Анализ и управление платежеспособностью и финансовой устойчивостью предприятия (на примере ООО 'Строй-Р')
Введение
Темой дипломного проекта является анализ и
управление платежеспособностью и финансовой устойчивостью предприятия. Данная
тема является актуальной. Платежеспособность является важным показателем,
характеризующим финансовую устойчивость предприятия, т.е. имеющуюся финансовую
возможность предприятия своевременно погашать свои платежные обязательства. На
показатели платежеспособности и финансовой устойчивости опираются руководство и
акционеры предприятия при планировании финансовой и производственной деятельности,
выработки стратегии развития, принятии управленческих решений. По показателям
платежеспособности и финансовой устойчивости предприятия принимаются решения
коммерческими банками о возможности и условиях кредитования. Необходимость в
знании данных показателей проявляют и деловые партнеры при предоставлении
коммерческого кредита или отсрочки платежа.
Актуальность проблем платежеспособности и
финансовой устойчивости остро стоят перед предприятиями строительного
комплекса. Большие объемы финансирования, длительный срок окупаемости
предполагают использование значительной доли заемных средств, что ставит
вопросы анализа и управления платежеспособностью и финансовой устойчивостью на
ведущее место в системе финансового управления строительной организации.
Учитывая, что доля строительства составляет 5,5% от доли ВВП страны [33],
актуальность проблемы анализа и управления платежеспособностью и финансовой
устойчивостью приобретает особо важный характер.
Целью дипломного проекта является изучение
методик анализа и системы управления платежеспособностью и финансовой
устойчивостью предприятия на примере Открытого Акционерного Общества «СТРОЙ-Р».
Для достижения поставленной цели выявлены
задачи:
. Изучить вопросы финансовой устойчивости
предприятия в системе финансового состояния предприятия.
. Изучить методические основы расчета и
оценки коэффициентов финансовой устойчивости.
. Проанализировать методы управления
финансовой устойчивостью и ликвидностью в строительстве.
. Представить общую характеристику ООО «СТРОЙ-Р»
и его организационно-правовые особенности.
. Обобщить группы показателей финансовых
характеристик.
. Провести факторный анализ финансовой
устойчивости ООО «СТРОЙ-Р.
. Предложить методы по совершенствованию
экономической устойчивости ООО «СТРОЙ-Р».
. Выработать рекомендации по оптимизации
структуры капитала ООО «СТРОЙ-Р».
В данном дипломном проекте объектом исследования
является Открытое Акционерное Общество «СТРОЙ-Р» (ООО «СТРОЙ-Р »). Основными
видами деятельности Общества являются производство и реализация работ и услуг в
строительстве, осуществление функций заказчика по строительству. На основании
предоставленного бухгалтерского баланса, форма №1 (приложение 1, 2), отчета о
прибылях и убытках, форма №2 (приложение 3, 4, 5) и др. информации, будет
проведен анализ и выработаны мероприятия согласно теме дипломного проекта.
В работе использованы методы: монографический,
коэффициентный, балансовый, стохастический, аналитический.
Разработка дипломного проекта опирается на
работы В. Бочарова, А. Вехоревой, Л. Гиляровской, Л. Донцовой, М. Лапуста,
И.Лукасевич, Н.Никифоровой, Г. Савицкой, Р. Сайфулина, Е. Стояновой, А. Шеремет
и др. ученых-экономистов.
Глава 1. Теоретические и методические основы
финансовой устойчивости предприятия
1.1 Финансовая устойчивость в системе
финансового состояния предприятия
В современных условиях, когда предприятия и
организации самостоятельны в принятии и реализации управленческих решений, а
также полностью экономически и юридически ответственны за результаты
финансово-хозяйственной деятельности, финансовый анализ является одним из
основных показателей финансово-хозяйственной деятельности предприятия.
В общих чертах анализ (от греч. аnalisis)
означает «расчленение, разложение исследуемого объекта на составные части и
элементы, выявление внутренних взаимосвязей между ними и определение их
значимости»[24,с.136].
В самом общем смысле под финансовым анализом
понимают «совокупность аналитических процедур в отношении некоторого объекта
исследования, основывающихся на данных финансового характера»[29,с.269].
В узком смысле финансовый анализ представляет
собой «процесс исследования финансового состояния и результатов финансовой
деятельности организации с целью:
повышения рыночной стоимости организации;
выявления резервов снижения расходов;
обеспечения эффективного развития»[27, с.78].
Субъектом финансового анализа в условиях рынка
может выступать любое заинтересованное в деятельности той или иной организации
лицо: собственники (акционеры, инвесторы), менеджмент, контрагенты, работники
фирмы, кредиторы, аналитики различных финансовых институтов, государственные
органы, общественные организации и т.д.
Объектом финансового анализа являются различные
виды хозяйственной деятельности предприятия, ее результаты, а также влияющие на
них факторы внешней и внутренней экономической среды.
Главная цель финансового анализа - получение
небольшого числа ключевых (наиболее информативных) параметров, дающих
объективную и точную картину финансового состояния предприятия, его прибылей и
убытков, изменений в структуре активов и пассивов, в расчетах с дебиторами и
кредиторами. При этом субъектов анализа могут интересовать как текущее
финансовое состояние предприятия, так и прогноз на ближайшую или отдаленную
перспективу, т.е. ожидаемые параметры финансового состояния.
Цель анализа достигается в результате решения
определенного взаимосвязанного набора аналитических задач. Аналитическая задача
представляет собой «конкретизацию целей анализа с учетом организационных,
информационных технических и методических возможностей проведения этого
анализа»[30, с. 9].
К основным задачам финансового анализа относятся
следующие:
) предварительный (общий) анализ финансового
состояния предприятия;
) анализ финансовой устойчивости;
) анализ ликвидности и платежеспособности;
) анализ деловой и рыночной активности;
) анализ финансовых результатов и рентабельности
деятельности предприятия;
) диагностика потенциального банкротства и
прогнозирование финансового состояния организации.
Перечисленные задачи финансового анализа
реализуются в процессе выполнения последовательных этапов анализа финансового
состояния предприятия. Процедура проведения финансового анализа в общем виде
представлена на рисунке 1.
Рис. 1. Этапы и содержание финансового анализа.
Данная методика[10] была разработана и
утверждена Приказом ФСФО РФ от 23.01.2001 N 16. На данный момент документ
фактически утратил силу. Анализ финансового состояния связанный с исследованием
отдельных сторон деятельности предприятия, позволяет диагностировать
вероятность банкротства, возможность предоставления кредита, оценить
эффективные направления формирования финансовой политики предприятия. Однако
такой вид анализа является локальным, тематическим. Нормативные акты не
содержат методических подходов для проведения комплексного анализа финансового
состояния предприятий (организаций). Кроме того, по-прежнему остается
актуальным вопрос разработки критериев оценки финансового состояния предприятия
в разрезе видов деятельности, отраслей национальной экономики.
В итоге в ходе реализации указанных этапов
анализа необходимо получить следующие результаты:
«своевременную и объективную оценку финансового
состояния организации, выявление «узких мест» в ее финансово-хозяйственной
деятельности и исследование причин их образования;
оценку возможности наступления банкротства
организации;
выявление факторов и причин достигнутого
состояния;
выявление и мобилизацию резервов улучшения
финансового состояния организации и повышение эффективности всей ее хозяйственной
деятельности;
подготовку и обоснование предлагаемых
управленческих решений в целях улучшения финансового состояния организации;
выявление тенденций развития организации на
основе прогнозирования ее финансового состояния»[23, с. 564].
Анализ финансовой устойчивости организации
является одним из наиболее приоритетных и актуальных направлений аналитической
работы в системе финансового состояния предприятия, особенно в условиях
изменчивости рыночных факторов и существующих коммерческих и финансовых рисков.
Именно это направление является одним из важнейших при реализации аналитических
процедур в рамках проведения проверок финансово-хозяйственной деятельности
предприятий.
Финансовая устойчивость любого хозяйствующего
субъекта - это комплексное понятие, характеризующее такое финансовое состояние
предприятия, которое в процессе распределения и использования ресурсов
обеспечивает бесперебойную деятельность и поступательное развитие организации
за счет соблюдения финансового равновесия между имуществом в денежной и
неденежной форме и собственным и заемным капиталом при сохранении
гарантированной платежеспособности и кредитоспособности и минимальном уровне
предпринимательского риска.
Финансовая устойчивость означает такое состояние
предприятия, которое обеспечивает не только стабильное превышение его доходов
над расходами, но и рост прибыли при сохранении эффективного и бесперебойного
функционирования хозяйствующего субъекта. Причем внешне это выражается не
только в способности предприятия рассчитаться по долгам, но и в его
саморазвитии, или способности осуществлять расширенное воспроизводство[23, с.
581], эффективно используя получаемую им прибыль с целью прироста экономической
стоимости предприятия.
Гарантированная платежеспособность организации
предполагает также сохранение ее платежеспособности и кредитоспособности в
условиях допустимого уровня предпринимательского риска, обусловленного как
характером деятельности предприятия, так и колебаниями рыночной конъюнктуры.
Финансовая устойчивость предприятия служит
залогом выживаемости и основой стабильности его положения и обеспечивается всей
его производственно-хозяйственной деятельностью.
Условием финансовой устойчивости организации
является наличие у нее:
активов, по составу и объемам отвечающих задачам
ее перспективного развития;
надежных источников их формирования. Рисунок 2.
Рис 2. Источники формирования средств
организации
Как показывает рисунок 2, любой хозяйствующий
субъект формирует свои денежные средства, мобилизуя различные источники:
собственные и привлеченные.
При проведении анализа и оценки финансового
состояния предприятия следует всегда помнить, что финансово устойчивым
признается такой хозяйствующий субъект, который преимущественно за счет
собственных источников финансирования покрывает средства, вложенные в активы
(основные фонды, нематериальные активы, оборотные средства), не допускает
неоправданной кредиторской и дебиторской задолженности и своевременно
расплачивается по всем своим обязательствам. При этом основой финансовой
устойчивости служат рациональная организация и использование оборотных средств.
Также финансовая устойчивость предприятия связана со «степенью независимости от
внешних воздействий, в первую очередь со степенью независимости от кредиторов»[13,
с. 42].
Существуют различные виды классификации
финансовой устойчивости, представленные в таблице 1.
Таблица 1 Классификация видов финансовой
устойчивости
|
№
п/п
|
Признак
|
Виды
|
Краткая
характеристика
|
|
1.
|
В
зависимости от факторов, влияющих на устойчивость
|
Внутренняя
устойчивость
|
это
такое общее финансовое состояние организации, при котором обеспечивается
стабильно высокий результат функционирования. В основе ее достижения лежит
принцип активного реагирования на изменение среды хозяйствования;
|
|
|
Внешняя
устойчивость
|
обусловлена
стабильностью экономической среды, в рамках которой действует предприятие, и
достигается соответствующей системой управления рыночной экономикой в
масштабах всей страны.
|
|
2.
|
В
зависимости от причин, обусловливающих разные грани устойчивости
|
«Унаследованная»
устойчивость
|
Является
результатом наличия определенного запаса финансовой прочности организации,
сформированного в течение ряда лет, защищающего ее от случайностей и резких
изменений внешних неблагоприятных, дестабилизирующих факторов;
|
|
|
Общая
устойчивость
|
отражает
эффективность инвестиционных проектов; уровень материально-технической
оснащенности, организации производства, труда, управления; предполагает
движение денежных потоков, которые обеспечивают получение прибыли и позволяют
эффективно развивать производство;
|
|
|
Финансовая
(непосредственно или собственно) устойчивость
|
отражает
стабильное превышение доходов над расходами и состояние ресурсов, которое
обеспечивает свободное маневрирование денежными средствами предприятия и
путем их эффективного использования способствует бесперебойному процессу
производства и реализации, расширению и обновлению [18. c.256].
|
|
3.
|
В
зависимости от форм проявления
|
Текущая
|
на
конкретный (определенный) момент времени;
|
|
|
Потенциальная
|
связана
с преобразованиями и с учетом изменяющихся внешних условий;
|
|
|
Формальная
|
создается
и поддерживается государством, извне;
|
|
|
Реальная
|
в
условиях конкуренции и с учетом возможностей осуществления расширенного
производства.
|
1.2 Расчет и оценка коэффициентов финансовой
устойчивости
Задача анализа ликвидности возникает в связи с
необходимостью давать оценку платежеспособности организации, т.е. ее
способности своевременно и полностью рассчитываться по всем своим
обязательствам за счет наличия денежных средств и других ликвидных активов[14,
с.105].
Ликвидность баланса определяется как степень
покрытия обязательств организации ее активами, срок превращения которых в
деньги соответствует сроку погашения обязательств.
Анализ ликвидности баланса заключается в
сравнении средств по активу, сгруппированных по степени их ликвидности и
расположенных в порядке убывания ликвидности, с обязательствами по пассиву,
сгруппированными по срокам их погашения и расположенными в порядке возрастания
сроков.
В зависимости от степени ликвидности, т.е.
скорости превращения в денежные средства, активы предприятия разделяются на
следующие группы:
А1. Наиболее ликвидные активы - к ним относятся
все статьи денежных средств предприятия и краткосрочные финансовые вложения
(ценные бумаги). Данная группа рассчитывается следующим образом:
А1 = Денежные средства + Краткосрочные
финансовые вложения
или стр. 250 + стр. 260 (код строки
бухгалтерского баланса).
А2. Быстро реализуемые активы - дебиторская
задолженность, платежи по которой ожидаются в течение 12 месяцев после отчетной
даты.
А2 = Краткосрочная дебиторская задолженность или
стр. 240.
. Медленно реализуемые активы - статьи раздела
II актива баланса, включающие запасы, налог на добавленную стоимость,
дебиторскую задолженность (платежи по которой ожидаются более чем через 12
месяцев после отчетной даты) и прочие оборотные активы.
= Запасы + Долгосрочная дебиторская
задолженность + НДС+ +Прочие оборотные активы или стр. 210 + стр. 220 + стр.
230 + стр. 270
А4. Трудно реализуемые активы - статьи раздела I
актива баланса - внеоборотные активы.
А4 = Внеоборотные активы или стр. 190.
Пассивы баланса группируются по степени
срочности их оплаты.
П1. Наиболее срочные обязательства - к ним
относится кредиторская задолженность.
П1 = Кредиторская задолженность или стр. 620.
П2. Краткосрочные пассивы - это краткосрочные
заемные средства, задолженность участникам по выплате доходов, прочие
краткосрочные пассивы.
П2 = Краткосрочные заемные средства +
Задолженность участникам по выплате доходов + Прочие краткосрочные
обязательства или стр. 610 + стр. 630 + стр. 660.
ПЗ. Долгосрочные пассивы - это статьи баланса,
относящиеся к разделам IV и V, т.е. долгосрочные кредиты и заемные средства, а
также доходы будущих периодов, резервы предстоящих расходов и платежей.
ПЗ = Долгосрочные обязательства + Доходы будущих
периодов + Резервы предстоящих расходов и платежей или стр. 590 + стр. 640 +
стр. 650.
П4. Постоянные, или устойчивые, пассивы- это
статьи раздела III баланса «Капитал и резервы».
П4 = Капитал и резервы (собственный капитал
организации) или стр. 490.
Для определения ликвидности баланса следует
сопоставить итоги приведенных групп по активу и пассиву.
Баланс считается абсолютно ликвидным, если имеют
место следующие соотношения:
А1 ≥ П1 А2 ≥ П2 A3 ≥
П3 А4 ≤ П4
Если выполняются первые три неравенства в данной
системе, то это влечет выполнение и четвертого неравенства, поэтому важно
сопоставить итоги первых трех групп по активу и пассиву. Выполнение четвертого
неравенства свидетельствует о соблюдении одного из условий финансовой
устойчивости - наличия у предприятия оборотных средств.
В случае, когда одно или несколько неравенств
системы имеют знак, противоположный зафиксированному в оптимальном варианте,
ликвидность баланса в большей или меньшей степени отличается от абсолютной. При
этом недостаток средств по одной группе активов компенсируется их избытком по
другой группе в стоимостной оценке, в реальной же ситуации менее ликвидные
активы не могут заместить более ликвидные.
Сопоставление ликвидных средств и обязательств
позволяет вычислить следующие показатели:
♦ текущую ликвидность, которая
свидетельствует о платежеспособности (+) или неплатежеспособности (-)
организации на ближайший к рассматриваемому моменту промежуток времени:
ТЛ = (А1 +А2) - (П1 + П2);
♦ перспективную ликвидность - это
прогноз платежеспособности на основе сравнения будущих поступлений и платежей:
ПЛ = A3 - П3.
Для анализа ликвидности баланса составляется
таблица. В графы этой таблицы записываются данные на начало и конец отчетного
периода из сравнительного аналитического баланса по группам актива и пассива.
Сопоставляя итоги этих групп, определяют абсолютные величины излишних или
недостающих на начало и конец отчетного периода платежных средств.
Более точно оценить ликвидность баланса можно на
основе проведенного внутреннего анализа финансового состояния. В этом случае
сумма по каждой балансовой статье, входящей в какую- либо из первых трех групп
актива и пассива (группы А1-A3 и П1-П3), разбивается на части, соответствующие
различным строкам превращения в денежные средства для активных статей и
различным срокам погашения обязательств для пассивных статей:
♦ до 3 месяцев;
♦ от 3 до 6 месяцев;
♦ от 6 месяцев до года;
♦ свыше года.
Так группируются, в первую очередь, суммы по
статьям, отражающим дебиторскую задолженность и прочие активы, кредиторскую
задолженность и прочие пассивы, а также краткосрочные кредиты и заемные
средства.
Для распределения по срокам превращения в
денежные средства сумм по статьям раздела II актива используются величины
запасов в днях оборота. Далее суммируются величины по активу с одинаковыми
интервалами изменения ликвидности и величины по пассиву с одинаковыми
интервалами изменения срока погашения задолженности. В результате получаем
итоги по четырем группам по активу (не считая трудно реализуемых активов и
постоянных пассивов).
Анализ ликвидности баланса сводится к проверке
того, покрываются ли обязательства в пассиве баланса активами, срок превращения
которых в денежные средства равен сроку погашения обязательств.
Сопоставление итогов первой группы по активу и
пассиву, т.е. А1 и П1 (сроки до 3 месяцев), отражает соотношение текущих
платежей и поступлений. Сравнение итогов второй группы по активу и пассиву,
т.е. А2 и П2 (сроки от 3 до 6 месяцев), показывает тенденцию увеличения или
уменьшения текущей ликвидности в недалеком будущем. Сопоставление итогов по
активу и пассиву для групп III
и IV отражает
соотношение платежей и поступлений в относительно отдаленном будущем. Анализ,
проводимый по данной схеме, достаточно полно представляет финансовое состояние
с точки зрения возможностей своевременного осуществления расчетов.
Для анализа платежеспособности организации
рассчитываются финансовые коэффициенты платежеспособности. Таблица 2 [11, с.
111-112]. Они рассчитываются парами (на начало и конец анализируемого периода).
Если фактическое значение коэффициента не соответствует нормальному
ограничению, то оценить его можно по динамике (увеличение или снижение
значения).
Для комплексной оценки платежеспособности
предприятия в целом следует использовать общий показатель платежеспособности,
вычисляемый по формуле [14, с. 110]:
или 
.
С помощью данного показателя
осуществляется оценка изменения финансовой ситуации в организации с точки
зрения ликвидности. Данный показатель применяется также при выборе наиболее
надежного партнера из множества потенциальных партнеров на основе отчетности.
Оценка финансового состояния
предприятия будет не полной без анализа финансовой устойчивости[14, c.142-155].
Анализируя платежеспособность, сопоставляют состояние пассивов с состоянием
активов. Это дает возможность оценить, в какой степени организация готова к
погашению своих долгов.
Финансовая устойчивость -
характеристика стабильности финансового положения предприятия, обеспечиваемая
высокой долей собственного капитала в общей сумме используемых им финансовых
средств.
Задачей анализа финансовой
устойчивости является оценка степени независимости от заемных источников
финансирования. Это необходимо, чтобы ответить на вопросы: насколько
организация независима с финансовой точки зрения, растет или снижается уровень
этой независимости и отвечает ли состояние его активов и пассивов задачам ее
финансово-хозяйственной деятельности. Показатели, которые характеризуют
независимость по каждому элементу активов и по имуществу в целом, дают
возможность измерить, достаточно ли устойчива анализируемая организация в
финансовом отношении.
Структура капитала - один из
важнейших показателей оценки финансового состояния предприятия, характеризующий
соотношение суммы собственного и заемного используемого капитала.
Таблица 2 Финансовые коэффициенты
платежеспособности
|
Наименование
показателя
|
Способ
расчета
|
Нормальное
ограничение
|
Пояснения
|
|
1.Общий
показатель платежеспособности
|
|
L1≥ 1
|
|
|
2.Коэффициент
абсолютной ликвидности
|
|
|
L2≥0,2 ч 0,5
(зависит от отраслевой принадлежности организации; для производственных
предприятий оптимальное значение L2~0,3ч0,4)
|
Показывает,
какую часть текущей краткосрочной задолженности организация может погасить в
ближайшее время за счет денежных средств и приравненных к ним финансовым
вложений
|
|
3.Коэффициент
«критической оценки»
|
|
|
Допустимое
0,7 ч 0,8; желательно L3~1
|
Показывает,
какая часть краткосрочных обязательств организации может быть немедленно
погашена за счет денежных средств, средств в краткосрочных ценных бумагах, а
также поступлений по расчетам
|
|
4.Коэффициент
текущей ликвидности
|
|
|
Необходимое
значение L4=1,5;
оптимальное L4~ 2,0 ч
3,5
|
Показывает,
какую часть текущих обязательств по кредитам и расчетам можно погасить,
мобилизовав все оборотные средства
|
|
5.
Коэффициент маневренности функционирующего капитала
|
|
|
Уменьшение
показателя в динамике - положительный эффект
|
Показывает,
какая часть функционирующего капитала обездвижена в производственных запасах
и долгосрочной дебиторской задолженности
|
|
6.
Доля оборотных средств в активах
|
|
|
L6≥0,5
|
Зависит
от отраслевой принадлежности организации
|
|
7.
Коэффициент обеспеченности собственными средствами
|
|
|
L7≥0,1 (чем
больше, тем лучше)
|
Характеризует
наличие у организации собственных оборотных средств, необходимых для ее
текущей деятельности
|
Этот показатель применяется при определении
уровня финансовой устойчивости предприятия, при управлении эффектом финансового
рычага, при расчете средневзвешенной стоимости капитала и в других случаях.
Целевая финансовая структура капитала - один из
внутренних финансовых нормативов предприятия, в соответствии с которым
формируется соотношение собственного и заемного капитала на предстоящий период.
Оптимизация структуры капитала - процесс
определения соотношения использования собственного и заемного капитала, при
котором обеспечиваются оптимальные пропорции между уровнем рентабельности
собственного капитала и уровнем финансовой устойчивости, т.е. максимизируется
рыночная стоимость предприятия.
Необходимо определить, какие абсолютные
показатели отражают сущность устойчивости финансового состояния.
Долгосрочные пассивы (кредиты и займы) и
собственный капитал направляются преимущественно на приобретение основных
средств, на капитальные вложения и другие внеоборотные активы. Для того чтобы
выполнялось условие платежеспособности, необходимо, чтобы денежные средства и
средства в расчетах, а также материальные оборотные активы покрывали
краткосрочные пассивы.
На практике следует соблюдать следующее
соотношение:
Оборотные активы < (Собственный капитал Ч 2 -
Внеоборотные активы).
Коэффициенты оценки финансовой устойчивости
предприятия - это система показателей, которые характеризуют структуру
используемого капитала предприятия с позиции степени финансовой стабильности
его стабильности в предстоящем периоде. Для осуществления такой оценки
используется расчет показателей финансовой устойчивости, таблица 3.
Таблица 3 Показатели финансовой устойчивости
|
Наименование
показателя
|
Способ
расчета
|
Нормальное
ограничение
|
Пояснения
|
|
1.
Коэффициент капитализации (плечо финансового рычага)
|
|
|
Не
выше 1,5
|
Показывает,
сколько заемных средств организация привлекла на 1 руб. вложенных в активы
собственных средств
|
|
2.Коэффициент
обеспеченности собственными источниками финансирования
|
|
|
Нижняя
граница 0,1; opt.U2
≥
0,5
|
Показывает,
какая часть оборотных активов финансируется за счет собственных источников
|
|
3.Коэффициент
финансовой независимости (автономии)
|
|
|
U3≥ 0,4ч0,6
|
Показывает
удельный вес собственных средств в общей сумме источников финансирования
|
|
4.Коэффициент
финансирования
|
|
|
U4 ≥ 0,7; opt. 1,5Показывает,
какая часть деятельности финансируется за счет собственных, а какая - за счет
заемных средств
|
|
|
5.
Коэффициент финансовой устойчивости
|
|
|
U5
≥ 0,6
|
Показывает,
какая часть актива финансируется за счет устойчивых источников
|
Уровень общей финансовой независимости
характеризуется коэффициентом U3,
т.е. определяется удельным весом собственного капитала организации в общей его
величине.U3 отражает
степень независимости организации от заемных источников.
В большинстве стран принято считать финансово
независимое предприятие с удельным весом собственного капитала в общей его
величине от 30% (критическая точка) до 70%.
Установление критической точки на уровне 30%
достаточно условно и является итогом следующих рассуждений: если в определенный
момент банк, кредиторы предъявят все долги к взысканию, то организация сможет
их погасить, реализовав 30% своего имущества, сформированного за счет
собственных источников, даже если оставшаяся часть имущества окажется по
каким-либо причинам неликвидной.
В Методических рекомендациях по разработке
финансовой политики предприятия, утвержденных Министерством экономики РФ[12],
предлагается все показатели финансово-экономического состояния организации
разделить на 2 уровня: первый и второй. Эти категории имеют между собой
существенные качественные различия.
В первый уровень входят показатели, для которых
определены нормативные значения. К их числу относятся показатели
платежеспособности и финансовой устойчивости.
Анализируя динамику этих показателей, следует
обратить внимание на тенденцию их изменения. Если их значения ниже или выше нормативных,
то это следует рассматривать как ухудшение характеристик анализируемой
организации. Выделяют несколько состояний показателей первого уровня, таблица
4.
Таблица 4 Состояние показателей первого уровня
|
Тенденции
|
Улучшение
значений
|
Значения
устойчивости
|
Ухудшение
показателей
|
|
Соответствие
нормативам
|
1
|
2
|
3
|
|
Нормативные
значения I
|
I.1
|
I.2
|
I.3
|
|
Значения
не соответствуют нормативным II
|
II.1
|
II.2
|
II.3
|
Состояние I.1 - значения показателей находятся в
пределах рекомендуемого диапазона нормативных значений («коридора»), но у его
границ. Анализ динамики показателей свидетельствует, что движение происходит в
сторону наиболее приемлемых значений (движение от границ к центру «коридора»).
Если группа показателей данного уровня находится в состоянии 1.1, то данному
аспекту финансового состояния организации можно дать оценку «отлично».
Состояние I.2 - значения показателей находятся в
рекомендуемых границах, а анализ динамики показывает их устойчивость. В таком
случае по данной группе показателей финансовое состояние организации можно
определить как «отличное» (значения показателя находятся в середине «коридора»)
или «хорошее» (значение у одной из границ «коридора»).
Состояние I.3 - значения показателей находятся в
рекомендуемых границах, но анализ динамики указывает на их ухудшение (движение
от середины «коридора» к его границам). Оценка финансового состояния в этом
случае - «хорошо».
Состояние II.1 - значения показателей находятся
за пределами рекомендуемых, но наблюдается тенденция к улучшению. В этом
случае, в зависимости от отклонения от нормы и темпов движения к ней,
финансовое состояние организации может быть охарактеризовано как «хорошее» или
«удовлетворительное».
Состояние II.2-
значения показателей устойчиво находятся вне рекомендуемого «коридора». Оценка
- «удовлетворительно» или «неудовлетворительно». Выбор оценки определяется
величиной отклонения от нормы и оценками других аспектов
финансово-хозяйственного состояния организации.
Состояние II.3-
значения показателей находятся за пределами нормы и все время ухудшаются.
Оценка - «неудовлетворительно».
Учитывая многообразие финансовых процессов,
множественность показателей финансового состояния, различия в уровне
критических оценок, складывающуюся степень отклонения от них фактических
значений коэффициентов и возникающих в связи с этим сложностей в общей оценке
финансового положения организации, рекомендуют производить балльную оценку
финансового состояния.
Сущность такой методики заключается в
классификации организаций по уровню финансового риска, то есть любая
анализируемая организация может быть отнесена к определенному классу в
зависимости от «набранного» количества баллов, исходя из фактических значений
ее финансовых коэффициентов. Таблица 5.
-й класс - это организации с абсолютной
финансовой устойчивостью и абсолютно платежеспособные, чье финансовое состояние
позволяет быть уверенными в своевременном выполнении обязательств в
соответствии с договорами. Это организации, имеющие рациональную структуру
имущества и его источников, и, как правило, довольно прибыльные.
-йкласс - это организации с нормальным
финансовым состоянием. Их финансовые показатели в целом находятся очень близко
к оптимальным, но по отдельным коэффициентам допущено некоторое отставание. У
этих организаций, как правило, неоптимальное соотношение собственных и заемных
источников финансирования, сдвинутое в пользу заемного капитала. При этом
наблюдается опережающий прирост кредиторской задолженности по сравнению с
приростом других заемных источников, а также по сравнению с приростом
дебиторской задолженности. Обычно это рентабельные организации.
-й класс - это организации, финансовое состояние
которых можно оценить как среднее. При анализе бухгалтерского баланса
обнаруживается «слабость» отдельных финансовых показателей. У них либо
платежеспособность находится на границе минимально допустимого уровня, а
финансовая устойчивость нормальная, либо наоборот - неустойчивое финансовое
состояние из-за преобладания заемных источников финансирования, но есть
некоторая текущая платежеспособность. При взаимоотношениях с такими
организациями вряд ли существует угроза потери средств, но выполнение
обязательств в срок представляется сомнительным.
-йкласс - это организации с неустойчивым
финансовым состоянием. При взаимоотношениях с ними имеется определенный финансовый
риск. У них неудовлетворительная структура капитала, а платежеспособность
находится на нижней границе допустимых значений. Прибыль у таких организаций,
как правило, отсутствует вовсе или очень незначительная, достаточная только для
обязательных платежей в бюджет.
-й класс - это организации с кризисным
финансовым состоянием. Они неплатежеспособны и абсолютно неустойчивы с
финансовой точки зрения. Эти предприятия убыточные.
Таблица 5 Границы классов организаций согласно
критериям оценки финансового состояния
|
№
|
Показатели
финансового состояния
|
Условия
снижения критерия
|
Границы
классов согласно критериям
|
|
|
|
1
-й класс
|
2-й
класс
|
3-й
класс
|
4-й
класс
|
5-й
класс
|
|
1
|
Коэффициент
абсолютной ликвидности
|
За
каждые 0,01 пункта снижения снимается по 0,2 балла
|
0,70
и более присваиваем 14 баллов
|
0,69ч0,50
присваиваем от 13,8 до 10 баллов
|
0,49ч0,30
присваиваем от 9,8 до 6 баллов
|
0,29ч0,10
присваиваем от 5,8 до 2 баллов
|
Менее
0,10 присваиваем от 1,8 до 0 баллов
|
|
2
|
Коэффициент
«критической» оценки
|
За
каждые 0,01 пункта снижения снимается по 0,2 балла
|
1
и более -> 11 баллов
|
0,99ч0,80
-> от 10,8до 7 баллов
|
0,79ч0,70
->6,8 до 5 баллов
|
0,69ч0,60
->4,8 до 3 баллов
|
0,59
и менее-> от 2,8 до 0 баллов
|
|
3
|
Коэффициент
текущей ликвидности
|
За
каждые 0,01 пункта снижения снимается по 0,3 балла
|
2
и более -> 20 баллов, от 1,70 до 2,0 ->19 баллов
|
1,69ч1,50
-> от 18,7 до 13
баллов
|
1,49ч1,30
-> от 12,7 до 7
баллов
|
1,29ч1,10
-> от 6,7 до 1
балла
|
1,09
и менее-> от0,7 до 0 баллов
|
|
4
|
Доля
оборотных средств в активах
|
За
каждые 0,01 пункта снижения снимается по 0,2 балла
|
0,5
и более ->10 баллов
|
0,49ч0,40
->от9,8 до 8 баллов
|
0,39ч0,30
-> от 7,8 до 6 баллов
|
0,29ч0,20
-> от 5,8 до 4 баллов
|
Менее
0,20 ->от 3,8 до 0 баллов
|
|
5
|
Коэффициент
обеспеченности собственными средствами
|
За
каждые 0,01 пункта снижения снимается по 0,3 балла
|
0,5
и более -> 12,5 балла
|
0,49ч0,40
->от 12,2 до 9,5 балла
|
0,39ч0,20
-> от 9,2 до 3,5 балла
|
0,19ч0,10
-> от 3,2 до 0,5 балла
|
Менее
0,10 -> 0,2 балла
|
|
6
|
Коэффициент
капитализации
|
За
каждые 0,01 пункта повышения снимается по 0,3 балла
|
Меньше
0,70 до 1->от 17,5 до 17,1 балла
|
1,01ч1,22
-> от 17,0 до 10,7 балла
|
1,23ч1,44
->от 10,4 до 4,1 балла
|
1,45ч1,56
-> от 3,8 до 0,5 балла
|
1,57
и более -> от 0,2 до 0 баллов
|
|
7
|
Коэффициент
финансовой независимости
|
За
каждые 0,01 пункта снижения снимается по 0.4 балла
|
0.50ч0.60
и более -> 10ч9 баллов
|
0,49ч0,45
-> от 8 до 6,4 балла
|
0.44ч0.40
-> от 6 до 4,4 балла
|
0,39ч0,31
-> от 4 до 0,8 балла
|
0.30
и менее -> от 0,4 до 0 баллов
|
|
8
|
Коэффициент
финансовой устойчивости
|
За
каждые 0,1 пункта снижения снимается по 1 баллу
|
0,80
и более ->5 баллов
|
0,79ч0,70
->4 балла
|
0,69ч0,60
->3 балла
|
0,59ч0,50
->2 балла
|
0,49
и менее -> от 1 до 0 баллов
|
|
9
|
Границы
классов
|
|
100ч97,6
балла
|
94,3ч68,6
балла
|
65,7ч39
баллов
|
36,1ч13,8
балла
|
10,9ч0
баллов
|
1.3 Методы управления финансовой
устойчивостью и ликвидностью в строительстве
Методы управления финансовой устойчивостью и
ликвидностью в сфере промышленного и гражданского строительства имеют свою
отраслевую специфику.
Объекты строительства, как продукт деятельности
организации, имею длительный цикл производства. От момента создания проектной
документации на строительство, до момента сдачи объекта государственной
комиссии, уходит до нескольких лет. Все это время на каждом этапе требуются
значительные материальные средства. Как правило, строительные предприятия не
располагают достаточным количеством ликвидности для осуществления
финансирования полного цикла работ. Возможность получения кредитных средств, в
кредитных организациях, ограничена из-за недостаточности имеющихся активов.
Строительная организация, выступая в роли
заказчика строительства, на различных этапах строительства заключает договор с
подрядными организациями специализирующихся на определенных видах деятельности,
для осуществления, согласно плана строительства, определенных работ. Используя
подрядные организации, заказчику строительства нет необходимости держать на
балансе дорогостоящую строительную технику, что снижает налогооблагаемую базу,
но в свою очередь уменьшает активы, что негативно отражается на показателях
ликвидности и понижает возможность получения кредитов на более выгодных
условиях.
Хорошей возможностью привлечения денежных
средств, стало долевое участие в строительстве, что позволило привлекать
средства как юридических, так и физических лиц. Чтобы урегулировать данные
отношения был принят закон "Об участии в долевом строительстве
многоквартирных домов и иных объектов недвижимости"[7]. Законом
регулируются отношения, связанные с привлечением денежных средств граждан и
юридических лиц для долевого строительства многоквартирных домов и (или) иных
объектов недвижимости на основании договора участия в долевом строительстве и
возникновением у его участников права собственности на объекты долевого
строительства, а также устанавливаются гарантии защиты прав, законных интересов
и имущества участников долевого строительства.
Застройщики вправе привлекать денежные средства
только после получения разрешения на строительство, опубликования и (или)
размещения проектной декларации и государственной регистрации права собственности
или права аренды на земельный участок, предоставленный для строительства
(создания) многоквартирного дома и (или) иных объектов недвижимости, в состав
которых будут входить объекты долевого строительства.
В соответствии с пунктом 1 статьи 2
<#"822762.files/image029.gif">
где: А - стоимость активов
застройщика;
О - сумма обязательств застройщика
перед участниками долевого строительства. При этом обязательства застройщика
перед участником долевого строительства определяются исходя из цены договора
участия в долевом строительстве.
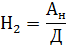
Норматив целевого использования
средств рассчитывается по следующей формуле:
где: Ан - стоимость
активов застройщика, не связанных со строительством, включающая в себя сумму
следующих показателей: внеоборотные активы, дебиторская задолженность (платежи
по которой ожидаются более чем через 12 месяцев после отчетной даты, в том
числе покупатели и заказчики), дебиторская задолженность (платежи по которой
ожидаются в течение 12 месяцев после отчетной даты, в том числе покупатели и
заказчики), краткосрочные финансовые вложения за вычетом стоимости активов
незавершенного строительства и денежных средств участников долевого
строительства, предоставленных с отсрочкой платежа;
Д - общая сумма долгосрочных и
краткосрочных обязательств застройщика, за исключением обязательств по договорам
участия в долевом строительстве.
Норматив безубыточности определяется
как количество лет, из трех последних лет работы застройщика, в которых в
годовом отчете о прибылях и убытках у застройщика в качестве конечного
финансового результата деятельности отражалась прибыль.
Значение нормативов определяется
следующим образом: норматив обеспеченности обязательств - не менее 1;
норматив целевого использования
средств - не более 1;
норматив безубыточности - не менее
1. [8]
Расчет размера собственных денежных
средств и нормативов оценки финансовой устойчивости деятельности застройщика
производится самим застройщиком в соответствии с инструкцией[10], утверждаемой
Федеральной службой по финансовым рынкам по согласованию с Министерством
финансов РФ. Оценка финансовой устойчивости деятельности застройщика по
нормативу безубыточности осуществляется ежегодно, по другим нормативам -
ежеквартально. Расчет размера собственных денежных средств застройщика
осуществляется также ежеквартально.
Застройщик несет ответственность за
несоблюдение требований, предъявляемых к размеру собственных денежных средств,
а также установленных нормативов оценки финансовой устойчивости его
деятельности. В частности, деятельность застройщика по привлечению денежных
средств участников долевого строительства может быть приостановлена, если
размер собственных средств застройщика ниже установленных минимальных значений.
Наличие долевого участия в
строительстве полностью не решает проблему ликвидности. Участие в долевом
строительстве физических лиц чаще всего решается за счет ипотечного
кредитования. Банки выдают ипотечный кредит, как правило только после
возведения 30% объема здания, а если принять во внимание подготовительные
этапы, то применительно ко всему строительству это около 70% выполненных работ
и вопрос финансирования остается острым почти на всех этапах строительства.
Длительность цикла строительства,
большие заемные средства отрицательно сказываются на финансовых показателях
ликвидности, платежеспособности, финансовой устойчивости, но это является
отраслевой спецификой производства. После завершения строительства данные
показатели меняются в положительную сторону.
Наличие жестких требований со
стороны государства соблюдения нормативов обеспеченности обязательств, целевого
использования средств, безубыточности требует четкого управления финансовой
устойчивостью.
Управление финансовой устойчивостью
предприятия в реальном режиме времени предполагает, что управленческие
воздействия могут быть текущими и оперативными.
Текущее управление означает, что
анализ финансово-экономического состояния предприятия осуществляется на базе
аналитических финансовых таблиц, балансов движения добавленной стоимости и
финансовых ресурсов, включая рассмотрение обменных, распределительных и
финансовых операции, отдельно баланса движения собственного капитала в денежной
форме. Такой анализ должен опираться, прежде всего, на достаточный
информационный массив данных, а поэтому текущее управление финансовой
устойчивостью целесообразно проводить не реже 2-3 раз в месяц и обязательно при
закрытии отчетного периода.
Оперативное управление, наоборот,
имеет совсем другой временной разрез - сутки, и поэтому управленческие
воздействия могут осуществляться ежедневно, а в течение одного рабочего дня -
неоднократно. В этом случае используются другие выходные формы - формы
внутренней отчетности, анализа и аудита, которые называются сводными рапортами.
Основная их задача - обеспечение руководства предприятия оперативной
информацией о движении материальных, финансовых и документарных потоков,
собственных и заемных средств, расчеты с покупателями и поставщиками,
оборачиваемости оборотных средств. Эти внутренние формы отчетности могут
составляться не только за истекшие сутки, но и за любой отрезок времени
(неделя, месяц, год), они содержат натуральные, стоимостные и финансовые
показатели, а также дают исчерпывающую информацию о выполнении бюджетов закупок
и продаж, работе структурных подразделений и отдельных видов деятельности.
Отсюда видно, что оперативное
управление - это скорее управление по отклонениям фактических значений
показателей от нормативных, а текущее управление - это соблюдение принятых
тенденций. В связи с этим особое место в текущем управлении уделяется анализу
финансовой устойчивости.
Условие финансовой устойчивости в
целом и платежеспособности в частности раскрывается на основе учета обменных
операций. При этом устанавливается общий предел образованных собственных
денежных средств и три направления их использования - оплату кредиторской
задолженности, выплату доходов и создание собственных источников для
дальнейшего развития и экономического роста.
Следует отметить, что эти
направления постоянно находятся в противоречии - что оплачивать или
финансировать сначала, что важнее, а что второстепенно и может подождать. Поэтому
для устранения очередности и приоритетов предлагается включить в рассмотрение
организационный аспект управления финансовой устойчивостью - составление
сводной калькуляции и баланса движения денежных средств (платежный баланс), что
дает надежные гарантии, сначала получения, а затем и накопления собственных
источников, после чего эти источники могут быть израсходованы по целевому
назначению. Это означает что использование этих источников не нарушает
платежеспособность и финансовую устойчивость предприятия, поскольку платежный
баланс является положительным, а дефицита собственных денежных средств нет [19,
с.11].
Глава 2. Комплексный экономический
анализ деятельности ООО «Строй-Р»
.1 Общая характеристика ООО
«СТРОЙ-Р» и его организационно-правовые особенности
Полное наименование - Открытое
Акционерное Общество «СТРОЙ-Р». Сокращенное наименование - ООО «СТРОЙ-Р».
История и традиции ООО «СТРОЙ-Р»
берут свое начало в июле 1957 года, когда при исполкоме Мособлсовета была
образована служба единого заказчика по строительству объектов жилищного,
коммунального и социально-бытового назначения в Московской области, Главное
управление капитального строительства (ГУКС).
В соответствии с Распоряжением
Комитета по управлению имуществом Администрации Московской области от
31.12.1992 г. № 294 «О приватизации Главного управления капитального
строительства» государственное предприятие «Главное управление капитального
строительства при Мособлисполкоме» было преобразовано в Акционерное общество
открытого типа (АООТ) «ГУКС». Зарегистрировано Московской регистрационной
палатой 28.01.1993 г. № 021.014. В августе 2000 года Московская регистрационная
палата зарегистрировала новую редакцию Устава с новым наименованием: Открытое
акционерное общество (ОАО) «СТРОЙ-Р». Свидетельство о регистрации изменений в
учредительных документах Регистрационный № 21014-iu 1 от 07.08.2000 г. В июне
2002 г. в соответствии с принятыми изменениями в Федеральный закон «Об
акционерных обществах» Московская регистрационная палата зарегистрировала новую
редакцию Устава Открытого акционерного общества (ООО) «СТРОЙ-Р». Свидетельство
о регистрации изменений в учредительных документах от 25.06.2002 г.
Регистрационный № 21014.
Местонахождение Общества:
Почтовый адрес:
Телефон:
Адрес электронной почты: <mailto:glavuks@bk.ru>
Адрес страницы в сети Интернет:
В своей деятельности ООО «СТРОЙ-Р»
руководствуется Гражданским кодексом РФ, Федеральным законом об акционерных
обществах, другим действующим законодательством РФ, постановлениями и
распоряжениями органов управления, Уставом ООО «СТРОЙ-Р»
Целью деятельности Общества
являются:
·
удовлетворение
общественных интересов и потребностей в его работах и услугах;
·
реализация
на основе полученной прибыли социальных и экономических интересов акционеров и
членов трудового коллектива.
Основными видами деятельности являются:
производство и реализация работ и услуг в строительстве, осуществление функций
заказчика по строительству.
Руководствуясь Положением по ведению
бухгалтерского учета и бухгалтерской отчетности в Российской Федерации, № 34 от
29 июля 1998 года и Положением по бухгалтерскому учету «Учетная политика
организации» № 106н от 6 октября 2008 года, ООО «СТРОЙ-Р» осуществляет
следующую учетную политику:
Бухгалтерский учет осуществлялся по
плану счетов бухгалтерского учета финансово-хозяйственной деятельности
предприятий и инструкции по его применению с учетом изменений.
Применяется журнально-ордерная форма
ведения бухучета.
В целях обеспечения достоверности
данных бухгалтерского учета и отчетности проводилась инвентаризация имущества и
финансовых результатов по состоянию на 31.12.12г.
Выручка от реализации продукции (работ,
услуг) определяется по моменту отгрузки.
В 2012 году ООО «СТРОЙ-Р» осуществляло функции
заказчика по строительству объектов образования, здравоохранения и жилищного
строительства в Московской области, а также функции инвестора по строительству
объектов жилищного строительства в Московской области.
Сегодня в состав ООО "СТРОЙ-Р" входят
12 территориальных филиалов - управлений капитального строительства,
дислоцированных в районах Московской области, а также Специализированное
пусконаладочное управление.
Всё это позволяет ООО "СТРОЙ-Р"
оперативно решать поставленные перед ним задачи.
У ООО «СТРОЙ-Р» имеется вся
необходимая документация для ведения хозяйственной деятельности. После
вступления в силу закона "О саморегулируемых организациях"
<#"822762.files/image031.gif">
Рис. 3. Организационная структура ООО «СТРОЙ-Р»
В соответствии с Уставом ООО «СТРОЙ-Р»,
управление Обществом осуществляют:
высший орган общества - общее собрание
акционеров;
совет директоров;
генеральный директор.
Для изучения сильных и слабых сторон,
возможности функционирования на рынке и угроз (со стороны появления новых
товаров, поставщиков, конкурентов, государства, внутренней угрозы), проведем SWOT
- анализ для ООО «СТРОЙ-Р», рис. 4.
Рис. 4
Краткое изложение альтернативных решений по
каждой из проблем.
· Продолжать использовать достигнутый
опыт и репутацию компании в борьбе с конкурентами и нахождения взаимовыгодных
условий в работе с администрацией городов и поселений.
· Усиливать деятельность филиалов,
осваивать новые территории.
· Наращивать объемы строительства.
· Уменьшать издержки строительства.
· Работать по повышение качества
строительства.
· Используя знания сложившегося
коллектива, привлекать молодых специалистов для передачи опыта.
· Повысить мотивацию работы
сотрудников.
Анализ технико-экономических показателей
хозяйственной деятельности организация включает: контроль над ходом выполнения
программы по качеству продукции и оказания услуг; сравнение показателей выполнения
производственной программы цепным способом (сравнение производится за период
2011-2012 гг.).
В ООО «СТРОЙ-Р» не стоит на балансе тяжелая
строительная техника (подъемные краны, грузовики и т.д.), для всех
технологических циклов с использованием спецтехники, фирма пользуется услугами
сторонних организаций.
Технико-экономические показатели OАO
«СТРОЙ-Р» за период 2010 - 2012 гг. сводятся в таблицу 7.
Таблица 7 Технико-экономические показатели OАO
«СТРОЙ-Р»
|
Показатели
|
2010
|
2011
|
2012
|
2012
к 2010 %
|
2012
к 2011 %
|
|
Среднегодовая
стоимость оборотных средств, тыс. руб.
|
381015
|
366403
|
402983
|
105,8
|
110,0
|
|
Объем
выполненных работ, тыс. руб.
|
236702
|
224944
|
335916
|
141,9
|
149,3
|
|
Себестоимость
выполненных работ, тыс. руб.
|
98384
|
165840
|
226527
|
230,2
|
136,6
|
|
Среднегодовая
численность, чел.
|
38
|
35
|
33
|
86,8
|
94,3
|
|
Выработка
на одного работника, тыс. руб.
|
6229
|
6427
|
10179
|
163,4
|
158,4
|
|
Чистая
прибыль, тыс.руб.
|
100513
|
39125
|
31061
|
30,9
|
79,4
|
|
Экономическая
рентабельность, %
|
9,86
|
3,75
|
4,17
|
42,3
|
111,2
|
|
Объем
строительства, м.кв.
|
4406
|
4575
|
6121
|
138,9
|
133,8
|
|
Средняя
фактическая стоимость строительства 1кв.м, руб.
|
22329
|
36250
|
37008
|
165,7
|
102,1
|
|
Средняя
цена продажи 1 кв.м, руб.
|
53721
|
49169
|
54879
|
102,2
|
111,6
|
|
Трудоемкость
1кв.м, чел.*час.
|
17,14
|
15,16
|
10,71
|
62,5
|
70,6
|
Объем выполненных работ ООО «СТРОЙ-Р» стабильно
высокий, за период с 2010 по 2012 года он существенно вырос, почти на 50%. Это
произошло за счет правильных управленческих решений, которые позволили после
кризиса 2008 г. выйти с наименьшими потерями, а в период стабилизации увеличить
объемы строительства. Среднегодовая численность работников за рассматриваемый
период снилась на 5,7%. Уменьшение численности произошло по естественным
причинам, достижением сотрудников пенсионного возраста и выходом на пенсию.
Сокращений персонала не происходило. Большой средний возраст, 50 лет, является
потенциальной угрозой стабильности. Увеличение объемов выполненных работ и
снижение численности персонала повысило выработку на одного работника на 58% и
составила 10 179 тыс. руб.
Анализируя технико-экономические показатели за
период с 2010 года по 2012 год, представленные в таблице 7 можно сделать вывод,
что экономическое состояние организации ООО «СТРОЙ-Р» стабильное, что и
подтверждается расчетными данными.
Для наглядности, ряд показателей представим в
виде гистограмм.
Рис. 5. Объем строительства, м.кв. 2010 - 2012
гг.
Рис. 6. Средняя фактическая стоимость
строительства 1кв.м, руб.
Рис. 7. Средняя цена продажи 1кв.м, руб.
Рис. 8. Трудоемкость 1кв.м, чел.Ччас.
2.2 Группы показателей финансовых характеристик
ООО «СТРОЙ-Р»
В 2012 году основной хозяйственной деятельностью
ООО «СТРОЙ-Р», является - производство и реализация работ и услуг в
строительстве, осуществление функций заказчика по строительству.
Таблица 7 Основные финансовые результаты
деятельности ООО «СТРОЙ-Р»
|
Наименование
показателя
|
2010
г.
|
2011
г.
|
2012
г.
|
|
Выручка,
тыс. руб.
|
236
702
|
224
944
|
335
916
|
|
Расходы
по обычным видам деятельности, всего, тыс. руб.
|
(156
360)
|
(214
510)
|
(281
480)
|
|
-
себестоимость, тыс. руб.
|
(98
384)
|
(165
840)
|
(226
527)
|
|
-
управленческие расходы, тыс. руб.
|
(57
976)
|
(48
670)
|
(54
953)
|
|
Валовая
прибыль, тыс. руб.
|
138
318
|
59
104
|
109
389
|
|
Прибыль
(убыток) от продаж, тыс. руб.
|
80
342
|
10
434
|
54
436
|
|
Прочие
доходы, тыс. руб.
|
86
972
|
51
147
|
8
053
|
|
Прочие
расходы, тыс. руб.
|
(53
327)
|
(11
368)
|
(21
466)
|
|
Прибыль
(убыток) до налогообложения, тыс. руб.
|
113
987
|
50
213
|
41
023
|
|
Чистая
прибыль (нераспределенная прибыль (непокрытый убыток), тыс. руб.
|
100
513
|
39
125
|
31
061
|
|
Рентабельность
собственного капитала, %
|
33,20
|
10,79
|
7,91
|
|
Рентабельность
активов, %
|
9,06
|
3,8
|
3,48
|
|
Рентабельность
продукции (продаж), %
|
33,94
|
4,64
|
16,21
|
|
Оборачиваемость
капитала
|
0,78
|
0,62
|
0,86
|
|
Период
окупаемости собственного капитала, лет
|
1,25
|
4,53
|
5,97
|
|
Фондоотдача
|
8,07
|
7,67
|
11,46
|
|
Экономическая
рентабельность, %
|
9,86
|
3,75
|
4,17
|
В приведенной выше таблице 7, обобщены основные
финансовые результаты деятельности ООО «СТРОЙ-Р» за последние три года. Исходя
из этих данных, следует, что за весь анализируемый период Общество получало
прибыль от продаж. По итогам 2012 года прибыль от продаж составила сумму в
размере 54436 тыс. рублей. По сравнению с 2011годом прибыль от продаж выросла
на 44002 тыс. рублей, больше чем в пять раз, хотя и не достигла показателя 2010
г. в 80342 тыс.руб.
Рис. 9. Прибыль от продаж, за 2010 - 2012 гг.
На основании бухгалтерского баланса ООО
«СТРОЙ-Р» за 2012 г., составим сравнительный аналитический баланс. Таблица 8.
Рис. 10. Структура внеоборотных активов ООО
«СТРОЙ-Р» в 2012г.
Таблица 8 Сравнительный аналитический баланс
|
Наименование
показателя
|
код
строк
|
Абсолютные
величины, тыс. руб.
|
Относительные
величины, тыс. руб.
|
|
|
На
начало 2012г.
|
На
конец 2012г.
|
Изм.
(+,-)
|
На
начало 2012г.
|
На
конец 2012г.
|
Изм.
(+,-)
|
в
% к величине на начало 2012г.
|
в
% к изменению итога баланса
|
|
I.
Внеоборотные активы 1.1. Нематериальные активы
|
110
|
|
|
|
|
|
|
|
|
|
1.2.
Основные средства
|
120
|
30142
|
28495
|
-1647
|
2,9
|
3,8
|
0,9
|
-5,5
|
0,6
|
|
1.3.
Прочие внеоборотные активы
|
130,
135, 140, 150
|
662836
|
259221
|
-403615
|
63,6
|
34,8
|
-28,8
|
-60,9
|
135,8
|
|
Итого
по разделу I
|
190
|
692978
|
287716
|
-405262
|
66,5
|
38,6
|
-27,9
|
-58,5
|
136,3
|
|
II.
Оборотные активы 2.1. Запасы
|
210,
220
|
190331
|
308068
|
117737
|
18,3
|
41,4
|
23,1
|
61,9
|
-39,6
|
|
2.2.
Дебиторская задолженность платежи более чем через 12 мес.
|
230
|
|
|
|
|
|
|
|
|
|
2.3.
Дебиторская задолженность платежи до 12 месяцев
|
240
|
158510
|
116262
|
-42248
|
15,2
|
15,6
|
0,4
|
-26,7
|
14,2
|
|
2.4.
Краткосрочные финансовые вложения
|
250
|
|
|
|
|
|
|
|
|
|
2.5.
Денежные средства
|
260
|
165
|
31733
|
31568
|
0,0
|
4,3
|
4,2
|
19132,1
|
-10,6
|
|
2.6.
Прочие оборотные активы
|
270
|
|
898
|
898
|
0,0
|
0,1
|
0,1
|
|
-0,3
|
|
Итого
по разделу II
|
290
|
349006
|
456961
|
107955
|
33,5
|
61,4
|
27,9
|
30,9
|
-36,3
|
|
Медленно
реализуемые активы
|
210+220+230+270
|
190331
|
308966
|
118635
|
18,3
|
41,5
|
23,2
|
62,3
|
-39,9
|
|
Наиболее
ликвидные активы
|
250+260
|
165
|
31733
|
31568
|
4,3
|
4,2
|
19132,1
|
-10,6
|
|
Величина
финансово-эксплуатационных потребностей
|
210+230+240-620
|
99080
|
263654
|
164574
|
9,5
|
35,4
|
25,9
|
166,1
|
-55,4
|
|
Стоимость
имущества
|
190+290
|
1041984
|
744677
|
-297307
|
100
|
100
|
0
|
-28,5
|
100
|
|
III.
Капитал и резервы 3.1.Уставный капитал
|
410
|
15
|
15
|
0
|
0
|
0
|
0
|
0
|
0
|
|
3.2.
Добавочный капитал и резервный капитал
|
420+430
|
1285
|
1285
|
0
|
0,1
|
0,2
|
0
|
0
|
0
|
|
3.3.
Нераспределенная прибыль (непокрытый убыток)
|
470
|
369843
|
412632
|
42789
|
35,5
|
55,4
|
19,9
|
11,6
|
-14,4
|
|
Итого
по разделу III
|
490
|
371143
|
413932
|
42789
|
35,6
|
55,6
|
20,0
|
11,5
|
-14,4
|
|
IV.
Долгосрочные обязательства
|
590
|
|
|
|
|
|
|
|
|
|
V.
Краткосрочные обязательства 5.1. Заемные средства
|
610
|
20000
|
|
-20000
|
1,9
|
0
|
-1,9
|
-100
|
6,7
|
|
5.2.
Кредиторская задолженность
|
620
|
170046
|
130324
|
-39722
|
16,3
|
17,5
|
1,2
|
-23,4
|
13,4
|
|
5.3.
Прочие обязательства
|
630+640+650+660
|
480795
|
200421
|
-280374
|
46,1
|
26,9
|
-19,2
|
-58,3
|
94,3
|
|
Итого
по разделу V
|
690
|
670841
|
330745
|
-340096
|
64,4
|
44,4
|
-20,0
|
-50,7
|
114,4
|
|
Краткосрочные
пассивы
|
610+630,
660
|
20000
|
0
|
-20000
|
1,9
|
0
|
-1,9
|
-100,0
|
6,7
|
|
Всего
заемных средств
|
590+690
|
670841
|
330745
|
-340096
|
64,4
|
44,4
|
-20,0
|
-50,7
|
114,4
|
|
БАЛАНС
|
300
или 700
|
1041984
|
744677
|
-297307
|
100
|
100
|
0
|
-28,5
|
100
|
|
Рабочий
капитал
|
290-690
|
-321835
|
126216
|
448051
|
-30,9
|
16,9
|
47,8
|
-139,2
|
-150,7
|
|
Величина
собственных средств в обороте
|
490-190
|
-321835
|
126216
|
448051
|
-30,9
|
16,9
|
47,8
|
-139,2
|
-150,7
|
Рис. 11. Структура оборотных активов ООО
«СТРОЙ-Р» в 2012г
Как видно из таблицы 7 за период 2012 года
активы ООО «СТРОЙ-Р» уменьшились на 297307 тыс. руб., или на 28,5%, за счет
уменьшения внеоборотных активов на 405262 тыс. руб. Объем оборотных активов за
2012г. вырос на 107955 тыс. руб. или на 30,9% по сравнению с началом года.
На основании сравнительного аналитического
баланса (таблица 8) можно сделать предварительные выводы.
. Валюта баланса в конце 2012 г. уменьшилась на
297307 тыс. руб., или на 28,5%, что не является хорошим показателем.
. Оборотные активы за 2012г. выросли с
349006тыс.руб. до 456961тыс.руб. прирост составил 30,9%. В тоже время
внеоборотные активы уменьшились на 27,9% за данный период. Совокупность данных
показателем является хорошим признаком.
. Также хорошим показателем баланса является то,
что за отчетный период собственный капитал вырос на 20% и составил 413932
тыс.руб., а заемный снизился на 20% и составил 330745 тыс. руб. и собственный капитал
организации больше заемного.
. Дебиторская задолженность снизилась на 26,7% и
составила 116262тыс.руб., а кредиторская задолженность снизилась на 23,4% и
составила 130324 тыс.руб. Дебиторская и кредиторская задолженности примерно
равны, что является хорошим признаком.
. На конец года величина собственных средств в
обороте составила 16,9% , что хорошо, т.к. превышает показательную величину
10%.
. Еще хорошим признаком баланса является то, что
вместо статьи «Непокрытый убыток» присутствует статья «Нераспределенная
прибыль» и составляет 412632 тыс.руб.
За 2012г. у ООО «СТРОЙ-Р» снизилась валюта
баланса, но остальные показатели остались хорошими.
Для анализа ликвидности бухгалтерского баланса
составляется таблица8. На основании таблицы 9 построим графики. Рис.12, Рис13.
Таблица 9 Анализ ликвидности бухгалтерского
баланса ОАО«СТРОЙ-Р» за 2012г.
|
АКТИВ
|
На
начало периода
|
На
конец периода
|
ПАССИВ
|
На
начало периода
|
На
конец периода
|
Платежный
излишек или недостаток (+-)
|
|
1
|
2
|
3
|
4
|
5
|
6
|
7=2-5
|
8=3-6
|
|
Наиболее
ликвидные активы (А1)
|
165
|
31733
|
Наиболее
срочные обязательства (П1)
|
170046
|
130324
|
-169881
|
-98591
|
|
Быстрореализуемые
активы (А2)
|
158510
|
116262
|
Краткосрочные
пассивы (П2)
|
20000
|
0
|
138510
|
116262
|
|
Медленно
реализуемые активы (A3)
|
190331
|
308966
|
Долгосрочные
пассивы (ПЗ)
|
480795
|
200421
|
-290464
|
108545
|
|
Труднореализуемые
активы (А4)
|
692978
|
287716
|
Постоянные
пассивы (П4)
|
371143
|
413932
|
321835
|
-126216
|
|
БАЛАНС
|
1041984
|
744677
|
БАЛАНС
|
1041984
|
744677
|
-
|
-
|
Рис. 12. Ликвидность активов
Рис. 13. Ликвидность пассивов.
Результаты расчетов по данным ООО «СТРОЙ-Р» на
2012г. (табл. 8) показывают, что в организации сопоставление итогов групп по
активу и пассиву имеет следующий вид:
А1< П1; А2 > П2; A3 > П3; А4 < П4.
Вычислим текущую ликвидность ТЛ и перспективную
ликвидность ПЛ.
ТЛ = (А1 +А2) - (П1 +
П2)=(31733+116262)-(130324+0)=17671 тыс.руб.
ПЛ = A3 - П3=308966-200421=108545 тыс.руб.
Анализ ликвидности бухгалтерского баланса ООО
«СТРОЙ-Р» за 2012г. показывает, что в течение года предприятию удалось
выровнять ситуацию с текущей ликвидностью и в конце года предприятие имеет
положительную платежеспособность, текущая ликвидность составляет 17671тыс.руб.
Организация в период следующего года также платежеспособно, перспективная
ликвидность составляет 108545 тыс. руб.
Исходя из данных бухгалтерского баланса ООО
«СТРОЙ-Р» за 2012г. (Приложение 1) составим таблицу финансовых коэффициентов
платежеспособности, таблица 9. На основании таблицы 10 построим график, Рис.14.
Таблица 10 Финансовые коэффициенты
платежеспособности ООО «СТРОЙ-Р» за 2012г.
|
Коэффициент
платежеспособности
|
На
начало 2012 г.
|
На
конец 2012 г.
|
Откл.
|
|
1.
Общий показатель ликвидности (L1)
|
0,42
|
0,96
|
0,54
|
|
2.
Коэффициент абсолютной ликвидности (L2)
|
0,001
|
0,24
|
0,24
|
|
3.
Коэффициент «критической оценки» (L3)
|
0,83
|
1,14
|
0,30
|
|
4.
Коэффициент текущей ликвидности (L4)
|
1,8
|
3,5
|
1,67
|
|
5.
Коэффициент маневренности функционирующего капитала (L5)
|
1,20
|
0,94
|
-0,25
|
|
6.
Доля оборотных средств в активах (L6)
|
0,33
|
0,61
|
0,28
|
|
7.
Коэффициент обеспеченности собственными средствами (L7)
|
-0,92
|
0,28
|
1,20
|
Рис. 14. Финансовые коэффициенты
платежеспособности ООО «СТРОЙ-Р» за 2012 г.
Динамика всех коэффициентов, кроме коэффициента
маневренности функционирующего капитала (L5)
- положительная. Отрицательная динамика L5,
является также положительным фактом.
Общий показатель ликвидности (L1)
в начале года низкий, к концу года приблизился к критериальному и составил
0,96.
Коэффициент абсолютной ликвидности (L2),
в начале года приближался к нулю, но к концу года достиг допустимого значения и
составил 0,24.
Коэффициент «критической оценки» (L3)
в начале 2012 г. составлял 0,83 что составляло допустимое значение, к концу
года превысило значение 1и составило 1,14. Данный показатель отображает, что
краткосрочные обязательства могут полностью и немедленно погашены за счет
денежных средств, средств в краткосрочных ценных бумагах, а также поступлений
по расчетам.
Главным показателем платежеспособности является
коэффициент текущей ликвидности (L4),
он позволяет установить, в какой кратности текущие активы покрывают
краткосрочные обязательства. Данный коэффициент в начале 2012 г. равнялся 1,8,
а к концу года вырос до 3,5, что является оптимальным значением.
Коэффициент (L6=0,61)
превышает допустимое значение 0,5 - положительный фактор.
Коэффициент (L7=0,28)
превышает допустимое значение 0,1, также положительный фактор.
Исходя из всех значений коэффициентов
платежеспособности можно сделать вывод, что на начало 2012 г. у ООО «СТРОЙ-Р»
имелись проблемы с платежеспособностью, но за период 2012 г. предприятие
полностью исправило ситуацию и на начало 2013 г. ООО «СТРОЙ-Р» полностью
платежеспособно.
Простой и приблизительный способ оценки
финансовой устойчивости - сравнение оборотных активов с собственным капиталом и
внеоборотными активами исходя из формулы:
Оборотные активы <(Собственный капитал Ч 2 -
Внеоборотные активы
На начало 2012г. 349006 < (371143Ч2 -
692978)=49308.
На конец 2012г. 456961 > (413932Ч2 -
287716)=540148.
По балансу ООО «СТРОЙ-Р» за 2012г. видно, что на
начало года условие финансовой устойчивости соблюдалось, а в конце года - нет.
2.3 Факторный анализ финансовой устойчивости ООО
«СТРОЙ-Р» за 2012г.
Для дальнейшей оценки финансовой устойчивости
используем метод коэффициентов оценки финансовой устойчивости, составив таблицу
11.
Таблица 11 Значение коэффициентов,
характеризующих финансовую устойчивость
|
Наименование
показателя
|
На
начало 2012г.
|
На
конец 2012 г.
|
Отклонение
|
|
1.
Коэффициент капитализации (плечо финансового рычага) (U1)
|
1,808
|
0,799
|
-1,008
|
+
|
|
2.Коэффициент
обеспеченности собственными источниками финансирования (U2)
|
-0,922
|
0,276
|
1,198
|
-
|
|
3.Коэффициент
финансовой независимости (автономии) (U3)
|
0,356
|
0,556
|
0,200
|
+
|
|
4.Коэффициент
финансирования (U4)
|
0,553
|
1,252
|
0,698
|
+
|
|
5.
Коэффициент финансовой устойчивости (U5)
|
0,356
|
0,556
|
0,200
|
-
|
Исходя из данных таблицы 11 видно, что на начало
2012г. ООО «СТРОЙ-Р» по всем показателям находился в финансово не устойчивом
состоянии, но в течение года ситуация по большинству показателям улучшилась.
Динамика коэффициента капитализации (U1)
на конец 2012 г., свидетельствует о достаточной финансовой устойчивости ООО
«СТРОЙ-Р». Рис. 15
Рис. 15. Коэффициента капитализации (U1).
Коэффициент обеспеченности собственными
источниками финансирования (U2)
для ООО «СТРОЙ-Р» за весь период остался ниже нормального значения 0,5.
Показатель данного коэффициента 0,276 говорит о том, что оборотные активы
финансируются на 72,4% за счет привлеченных средств. Данная ситуация
отрицательно сказывается на финансовой устойчивости предприятия. Рис. 16.
Рис. 16. Коэффициент обеспеченности собственными
источниками финансирования (U2).
Коэффициент финансовой независимости (U3)
показывает удельный вес собственных средств в общей сумме источников
финансирования, для ООО «СТРОЙ-Р» он составляет 0,556. Данный коэффициент
свидетельствует о благоприятной финансовой ситуации в ООО «СТРОЙ-Р» в 2012 г.
Собственникам предприятия принадлежат более половины (55,6%) в стоимости
имущества. Рис. 17.
Данный вывод подтверждает и значение
коэффициента финансирования (U4),
он составил 1,252, что близко к оптимальному значению 1,5. Рис. 18.
Коэффициент финансирования (U5)
показывает, какая часть актива финансируется за счет устойчивых источников в
ООО «СТРОЙ-Р» данный показатель составил 55,6%, что не достаточно для
финансовой устойчивости.
Рис. 17. Коэффициент финансовой независимости (U3).
Рис. 18. Коэффициент финансирования (U4).
Рис. 19. Коэффициент финансирования (U5).
Анализируя коэффициенты финансовой устойчивости
ООО «СТРОЙ-Р» за 2012 г. можно сделать ряд определенных выводов.
ООО «СТРОЙ-Р» является финансово независимой, но
не достаточно финансово устойчивой организацией.
Применяя методику, разработанную в методических
рекомендациях по разработке финансовой политики предприятия[12] к полученным
нами результатам по коэффициентам платежеспособности и финансовой устойчивости,
можно сделать выводы, представленные в таблице 12.
Таблице 12 Оценка состояния показателей первого
уровня
|
Наименование
показателя
|
Соответствие
нормативу
|
Тенденция
|
Состояние
показателя
|
Оценка
|
|
L1
|
Не
соответствует нормативу
|
Улучшение
|
II.1
|
|
L2
|
Соответствует
нормативу
|
Улучшение
|
I.1
|
Отлично
|
|
L3
|
Соответствует
нормативу
|
Устойчивая
|
I.1
|
Отлично
|
|
L4
|
Соответствует
нормативу
|
Улучшение
|
I.1
|
Отлично
|
|
L6
|
Соответствует
нормативу
|
Улучшение
|
I.1
|
Отлично
|
|
L7(U2)
|
Не
соответствует нормативу
|
Улучшение
|
II.1
|
Удовлетворительно
|
|
U1
|
Соответствует
нормативу
|
Улучшение
|
I.1
|
Отлично
|
|
U3
|
Соответствует
нормативу
|
Улучшение
|
I.1
|
Отлично
|
|
U4
|
Соответствует
нормативу
|
Улучшение
|
I.1
|
Отлично
|
|
U5
|
Не
соответствует нормативу
|
Улучшение
|
II.1
|
Удовлетворительно
|
Проведем обобщающую оценку финансового состояния
ООО «СТРОЙ-Р» за 2012 г. в таблице 13.
Таблица 13 Классификация уровня финансового
состояния ООО «СТРОЙ-Р» в 2012 г.
|
№
|
Показатели
финансового состояния
|
На
начало 2012 г.
|
На
конец 2012 г.
|
|
|
Фактическое
значение коэффициентов
|
Количество
баллов
|
Фактическое
значение коэффициентов
|
Количество
баллов
|
|
1
|
L2
|
0,001
|
0
|
0,24
|
4,8
|
|
2
|
L3
|
0,83
|
7,5
|
1,14
|
11
|
|
3
|
L4
|
1,8
|
19
|
3,5
|
20
|
|
4
|
L6
|
0,33
|
6,6
|
0,61
|
10
|
|
5
|
L7(U2)
|
-0,92
|
0
|
0,28
|
5,9
|
|
6
|
U1
|
1,808
|
0
|
0,8
|
17,3
|
|
7
|
U3
|
0,356
|
2,8
|
0,556
|
9
|
|
8
|
U5
|
0,356
|
0
|
0,556
|
2
|
|
9
|
Итого
|
35,9
|
80
|
По данным расчетов получается, что ООО «СТРОЙ-Р»
на начало 2012г. относился к 4-му классу, к организациям с неустойчивым
финансовым состоянием, с неудовлетворительной структурой капитала, а
платежеспособность находилась на нижней границе допустимых значений. В течение
года организации удалось выправить ситуацию и концу 2012г. ООО «СТРОЙ-Р»
перешел во 2-й класс, это организации с нормальным финансовым состоянием.
Оценивая состояния показателей первого уровня и
анализ классификации организации по уровню финансового риска можно сделать
вывод, что ООО «СТРОЙ-Р» за 2012 г. удалось улучшить финансовые показатели и
соответствовать организациям с нормальным финансовым состоянием. Перейти в
разряд рентабельных организаций.
экономический финансовый
устойчивость капитал
Глава 3. Мероприятия, направленные на повышение
качества системы управления ООО «СТРОЙ-Р»
.1 Методы совершенствования экономической
устойчивости ООО «СТРОЙ-Р»
В условиях не совершенной рыночной экономики на
финансовую устойчивость организации имеет непосредственное влияние качество
системы управления бизнесом с учетом отраслевой строительной специфики. Оценка
финансовой устойчивости строительных организаций основывается на сравнении
экономических выгод и экономических затрат. Под экономическими выгодами
понимается увеличение настоящих и будущих денежных потоков, а под
экономическими затратами - уменьшение настоящих и будущих денежных потоков.
Изменение конъюнктуры рынка, конкуренция и
другие внутренние и внешние факторы могут привести как к положительному, так и
к отрицательному изменению устойчивости предприятия. Поэтому устойчивость
следует рассматривать как системное, а не случайное явление.
Теоретически условие устойчивости предприятия
можно выразить следующим неравенством:
Д - З - (Ф + И) > 0,
где, Д - доход от реализации продукции;
З - затраты на производство продукции;
Ф - фискальные платежи;
И - сумма инвестиций на развитие.
Модель экономической устойчивости строительной
организации, раскрывающая приведенное неравенство, приведена на рис. 20.
Рис. 20
Модель содержит все денежные потоки, необходимые
для производственного бизнеса, и отражает три сферы деятельности, по которым
принимаются решения: инвестиционную, производственную и финансовую.
Инвестиционную деятельность характеризуют
существующая инвестиционная база, новые инвестиции, изъятие вложений, которые
более не являются необходимыми; производственную - переменные и постоянные
издержки, объем реализации продукции и цена; финансовую - прибыль, собственный
капитал, дивиденды, проценты по кредитам, долгосрочная задолженность и
потенциал, который создается для инвестирования развития.
В основу модели положено органичное единство
всех трех видов деятельности, которое обеспечивает необходимые и достаточные
условия экономической устойчивости строительных организаций.
Наиболее важными направлениями повышения
устойчивости являются: формирование достаточной производственной программы, организация
снабжения материалами и изделиями, оперативное управление производством,
организация реализации продукции, освоение конкурентоспособной продукции,
управление проектами реструктуризации производства, управление инвестициями.
Перечисленные направления определяют содержание инновационной стратегии
внутреннего саморазвития строительной организации.
Разработка инновационной стратегии должна
базироваться на накопленном опыте перестройки производственной системы и
системы управления предприятием в условиях рыночной экономики. Этот
генерированный в определенную систему знаний и проверенный на практике
предприятия опыт развития и представляет, по нашему мнению, своеобразный
инновационный потенциал организации.
Цель инновационной деятельности заключается в
обеспечении наиболее эффективной реализации его
производственно-технологического и организационно-технического потенциалов, что
является основой экономической устойчивости.
Инновации связаны с совершенствованием
деятельности фирмы в сферах производства продукции, рыночного обращения,
финансов и инвестиций, внутрифирменного управления, учета и контроля, которые
образуют инновационное поле стратегии устойчивого развития организации.
Целью инноваций является:
· в производственной сфере -
минимизация производственных затрат в рамках производственной программы, а
также рационализация производственных процессов на основе минимизации страховых
запасов и незавершенного производства. Способами достижения этой цели является
внедрение соответствующих операционных процессов (Just-in-time и
MRP-технологий);
· в сфере обращения
(непроизводственной сфере) - минимизация внешних трансакционных издержек,
связанных, в первую очередь, с организацией снабжения строительными материалами
и изделиями и реализацией продукции. Способами достижения этих целей являются
создание сети малых предприятий, организующих производство и снабжение
материнской фирмы всеми необходимыми материалами, а также организация
собственной риэлтерской сети. Как показывает практика, реализация таких мероприятий
позволяет существенно сократить издержки рыночного обращения;
· в финансово-инвестиционной сфере -
эффективное управление такими проектами как реструктуризация предприятия,
реинжиниринг бизнес-процессов, обновление программы выпуска продукции;
· в сфере управления - сокращение
внутрифирменных трансакционных издержек на основе совершенствования
организационной структуры предприятия, оптимизации внутрихозяйственных связей,
разграничения полномочий и децентрализации системы управления; в системе учета
- выделение управленческого учета, который имеет важное значение в рыночной
экономике. Необходимыми условиями эффективной системы сегментарного учета и
отчетности, а, следовательно, и управленческого контроля, является правильное
выделение центров ответственности предприятия и формирование соответствующей им
децентрализованной структуры управления.
Таким образом, повышение устойчивости
строительной организации может быть достигнуто за счёт реализации программ
активной адаптации, которые охватывают все необходимые мероприятия, содержат
планы финансового оздоровления, ликвидации убыточных направлений, создания
гибкой производственной структуры, реорганизации систем снабжения и реализации
продукции, эффективного использования кадрового потенциала.
Исходной предпосылкой к выбору критериев оценки
устойчивости строительной организации является установление ключевых аспектов
её деятельности. Определение видов деятельности в значительной мере зависит от
размеров и положения организации на рынке. Прежде, чем приступить к установлению
ключевых аспектов деятельности, необходимо определить миссию организации, т. е.
представление фирмы о своем будущем.
Миссия - главная цель предприятия, ради которой
оно было учреждено и которой подчинена его деятельность. Иными словами, это - смысл
существования организации как способ удовлетворения определенной потребности
общества, которую она может обеспечить, выбор ниши и сегмента рынка.
Миссия включает как внутренние, так и внешние
ориентиры её деятельности, выражая суть того успеха, которого должна добиться
организация. Правильно сформулированная миссия служит основой выбора целей и
стратегий.
Цели определяют результат деятельности и пути
его достижения с помощью определенных средств. В отличие от миссии они выражают
отдельные конкретные направления деятельности организации.
Для достижения намеченных целей разрабатывается
стратегия, в которой отражается совокупность действий, позволяющих устоять
фирме в конкурентной борьбе и достичь намеченных целей. Под стратегией
понимается обобщенная модель действий, необходимых для достижения поставленных
целей путем координации и распределения ресурсов организации. По существу
стратегия - это выбор правил для принятия решений, которыми организация
руководствуется в своей деятельности, обеспечивая общее направление достижения
устойчивости.
Рассматривая функционирование организации с
позиции её устойчивости, можно выделить четыре ключевых аспекта деятельности:
финансовая деятельность, отношения с потребителями, организация внутренних
бизнес-процессов, рост и развитие. Каждый из этих аспектов является, с одной
стороны, сферой влияния самой организации, а, с другой - сферой влияния внешней
среды. Поэтому необходимо рассматривать взаимодействие и взаимовлияние этих
сфер при определении для каждой из них параметров, при которых
производственно-финансовая деятельность будет иметь максимальную устойчивость.
По каждому ключевому аспекту деятельности организации необходимо определить
конкретные стратегические цели и выявить наиболее существенные с точки зрения
миссии факторы, способствующие достижению поставленных целей.
Для определения влияния факторов на достижение
поставленных целей по каждому фактору разрабатывается система сбалансированных
показателей, и определяются их значения, при которых производственно-финансовая
деятельность организации будет иметь максимальную устойчивость. Для выявления
интегрального показателя устойчивости необходимо проранжировать факторы,
установить причинно-следственные связи между факторами и характеризующими их
показателями. Установление факторов и характеризующих их показателей является
базой для определения показателей устойчивости.
Таким образом, под устойчивостью организации
следует понимать наличие инновационного потенциала устойчивого развития и его
эффективное использование для нейтрализации внешних воздействий и факторов
дестабилизации. Такое определение устойчивости позволяет оценить ее
количественно, что, в свою очередь, дает возможность управлять ее уровнем.
Оценку устойчивости следует проводить по группам
показателей, относящихся к определенному фактору и характеризующих ключевые
аспекты деятельности организации. При этом анализируемые показатели должны
соответствовать следующим требованиям: экономическая обоснованность и
объективность, возможность формализации численного расчета, конкретность и
однозначность толкования получаемых результатов, согласованное изменение
показателей взаимосвязанных групп во времени. При соблюдении данных требований
возможен свод единичных показателей устойчивости организации в интегральный, например,
по принципу средневзвешенных сумм критериев.
Реализовать указанный принцип предлагается
следующим образом.
. Исходные данные по строительной организации
представляются в виде набора векторов Аi:
= (ai1.....aiN),
где i - номер группы показателей, относящихся к
определенному фактору, влияющему на устойчивость; Ni - число
анализируемых показателей в i - й группе.
. За нормативное значение показателей Вi,
целесообразно принять наилучшее значение для совокупности фирм отрасли в
динамике за определенный промежуток времени (Т лет). Число Т определяется
динамичностью макроэкономической среды для организации строительной отрасли и
может составлять 3-5 лет. Нормативные значения носят, как правило, постоянный
характер или изменяются крайне редко.
. Стандартизация показателей в группах может
быть осуществлена по формулам:
г ij = 
ij / 
ij,
или
г ij = 
ij / 
ij, i = 1, ...., I; j = 1,...., N1
Коэффициент гij
определяет степень достижения анализируемым предприятием наилучшего значения
j-го показателя в i-ой группе для совокупности организаций строительной
отрасли. Формула (1) применяется для показателей, рост которых сопровождается
улучшением интегрального показателя устойчивости, а формула (2) - в противном
случае.
. Интегральный показатель
устойчивости строительной фирмы определяется по формуле:

где, У - устойчивость организации;

- коэффициент относительной
важности i-ой группы показателей (i = 1,...,
I), 
;

- коэффициент относительной
важности j-го показателя в i-ой группе (j = 1,...., N, где Ni - число
показателей в i-ой группе), 
;

- коэффициент соотношения значения
j-го показателя i-ой группы организаций с аналогичным показателем передовых
фирм отрасли.
Значения коэффициентов относительной
важности 
и 
определяются экспертным путем по
усредненным оценкам значений, получаемых от групп экспертов.
На основании проведенных исследований
были выявлены группы показателей, характеризующих финансовую деятельность,
отношения с потребителями, организацию бизнес-процессов, рост и развитие фирмы,
и показатели, дающие возможность определить состояние строительной организации
в определенный момент и его изменения. Путем обработки мнений экспертов были
получены количественные характеристики коэффициентов относительной важности
групп показателей и каждого показателя, входящего в состав группы. С учетом
полученных значений коэффициентов формула интегрального показателя устойчивости
принимает следующий вид:
где 0,18; 0,11; 0,48; 0,23 -
коэффициенты относительной важности групп показателей;
,61; 0,39; 0,73; 0,27; 0,58; 0,42;
0,72; 0,28 - коэффициенты относительной важности показателей;
г11 - соотношение
издержек производства и объема строительно-монтажных работ;
г12 - коэффициент
реализации продукции;
г21 - доля рынка;
г22 - удовлетворенность
потребителей;
г31 - результативность
бизнес-процессов;
г32 - эффективность
бизнес-процессов;
г41 - рентабельность
инвестиций в развитие производства;
г42 - удовлетворенность
персонала.
Для интерпретации интегрального
показателя устойчивости фирмы предлагается следующая градация, таблица 14: зоны
устойчивости строительной организации в зависимости от интегрального показателя
устойчивости.
Таблица 14 Показатели устойчивости
строительной организации
|
Значение
показателя устойчивости
|
Интерпретация
показателя устойчивости
|
|
0,9
< У < 1
|
Зона
высокой устойчивости
|
|
0,6
< У < 0,9
|
Зона
нормальной устойчивости
|
|
0,35
< У < 0,6
|
Зона
неустойчивого экономического положения
|
|
У
< 0,35
|
Зона
кризисного экономического положения
|
Приведенная градация разработана на основе
методики, изложенной в работе Стояновой Е.С. [28], Как показывает практика
предложенные границы зон устойчивости являются достаточно стабильными. В этой
связи, важное значение имеет постоянный мониторинг интегрального показателя
устойчивости, что позволяет сформулировать обоснованные выводы о траектории
изменения рыночной позиции организации и об ослаблении или, наоборот, росте
устойчивости.
Возможность устойчивого развития предприятия
определяется тем, в какой мере ему удается соответствовать требования,
предъявляемым к финансовой, производственной, природной и социальной средам.
Успех функционирования строительного предприятия в финансовой среде
определяется его финансовой устойчивостью. Воздействие на предприятие
производственной среды проявляется в двух аспектах: создание продукции,
пользующейся спросом у потребителей, и создание персоналу условий для
производительного и безопасного труда. Так как предприятие функционирует в
конкретной среде, оно должно управлять своим воздействием на нее. И, наконец,
социальная среда предъявляет к предприятию свои требования с позиций соблюдения
трудового законодательства, реализации социальных гарантий, общественной
активности и этики ведения бизнеса.
Финансовая устойчивость предприятия - это
экономическая категория, выражающая такую систему экономических отношений, при
которых предприятие формирует платежеспособный спрос, способно при
сбалансированном привлечении кредита обеспечивать за счет собственных
источников активное инвестирование и прирост оборотных средств, создавать
финансовые резервы, участвовать в формировании бюджета. Платежеспособность
выступает внешним проявлением финансовой устойчивости предприятия и отражает
способность хозяйствующего субъекта платить по своим долгам и обязательствам в
данный конкретный период времени.
Финансовая устойчивость как экономическая
категория имеет следующие классификации: в зависимости от влияния внешних и
внутренних факторов, она подразделяется на внутреннюю, внешнюю и
“унаследованную”; различают статическую, динамическую, а также устойчивость -
сопротивление; в некоторой экономической литературе называют ценовую (общую) и
финансовую устойчивость.
Оценить и проанализировать финансовую
устойчивость предприятия можно, применив определенную систему показателей.
Прогнозируя финансовой устойчивости, построим
матрицу коэффициентов изменения значений, основанной на трех сценариях развития
рыночной ситуации. В основу положим экспертную оценку развития рынка
строительных услуг и маркетинговый анализ ситуации ООО «СТРОЙ-Р». В таблице
отразим применяемые для оценки значений коэффициенты отклонений.
Таблица 15 Экспертная оценка показателей для
расчета прогноза финансовой устойчивости ООО «СТРОЙ-Р» в 2013г.
|
Показатель
|
Оптимистические
значения
|
Пессимистические
значения
|
Реалистические
значения
|
|
коэффициент
реализации продукции (г12)
|
1,3
|
0,95
|
1,2
|
|
доля
рынка (г21)
|
1,3
|
0,8
|
1
|
|
удовлетворенность
потребителя (г22)
|
1,15
|
0,8
|
1
|
|
результативность
бизнес-процессов (г31)
|
1,5
|
0,9
|
1
|
|
эффективность
бизнес-процессов (г32)
|
1,2
|
0,8
|
1
|
|
рентабельность
инвестиций в развитие производства (г41)
|
1,5
|
0,9
|
1
|
|
удовлетворенность
персонала (г42)
|
1,3
|
1
|
1,1
|
В таблице 15 сведены основные компоненты бизнес процесса
ООО «СТРОЙ-Р» оценка которых дана финансовыми аналитиками Общества.
Используя приведенную выше сводную формулу
расчета и политику прогнозирования трех сценарии развития: оптимистический,
пессимистический и реалистический сценарий построим матрицу прогноза.
Таблица 16 Прогноз интегрального показателя
устойчивости ООО «СТРОЙ-Р» в 2013г.
|
Показатель
|
Сегодняшнее
состояние
|
Оптимистический
сценарий
|
Пессимистический
сценарий
|
Реалистический
сценарий
|
|
объем
строительных работ
|
302946
|
454419
|
333241
|
372339
|
|
издержки
производства
|
226527
|
351117
|
237853
|
260506
|
|
соотношение
издержек производства и объема строительно-монтажных работ (г11)
|
0,75
|
0,77
|
0,71
|
0,70
|
|
коэффициент
реализации продукции (г12)
|
0,75
|
0,98
|
0,71
|
0,90
|
|
доля
рынка (г21)
|
0,45
|
0,59
|
0,36
|
0,45
|
|
удовлетворенность
потребителя (г22)
|
0,75
|
0,86
|
0,60
|
0,75
|
|
результативность
бизнес-процессов (г31)
|
0,60
|
0,90
|
0,54
|
0,60
|
|
эффективность
бизнес-процессов (г32)
|
0,65
|
0,78
|
0,52
|
0,65
|
|
рентабельность
инвестиций в развитие производства (г41)
|
0,43
|
0,65
|
0,39
|
0,43
|
|
удовлетворенность
персонала (г42)
|
0,75
|
0,98
|
0,75
|
0,83
|
|
значение
показателя устойчивости
|
0,61
|
0,80
|
0,54
|
0,62
|
|
Интерпретация
|
0,6
< 0,61 < 0,9 зона нормальной устойчивости
|
0,6
< 0,80 < 0,9 зона нормальной устойчивости
|
0,35
< 0,54 < 0,6 зона неустойчивого экономического положения
|
0,6
< 0,62 < 0,9 зона нормальной устойчивости
|
В таблице 16 проведен анализ прогноза на 2013
год, который показал, ткущий показатель устойчивости находится в зоне
нормальной устойчивости и составляет 0,61. Однако данный показатель находится
на границе нижнего предела данной зоны, что чревато при неблагоприятном
сценарии развития перейти в зону с неустойчивым экономическим положением, что
демонстрирует показатель пессимистического сценария равный 0,51. Расчет
реалистического сценария позволяет, надеется, что ООО «СТРОЙ-Р» продолжит
укрепление своей устойчивости.
Таким образом, можно сделать следующие выводы:
1. Управление
финансовой устойчивостью зависит от благоприятной инвестиционной обстановки на
строительном рынке, но в большей степени от умения самих организаций изыскивать
и использовать все имеющиеся у них возможности для саморазвития, от их умения
планировать и осуществлять собственную финансовую политику в изменяющихся
условиях рыночной ситуации.
2. Финансовые
вложения дают максимальный эффект только в случае их освоения стабильно
работающей организации с грамотной системой организации управления, которая
оценивается многофакторной системой показателей.
3. Инвестирование
саморазвития, осуществляемое строительной организацией, помимо достижения целей
собственной финансовой стабилизации, может стать незаменимым источником в
условиях нестабильных рыночных ситуаций связанных со снижением финансовых
потоков и невозможностью получение финансирования заемными средствами. В таких
условиях финансовая устойчивость поможет организации пережить кризис, а в
дальнейшем выйти на более высокий уровень развития.
3.2 Оптимизация структуры капитала,
управление денежными потоками ООО «СТРОЙ-Р»
Оптимальная структура капитала выражает такое
соотношение использования собственного и заемного капитала, при котором
обеспечивают наиболее эффективную взаимосвязь коэффициентов рентабельности
собственного капитала и задолженности и тем самым максимизируют рыночную
стоимость предприятия.
Проведем оптимизацию структуры капитала для ООО
«СТРОЙ-Р» на 2013 г., по критерию минимизации финансового риска. Произведем
выбор наиболее дешевых и менее рисковых источников покрытия активов[17, c.68].
Для достижения поставленной цели все активы
систематизируют на три группы:
внеоборотные (капитальные) активы;
стабильная часть оборотных активов;
варьирующая часть оборотных активов.
В таблице 17 применим три различных подхода к
финансированию неоднородных по экономической природе групп активов за счет
источников средств предприятия: консервативный, умеренный и агрессивный. При
консервативном подходе примерно 50% варьирующей части оборотных активов
формируют за счет краткосрочных обязательств. Остальные 50% переменной части, а
также 100% стабильной суммы оборотных активов и внеоборотных активов покрывают
собственным капиталом и долгосрочными обязательствами.
При умеренном подходе 100% варьирующей
(переменной) части оборотных активов образуют за счет краткосрочных
обязательств, а 100% стабильной (постоянной) части - за счет собственных
средств корпорации. Внеоборотные активы возмещают за счет части собственного
капитала и долгосрочных обязательств.
При агрессивном подходе 100% варьирующей части и
50% стабильной части оборотных активов покрывают за счет краткосрочных
обязательств. Остальные 50% постоянной части оборотных активов и внеоборотные
активы формируют за счет собственного капитала и долгосрочных обязательств.
Таблица 17 Структура капитала ООО «СТРОЙ-Р» на
2013 г. по критерию минимизации финансового риска
|
2013
год
|
Консервативный
подход
|
Умеренный
подход
|
Агрессивный
подход
|
|
|
СК
|
ЗК
|
СК
|
ЗК
|
СК
|
ЗК
|
|
Внеоборотные
активы, тыс.руб.
|
287716
|
287716
|
|
287716
|
|
287716
|
|
|
Оборотные
активы
|
456961
|
456961
|
0
|
456961
|
0
|
228481
|
228481
|
|
Потребность
в оборотных активах, тыс.руб.
|
372339
|
186170
|
186170
|
0
|
372339
|
0
|
372339
|
|
Общий
объем активов, тыс.руб. (1+2+3)
|
1117016
|
930847
|
186170
|
744677
|
372339
|
516197
|
|
Структура
капитала, %
|
100
|
83,3
|
16,7
|
66,7
|
33,3
|
46,2
|
53,8
|
Оптимальным соотношением собственного и заемного
капитала демонстрируется при умеренном подходе, где потребность варьирующей
(переменной) части оборотных активов 372339 тыс. руб. полностью покрывают за
счет краткосрочных обязательств.
Вариантные расчеты этого показателя приведены в
табл. 18.
Таблица 18 Вариантные расчеты чистой
рентабельности собственного капитала ООО «СТРОЙ-Р» при различных значениях
коэффициента задолженности
|
№
п/п
|
Показатели
|
Варианты
|
|
|
I
|
II
|
III
|
IV
|
V
|
VI
|
VII
|
|
1
|
Собственный
капитал, тыс.руб.
|
413932
|
413932
|
413932
|
413932
|
413932
|
413932
|
413932
|
|
2
|
Объем
заемного капитала, тыс.руб.
|
|
103483
|
206966
|
413932
|
517415
|
620898
|
724381
|
|
3
|
Общий
объем капитала (с.1 + с.2), тыс.руб.
|
413932
|
517415
|
620898
|
827864
|
931347
|
1034830
|
1138313
|
|
4
|
Коэффициент
активов (ЗК/СК)
|
|
0,25
|
0,5
|
1
|
1,25
|
1,5
|
1,75
|
|
5
|
Рентабельность
активов, %
|
15,0
|
15,0
|
15,0
|
15,0
|
15,0
|
15,0
|
15,0
|
|
6
|
Минимальная
ставка процента за кредит,%
|
|
12
|
12
|
12
|
12
|
12
|
12
|
|
7
|
Процентная
ставка за кредит с учетом премии за риск, %
|
|
12
|
12,5
|
13
|
13,5
|
14
|
14,5
|
|
8
|
Бухгалтерская
прибыль с учетом процентов за кредит, (с.3 Ч с.5 : 100), тыс.руб.
|
62089
|
77612
|
93134
|
124179
|
139702
|
155224
|
170746
|
|
9
|
Сумма
процентов за кредит (с.2 Ч с.7 : 100), тыс. руб.
|
|
12417
|
25870
|
53811
|
69851
|
86925
|
105035
|
|
10
|
Бухгалтерская
прибыль без суммы процентов за кредит, (с.8 - с.9), тыс.руб.
|
62089
|
65194
|
67263
|
70368
|
69851
|
68298
|
65711
|
|
11
|
Ставка
налога на прибыль, доли единицы
|
0,2
|
0,2
|
0,2
|
0,2
|
0,2
|
0,2
|
0,2
|
|
12
|
Сумма
налога на прибыль, (с.10 Ч с.11), тыс.руб.
|
12417
|
13038
|
13452
|
14073
|
13970
|
13659
|
13142
|
|
13
|
Чистая
прибыль, (с.10 - с.12), тыс.руб.
|
49671
|
52155
|
53811
|
56294
|
55880
|
54639
|
52569
|
|
14
|
Чистая
рентабельность собственного капитала, (с.13 : с.1 Ч 100)
|
12
|
12,60
|
13,00
|
13,60
|
13,50
|
13,20
|
12,70
|
|
15
|
Прирост
чистой рентабельности собственного капитала, %
|
|
0,50
|
0,40
|
0,60
|
-0,10
|
-0,30
|
-0,50
|
Как следует из приведенных данных, наибольший
прирост чистой рентабельности собственного капитала (0,6%) был получен в
варианте IV. В дальнейшем рентабельность снижается и новые заимствования
нецелесообразны. Необходимое условие прироста данного показателя - превышение
рентабельности активов над средним значением процентной ставки за кредит.
Именно такой максимальный результат получен в варианте IV (13,6% > 13%).
Таким образом, проведение многовариантных
расчетов с использованием приведенных в табл. 18 параметров позволяет
установить оптимальную структуру источников средств ООО «СТРОЙ-Р», которая
приводит к максимизации прироста чистой рентабельности собственного капитала.
Проверяемая сумма в 372339 тыс. руб. наиболее близка к оптимальной. Рис.21.
Рис. 21. Прирост чистой рентабельности
собственного капитала ООО «СТРОЙ-Р» на 2013г.
Эффективное управление денежными потоками
приводит к повышению ликвидности и финансовой гибкости предприятия, что
характеризует его способность оперативно формировать необходимый объем денежных
средств, при возможном появлении высокодоходных предложений или новых
возможностей ускорения экономического роста.
Оптимизацией денежных потоков включат в себя
выбор наиболее рациональных форм управления и регулирования их объема во
времени и пространстве, исходя из условий и особенностей хозяйственной
деятельности предприятия. Основной вид деятельности ООО «СТРОЙ-Р» производство
и реализация работ и услуг в строительстве, осуществление функций заказчика по
строительству. Предложения по оптимизации денежных потоков будут иметь
отраслевую специфику.
Основные цели оптимизации денежных потоков:
♦ обеспечение
сбалансированности денежных поступлений и выплат в течение всего года;
♦ достижение
синхронности образования доходов и расходов во времени и пространстве;
♦ обеспечение
роста чистого денежного потока (резерва денежной наличности) предприятия в
прогнозном периоде.
Ключевые объекты оптимизации можно представить в
следующем виде:
♦ положительный
денежный поток;
♦ отрицательный
денежный поток;
♦ остаток
денежных средств на конец расчетного (прогнозного) периода;
♦ чистый
денежный поток (резерв денежных средств).
На результаты хозяйственной деятельности
предприятия негативно влияют как дефицитный, так и избыточный денежный поток.
Негативные последствия дефицитного денежного
потока проявляются в падении уровня общей платежеспособности и снижении
ликвидности баланса предприятия. Характерные его признаки - рост объема
просроченной кредиторской задолженности по товарным и финансовым операциям;
увеличение продолжительности операционного и финансового циклов; падение
доходности активов и собственного капитала; вынужденная продажа части
внеоборотных активов; упущенная возможность в получении прибыли. Отрицательные
последствия избыточного денежного потока выражаются в: потере реальной
стоимости временно свободных денежных средств из-за влияния инфляционного
фактора; утрате потенциального дохода от неиспользуемой части денежных средств
в процессе краткосрочного инвестирования; снижении в конечном итоге
рентабельности активов и собственного капитала. Методы оптимизации дефицитного
(отрицательного) денежного потока зависят от времени его возникновения -
краткосрочного или долгосрочного периода.
Сбалансированности дефицитного денежного потока
в краткосрочном интервале времени достигают посредством ускорения привлечения
денежных средств и замедления их расходования.
Для ООО «СТРОЙ-Р» предлагается ускорить
привлечение денежных средств, в краткосрочном периоде, за счет полной
предоплаты за реализуемую продукцию. Для чего отделу продаж необходимо усилить
работу с коммерческими банками на возможность выдачи покупателям квартир,
ипотечных кредитов на более выгодных условиях.
Дебиторская задолженность на конец 2012 г.
составила 116262тыс.руб., что составляет 15,6% от баланса. Применения
современных форм рефинансирования дебиторской задолженности (учета и залога
векселей, факторинга, форфейтинга и др.) поможет решить проблему ликвидности.
Замедления выплат денежных средств, в краткосрочном
периоде, достигается путем согласования с поставщиками увеличения сроков
предоставления коммерческого (товарного) кредита.
Замена приобретения капитальных активов,
требующих обновления, на их финансовую аренду (лизинг), поможет равномерно распределить
расходы и снизить налоговую нагрузку.
Реструктуризация кредитного портфеля предприятия
посредством перевода краткосрочных кредитов в долгосрочные так же способствует
оптимизации денежных потоков.
Увеличение объема положительного денежного
потока в долгосрочном периоде может быть обеспечено с помощью:
♦ дополнительного
выпуска акций;
♦ привлечения
стратегических инвесторов с целью повышения объема акционерного капитала;
♦ привлечения
долгосрочных банковских кредитов;
♦ продажи
части или всего объема финансовых активов, входящих в инвестиционный (фондовый)
портфель;
♦ реализации
(или сдачи в аренду) неиспользуемых основных средств;
Снижение объема дефицитного денежного потока в
долгосрочной перспективе ООО «СТРОЙ-Р» может обеспечить за счет:
♦ отказа
от реализации новых проектов, включенных в инвестиционную программу
предприятия;
♦ ранжирование
объектов строительства по уровню рентабельности, сосредоточение средств на
наиболее рентабельных проектах, консервация объектов незавершенного
строительства имеющих наименьшую рентабельность;
♦ отказа
от долгосрочных финансовых вложений;
♦ снижения
сумм постоянных издержек.
Способы оптимизации избыточного денежного потока
связаны с обеспечением роста инвестиционной активности предприятия. Для ООО
«СТРОЙ-Р» предлагается:
♦ реализации
новых проектов, не включенных в инвестиционную программу предприятия;
♦ расконсервация
объектов незавершенного строительства;
♦ покупка
недостроенных объектов строительства;
♦ ускорение
периода проектирования и строительства;
♦ расширение
объемов портфельного инвестирования;
♦ досрочное
погашение долгосрочных кредитов (по согласованию с банками).
В системе мер по оптимизации денежных потоков
важное место занимает их сбалансированность во времени и пространстве. Для
предприятий строительной отрасли характерно несоответствие между притоком и
оттоком денежных средств в отдельные периоды года, что создает дополнительные
финансовые трудности. При достаточно высокой продолжительности таких периодов
возникает реальная угроза потери финансовой устойчивости и даже банкротства.
Данная проблема особо остро стоит перед фирмами имеющих один-два объекта
строительства, длительный производственный цикл от начала до завершения
строительства и сдачи объекта, протяженностью больше одного года, требует тщательной
проработки вопроса оптимизации денежного потока. По данному вопросу ООО
«СТРОЙ-Р» проводит сбалансированную производственную политику. На начало 2013
году у ООО «СТРОЙ-Р» находится в разной степени готовности восемь строительных
объектов и по трем строительным площадкам проходит процедура оформления
разрешительной документации.
Завершающим этапом оптимизации является создание
условий максимизации чистого денежного потока (резерва денежных средств), что
обеспечивает повышение темпов экономического развития предприятия, прежде всего
за счет внутренних источников финансирования (чистой прибыли и амортизационных
отчислений).
Увеличение объема чистого денежного потока может
быть достигнуто за счет проведения следующих мероприятий:
♦ снижения
удельных переменных издержек в цене товара;
♦ понижения
абсолютного объема постоянных издержек;
♦ проведения
рациональной налоговой политики, обеспечивающей снижение величины суммарных
налоговых выплат;
♦ осуществления
гибкой ценовой политики, ориентированной на ценового лидера;
♦ усиления
претензионной работы с контрагентами для обеспечения полного и своевременного
взыскания штрафных санкций.
В ООО «СТРОЙ-Р» средняя фактическая стоимость
строительства 1 кв.м в 2012 г. составила 37008 руб., по Московской области -
36755руб.[28] Данный показатель свидетельствует о том, что уровень расходов на
строительство соответствуют средним по отрасли.
ООО «СТРОЙ-Р» проводится гибкую ценовую
политику, разница цены продажи на начальном этапе и после сдачи объекта может
достигать 50%. На начальном этапе, для привлечения средств, цена 1кв. м, может
быть выше себестоимости на 3-5%. На данном этапе, как правило, покупателями
выступают бизнес-партнеры и сотрудники ООО «СТРОЙ-Р». Данная политика позволяет
решать вопросы финансирования строительства на начальном этапе.
Заключение
Актуальность темы дипломного проекта анализ и
управление платежеспособностью и финансовой устойчивостью подтверждаются как
практикой хозяйственной деятельности предприятий, так и работами известных
ученых-экономистов. На данные показатели опираются, при принятии решений, не
только руководство предприятий, но и сотрудничающие с ним деловые партнеры,
кредитные организации, а также налоговые и другие государственные органы. Одно
из неотъемлемых условий финансовой устойчивости предприятия является ее
платежеспособность.
Актуальность данной проблемы остро стоит перед
всеми предприятиями, но особо остро перед предприятиями строительного
комплекса. Специфика производственной деятельности, большие капитальные затраты
на строительство, длительный срок производственного цикла, постоянно требуют
финансовой поддержки заемными средствами и только грамотный анализ и управление
платежеспособностью и финансовой устойчивостью, позволит эффективно решать
финансовые вопросы.
Цель дипломного проекта изучение методик,
выработка рекомендаций по анализу и управлению платежеспособностью и финансовой
устойчивостью предприятия на примере ООО «СТРОЙ-Р» - выполнена.
Проведенное монографическое исследование
показало, что по-прежнему остается актуальным вопрос о разработки общих
критериев оценки финансового состояния предприятия в разрезе видов
деятельности, отраслей национальной экономики.
Рассмотрены методические основы расчета и оценки
коэффициентов финансовой устойчивости. Показатели, которые характеризуют
финансовую независимость по каждому элементу активов и по имуществу в целом,
дают возможность измерить, достаточно ли устойчива анализируемая организация в
финансовом отношении.
Проанализированы методы управления финансовой
устойчивостью и ликвидностью в строительстве. Управление финансовой
устойчивостью строительного предприятия в реальном режиме времени предполагает,
что управленческие воздействия могут быть текущими и оперативными. Оперативное
управление - это управление по отклонениям фактических значений показателей от
нормативных, а текущее управление - это соблюдение принятых тенденций. Для
регулирования направлениями использования денежных средств необходимо
использовать в управлении показатели сводной калькуляции и баланса движения денежных
средств (платежный баланс).
Изучена общая характеристика ООО «СТРОЙ-Р» и его
организационно-правовые особенности. Основными видами деятельности Общества
являются производство и реализация работ и услуг в строительстве, осуществление
функций заказчика по строительству на территории Московской области. За период
2012 г. ООО «СТРОЙ-Р» введено в эксплуатацию 6121 кв.м жилья, средняя
фактическая стоимость строительства составила 37008 руб./кв.м, рентабельность
продаж составила 16,2%.
По результатам SWOT-анализа
предложено продолжать использовать достигнутый опыт и репутацию компании в
борьбе с конкурентами, усиливать деятельность филиалов, осваивать новые
территории, наращивать объемы и усиливать качество строительства, привлекать
молодых специалистов для передачи опыта.
Обобщены группы показателей финансовых
характеристик ООО «СТРОЙ-Р». Валюта баланса в конце 2012 г. уменьшилась на
297307 тыс. руб., или на 28,5%, что является отрицательной характеристикой.
Оборотные активы за 2012г. выросли с 349006
тыс.руб. до 456961тыс.руб. прирост составил 30,9%. В тоже время внеоборотные
активы уменьшились на 27,9% за данный период. Совокупность данных показателей
является положительным признаком.
Также положительным показателем баланса является
то, что за отчетный период собственный капитал вырос на 20% и составил 413932
тыс.руб., а заемный снизился на 20% и составил 330745 тыс. руб., величина
собственного капитала организации превышает величину заемного.
Дебиторская задолженность снизилась на 26,7% и
составила 116262тыс.руб., а кредиторская задолженность снизилась на 23,4% и
составила 130324 тыс.руб. Дебиторская и кредиторская задолженности примерно
равны, что является оптимальным соотношением.
На конец года величина собственных средств в
обороте составила 16,9%, и превысила минимальную величину в 10%, что также
является положительным признаком.
Еще положительным признаком баланса является то,
что вместо статьи «Непокрытый убыток» присутствует статья «Нераспределенная
прибыль» и составляет 412632 тыс.руб.
Анализ ликвидности бухгалтерского баланса ООО
«СТРОЙ-Р» за 2012г. показывает, что в течение года предприятию удалось
выровнять ситуацию с текущей ликвидностью и в конце года предприятие имеет
положительную платежеспособность, текущая ликвидность составляет 17671тыс.руб.
Организация в период следующего года также платежеспособно, перспективная
ликвидность составляет 108545 тыс. руб.
Исходя из значений коэффициентов
платежеспособности, можно сделать вывод, что на начало 2012 г. у ООО «СТРОЙ-Р»
имелись проблемы с платежеспособностью, но за период 2012 г. предприятие
полностью исправило ситуацию и на начало 2013 г. ООО «СТРОЙ-Р» полностью
платежеспособно.
Подвергнут разбору факторный анализ финансовой
устойчивости ООО «СТРОЙ-Р». Анализируя коэффициенты финансовой устойчивости за
2012г. можно сделать ряд определенных выводов. На начало 2012г. ООО «СТРОЙ-Р»
по всем показателям находился в финансово не устойчивом состоянии, но в течение
года ситуация по большинству показателей улучшилась. ООО «СТРОЙ-Р» является
финансово независимой, но не достаточно финансово устойчивой организацией.
Проанализировав показатели финансового состояния, получается, что ООО «СТРОЙ-Р»
на начало 2012г. относился к 4-му классу, к организациям с неустойчивым
финансовым состоянием, платежеспособность находилась на нижней границе
допустимых значений. В течение года организации удалось выправить ситуацию и
концу 2012г. ООО «СТРОЙ-Р» перешел во 2-й класс, это организации с нормальным
финансовым состоянием. ООО «СТРОЙ-Р» за 2012 г. удалось улучшить финансовые показатели
и соответствовать организациям с нормальным финансовым состоянием, перейти в
разряд рентабельных организаций.
Предложены методы по совершенствованию
экономической устойчивости ООО «СТРОЙ-Р».
Управление финансовой устойчивостью зависит от
благоприятной инвестиционной обстановки на строительном рынке, но в большей
степени от умения самой организации изыскивать и использовать все имеющиеся у
нее возможности для саморазвития, от умения планировать и осуществлять
собственную финансовую политику в изменяющихся условиях рыночной ситуации.
Используя формулу интегрального показателя
устойчивости, проведен анализ прогноза на 2013 год, который показал: ткущий
показатель устойчивости находится в зоне нормальной устойчивости и составляет
0,61. Показатель находится на границе нижнего предела данной зоны, при
неблагоприятном сценарии развития произойдет переход в зону с неустойчивым
экономическим положением, что демонстрирует показатель пессимистического
сценария равный 0,51. Расчет реалистического сценария развития, равный 0,62,
позволяет, надеется, что в ООО «СТРОЙ-Р» продолжат меры по укреплению своей
устойчивости.
Выработаны рекомендации по оптимизации структуры
капитала ООО «СТРОЙ-Р».
Используя метод трех подходов к финансированию
неоднородных по экономической природе групп активов за счет источников средств
предприятия, оптимальное соотношение собственного и заемного капитала
демонстрируется при умеренном подходе, где потребность варьирующей (переменной)
части оборотных активов 372339 тыс. руб. полностью покрывают за счет
краткосрочных обязательств.
Проведенная проверка оптимальности использования
краткосрочных обязательств в покрытии переменной части оборотных активов 372339
тыс. руб., используя критерии доходности собственного капитала, доказала что,
проверяемая сумма наиболее близка к оптимальной.
Таким образом, структура капитала оказывает
непосредственное влияние на финансовые результаты хозяйственной деятельности
предприятия. Используемые в работе методы управления структурой капитала
позволят добиться оптимального соотношения между собственным и заемным
капиталом, что является одной из главных задач менеджмента организации, для
достижения финансовой устойчивости предприятия.
Список использованной литературы
Нормативные акты
. Конституция Российской Федерации
(принята на всенародном голосовании 12 декабря 1993 г.) (с поправками)
2. Гражданский кодекс
Российской Федерации (с учетом изменений и дополнений).
. Налоговый кодекс Российской
Федерации [Электронный ресурс]: (часть первая) от 31.07.1998 №146-ФЗ, принят ГД
ФС РФ 16.07.1998 (с последними изменениями и дополнениями) // Собрание
законодательства Российской Федерации. - 2010.
. Федеральный закон
Российской Федерации «Об Акционерных обществах» № 208 от 26.12.1995г. (с
последними изменениями и дополнениями) // Собрание законодательства Российской
Федерации. - 2010.
. Градостроительный кодекс
Российской Федерации от 29 декабря 2004 г. N 190-ФЗ (с изменениями на 15 марта
2013 г.)
. Федеральный закон от
01.12.2007 N 315-ФЗ (ред. от 25.06.2012) "О саморегулируемых
организациях" (с изм. и доп., вступающими в силу с 01.01.2013)
. Федеральный закон от 30
декабря 2004 г. N 214-ФЗ "Об участии в долевом строительстве
многоквартирных домов и иных объектов недвижимости и о внесении изменений в
некоторые законодательные акты Российской Федерации" (с изменениями и
дополнениями).
. Постановление Правительства
РФ от 21 апреля 2006 г. N233 "О нормативах оценки финансовой устойчивости
деятельности застройщика" (с изменениями от 16 января 2007 г.).
. Постановление Правительства
РФ от 27 октября 2005 г. N645 "О ежеквартальной отчетности застройщиков об
осуществлении деятельности, связанной с привлечением денежных средств
участников долевого строительства" (C изменениями и дополнениями от 16
января 2007 г.)
. Приказ ФСФО РФ от 23.01.2001
N 16 "Об утверждении "Методических указаний по проведению анализа
финансового состояния организаций" (фактически утратил силу).
. Приказ Федеральной службы
по финансовым рынкам от 30 ноября 2006 г. N 06-137/пз-н "Об утверждении
Инструкции о порядке расчета нормативов оценки финансовой устойчивости
деятельности застройщика".
12. Приказ
Минэкономики РФ от 01.10.1997 N 118 "Об утверждении Методических
рекомендаций по реформе предприятий (организаций)"
<#"822762.files/image059.gif">
Приложение 2
Приложение 3
Приложение 4
Приложение 5