Оценка конкурентоспособности предприятия на примере ОАО 'Астраханского мебельно-деревообрабатывающего комбината'
Федеральное
государственное бюджетное образовательное учреждение высшего профессионального
образования
«Астраханский
Государственный Технический Университет»
Кафедра
«Производственный менеджмент и организации предпринимательства»
Курсовая
работа
по
дисциплине «Организация коммерческой деятельности»
на
тему: «Оценка конкурентоспособности предприятия на примере ОАО «Астраханского
мебельно-деревообрабатывающего комбината»»
Астрахань
2011
Содержание
Введение
.
Теоретические основы конкурентоспособности предприятия
.1
Конкурентоспособность и конкурентная среда: сущность, основные понятия
.2
Концепция стратегических групп (анализ конкурентных позиций)
.3
Методы оценки конкурентоспособности предприятия
.
Оценка конкурентоспособности ОАО «Астраханский мебельно-деревообрабатывающий
комбинат»
.1
Характеристика предприятия
.2
Анализ основных технико-экономических и финансовых показателей предприятия ОАО
«Астраханский мебельно-деревообрабатывающий комбинат» за 2008-2010гг.
.3
Оценка конкурентоспособности ОАО «Астраханский мебельно-деревообрабатывающий
комбинат»
Заключение
Список
литературы
Введение
Функционирование предприятий невозможно само по
себе без учёта деятельности конкурентов, которые являются звеньями одной цепи -
экономики. Жизнь в условиях конкурентной борьбы - непременный фактор,
определяющий само право на существование той или иной организации. Сама
конкурентная борьба позволяет вычленить из множества организаций непременных
лидеров, способных производить по-настоящему качественные и актуальные для
современной жизни товары и услуги, которые будут востребованы населением.
Именно поэтому так важно изучать конкурентов и, исходя из этого, принимать
обоснованные решения в пользу повышения конкурентоспособности отдельно взятой
организации.
Конкуренция одновременно имеет и положительные и
отрицательные стороны:
) она способствует развитию научно-технического
прогресса, постоянно заставляя товаропроизводителя применять лучшие технологии,
рационально использовать ресурсы. В ходе ее вымываются экономически
неэффективные производства, устаревшая техника, некачественные товары;
) она чутко реагирует на изменение спроса, ведет
к удешевлению издержек производства, тормозит рост цен, а в ряде случаев к их
снижению;
) в известной мере выравнивает норму прибыли на
капитал и уровень заработной платы во всех отраслях национальной экономики.
К числу негативных сторон можно отнести:
) придает бизнесу определенную нестабильность,
создает условия для безработицы, инфляции и банкротства;
) ведет к дифференциации доходов и создает
условия для их несправедливого распределения;
) ее следствием может быть перепроизводство
товаров и не догрузка мощностей в периоды производственных спадов.
Контроль за конкурентами, при грамотном подходе
и быстрых и правильных действиях со стороны менеджмента организации, позволит
удовлетворить специфические запросы потребителя раньше и лучше других.
Лишь выявив слабые и сильные стороны
конкурентов, можно правильно оценить их потенциал, цели и стратегии, что
позволит в будущем стратегически точно сконцентрировать внимание на том
направлении, где конкурент слабее. И это будет верным путём к расширению своих
собственных преимуществ в конкурентной борьбе.
Конкурентоспособность - сложное и разностороннее
понятие, включающее в себя такие составляющие деятельности предприятия, как
товар (услуга) и его основные характеристики: качество, актуальность,
технология производства, доступность для конечных потребителей.
Многоаспектность этого понятия обуславливается соответствием производимых
организацией товаров и услуг требованиям рынка и конкретно потребителей не
только по таким факторам, как качество, технические, экономические и
эстетические характеристики, но и ввиду важности коммерческих характеристик и
условий реализации, таких, как цена, сроки поставки, каналы сбыта, реклама,
сервис.
Успешность компании обуславливается способностью
предложить товары и услуги, наиболее соответствующие нуждам рынка и
потребителей. Поэтому так важно пристальное внимание уделять такому
многозначимому аспекту предприятия, как конкурентоспособность.
Актуальность рассматриваемой темы заключается в
том, что все предприятия и организации в большей или меньшей степени
сталкиваются с такой проблемой как конкуренция, поэтому чтобы выжить в таких
условиях, а так же развиваться, необходимо анализировать сложившееся положение
на рынке, а так же принимать решения о проведении мероприятий по повышению
конкурентоспособности.
Для реализации цели, поставленной в курсовой
работе, необходимо решить следующие задачи, определившие логику и структуру
исследования:
рассмотреть теоретические основы сущности и
значения страхования;
дать определение понятию конкурентоспособности,
классифицировать факторы конкурентоспособности страховых компаний;
проанализировать конкурентоспособность ОАО
«Астраханский мебельно-деревообрабатывающий комбинат»;
разработать предложения по повышению
конкурентоспособности деятельности ОАО «Астраханский
мебельно-деревообрабатывающий комбинат».
1. Теоретические основы
конкурентоспособности предприятия
.1 Конкурентоспособность и
конкурентная среда: сущность, основные понятия
Конкурентоспособность предприятия - это его
преимущество по отношению к другим предприятиям данной отрасли внутри страны и
за ее пределами. Конкурентоспособность не является имманентным качеством фирмы,
это означает, что конкурентоспособность фирмы может быть оценена только в
рамках группы фирм, относящихся к одной отрасли, либо фирм, выпускающих
аналогичные товары (услуги). Конкурентоспособность можно выявить только
сравнением между собой этих фирм как в масштабе страны, так и в масштабе
мирового рынка [3,с.111].
Таким образом, конкурентоспособность фирмы -
понятие относительное: одна и та же фирма в рамках, например, региональной
отраслевой группы может быть признана конкурентоспособной, а в рамках отраслей
мирового рынка или его сегмента - нет. Оценка степени конкурентоспособности,
т.е. выявление характера конкурентного преимущества фирмы по сравнению с
другими фирмами, заключается в первую очередь в выборе базовых объектов для
сравнения, иными словами, в выборе фирмы-лидера в отрасли страны или за ее
пределами. Такая фирма-лидер должна обладать следующими параметрами:
соизмеримостью характеристик выпускаемой
продукции по идентичности потребностей, удовлетворяемых с ее помощью;
соизмеримостью сегментов рынка, для которых
предназначена выпускаемая продукция;
соизмеримостью фазы жизненного цикла, в которой
функционирует фирма.
Таким образом, конкурентное преимущество одной
фирмы над другой может быть оценено в том случае, когда обе фирмы удовлетворяют
идентичные потребности покупателей, относящиеся к родственным сегментам рынка.
При этом фирмы находятся примерно в одних и тех же фазах жизненного цикла. В
том случае, если данные условия не соблюдаются, сравнение будет некорректным.
Далее, исходя из того, что конкурентоспособность
отражает продуктивность использования ресурсов фирмы, для ее оценки необходимо
выбрать критерии продуктивности использования ресурсов. В том случае, если
деятельность фирмы связана с извлечением прибыли, а совокупные ресурсы оцениваются
в денежном выражении, продуктивность использования ресурсов фирмой может быть
оценена показателем рентабельности производства, т.е. отношением прибыли,
полученной в том или ином периоде, к истраченным в том же периоде ресурсам,
оцененным как издержки производства. Кроме этого, для объективной оценки
конкурентоспособности фирмы ее руководству необходима возможность слежения
рынка, особенно за пределами страны.
В настоящее время, для того чтобы фирма была
конкурентоспособной в борьбе с ведущими фирмами, требуются совершенно новые
подходы к организации производства и управления, чем те, на которые
руководители ориентировались в прошлом. И прежде всего новые подходы нужны в
инвестиционной политике, при проведении на предприятии технической реконструкции,
в процессе внедрения новой техники и технологии.
Конкурентоспособность предприятия зависит от
ряда факторов, которые можно считать компонентами (составляющими)
конкурентоспособности. Их можно разделить на три группы факторов:
технико-экономические;
коммерческие;
нормативно-правовые.
Технико-экономические факторы включают:
качество, продажную цену и затраты на эксплуатацию (использование) или
потребление продукции или услуги. Эти компоненты зависят от производительности
и интенсивности труда, издержек производства, наукоемкости продукции и пр.
Высокая конкурентоспособность фирмы является
гарантом получения высокой прибыли в рыночных условиях. При этом фирма имеет
цель достичь такого уровня конкурентоспособности, который помогал бы ей
выживать на достаточно долговременном временном отрезке. В связи с этим перед
любой организацией встает проблема стратегического и тактического управления
развитием способности предприятия выживать в изменяющихся рыночных условиях.
Управление конкурентоспособностью предполагает совокупность
мер по систематическому совершенствованию изделия, постоянному поиску новых
каналов его сбыта, новых групп покупателей, улучшению сервиса, рекламы.
Основой конкурентоспособности предприятия
является конкурентоспособность его продукции.
Компания действует на рынке в постоянном
соперничестве с конкурентами. Состояние конкурентной среды и действия
конкурентов влияют на маркетинговые решения компании, ее планы и политику.
Выделяют три основных вида конкуренции:
функциональную. Такая конкуренция возникает
между разными товарами (услугами), удовлетворяющими одну и ту же потребность
(например, автомобильные и железнодорожные перевозки);
видовую. Этот вид конкуренции возникает между
товарами (услугами) одного вида, но имеющими, по крайней мере, одно существенное
отличие (например, мотоциклы с различной мощностью двигателя);
предметную. Конкуренция между товарами разных
производителей, имеющими практически одинаковые свойства.
Сбор информации о конкурентной среде обычно
проводится с целью получения исходных данных для ответа на следующие вопросы:
какие организации, действующие на рынке,
являются конкурентами компании;
какую долю рынка занимает каждый из конкурентов;
какие маркетинговые программы применяют
конкуренты и насколько они эффективны;
как конкуренты реагируют на маркетинговые
действия компании;
на какой стадии жизненного цикла находятся
товары конкурентов;
каково финансовое состояние конкурентов, их
организационная структура и уровень менеджмента;
какова стратегия конкурентов и какие методы они
используют в борьбе за рынок.
Как правило, большинство ответов на эти вопросы
можно получить, производя кабинетные исследования. Результаты таких
исследований используются при выработке маркетинговой стратегии. В частности,
выбор стратегии зависит от конкурентной структуры рынка. Выделяют четыре
основных типа структуры рынка:
совершенная конкуренция. На рынке действует
большое количество независимых компаний, ни одна из которых не контролирует
существенную долю рынка и не может своей политикой влиять на сложившиеся
рыночные цены. Велико количество потребителей (потребители не могут влиять на
цены). Товары разных компаний весьма близки по свойствам и качеству. Новые
компании достаточно легко могут войти на такой рынок (относительно низкие
затраты на вход). Примером рынка, близкого по своей структуре к совершенной
конкуренции, является рынок акций крупных компаний, среди акционеров которых
много держателей небольших пакетов акций;
монополистическая конкуренция. На рынке много
продавцов и покупателей. Продавцы предлагают схожие, но не идентичные товары.
Компании имеют ограниченную возможность влияния на сложившиеся рыночные цены. В
случае существенного увеличения цены на товары компании потребители легко
переходят на товары конкурентов (несмотря на некоторые отличия этих товаров от
товаров компании). В условиях монополистической конкуренции маркетинговая
стратегия фирмы строится, как правило, на основе сегментации рынка. При этом
для каждого сегмента разрабатываются отдельные маркетинговые программы и
выпускаются специальные модификации продукции. В каждом сегменте производится
тщательное позиционирование товара (убеждение потребителей в том, что
предлагаемый им товар имеет отличительные особенности, разработанные специально
для них, и обладает уникальными преимуществами). Как и в случае совершенной
конкуренции, при монополистической конкуренции вход на рынок новых фирм связан
со сравнительно низкими затратами. Монополистическая конкуренция встречается
достаточно часто. Примерами могут служить рынки спиртных напитков, некоторых
пищевых продуктов и др.;
олигополистическая конкуренция. Рынок поделен
между несколькими крупными компаниями. На таких рынках складывается скорее не
ценовая, а технологическая конкуренция. Маркетинговые программы компании сильно
зависят от действий конкурентов. Вход новых компаний на рынок затруднен
(технологии, используемые конкурентами, защищены патентами и держатся в строгом
секрете) и связан с высокими затратами (на создание производства, разработку
продукции и т. п.). Характерными примерами олигополистической конкуренции
являются рынки автомобилей, электроники и др.;
чистая монополия. На рынке действует
единственная компания. Она самостоятельно определяет цены на свои товары и
услуги и полностью контролирует рынок. При этом отсутствуют товары или услуги,
которыми потребители могут безболезненно для себя заменить товары и услуги
компании-монополиста. Вход на рынок других компаний практически невозможен или
крайне затруднен. Как правило, государство стремится не допустить образования
монополий, используя для этой цели специальное антимонопольное
законодательство.
Изучение конкурентов не только дает компании
представление о том, на каком рынке она работает, но и позволяет ей сравнить
собственные показатели с показателями конкурентов. Такое сравнение весьма
полезно, поскольку дает компании возможность определить, на каких направлениях
она должна сосредоточить свои усилия и средства, чтобы добиться преимуществ
перед конкурентами или ликвидировать свое отставание от них.
Анализ характеристик конкурентов и сравнение их
с соответствующими характеристиками компании обычно проводят по пяти основным
группам параметров:
товары и услуги (качество, престиж торговой
марки, упаковка, срок службы, гарантийный срок, уровень послепродажного
обслуживания, технические характеристики, стиль, надежность, удобство в
эксплуатации, универсальность, размеры и др.);
цена (прейскурантная цена, условия
предоставления скидок, размер скидок, условия расчетов, сроки платежей и др);
каналы распределения (наличие доставки товара,
сети региональных складов, посредники, охват рынка каналами распределения и
др.);
продвижение (реклама, PR, стимулирование сбыта,
личные продажи).
Достижение успеха компанией связано с постоянным
поддержанием высокой конкурентоспособности. Конкурентоспособность не является
абсолютной величиной. Она складывается из комплекса указанных выше параметров,
каждый из которых берется в сравнении с аналогичными параметрами конкурентов.
Высокая конкурентоспособность обеспечивается постоянным опережением
конкурентов: в выводе на рынок новых товаров, в уровне обслуживания
потребителей, снижении издержек производства, во внедрении новых маркетинговых
приемов и т. п. Для Интернет-компаний важно опережение конкурентов в таких
областях, как удобство оплаты товара (применяемые платежные системы), скорость
обработки заказа и доставки товаров, удобство навигации по сайту, дизайн сайта,
разработка и внедрение новых приемов привлечения и удержания посетителей и др.
Для этого компания должна постоянно быть в курсе состояния дел основных
конкурентов.
Таким образом, исследование конкурентной среды
должно быть непрерывным и отражать не только текущее состояние дел, но и
складывающиеся тенденции. Трендовый анализ данных, полученных в результате
таких исследований, компания должна использовать для прогнозирования изменений
в конкурентной среде и заблаговременно планировать ответные ходы на возможные
неблагоприятные изменения ситуации.
1.2 Концепция стратегических групп
(анализ конкурентных позиций)
Анализ конкурентов необходим для определения
границ, в пределах которых возможно стратегическое продвижение конкурентов, а
также для оценки возможной реакции и стратегического потенциала конкурентов.
Осуществление такого анализа связано с обработкой обширной информации, которую
необходимо добыть, обобщить и на ее основе сделать соответствующие выводы.
Главные проблемы при анализе конкурентов связаны
с тем, что сложно выявить всех конкурентов, также сложно наблюдать за всеми,
поскольку конкурентов может быть очень много. Да и в рамках одной отрасли могут
быть компании, которые имеют различные интересы и поэтому конкурируют на
различной ресурсной и товарной базе.
М. Портер предложил использовать некий
промежуточный уровень между фирмой и отраслью, который позволяет провести
первичный анализ конкуренции и ее особенностей.
Данный подход полезен в тех случаях, когда
отрасль состоит из нескольких групп конкурентов, причем каждая из них занимает
четко различаемую покупателями, отличную от других позицию на рынке и имеет
собственные способы работы с покупателями. При этом процесс рассматривается в
динамике, когда и ресурсная база, и стратегические действия могут существенно
меняться. Это означает, что предприятие может переходить из одной
стратегической группы в другую и менять, таким образом, свое конкурентное
окружение.
Стратегическая группа - это соперничающие фирмы
с одинаковым стилем конкурентных активностей и одинаковыми позициями на рынке.
Считается, что для выделения стратегических групп нужно использовать два-три
параметра. Очевидно, что для каждой отрасли эти характеристики могут
существенно меняться.
Наиболее часто используемыми в практическом
анализе стратегических групп параметрами являются:
) ассортимент (уровень продуктового
разнообразия);
) уровень географического охвата;
) число выделенных рыночных сегментов;
) используемые каналы распространения продукции;
) число торговых марок;
) уровень вертикальной интеграции;
) качество товаров и услуг;
) лидерство в области технологии;
) позиции по издержкам;
) использование производственных мощностей;
) политика ценообразования;
) структура собственности;
) размер предприятия;
) интенсивность использования рекламы.
Отрасль может состоять из одной стратегической
группы, когда все продавцы выступают на рынке с идентичной стратегией, или,
наоборот, она может содержать так много стратегических групп, сколько,
собственно, и есть конкурентов на этом рынке, каждый из которых применяет свои
собственные, индивидуальные приемы.
Карта стратегических групп составляется путем
размещения различных отраслевых стратегических групп в соответствии с их
рыночной позицией на двухмерной плоскости с использованием двух стратегических
переменных, откладываемых по осям.
Процедура построения карты стратегических групп.
Установление конкурентных характеристик,
отличающих компании друг от друга. Обычными переменными являются:
диапазон цен и качества (высокий, средний,
низкий);
территориальный охват (местная, региональная,
национальная или глобальная);
степень вертикальной интеграции (частичная,
полная или интеграция отсутствует);
диапазон ассортимента продукции (узкий,
широкий);
использование каналов распределения (один,
несколько, все);
степень предлагаемого обслуживания (минимальное,
ограниченное, полное).
Характеристики не должны быть в значительной
степени взаимосвязаны (нельзя так: большой ассортимент и множество каналов
распределения, маленький ассортимент и один канал распределения).
Рыночные факторы, которые выбираются для
изображения на осях, наилучшим способом должны показывать различие в том, как
соперники рассредоточились в конкуренции.
Нанесение компаний на двухмерный график
происходит с использованием пары дифференцирующих характеристик.
Следует объединить в стратегические группы
фирмы, попавшие приблизительно в одно и то же стратегическое пространство. В
идеальном случае размер круга, изображающего каждую группу, должен быть прямо
пропорционален объему продаж группы в соответствующей области позиционной
карты.
При наличии более чем двух характеристик в
качестве переменных, следует составить несколько карт, которые дадут различные
представления о конкурентных позициях и существующих взаимодействиях в рыночных
структурах со стороны предложения.
В отечественных условиях, когда конкурентная
среда только формируется, анализ стратегических групп в большинстве случаев
проводить не имеет смысла.
Основные выводы в результате анализа
стратегических групп:
) изменение рыночных условий часто имеет
различный эффект для различных стратегических групп;
) потенциальная прибыльность различных
стратегических групп часто различается из-за силы и слабости рыночной позиции
каждой из них;
) барьеры для входа отличаются для
соответствующих стратегических групп;
) фирмы в различных стратегических группах часто
испытывают различные степени угроз со стороны экономического потенциала
поставщиков, потребителей и фирм производителей товаров-заменителей в других
отраслях;
) увеличение числа стратегических групп в общем
усиливает внутриотраслевую борьбу, однако фирмы в одной стратегической группе
являются более очевидными соперниками, в то время как фирмы из стратегических
групп, расположенных на карте далеко друг от друга, вряд ли могут конкурировать
вообще.
1.3 Методы оценки
конкурентоспособности предприятия
Как правило, в экономической литературе
выделяются следующие методы оценки конкурентоспособности предприятия:
) оценка с позиции сравнительных преимуществ -
сущность данного метода заключается в том, что производство и реализация
предпочтительнее, когда издержки производства ниже, чем у конкурентов. Основным
критерием, применяемым в данном методе, являются низкие издержки. Преимуществом
метода является простота оценки уровня конкурентоспособности;
) оценка с позиции теории равновесия - в основе
данного метода рассматривается положение, при котором каждый фактор
производства рассматривается с одинаковой и одновременно наибольшей
производительностью. При этом у фирмы отсутствует дополнительная прибыль,
обусловленная действием, какого-либо из факторов производства и у фирмы нет
стимулов для улучшения использования того или иного фактора. Основным критерием
является наличие факторов производства, не используемых в полной мере.
Несомненным преимуществом данного метода является возможность определения
внутренних резервов;
) оценка исходя из теории эффективности
конкуренции - выделяют два подхода при использовании данного метода:
структурный подход - сущность которого
заключается в организации крупномасштабного, эффективного производства.
Основным критерием конкурентоспособности при использовании данного подхода
является концентрация производства и капитала;
функциональный подход - оценка
конкурентоспособности согласно данному подходу осуществляется на основе
сопоставления экономических показателей деятельности. В качестве критерия
оценки конкурентоспособности используется соотношение цены, затрат и нормы прибыли;
) оценка на базе качества продукции - данный
метод заключается в сопоставлении ряда параметров продукции, отражающих
потребительские свойства. Критерием конкурентоспособности в данном случае
является качество продукции. Преимуществом данного метода является возможность
учета потребительских предпочтений при обеспечении уровня
конкурентоспособности. В связи с тем, что качество товара оценивают
определенным набором параметров, оценка конкурентоспособности товара базируется
на использовании так называемых «параметрических» индексов, характеризующих
степень удовлетворения потребности в рассматриваемом товаре. Различают
единичные, сводные и интегральные индексы.
Единичные индексы рассчитываются на основании
одной характеристики качества (одного параметра). Как правило, они исчисляются
как отношение величины параметра рассматриваемого товара к той величине
параметра, при которой потребитель удовлетворяется на 100 % (или к величине
параметра товара-аналога). В данном случае расчет единичного показателя конкурентоспособности
может производиться по формуле:
= Пi / Пin,
где gi - единичный параметрический показатель
конкурентоспособности по i-му параметру;
Пi - величина i-ro параметра для анализируемой
продукции;
Пin - величина i-ro параметра, при котором
потребность удовлетворяется полностью.
Сводные индексы определяются по ряду параметров:
Ип = ∑ ai * Ипi,
где ai - удельный вес i-ro параметра
(определяется экспертным путем);
Ипi - единичный параметрический индекс i-ro
параметра.
В качестве интегрального показателя
конкурентоспособности И. Ансоффом для оценки позиции фирмы в конкуренции
предложен показатель «конкурентный статус фирмы».
Конкурентный статус фирмы представляет собой
произведение трех сомножителей: уровня капиталовложений, стратегического
норматива и норматива возможностей:
где If - уровень стратегических
капиталовложений фирмы;- критическая точка объема капиталовложений, находящаяся
на границе прибылей и убытков;о - точка оптимального объема капиталовложений,
после которой увеличение капиталовложений приводит к понижению дохода;, So -
соответственно действующая и «оптимальная» стратегия фирмы;, Co -
соответственно имеющиеся и «оптимальные» возможности фирмы.
Для определения степени соответствия
действующей стратегии оптимальной, имеющихся возможностей оптимальным
возможностям приводятся факторы, влияние которых предлагается оценить в баллах.
Выражения Sf/So, Cf/Co - являются среднеарифметическими бальной оценки;
) профиль требований - сущность
данного метода заключается в том, что с помощью шкалы экспертных оценок
определяется степень продвижения организации и наиболее сильный конкурент. В
качестве критерия используется сопоставление профилей. Основным преимуществом
данного метода оценки конкурентоспособности предприятия является его
наглядность.
) профиль полярностей - в основе
данного метода лежит определение показателей, по которым фирма опережает или
отстает от конкурентов, т. е. ее сильных и слабых сторон. В качестве критерия
используется сопоставление параметров опережения или отставания.
2. Оценка конкурентоспособности ОАО
«Астраханский мебельно-деревообрабатывающий комбинат»
.1 Характеристика предприятия
ОАО «Астраханский
мебельно-деревообрабатывающий комбинат» - предприятие по изготовлению корпусной
мебели, которое действует в соответствии с Законодательством Российской
Федерации. В своей деятельности предприятие руководствуется нормативными актами
Президента и Правительства РФ, уставом. Организационно-правовая форма -
открытое акционерное общество.
Целью создания являются оказание
качественных услуг населению и организация рабочих мест. Предприятие
обеспечивает работников полным социальным пакетом.
В соответствие с Уставом
организации, основными видами деятельности предприятия являются:
производство стульев и другой мебели
для сидения;
производство мебели для офисов и
предприятий торговли;
производство кухонной мебели;
производство прочей мебели;
различного рода коммерческая
деятельность.
Место нахождения производства:
Россия 414018 Астрахань, ул. Ивановская, 2.
Основное направление - производство
корпусной мебели, зеркал, мебели из стекла и текстиля. Изготовление корпусной
мебели и другой продукции производится на современном оборудовании.
Реализуется мебель, как собственного
производства, так и партнёров. Прежде чем предложить покупателю любой товар
проводится длительная работа над тем, чтобы изучить покупательский спрос,
предпочтения и симпатии клиентов. Компания ведет свою деятельность с высоким
качеством и культурой обслуживания. Индивидуальный подход к каждому клиенту
помогает постоянно расширять круг партнеров и клиентов организации. Обеспечивая
это, конечно, не только благодаря профессионализму сотрудников и дисциплине
внутри компании, но, прежде всего значительным и постоянным инвестициям в
развитие компании, ее дальнейшем росте.
Предприятие является юридическим
лицом, обладает всеми правами юридического лица и несет все обязанности
юридического лица, предусмотренные действующим законодательством Российской
Федерации. Учреждение имеет самостоятельный баланс, расчетный и иные счета в
учреждениях банков, гербовую печать со своим наименованием, бланки.
Предприятие имеет право:
привлекать для осуществления своих
уставных функций на договорных основах другие предприятия, учреждения и
организации;
приобретать или арендовать основные
и оборотные средства за счет имеющихся у него финансовых ресурсов, временной
финансовой помощи и получаемых для этих целей ссуд и кредитов в банках, в т.ч.
в валюте;
осуществлять внешнеэкономическую и
иную деятельность в соответствии с действующим законодательством РФ;
планировать свою деятельность,
разрабатывать и утверждать положения, регламентирующие деятельность
предприятия, определять перспективы развития, исходя из заключенных договоров,
спроса потребителей на продукцию, работы и услуги;
определять штатное расписание и
месячный фонд заработной платы;
сдавать в аренду, продавать,
передавать в залог имущество, а также совершать иные имущественные сделки, не
противоречащие законодательству РФ.
участвовать в хозяйственных
обществах за счет доходов, полученных от предпринимательской деятельности.
Высшим должностным лицом ОАО
«Астраханский мебельно-деревообрабатывающий комбинат» является генеральный
директор. Он осуществляет текущее руководство деятельностью компании.
Руководитель выполняет следующие
функции и обязанности по организации и обеспечению деятельности:
заключает договоры, выдает
доверенности;
открывает расчетный и иные счета;
утверждает штатное расписание;
в пределах своей компетенции издает
приказы и дает указания, обязательные для всех работников предприятия.
Руководитель самостоятельно
определяет структуру администрации, аппарата управления, численность,
квалификационный и штатный составы, нанимает (назначает) на должность и
освобождает от должности работников, заключает с ними контракты.
2.2 Анализ основных
технико-экономических и финансовых показателей предприятия ОАО «Астраханский
мебельно-деревообрабатывающий комбинат» за 2008-2010гг.
Технико-экономические показатели
работы предприятия - это система измерителей, характеризующая
материально-производственную базу предприятия и комплексное использование
ресурсов. Технико-экономические показатели применяются для планирования и
анализа организации производства и труда, уровня техники, качества продукции,
использования основных и оборотных фондов, трудовых ресурсов и т.д.
Рассмотрим основные
технико-экономические показатели работы ОАО «Астраханский
мебельно-деревообрабатывающий комбинат».
Объем производства предприятия в
стоимостном выражении характеризуется такими основными показателями как
товарная и реализованная продукция. Рассмотрим эти показатели применительно к
ОАО «Астраханский мебельно-деревообрабатывающий комбинат» за 2008, 2009 и
анализируемый нами 2010 год (табл. 1).
Таблица 1 - Показатели,
характеризующие объем производства ОАО «Астраханского
мебельно-деревообрабатывающего комбината»
|
Продукция
|
Ед.
измерения
|
2008
год
|
2009
год
|
2010
год
|
Изменение
|
|
|
|
|
|
Абсолютное
отклонение (+/-)
|
Относительное
отклонение (%)
|
|
Товарная
продукция
|
Тыс.
руб.
|
6358
|
8439
|
13472
|
5033
|
60%
|
|
Реализованная
продукция
|
Тыс.
руб.
|
6358
|
8439
|
13472
|
5033
|
60%
|
Товарная продукция равна реализованной, так как
предприятие ОАО «Астраханский мебельно-деревообрабатывающий комбинат»
производит продукцию на заказ, то есть сразу же после изготовления
устанавливается заказчику.
Столь большое увеличение товарной продукции и
реализации во многом зависит от существенного увеличения мощностей предприятия,
запуска двух дополнительных станков (форматно-раскроечного и
сверлильно-присадочного), а так же от значительного увеличения количества
заказов вследствие уменьшения конкурентов на рынке по причине кризиса.
Таблица 2 - Объемы производства продукции по
отдельным категориям за 2008-2010гг.
|
Продукция
|
Ед.
измерения
|
2008
год
|
2009
год
|
2010
год
|
Изменение
|
|
|
|
|
|
Абсолютное
отклонение (+/-)
|
Относительное
отклонение (%)
|
|
Кухни
|
Тыс.
руб.
|
4451
|
5907
|
9430
|
3523
|
60%
|
|
Шт.
|
80
|
87
|
120
|
|
|
|
Шкафы-купе
|
Тыс.
руб.
|
1272
|
1688
|
2694
|
1006
|
60%
|
|
Шт.
|
70
|
80
|
107
|
|
|
Предприятие ОАО «Астраханский
мебельно-деревообрабатывающий комбинат» производит любую корпусную мебель, но
основная доля заказов приходится на кухни (70%) и на шкафы-купе (20%), а 10% -
остальная мебель. Как видно из таблицы 3 с каждым годом количество заказов
кухонь увеличивается, что связано с уменьшением числа конкурентов и с
увеличением доли рынка компании. Увеличение дохода от кухонь на 60% в 2010 году
по сравнению с 2009 объясняется тем, что в 2010 году было много заказов
размером более, чем на 100 тыс. руб. Шкафы-купе также реализовывали в среднем
на сумму 25 тыс. руб. за ед. Основные фонды - это материально-вещественные
ценности (средства труда), которые многократно участвуют в производственном
процессе, не изменяют своей натурально-вещественной формы и переносят свою
стоимость на готовую продукцию по частям по мере износа. По функциональному
назначению основные фонды предприятия подразделяются на производственные и
непроизводственные. Производственные фонды прямо или косвенно связаны с
производством продукции.
Непроизводственные фонды служат для
удовлетворения культурно-бытовых потребностей работников.
Среднегодовая стоимость основных
производственных фондов может быть рассчитана по-разному - в зависимости от
характера исходной информации и задач исследования. При наличии данных на
начало и на конец года применяется формула простой средней арифметической;
наличие моментных данных за каждый месяц требует применения формулы средней
хронологической.
В данном случае мною были взяты данные на начало
и конец годов (2008, 2009, 2010) и рассчитана среднегодовая стоимость основных
производственных фондов методом простой средней арифметической (табл. 3).
Таблица 3 - Среднегодовая стоимость основных
производственных фондов
|
Наименование
показателя
|
Ед.
измерения
|
2008
год
|
2009
год
|
2010
год
|
Изменение
|
|
|
|
|
|
Абсолютное
отклонение (+/-)
|
Относительное
отклонение (%)
|
|
Среднегодовая
стоимость ОПФ
|
Тыс.
руб.
|
3043
|
3031
|
3650
|
619
|
20%
|
|
Годовой
выпуск продукции
|
Тыс.
руб.
|
6358
|
8439
|
13472
|
5033
|
60%
|
|
Среднесписочная
численность работников
|
Чел.
|
16
|
18
|
21
|
4
|
22%
|
|
Фондоотдача
|
Тыс.
руб./тыс. руб.
|
2,089
|
2,78
|
3,69
|
-
|
-
|
|
Фондоемкость
|
Тыс.
руб./тыс. руб.
|
0,48
|
0,36
|
0,27
|
-
|
-
|
|
Фондовооруженность
|
Тыс.
руб./ чел
|
190,2
|
168,4
|
173,8
|
5,4
|
3,2%
|
В 2010 году по сравнению с 2009 наблюдается рост
фондоотдачи, который ведет к уменьшению суммы амортизационных отчислений,
приходящихся на 1 руб. готовой продукции. Рост фондоотдачи является одним из
факторов интенсивного роста объема выпуска продукции.
Таблица 4 - Среднесписочная численность
работающих на предприятии
|
Наименование
показателя
|
Ед.
измерения
|
2008
год
|
2009
год
|
2010
год
|
Изменение
|
|
|
|
|
|
Абсолютное
отклонение (+/-)
|
Относительное
отклонение (%)
|
|
Общая
среднесписочная численность работающих
|
Чел.
|
16
|
18
|
21
|
3
|
17%
|
|
В
т.ч. рабочих
|
Чел.
|
12
|
14
|
17
|
3
|
21%
|
|
Из
них рабочих основных цехов
|
Чел.
|
7
|
10
|
13
|
3
|
30%
|
Увеличение численности рабочих происходит в связи
с расширением производства, увеличением количества заказов и развитием
организации в целом. Так же немаловажно рассмотреть основные показатели средней
заработной платы, уровня высшего образования на предприятии, объема денежных
средств, направленных на оплату труда и социальное обеспечение. Все эти данные
расположены в таблице 5.
Таблица 5 - Показатели средней заработной платы,
уровня высшего образования на предприятии, объема денежных средств,
направленных на оплату труда и социальное обеспечение
|
Наименование
показателя
|
Ед.
измерения
|
2008
год
|
2009
год
|
2010
год
|
Изменение
|
|
|
|
|
|
Абсолютное
отклонение (+/-)
|
Относительное
отклонение (%)
|
|
Среднесписочная
численность работников
|
Чел.
|
16
|
18
|
21
|
3
|
-1%
|
|
Доля
сотрудников, имеющих высшее профессиональное образование
|
%
|
43,75%
|
50%
|
52,38%
|
-
|
-
|
|
Объем
денежных средств, направленных на оплату труда
|
Тыс.
руб.
|
3400
|
4000
|
600
|
18%
|
|
Средняя
заработная плата по предприятию
|
Руб.
|
15625
|
15741
|
15873
|
132
|
0,83%
|
|
Объем
денежных средств, направленных на социальное обеспечение
|
Тыс.
руб.
|
780
|
884
|
1040
|
156
|
18%
|
|
Общий
объем израсходованных денежных средств
|
Тыс.
руб.
|
3780
|
4284
|
5040
|
756
|
18%
|
На предприятии действует сдельная оплата труда
для работников, так как предприятие изготавливает мебель на заказ, а для
управляющих профессий заработная плата исчисляется на основе оклада.
Валюта баланса по состоянию на 31.12.2010 г.
составила 5 189 тыс. руб. За отчетный год валюта баланса уменьшилась на 9,1%
или на 521 тыс. руб.
Таблица 6 - Актив баланса
|
Актив
баланса
|
на
01.01.09
|
%
к итогу
|
на
31.12.09
|
%
к итогу
|
+,
- %
|
+,
- тыс. руб.
|
темп
роста, %
|
|
Имущество
всего
|
5
710
|
100
|
5
189
|
100
|
|
-521
|
90,9
|
|
(актив
баланса)
|
|
|
|
|
|
|
|
|
1.1.
Долгосрочные активы
|
3
037
|
53,2
|
3
025
|
58,3
|
5,2
|
-12
|
99,6
|
|
1.2.
Краткосрочные активы
|
2
673
|
46,8
|
2
164
|
41,7
|
-5,1
|
-509
|
81
|
|
-
запасы
|
89
|
1,6
|
32
|
0,6
|
-1
|
-57
|
36
|
|
-
дебиторская задолженность
|
2
289
|
40
|
1
803
|
34,7
|
-5,3
|
-486
|
78,8
|
|
-
краткосрочные фин. вложения
|
284
|
5
|
284
|
5,5
|
0,5
|
0
|
100
|
|
-
денежные средства
|
11
|
0,2
|
45
|
0,9
|
0,7
|
34
|
409,1
|
|
-
прочие активы
|
-
|
-
|
-
|
-
|
-
|
-
|
-
|
За 2010 г. по сравнению с началом года произошло
следующее:
В связи с изменением структуры актива баланса,
доля долгосрочных активов в валюте баланса увеличилась по сравнению с уровнем
на начало года с 53,2% до 58,3%. В абсолютном выражении долгосрочные активы
уменьшились на 12 тыс. руб. с начала года. Произошло это за счет выбытия
основных средств и за счет проведенной реконструкции действующих
производственных площадей. Доля запасов в валюте баланса за 2010 г. уменьшилась
по сравнению с началом года и составила 0,6% против 1,6% на начало года. В
абсолютном выражении запасы предприятия в 2010 г. уменьшились на 57 тыс. руб.
по сравнению с началом года.
Дебиторская задолженность в валюте баланса
составила 34,7% против 40% на начало года. В абсолютном выражении дебиторская
задолженность уменьшились с 2 289 тыс. руб. на начало года до 1 803 тыс. руб.
на 31.12.2010 г. или на 21,2%, на 486 тыс. руб.
Таблица 7 - Структура пассива баланса
|
Пассив
баланса
|
на
01.01.09
|
%
к итогу
|
на
31.12.09
|
%
к итогу
|
+,-
%
|
+,
- тыс. руб.
|
темп
роста, %
|
|
Источники
имущества всего
|
5
710
|
100
|
5
189
|
100
|
|
-521
|
90,9
|
|
(пассив
баланса)
|
|
|
|
|
|
|
|
|
1.1.
Собственный капитал
|
5
168
|
90,5
|
2
064
|
(86,4)
|
-176,9
|
-9
650
|
-86,7
|
|
1.2.
Заемный капитал
|
542
|
9,5
|
9
671
|
186,4
|
176,9
|
9129
|
1784
|
|
-
долгосрочные обязательства
|
-
|
-
|
-
|
-
|
-
|
-
|
-
|
|
-
краткосрочные кредиты
|
-
|
-
|
800
|
15,4
|
15,4
|
0
|
0
|
|
-
кредиторская задолженность
|
542
|
9,5
|
8
871
|
171
|
161,5
|
8329
|
1636,7
|
конкурентоспособность предприятие
концепция баланс
За 2010 г. в структуре пассива баланса произошли
следующие изменения:
Доля собственного капитала в пассиве баланса
уменьшилась по отношению к уровню на начало года и составила (-86,4)% на
31.12.09 г. против 90,5% на 01.01.2009 г. В абсолютном выражении собственный
капитал уменьшился на 9 650 тыс. руб. или на 176,9%.
За 2010 г. заемные средства предприятия увеличились
с 542 тыс. руб. на 01.01.2009 г. до 9 671 тыс. руб. на 31.12.2009 г.
Долгосрочных кредитов у предприятия нет.
В 2010 году организация ОАО «Астраханский
мебельно-деревообрабатывающий комбинат» взяла краткосрочный кредит на сумму 800
тыс. руб. ОАО «Астраханский мебельно-деревообрабатывающий комбинат» не имеет
просроченной задолженности по кредитам.
Наличие положительного финансового результата -
основное условие хорошего финансового состояния предприятия. Поэтому важным
этапом финансового анализа является оценка уровня различных показателей,
связанных с прибылью предприятия.
Рентабельность (удельная прибыль, прибыльность)
- важнейший индикатор финансового состояния предприятия. Показатели
рентабельности широко используются в финансовом и управленческом анализе.
Для оценки рентабельности рассчитывается два
типа показателей:
показатели рентабельности предприятия;
показатели рентабельности продукции.
Так же широко используются при оценке
финансового состояния предприятия коэффициент автономии собственных средств и
коэффициент ликвидности (быстрой и текущей):
коэффициент автономии собственных средств -
показывает степень зависимости или независимости от заемных источников. Чем
больше значение данного показателя, тем более предприятие финансово устойчиво.
Формула для расчета коэффициента:
К = Собственный капитал / Валюта баланса
коэффициент быстрой ликвидности - характеризует
прогнозируемые платежные возможности при условии своевременных расчетов с
дебиторами. Рекомендуемое значение данного показателя от 0,5 до 1. Формула для
расчета:
Кб.л. = (Денежные средства + Краткосрочные
финансовые вложения + Дебиторская задолженность) / Текущие обязательства
коэффициент текущей ликвидности - характеризует,
в какой степени все краткосрочные обязательства обеспечены оборотными активами.
Рекомендованное значение составляет от 1 до 2. Формула для расчета:
Кт.л. = Текущие активы / Текущие обязательства
Таблица 8 - Показатели финансового результата
предприятия ОАО «Астраханского мебельно-деревообрабатывающего комбината»
|
Наименование
показателя
|
Ед.
измерения
|
2008
год
|
2009
год
|
2010
год
|
Изменение
|
|
|
|
|
|
Абсолютное
отклонение (+/-)
|
Относительное
отклонение (%)
|
|
Себестоимость
реализованной продукции
|
Тыс.
руб.
|
5
298
|
7
021
|
11
168
|
4147
|
59%
|
|
Затраты
на 1 рубль реализованной продукции
|
Коп.
|
83,3
|
83,2
|
82,9
|
-0,3
|
-0,4%
|
|
Прибыль
от реализации продукции
|
Тыс.
руб.
|
1060
|
1418
|
2
304
|
886
|
62%
|
|
Чистая
прибыль
|
Тыс.
руб.
|
848
|
1134,4
|
1843,2
|
708,8
|
62%
|
|
Рентабельность
продукции
|
%
|
20
|
20,2
|
20,6
|
0,4
|
-
|
|
Рентабельность
предприятия
|
%
|
33,8
|
45,9
|
62,3
|
16,4
|
-
|
|
Коэффициент
текущей ликвидности
|
-
|
1,4
|
0,26
|
1,9
|
1,68
|
-
|
|
Коэффициент
быстрой ликвидности
|
-
|
0,4
|
0,22
|
0,6
|
0,
38
|
-
|
|
Коэффициент
автономии собственных средств
|
%
|
36,15
|
40
|
44
|
4
|
-
|
Себестоимость РП увеличилась на 59% или на 4 147
тыс. руб.
Опережающие темпы роста реализации над темпами
роста себестоимости привели к снижению затрат на 1 руб. РП с 82,9 коп за 2009
г. до 83,2 коп за 2010 г.
За счет увеличения рентабельности продукции
балансовая прибыль в отчетном периоде увеличилась на 62% или на 886 тыс. руб.
по сравнению с 2009 г. и составила 2 304 тыс. руб. в 2010 г. Чистая прибыль по
итогам 2010 г. составила 1843,2 тыс. руб., что на 62% превышает уровень 2009 г.
За отчетный период улучшились показатели
рентабельности:
рентабельность реализованной продукции
увеличилась с 20,2% за 2009 г. до 20,6% за 2010 г.;
рентабельность предприятия увеличилась с 45,9%
за 2009 г. до 62,3% за 2010 г.
2.3 Оценка конкурентоспособности ОАО
«Астраханский мебельно-деревообрабатывающий комбинат»
Компания ОАО «Астраханский мебельно-деревообрабатывающий
комбинат» не первый год оказывает услуги на рынке моделирования и создания
обстановки помещений различной специфики. Работая со всеми основными
направлениями производства мебели на заказ, специалисты компании готовы
предложить широкий перечень моделей, выполненных в различных вариантах
конструкции и цветовых решениях. В качестве материалов изготовления
используются как массив дерева различных пород, так и ДСП, ЛДСП, кроме этого
предлагаются модели с включениями пластика, стекла, зеркал и т.д. Предприятие
осуществляет свою основную хозяйственную деятельность в основном в пределах г.
Астрахани.
Конкуренцию деятельности организации составляют
имеющиеся производители корпусной мебели в г. Астрахани. Вот основные из них:
АВАНГАРД Мебельная фирма <#"822466.files/image002.gif"> =
650 ед.
В этом разделе рассмотрены вопросы расчета:
трудоемкости выполняемых работ;
суммарных затрат на создание программного
продукта;
экономии, достигаемой, в результате перехода от
ручной обработки информации на автоматизированную обработку;
чистого дисконтированного дохода за пять лет
использования программного продукта;
внутренней нормы доходности проекта и времени
его окупаемости.
Трудоемкость выполняемых работ
Создание программного продукта предполагает
разработку Web-сайта и всей программной документации, предусмотренной
техническим заданием.
Результатом выполнения каждой работы является
документированная отчетность в виде текстовых документов или программ.
Трудоемкость разработки программного обеспечения
в чел.-час. определяется по формуле
Т = ТО + ТИ + ТА + ТП + ТОТЛ + ТД, (1)
где ТО - затраты труда на описание задачи, чел.-
час.;
ТИ - затраты на исследование предметной области,
чел.- час.;
ТА - затраты на разработку блок-схем, чел.-
час.;
ТП - затраты на программирование, чел.- час.;
ТОТЛ - затраты на отладку, чел.- час.;
ТД - затраты на подготовку документации, чел.-
час.
Все составляющие определяем через условное число
операторов D:
D = α ×c × (1 + p),
(2)
где α = 650 - число
операторов в тексте программного кода;
с = 1,75 − коэффициент сложности.
Коэффициент сложности задачи «с» характеризует относительную сложность
программы по отношению к так называемой типовой задаче, реализующей стандартные
методы решения, сложность которой принята равной единице (величина коэффициента
«с» лежит в пределах от 1,25 до 2). Для рассматриваемого программного продукта,
включающего в себя алгоритмы учета, отчетности, поиска - сложность задачи
возьмем 1,75.
р = 0,1 - коэффициент коррекции программы в ходе
разработки. Коэффициент коррекции программы - увеличение объема
работ за счет внесения изменений в алгоритм или программу по результатам
уточнения постановок. С учетом того, что в данном случае заказчик недостаточно
хорошо представлял себе, что он хочет получить в результате разработки
программного продукта. Это приводило к многочисленным доработкам, поэтому
примем коэффициент «p» равным 0,1.
В результате получим условное число операторов.
D = 650 × 1,75 ×(1 + 0,1) =1251,2 ед.
Затраты труда на описание задачи принимаем: ТО =
50 чел.- ч. Работу выполняет инженер-технолог с окладом 7500 руб. в месяц и
коэффициентом квалификации kК = 1,35 (опыт работы по специальности 6 лет).
Затраты труда на изучение задачи ТИ с учетом
уточнения описания и квалификации программиста могут быть определены по
формуле:
ТИ = (D × b) / (Su
×
kK), (3)
где D - условное число операторов,- коэффициент
увеличения затрат труда вследствие недостаточного описания задачи. Коэффициент
увеличения затрат труда вследствие недостаточного описания задачи, в
зависимости от сложности задачи, принимается от 1,2 до 1,5; в связи с тем, что
данная задача потребовала не больших доработок, примем коэффициент b= 1,2:
ТИ = (1251,2 × 1,2) / (75
× 1,35) = 14,8 чел.-ч. (инженер-технолог).
Затраты труда на разработку алгоритма решения
задачи ТА рассчитываются по формуле:
ТА = D / (Sa * kK). (4)
Для расчета по формуле (4) примем sa = 15 ед./
чел.-ч:
ТА = 1251,2/(15 * 1,35) = 61, 7 чел.-ч.
(инженер-технолог).
Затраты труда на составление программы по
готовой блок-схеме ТП определяется по формуле:
ТП = D / (Sn * kK), (5)
ТП = 1251,2/ (15 * 1,35) = 61, 7 чел.-ч.
(инженер-программист 1-й категории, с окладом 8000 руб. в месяц и коэффициентом
квалификации (kК = 1,35).
Затраты труда на отладку программы на
персональном компьютере ТОТЛ рассчитывается по следующей формуле:
ТОТЛ = D / (SОТЛ * kK). (6)
Для расчетов по формуле (6) примем sотл = 4 ед./
чел.-ч.
Тогда получим:
ТОТЛ = 1251,2/ (4 × 1,35) =
231,7 чел.-ч.
(инженер-программист 1-й категории).
Затраты труда на подготовку документации по
задаче ТД определяются по формуле:
ТД = ТДР + ТДО, (7)
где ТДР - затраты труда на подготовку материалов
в рукописи;
ТДР = D / (Sдр × kK), (8)
ТДО - затраты труда на редактирование, печать и
оформление документации:
ТДО = 0,75 × ТДР.
(9)
Для расчетов по формуле (8) примем sдр = 17 ед./
чел.-ч. Подставив численные значения параметров и коэффициентов в формулу (8),
получим:
ТДР = 1251,2/ (17 * 1,35) = 54,5 чел.-ч.
Затраты труда на редактирование, печать и
оформление документации
ТДО, чел.-ч., вычислим по формуле (9):
ТДО = 0,75 × 54,5 =
40,8 чел.-ч.
Таким образом, подставив численные значение
затраты труда на подготовку материалов в рукописи ТДР, чел.-ч., и затраты труда
на редактирование, печать и оформление документации ТДО, чел.-ч., в формулу
(1.7) получим:
ТД = 54,5 + 40,8 = 95,3 чел.-ч.
(инженер-программист 1 категории)
Подставив все полученные данные в формулу (1),
получим полную трудоемкость разработки:
Т = 50,0 + 14,8+ 61,7 + 61,7 + 231,7 + 95,3 =
515,2 чел.-ч. (10)
С учетом уровня языка программирования
трудоемкость разработки программы может быть скорректирована следующим образом:
ТКОР = Т × kКОР,
(11)
где kКОР - коэффициент изменения трудоемкости
(таблица 11).
Таблица 11 - Изменение трудоемкости в
зависимости уровня языка программирования
|
Уровень
языка программирования
|
Характеристика
языка программирования
|
Коэффициент
изменения трудоемкости
|
|
1
|
Ассемблер
|
1
|
|
2
|
Макроассемблер
|
0,95
|
|
3
|
Алгоритмические
языки высокого уровня
|
0,8
-
0,9
|
Выбранный для разработки язык программирования
PHP относится к алгоритмическим языкам высокого уровня (таблица11). С учетом
этого примем kКОР = 0,8. Тогда, с учетом корректировки получим итоговую
трудоемкость разработки:
ТКОР = 515,2 × 0,8 = 360,64 чел.-ч.
Расчет себестоимости автоматизированного
информационного Web-сайта
Себестоимость создания Web-сайта З, руб.,
определяется по следующей формуле
З = ЗО + ЗД + ЗС + ЗЭ + ЗМ + ЗП + ЗАО, (11)
где ЗО - основная заработная плата
производственного персонала, руб.;
ЗД - дополнительная заработная плата
производственного персонала, руб.;
ЗС - отчисления на страховые взносы, руб.;
ЗЭ - затраты на потребляемую электроэнергию,
руб.;
ЗМ - расходы на материалы и запасные части,
руб.;
ЗП - затраты на техническое обслуживание и
текущий ремонт вычислительной техники, руб.;
ЗАО - затраты на амортизацию вычислительной
техники, руб.
Плановый фонд рабочего времени одного
специалиста производственного персонала в месяц tпф, ч, вычислим по формуле
пф = Nрд×Δtрд,
(12)
где Nрд - количество рабочих дней специалиста
производственного персо-нала за месяц;
Δtрд -
продолжительность рабочего дня специалиста производственного персонала, ч.
Для расчетов по формуле (12) примем Nрд = 20
дней, Δtрд
= 8 ч. Подставив указанные численные значения параметров Nрд и Δtрд
в формулу (12) получим, что плановый фонд рабочего времени одного специалиста
производственного персонала в месяц составляет
пф = 20×8 = 160 ч.
Основная заработная плата ЗО, руб.,
производственного персонала
определяется по формуле
ЗО = sч × ТКОР.
(13)
Подставив все численные значения параметров в
формулу (13) получим, что основная заработная плата инженера-программиста
первой категории составит:
ЗО = 50×360,64 = 18032 руб.
Дополнительная заработная плата ЗД, руб.,
производственного персонала определяется по формуле
ЗД = ЗО × ηД,
(14),
где ηД
- коэффициент дополнительной заработной платы.
Коэффициент дополнительной заработной платы
инженера-программиста первой категории составляет ηД
= 0,2. Таким образом, дополнительная заработная плата ЗД, руб., инженера-программиста
первой категории, вычисленная по формуле (14), равна:
ЗД = 18032×0,2 = 3606,4 руб.
Отчисления в Пенсионный фонд Российской
Федерации, Фонд социального страхования Российской Федерации и фонды
обязательного медицинского страхования Российской Федерации согласно закону №
212-ФЗ от 24.07.2009 ЗС, руб., вычислим по формуле:
ЗС =((ЗО+ЗД)/100) × ηС
, (15)
где ηС
− норматив страховых взносов, %.
В соответствии с законом № 212-ФЗ от 24.07.2009
норматив страховых взносов составляет 34 % (ηС
= 34 %).
Подставив все численные значения в формулу (15)
получим, что отчисления на страховые взносы равны:
ЗС =((18032 + 3606,4)/100) ×
34 = 7357,06 руб.
Таким образом, размер страховых взносов составит
7357,06 руб.
Затраты на потребляемую электроэнергию ЗЭ, руб.:
ЗЭ = PВ×tВ×цЭ,
(16)
где PВ - мощность ЭВМ, кВт;В - время работы
вычислительного комплекса, ч;
цЭ - стоимость 1 кВт-ч электроэнергии, руб./
кВтч.
Мощность ЭВМ, на которой работает
инженер-программист первой категории, равна PВ = 0,5 кВт.
Время работы вычислительного комплекса tВ, ч,
при создании программного продукта вычислим по формуле:
В = αП×
(ТП
+ ТД + ТОТЛ) × kКОР, (17)
где αП
- коэффициент, учитывающий затраты времени на профилактические работы на
ЭВМ;КОР - коэффициент коррекции времени работы вычислительного комплекса.
Для расчетов по формуле (17) примем αП
= 1,15 и kКОР = 0,8. Подставив все численные значения параметров в формулу (17)
получим:
В = 1,15×(61,7 + 95,3 +
231,7)×0,8 = 370,16 ч.
Стоимость 1 кВтч электроэнергии составляет цЭ =
2,56 руб./ кВтч.
Подставив все численные значения параметров в
формулу (16) получим, что затраты на потребляемую электроэнергию составят
ЗЭ =0,5×370,16×2,56
= 473,8 руб.
Данные для расчета затрат на материалы и
запасные части занесем в таблицу 12.
Таблица 12 - Затраты на материалы и покупные
изделия
|
Материал,
покупное изделие
|
Кол-во,
единиц
|
Цена
за единицу, руб.
|
Сумма,
руб.
|
|
Лицензионное
программное обеспечение
|
1
|
35000,00
|
35000,00
|
|
Тонер
для картриджа принтера
|
1
|
300,00
|
300,00
|
|
DVD-RW
8x 4,76 Гбайт
|
2
|
50,00
|
100,00
|
|
Упаковка
бумаги, 500 листов
|
1
|
150,00
|
150,00
|
|
Итого
|
35550,00
|
Следовательно, затраты на материалы и запасные
части составят:
ЗМ = 35550,00 руб.
Затраты на техническое обслуживание и текущий
ремонт вычислительной техники ЗП, руб.:

, (1.18)
где КВ − балансовая стоимость
вычислительной техники, руб.
α - норма отчислений на ремонт,
%;В.Г - годовой фонд времени работы вычислительной техники, ч.
Для расчетов по формуле (1.18)
примем:
балансовая стоимость вычислительной
техники КВ = 25000,00 руб.;
норма отчислений на ремонт α = 4%;
- годовой фонд времени работы
вычислительной техники при 40-часовой рабочей неделе в текущем году tВ.Г = 1986
ч.
Подставив все численные значения
параметров в формулу (18) получим, что затраты на техническое обслуживание и
текущий ремонт вычислительной техники составят:
ЗП = 25000 × (4/100)
× (370,16/ 1986) =
186,3 руб.
Затраты на амортизацию
вычислительной техники ЗАО , руб.:
ЗАО = KB × (β
/ 100) × (tB / tB.Г)
, (19)
где KB − балансовая стоимость
вычислительной техники, руб.
β - норма отчислений на
амортизацию вычислительной техники, %;.Г - годовой фонд времени работы
вычислительной техники, ч.
Для расчетов по формуле (19) примем:
балансовая стоимость вычислительной
техники KB = 25000,00 руб.;
норма отчислений на ремонт β = 20%;
- годовой фонд времени работы
вычислительной техники при 40-часовой рабочей неделе в текущем году tB.Г = 1986
ч.
Подставив все численные значения
параметров в формулу (19) получим, что затраты на амортизацию вычислительной
техники ЗАО, руб. составят:
ЗАО = 25000 × (20 /
100) × (370,16/ 1986) = 931,9 руб.
Все расчеты по статьям калькуляции
затрат, составляющих себестоимость Web-сайта сведены в таблицу 13.
Таблица 13 - Величины затрат,
составляющих себестоимость Web-сайта
|
Статья
расхода
|
Сумма,
руб.
|
|
Основная
заработная плата
|
18032
|
|
Дополнительная
заработная плата
|
3606,4
|
|
Отчисления
на социальные нужды
|
7357,06
|
|
Затраты
на потребляемую электроэнергию
|
473,8
|
|
Материальные
затраты
|
35550
|
|
Затраты
на техническое обслуживание и текущий ремонт
|
186,3
|
|
Затраты
на амортизацию вычислительной техники
|
931,9
|
|
Итого
|
66137,46
|
Таким образом, полные затраты на создание
приложения составляют:
З = 15326,5 + 3065,3 + 6253,21 + 366,69 +
35550,00 + 144 + 720 = 66137,46 руб.
Капиталовложения при внедрении приложения
равняются его себестоимости и в приведении к расчетному году не нуждаются:
К = З = 66137,46 руб.
Оценка экономической эффективности внедрения
Web-сайта
Показатель эффекта определяет все позитивные
результаты, достигаемые при использовании программного продукта. Прибыль от
использования программного продукта за год эксплуатации П, руб., определяется
по формуле:
П = Э - Зисп, (21)
где Э - стоимостная оценка результатов
применения программного продукта в течение года, руб.;
Зисп - стоимостная оценка затрат при
использовании программного продукта в течение года, руб.
Приток денежных средств из-за использования
программного продукта Э, руб., в течение года может составить:
Э = (ЗРУЧ - ЗАВТ) + ЭДОП, (22)
где ЗРУЧ - затраты на ручную обработку
информации, руб.;
ЗАВТ - затраты на автоматизированную обработку
информации, руб.;
ЭДОП - дополнительный экономический эффект,
связанный с уменьшением числа используемых бланков, высвобождением рабочего
времени и т.д., руб.
Данный продукт используется менеджером
планово-экономического отдела ОАО "Астраханского
мебельно-деревообрабатывающего комбината ". Оклад менеджера - 10000 руб.
Его часовая ставка:
цЧ = 10000/176= 56,8 руб.
В таблице14 приведены данные, полученные в ходе
тестирования
программы, о времени, затрачиваемом на обработку
информации вручную и при использовании программного продукта за один месяц.
Из данных таблицы 14 следует, что общие затраты
времени на ручную обработку информации в месяц tОБЩ. Р, ч, составляют tОБЩ. Р =
85 ч, а общие затраты на автоматизированную обработку информации - tОБЩ. А = 10
ч.
Таблица 14 - Данные о времени, затрачиваемом на
обработку информации вручную и при использовании программного продукта за один
месяц
|
Наименования
работы
|
tР,
ч.
|
tА,
ч.
|
|
Оформление
кадровой документации
|
25
|
3
|
|
Поиск
информации
|
25
|
1
|
|
Обмен
документацией
|
7
|
1
|
|
Обработка
информации
|
12
|
2
|
|
Оформление
и анализ отчетов о выполненных операциях
|
16
|
3
|
|
Итого
|
85
|
10
|
В таблице 14 использованы следующие условные
обозначения:
tР - затраты на ручную обработку информации в
месяц, ч.;
tА - затраты на автоматизированную обработку
информации в месяц, ч.
Годовые затраты работника ОАО
"Астраханского мебельно-деревообрабатывающего комбината " при ручной
обработке информации вычислим по формуле:
ЗРУЧН = tОБЩ. Р ×12×
цЧ.
(23)
Тогда годовые затраты работника ОАО
"Астраханского мебельно-деревообрабатывающего комбината " при ручной
обработке информации (затраты времени на ручную обработку информации составляют
90 ч/месяц) составят
ЗРУЧН = 85×12×56,8 =
57936 руб.
Годовые затраты начальника отдела кадров при
автоматизированной обработке информации вычислим по формуле:
ЗАВТ = tОБЩ. А ×12×цЧ.
(24)
При автоматизированной обработке информации
(затраты времени 10 ч/месяц):
ЗАВТ = 10×12×56,8 =
6816 руб.
Следовательно, годовой эффект от внедрения
программного продукта,
даже без учета дополнительного экономического
эффекта (ЭДОП = 0), на основании формулы (22), получится равным:
Э = ЗРУЧН - ЗАВТ = 57936 - 6816 = 51120 руб.
Эксплуатационные затраты при использовании
программного продукта состоят из затрат на электроэнергию, техническое
обслуживание, текущий ремонт вычислительной техники и затрат на амортизацию
вычислительной техники.
На основании формулы (16), для персонального
компьютера работника ОАО "Астраханского мебельно-деревообрабатывающего
комбината " за 12 месяцев затраты на электроэнергию при потребляемой
мощности компьютера PВ =0,5 кВт составят (стоимость электроэнергии цЭ = 2,56
руб./кВт-ч)
ЗЭ = 0,5×10×12×2,56
= 153,6 руб.
На основании формулы (18) затраты на техническое
обслуживание и текущий ремонт составят:
Затраты на амортизацию вычислительной техники по
формуле (19) составят:
Тогда эксплуатационные затраты при использовании
программного продукта составят:
ЗИСП = ЗЭ + ЗП + ЗАО = 153,6 + 
+
= 513,6 руб.
Прибыль рассчитаем по формуле:
П = Э - З = 51120 - 513,6 = 50606,4
руб.
Таким образом, мы имеем следующий
денежный поток:
шаг (капиталовложения) - 66137,46 руб.;
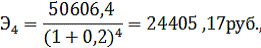
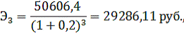
шаг - 50606,4 руб.;
шаг - 50606,4 руб.;
шаг - 50606,4 руб.;
шаг - 50606,4 руб.;
шаг - 50606,4 руб.
Чистый дисконтированный доход за 5
лет использования программного продукта определим по формуле:
где N - расчетный период, год;
Пk - прибыль от использования
программного продукта за k-й год его
эксплуатации, руб.;
Е - норма дисконта, %;-
капиталовложения при внедрении программного продукта, руб.
Следовательно, ЧДД в соответствие с
формулой (25) составит:
Приходим к выводу, что ЧДД - положителен, т.е. проект
эффективен.
Внутреннюю норму доходности проекта
EВН, %, определим по формуле:

(26)
где, 
- максимальное значение внутренней
нормы дисконта, %, при которой ЧДД является положительной величиной (ЧДД>0);

- минимальное значение внутренней
нормы дисконта, %, при которой ЧДД является отрицательной величиной (ЧДД<0);

- ЧДД, руб., вычисленный по формуле
(25) при подстановке нормы дисконта 
;

- ЧДД, руб., вычисленный по формуле
(25) при подстановке нормы дисконта 
.
Предполагаем, что EВН лежит в
диапазоне 75 ...80%. При норме дисконта EВН =75% получаем ЧДД = 1938,2 руб.
Таким образом, при норме дисконта EВН = 75% ЧДД - положителен.
При норме дисконта EВН = 80%
получаем ЧДД = -1515,6 руб. Таким образом, при норме дисконта EВН = 80% ЧДД -
отрицателен.
Следовательно, по формуле (26)
имеем:
Рассчитаем срок окупаемости проекта.
Срок окупаемости проекта TОК , год, найдем
по формуле:

(27)
где N - максимальное количество лет,
прошедших с начала эксплуатации программного продукта, в течение которых
величина дохода от его использования не превысила величины капиталовложения при
внедрении программного продукта;
Эj - величины приведенных
(дисконтированных) годовых эффектов за j-й год, руб., прошедший с начала
эксплуатации программного продукта, вычисленные по формуле (25) при подстановке
нормы дисконта E = 20%.
Величины приведенных
(дисконтированных) годовых эффектов в рублях по годам расчетного периода по
формуле (25) равны:
Величина дохода в рублях за первый
год составит:

,
что меньше капиталовложений (К = 
руб.).
Величина дохода в рублях за первые 2
года:

что больше величины капиталовложений
(К = 
руб.).
Тогда, в формуле (4.27) имеем N = 1 и срок
окупаемости составит:
Основные технико-экономические показатели
проекта.
Основные технико-экономические показатели
приведены в таблице 15.
Таблица 15 - Основные технико-экономические
показатели проекта
|
Основные
характеристики
|
Единицы
измерения
|
Проект
|
|
Итоговая
трудоемкость разработки
|
чел.-час.
|
360,64
|
|
Полные
затраты на создание программного продукта
|
руб.
|
66137,46
|
|
Годовой
эффект от внедрения программного продукта
|
руб.
|
51120
|
|
Чистый
дисконтированный доход за 5 лет использования программного продукта
|
руб.
|
 5
|
|
Внутренняя
норма доходности
|
%
|
77,8
|
|
Срок
окупаемости проекта
|
год
|
1,68
|
Итоговая трудоемкость разработки Web-сайта
составляет 360,64 чел.-ч.
Полные затраты на создание Web-сайта составляют
66137,46.
Годовой эффект от внедрения Web-сайта составляет
51120 руб.
Чистый дисконтированный доход за
пять лет использования Web-сайта равен 
руб.
Внутренняя норма доходности от
использования приложения составляет 77,8%.
Срок окупаемости проекта 1,68 года.
Разработка Web-сайта для ОАО
"Астраханского мебельно-деревообрабатывающего комбината " является
экономически обоснованной и эффективной.
Заключение
В условиях динамично развивающейся
конкурентной среды необходимо проводить анализ конкурентоспособности своего
предприятия на фоне других представителей данного сектора рынка. Это позволит
получить информацию, о том, что привлекает потребителя в продукции или услугах
данного предприятия, и какие преимуществами обладают его конкуренты. Анализ
необходим, чтобы на его основе можно было усовершенствовать те моменты, которые
способствуют снижению конкурентоспособности. Исходя из этого, проведение
данного анализа является жизненно необходимой составляющей каждого предприятия,
поскольку, не зная того, что нужно потребителю и какими конкурентными
преимуществами обладают соперники, не стремясь исправить сложившееся не
завидное положение можно прийти к банкротству.
Знание реакции реальных и потенциальных
конкурентов даёт предприятию возможность предугадывать образ их поведения и
выбирать наиболее выгодное для себя «поле борьбы».
Это особенно важно при принятии
решений, затрагивающих наиболее уязвимые позиции соперников.
Исследование деятельности
конкурирующих фирм как и анализ спроса, осуществляется в три этапа:
выявление действующих и
потенциальных конкурентов;
анализ показателей деятельности,
целей и стратегии конкурентов;
выявление сильных и слабых сторон
деятельности конкурентов.
На данный момент не существует
конкретной методики определения конкурентоспособности предприятия.
Существует множество методов,
которые оценивают конкурентоспособность, но все они односторонние или сводятся
к простой сумме показателей, а единой принятой методики нет.
В данной работе была проведена
оценка конкурентоспособности по методу рейтинговой оценки финансового состояния
конкурентов.
Этот метод позволяет наиболее
объективно оценить сложившуюся ситуацию на рынке. К тому же он является
комплексным и позволяет всесторонне оценить деятельность фирм.
Список литературы
1. Ахматова М., Попов Е. Теоретические модели
конкурентоспособности // Маркетинг. №4, 2010. -248с
. Багиев Г.Л. и др. Маркетинг: Учебник для
вузов / Г.Л. Багиев, В.М. Тарасевич, Х. Анн. Под общей редакцией Г.Л. Багиева.
- М.: ОАО «Изд-во «Экономика», 2009.-350с.
. Бальжинов А.В., Михеева Е.В. - Анализ и
диагностика финансово-хозяйственной деятельности предприятия. Учебное пособие,
Улан-Удэ, 2007.-213с.
. Беляевский И.К. Маркетинговое
исследование: Учебное пособие, руководство по изучению дисциплины, практикум по
курсу, учебная программа / Московский государственный университет экономики,
статистики и информатики. - М. 2009. - 414 с.
. Воронов А.А. Моделирование
конкурентоспособности продукции предприятия // "Маркетинг в России и за
рубежом", 2010, № 4.-518с.
. Ефремов B. C. Классические модели
стратегического анализа и планирования: модель BCG // "Менеджмент в России
и за рубежом". - 2009, №7-8.
. Коротков А.М., Еленева Ю.Я.
Конкурентоспособность предприятия: подходы к обеспечению, критерии, методы
оценки - "Маркетинг в России и за рубежом", 2008, № 6.
. Котлер Ф. Маркетинг. Менеджмент. 11-е
изд. / Ф. Котлер. - СПб.: Питер, 2009.
. Куприянов С. Приоритет государственной
промышленной политики -конкурентоспособность // Рынок ценных бумаг №2 (137)
2009.
. Маркетинг: основы теории и практики:
учебник / В.И. Беляев. - М.: КНОРУС, 2007. - 672 с.
. Мелентьева Н.И., Бичун Ю.А. Маркетинговые
коммуникации (теоретические и методические основы) / Под ред. Г.Л. Багиева:
Учебное пособие. - СПб.: Изд-во СПбГУЭФ, 2008.-529с.
. Мошнов В.А. Комплесная оценка
конкурентоспособности // Корпоративный менеджмент, 2008.-352с.
. Наумов В.Н. Поведение потребителей:
Учебное пособие. - СПб.: Изд-во СПбГУЭФ, 2007.-56с.
. Пилчер Т. Бенчмаркинг как средство
повышения конкурентоспособности компании // Европейское качество. Дайджест. №1,
2008.
. Портер М.Э. Конкуренция: учебное пособие,
пер. с англ. Я.В. Заблоцкий. - СПб.: 2010. - 495 с.
. Рубин Ю. Конкуренция: 10 правил успешного
дебюта. // Управление компанией. №5, 2009.
. Фасхиев Х.А., Попова Е.В. Как измерить
конкурентоспособность предприятий // "Маркетинг в России и за
рубежом". №4, 2008.
. Юданов А.Ю. Конкуренция: теория и
практика. - М.: Гном и Д, 2010.-589с.
. Светуньков С.Г. Методы маркетинговых
исследований. Учебное пособие. - СПб.: Издательство ДНК, 2009.-621с.
. Томилов В.В., Бабкина Л.Н., Песоцкая Е.В.
и др. Менеджмент. Учебник / Под ред. В.В. Томилова. - М.: Юрайт-Издат,
2008.-235с.