Статистика социального развития и уровня жизни населения
Введение
Повышение уровня жизни - социально-приоритетная
цель развития общества, важнейшее направление проводимой государством политики
доходов и заработной платы. Средством достижения этой цели выступают рост ВВП и
совершенствование механизма его распределения на макро и микроуровнях.
Повышение уровня жизни - это не только результат экономического роста, но и его
условие.
Современному производству требуются как
принципиально новые техника и технологии, так и высококвалифицированные
работники, собственники своего интеллектуального капитала. Они составляют
основу среднего класса. У таких людей сложнее структура материальных, духовных
и социальных потребностей, они тратят больше средств на восстановление
жизненной энергии, на образование и профессиональную подготовку, а уровень и
качество их жизни должны быть выше, чем просто обеспечивающие выживание.
Актуальность выбранной темы работы заключается в
том, что конечная цель развития любого прогрессивного общества - создание
благоприятных условий для долгой, здоровой и благополучной в материальном
отношении жизни людей.
Целью курсовой работы является - выявление
закономерностей изменения благосостояния населения. Предметом исследования
курсовой работы является - показатели уровня жизни населения РФ. Задачами данной
курсовой работы является:
. Рассмотреть основные аспекты и всестороннюю
характеристику социально-экономического изучения уровня жизни населения;
. Комплексное рассмотрение структуры, динамики и
темпов изменения основных показателей уровня жизни;
. Рассмотреть дифференциацию различных групп
населения по доходам и потреблению и сделать анализ влияния различных
социально-экономических факторов на изменение уровня жизни; 4. Выделение и
характеристика малообеспеченных слоев населения, нуждающихся в социально-экономической
поддержке.
1. Теоретические основы, общая
теория статистики
.1 Сводка статистических данных
Основное содержание и задачи статистической
сводки
Сведения о каждой единице анализируемой
совокупности, полученные в результате первой стадии статистического
исследования, характеризуют статистическое наблюдение с различных его сторон,
так как они обладают многочисленными признаками и свойствами, которые
изменяются во времени и пространстве. Для получения сводной характеристики
всего объекта при помощи обобщающих показателей нужно систематизировать и
обобщить результаты, которые были получены в ходе статистического наблюдения.
Это даст нам возможность выявить особенности и черты статистической
совокупности в целом и отдельных ее составляющих, обнаружить закономерности
изучаемых социально-экономических явлений и процессов. Данную систематизацию
называют сводкой первичного статистического материала.
Второй этап статистической работы -
статистическая сводка - это обработка первичных данных в целях получения
обобщенных характеристик изучаемого явления или процесса по ряду существенных
для него признаков для выявления типичных черт и закономерностей, присущих
явлению или процессу в целом.
Статистическая сводка - это переход от единичных
данных к сведениям о группах единиц и совокупности в целом.
Проведение сводки включает три этапа:
) предварительный контроль - это проверка
данных;
) группировка данных по заданным признакам - это
определение производных показателей;
) оформление результатов сводки в виде статистических
таблиц, они являются удобной формой для восприятия полученной информации.
Смысловая согласованность статистических
сведений - это предварительный контроль. В соответствии с программой
статистической сводки для того, чтобы в дальнейшем предоставить полученную
информацию в доступном для восприятия виде, используется статистическая
группировка данных.
Полученные результаты группировки оформляются в
виде группировочных таблиц, содержащих сводную характеристику исследуемой
совокупности по одному или нескольким признакам, которые взаимосвязаны логикой
анализа. Различают сводку простую и сложную. Сведения об отдельных единицах
подытоживаются в целом по совокупности без разделения их на однородные группы.
Итоги простой статистической сводки предназначаются для дальнейшей обработки
материала, простая сводка также имеет самостоятельное познавательное значение.
Простая статистическая сводка - это операция по
подсчету общих итоговых и групповых данных по совокупности единиц наблюдения и
оформление этого материала в таблицах.
Простая статистическая сводка дает нам
возможность определить число единиц изучаемой совокупности и объем изучаемых
признаков, но тем самым простая сводка не дает нам представления о целостности
состава изучаемой совокупности.
Если единицы совокупности разбивают на
однородные группы, после этого подсчитывают итоги по каждой группе, а затем по
всей совокупности в целом, такую статистическую сводку называют сложной.
Сложная сводка позволяет нам изучить состав совокупности и выявить влияние одних
признаков на другие, т. е раскрыть свойственные данной совокупности
закономерности.
Сложная статистическая сводка - это комплекс
операций, включающих распределение единиц наблюдения изучаемого
социально-экономического явления или процесса на группы, составление системы
показателей для характеристики типичных групп и подгрупп изучаемой совокупности
явлений, подсчет числа единиц и итогов в каждой группе и подгруппах и
оформление результатов этой работы в виде статистических таблиц. На основе
всестороннего теоретического анализа сущности и содержания изучаемых явлений и
процессов проводится статистическая сводка. Программой и планом проведения
статистической сводки обеспечивается достоверность и обоснованность ее
результатов.
Программа статистической сводки содержит
перечень групп на которые может быть разбита или разбивается совокупность
единиц статистического наблюдения, а также систему показателей, характеризующих
изучаемую совокупность явлений и процессов как в целом, так и отдельных ее
частей. От целей и задач исследования зависит программа статистической сводки.
Разработка программы включает следующие этапы:
) выбирается группировочный признак для
образования однородных групп;
) определяется порядок формирования и число
групп;
) разрабатывается система статистических
показателей для характеристики групп и объекта в целом;
) создаются макеты статистических таблиц для
предоставления результатов сводки.
Вместе с программой статистической сводки
составляют план ее проведения. План должен содержать информацию о
последовательности, сроках и технике проведения сводки, ее исполнителях, о
порядке и правилах оформления ее результатов в виде таблиц.
Сводка также бывает децентрализованной и
централизованной.
Децентрализованная статистическая сводка - это
способ обобщения материала, который осуществляется снизу доверху по
иерархической лестнице управления и на каждом из этапов подвергается обработке.
Обработка данных производится на местах, т. е. отчеты предприятий сводятся
статистическими органами субъектов Российской Федерации. Полученные итоги
поступают в Госкомстат РФ, а затем выводятся итоговые показатели в целом по
социально-экономическому положению страны.
Централизованная статистическая сводка - это
способ, при котором все первичные данные, полученные в результате
статистического наблюдения, сосредоточиваются в одной центральной организации и
подвергаются обработке от начала до конца.
По технике выполнения статистическая сводка
бывает механизированная (с использованием электронно-вычислительной техники) и
ручная.
1.2 Сущность и классификация
группировок
Научно обоснованное распределение на группы дает
возможность сделать правильные выводы об изучаемой совокупности и происходящих
в ней процессах.
Принципы научной группировки были изложены в
работах В. И. Ленина. Статистическая группировка, как указывал В. И. Ленин, не
является второстепенным вопросом. Она требует всестороннего
социально-экономического анализа изучаемых явлений, Решающее значение в
статистической группировке имеет правильный выбор группировочных признаков в
соответствии с задачами статистического исследования. В основу группировки
должны быть положены самые существенные, самые важные для изучаемого вопроса
признаки, которые позволят выявить социально-экономические типы явлений.
Блестящим примером применения статистических группировок для выявления
социально-экономических типов может служить таблица из работы В. И. Ленина
«Развитие капитализма в России».
Статистическая группировка - это один из
основных этапов проведения статистического исследования.
Процесс образования однородных групп на основе
разделения статистической совокупности на части или объединение изучаемых
статистических единиц в совокупности по определенным для них признакам называют
статистической группировкой Важнейшим статистическим методом обобщения данных
являются статистические группировки.
Три основных типа задач, решаемых с помощью
метода статистической группировки:
) выделение социально-экономических типов
явлений;
) изучение структуры явления и структурных
сдвигов, происходящих в явлении;
) выявление взаимосвязей и взаимозависимостей
между явлениями и признаками, характеризующими эти явления.
Различают следующие виды статистических
группировок:
) типологические;
) структурные;
) аналитические.
Качественно однородные группы совокупностей, т.
е. объекты, которые по своим группировочным признакам близки друг к другу,
называют типологической группировкой.
Примером типологической группировки являются:
группировка земель, по формам собственности. Основное внимание в типологической
группировке должно уделяться идентификации типов и выбору группировочного
признака. Для построения типологической группировки необходимо воспользоваться
количественными и качественными (атрибутивными) признаками.
Группировка по атрибутивному признаку предполагает,
что число выделенных групп соответствует фактическому числу градаций этого
признака. По количественному признаку необходимо правильно установить интервал
группировки, определить необходимое число групп. Проблема определения
интервалов типологической группировки решается на основании выделения таких
количественных границ изменения группировочного признака, при которых явление
изменяет или приобретает новое качество.
В типологической группировке от числа
существующих социально-экономических типов зависит число групп. От состава,
структуры однородных групп и изучения вариации признаков внутри однотипной
совокупности и однотипных групп на основе построения структурной группировки
зависят социально-экономические типы явлений. Разделение однородной совокупности
на определенные группы, которые в дальнейшем будут характеризовать структуру по
определенному группировочному признаку, называют структурной группировкой.
Здесь также рассматриваются количественные и атрибутивные признаки. Примером
является группировка рабочих склада по квалификации.
По атрибутивному признаку группы отличаются друг
от друга по характеру признака. Количественный признак также предполагает
определение числа групп и ширины интервала.
Основная задача статистических группировок -
исследование связей и зависимостей между признаками единиц статистической
совокупности, которая решается с помощью построения аналитических группировок.
Аналитическая группировка - это группировка, выявляющая взаимосвязи и
взаимозависимости между изучаемыми социально-экономическими явлениями и
признаками, их характеризующими.
Все признаки в статистической науке можно
подразделять на факторные и результативные. Признаки, которые оказывают большое
влияние на изменение результативных признаков, называют факторными. Признаки,
изменяющиеся под влиянием факторных признаков, называют результативными.
Важная задача при построении аналитической
группировки - выбор числа групп, на которые необходимо разбить изучаемую
совокупность единиц наблюдения, и определение их границ.
Требования, которые необходимо соблюдать в
процессе построения аналитических группировок, это: каждая изучаемая группа
должна содержать однородные единицы совокупности по груп-пировочному признаку,
и количество единиц в каждой изучаемой группе должно быть достаточным для того,
чтобы получить статистические характеристики изучаемого объекта.
Простой называется группировка, если группа
образована только по одному признаку. Если разбить группу на подгруппу в
соответствии с определенными признаками, то такую группировку называют
комбинированной.
Комбинационной считается группировка, когда
разбивка совокупности на группы производится по двум и более группировоч-ным
признакам, взятым в сочетании (комбинации) друг с другом Комбинационные
группировки позволяют изучать единицы совокупности одновременно по нескольким
признакам.
При изучении сложных социально-экономических
явлений и процессов применяются комбинационные группировки. Для того чтобы
построить комбинационную группировку, необходимо выявить наличие достаточно
большого числа наблюдений.
Для того чтобы найти скопление (в мерном
пространстве) объектов (точек), необходимо применить многомерную группировку
Различают группировки по используемой информации:
) первичные - производятся на основе исходных
данных которые были получены в результате статистического наблюдения;
) вторичные - это результат соединения или
расчленения группировки.
Принципы построения группировок
Для построения статистических группировок нужно
выбрать группировочный признак, далее определить количество групп, на которые
разбивают изучаемую статистическую совокупность и зафиксировать границы
интервалов группировки. Для каждой группировки нужно находить конкретные
показатели или их систему, которые должны охарактеризовать изучаемые группы.
Выбор группировочного признака - сложный вопрос
в теории статистической группировки и статистического исследования в целом.
Группировочный признак - это основание, по которому проводится разбивка единиц
совокупности на отдельные группы. От степени точности группировочного признака
зависит правильность выводов статистического исследования.
В группировку входят количественные и
атрибутивные (качественные) признаки. Количественные признаки обычно имеют
числовое выражение (например, объем выпускаемой продукции, возраст человека,
доход семьи и т. д.). Атрибутивные признаки дают качественную характеристику
единицы совокупности (например, пол, семейное положение, политическая
ориентация человека и т. д.). Выделенные группы по атрибутивному признаку в
группировке должны отличаться друг от друга по качественной характеристике
признака. Число групп, на которые расчленяется статистическая совокупность,
зависит от количества градаций атрибутивного признака.
Для определения числа групп можно
воспользоваться формулой Стерджесса:
+ 3,322 ? lg N,
где h - число групп;- число единиц
совокупности;- десятичный логарифм от N.
Данная формула говорит о том, что выбор числа
групп объектно зависит от объема совокупности. После установления числа групп
решается вопрос об определении интервалов группировки.
На основе интервала группировки можно
количественно различить одни группы от других и наметить границы выделения их
нового качества. Интервал группировки - это интервал значений варьирующего
признака, лежащих в пределах определенной группы. Каждый интервал имеет свою
длину (ширину), верхнюю и нижнюю границы.
Нижняя граница интервала - это наименьшее
значение признака в интервале, а верхняя граница интервала - его наибольшее
значение. За нижнюю границу первого интервала принимают наименьшее значение
признака в совокупности единиц наблюдения. Верхняя граница последнего интервала
не может быть меньше наибольшего значения признака в совокупности единиц
наблюдения.
Ширина интервала - это разность между верхней и
нижней границами. Интервалы группировки в зависимости от их ширины бывают
равными и неравными. Неравные делятся на прогрессивно возрастающие,
прогрессивно убывающие, произвольные и специализированные. Если вариация
признака проявляется в сравнительно узких границах и распределение носит
равномерный характер, то строят группировку с равными интервалами.
Величина равного интервала определяется по
следующей формуле:
= R/n = ( х мах - х min ) / n,
где х х мах ,х min - максимальное и минимальное
значение признака в совокупности; n - число групп.
Данную формулу называют шагом интервала. Если
размах вариации признака в совокупности велик и значения признака варьируются
неравномерно, то используют группировку с неравными интервалами. Неравные
интервалы могут быть получены, если построенная группировка с равными
интервалами содержит группы, не отражающие определенные типы изучаемого явления
или процесса или не содержащие ни одной единицы совокупности, возникает
необходимость увеличения - объединения двух или нескольких малочисленных или
«пустых» последовательных равных интервалов. Выбор равных или неравных
интервалов зависит от степени заполнения интервалов. Интервалы группировок
могут быть закрытыми и открытыми Закрытыми интервалами являются интервалы, в
которых указаны верхняя и нижняя границы. Открытые интервалы имеют только одну
границу (верхнюю - у первого, нижнюю - у последнего). К количественным
признакам можно отнести непрерывный признак, или дискретный. Если в основании
группировки лежит дискретный признак, то нижняя граница i - го интервала равна
верхней границе i - го интервала, увеличенной на 1.
В группировках, отражающих качественные
особенности и специфику выделяемых групп единиц изучаемой совокупности по
определенному признаку, применяются специализированные интервалы.
Специализированные интервалы - это интервалы, которые применяются для выделения
из совокупности одних и тех же типов по одному и тому же признаку у явлений,
находящихся в различных условиях. По роли, которую играют признаки во
взаимосвязи изучаемых объектов, процессов или явлений, их можно подразделить на
факторные и результативные. Факторные признаки воздействуют на другие признаки,
а результативные испытывают на себе влияние других признаков.
1.3 Абсолютные и относительные
показатели вариации
Вариация - различие в значениях какого-либо
признака у разных единиц данной совокупности в один и тот же период или момент
времени.
К показателям вариации относятся:
группа - абсолютные показатели вариации
размах вариации;
среднее линейное отклонение;
- дисперсия;
- среднее квадратическое отклонение.
группа - относительные показатели вариации
коэффициент вариации;
коэффициент осцилляции;
относительное линейное отклонение.
Самым элементарным показателем вариации признака
является размах вариации R. Размах вариации показывает лишь крайние (min, max)
отклонения признака от общей средней.
Для анализа вариации необходим показатель,
который отражает все колебания варьирующего признака и дает обобщенную
характеристику.
Среднее линейное отклонение
<#"822780.files/image002.gif">
Дисперсия
<#"822780.files/image003.gif">
Свойства дисперсии:
1. если все значения признака уменьшить или
увеличить на одну и ту же постоянную величину А- дисперсия не изменится;
2. если все значения признака уменьшить или
увеличить в одно и то же число раз (k раз), то дисперсия уменьшится или
увеличится в k2 раз.
Используя второе свойство дисперсии, можно
получить формулу вычисления дисперсии в вариационных рядах с равными
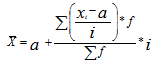
интервалами по способу моментов:
где i - величина интервала, X1 -
новые (преобразованные) значения вариантов, А - условное начало, в качестве
которого удобно использовать середину интервала или величину признака,
обладающего наибольшей частотой.
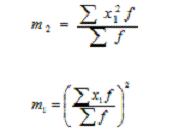
1. Момент второго порядка
2. Квадрат момента первого порядка
социальный
благосостояние статистический дисперсия
Среднее квадратическое отклонение равно корню
квадратному из дисперсии:
1. для несгруппированных данных (простое)
2. для вариационного ряда по
сгруппированным данным (взвешенное)
Среднее квадратическое отклонение
<#"822780.files/image008.gif">
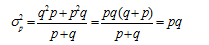
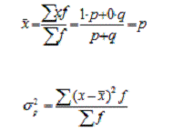
Среднее значение альтернативного признака и его
дисперсия:
1. Среднее значение альтернативного
признака
2. Дисперсия альтернативного признака
Подставив в формулу дисперсии q = 1 - p,
получим:
Таким образом, дисперсия альтернативного
признака равна произведению доли единиц, обладающих данным признаком и доли
единиц, не обладающих данным признаком.
Среднее квадратическое отклонение
альтернативного признака:
Показатели относительного рассеивания
Для характеристики меры колеблемости изучаемого
признака исчисляются показатели колеблемости в относительных величинах. Они
позволяют сравнивать характер рассеивания в различных распределениях (различные
единицы наблюдения одного и того же признака в двух совокупностях, при
различных значениях средних, при сравнении разноименных совокупностей). Расчет
показателей меры относительного рассеивания осуществляют как отношение
абсолютного показателя рассеивания к средней арифметической, умноженное на
100%.
. Коэффициент осцилляции отражает относительную
колеблемость крайних значений признака вокруг общей средней.
2. Относительное линейное отклонение характеризует
долю усредненного значения абсолютных отклонений (модуль отклонений) от средней
величины.
. Коэффициент вариации - отношение среднего
квадратического отклонения к средней арифметической, применяется для сравнения
вариаций различных признаков, используется как характеристика однородности
совокупности. Совокупность считается однородной, если коэффициент вариации не
превышает 33%.
2.Статистика социального развития и
уровня жизни
.1 Социально - экономическая
статистика
Понятие «социальная статистика» имеет два
толкования: как область науки и как область практической деятельности.
Социальная статистика как область науки разрабатывает систему приемов и методов
сбора, обработки и анализа числовой информации о социальных явлениях и
процессах в обществе. Социальная статистика как область практической
деятельности направлена на выполнение органами государственной статистики и
другими организациями работы по сбору и обобщению числовых материалов,
характеризующих те или иные социальные процессы.
Автономное существование социальной статистики
как науки или как области практической деятельности было бы бессмысленным. Эти
области должны и могут развиваться лишь в единстве и взаимосвязи.
Социальная статистика имеют отличия от других
отраслей статистики не только своим особым предметом и объектом исследования.
Ее своеобразие состоит в особых каналах получения исходной информации, и в
применении специальных приемов обработки и обобщения этой информации, и в
особых путях практического использования результатов анализа.
Статистический анализ явлений и процессов,
происходящих в социальной жизни общества, осуществляется с помощью
специфических для статистики методов - методов обобщающих показателей, дающих
числовое измерение количественных и качественных характеристик объекта, связей
между ними, тенденций их измерения. Эти показатели отражают социальную жизнь
общества, выступающую как предмет исследования социальной статистики.
2.2 Показатели уровня жизни
населения
Уровень жизни
-
это
уровень
благосостояния
населения,
потребления благ и услуг,
совокупность условий и показателей,
характеризующих меру удовлетворения
основных жизненных потребностей людей.
Рис. Уровень жизни
Подразумевает обеспеченность населения
необходимыми материальными благами и услугами.
Материальные блага - это продукты питания,
одежда, обувь, предметы культуры и быта, жилище.
Услуги - полезные результаты деятельности,
подразделяются на непроизводственные (например, услуги учреждений культуры и
искусства) и производственные (например, услуги мастерских по ремонту бытовой
техники).
Выделяют четыре уровня жизни населения:
достаток; нормальный уровень; бедность; нищету.
Индекс развития человеческого потенциала (ИРЧП)
где I1 - индекс ожидаемой продолжительности
жизни при рождении; I2 - индекс достигнутого уровня образования; I3 - индекс
реального ВВП в расчете на душу населения.
Индекс каждого показателя рассчитывается по
формуле
.
где хi- фактическое значение i-го показателя;
хiminи хimax- соответственно минимальное и максимальное значение i-го
показателя
Индекс ожидаемой продолжительности жизни при
рождении
.
где хimin = 25 лет, хimax = 85 лет
Индекс достигнутого уровня образования
2.3 Система показателей и
организация экономической статистики
Применяя статистические методы и инструментарий
для изучения определенного рода экономических явлений и всей экономики в целом,
мы получаем статистические данные, которые представляют собой числа или цифры.
Их не следует рассматривать как математические числа, так как числа, цифры,
применяемые в статистике, не являются абстрактными, т. е. они характеризуют
статистические данные как статистические показатели.
В экономической статистике экономические
показатели - это обобщающие данные, которые отражают какие-либо экономические
явления или процессы. Объектом экономической статистики является экономика
нашей страны, в которой все изучаемые процессы и явления не разрознены, а
связаны между собой, следовательно, все статистические показатели,
характеризующие эти явления и процессы, тоже не являются разрозненными. Таким
образом, все статистические показатели связаны между собой и образуют систему
статистических показателей.
Система статистических показателей - это
совокупность взаимосвязанных статистических показателей, имеющая одноуровневую
и многоуровневую структуру и нацеленная на решение конкретной статистической
задачи.
Система показателей экономической статистики -
это база статистических показателей экономики, которая образуется с целью
объяснения многих экономических вопросов и имеет в своем распоряжении
определенное количество звеньев со своей структурой. Так как все показатели
системы связаны между собой, то какой-либо неизвестный показатель можно
вычислить, зная другие его составляющие показатели. Система показателей
экономической статистики охватывает все экономические стороны жизни общества на
различных уровнях: страны, региона - макроуровень; предприятий, фирм,
объединений, семей, домохозяйств - микроуровень.
Система показателей экономической статистики
направлена на решение следующих задач:
показать во взаимосвязанной конфигурации
устройство функционирования экономики Российской Федерации;
определить первостепенные задачи анализа
происходящих в российской экономике процессов;
установить систему показателей, которые
необходимы для анализа как на федеральном, так и на региональном уровнях, с
учетом отечественного и мирового опыта, рекомендаций международных экономических
организаций;
аргументировать современные подходы к способу
организации статистической информации;
вырабатывать статистическую совокупность методов
исходя из содержательной стороны самого экономического анализа.
Процесс изучения экономических явлений и
процессов посредством системы показателей экономической статистики называется
статистическим исследованием.
Система показателей экономической статистики
имеет следующие особенности:
носит исторический характер: меняются условия
жизни населения, общества - меняются и статистические показатели определенной
экономической системы;
совокупность методов расчета статистических
показателей постоянно совершенствуется.
Основываясь на системе показателей экономической
статистики, обеспечивается большая готовность к решению проблем экономики.
Существует следующая классификация видов
статистических показателей.
По охвату отдельных единиц совокупности:
индивидуальные статистические показатели,
характеризующие отдельную единицу статистической совокупности;
сводные статистические показатели, которые
делятся на объемные статистические показатели, рассчитываемые путем
суммирования индивидуальных статистических показателей и характеризующие
совокупный объем признака;
расчетные статистические показатели,
рассчитываемые по разнообразным формулам и предназначенные для решения
всевозможных аналитических вопросов.
По временному фактору:
моментные статистические показатели, которые
являются установленными и фиксированными на определенную дату;
интервальные статистические показатели, которые
являются установленными в определенном периоде времени.
По форме формулировки:
абсолютные показатели, характеризующие
безусловные величины экономических явлений и процессов, отображающие их
преходящие характеристики;
относительные показатели, показывающие
равновесие между количественными характеристиками экономических процессов и
явлений, рассчитываемые в ходе деления одного абсолютного показателя на другой;
средний статистический показатель - это
обобщенная количественная характеристика свойства в статистической
совокупности, в определенных обстоятельствах, а также в конкретных условиях
места и времени.
Денежные расходы домашних хозяйств - сумма
фактических затрат членов домашнего хозяйства за определенный период,
включающая: потребительские расходы; расходы, не связанные с потреблением
(налоги и сборы, платежи по страхованию, взносы в общественные организации,
возврат банковских ссуд, проценты за товарный кредит и др.).
Денежные расходы не включают:
инвестиции;
затраты на приобретение иностранной валюты,
ценных бумаг;
средства, положенные на банковские счета.
Потребительские расходы домашних хозяйств -
включают затраты на приобретение потребительских товаров и услуг, независимо от
того, предназначены они для потребления в рамках домохозяйства или вне его:
продукты питания; алкогольные напитки; непродовольственные товары для личного
потребления; топливо; личные услуги (оплата жилищно-коммунальных услуг, расходы
на пошив и ремонт одежды, обуви, электроприборов, плата за обучение,
медицинские услуги и др.). Потребительские расходы не включают: покупку
ювелирных изделий, оплату строительства и капитального ремонта жилья.
Расходы на конечное потребление домашних
хозяйств включают:- потребительские расходы;
стоимость натуральных поступлений продуктов
питания;
стоимость предоставленных в натуральном
выражении дотаций и льгот
Статистические органы должны применять
налаженную систему сбора первичных данных путем формирования эффективной
системы передачи и хранения информации с помощью использования современных
средств связи и компьютерных технологий.
Экономические показатели характеризуют
экономическую сторону жизнедеятельности общества, экономические возможности
удовлетворения его потребностей. Сюда можно отнести показатели, характеризующие
уровень экономического развития общества и благосостояние населения
(номинальные и реальные доходы, занятость и др.)
Социально-демографические показатели
характеризуют половозрастной, профессионально-квалификационный состав
населения, физическое воспроизводство рабочей силы.
Деление показателей на объективные и
субъективные связано с обоснованием изменений в жизнедеятельности людей и
разделяются в зависимости от степени субъективности производимой оценки.
К стоимостным показателям относятся все
показатели в денежной форме, а натуральные характеризуют объем потребления
конкретных материальных благ и услуг в натуральных измерителях.
Для характеристики уровня жизни большое значение
имеют количественные и качественные показатели. Количественные определяют объем
потребления конкретных материальных благ и услуг, а качественные - качественную
сторону благосостояния населения.
Как самостоятельные можно выделить показатели,
характеризующие пропорции и структуру распределения благосостояния населения.
Важную роль при определении уровня жизни играют
статистические показатели, которые включают обобщающие показатели, показатели
доходов, потребления и расходов, денежных сбережений, накопленного имущества и
жилища населения и ряд других.
2.4 Показатели статистики социальной
сферы
Комплексное исследование уровня жизни
предполагает характеристику не только доходов населения, его расходов и
потребления материальных благ и услуг. Большое значение имеет также изучение
других важнейших составляющих уровня жизни: жилищных условий и бытового обслуживания
населения, состояния здоровья населения и обеспеченности его медицинской
помощью, безопасности среды обитания для здоровья человека, уровня образования
населения, обеспеченности его информацией, потребления населением услуг
культуры, искусства, спорта, отдыха, развлечений. Разработка подходов к
построению обобщающих показателей, позволяющих дать количественную оценку
уровня жизни по каждому из этих направлений, является задачей статистики
социальной сферы, включающей в себя несколько подотраслей: статистику охраны
здоровья населения, статистику образования и т.д. Изучение жилищных условий
населения предполагает характеристику размера жилищного фонда в стране, его
состава и благоустройства. Сопоставляя размер всего жилищного фонда на конец
года с численностью постоянного населения на эту же дату, исчисляют показатель
обеспеченности населения жильем, отражающий количество общей и жилой площади,
приходящейся на одного жителя. Для статистического измерения жилищных условий
населения используются также следующие показатели: численность населения,
проживающего в отдельной квартире, в коммунальной квартире, в общежитии, в
отдельном доме, средняя площадь отдельных квартир, среднее число жителей на
одну комнату, число семей, состоящих на учете на получение жилья, размер жилого
фонда, капитально отремонтированного за текущий период, и др. Качество условий
жизни населения определяется в значительной степени уровнем развития таких
отраслей, как бытовое обслуживание населения, коммунальное хозяйство, торговля,
транспорт, связь. Для количественной оценки качества условий жизни применяются
показатели насыщенности той или иной территории учреждениями и организациями
социальной инфраструктуры (например, их количество на 1000 жителей, на 1 кв.
км, протяженность тепловых сетей, протяженность маршрутов различных видов
транспорта), показатели объема потребления и качества услуг учреждений и
организаций социальной инфраструктуры (число обслуженных клиентов, количество
выполненных заказов, выручка по видам услуг, объем услуг в натуральном и
денежном выражении на душу населения и др.).
Для изучения такой составляющей уровня жизни,
как здоровье населения, необходимо иметь информацию о продолжительности жизни,
уровне смертности, распространенности и частоте возникновения заболеваний по
населению целом и его демографическим группам, уровне развития
лечебно-профилактической помощи населению. Основными показателями для
статистического измерения состояния здоровья населения являются: средняя
ожидаемая продолжительность жизни при рождении (для всего населения, в том
числе для мужчин и женщин); коэффициенты смертности (общие, возрастные,
младенческой смертности, по основным классам причин смертности); уровень
заболеваемости по основным группам болезней (число выявленных и взятых на учет
больных в течение года с впервые установленным диагнозом на 100 тыс. чел.);
контингент больных по основным группам болезней (число больных, состоящих на
учете в лечебно-профилактических учреждениях, на 100 тыс. чел.), уровень
инвалидизации (численность лиц, признанных инвалидами на 10 тыс. чел.) и др. К
показателям, характеризующим уровень развития лечебно-профилактической помощи
населению, относятся показатели насыщенности той или иной территории
медицинскими учреждениями (число учреждений на 10 тыс. чел., число больничных
коек на 10 тыс. чел., мощность амбулаторно-поликлинических учреждений (число
посещений в смену) на 10 тыс. чел.), показатели обеспеченности населения
медицинскими кадрами (численность врачей, среднего медицинского персонала на 10
тыс. чел.), показатели охвата населения профилактической помощью, показатели
обращаемости населения в учреждения здравоохранения (среднегодовая численность
госпитализированных больных, число обращений за поликлинической помощью,
длительность пребывания в стационаре и др.).
Огромное влияние на уровень здоровья населения,
распространенность тех или иных заболеваний оказывает состояние окружающей
среды. В связи с этим необходима информация о качестве среды обитания человека:
воды, почвы, воздуха, соответствии фактических уровней их загрязнения
нормативным показателям. Накопленный обществом объем знаний и профессионального
опыта передается от поколения к поколению через систему образования.
Образование как отрасль экономики охватывает деятельность дошкольных учреждений,
общеобразовательных учреждений, учреждений начального, среднего и высшего
профессионального образования, а также дополнительного образования. Для
характеристики состояния образования в стране, количественных и качественных
изменений, происходящих в этой области, используются такие показатели, как
численность и состав образовательных учреждений, численность контингента
обучающихся, прием в учебные заведения, выпуск специалистов, численность и
состав преподавательского персонала, учебные площади на одного учащегося,
обеспеченность техническими средствами обучения, библиотечными фондами,
общежитиями, сетью общественного питания и др. Уровень образования населения
измеряется следующими показателями:
число грамотных на 100 чел. в возрасте от 9 до
49 лет;
число лиц, имеющих определенный уровень
образования (высшее, незаконченное высшее, среднее специальное, среднее общее,
не полное среднее, начальное) на 1000 чел. в возрасте 15 лет и старше. Уровень
образования определяется для всего населения, городского и сельского населения,
мужчин и женщин, занятого и незанятого населения, для различных возрастных
групп населения. В современных условиях важнейшим аспектом изучения уровня
благосостояния населения является характеристика обеспеченности населения
информацией, степени развития сети санаторно-курортных учреждений, учреждений
отдыха и туризма, сети спортивных сооружений, учреждений культуры и искусства.
Для этих целей служат следующие группы показателей: обеспеченность населения
теле- и радиоприемными средствами (например, количество телевизоров на 1000
чел.), обеспеченность населения книгами, брошюрами, журналами и другими
периодическими изданиями (общий тираж и в среднем на 1000 чел.), показатели
работы массовых библиотек (насыщенность библиотеками населенных пунктов,
обеспеченность населения библиотеками, численность читателей, размер книжного
фонда в среднем на одну библиотеку и на одногочитателя, количество выданных
книг и журналов на одного читателя), показатели деятельности театров, музеев и
других учреждений культуры и искусства (число учреждений, число посещений всего
и на 1000 человек, число выставок, проведенных в течение года, число мест в
кинотеатрах), показатели деятельности учреждений отдыха и туризма (число
санаториев, пансионатов, профилакториев, домов отдыха, туристических баз и
других учреждений, число мест в них, численность обслуженных лиц, количество
пассажиров и пассажирооборот на туристических и экскурсионных линиях,
численность занимающихся физической культурой и спортом), расходы населения на приобретение
книг, журналов, газет, посещение театров, кинотеатров и других зрелищных
мероприятий, на туризм, отдых и физическую культуру и спорт.
Задача 1
Таблица. Имеются следующие данные о рабочих -
сдельщиках
|
№
п/п
|
Стаж
работы, лет
|
Выр.
одного раб.за один рабочий день, руб.
|
№
п/п
|
Стаж
работы, лет
|
Выр.
одного раб.за один рабочий день
|
|
1
|
1,0
|
200
|
16
|
10,5
|
276
|
|
2
|
1,0
|
202
|
17
|
1,0
|
234
|
|
3
|
3,0
|
205
|
18
|
9,0
|
270
|
|
4
|
6,5
|
290
|
19
|
9,0
|
264
|
|
5
|
9,2
|
298
|
20
|
6,5
|
252
|
|
6
|
4,4
|
250
|
21
|
5,0
|
241
|
|
7
|
6,9
|
280
|
22
|
6,0
|
256
|
|
8
|
2,5
|
230
|
23
|
10,1
|
262
|
|
9
|
2,7
|
223
|
24
|
5,5
|
245
|
|
10
|
16,0
|
310
|
25
|
2,5
|
240
|
|
11
|
13,2
|
284
|
26
|
5,0
|
244
|
|
12
|
14,0
|
320
|
27
|
5,3
|
252
|
|
13
|
11,0
|
295
|
28
|
7,5
|
253
|
|
14
|
12,0
|
279
|
29
|
7,0
|
252
|
|
15
|
4,5
|
222
|
30
|
8,0
|
262
|
Построить ряд распределения рабочих по стажу,
образовав 5 групп с равными интервалами.
Решение
-шаг
Для того, чтобы сгруппировать рабочих сдельщиков
определим группировочные признаки (по условию задачи - стаж рабочих).
- шаг
После чего определим количество групп (по
условию задачи - 5 групп)
- шаг
Построим типологическую группировку
Типологическая группировка - все группировки
которые характеризуют количественные особенности и различие между типами
явлений.
Для разделения по группам найдем величину
интервала (по условию задачи - равную).
Величина равного интервала определяется по
формуле
где h
- величина равного интервала (по условию задачи -3)
-наибольшая
варианта группировочного признака
- наименьшая варианта группировочного
признака
n- число групп
разделяющая всю группировочную совокупность (=5)
-шаг
После того, как определена величина равного
интеграла определим границы групп
Границы групп
.
2.4,0+3,0=7,0;
3.
4.
5.
5- шаг
После того как построили границы групп построим
ряд распределения
Ряд распределения - упорядоченное распределение
единиц наблюдения
Ряд распределения рабочих сдельщиков по стажу
работы
Таблица 1.1
|
Стаж
работы, лет
|
1,0-4,0
|
4,0-7,0
|
7,0-10,0
|
10,0-13,0
|
13,0-16,0
|
итого
|
|
Количество
работников, чел.
|
7
|
10
|
6
|
4
|
3
|
30
|
6 - шаг
После того как построили ряд распределения и
подсчитали количество единиц по группировочному признаку, составим
разработочную таблицу
Разработочная таблица
Таблица 1.2
|
№
п/п групп
|
№
раб(ед.)
|
Стаж
раб., лет
|
Выручка
одного работника за один день, руб.
|
|
1
|
1,0-4,0
|
1
2 3 8 9 17 25
|
1,0
1,0 3,0 2,5 2,7 1,0 2,5
|
200
202 205 230 223 234 240
|
|
Итого
|
|
7
|
|
|
|
2
|
4,0-7,0
|
4
6 7 15 20 21 22 24 26 27
|
6,5
4,4 6,9 4,5 6,5 5,1 6,0 5,5 5,0 5,3
|
290
250 280 222 252 241 256 245 244 252
|
|
Итого
|
|
10
|
|
|
|
3
|
7,0-10,0
|
5
18 19 28 29 30
|
9,2
9,0 9,0 7,5 7,0 8,0
|
298
270 264 253 252 262
|
|
Итого
|
|
6
|
|
|
|
4
|
10,0-13,0
|
13
14 16 23
|
11,0
12,0 10,5 10,1
|
295
279 276 262
|
|
Итого
|
|
4
|
|
|
|
5
|
13,0-16,0
|
10
11 12
|
16,0
13,2 14,0
|
310
284 320
|
|
Итого
|
|
3
|
|
|
|
Всего
|
|
30
|
196,6
|
761
|
7- шаг
Построим сводную таблицу т.е занесем итоговые
данные по предыдущей таблице в сводки
Сводная таблица
Таблица 1.3
|
№
п/п групп
|
Границы
групп по группиров. признаку
|
Кол.
рабочих в группе, чел.
|
Стаж
раб., лет
|
Выручка
одного раб. за один день
|
|
I II
III IV
V
|
1,0-4,0
4,0-7,0 7,0-10,0 10,0-13,0 13,0-16,0
|
7
10 6 4 3
|
13,7
55,6 49,7 43,6 43,2
|
1534
2532 1599 1112 914
|
|
итого
|
|
30
|
205,8
|
7691
|
-шаг
Для более углубленного анализа взаимосвязи
показателей строится структурная группировка
Структурная группировка - внутреннее строение
совокупности рабочих, разделенных на группы по стажу работы, определенного
удельного веса численности каждой группы совокупности.
Анализ структуры рабочих сдельщиков предприятия
по стажу работы
Таблица 1.4
|
№
п/п групп
|
Границы
групп по групп. признаку
|
Кол.
рабочих в группе человек
|
Стаж
раб., лет
|
Выручка
одного работника за один день
|
|
|
|
всего
|
Уд.вес%
|
всего
|
Уд.вес%
|
|
I II
III IV V
|
1,0-4,0 4,0-7,0 7,0-10,0 10,0-13,0 13,0-16,0
|
7 10 6 4 3
|
13,7 55,6 49,7 43,6 43,2
|
6,6 27,0 24,1 21,2 21,0
|
1534 2532 1599 1112 914
|
19,9 32,9 20,7 14,4 11,9
|
|
итого
|
|
30
|
205,8
|
100,0
|
7691
|
100,0
|
9-шаг
Задача построения любой группировки является
анализ какого-нибудь явления, в данном случае проводится анализ зависимости
средней выработки продукции в стоимостном выражении по группе по стажу работы
Зависимость средней выработки продукции в
стоимостном выражении по группе от стажа работы
Таблица 1.5
|
№
п/п групп
|
Границы
групп по групп. приз.
|
Количество
раб. в группе, чел.
|
Стаж
раб., лет
|
Выручка
одного раб. за один день, руб
|
|
|
|
всего
|
В
сред .на одного раб.
|
всего
|
В
сред. на одного раб.
|
|
I II III IV V
|
1,0-4,0
4,0-7,0 7,0-10,0 10,0-13,0 13,0-16,0
|
7 10 6 4 3
|
13,7 55,6 49,7 43,6 43,2
|
1,96
5,6 8,2 10,4 14,4
|
1534 2532 1599 1112 914
|
219,4
253,2 266,1 278,0 304,7
|
|
Итого
|
|
30
|
205,8
|
6,9
|
7691
|
256
|
Вывод
Зависимость между стажем работы и выработкой
продукции прямая т.е чем больше стаж работы, тем больше выработка продукции
одного рабочего за один день в стоимостном выражении
Задача №2
Из отчетов промтоварных магазинов получены
следующие данные.
Таблица 1
|
№
магазина
|
Торговая
площадь, м2
|
Годовой
тов., млн.руб
|
№
магазина
|
Торговая
площадь, м2
|
Годовой
оборот, млн.руб.
|
|
1
|
190
|
1290
|
12
|
358
|
2312
|
|
2
|
580
|
2880
|
13
|
190
|
1508
|
|
3
|
630
|
2410
|
14
|
240
|
1284
|
|
4
|
510
|
2460
|
15
|
390
|
2662
|
|
5
|
408
|
802
|
16
|
150
|
918
|
|
6
|
196
|
1868
|
17
|
620
|
1773
|
|
7
|
420
|
2692
|
18
|
356
|
2516
|
|
8
|
287
|
2475
|
19
|
492
|
3200
|
|
9
|
441
|
2432
|
20
|
380
|
1964
|
|
10
|
280
|
1032
|
21
|
537
|
2555
|
|
11
|
750
|
2443
|
22
|
203
|
640
|
. Произведите группировку по торговой
площади, разделив магазины на три группы.
. По каждой группе рассчитайте годовой
товарооборот в среднем на один магазин.
. Оформите результаты в виде таблицы с
соответствующим названием.
4. Постройте гистограмму, кумуляту.
5. Сделайте соответствующие выводы
Решение
1. Определяем
группировочный признак.
Групп.признак - торговая площадь. Количество
групп - 3
Определяем величину интервала группировочного
признака
Х max=750, Х
min=150
Отсюда имеем: По торговой площади выделяем три
группы с интервалами: 1 группа 150 - 350 2 группа 350 - 550 3 группа 550 - 750
. Строим вспомогательную таблицу
Таблица 1. Вспомогательная таблица
|
Группы
магазинов по торговой площади, м2
|
1
группа
|
2
группа
|
3
группа
|
|
150
- 350
|
350
- 550
|
550
- 750
|
|
Номера
магазинов, попавшие в группу
|
1,6,8,10,13,14,16,22
|
4,5,7,9,12,15,18,19,20,21
|
2,3,11,17
|
|
Число
магазинов в группе
|
8
|
10
|
4
|
|
Годовой
товарооб. в каждом из магазинов, попавших в гр.
|
1290,
1868, 2475, 1032, 1508, 1284, 918, 640
|
2460,
802, 2692, 2432, 2312, 2662, 2516, 3200, 1964, 2555
|
2880,
2410, 2443, 1773
|
|
Общая
сумма товарооборота
|
11015
|
23595
|
9506
|
|
Товарооборот
в среднем на один магазин
|
1377
|
2360
|
2377
|
.Строим статистическую таблицу
Таблица 2. Зависимость товарооборота от торговой
площади
|
Группы
магазинов по торговой площади, м2
|
Число
магазинов
|
Общий
годовой товарооборот
|
Годовой
товарооборот в среднем на один магазин
|
|
150
- 350
|
8
|
11015
|
1377
|
|
350
- 550
|
10
|
23595
|
2360
|
|
550
- 750
|
4
|
9506
|
2377
|
|
Итого
в среднем
|
22
|
44116
|
2005
|
Вывод: С увеличением торговой площади годовой
товарооборот увеличивается.
Задача № 3
Имеются данные о сменной выработке рабочих
бригады, представленные интервальным рядом распределения (исходные данные в
столбцах 1-2):
Таблица
|
Группы
рабочих по сменной выработке, шт.
|
Число
рабочих, чел. (f)
|
Расчетные
значения
|
|
|
Середина
интервала (X)
|
X*f
|
|
|
|
*f
|
|
|
1
|
2
|
3
|
4
|
5
|
6
|
7
|
8
|
9
|
|
170-190
|
10
|
180
|
1800
|
-2
|
-20
|
40
|
12960
|
324000
|
|
190-210
|
20
|
200
|
4000
|
-1
|
-20
|
20
|
5120
|
800000
|
|
210-230
|
50
|
220
|
11000
|
0
|
0
|
0
|
800
|
2420000
|
|
230-250
|
20
|
240
|
4800
|
1
|
20
|
20
|
11520
|
1152000
|
|
итого
|
100
|
-
|
21600
|
-
|
-20
|
80
|
30400
|
4696000
|
Определить:
а) среднесменную выработку рабочих;
б) дисперсию выработки;
в) среднее квадратическое отклонение;
г) коэффициент вариации.
Сделать вывод.
Решение:
а) среднесменная выработка рабочих определяется:
по формуле средней арифметической взвешенной:
по «способу моментов»:
где А - середина интервала, обладающего
наибольшей частотой: f маx =50, А=220.
б) дисперсия выработки рассчитывается:
по формуле средневзвешенной дисперсии:
по упрощенным методам расчета дисперсии:

в) среднее квадратическое отклонение
рассчитывается по формуле:
г) коэффициент вариации определяется по формуле:
Вывод: данная бригада достаточно однородна по
выработке и средняя считается надежной и типичной, поскольку вариация признака
составляет лишь 8%, т. е. больше 33%.
Задача № 4
При изучении влияния квалификации рабочих на
уровень производительности труда в цехе были получены данные, представленные в
следующей таблице (исходные данные в столбцах 1, 2, 4, 5):
Таблица
|
Номер
расчетных значений
|
Рабочие
4-го разряда
|
Номер
расчетных значений
|
Рабочие
5-го разряда
|
|
Выработка
рабочего, шт.
|
|
|
Выработка
рабочего, шт.
|
|
|
1
|
2
|
3
|
4
|
5
|
6
|
|
1
|
7
|
9
|
1
|
14
|
1
|
|
3
|
9
|
1
|
3
|
15
|
0
|
|
4
|
10
|
0
|
4
|
17
|
4
|
|
5
|
12
|
4
|
|
|
|
|
6
|
13
|
9
|
|
|
|
|
Итого
|
60
|
24
|
Итого
|
60
|
6
|
Определить:
а) внутригрупповые дисперсии;
б) среднюю из внутригрупповых дисперсий;
в) межгрупповую дисперсию;
г) общую дисперсию;
д) проверить правило сложения дисперсий.
Решение:
В этом примере данные группируются по
квалификации рабочих, являющихся факторным признаком. Результативный признак
варьирует как под влиянием систематического фактора - квалификации
(межгрупповая вариации), так и других неучтенных случайных факторов
(внутригрупповая вариация). Задача заключается в измерении этих вариаций с
помощью дисперсий: общей, межгрупповой и внутригрупповых.
а) средняя выработка по каждой бригаде считается
по формулам арифметической простой и взвешенной:
по первой группе:
- по второй группе:
по двум группам:
Внутригрупповые дисперсии показывают вариацию
выработки в каждой группе, вызванные всеми возможными факторами (техническое
состояние оборудования, обеспеченность инструментами и материалами, возраст
рабочих, интенсивность труда и т.д.), кроме различий в квалификационном разряде
(внутри группы все рабочие имеют одну квалификацию) и рассчитываются по формуле:
по первой группе:
где
по второй группе:
где
б) средняя из внутригрупповых дисперсий отражает
вариацию выработки, обусловленную всеми факторами, кроме квалификации рабочих,
но в среднем по всей совокупности и рассчитывается по формуле:
в) межгрупповая дисперсия характеризует вариацию
групповых средних, обусловленную различиями групп рабочих по квалификационному
разряду и рассчитывается по формуле:
г) общая дисперсия отражает суммарное влияние
всех возможных факторов на общую вариацию средних, обусловленную различиями
групп рабочих по квалификационному разряду и рассчитывается по формуле:

Задача №5
Таблица
|
ПОКАЗАТЕЛИ
|
ВСЕГО
ЗА 2011г.
|
В
т.ч. с 01.01. по 14.01(включительно)
|
|
Число
родившихся
|
29
963
|
1
255
|
|
Число
умерших, в т.ч. детей до 1-го года
|
9
037 1 228
|
357
54
|
|
Число
браков
|
15
718
|
601
|
|
Число
разводов
|
1
134
|
41
|
|
Число
прибывших
|
51
274
|
1
923
|
|
Число
выбывших
|
42
866
|
1
612
|
Естественное и миграционное движение населения
области за 2011г. характеризуется следующими данными:
По данной выборочной переписи населения области
- 1 214 427чел.(на 15.01.2011г.) Определить:
.Абсолютный прирост населения с 01.01.2011г. по
14.01.2011г.
.Численность населения на 01.01.2011г.
.Общий прирост населения за 2011г
.Среднегодовую численность населения;
.Общий коэффициент рождаемости за 2011г.
.Общий коэффициент смертности за 2011г.
.Коэффициент младенческой смертности за 2011г.
.Коэффициент естественного прироста населения за
2011г.
. Коэффициент общего прироста населения за
2011г.
. Коэффициент миграционного прироста населения
за 2011г.
. Коэффициент брачности
. Коэффициент разводов
РЕШЕНИЕ:
)
) S
) 
)

) Кр=
6)Ку
=
7)К
)К
)К
)К
ВЫВОД: В данной области с 1 по 14 января
население увеличилось на 1209 человек и к 15.01.2011 составило 121427человек,
учитывая, что на 01.01.11 общая численность населения составила 1213218,к концу
года общий прирост населения составил 29334,т.о. среднегодовая численность
населения 1214377.
Следует учесть, что число родившихся в среднем
на каждую 1000 жителей(25 человек) в 3,5 раза больше числа умерших(7 человек)на
каждую 1000 жителей. Следует учесть неблагоприятный показатель детской
смертности за 1999г.,на каждую1000 новорожденных умирает 41 ребенок.
За 2011г. В районе имел место естественный
прирост населения, который составил 17 человек на каждую 1000 жителей и
миграционный прирост, который составил 7 человек на каждую 1000 человек. Как
положительный момент следует отметить, что число вступивших в брак в 13 раз
больше чем число расторгнувших брак.
Задача 6
По одной из республик имеется следующая
информация о численности населения и ВИП за два периода:
Таблица
|
ПОКАЗАТЕЛИ
|
БАЗИСНЫЙ
ПЕРИОД
|
ОТЧЕТНЫЙ
ПЕРИОД
|
|
Среднегодовая
численность занятых. тыс.чел.
|
14
774
|
14
856
|
|
Численность
безработных тыс.чел.
|
454
|
506
|
|
Армия
тыс.чел.
|
570
|
620
|
|
Общая
численность населения тыс.чел.
|
36
500
|
37
380
|
|
ВИП,
млрд. денежных единиц
|
592
|
622
|
|
Валовой
воспроизв. капитал, млрд. денежных единиц
|
2
474
|
2
620
|
Определить:
.Численность активного населения
. Динамику активного населения
. Коэффициент активности населении
. Динамику коэффициента активности
. Коэффициент безработицы
. Динамику коэффициента безработицы
. Коэффициент занятости
. Динамику коэффициента занятости
. Фондовооруженность труда
.Динамику фондовооруженности труда 11.
Фондоемкость ВИП
. Динамику фондоемкости
. Фондоотдачу
. Динамику фондоотдачи. РЕШЕНИЕ:
)
=среднегодовая
численность занятых + армия
=14 774 +570 = 15
344
=14
856 + 620 = 15 476
)
) 
) 
)

)
) 
) 

) ФВ=
ФВ
=
ФВ
10)



)ФЕ
ФЕ
ФЕ
)
)ФО=
ФО
ВЫВОД: учитывая, имеющиеся данные можно
определить, что динамика активного населения составит - 101%, что можно
отметить как положительный факт. Динамика коэффициента безработицы составит
0,8%,а динамика коэффициента занятости - 125%,что немаловажно для
экономического состояния страны.
ЗАДАЧА 7
На основе приведенных условных данных о
численности населения и повозрастных коэффициентов дожития, рассчитайте
перспективную численность населения, вступающего в трудоспособный возраст на
предстоящие 3 года.
Таблица
|
ВОЗРАСТ,
ЛЕТ
|
УСЛОВНЫЙ
ПОВОЗРАСТНОЙ КОЭФФИЦИЕНТ ДОЖИТИЯ
|
ИСХОДНАЯ
ЧИСЛЕННОСТЬ ЧЕЛОВЕК
|
|
13
|
0,996148
|
5
320
|
|
14
|
0,995800
|
5
028
|
|
15
|
0,995560
|
4
180
|
РЕШЕНИЕ: Через 1 год: 1)5320*0,996148=5299,5073
(в возрасте 14лет) 2)5028*0,995800=5006,8824 (в возрасте 15 лет)
3)4180*0,995560=4161,4408(в возрасте 16 лет) Через 2 года:
1)5299,5073*0,995800=5277,2493 (в возрасте 15 лет)
2)5006,8824*0,995560=4984,6518 (в возрасте 16 лет) Через 3 года:
1)5277,2493*0,995560=5253,8183 (в возрасте 16 лет) ВЫВОД: Учитывая данные о численности
населения и повозрастных коэффициентов дожития, по прогнозам перспективная
численность населения трудоспособного возраста (16 лет), через один год
составит 4162 человека, через два года - 4985 человек и через три года
Заключение
Таким образом, в данной курсовой работе были
рассмотрены такие вопросы, как статистическая оценка уровня жизни населения,
социальные нормативы и потребности, основные индикаторы уровня жизни,
социальная защищенность и борьба с бедностью и возможности повышения уровня жизни
населения. Уровень жизни является одной из важнейших социальных категорий,
которая характеризует структуру потребностей человека и возможности их
удовлетворения. Важнейшими составляющими уровня жизни выступают доходы
населения и его социальное обеспечение, потребление им материальных благ и
услуг, условия жизни, свободное время.[12] Повышение уровня жизни - это не
только результат экономического роста, но и его условие. В современной России
наиболее актуальными проблемами повышения уровня жизни являются обеспечение
занятости, усиление социальной защищенности населения, борьба с бедностью. Для
большей части населения прогноз уровня жизни населения на предстоящие десять
лет пессимистический.
Хотя снижение жизненного уровня населения -
неизбежное следствие столь масштабных преобразований, однако глубина падения -
процесс регулируемый. Итак, рассмотрев все вышеуказанные вопросы можно сказать,
что уровень жизни населения России постоянно изменяется. Но если смотреть
тенденции этого изменения, то видно явное снижение уровня жизни населения
России в последние годы. На основании изложенного сделаем ряд выводов:
Во-первых, несмотря на то, что и доходы и расходы населения с каждым годом
растут, разница между доходами и расходами снижается. Это далеко не положительно
влияет на благосостояние населения России. Во-вторых, экономико-статистический
анализ уровня жизни населения России имеет несколько отраслей, важнейшей из
которых является статистика домашних хозяйств населения. Показатели, изучаемые
в данной отрасли, используются в изучении мероприятий по социальной защите
населения России. В-третьих, с помощью экономико-статистического анализа можно
изучать обеспеченность населения социальными благами, то есть достаточно ли в
том или ином регионе России работников здравоохранения, лечебных учреждений, а
также существует ли необходимое число учреждений отдыха, театров, музеев
необходимых для поддержания высокого культурного уровня населения России.
В-последних, экономико-статистический анализ уровня жизни населения России
проводится для того, чтобы улучшать те или иные условия жизни населения. Но, в
настоящее время, в нынешней нестабильной экономической ситуации делать это
становится все сложнее.
Список
использованной литературы
. Гусаров,
В.М. Статистика: Учеб. пособие для вузов. - М.:ЮНИТИ - ДАНА, 2003. - 463с.
. Елисеева,
И.И. Общая теория статистики: Учебник /И.И. Елисеева, М.М. Юзбашев /Под ред.
И.И. Елисеевой. - М.: Финансы и статистика, 2013.-368 с.
. Ефимова,
М.Р. Статистические методы в управлении производством/М.Р. Ефимова. - М.:
Финансы и статистика, 2009 - 151
. Курс
социально-экономической статистики: Учеб. для вузов/Под ред. М.Г. Назарова. -
М.: Финстатинформ, 2002. - 973с.
. Лукьянчикова,
Т.Л., Семенихина А.В. Методические указания по выполнению курсовой работы /Т.Л.
Лукьянчикова, А.В. Семенихина. - Орел: ОрелГТУ -2003. - 20с.
. Лукьянчикова,
Т.Л. Статистика: Учеб.пособие/Т.Л. Лукьянчикова. - Орел: ОрелГТУ, 2004. - 117
с.
. Общая
теория статистики: Статистическая методология в изучении коммерческой деятельности:
Учебник /А.И. Харламов, О.Э. Башина, В.Т. Бабурин и др. /Под ред. А.А. Спирина,
О.Э. Башиной. - М.: Финансы и статистика ,2010.- 296 с.
. Основы
социально экономической статистики/ Т.А. Курашова, Л.В. Тарлецкая; МГИМО
(Университет) МИД РФ. -М.: РОССПЭН, 2009. -134с.
. Российский
статистический ежегодник. 2013: Стат. Сб./Госкомстат Росси. - М., 2013. - 705
с.
. Россия
в цифрах. 20056 крат. Стат сб./РОССТАТ. - м., 2005. - 477 с.
. Социально-экономическая
статистика: Учеб. для вузов/Под ред. Б.И. Башкатова. - М.: ЮНИТИ-ДАНА, 2012. -
703 с.
. Социально-экономическая
статистика: Учеб. пособие для вузов / И.И. Колесникова. - М.: Новое знание,
2012. -249с.
. Статистика:
Учеб. для вузов/ А.М. Годин. - М.: Дашков и К., 2012. -470с.
. Статистика:
Учебное пособие/ Л.П. Харченко, В.Г. Долженкова, В.Г. Ионин и др./ Под ред.
В.Г. Ионина. - М.: ИНФРА - М, 2011. - 384с.
. Статистика:
учебник для студентов средних проф.учебных заведений. В.С. Мхитарян, Дубров
Т.А., Минашкин В.Г. и др. - М.: Академия, 2009. - 272 с.
. Практикум
по общей теории статистики: учебное пособие. Ефимова М.Р., Ганченко О.И.,
Петрова Е.В. - М.: Финансы и статистика, 2011. - 208 с. ил.
. Сборник
задач по общей теории статистики. Учебное пособие/под ред. Серга Л.К. - М.:
Рилант, 2011. - 360 с.
. Социально-экономическая
статистика: Практикум / под ред. В.Н. Салина, Е.П. Шпаковской: Учебное пособие.
- М.: Финансы и статистика, 2013. - 192 с.
. Статистика:
учебник/под ред. И.И. Елисеевой. - М.: Высшее образование, 20012. - 566 с.
20.