосвязи
При написании работы применялись
статистико-экономические методы с соответствующими приемами: метод
аналитического выравнивания, метод экстраполяции, индексный анализ,
корреляционно-регрессионный анализ, метод обобщений для обоснования наиболее эффективных
производственных ресурсов, для определения экономического состояния организации
и для проведения полноценного анализа деятельности объекта исследования за
выбранный период с 2009 по 2011 год. Источниками информации информации являются
годовые бухгалтерские отчетности СПК им. Красина за указанный период
исследования.
1 ОРГАНИЗАЦИОННО - ЭКОНОМИЧЕСКАЯ ХАРАКТЕРИСТИКА
ПРЕДПРИЯТИЯ
В число наиболее значимых предприятий по объемам
производимой продукции входит СПК им. Красина, который занимается выращиванием
сельскохозяйственных культур, производством мяса и молока. Местонахождение
предприятия (адрес) - 641335, Курганская область, Кетовский район, д. Становая.
Кетовский район - самый крупный из районов области по численности населения,
самый густонаселённый. Расположен в центральной части Курганской области.
Основу экономики района составляет сельскохозяйственное производство.
Сельскохозяйственные угодья в районе занимают площадь в 131304 га.
На размер предприятия оказывают влияние
следующие факторы:
1) природные
условия - рельеф сельскохозяйственных угодий, конфигурация почвы;
2) уровень
механизации - способствует укреплению сельскохозяйственных предприятий (чем
выше уровень, тем больше размеры предприятия);
3) экономия
на амортизации и управленческих расходах - связаны с увеличением производства;
4) транспортные
условия - ограничивают укрупнение и противодействуют ему
Концентрация - процесс сосредоточения средств
производства и рабочей силы, ведущий к увеличению производства
сельскохозяйственной продукции. Степень концентрации определяется размерами
производства. Поэтому нужно составить и рассчитать таблицу размеров
производства и определить чем предприятие располагает, и какие произошли
отклонения на отчетный год по сравнению с предыдущими.
Таблица 1 - Динамика размеров производства
|
Показатель
|
2009
г.
|
2010
г.
|
2011
г.
|
2011
г. к 2009 г. %
|
|
Площадь
с.-х. угодий - всего, га
|
4081,0
|
4081,0
|
4081,0
|
100,0
|
|
в
т.ч.: пашня
|
3375,0
|
3375,0
|
3375,0
|
100,0
|
|
сенокосы
|
12,0
|
12,0
|
12,0
|
100,0
|
|
пастбища
|
694,0
|
694,0
|
694,0
|
100,0
|
|
Среднегодовая
стоимость основных производственных фондов, тыс. р.
|
39081,5
|
43279,5
|
45253,0
|
115,8
|
|
Количество
энергоресурсов, л. с.
|
10087,0
|
8318,0
|
8162,0
|
80,9
|
|
Среднегодовая
численность работников, чел.
|
74,0
|
70,0
|
60,0
|
81,1
|
|
Поголовье
скота, усл. гол.
|
507,0
|
466,8
|
382,4
|
75,4
|
|
Сумма
валовой продукции (по себестоимости) - всего, тыс. р.
|
34369,0
|
30071,0
|
45083,0
|
131,2
|
|
в
т.ч. растениеводства
|
18449,0
|
13893,0
|
30482,0
|
165,2
|
|
животноводства
|
15920,0
|
16178,0
|
14601,0
|
91,7
|
В целом можно сделать вывод, что в 2011 г. по
сравнению с 2009 г. площадь с.-х. угодий осталась неизменной и составила 4081
га, среднегодовая стоимость основных производственных фондов увеличилась на 15%
в отчетном году по сравнению с базисным и сумма валовой продукции увеличилась
на 31,2%,значительное уменьшение пришлось на поголовье скота и составило 24,6%.
Для того, чтобы определить направленность
предприятия и что именно оно производит необходимо рассчитать состав товарной
продукции, а чтобы определить какой процент та или иная продукция занимает в
растениеводстве, животноводстве и в целом по хозяйству рассчитываем удельный
вес, т. е. структуру товарной продукции. Товарная продукция - объем всей
произведенной предприятием за определенный период (чаще за год) конечной
продукции, исчисленный в денежном выражении.
На предприятии из всей товарной продукции больше
всего произвели пшеницы - 31,5% и молока - 40,9% на протяжении исследуемого
периода, но пшеницы больше всего было в 2011 г. - 48,4%, а молока в 2010 г. -
44,1%. В целом производство было стабильным на протяжении трех лет, с
небольшими отклонениями в ту или иную сторону.
Таблица 2 - Состав и структура товарной
продукции
|
Отрасль,
вид продукции
|
2009
г.
|
2010
г.
|
2011
г.
|
В
среднем за три года
|
|
сумма,
тыс. р.
|
удельный
вес, %
|
сумма,
тыс. р.
|
удельный
вес, %
|
сумма,
тыс. р.
|
удельный
вес, %
|
сумма,
тыс. р.
|
удельный
вес, %
|
|
Зерновые
и зернобобовые - всего
|
5686
|
31,5
|
5661
|
33,9
|
9253
|
48,4
|
6866,7
|
37,9
|
|
в
т. ч. пшеница
|
5686
|
31,5
|
5661
|
33,9
|
9253
|
48,4
|
6866,7
|
37,9
|
|
Прочая
продукция растениеводства
|
40
|
0,2
|
63
|
0,4
|
36
|
0,2
|
46,3
|
0,3
|
|
Итого
по растениеводству
|
5726
|
31,7
|
5724
|
34,3
|
9289
|
48,6
|
6913
|
38,2
|
|
Скот
и птица в живой массе - всего
|
4344
|
24,1
|
3218
|
19,3
|
4024
|
21,0
|
3862
|
21,5
|
|
в
т. ч. к.р.с.
|
4344
|
24,1
|
3218
|
19,3
|
4024
|
21,0
|
3862
|
21,5
|
|
Продолжение
Таблицы 2
|
|
Молоко
|
7370
|
40,9
|
7361
|
44,1
|
5171
|
27,1
|
6635
|
37,4
|
|
Прочая
продукция животноводства
|
53
|
0,3
|
48
|
0,3
|
79
|
0,4
|
60
|
0,3
|
|
Продукция
животноводства собственного производства
|
543
|
3,0
|
333
|
2,0
|
549
|
2,9
|
475
|
2,6
|
|
Итого
по животноводству
|
12310
|
68,3
|
10963
|
65,7
|
9823
|
51,4
|
11032
|
61,8
|
|
Всего
по хозяйству
|
18036
|
100
|
16687
|
100
|
19112
|
100
|
1794,5
|
100
|
По данным таблицы определяется специализация и
направление деятельности предприятия. Обобщающим показателем, характеризующим
уровень специализации, является коэффициент специализации, который
рассчитывается по формуле:

(1)
где У -удельный вес отдельных видов
продукции в общей сумме, %
Н - порядковый номер отдельных видов
продукции по удельному весу в ранжированном ряду.
В данном случае коэффициент
специализации средний. Следовательно можно сделать вывод, что предприятие
специализируется как в растениеводстве так и в животноводстве, в основном
занимается производством зерна и молока.
Уровень интенсивности
сельскохозяйственного производства отражает степень концентрации средств
производства и труда на одной и той же земельной площади. Следовательно,
основные производственные фонды на 100 га с.-х. угодий в 2011 г. увеличились на
151,3 тыс. р. или на 15,8%, также увеличились и затраты на основное
производство на 5,4%. Энергообеспеченность снизилась на 46 л. с. или на18,7%,
возможно в связи с уменьшением машинно-тракторного парка, т. к. некоторые
машины и агрегаты износились и им требуется капитальный ремонт или замена на
более новый транспорт.
Таблица 3 - Уровень интенсивности
с.-х. производства
|
Показатель
|
2009
г.
|
2010
г.
|
2011
г.
|
2011
г. к 2009 г., %
|
|
Приходится
на 100 га с.-х. угодий, тыс. р.:
|
|
|
|
|
|
основных
производственных фондов
|
957,6
|
1060,5
|
1108,9
|
115,8
|
|
затрат
на основное производство
|
828,5
|
849,4
|
873,4
|
105,4
|
|
энергообеспеченность,
л. с.
|
246,0
|
203,8
|
200,0
|
81,3
|
|
Плотность
поголовья, усл. гол.
|
12,4
|
11,4
|
9,4
|
75,7
|
|
Затраты
труда на 100 га с.-х. угодий, тыс. чел.-ч
|
3,0
|
2,6
|
2,3
|
77,7
|
Экономическая эффективность сельского хозяйства
в значительной степени зависит от уровня интенсивности производства. В
последние годы наметилась тенденция к снижению интенсивности сельского
хозяйства, хотя стоимостные показатели резко возросли, это объясняeтcя
неоднократной переоценкой основных производственных фондов, повышением цен на
материалы и другие cpедства производства, увеличением заработной платы. Сумма
валовой продукции увеличилась на 31,7% в 2011 г. по сравнению с 2009 г.
Работники стали эффективней и качественней производить, т. е. производство
продукции на одного работника в 2011 г. увеличилось и составило 61,8% по
сравнению с 2009 г. В следствии этого урожайность увеличилась на 127,3%,
среднесуточный прирост живой массы на 62,1%, фондоотдача на 11,1% в 2011 г. по
сравнению с 2009 г.. Исходя из того что эффективность в основном наблюдалась
положительная то и прибыль увеличилась на 5,9%, а рентабельность увеличилась на
11,2% в 2011 г. по сравнению с 2009 г. и в 2011 г. она составила 20,4%
Таблица 4 - Эффективность интенсификации
производства
|
Показатель
|
2009
г.
|
2010
г.
|
2011
г.
|
2011
г. к 2009 г., %
|
|
Сумма
валовой продукции на 100 га с.-х. угодий, тыс. р.
|
838,5
|
736,8
|
1104,7
|
131,7
|
|
в
т. ч.: растениеводства
|
450,1
|
340,4
|
746,9
|
165,9
|
|
животноводства
|
388,4
|
396,4
|
357,8
|
92,1
|
|
Произведено
продукции на одного работника, тыс. р.
|
464,4
|
429,6
|
751,4
|
161,8
|
|
Произведено
на 100 га с.-х. угодий:
|
|
|
|
|
|
молока
|
221,3
|
216,0
|
170,3
|
77,0
|
|
прироста
живой массы к.р.с.
|
18,6
|
15,4
|
12,6
|
67,8
|
|
Произведено
на 100 га пашни зерна
|
806,7
|
364,8
|
1880,3
|
233,1
|
|
Урожайность
зерна, ц
|
11,3
|
9,0
|
25,6
|
227,3
|
|
Среднегодовой
удой от одной коровы, ц
|
47,2
|
45,9
|
33,1
|
70,1
|
|
Продолжение
Таблицы 4
|
|
Среднесуточный
прирост живой массы к.р.с., грамм
|
514,2
|
442,7
|
466,3
|
162,1
|
|
Фондоотдача,
р.
|
0,9
|
0,7
|
1,0
|
111,1
|
|
Себестоимость
1 ц, р.:
|
|
|
|
|
|
зерна
|
411,0
|
611,0
|
198,0
|
48,2
|
|
молока
|
990
|
1100
|
1285
|
129,8
|
|
Прироста
живой массы к.р.с.
|
7798,5
|
8621,5
|
9484,0
|
121,6
|
|
Прибыль
(+), убыток (-), тыс. р.
|
80,7
|
75,4
|
85,5
|
105,9
|
|
Рентабельность,
%
|
18,3
|
16,0
|
20,4
|
111,2
|
АНАЛИЗ РАЗВИТИЯ РАСТЕНИЕВОДСТВА
Растениеводство играет значительную роль в
развитии предприятия, оно приносит доход и является рентабельным. Вся земля,
закрепленная за хозяйством, составляет единый земельный фонд, который
представлен различными угодьями. К с.-х. угодьям относят земли, пригодные для
производства с.-х. продукции: пашня, многолетние насаждения, сенокосы,
пастбища. Процентное соотношение различных видов земельных угодий в составе
общей их площади называется структурой земельных фондов или с.-х. угодий. Для
того, чтобы определить какими землями располагает предприятие рассчитываем
состав земельного фонда и структуру.
За исследуемый период состав земельного фонда не
изменился, наибольшую площадь занимает пашня - 82,3%, а наименьшую сенокосы -
0,29%.
Таблица 5 - Состав и структура земельного фонда
в среднем за три года
|
Показатели
|
Площадь,
га
|
Структура
земельного фонда, %
|
|
Общая
земельная площадь
|
4099
|
100
|
|
в
т. ч. с.-х. угодий
|
4081
|
99,56
|
|
из
них пашня
|
3375
|
82,33
|
|
сенокосы
|
0,29
|
|
пастбища
|
694
|
16,93
|
|
Прочие
земли
|
18
|
0,44
|
Посевная площадь - это участки пахотных земель,
занятые под посев разнообразных сельскохозяйственных культур. Целесообразно
обратить внимание на то, что общая посевная площадь с.-х.организации в динамике
по разным причинам может существенно различаться, нередко превышая пахотную
площадь.
Таблица 6 - Состав и структура посевных площадей
|
Культура
|
Посевная
площадь, га
|
Структура,
%
|
Отклонение
(+; -)
|
|
2009
г.
|
2010
г.
|
2011
г.
|
2009
г.
|
2010
г.
|
2011
г.
|
по
посевной площади
|
по
структуре
|
|
Зерновые
и зернобобовые
|
2416
|
2146
|
2472
|
78,9
|
69,3
|
81,1
|
+56
|
+2,2
|
|
в
т. ч. яровые зерновые
|
2400
|
2090
|
2372
|
78,4
|
67,5
|
77,8
|
-28
|
-0,6
|
|
зернобобовые
|
16
|
56
|
100
|
0,5
|
1,8
|
3,3
|
+84
|
+2,8
|
|
Многолетние
травы
|
-
|
109
|
109
|
-
|
3,5
|
3,6
|
+109
|
+3,6
|
|
Однолетние
травы
|
614
|
771
|
413
|
20,1
|
24,9
|
13,5
|
-201
|
-6,6
|
|
Кукуруза
на силос и зеленый корм
|
30
|
70
|
55
|
1,0
|
2,3
|
1,8
|
+25
|
+0,8
|
|
Всего
по растениеводству
|
3060
|
3096
|
3049
|
100
|
100
|
100
|
-11
|
-
|
В основном колхоз занимается выращиванием яровых
зерновых, наибольший посев наблюдался в 2011 г. - 2472 га, а в 2010 г. он резко
сократился и составил - 2146 га. Наименьшую долю в структуре посевной площади
занимает кукуруза на силос и зеленый корм и в 2009 г. был 1%, а в 2011 на 0,8%.
Т. к. зерно составляет наибольший вес в
структуре посевных площадей, то следует рассчитать динамику его урожайности за
5 лет, чтобы проанализировать изменения за этот период и определить в каком
году была наибольшая урожайность.
Таблица 7 - Показатели ряда динамики урожайности
зерна
|
Год
|
Абсолют-ный
уровень, ц
|
Абсолютный
прирост, ц
|
Темп
роста, %
|
Темп
прироста, %
|
Абсолютное
значение 1% прироста
|
|
|
базис.
|
цепной
|
базис.
|
цепной
|
базис.
|
цепной
|
базис.
|
цепной
|
|
2007
|
17,5
|
-
|
-
|
100
|
100
|
-
|
-
|
-
|
-
|
|
2008
|
15,2
|
-2,3
|
-2,3
|
86,8
|
86,8
|
-13,2
|
-13,2
|
0,175
|
0,175
|
|
2009
|
11,3
|
-6,2
|
-3,9
|
64,6
|
74,3
|
-35,4
|
-25,7
|
0,175
|
0,152
|
|
2010
|
9,0
|
-8,4
|
-2,2
|
51,7
|
80,1
|
-48,3
|
-19,9
|
0,175
|
0,113
|
|
2011
|
25,6
|
8,1
|
16,5
|
146,3
|
282,9
|
46,3
|
182,9
|
0,175
|
0,905
|
Вывод: из расчетов видно, что в 2010 г. по
сравнению с 2009 г. урожайность зерна снизилась на 8,4 ц или на 48,3 %, а в
2011 г. по сравнению с 2010 г. урожайность зерна увеличилась на 8,1 ц или на
46,3 %.
Для обобщающей характеристики динамики
урожайности рассчитывают средний показатели ряда динамики:
) Средний абсолютный уровень

(2)
где 
- средний абсолютный уровень, ц
У - абсолютный уровень, ц
n - число
показателей
) Средний абсолютный прирост

, (3)
где 
- средний абсолютный прирост
Уn - последний
показатель в ряду динамики
У1 - первый показатель в ряду
динамики
) Средний темп роста

, (4)
где 
- средний темп роста
) Средний темп прироста

, (5)
Вывод: урожайность зерна в среднем
за год составляет 15,7 ц и ежегодно увеличивается в среднем на 2,025 ц или на
9,1%.
Далее анализируем урожай и
урожайность зерновых и зернобобовых культур в базисном и отчетном году с
помощью общих и индивидуальных индексов.
Таблица 8 - Статистика урожая и
урожайности зерновых и зернобобовых культур
|
Культура
|
Посевная
площадь, га
|
Урожайность,
ц
|
Валовой
сбор, ц
|
|
базис.
|
отчет.
|
базис.
|
отчет.
|
базис.
|
отчет.
|
условн.
|
|
Яровые
зерновые
|
2400
|
2372
|
11,25
|
26,00
|
27003
|
61703
|
26685
|
|
Зернобобовые
|
16
|
100
|
13,80
|
17,50
|
222
|
1758
|
380
|
|
Итого
|
2416
|
2472
|
-
|
-
|
27225
|
63461
|
28065
|
Индивидуальные индексы посевной площади,
урожайности и валового сбора по яровым зерновым:


(6)


, (7)


(8)

=
2,285=0,988
2,311
Посевная площадь под яровые зерновые
уменьшилась на 1,2 % или на 28 га. Урожайность яровых зерновых увеличилась на
131,1 ц или на 14,75 ц. Валовой сбор яровых зерновых увеличился на 128,5 ц или
на 34700 ц.
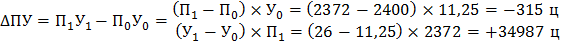
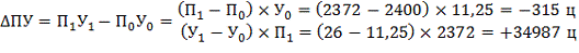
Измерение валового сбора яровых в
общем и по факторам можно рассчитать по формуле:

(9)
В общем посевная площадь увеличилась
на 36236 ц. Под влиянием посевной площади валовой сбор уменьшился на 315 ц. Под
влиянием урожайности валовой сбор увеличился на 34987 ц.
Для того, чтобы определить изменение
посевной площади, урожайности и валового сбора в целом по группе зерновых и
зернобобовых рассчитывают общие индексы, но в начале следует рассчитать среднюю
урожайность:
· базисную

(10)
· отчетную

(11)
· условную

(12)
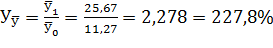
Для того, чтобы определить как изменилась
средняя урожайность зерновых и зернобобовых рассчитывают индекс урожайности
переменного состава:


(13)
На изменение средней урожайности
влияют 2 фактора:
1) изменение урожайности отдельных культур
) изменение структуры посевных площадей
Влияние первого фактора можно определить с
помощью индекса фиксированного состава, который рассчитывается по формуле:


(14)
Влияние второго фактора определяют с
помощью индекса структуры, который рассчитывается по формуле:


(15)

2,278=2,262
1,007
Вывод: средняя урожайность зерновых
и зернобобовых увеличилась в среднем на 127,8% или на 14,4 ц. Изменение
урожайности отдельных культур повысила среднюю урожайность на 126,2% или на
14,31 ц. Изменение структуры посевных площадей привело к увеличению средней
урожайности на 0,7% или на 0,08 ц.
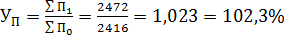
Далее проводится анализ валового
сбора. Изменение валового сбора рассчитывают с помощью общего индекса валового
сбора:


(16)
На изменение валового сбора влияют 3
фактора:
1) изменение урожайности отдельных культур
) изменение структуры посевных площадей
) изменение общего размера посевной
площади
Влияние урожайности отдельных культур
рассчитывают с помощью индекса фиксированного состава:


(17)
Влияние структуры посевных площадей
рассчитывают с помощью индекса структуры:


(18)
Влияние общего размера посевной
площади рассчитывают с помощью индекса посевной площади:


(19)

(20)

2,331 = 2,261 
1,007 
1,023
Вывод: урожайность отдельных культур
повысилась в среднем на 126,1%, что привело к увеличению валового сбора на
35396 ц. Изменение структуры посевных площадей на 0,7% привело к увеличению
валового сбора на 205,6 ц. Увеличение общего размера посевной площади привело к
увеличению валового сбора на 631,12 ц.
АНАЛИЗ РАЗВИТИЯ ЖИВОТНОВОДСТВА
Так как предприятие имеет средний
коэффициент специализации, следовательно и животноводство очень важно для
развития производства, также как и растениеводство приносит доходы и является
выгодным (рентабельным). Сферу животноводства составляют животные и на данном
предприятии в основное стадо входят коровы молочного направления, также имеются
лошади. Для того, чтобы определить сколько конкретно в наличии предприятия
животных рассчитываем состав и структуру стада. Структура стада - это
процентное соотношение количества животных разных половых и возрастных групп к
общему поголовью стада. Стадо состоит из следующих половозрастных групп:
коровы, быки-производители, нетели, телки до года, телки старше года, бычки до
года.
Таблица 9 - Состав и структура стада
|
Вид
скота
|
Поголовье
на начало года, гол.
|
Структура
стада, %
|
Отклонение
(+,-)
|
|
физическое
|
условное
|
|
|
|
базис.
|
отчет.
|
базис.
|
отчет.
|
базис.
|
отчет.
|
по
поголовью
|
по
структуре
|
|
КРС
- всего
|
687
|
599
|
687
|
599
|
76,59
|
71,82
|
-88
|
-4,77
|
|
в
т. ч. коровы
|
192
|
212
|
192
|
212
|
21,40
|
25,42
|
+20
|
+4,02
|
|
Лошади
|
18
|
23
|
18
|
23
|
2,01
|
2,76
|
+5
|
+0,75
|
|
Всего
|
-
|
-
|
897
|
834
|
100
|
100
|
-63
|
-
|
Исходя из таблицы можно сделать вывод, что
предприятие занимается в основном выращивание к.р.с., из числа которых коровы
составляют почти половину - 212 гол. Следовательно в основном предприятие
занимается молочным направлением. Для определения динамики надоя молока за 5
лет рассчитываем показатели ряда динамики.
Таблица 10 - Показатели ряда динамики надоя
молока на одну корову
|
Год
|
Абсолютный
уровень, ц
|
Абсолютный
прирост, ц
|
Темп
роста, %
|
Темп
прироста, %
|
Абсолютное
значение 1% прироста
|
|
|
базис.
|
цепной
|
базис.
|
цепной
|
базис.
|
цепной
|
базис.
|
цепной
|
|
2007
|
40,9
|
-
|
-
|
100
|
100
|
-
|
-
|
-
|
-
|
|
2008
|
38,2
|
-2,7
|
-2,7
|
93,4
|
93,4
|
-6,6
|
-6,6
|
0,409
|
0,409
|
|
2009
|
47,2
|
6,3
|
9,0
|
115,5
|
123,6
|
15,5
|
23,6
|
0,409
|
0,382
|
|
2010
|
45,9
|
-1,3
|
112,2
|
97,2
|
12,2
|
-2,8
|
0,409
|
0,472
|
|
2011
|
33,1
|
-7,8
|
-12,8
|
80,9
|
72,1
|
-19,1
|
-27,9
|
0,409
|
0,459
|
Вывод: из расчетов видно, что в 2009 г. по
сравнению с 2008 г. надой молока увеличился на 6,3 ц или на 15,5%. Самая
большая потеря молока была в 2011 г. - по сравнению с 2010 г. надой молока
снизился на 7,8 ц или на 19,1%.
Для обобщающей характеристики динамики надоя
молока рассчитывают средние показатели ряда динамики:
1) Средний абсолютный уровень

(21)
2) Средний абсолютный прирост

, (22)
) Средний темп роста

, (23)
) Средний темп прироста

, (24)
Вывод: надой молока в среднем за год
составляет 41,1 ц. Ежегодно надой молока снижается на 1,9 ц или на 5,1%.
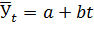
Метод аналитического выравнивания и
экстраполяции позволит выявить тенденцию изменения надоя молока и определить
ожидаемый уровень на 2012 г. и на 2013 г.
Таблица 11 - Аналитическое
выравнивание продуктивности основного стада молочного скота
|
Год
|
Продуктивность,
ц
|
Порядковый
номер года
|
Расчетные
величины
|
|
|
|
t2
|
У×t
|
|
|
2007
|
40,9
|
-2
|
4
|
-81,8
|
42,6
|
|
2008
|
38,2
|
-1
|
1
|
-38,2
|
41,8
|
|
2009
|
47,2
|
0
|
0
|
0
|
41,1
|
|
2010
|
45,9
|
1
|
1
|
45,9
|
40,3
|
|
2011
|
33,1
|
2
|
4
|
66,2
|
39,5
|
|
Итого
|
205,3
|
0
|
10
|
-7,9
|
205,3
|

, (25)
где t - период
времени.
Следует решить систему уравнений:




)=41,06+1,58=42,64
Для большей наглядности полученных
данных целесообразно построить график и на нем отразить данные.
Рисунок 1 - Аналитическое
выравнивание продуктивности основного стада молочного скота.
Экстраполяция - приближенный расчет
неизвестных уровней динамического ряда, лежащих за его пределами, т.е.
продление в будущем тенденции, наблюдавшейся в прошлом. Такая экстраполяция
справедлива, если развивается в достаточно стабильных условиях, без резких
скачков.
Экстраполяция на последующие 2 года:
,
На практике результат экстраполяции
прогнозируемых явлений обычно получают не точечными, а интервальными оценками.
Для определения границ интервалов используют формулу:

(26)
где ta -
коэффициент доверенность Стьюдента

- остаточное среднеквадратическое
отклонение от тренда, скорректированное по числу степеней свободы
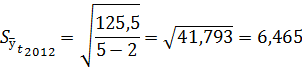
Остаточное среднеквадратическое
отклонение от тренда рассчитывается по формуле:

(27)
где 
- все значения показателей в ряду
динамики

- выровненные показатели в ряду
динамики
n - число
показателей ряда динамики
m - число
параметров модели
Вероятные границы прогнозируемого
явления будут определяться:

(28)
Число степеней свободы равно 3.
Коэффициент доверия Стьюдента ta при доверительной
вероятности 0,95 будет равен 3,1825.
Таблица 12 - Исходные данные для
расчета остаточного среднеквадратического отклонения
|
Год
|
Продуктивность,
ц
|
|
|
 2
|
|
2007
|
40,9
|
42,6
|
-1,7
|
2,9
|
|
2008
|
38,2
|
41,8
|
-3,6
|
13,0
|
|
2009
|
47,2
|
41,1
|
6,1
|
37,2
|
|
2010
|
45,9
|
40,3
|
5,6
|
31,4
|
|
2011
|
33,1
|
39,5
|
-6,4
|
41,0
|
|
Итого
|
205,3
|
20,5
|
-
|
125,5
|
Зная точечную оценку прогнозируемого значения
продуктивности основного стада молочного скота 38,69 для 2012 г. и 37,90 для
2013 г. определяем вероятные границы интервала по формуле № 28:
Следовательно, с вероятностью 0,95 можно
утверждать, что продуктивность основного стада молочного скота в 2012 г.будет
не менее 18,12 ц и не более 59,16 ц.
Продуктивность основного стада молочного скота в
2013 г. будет не менее 17,32 ц и не более 58,47 ц.
Таблица 13 - Динамика объема производства
продукции животноводства на 100 га соответствующих угодий
|
Показатель
|
2009
г.
|
2010
г.
|
2011
г.
|
Структура,
%
|
|
Произведено
на 100 га с.-х. угодий:
|
|
|
|
|
|
молока
|
221,3
|
216,0
|
170,3
|
77,0
|
|
прироста
живой массы к.р.с.
|
18,6
|
15,4
|
12,6
|
67,8
|
|
Данные
в соседнем хозяйстве
|
|
Произведено
на 100 га с.-х. угодий:
|
|
|
|
|
|
молока
|
192,3
|
143,9
|
139,7
|
72,6
|
|
прироста
живой массы к.р.с.
|
10,2
|
-
|
-
|
-
|
Из таблицы видно, что такие показатели как - надой
молока и прирост живой массы к.р.с. снизились в 2011 г. по сравнению с 2009. В
целом 2010 г. в исследуемом предприятии был наиболее продуктивен в отрасли
животноводства, а в растениеводческой отрасли этот год был самым низко
продуктивным по всем показателям. В соседнем хозяйстве надой молока ниже в
среднем за 3 года на 44 ц чем в исследуемом предприятии, а прирост живой массы
вообще наблюдался только в 2009 г.
КОРРЕЛЯЦИОННЫЙ АНАЛИЗ ВЗАИМОСВЯЗИ
Корреляционно-регрессионный анализ - это
классический метод стохастического моделирования хозяйственной деятельности,
изучающий взаимосвязи показателей хозяйственной деятельности, когда зависимость
между ними не является строго функциональной и искажена влиянием посторонних,
случайных факторов. Корреляционный метод дает возможность вычислить цифровой
показатель, характеризующий степень связи между двумя или несколькими
признаками - коэффициент корреляции. Фондовооруженность - это показатель,
характеризующий оснащенность работников основными фондами. Фондообеспеченность
- показатель, характеризующий оснащенность предприятия фондами.
Таблица 14 - Корреляционный анализ
|
Выход
зерна на 100 га пашни
|
Урожайность
зерновых и зернобобовых
|
Фондовооруженность
|
Фондообеспеченность
|
|
Y
|
X1
|
X2
|
X3
|
|
1141,7
|
17,8
|
131,6
|
441,8
|
|
836,9
|
13,5
|
190,0
|
470,2
|
|
849,2
|
14,8
|
189,0
|
486,2
|
|
432,5
|
13,2
|
202,5
|
501,2
|
|
718,9
|
10,1
|
240,9
|
554,8
|
|
789,7
|
11,6
|
275,6
|
634,9
|
|
1090,2
|
17,5
|
333,3
|
726,9
|
|
1149,5
|
15,2
|
400,6
|
834,4
|
|
806,7
|
11,3
|
528,1
|
957,6
|
|
364,8
|
9,0
|
618,3
|
1060,5
|
|
1880,3
|
25,6
|
754,2
|
1108,8
|
|
1801,2
|
26,1
|
366,8
|
726,2
|
|
362,3
|
7,4
|
327,3
|
713,6
|
|
Продолжение
таблицы 14
|
|
577,3
|
11,5
|
287,3
|
655,2
|
|
779,4
|
15,4
|
263,7
|
601,5
|
|
1051,5
|
18,8
|
198,2
|
476,9
|
|
761,0
|
13,7
|
148,4
|
368,2
|
|
606,5
|
10,8
|
152,7
|
375,0
|
|
700,2
|
13,1
|
151,6
|
364,8
|
|
404,7
|
9,2
|
135,0
|
354,4
|
ВЫВОД ИТОГОВ
|
Регрессионная
статистика
|
|
Множественный
R
|
0,954116
|
|
R-квадрат
|
0,910338
|
|
Нормированный
R-квадрат
|
0,893527
|
|
Стандартная
ошибка
|
135,5047
|
|
Наблюдения
|
20
|
|
Дисперсионный
анализ
|
|
df
|
SS
|
MS
|
F
|
Значимость
F
|
|
Регрессия
|
3
|
2982799
|
994266,2
|
54,14945
|
1,34E-08
|
|
Остаток
|
16
|
293784,3
|
18361,52
|
|
|
|
Итого
|
19
|
3276583
|
|
|
|
|
Коэффициенты
|
Стандартная
ошибка
|
t-статистика
|
P-Значение
|
Нижние
95%
|
Верхние
95%
|
Нижние
95,0%
|
Верхние
95,0%
|
|
Y-пересечение
|
-404,644
|
194,975
|
-2,075
|
0,054
|
-817,974
|
8,685
|
-817,974
|
8,685
|
|
Переменная
X 1
|
76,35425
|
6,687
|
11,417
|
4,21E
|
62,178
|
90,530
|
62,178
|
90,530
|
|
Переменная
X 2
|
-0,105
|
0,884
|
-0,119
|
0,907
|
-1,980
|
1,769
|
-1,980
|
1,7695
|
|
Переменная
X 3
|
0,323
|
0,646
|
0,500
|
0,624
|
-1,046
|
1,692
|
-1,046
|
1,692
|
. На основании коэффициента корреляции
можно сделать вывод, что выход зерна на 100 га пашни тесно связан с
урожайностью зерновых, фондовооруженностью и фондообеспеченностью, т. к.
величина коэффициента корреляции больше 0,7 и равен 0,954 или 95,4 %.
. Исходя из коэффициента детерминации
можно сделать вывод, что изменение выхода зерна на 100 га пашни на 91 % зависит
от изменения урожайности зерновых, фондовооруженности и фондообеспеченности.
Остальные 9 % это влияние неучтенных в модели факторов.
. Проверка модели на адекватность с
помощью F-критерия Фишера:
модель адекватна, т. к. вероятность ошибочно отвергнуть гипотезу меньше 0,05 и
равна 0,000004.
. Составляем уравнение регрессии:
Y=a×X1+b× X2+c× X3+d
Y=76,25-0,10+0,32-404,64
Из уравнения видно, что при увеличении
урожайности зерновых на 1 ц выход зерна на 100 га пашни увеличится на 76,25 ц.
При увеличении фондовооруженности на 1 ед. выход зерна на 100 га пашни снизится
на 0,10 ц. При увеличении фондообеспеченности на 1 % выход зерна на 100 га
пашни увеличится на 0,32 ц.
ВЫВОДЫ ПРЕДЛОЖЕНИЯ
По итогам анализа данной курсовой работы можно
сделать следующие выводы:
. Объект исследования занимается
выращиванием сельскохозяйственных культур, производством мяса и молока. Сумма
валовой продукции увеличилась. Первостепенную роль на предприятии играет
животноводство, которое составляет 61,8 % в структуре товарной продукции, т. е.
конечной продукции в среднем за три года. В животноводстве основной вид
получаемой продукции - молоко, а в растениеводстве - пшеница. Коэффициент
специализации средний. Затраты на основное производство увеличились на 44,9
тыс. р. в 2011 г. по сравнению с 2009 г. Но энергообеспеченность снизилась на
46 л. с. Возможно сократили число двигателей на производстве (например их
износ). Больших отклонений на протяжении исследуемого периода не наблюдалось,
но большинство показателей в 2011 г. стали ниже по сравнению с 2009 г.
. Площадь с.-х. угодий осталась
неизменной - 4081,0 га. Посевные площади под зернобобовые, многолетние травы,
кукурузу на силос увеличились в 2011 г. по сравнению с 2009 г. Также как и
посевные площади в 2011 г. увеличилась урожайность зерна на 8,1 ц, а ежегодно
увеличивается в среднем на 9,1%. Изменение общего размера посевной площади
привело к увеличению валового сбора на 631,12 ц.
. В 2011 г. в животноводстве наблюдался
спад - число к.р.с. уменьшилось на 88 гол., надой молока снизился на 19,1 %.
Ежегодно надой молока снижается на 5,1 %. Наиболее продуктивным был 2010 г. На
основании прогнозной оценки на последующие 2 года расчеты показали что в 2012
г. продуктивность основного стада молочного скоты будет в пределах от 18,12 ц
до 59,16 ц, а в 2013 г. от 17,32 ц до 58,47 ц.
. На основании корреляционного анализа
можно сделать вывод, что на выход зерна на 100 га пашни безусловно влияет и
урожайность и фодообеспеченность и фондовооруженность. Это неотъемлемые
составляющие производства в целом. Гипотеза о адекватности модели верна и может
применяться на производстве. Больше всего выход зерна на 100 га пашни зависит
от урожайности. Урожайность зависит от природно-климатический условий, от
материально-технической базы предприятия, количества специалистов и
квалифицированных работников.
Для того, чтобы развитие производства на данном
предприятии не останавливалось следует принимать следующие мероприятия:
· Увеличивать с.-х. площадь, т.к. она
влияет на валовой сбор зерновых и зернобобовых
· Постепенно переходить на
автоматизацию производства, что позволит снизить затраты труда
· Расширять границы производства, т.е.
заниматься выращиванием овощей, картофеля. Закупить птицу, свиней и начинать
выращивать их на мясо и на приплод.
· Необходимо наличие специалистов,
которые анализируют данные и могут предупредить и предотвратить какие-либо
неблагоприятные условия, которые могли бы существенно оказать негативное
влияние на деятельность предприятия.
СПИСОК ЛИТЕРАТУРЫ
статистический
корреляционный регрессионный анализ
1 Годин
А. М. Статистика: учебник / А. М. Годин. - Дашков и Ко, 2006. - 464 с.
2 Голуб
А. А. Социально-экономическая статистика: учебное пособие / А. А. Голуб. - М.:
ВЛАДОС, 2001. - 272 с.
Гусаров
В. М. Статистика / В. М. Гусаров. - М.: ЮНИТИ-ДАНА, 2002. - 463 с.
Елисеева
И. Н., Юзбашев, М. М. Общая теория статистики / И. Н. Елисеева, М. М. Юзбашев.
- М.: Финансы и статистика, 2004. - 656 с.
Зинченко
А. П. Статистика / А. П. Зинченко. - М.: КолосС, 2007. - 568 с.
Колесникова
И. И. Социально-экономическая статистика: учебное пособие / И. И. Колесникова.
- Мн.: Новое знание, 2000. - 250 с.
Курс
социально-экономической статистики: учебное пособие. Под ред. проф. М. Г.
Назарова. - М.: Финстатинформа, ЮНИТИ-ДАНА, 2000. - 771 с.
Практикум
по общей теории статистики. Под ред. проф. Р. А. Шмойловой. - М.: Финансы и
статистика, 2000. - 416 с.
Сиденко
А. В., Попов, Г. Ю., Матвеева, В. М. Статистика: учебник / А. В. Сиденко, Г. Ю.
Попов, В. М. Матвеева. - М.: Дело и сервис, 2000. - 464 с.
Социальная
статистика. Под ред. Член-корр. РАН И. И. Елисеевой. - М.: Финансы и статистика,
2002. - 480 с.
Теория
статистики: учебник. Под ред. Г. Л. Громыко. - М.: Инфра-М, 2000. - 414 с.
12 Афанасьева
В. Н., Юзбашев М. М. Анализ временных рядов и прогнозирование: учебник / В. Н.
Афанасьева, М. М. Юзбашев. - М.: Финансы и статистика, 2001. - 228 с.
13 Богородская
Н. А. Статистика финансов: учебное пособие / Н. А. Богородская. - М.: Фирма
«Благовест-В», 2005. - 248 с.
Гришин
А. Ф. Статистика: учебное пособие / А. Ф. Гришин. - М.: Финансы и статистика,
2003. - 240 с.
Ефимова
М. Р., Ганченко О. И., Петрова Е. В. Практикум по общей теории статистики:
учебное пособие / М. Р. Ефимова, О. И. Ганченко, О. В. Петрова. - М.: Финансы и
статистика, 2001. - 208 с.
Ефимова
М. Р., Петрова Е. В., Румянцев В. Н. Общая теория статистики: учебник / М. Р. Ефимова,
Е. В. Петрова, В. Н. Румянцев. - М.: Инфра-М, 2000. - 416 с.
Макарова
Н. В., Трофимец В. Я. Статистика в Excel
/ Н. В. Макарова, В. Я. Трофимец. - М.: Финансы и статистика, 2002. - 368 с.
Практикум
по статистике. Под ред. А. П. Зинченко. - М.: Колос, 2001. - 392 с.
Яковлев
В. Б. Статистика. Расчеты в Microsoft
Excel / В. Б. Яковлев. -
М.: КолосС, 2005. - 352 с.
Ярных
Э. А. Статистика финансов предприятий торговли: учебное пособие / Э. А. Ярных.
- М.: Финансы и статистика, 2002. - 352 с.