Статистика цен и инфляции

  • Вид работы:
    Курсовая работа (т)
  • Предмет:
    Эктеория
  • Язык:
    Русский
    ,
    Формат файла:
    MS Word
    82,94 Кб
  • Опубликовано:
    2015-04-03
Вы можете узнать стоимость помощи в написании студенческой работы.
Помощь в написании работы, которую точно примут!

Статистика цен и инфляции















Курсовая работа

Статистика цен и инфляции

Содержание

Введение

. Статистическое изучение цен и инфляции

.1 Статистическое изучение цен

.2 Статистическое изучение инфляции

. Статистическая группировка и прогнозирование уровня инфляции

. Статистический анализ полученных статистических данных об инфляции

Заключение

Список использованных источников

Приложение

Введение


Статистика цен и инфляций является составной частью социально-экономической статистики, она изучает всю систему цен и влияние на неё инфляций, действующую в сфере экономических отношений.

Цена является важнейшим стоимостным измерителем. Цену как объект изучения статистики цен следует рассматривать с позиций макро- и микроэкономики. С позиций макроэкономики на цену воздействуют отраслевые пропорции, системы распределения национального дохода, налогообложения и кредитования, порядок формирования затрат и т.д. С микроэкономических позиций цена рассматривается как механизм, функционирующий на уровне конкретного предприятия, фирмы, с помощью которого можно обеспечить прибыль.

Объектом данной курсовой работы является статистика цен и инфляции.

Цель исследования - рассмотреть статистические методы изучения цен и инфляции.

Задачи:

-   Изучить имеющийся монографический и учебный материал по данной проблеме;

-       Дать характеристику понятиям "цены" и "инфляция";

-       Проанализировать статистические методы изучения цен и инфляции;

-       Используя методы изученные ранние, на практике попробовать структурировать данные, что бы в последующем про анализировать их;

-       Непосредственный анализ получившихся данных.

1. Статистическое изучение цен и инфляции


.1 Статистическое изучение цен

Ключевыми направлениями при построении системы индексов цен (тарифов), отражающих инфляционные процессы в секторах экономики, были определены такие, как создание единых методологических подходов при расчете средних цен и индексов цен.

Такие методологические подходы были сформулированы следующим образом:

· отбор базовых организаций для наблюдения за ценами (тарифа ми) на товары (услуги);

· формирование наборов товаров (услуг)-представителей с учетом максимального сближения номенклатурных позиций (формирование сквозной номенклатуры для всех секторов экономики);

· организация наблюдения за ценами (тарифами) по выборочной совокупности базовых организаций;

единые временные параметры регистрации цен (тарифов) на то вары и услуги (в конце отчетного месяца);

· единые принципы формирования базисных весов с их ежегодным пересмотром;

· расчет индивидуальных, групповых, отраслевых, региональных индексов цен и тарифов;

· общая для всей системы индексов цен (тарифов) формула расчета сводных индексов

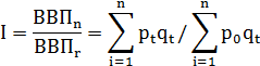
Сводные индексы определяются по следующей модифицированной формуле Ласпейреса с рекурсивной системой расчетов:


В расчетах сводных индексов отечественной статистикой используются следующие стоимостные объемы базисного периода:

·        цен производителей промышленной продукции - годовой объем произведенной продукции за предшествующий предыдущему году, т.е. с временным лагом в два года от текущего года;

·        цен производителей на реализованную сельскохозяйственную продукцию в качестве весов берутся данные о количестве реализованной продукции из отчетности формы №21-СХ "Сведения о реализации сельскохозяйственной продукции";

·        цен на все виды строительных материалов (деталей, конструкций), в строительстве в качестве базисных весов выступают данные за предыдущий год о среднемесячных объемах применяемых ресурсов, характеризующие удельный вес каждого вида строительного материала (детали, конструкции) в общих расходах на строительство "условного" объекта. Объемы применяемых ресурсов разрабатываются специалистами в области строительства, действуют на протяжении ряда лет и периодически пересматриваются и представляются в виде технологических моделей, название которых соответствуют отраслям экономики, по которым они составлены;

•        цен на грузовые перевозки, используются данные текущей отчетности транспортных организаций в доходах за 9 месяцев предыдущего года;

•        потребительских цен (ИПЦ), используются данные обследования бюджетов семей о величине потребительских расходов населения за 9 месяцев предыдущего года и IV квартал предбазового года.

Определение сводных индексов по формуле с рекурсивной системой расчета идентично расчетам по агрегатной форме с постоянными весами. Например, если стоимостной объем брать за декабрь предыдущего года, то в нем можно выделять цену и количество q0, имея временной ряд базисных индексов, можно получить временной ряд цепных индексов.

При этом в программном обеспечении расчетов сводных индексов цен в основном используется не абсолютная величина стоимостных объемов товарных групп, а их удельный вес. Пример расчета с условными данными приведен в табл. 1.

Таблица 1

Динамика потребительских цен по группам товаров

Наименование товаров

Доля потребительских расходов

Базисный индекс цен, в разах

Расчёт сводных базисных индексов цен



А

1

2

3

4

5

6

7

Рыба живая охлаждённая

0,1219

1,08

1,13

1,15

0,132

0,138

0,140

0,6489

1,05

1,15

1,20

0,681

0,746

0,779

Рыба солёная, спец, посола, маринованная, копчёная (без деликатесной)

0,2292

1,10

1,12

1,20

0,252

0,256

0,275

Итог по группе

1,0000

1,065

1,140

1,194

1,065

1,140

1,194


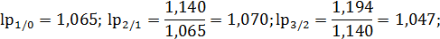
Сводные индексы цен текущего месяца к предыдущему (цепные) определяются делением каждого текущего индекса на предыдущий базисный индекс. В приведенном примере цепные индексы цен равны:



Суммарные стоимостные или удельные веса, используемые в расчетах сводных индексов в производственном и потребительском секторах, в отечественной статистике ежегодно обновляются, поскольку на данном этапе для российской экономики характерны существенные структурные изменения в производстве и потреблении товаров.

Месячные индексы цен, рассчитанные к декабрю предыдущего года, используются при определении месячных, квартальных, полугодовых и годовых индексов цен к соответствующему периоду предыдущего года, пример расчета приведен в табл. 2.

Таблица 2 (в процентах)


Предыдущий год

Отечный год


к предыдущему месяцу

к декабрю года, предшествующего предыдущему

к предыдущему месяцу

к декабрю года предшествующего предыдущему

А

1

2

3

4

Январь

101,1

101,1

100,9

108,4

Февраль

101,6

102,8

100,5

109,0

Март

101,3

104,1

99,9

108,9

Апрель

100,8

104,9

100,0

108,9

Май

100,5

105,4

99,1

108,0

Июнь

100,8

106,3

100,0

108,0

Июль

106,5

99,2

107,1

Август

100,5

107,1

98,8

105,8

Сентябрь

100,1

107,2

107,4

113,7

Октябрь

100,1

107,3

105,9

120,4

Ноябрь

100,2

107,5

106,1

126,5

Декабрь

100,0

107,5

104,8

132,5


Расчет квартальных индексов цен отчетного года к кварталам предыдущего года производится исходя из месячных индексов за эти два года, рассчитанных к единому базисному периоду - декабрю предшествовав

 


1.2 Статистическое изучение инфляции


Инфляция - это сложное многофакторное явление, характеризующее нарушение воспроизводственного процесса, присущее экономике, использующей бумажно-денежное обращение. Инфляционный процесс связан с обесцениванием денег, проявляющимся в росте цен на товары и услуги и нарушении денежного обращения.

Природа инфляции многогранна, и в экономике при ее рассмотрении выделяют открытую и подавленную инфляцию. Открытая инфляция проявляется в различных формах: инфляция спроса, инфляция издержек производства, структурная инфляция.

Инфляция спроса порождается избытком совокупного спроса, за которым по тем или иным причинам не успевает производство, что приводит к резкому росту цен на потребительском рынке. Инфляция такого рода постепенно распространяется и на производство. Одной из причин инфляции издержек производства может быть рост цен на любые I промежуточные товары, чаще на сырьевые ресурсы и энергоносители, I а другой - рост заработной платы. Теоретическое обоснование возможности проявления на определенном этапе инфляции издержек впервые дал Дж.М. Кейнс.

В реальной действительности разделить эти формы инфляции сложно. Важно определить, какая из них является генератором инфляционных процессов. Теоретическое различие состоит в следующем: инфляция спроса продолжается до тех пор, пока существует дефицит бюджета или другие формы товарно-денежных диспропорций, а инфляция издержек не может существовать продолжительное время.

Структурная инфляция характеризуется макроэкономической межотраслевой несбалансированностью. Это наиболее труднопреодолимая форма инфляции, она сопровождает периоды кардинального перехода страны на новые условия хозяйствования, конверсии военного производства и т.д.

Подавленная инфляция выражается в увеличении денежной наличности.

В нашей стране подавленная инфляция наблюдалась накануне либерализации цен, проведенной в январе 1992 г. Первые четыре года (1992-1995 гг.) после либерализации наблюдались ежегодные высокие темпы роста цен по секторам экономики, что свидетельствует о высоком уровне инфляции (табл. 3).

Таблица 3

Индексы потребительских цен на конец периода (в разах к предыдущему году)

Индекс

1991

1992

1993

1994

1995

1996

1997

1998

1999

2000

2001

потребительских цен

2,6

26,1

9,4

3,2

2,3

1,2

1,1

1,8

1,4

1,2

1,2

цен производителей промышленности

3,4

33,8

10,0

3,3

2,7

1,3

1,1

17

1,3

1,1

Источник: Цены в России. М.: Госкомстат России, 2002.

Для оценки и анализа инфляции в отечественной и зарубежной практике широко используется система показателей, разрабатываемая статистикой цен, банковской статистикой, макроэкономической и другими отраслями статистики. В системе показателей особое место занимают ценовые индексы, в частности:

•        дефлятор валового внутреннего продукта (ВВП), в зарубежной практике этот показатель называется дефлятором национального продукта;

•        индекс цен производителей;

•        индекс потребительских цен.

Дефлятор ВВП оценивает степень инфляции по всей совокупности товаров и услуг, производимых и потребляемых в государстве.

Он исчисляется как отношение номинального ВВП (ВВПм) к реальному ВВП (ВВПК):


Дефлятор валового внутреннего продукта в отечественной статистике исчисляется по всей совокупности товаров и услуг с выделением производства товаров и производства услуг.

Реальный ВВП представляет собой физический объем производства конечных товаров и услуг, рассчитанный в ценах предыдущего года. А это означает, что если в текущем периоде по отношению к предыдущему (базисному) произошло повышение общего уровня цен, то результатом исчисления ВВП в текущем периоде с использованием цен предыдущего (базисного) периода будет снижение (дефлирование) объема ВВПк. Если же за изучаемый период наблюдалось снижение общего уровня цен, то при расчете BBnR будет наблюдаться повышение (инфлирование) объема ВВПм,

Кроме обобщающего показателя инфляции (дефлятора ВВП), в статистике исчисляются индексы цен, характеризующие уровень инфляции в отдельных секторах экономики, в частности, индексы цен производителей и индекс потребительских цен.

Индекс цен производителя измеряет инфляцию в отношении товаров потребительского (предметы потребления) и производственного (средства производства) назначения. Будучи рассчитанным на раннем, оптовом, этапе, этот индекс является хорошим показателем будущего изменения цен на более позднем, розничном, этапе движения продукции.

Индекс потребительских цен измеряет инфляцию исключительно потребительских товаров и услуг, приобретаемых конечными покупателями.

При изучении инфляции следует учитывать и особенности измерения рассматриваемых ценовых индексов. Так, дефлятор ВВП является ценовым индексом произведенных товаров и услуг, а индекс потребительских цен измеряет динамику цен товаров и услуг, которые покупают домашние хозяйства в качестве потребителей.

По мнению ряда экономистов, индекс потребительских цен может служить измерителем инфляции в случае постоянной конъюнктуры хозяйственной деятельности, поэтому выдвигаются предложения о расчете агрегированных показателей инфляции. Агрегированную инфляцию предлагается исчислять как среднюю величину из индексов цен, определяемых в различных секторах экономики. Но в этом случае требуется методически и практически решить проблему определения весов.

При изучении инфляции широко используются и показатели денежно-кредитной системы, в частности агрегаты денежной массы:

МО - наличные деньги в обращении (вне банков);= МО + средства до востребования в банках;

М2 = Ml + срочные депозиты населения в сберегательных банках;

МЗ = М2 + депозитные сертификаты и облигации государственного займа.

При анализе инфляции используются и такие денежные индикаторы, как денежная база (Н) и денежный мультипликатор (М2/Н). Денежная база - это наличные деньги, выпущенные Центральным банком РФ (без учета наличности в хранилище ЦБ РФ), и обязательные резервы кредитных организаций в ЦБ РФ. Основные денежные индикаторы России за 1999-2001 гг. приведены в табл. 4.

Таблица 4. (млрд. руб.)


1999

2000

2001

Денежная масса(М2)

448,3

704,7

11443

В том числе наличные деньги вне банковской системы (М0)

187,8

266,6

419,3

Безналичные средства

260,5

438,1

725,0

Удельный вес наличный денег (М0)в общем объёме денежной массы (М2),%

41,9

37,8

36,6

Денежная база

210,4

324,3

Денежный мультипликатор, в разах

2,1

2,2

Источник: Цены в России. М.: Госкомстат России, 2001. С. 12.

Анализ динамики и структуры агрегатов денежной массы позволяет выявить основные факторы, определяющие динамику инфляции. Динамика денежных агрегатов сопоставляется с динамикой взаимосвязанных показателей, например с динамикой потребительских цен. Однако при сопоставлении этих показателей необходимо учитывать определенный временной лаг между изменением денежной массы и потребительскими ценами. Временные лаги, т.е. промежутки времени, в течение которых изменения объемов денежной массы вызывают соответствующие изменения в темпах прироста цен, не являются величиной постоянной; в определенной мере они зависят от состояния финансовой системы. По мере развития финансовой системы временные лаги между рассматриваемыми показателями имеют тенденцию к увеличению. Этот фактор необходимо учитывать и при территориальных (межстрановых) сопоставлениях. При статистическом изучении инфляции важно установить ее источники, о которых можно судить, например, анализируя структуру и динамику активов Центробанка, а именно выделяя в них: кредиты внутрироссийские, межгосударственные расчеты, другие виды активов.

Девальвация национальной валюты стимулирует инфляционные процессы. Обвальное обесценивание национальной валюты началось в 1992 г., курс доллара на 1 января 1992 г. возрос по сравнению с 25 декабря 1991 г. в 196 раз. Первичной девальвацией рубля многие эксперты считают инвалютизацию экономики России.

Мы рассмотрели основные типы методов использующихся в статистике инфляций, и теперь нужно попробовать их на практике.

2. Статистическая группировка и прогнозирование уровня инфляции

 

В данном разделе мы попробуем применить полученные теоретические данные и с помощью них структурировать данные так, что бы в последствий они были удобны для их анализа.

В данном случае мы возьмём данные о инфляций на период с 2000 по 2011 годы, так как данные по ценам различных товаров и услуг слишком обширны и лучше рассматривать причину изменения цены, а это как можно понять и есть инфляция. А выбранный период позволит в последствий при созданий прогнозов и во время анализа информаций сопоставить получившиеся данные и фактические данные, таким образом определив насколько теория совпадает с реальностью.

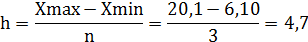
Таблица 5

Уровень инфляция на период с 2000 по 2011

Годы

Годовая инфляция

2011

6,10

2010

8,78

2009

8,80

2008

13,28

2007

2006

9,00

2005

10,91

2004

11,74

2003

11,99

2002

15,06

2001

18,8

2000

20,1


Для начало данную информацию нужно отсортировать по группировачному признаку. Уже существуют экономическое деление уровней инфляций на группы, но так как существующие диапазоны группировки не позволяет нам разделить информацию на группы, мы создадим собственный групировочный шаг и разделим информацию на 3 группы: низкая, средняя и высокая инфляции.

Этапы группировки:

. Группировочный признак - в зависимости от индекса инфляций.

. По формуле


мы нашли шаг группировки. И образуем новые группы по группировочному признаку.

Таблица 6

Деление Инфляции на группы

Типы групп

Интервалы

Индекс инфляций

Годы

Низкая ИИ

6,1 - 10,8

9,00

2006



8,80

2009



8,78

2010



6,10

2011

Средняя ИИ

10,8 - 15,5

15,06

2002



11,99

2003



11,74

2004



10,91

2005



11,87

2007



13,28

2008




Высокая ИИ

15,5 - 20,1

20,1

2000



18,8

2001


После того как мы образовали шаг группировки и распределили данные по группам, сделаем аналитическую группировку по двум признакам факторному и результативному.



Таблица 7

Рабочая таблица группировки по низким, средним и высоким индексам инфляции

№ группы

Границы интервала

Число лет

Индекс инфляции

Индекс инфляции в среднем

Низкая ИИ

6,1 - 10,8

4

32,68

8,17

Средняя ИИ

10,8 - 15,5

74,85

12,475

Высокая ИИ

15,5 - 20,1

2

38,9

19,45

Всего


12

146,43

12,2025


Теперь создадим рабочую таблицу для создания полигона и гистограмм на её основе. А для этого нам нужно определить частоту, для более точного распределения данных. Делается это с помощью данной формулы:

.        (6,1 + 10,8)/2=8,45

.        (10,8 + 15,5)/2=13,15

.        (15,5 + 20,1)/2=17,8

Таблица 8

Границы интервала

Число лет

Частота

6,1 - 10,8

4

8,45

10,8 - 15,5

6

13,15

15,5 - 20,1

2

17,8


Полигон и гистограммы, сделанные на её основе, можно увидеть в приложениях под номерами рисунков: 1,2. Данные графики помогут наглядно показать уровень инфляций, а так же будут удобны при анализе.

Теперь для удобства работы с информацией проведем вторичную группировку с учётом ранее выясненных показателей.

Таблица 9

Типы групп

Интервалы

Частота

Индекс инфляций

Индекс инфляции в среднем

Годы

Низкая ИИ

6,1 - 10,8

8,45

9,00

8,17

2006




8,80


2009




8,78


2010




6,10


2011

Средняя ИИ

10,8 - 15,5

13,15

15,06

12,475

2002




11,99


2003




11,74


2004




10,91


2005




11,87


2007




13,28


2008

Высокая ИИ

15,5 - 20,1

17,8

20,1

2000




18,8


2001

Общий индекс



146,43

12,2025

12 лет


После вторичной группировки, стоит также сопоставить инфляционный процесс, и ещё один не мало важный ценообразующий аспект - такой как валовой внутренний продукт России, определив их зависимость, что в последствий поможет нам при непосредственном анализе.

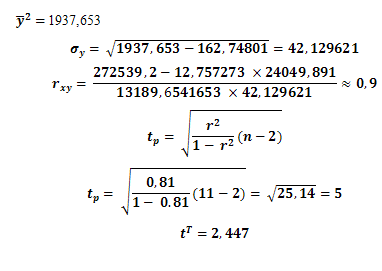
Для этого нужно определить тесноту связи этих понятий на основе линейного коэффициента корреляции и проверить его значимость.

Таб. 10




Выводы: , это значит, что характер связи - обратная, т.е. с увеличением факторного значения ВВП, результативный признак Инфляций уменьшается.

 => гипотеза отвергается. Это свидетельствует о значимости линейного коэффициента корреляции и статистической существенности зависимости между ВВП России и Инфляций. В будущем анализе это позволит нам шире понять картину ценообразования и провести параллели.

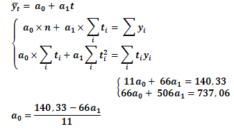
Теперь стоит сделать прогноз динамики инфляций на будущее, с помощью построения линейной парной регрессий сглаживания эмпирической динамики отражающую общую тенденцию динамики инфляций и продолжим её анализом динамики на 2011 - 2012. А период для построения будет 2000-2010 год для того, что бы было проще сверять прогноз на 2011 - 2012 и реальные уже фактические данные по динамики снижения инфляций на этот период

Таб. 11





С помощью этих данных строим линейную парную регрессию сглаживания эмпирической динамики. (рисунок 3)

И так же нужно сделать вывод о том, что точки попадают в доверительный интервал, а это значит модель адекватна.

статистический цена инфляция прибыль

3. Статистический анализ полученных статистических данных об инфляции


Попробовав методы изучения инфляций на практике, теперь нужно определить, что мы получили с помощью этих методов.

В первую очередь изучим нашу группировку, из неё сразу же можно выделить несколько показателей, таких как самый встречаемый уровень инфляций из выделенных шагов а именно средний который варьируется от 10,8 до 15,5 процентов, так же это видно на рисунке 2, на данный момент спадающий тренд сделал своё дело и девиация инфляций за год составляет от 12 до 3 процентов, что вполне соответствует среднеевропейскому уровню.

Так же из рисунка 1 можно выделить важный для статистики показатель, такой как медиана, он тут вполне очевиден и равен 13,5%, что вполне соответствует данному периоду в русской и мировой экономике.

К сожалению, из статистической совокупности инфляций невозможно выделить моду, так как все показатели слишком деференты между собой.

В общем, это вся статистическая информация, которую мы смогли получить из группировки. Это показывает то, что данный метод не так эффективен применительно к инфляций, из-за общности понятия и деферентаций значений.

Следующее, что мы сделали в своих расчётах было сопоставление ВВП России и Инфляций, из этого сопоставления можно сделать ряд выводов, во первых эти понятия связаны с друг другом и имеют обратную зависимость, во вторых уровень валового внутреннего продукта укрепляет валюту, то есть увеличение оборота капитала внутри страны фиксирует стоимость волюты, и тем самым снижает уровень инфляций, но так как валовой продукт понятие текучее свести инфляцию к нулю фактически невозможно.

И последнее что мы сделали мы построили индекс динамики инфляций (рисунок 3) На нём видно, что по прогнозам на 2011 и 2012 года динамика снижения уровня инфляций должна была увеличится, но фактически с 2010 года уровень инфляций в России опустился до уровня инфляций средне европейской страны и закрепился, на данном уровне, что значит к сожалению наш прогноз не оправдался и так же значит, что к сожалению не возможно со сто процентной вероятностью предсказать такой гибкий и динамичный параметр как инфляция не изучая всех его аспектов.

Таким образом, анализируя полученные в ходе решения данные, мы смогли выделить некоторые статистические показатели, а так же вывести определенные закономерности, но к сожалению не смогли сделать точный прогноз и расчётные данные не сошлись с реальностью.

Заключение


Используя методы статистики инфляций, мы смогли проанализировать полученные данные и сделать определённые выводы. А выводы таковы, что применительно к инфляций не достаточно рассматривать инфляцию как целостный объект исследования.

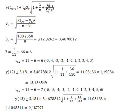
Инфляция зависит от огромного числа параметров, и по этому, она не может являться объектом статистической обработки и должна восприниматься как систем статистических показателей, которые и формируют уровень инфляций, иначе невозможно прогнозировать, что-либо и осуществлять анализ инфляций в целом. А доказательством этого является то, что при прогнозирование регрессий динамики снижения инфляций на 2011 и 2012 год мы получили данные абсолютно адекватные и соответствующие всем правилам статистики, но не соответствующие реальным данным на 2011 и 2012 год.

При прогнозировании динамики регрессий инфляций на 2011 мы получили такой уровень регрессий , а на 2012 - 12,187977, что не соответствует действительности. В реальности на 2011 и 2012 уровень регрессий спал почти до минимума, и фактически зафиксировал инфляцию на уровне 6% годовых, что является вполне приемлемым, по мнению экономистов России, и выгодно для страны в общем. Это является прямым доказательством невозможности исследования инфляций как целостного показателя, и указывает на зависимость не только от составляющих их показателей, но так же и от политики самого государства относительно инфляций.

Так же в ходе работы мы встретились с другой проблемой не позволяющей провезти полноценный анализ цен. Она заключается в том, что цену, которую постоянно корректирует инфляция, очень трудно отслеживается и подвергать какому либо статистическому расчету и группировки из-за слишком большого наименования товаров, и устаревшей системы наблюдения. Так как в такой динамичной и гибкой системе плохо развит орган наблюдение, почти невозможно в целом рассматривать цену как целостный объект исследований статистики, возможно сегментированное исследование цены, но оно не даёт полной картины рынка и фактически не рентабельно, из-за узости рассматриваемых сегментов цен.

Подводя итоги, в этой работе я смог опробовать часть статистических методов, используемых в изучений статистики инфляций и цен, а так же выразить ряд проблем связанных с исследованиями в данной области статистики.

Список использованных источников

1.      Балинова В.С. Статистика в вопросах и ответах.- М.: Велби: Проспект, 2010. - 344 с.

2.      Демография и статистика населения / под ред. И.И. Елисеевой.- М.: Финансы и статистика, 2009. - 312 с.

.        Ефимова М.Р. Статистика / М.Р. Ефимова.- М.: ИНФРА-М, 2007. - 240 с.

.        Микроэкономическая статистика / под ред. С.Д. Ильенковой.- М.: Финансы и статистика, 2008. - 234 с.

.        Социально-экономическая статистика / под ред. В.Н. Салина, Е.П. Шпаковской.- М.: Финансы и статистика, 2012. -276 с.

.        Статистика / Под ред. В.Г. Минашкина.- М.: Проспект, 2005. -310 с.

.        Статистика / Под ред. И.И. Елисеевой.- М.: Проспект, 2009.

8.      #"822834.files/image020.jpg">

Рисунок 1

Рисунок 2

Рисунок 3

Похожие работы на - Статистика цен и инфляции

 

Не нашли материал для своей работы?
Поможем написать уникальную работу
Без плагиата!
Без нейросетей!