Анализ деятельности организации (ЗАО 'Каскад-1')

  • Вид работы:
    Курсовая работа (т)
  • Предмет:
    Эктеория
  • Язык:
    Русский
    ,
    Формат файла:
    MS Word
    80,45 Кб
  • Опубликовано:
    2014-10-10
Вы можете узнать стоимость помощи в написании студенческой работы.
Помощь в написании работы, которую точно примут!

Анализ деятельности организации (ЗАО 'Каскад-1')

Оглавление

Введение

. Управленческий блок

.1 Описание организации ЗАО «КАСКАД-1»

.2 SWOT - анализ

.3 Разработка управленческого решения

. Экономический блок

.1 Объем товарной продукции

.2 Среднесписочная численность

.3 Производительность труда

.4 Эффективность использования основных средств

.5 Показатели использования материальных ресурсов

.6 Затраты на производство

.7 Показатели прибыльности и рентабельности

. Специализация «Управление персоналом»

.1 Состав персонала. Образовательный уровень

.2 Технология подбора, набора и высвобождения персонала

.3 Подготовка, переподготовка и повышение профессионального уровня персонала организации. Движение, развитие и карьера персонала

.4 Расходы на персонал

.5 Социальные условия персонала

.6 Оптимизация численности персонала. Расчет потребности в персонале

.7 Стратегия управления персоналом организации

Заключение

Библиографический список

Введение


Каждый человек в течение всей жизни так или иначе связан с организациями. Именно в организациях или при их содействии люди растут, учатся, работают, преодолевают недуги, вступают в многообразные отношения, развивают науку и культуру. В рамках организаций повсеместно осуществляется человеческая деятельность. Нет организаций без людей, равно как и нет людей, которым не приходится иметь дело с организациями.

В настоящее время перед руководителем любой организации с особой остротой стоят ряд проблем. Одной из самых актуальных является вопрос о правильности управления организацией.

Организации создаются для удовлетворения разнообразных потребностей людей и поэтому имеют самое различное назначение, размеры, строение и другие характеристики. Многообразие целей и задач организаций приводит к тому, что для управления их функционированием и развитием требуются специальные знания и искусство, методы и приемы, обеспечивающие эффективную совместную деятельность работников.

Основные функции руководителей организации - планирование, контроль, коммуникации, принятие решений и лидерство. А так же руководители должны заботиться о производительности и о том, чтобы их организация работала как можно эффективнее и производительнее, чем ее конкуренты.

Любая организация, вне зависимости от ее конкретного назначения, может быть описана с помощью ряда параметров, среди которых главными являются: целевое назначение, правовая и нормативная основа, ресурсы, процессы и структура, разделение труда и распределение ролей, внешняя среда и система внутренних социальных, а также экономических связей и отношений, отражающих организационную культуру.

В настоящее время так же остро стоит вопрос о правильности выбранного направления, хотя наша экономика давно перестала иметь командный характер, т.е. уже не присутствует того давления со стороны государства на деятельность предприятия. В связи с переходом в новую рыночную систему экономики, особо остро встал вопрос перед руководителями предприятий, так как они являются в настоящее время главным звеном в управлении организацией, и именно от них зависит вся правильность выбранной политики.

Задачей данной работы является анализ технико-экономических показателей, учет и анализ финансовых результатов деятельности предприятия и использования прибыли, а так же сбор данных для разработки бизнес-плана. Объектом данного исследования является организация (ЗАО «КАСКАД-1»).

В работе будут использованы основные источники литературы:

1.    Основы менеджмента. Мескон М.Х., Альберт М., Хедоури Ф;

2.      Савицкая Г. В. «Анализ хозяйственной деятельности»;

3.    Управление персоналом организации: Учебник/Под.ред. А.Я. Кибанова;

4.    Теория организации. Мильнер Б.З.

А так же лекционный материал

себестоимость рентабельность кадровый производительность

1. Управленческая часть

.1 Описание организации ЗАО «КАСКАД-1»

Закрытое акционерное общество научно-производственная фирма «КАСКАД-1» находится в г. Москва.

Организация ЗАО «Научно-производственная фирма «КАСКАД-1» основана в 1990г. на базе предприятия оборонного комплекса - Миасского Машиностроительного завода в рамках развития конверсии. За это время клиентами фирмы стали тысячи представителей малого и среднего бизнеса, которые, используя надежное и быстро окупаемое оборудование, наладили свои прибыльные производства по всей территории России, Казахстана, Белоруссии. Это оборудование, получившее известность под торговой маркой "МАКИЗ", представляло собой компактные и простые в эксплуатации мини-линии первого поколения по производству макаронных изделий и сушильных шкафов. В 2001 году фирма «КАСКАД-1» представила на рынок свое первое упаковочное оборудование как логическое завершение цикла производства макаронных изделий. Упаковочные машины быстро получили признание не только у производителей макаронного оборудования, но и у других предпринимателей, которым по роду своей деятельности было необходимо быстро и качественно упаковывать такую продукцию как крупы, орешки, кофе в зернах, чай, соль, сахар, а также конфеты, печенье и даже пельмени. Сегодня наряду со ставшим уже традиционным оборудованием первого поколения «КАСКАД-1» предлагает линии "МАКИЗ", включающие в себя пресс-автоматы второго поколения М-02 для выработки макаронных изделий с вакуумированием теста на всех стадиях замеса и линии сушки.

Расширяется сеть сервисных центров вблизи пользователей.

Организация имеет Устав, созданный сотрудниками, в котором описаны все положения, права и обязанности работников фирмы.

1.2 SWOT-анализ

На современном российском рынке предприятия малого и среднего бизнеса, к которым относится и фирма «КАСКАД-1», в числе самых быстроразвивающихся. Однако, в условиях быстро изменяющихся внешней и внутренней среды, повышения конкуренции фирма неизбежно сталкивается с целым рядом проблем, решение которых невозможно без повышения эффективности работы предприятия.

SWOT-анализ приводится с целью изучения среды бизнеса, сильных и слабых сторон предприятия, а так же взаимодействия рассматриваемых факторов. Это один из распространенных видов анализа в менеджменте, маркетинге, т.к. он позволяет выявлять и структурировать сильные и слабые стороны предприятия, а так же потенциально возможные угрозы и возможности. SWOT-анализ имеет управленческую и стратегическую ценность, если сообщает какие ресурсы и возможности понадобятся компании в будущем для реагирования на новые условия внешней среды, есть ли в ресурсной базе компании пробелы, которые необходимо заполнить.

Внешнее окружение разделяют на макросреду и микросреду. Макросреда фирмы «КАСКАД-1» включает в себя широкое окружение, которое находится вне сферы отрасли и рынков организации (технологические, социальные, экономические, политические, природные факторы). Макросфера находится за пределом влияния фирмы «КАСКАД-1», но оказывает существенное взаимодействие на микросреду организации (машиностроительную отрасль, рынки упаковочного и макаронного оборудования).

S - сильные стороны;

W - слабые стороны;

O - возможности;

T - угрозы.

Таблица 1 - Сильные и слабые стороны, угрозы и возможности организации.

Внешняя среда    Внутренняя среда

O

T


· Использование энерго и ресурсосберегающих технологий; · Дифференциация продукта по большому числу параметров; · Выход на новые рынки.

· Усиление конкуренции в отрасли;







S

· Высококвалифицированные специалисты; · Производство серийного оборудования с учетом запросов заказчика;

· Дифференциация упаковочного оборудования на основе качества и индивидуализации под заказчика; · Разработка и развитие схем продаж с использованием кредитования и лизинга;

· Разработка новых видов оборудования с максимальным учетом запросов потребителей; · Переход с дорогих материалов(12Х18Н10Т) на более дешевые заменители (08Х17Т20Х13).













W

· Не эффективное использование финансовых ресурсов; · Не достаточно организован управленческий учет и информационные потоки;

· Внедрение программного продукта для повышения эффективности использования финансового ресурса;

· Разработка и реализация программы привлечения квалифицированных рабочих на предприятие.






Чтобы показать значимость и степень влияния проблем на предприятии ЗАО «КАСКАД-1», проранжируем наиболее значимые. Степень влияния определяется экспертным опросом специалистов и выводится бальная шкала (1 - влияние очень слабое … 5 - влияние очень сильное), вес фактора определяется по значимости для фирмы (0 - менее значимый … 1 - более значимый).

Таблица 2 - Ранжировка проблем

Проблемы

Весфактора А

Бальная оценка В

Степень важности  СВ = А*В

Дефицит специалистов рабочих специальностей.

0,64

3

1,92

Рост цен на сырье и энергоносители.

0,83

4

3,32

Экспансия Китая.

0,44

2

0,88

Высокий уровень конкуренции в отрасли.

0,9

5

4,5

Укрупнение рынка макаронного оборудования.

0,35

3

1,05


Наиболее значимыми отрицательными факторами для предприятия «КАСКАД-1» являются:

·        высокий уровень конкуренции в отрасли;

·        рост цен на сырье и энергоносители;

·        дефицит специалистов рабочих специальностей;

·        экспансия китайских производителей;

·        укрупнение рынка макаронного оборудования.

Выводы: исходя из полученных данных у ЗАО «КАСКАД-1» одной из главных сильных сторон является производство серийного оборудования с учетом запросов заказчика. Представленные сильные стороны должны быть направлены на реализацию своих возможностей, т.е. дифференциация упаковочного оборудования на основе качества и индивидуализации под заказчика, и разработка и развитие схем продаж с использованием кредитования и лизинга, а так же сильные стороны должны быть направлены на устранение возможных угроз, т.е. передача знаний и опыта от квалифицированных рабочих молодым (наставничество), и разработка новых видов оборудования с максимальным учетом запросов потребителей.

Наиболее вероятная угроза может появиться в усилении конкуренции в отрасли, а в сочетании со слабой стороной (не достаточно организован управленческий учет и информационные потоки) может привести к потере ведущих позиций на рынке.

За счет использование энерго и ресурсосберегающих технологий можно разработать стратегию, направленную на снижение издержек и увеличение объемов продаж производства.

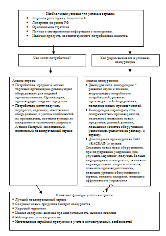
В качестве завершения управленческого блока сформулируем ключевые факторы успеха в отрасли производства оборудования для пищевой промышленности. Последовательность анализа и ключевые факторы успеха показаны на рис.1.

Рис. 1. Ключевые факторы успеха в отрасли производства оборудования для пищевой промышленности.

.3 Разработка управленческого решения

Основываясь на ситуацию, сложившуюся в стране и проведенного SWOT-анализа у предприятия существует проблема: «как не потерять ведущие позиции на рынке и стать более конкурентоспособным». При решении данной проблемы необходимо найти такое решение, которое поможет ликвидировать данную проблему с минимальными временными и финансовыми затратами и при среднем уровне риска.

Основой поиска вариантов решения служит метод «ПАУК». Он включает проработку вариантов на различных направлениях, каждое из которых в свою очередь подразделяется на несколько конкретных. Для успешной реализации данного метода необходимо определить направление поиска, варианты решений и критерии отбора лучших вариантов.

Выделим направления и варианты на каждом этапе:

Таблица 3.

А

удержаться на рынке сбыта

А0

не предпринимать никаких действий

А1

снизить затраты на производство без ущерба для продукции (замена материалов на аналоги, т.е. замены заграничного металла на более дешевый отечественный)

А2

предоставление услуг клиентам (скидки, рассрочка платежа)

А3

усовершенствование оборудования (облегчение в установке, эксплуатации)

Б

привлечение новых клиентов

Б0

не предпринимать никаких действий

Б1

демонстрационные показы, выставки (с продажей), т.е «Лучшее оборудование 2013» в г.Москве

Б2

размещение рекламы в СМИ

Б3

разработка оборудования по каталогам (под заказ) и расширить использования Internet для организации закупа и продаж

В

сохранение квалифицированных рабочих на предприятии

В0

не предпринимать никаких действий

В1

передача знаний и опыта от квалифицированных рабочих новым молодым (наставничество)

В2

каждый сотрудник должен знать не только свою работу, но и задачи и обязанности других сотрудников фирмы

В3

снизить уровень заработной платы управленческого персонала на 10%


Затем я должна разработать объективные критерии, позволяющие оценить выработанные варианты решения проблемы.

Таблица 4.

N

Критерии

Единица измерения

1

сохранение прибыли на достижимом уровне (до кризиса)

руб.

2

сохранение рынков сбыта (покупатели)

чел.

3

финансовые затраты

руб.

4

время

мес.

5

риски, связанные с выплатой кредита

руб.

6

риски, связанные с увольнением квалифицированного персонала

чел.


Необходимо сформулировать комбинации вариантов решений из направлений и с помощью системного сравнительного анализа, проводимого на основании выработанных критериев, отобрать наиболее успешные и эффективные комбинации.

Какие возможны варианты решения:

Комбинация А1Б0В1 - снизить затраты на производство без ущерба для продукции, но не предпринимать никаких действий в привлечении клиентов и передавать знания и опыт от квалифицированных рабочих новым молодым.

Комбинация А1Б2В3 - снизить затраты на производство без ущерба для продукции, размещение рекламы в СМИ, но снизить зарплату управленческого персонала.

Комбинация А1Б3В1 - снизить затраты на производство без ущерба для продукции, разработка оборудования по каталогам и расширить использования Internet для организации закупа и продаж, а так же передавать знания и опыт от квалифицированных рабочих новым молодым.

Комбинация А2Б2В2 - предоставление услуг клиентам, размещение рекламы в СМИ, каждый сотрудник должен знать не только свою работу, но и задачи и обязанности других сотрудников фирмы.

Комбинация А2Б1В3 - предоставление услуг клиентам, участие в выставках и показах, но снизить зарплату управленческого персонала.

Комбинация А2Б1В2 - предоставление услуг клиентам, участие в выставках и показах, каждый сотрудник должен знать не только свою работу, но и задачи и обязанности других сотрудников фирмы.

Комбинация А2Б3В2 - предоставление услуг клиентам, разработка оборудования по каталогам и расширить использования Internet для организации закупа и продаж, каждый сотрудник должен знать не только свою работу, но и задачи и обязанности других сотрудников фирмы.

Комбинация А3Б1В3 - усовершенствование оборудования, участие в выставках и показах, снизить зарплату управленческого персонала.

Комбинация А3Б2В0 - усовершенствование оборудования, размещение рекламы в СМИ, но никаких действий не предпринимать для сохранения квалифицированного персонала.

Комбинация А3Б3В3 - усовершенствование оборудования и его разработка по каталогам и расширить использования Internet для организации закупа и продаж, снизить зарплату управленческого персонала.

Комбинация А3Б3В2 - усовершенствование оборудования и его разработка по каталогам и расширить использования Internet для организации закупа и продаж, но каждый сотрудник должен знать не только свою работу, но и задачи и обязанности других сотрудников фирмы.

Я считаю, что это наиболее подходящим вариантами являются комбинации А2Б1В2, и А3Б3В2.

В таблице представлены комбинационные решения, где

+ означает хорошую комбинацию вариантов

┴ - удовлетворительная комбинация

? - сомнительная комбинация

Х - неудовлетворительная или комбинация несовместимых вариантов.

Таблица 5.



В0

В1

В2

В3

А1

Б0


х




Б1






Б2





Б3


+



А2

Б0






Б1



+

?


Б2



+



Б3




А3

Б0






Б1





Б2

х





Б3



+

+


Комбинация А1Б0В1 не прошла ограничения, т.к. не предпринимаются действия для привлечения новых клиентов.

Комбинация А1Б2В3 не прошла ограничения, т.к. реклама не сразу даст желаемый результат и для этого потребуется время.

Комбинация А2Б1В3 не прошла ограничения, т.к. для предоставления дополнительных услуг необходимы деньги.

Комбинация А2Б2В2 не прошла ограничения, т.к. реклама не сразу даст желаемый результат и для этого потребуется время.

Комбинация А2Б3В2 не прошла ограничения, т.к. обязанности уволенного персонала могут не знать те, на кого перекладывают их, следовательно, потребуется дополнительное время на их обучение и адаптацию.

Комбинация А3Б2В0 не прошла ограничения, т.к. в отношении сохранения квалифицированного персонала не предпринимаются действия.

Комбинация А1Б3В1 не прошла ограничения, т.к. потребуется дополнительное время на обучение и адаптацию новых рабочих.

Таблица 6.


Кр.1, руб.

Кр.2, чел.

Кр.3, руб.

Кр.4, мес.

Кр.5, руб.

Кр.6, чел.

ИТОГО

А1Б3В1

+100 000

-10

+50 000

-4

-500 000

-5

Потеря прибыли: 350 000 руб. Потеря клиентов и рабочих: 15 чел. Потеря времени: 4 мес.

А2Б1В2

+50 000

+5

-35 000

-5

-250 000

+6

Потеря прибыли: 235 000 руб. Потеря времени: 5 мес. Сохранение клиентов и рабочих: 11 чел.

А3Б3В2

+2 500 000

+5

+50 000

+1

+150 000

+5

Сохранение прибыли: 2 650 000 руб. Сохранение времени: 1 мес. Сохранение клиентов и рабочих: 10 чел.


Самым оптимальным решением данной проблемы является комбинация А3Б3В2. В комбинации предлагается разработать каталоги и расширить использования Internet для организации закупа и продаж, так же при этом усовершенствовать оборудование и внедрить программу по «введению в курс дела» каждого сотрудника других сотрудников фирмы. Использование данной комбинации даст сохранение времени до 3 месяцев, сохранит прибыль.

По отношению к конкурентам у предприятия есть такие плюсы как:

·      широкий ассортимент;

·        зарекомендованная репутация;

·        отличное качество по относительно невысоким ценам;

·        эффективная система контроля качества.

Комбинация может стать отрицательной, если затраченные средства на разработку каталогов и содержание сайт-магазина не окупятся, т.е. оборудование не приобретут. Но если клиенты заинтересуются в оборудовании, то окупятся не только затраты на разработку и содержание, но и затраты для приобретения необходимых материалов усовершенствования оборудования.

Если сопоставить выигрыш и затраты на достижение поставленной цели, то можно сказать, что затраченные ресурсы не так велики по сравнению с тем, что получит предприятие от решения проблемы.

Для решения еще одной проблемы: «сохранить квалифицированный персонал», все принимающие решения сталкиваются с альтернативами и состоянием природы.

Примерные данные:

I.        обучение персонала

1.      командировки на курсы, тренинги, семинары;

2.      в высших учебных заведениях.

II.      принятие на работу новых сотрудников

1.      стажировка на рабочем месте работника, которого хотят уволить;

2.      возможность ошибок, которые могут повлечь за собой серьезные потери для фирмы.

Таблица 7

Альтернативы

Затраты

I

1

41 000

2

300 000

Итого: 341000

II

1

30 000

2

400 000

Итого: 430000


Для принятия решения необходимо построить платежную матрицу.

Таблица 8.

Альтернативы

Состояние природы


Благоприятный рынок

Неблагоприятный рынок

1. Переобучать персонал

600 000 руб.

-350 000 руб.

2. Принимать новых сотрудников

350 000 руб.

-200 000 руб.

3. Ничего не делать

0

0


Если имеется полная неопределенность того, какое состояние природы в таблице решений может появиться (это значит, что мы даже не можем оценить вероятность для каждого возможного исхода), то мы обращаемся к критериям «теории игр» для принятия решений в условиях неопределенности.

1.  Maximax - критерий находит альтернативу, которая максимизирует максимальный выход или следствие для каждой альтернативы.

2.      Maximin - критерий отыскивает альтернативы, которые максимизируют минимальный выход.

.        Равновероятностный критерий - находит альтернативу с наивысшим средним выходом.

П - состояние природы, внешняя среда.

П1 - благоприятный рынок;

П2 - неблагоприятный рынок;

Р - состояние предприятия.

Р1 - переобучать персонал;

Р2 - принимать новый персонал;

Р3 - ничего не делать.

 

Таблица 9.

Критерий Maximax

Организация персонала

Max доход

1. переобучать персонал

600 000

2. принимать новый персонал

350 000

3. ничего не делать

0


По данному критерию решение будет Р1.

 

Таблица 10.

Критерий Maximin

Организация персонала

Min доход

1. переобучать персонал

-350 000

2. принимать новый персонал

-200 000

3. ничего не делать

0


Решением по данному критерию будет Р3.

Равновероятностный критерий

Вероятность = 0,5

Р1: 0,5*600 000+0,5*(-350 000)=125 000

Р2: 0,5*350 000+0,5*(-200 000)=75 000

Р3: 0

Предпочтительнее Р1

2. Экономический блок

Объем производства и объем реализации являются взаимозависимыми показателями. В условиях ограниченных производственных возможностей и неограниченного спроса приоритет отдается объему производства продукции, который определяет объем продаж. Но по мере насыщения рынка и усиления конкуренции не производство определяет объем продаж, а возможный объем продаж является основой разработки производственной программы, т.е. предприятие должно производить те товары и в том количестве, которое оно сможет реализовать. Темпы роста и объемы роста реализации продукции, а так же повышение ее качества непосредственно влияют на величину затрат и в конечном счете на прибыль и рентабельность.

.1 Объем товарной продукции

Одним из обобщающих показателей экономической эффективности производства является рост производства продукции (работ, услуг) в стоимостном выражении. Развитие и расширение производства осуществляется за счет эффективного использования материальных, трудовых и денежных ресурсов. Продукция предприятия является прямым конечным результатом его деятельности.

Товарная продукция характеризует объем производства по полностью законченным и подлежащим реализации (для продаж) продукции, работ, услуг. В ее состав входят:

стоимость готовых изделий (готовая продукция - ГП);

полуфабрикаты собственной выработки, отпущенные на сторону, капитальному строительству и непроизводственным хозяйствам своего предприятия (ПФс);

стоимость переработки сырья и материалов заказчика;

стоимость инструментов, штампов, моделей, приспособлений, отпущенных на сторону или зачисленных в основные фонды, предприятия;

стоимость работ промышленного характера, выполненных на сторону.

По иному можно дать определение товарной продукции - товарная продукция это валовая продукция за минусом внутризаводского оборота и незавершенного производства.

Общий объем продукции, работ, услуг оценивается фактически в оптовых ценах без НДС, акцизов и отражается в форме № 1.


Таблица 11 - Объем товарной продукции (тыс. руб.)

Показатели

Пред. год

План.

Отчет.

Отклон. От плана





Абсол.

Относит.%

1.Валовая прод-ция в оптовых ценах пр-тия

21349

23000

25970

2970

13,91

2.Товарная прод-ция в ценах плана

20226

23000

26000

3000

14,83


Перевыполнение плана по валовой продукции составило 2970 тыс.руб.(или 13,91%), что обеспечило перевыполнение плана по валовой продукции на 113,91%.

Перевыполнение плана по товарной продукции составило 3000 тыс.руб. (или 14,83%).

Планом предусмотрен рост валовой продукции на 1651 тыс.руб. (23000 - 21349) или на 0,67% (23000/21349)*100% - 100% = 7,7%.

Планом предусмотрен рост товарной продукции на 2774 тыс.руб. (23000- 20226) или 13,7% (2774/20226)* 100 = 13,7%

Фактически объем валовой продукции за отчетный год по сравнению с предыдущим годом перевыполнен на 4621 тыс. руб. (25970 - 21349) = 4621 или на 21,6% (4621/21349)* 100= 21,6%.

Фактически объем товарной продукции за отчетный год по сравнению с предыдущим перевыполнен на 2128 тыс.руб. (26000 - 20226) = 5774 или на 3,53% (26000/20226)*100% - 100% = 28,5%

План по товарной продукции перевыполнен, т.к. все факторы способствовали выполнению производственной программы.

.2 Среднесписочная численность

Расчет среднесписочной численности работников производится на основании ежедневного учета списочной численности работников, которая должна уточняться на основании приказов о приеме, переводе работников на другую работу и прекращении трудового договора.

В списочной численности работников за каждый календарный день учитываются как фактически работающие, так и отсутствующие на работе по каким-либо причинам. Исходя из этого, в списочную численность целыми единицами включаются, в частности, работники:

ü  фактически явившиеся на работу, включая и тех, которые не работали по причине простоя;

ü  находившиеся в служебных командировках, если за ними сохраняется заработная плата в данной организации, включая работников, находившихся в краткосрочных служебных командировках за границей;

ü  не явившиеся на работу по болезни (в течение всего периода болезни до возвращения на работу в соответствии с листками нетрудоспособности или до выбытия по инвалидности);

ü  не явившиеся на работу в связи с выполнением государственных или общественных обязанностей;

ü  принятые на работу на неполный рабочий день или неполную рабочую неделю, а также принятые на половину ставки (оклада) в соответствии с трудовым договором.

Среднесписочная численность работников за месяц исчисляется путем суммирования списочной численности работников за каждый календарный день месяца, т.е. с 1 по 30 или 31 число (для февраля по 28 или 29 число), включая праздничные (нерабочие) и выходные дни и деления полученной суммы на число календарных дней месяца.

В данной работе я представляю расчет среднесписочной численности за I полугодие:

Сред.списоч.числ. = ∑Ni/ Д,

где Ni - списочная численность работников на i дату;

Д - количество месяцев

Таблица 12 - Численность за полгода

Месяц

Январь

Февраль

Март

Апрель

Май

Июнь

Численность

110

106

104

100

100

100


Сред.списоч.числ. = (110+106+104+100+100+100)/ 6 = 620/ 6 = 103

.3 Производительность труда

Производительность труда характеризует эффективность, результативность затрат труда и определяется количеством продукции, произведенной в единицу рабочего времени, либо затратами труда на единицу произведенной продукции или выполненных работ.

Значительное влияние на рост производительности труда оказывает внедрение достижений научно-технического прогресса, которое проявляется в использовании экономичного оборудования и современной технологии, что способствует экономии живого труда (зарплата) и увеличению прошлого труда (амортизация).

Обобщающий показатель производительности труда - это среднегодовая выработка.

ГВ = Qтп/ rср.списоч, где Qтп - объем товарной продукции;

rср.списоч - среднесписочная численность.

ГВ = 3000/ 103 = 29

Производительность труда зависит от:

1.  удельного веса рабочих в общей численности персонала (УДр);

2.      количества отработанных дней одним рабочим (Д);

.        продолжительности рабочего дня (Пд);

.        среднечасовой выработке одного рабочего (ЧВ).

ГВ=УДр*Д*Пд*ЧВ

ГВ=0,6*240дн.*8ч.*325руб=374 400 руб.

.4 Эффективность использования основных средств

Одним из важных факторов увеличения объема производства на предприятии является обеспеченность основными средствами в необходимом количестве и эффективное их использование.

Большое значение имеет анализ движения и технического состояния основных средств.

Рассчитываются следующие показатели:

I.       Показатели движения:

1.      Коэффициент обновления = стоим-ть поступивших ОС/ стоим-ть ОС на конец периода = 14 446 648/ 9 177 083 = 1,57

Характеризует долю новых основных средств в общей стоимости.

2.      Коэффициент выбытия = стоим-ть выбывших ОС/ стоим-ть ОС на начало периода = 2 692 726/ 11 096 793 = 0,24

3.      Коэффициент прироста = сумма прироста ОС/ стоим-ть ОС на начало периода = 5 638 200/ 11 096 793 = 0,51

III.     Показатели технического состояния

1.      Коэффициент износа = сумма износа ОС/ первоначальная стоим-ть ОС = 87 508/ 14 446 648 = 0,06

.        Коэффициент тех.годности = остаточная стоим-ть ОС/ первоначальная стоим-ть ОС = 14 570 480/ 14 446 648 = 1,01

.5 Показатели использования материальных ресурсов

Необходимым условием выполнения планов по производству продукции, снижению себестоимости, росту прибыли и уровня рентабельности является полное и своевременное обеспечение предприятия сырьем и материалами необходимого ассортимента и качества.

Уровень обеспеченности предприятия сырье и материалами определяется сравнением фактического количества закупочного сырья с их плановой потребностью.

Показатели:

1)      прибыль на рубль материальных затрат = прибыль от продаж/ сумма материальных затрат = 237 000/ 27 637 = 8,6

)        материалоотдача = товарная продукция/ сумма материальных затрат = 25 970/27 637 = 0,94

Показатель характеризует, сколько произведено продукции с каждого рубля потребленных материальных ресурсов.

3)      материалоемкость = сумма материальных затрат/ товарная продукции =

= 27 637/25 970 = 1,06

4)      удельный вес материальных затрат в себестоимости продукции =

= материальные затраты/ полная себестоимость = 27 637/54 149 = 0,5

2.6 Затраты на производство

Деятельность фирмы связана с определёнными издержками (затратами). Затраты отражают, сколько и каких ресурсов было использовано фирмой. Общая величина затрат, связанных с производством и реализацией продукцией (работ, услуг), называется себестоимостью.

Анализ себестоимости продукции обычно начинают с изучения полной себестоимости продукции в целом и по основным элементам затрат которые представлены в таблице 3.

Таблица 13 - Затраты на производство продукции

Элементы затрат

Сумма тыс.руб.

Структура затрат


2012

2013

Изменение

2012

2013

Изменение

1.Материальные затраты

25947

27637

1690

61,57

53,47

-8,10

2.Затраты на оплату труда

8971

14869

5898

21,29

28,77

7,48

3.ЕСН

2410

3875

1465

5,72

7,50

1,78

4.Амортизация

858

1196

338

2,04

2,31

0,28

5.Прочие затраты

3959

4114

155

9,39

7,96

-1,43

Полная себестоимость

42145

51691

9546

100

100

-

в т.ч. переменные затраты

37322

46322

9000

88,6

89,6

1,1

постоянные расходы

4823

5369

546

11,4

10,4

-1,1


Как видно из таблицы, затраты предприятия в 2013 году выше затрат 2012 года на 9546 тыс. рублей. Рост произошел по всем элементам затрат и в большей части по затратам на оплату труда. Увеличилась сумма, как переменных, так и постоянных расходов. Изменилась структура затрат: увеличилась доля заработной платы, ЕСН и незначительно амортизация ОС, а доля материальных затрат уменьшилась.

2.7 Показатели прибыльности и рентабельности

В процессе анализа хозяйственной деятельности используются следующие показатели прибыли:

Прибыль (убыток) отчетного периода - балансовая прибыль, включает в себя финансовые результаты от реализации продукции, работ и услуг, от прочей реализации, доходы и расходы от внереализационных операций.

Прибыль (убыток) от финансово-хозяйственной деятельности представляет собой сумму прибыли от реализации продукции, процентов к получению (уплате), доходов от участия в других организациях и прочих операционных доходов и расходов.

Проанализируем состав балансовой прибыли, ее структуру и динамику, для этого проводятся горизонтальный и вертикальный анализы, которые заключаются в следующем:

Горизонтальный анализ - определение изменения балансовых статей, выявление тенденций изменения отдельных статей баланса или их групп.

Вертикальный анализ - представление статей баланса в виде относительных величин (удельных весов), характеризующий структуру обобщенных итоговых показателей.

Для анализа и оценки уровня и динамики показателей прибыли составим таблицу 14, в которой используются данные “Отчета о прибылях и убытках”.

Таблица 14 - Формирование прибыли от реализации продукции

Показатели

Номер строки Ф2

Предыдущий год, тыс. руб.

Отчетный год, тыс. руб.

Изменение





в абсолютной величине, тыс. руб.

%

1. Выручка от продажи товаров, работ, услуг

10

44 334

51928

7 594

17,13

2. Себестоимость

20

40 659

49470

8 811

21,67

3. Коммерческие расходы

30

1513

2221

708

46,79

4. Управленческие расходы

40

0

0

0

0,00

5. Полная себестоимость


42 172

51691

9 519

22,57

6. Прибыль от реализации продукции

50

2 162

237

-1 925

-89,04


За отчетный период предприятие получило на 1925 тыс.руб. меньше, чем в предыдущем. Увеличение объема позволило получить дополнительно прибыли на 488 тыс.руб., а изменение структуры и удорожание удельных затрат снизили прибыль соответственно на 177,67тыс.руб. и 2295,33 тыс.руб.

Показатели рентабельности характеризуют эффективность деятельности предприятия в целом, а также доходность различных направлений его деятельности, т.е. производственных, коммерческих, инвестиционных и др. Показатели рентабельности более полно, чем прибыль отражают окончательные результаты и дают возможность проводить обоснованное сравнение между предприятиями. Относительные показатели рентабельности представляют собой различные соотношения прибыли к вложенному капиталу или к затраченным средствам, либо к объему реализованной продукции (объему продаж).

Таблица 15 - Показатели рентабельности


Предыдущий год

Отчетный год

Изменение

1,Прибыль от продаж, тыс. руб.

2162

237

-1925

2.Прибыль до налогообложения, тыс. руб.

1022

1590

568

3.Чистая прибыль (прибыль после налогообложения), тыс. руб.

635

1428

793

4.Среднегодовая стоимость всего капитала, тыс. руб.

45057

45751

694

5.Среднегодовая стоимость основных средств, тыс. руб.

16171

15607

-564

6.Среднегодовая величина собственного капитала, тыс. руб.

33871

33125,5

-745,5

7.Среднегодовая стоимость инвестиционного капитала, тыс. руб.

34960

17929

-17031

8.Рентабельность продаж, %

4,88

0,46

-4,42

9.Рентабельность всего капитала, %

2,27

3,48

1,21

10.Рентабельность основных средств, %

13,37

1,52

-11,85

11.Рентабельность собственного капитала, %

1,87

4,31

2,44

12.Рентабельность инвестиционного (перманентного) капитала, %

1,82

7,96

6,15


Низкий уровень рентабельности продаж (5%) наблюдается снижение на 4,42%. Низкий уровень рентабельности всего капитала и собственного капитала за отчетный и предыдущий период. Рентабельность всего капитала выросла на 1,21%, что свидетельствует о повышении спроса на продукцию. Рентабельность основных средств снизилась на 11,85%. Рентабельность собственного капитала повысилась на 2,44%.

3. Специализация «Управление персоналом»

Управление персоналом признается одной из наиболее важных сфер жизни предприятия, способного многократно повысить ее эффективность, а само понятие «управление персоналом» рассматривается в достаточно широком диапазоне: от экономико-статистического, до философско-психологического.

Система управления персоналом обеспечивает непрерывное совершенствование методов работы с кадрами и использованием достижений отечественной и зарубежной науки и наилучшего производственного опыта.

Управление персоналом - это система механизмов и технологий кадровой деятельности в целях достижения определенных результатов. Система управления персоналом должна носить комплексный характер и строиться на концепции, согласно которой рабочая сила рассматривается как невозобновляемый ресурс или человеческий капитал.

.1 Состав персонала. Образовательный уровень

Численность персонала ЗАО «КАСКАД-1» составляет 100 человек, из них 38 - основные рабочие, 7 - руководители, 55 - вспомогательные (специалисты, кладовщики, инженеры, охрана).

Рис. 2. Состав персонала в % соотношении

Так же в организации уделяется внимание обучению работников, ведутся работы по повышению квалификации кадров, получению второй профессии, что в дальнейшем отражается на результатах работы всего предприятия.

В целом ЗАО «КАСКАД-1» имеет достаточно хороший кадровый потенциал. Из 100 человек - 11% имеют высшее образование, и 30% профессиональное образование и 15% среднее образование. Это говорит о достаточном уровне работников предприятия.

Рис. 3. Образовательный уровень работников ЗАО «КАСКАД-1»

.2 Технология подбора, набора и высвобождения персонала

Одним из важных видов деятельности менеджеров при управлении человеческими ресурсами является приём на работу. Задачей привлечения персонала является обеспечение покрытия чистой потребности в персонале в качественном и количественном отношении с учётом места и времени, а также эффективное соединение характера решаемых предприятием задач с человеческой природой работников, выполняющих эту задачу.

Оценка персонала на фирме «КАСКАД-1» проводится в случае:

определения соответствия кандидата или работника вакансии;

определение соответствия работника занимаемой должности;

определение индивидуального вклада работника.

Для проведения оценки персонала на предприятии ЗАО «КАСКАД-1» используются следующие методы:

источниковедческий (анализ кадровых данных);

интервьюирование (беседа с работником);

наблюдение (на отдыхе и в рабочей обстановке);

экспертный (оценка работника группой экспертов);

медосмотр.

Исходными данными для оценки персонала на предприятии являются:

правила внутреннего распорядка;

штатное расписание;

личные дела сотрудников;

приказы по кадрам.

В результате оценки персонала формируются следующие документы:

медицинское заключение о работоспособности;

заключение руководителя подразделения или экспертной комиссии о деловых и моральных качествах, уровне производственной квалификации.

По моему мнению, существующая система оценки персонала нуждается в значительных изменениях. Во-первых, необходимо обеспечить наличие исходных данных для оценки. Разработать:

модели рабочих мест

положение об аттестации кадров

методику оценки индивидуального вклада для управления, описать философию организации, подготовить социологические анкеты, психологические тесты, сформировать комиссию по оценке кадров.

При приеме на работу нужно использовать не только интервьюирование и источниковедческий методы, но и анкетирование, тестирование, анализ конкретных ситуаций (для управленцев), контрольные вопросы для оценки проф.знаний и умений.

В основе оценки на соответствие занимаемой должности и потенциала должна лежать комплексная аттестация. Причем аттестация персонала должна проводиться регулярно. Это позволит видеть динамику развития персонала и своевременно реагировать на изменения.

Для комплексной оценки потенциала управленческих кадров можно предложить оценку с помощью рейтинга.

Для оценки индивидуального вклада менеджеров, служащих и специалистов можно использовать метод комплексной оценки труда. На основе данного метода определять размеры персональных доплат.

Использование перечисленных методик при оценке кадров позволит:

·        получая глубокие и комплексные характеристики кандидата подобрать в подразделение нужного работника, причем выбрать лучшего из кандидатов;

·        комплексной аттестация персонала позволит выявить слабые места в подготовке персонала подразделения и сосредоточить усилия на их устранении, тем самым, повышая квалификацию персонала или произвести ротацию кадров с целью повышения эффективности работы;

·        получение комплексной оценки потенциала работников подразделения позволяет эффективнее и быстрее подбирать кадровый резерв и планировать продвижение работников.

По отношению к организации мотивация - это совокупность внутренних и внешних движущих сил, которые побуждают человека к деятельности, ориентированной для достижения целей организации. Самая распространенная форма мотивирования работников - материальное стимулирование. В качестве симуляторов в «КАСКАД-1» выступают денежные премии, грамоты, повышение по службе и т.д.

При увольнениях часто возникают конфликты, которые влекут за собой массу негативных последствий.

Увольнение работника - крайняя мера дисциплинарного взыскания согласно ст. 135 КЗоТ РФ (п. 3, 4, 7, 8 ст. 33 и п. 1 ст. 254). Но к увольнению работодатель нередко вынужден прибегать по другим причинам, указанным в остальных пунктах ст. 33 и 254.

Увольнения происходят и по инициативе работников. Отделы персонала обязаны провести их грамотно. Если работник подал заявление об увольнении, работники отдела персонала выясняют причины. Нередко это связано с недостатками организации.

При сокращении кадров работодатель имеет право в пределах однородных профессий и должностей провести перестановку (перегруппировку) работников и перевести более квалифицированного работника, должность которого сокращается, с его согласия на другую должность, уволив с нее по указанному основанию менее квалифицированного работника.

Главная цель при увольнении - сохранить достоинство сотрудника.


.3 Подготовка, переподготовка и повышение профессионального уровня персонала организации. Движение, развитие и карьера персонала

Обучающая деятельность предприятия представлена достаточно разнообразными ее видами. Прежде всего, обращает на себя внимание тот факт, что обучение может быть организовано непосредственно на предприятии собственными силами (т.е. «внутризаводское обучение»). Во внезаводском обучении роль фирмы сводится к определению требований не только к количеству, но и к направленности обучения, закрепленных в соответствующих договорах (либо заявках) на подготовку. Само обучение осуществляется в специальных обучающих центрах, а также в системе высшего и среднего специального образования. Кроме того, предприятие посредством различного вида стимулов влияет на самообразование своих работников, на развитие ими профессионального мастерства.

С позиции производственно-технического назначения в обучении рабочих выделяют:

·        подготовку новых рабочих;

·        переподготовку и обучение рабочих вторым (смежным) профессиям;

·        повышение квалификации.

В отношении специалистов и руководителей обучающая функция предприятия проявляется прежде всего в организации повышения их квалификации.

Подготовка, переподготовка кадров и повышение квалификации - важное звено в поддержании баланса спроса и предложения рабочей силы.

Перед системой управления персоналом на предприятии «КАСКАД-1» стоят следующие задачи в области подготовки, переподготовки кадров и повышения их квалификации:

1)      выработка стратегии в формировании квалифицированных кадров;

2)      определение потребности в обучении кадров по отдельным его видам;

)        правильный выбор форм и методов подготовки, переподготовки и повышения квалификации;

)        выбор программно-методического и материально-технического обеспечения процесса обучения как важного условия качества обучения;

5)      изыскание средств для финансирования всех видов обучения в необходимом количестве и с требуемым качеством.

Подготовка квалифицированных рабочих осуществляется в профессионально-технических училищах, высших заведениях и непосредственно на производстве.

Важной задачей управления персоналом на предприятии является правильное определение численности рабочих, которых следует обучить той или иной профессии, а также выбор форм подготовки кадров.

Переподготовка должна носить целенаправленный характер, т.е. быть ориентированной на конкретное рабочее место и работника, согласного его занять.

Таблица 16 - Требования к работникам

Новые рабочие места

Высвобождаемые рабочие


Квалифицированные

Неквалифицированные

Предъявляют требования к квалификации рабочих

Необходима переподготовка с учетом имеющегося у рабочего задела знаний и навыков по прежним профессиям. Обучение по индивидуальным учебным планам и срокам

Необходима переподготовка по типовым учебным планам

Не предъявляют требования к квалификации

Переподготовка не обязательна (вариант встречается редко и может быть связан со сменой условий труда на более благоприятные)

Переподготовка не обязательна


Повышение квалификации, как и приобретение знаний, навыков и умений, является результатом самой производственной деятельности. Специально организованное обучение позволяет достичь цели за более короткий срок.

По моему мнению, система оценки персонала не получила на предприятии глубокого развития. Комплексной и регулярной оценки персонала предприятия на соответствие занимаемой должности и потенциал не проводится. Оценка на соответствие занимаемой должности проводится только в случае неудовлетворительных результатов работы специалиста. Проводить оценку персонала входит в обязанность руководителей подразделений. Руководители подразделений без крайней необходимости этим не занимаются. А если приходится, то пользуются лишь методами, указанными выше.

Оценка индивидуального вклада у персонала рабочих специальностей имеет методику расчета, основанную на объёме выполненных работ, выражается в премиальном фонде в зависимости от выработки. У специалистов, менеджеров и служащих - персональные доплаты. Размер персональных доплат определяет руководитель подразделения (на основе своего субъективного мнения), утверждает директор.

.4 Расходы на персонал

При создании системы оплаты труда и мотивации персонала необходимо соблюдать следующие принципы:

·              доступность;

·              ощутимость;

·              постепенность;

·              минимальный разрыв между результатом труда и поощрением;

·              наличие материальных и моральных стимулов;

·              разумное сочетание позитивных и негативных стимулов.

Разработка системы оплаты труда и мотивации очень тонкий процесс. Ошибки, допущенные при этом приведут к тому, что усилия и затраты на стимулирование сотрудников не только не дадут ожидаемых результатов, но и ухудшат ситуацию в компании. Поэтому доверить разработку мотивационной системы нужно профессионалам, способным комплексно подойти к этому вопросу.

3.5 Социальные условия персонала

Социальные резервы повышения эффективности работы организации связаны именно с эффективным использованием трудового потенциала. Располагая заинтересованными в успешной работе кадрами, организация способна адаптироваться ко всем изменениям ситуации и успешно вести конкурентную борьбу. Система адаптивности организации должна действовать оперативно, своевременно отслеживая и анализируя экономическую обстановку. Эта система призвана обеспечивать также соответствие продукции и услуг организации меняющейся ситуации на потребительском рынке, а, следовательно, её жизнеспособность.

Процесс выявления направлений развития потенциала персонала включает следующие звенья:

·        профессиональную ориентацию;

·        коммуникабельность в коллективе;

·        оценку результатов производственной деятельности;

·        систему вознаграждения;

·        профессиональную подготовку и обучение;

·        продвижение по службе (деловую карьеру).

Фирму можно отнести к организациям, имеющим уровень развития организационной культуры выше среднего. На предприятии большое значение уделяется культуре производства, организованности, чистоте и порядку на рабочих местах. Улучшаются условия труда. Приобретаются более современные средства индивидуальной защиты, спецодежда, инструмент. Большое внимание уделяется освещенности и чистоте воздуха в производственных помещениях. Основной ценностью организации являются люди. Поэтому фирма заботится о своих работниках. На территории предприятия есть столовая. Работники, питающиеся в столовой платят 30 руб. в месяц, остальное доплачивает предприятие. С местной поликлиникой заключен договор о предоставлении корпоративного врача. Работники предприятия имеют возможность отправить своих детей в летние загородные лагеря по сниженным ценам и т.д.

.6 Оптимизация численности персонала. Расчет потребности в персонале

Экономить ресурсы, необходимые для ведения бизнеса, стремится каждый грамотный руководитель. Затраты на персонал составляют значительную часть затрат большинства компаний, поэтому оптимизация численности персонала - важная задача, решение которой необходимо для эффективного ведения бизнеса.

Оптимизировать численность персонала возможно за счет:

·              оптимизации основных бизнес-процессов и организационной структуры;

·              использования более квалифицированного персонала;

·              повышения производительности труда;

·              регулярной оценки занятости персонала;

·              нормирования труда;

·              создания эффективной системы управления персоналом.

Планирование потребностей в персонале является начальной ступенью процесса кадрового планирования и базируется на данных об имеющихся и запланированных рабочих местах, плане проведения организационно-технических мероприятий, штатном расписании и плане замещения вакантных должностей. При определении потребности в персонале в каждом конкретном случае рекомендуется участие руководителей соответствующих подразделений. Основой правильного подбора кадров является наличие объективной информации о работнике и формальных требований к вакантной должности с тем, чтобы обоснованно произвести их соединение. Подбор и оценка работников составляют важный раздел всей системы работы с персоналом и должны производиться на научной основе.

Во-первых, исходя из конкретных особенностей предприятия и его подразделений, подбираются работники, которые могут решать стоящие перед организацией задачи.

Во-вторых, подбор персонала осуществляется исходя из профессиональной подготовки, производственного опыта и качеств работника.

В-третьих, путем совмещения первого и второго способов, когда для высококвалифицированных рабочих и служащих подбираются рабочие места с изменением существующего распределения функций, а для остальных должностей подбор кадров ведется исходя из нормативных требований рабочих мест.

Прогноз потребности в персонале может быть сделан в доступном количестве человеко-часов, в способности сотрудников выполнять свою работу и в их производительности. При прогнозировании предложения определяется подходящее количество людей, которое должно быть доступно как внутри организации, так и за ее пределами, с учетом внутренних перемещений и продвижений, текучести кадров, изменения фонда времени и других условий работы.

Расчет потребности в персонале на перспективу осуществляется исходя из прогноза ожидаемого спроса на рабочую силу в будущем на основании запланированной производственной программы и прогноза изменений в количественном составе кадров (к примеру, на основании показателей текучести кадров). При расчете будущего спроса на рабочую силу целесообразно также учитывать ожидаемые изменения рабочего времени. Естественно, в этих расчетах достаточно велик фактор неопределенности.

Планирование человеческих ресурсов охватывает прогнозирование перспективных потребностей компании в персонале, выявление недостающих «человеческих ресурсов» и разработку мероприятий, которые должны обеспечить их выполнение.

Из-за сложившейся ситуации в стране и мире, фирма «ТЕКО» не производит набор новых сотрудников и рабочих, т.е. пока не нуждается в обновлении персонала.

1. Стратегический план (бизнес-план) организации

2. Годовые планы производства

3. Анализ потребностей: · количество · квалификация · поведение

4. Прогноз будущих потребностей: спроса и предложения

5. Планируемые действия: · подбор кадров · обучение персонала · сокращение штата · повышение качества труда · рост производительности труда

6. Мероприятия по обеспечению потребностей в персонале

7. Набор персонала

8. Развитие человеческих ресурсов

Рис. 4. Механизм планирования человеческих ресурсов

.7 Стратегия управления персоналом организации

Понимание стратегического управления персоналом организации невозможно без определения термина «стратегическое управление организацией» вообще.

Термин «стратегическое управление» был введен в 60-70-х годах 20 в., чтобы отличить текущее управление, осуществляемое на уровне хозяйственных подразделений, от управления на высшем уровне руководства. В процессе своего развития управление как практическая деятельность в 80-х годах перешло на новый этап, отличительной особенностью которого является смещение внимания высшего руководства в сторону внешнего окружения, что позволяет своевременно и адекватно реагировать на происходящие в нем изменения и обеспечивать организации преимущества перед конкурентами. Т.е. стратегическое управление - это процесс, охватывающий действия руководителей организации по разработке, реализации и коррекции стратегии.

Стратегическое управление персоналом - это управление формированием конкурентоспособного трудового потенциала организации с учетом происходящих и предстоящих изменений в ее внешней и внутренней среде, позволяющее организации выживать, развиваться и достигать своих целей в долгосрочной перспективе.

Цель стратегического управления персоналом - обеспечить скоординированное и адекватное состоянию внешней и внутренней среды формирование трудового потенциала организации в расчете на предстоящий длительный период.

Стратегическое управление персоналом позволяет решать следующие задачи:

. обеспечение организации необходимым трудовым потенциалом в соответствии с ее стратегией;

. формирование внутренней среды организации таким образом, что внутриорганизационная культура, ценностные ориентации, приоритеты в потребностях создают условия и стимулируют воспроизводство и реализацию трудового потенциала и самого стратегического управления;

. исходя из установок стратегического управления и формируемых им конечных продуктов деятельности можно решать проблемы, связанные с функциональными организационными структурами управления, в том числе управления персоналом. Методы стратегического управления позволяют развивать и поддерживать гибкость орг.структур.

Реализация стратегии управления персоналом является важной стадией процесса стратегического управления. Для ее успешного протекания руководство организации должно следовать следующим правилам:

§  цели, стратегии, задачи по управлению персоналом должны быть тщательно и своевременно доведены до всех работников организации с тем, чтобы добиться с их стороны не только понимания того, что делает организация и служба управления персоналом, но и неформального вовлечения в процесс выполнения стратегий, в частности выработки у сотрудников обязательств пред организацией по реализации стратегии;

§  общее руководство организации и руководители службы управления персоналом должны не только своевременно обеспечить поступление всех необходимых для реализации ресурсов (материальных, оргтехники, оборудования, финансовых и др.), но и иметь план реализации стратегии в виде целевых установок по состоянию и развитию трудового потенциала и фиксировать достижение каждой цели.

Целью процесса реализации стратегии является обеспечение скоординированной разработки и реализации стратегических планов структурных подразделений организации в целом и системы управления персоналом.

Реализация стратегии управления персоналом включает два этапа: внедрение стратегии и стратегический контроль за ее реализацией и координация всех действий по результатам контроля.

Кадровая политика является одной из важных составляющих стратегии, проводимой руководством предприятия. Без нужного персонала ни одна организация не сможет достичь своих целей и выжить. Поэтому правильная и успешная кадровая политика, способствующая формированию и росту персонала, отвечающего требованиям организации, во многом способствует успеху организации.

Стратегией, проводимой руководством предприятия «КАСКАД-1» в настоящее время, является стратегия концентрированного роста, основанная на выделении конкурентных преимуществ своей продукции, развитии их (по упаковочному и макаронному оборудованию). Параллельно осуществляется развитие новых видов продукции не производимых ранее фирмой (оснастка формообразующая для тротуарной плитки и бордюрного камня).

Реализация данных стратегий требует повышения качества продукции, повышения производительности труда, увеличения объемов производства, улучшение технологичности продукции, повышение соответствия продукции ожиданиям клиента, увеличение объемов продаж и вместе с этим оптимизации запасов и незавершенного производства, повышения эффективности использования финансовых средств.

Кадровая политика предприятия должна способствовать реализации данных требований и обеспечивать предпосылки к последующему развитию организации.

Кадровая политика предприятия «КАСКАД-1» включает в себя:

1.       планирование персонала;

2.      подбор персонала;

.        оценка персонала (кандидатов и работников);

.        систему мотивации персонала;

.        профориентацию и расстановку персонала;

.        обучение и повышение квалификации

.        формирование кадрового резерва.

В данный период времени основное внимание руководителя предприятия уделяется задаче повышения объёмов производства, путём увеличения интенсивности использования технологического оборудования. Поэтому кадровая политика фирмы, в настоящее время, направлена на удержание персонала рабочих, технических специалистов.

Преимуществом кадровой политики фирмы является дифференцируемый подход к зарплате каждого работника. Оценивается индивидуальный вклад каждого в общее дело. Довольно развита система социальных льгот (беспроцентные ссуды, путевки в загородные лагеря для детей сотрудников, материальная помощь и т.д.).

К преимуществам можно также отнести обучение персонала рабочих специальностей (как на базе предприятия, так и на специальных курсах), подготовка и организация сдачи экзаменов на повышение разрядов.

Недостатками проводимой кадровой политики являются:

ü  не развитая система оценки персонала при отборе, выявление соответствия занимаемой должности и определение потенциала;

ü  слабая горизонтальная ротация кадров;

ü  мало внимания уделяется обучению управленческих кадров нижнего и среднего звена;

ü  не формируется кадровый резерв.

Недостатки и преимущества проводимой руководителем фирмы кадровой политики можно связать со стилем руководства, присущем ему - демократическим. Подбор, отбор, оценка персонала, формирование резерва вменено в обязанности руководителям подразделений, которые не прошли соответствующей подготовки и не имеют времени заниматься этим углубленно.

В результате данной кадровой политики на предприятие удалось привлечь и удержать требуемое количество рабочих и специалистов. Далеко не все из пришедших приняли правила существующие на предприятии.

План развития персонала на 2010 год направлен на улучшение условий труда работников службы, повышения уровня их материального благосостояния, улучшение социально-психологического климата в коллективе службы, определение потенциала работников, создание и подготовку кадрового резерва, повышение квалификации и переподготовку кадров.

Таблица 18 - План развития персонала

№ п/п

Мероприятия

Ответственное лицо

Срок исполнения

1

Приобрести для кладовщиков новую удобную спецодежду.

Рук.группы снабжения

20.01.13

2

Установить в кладовых, находящихся в производственном цехе, приточную вентиляцию, для улучшения качества воздуха на рабочих местах кладовщиков.

Гл.инженер

17.02.13

3

Разработать и внедрить методику комплексной оценки труда для оценки индивидуального вклада работников.

Гл.диспетчер

20.04.13

4

Организовать проведение поездки работников службы и их семей в аквапарк г.Екатеринбург

Рук.группы снабжения

30.11.13

5

Добиться повышения окладной части зарплаты работников службы на 10%

Гл.диспетчер

28.12.13

6

Провести комплексную аттестацию персонала службы для определения квалификации, практических навыков, деловых и личностных качеств и потенциала работников.

Гл.диспетчер

13.04.13

7

На основании аттестации направить соответствующих работников на профессиональное бучение без отрыва от производства (на соответствующих курсах)

Рук.группы снабжения

23.04.13

8

Определить кадровый резерв для должностей гл.диспетчер, руководитель группы снабжения.

Гл.диспетчер

23.04.13

9

Организовать переподготовку или повышение квалификации для кадрового резерва (с отрывом и без отрыва от производства на соответствующих курсах).

Гл.диспетчер

01.09.13

10

По прохождении обучения, работниками из кадрового резерва, организовать стажировку на соответствующих должностях (продолжительность 1 неделя).

Рук.группы снабжения Гл.диспетчер

Ориентировочно декабрь 2013г.


Заключение

Поставленная цель в начале работы достигнута. В настоящей работе я раскрыла деятельность организации, рассмотрела такие области как персонал, анализ хозяйственной деятельности, маркетинг, инновационный менеджмент, выявила проблемы фирмы и предоставила возможны решения.

В блоке по специализации данной работы я попыталась раскрыть, что такое персонал, образовательный уровень персонала фирмы, технологию подбора, набора и высвобождения персонала, а так же предоставила стратегию управления персонала фирмы и план развития персонала.

Эффективное управление предприятием - это не только залог успеха и конкурентоспособности организации, но и средство выживания в условиях открытого рынка.

Снижение издержек имеет большое значение для повышения эффективности общественного производства. Снижение издержек предполагает экономичное потребление ресурсов, что говорит не только о качественном, но и количественном воздействии на состояние экономики государства в целом.

Однако улучшение технологии не даст должной отдачи без улучшения организации производства и труда. В результате чего коэффициент использования оборудования очень низок и из-за низкой загруженности оборудования и низкой квалификации рабочих предприятие не дает ожидаемого результата. Важное значение для повышения производительности труда имеет надлежащая организация: подготовка рабочего места, полная его загрузка, применение передовых методов и приемов труда. Также важное значение имеет улучшение использования затрат на сырье, материалы, топливо, энергию. На первый план здесь выступает применение ресурсосберегающих технологических процессов.

ЗАО «КАСКАД-1» может достичь более эффективного производства труда, повысить объем продаж и повысить уровень конкурентоспособности, если в организации произойдут некоторые изменения в системе управления, которые я предложила в настоящей курсовой работе.

Библиографический список

1.         Менеджмент: Учебное пособие. Веснин В.Р., 2004

2.      Основы менеджмента. Мескон М.Х., Альберт М., Хедоури Ф., 2004.

3.       Теория организации. Мильнер Б.З., 2005.

4.      Ж-л Управление персоналом. 2007.

.        Менеджмент. Учебное пособие для вузов по экономическим направлениям и специальностям. Виханский О.С., 2004.

6.         Управление персоналом организации: Учебник/Под.ред. А.Я. Кибанова - М: ИНФРА -М, 2008.

7.         Котлер Ф; Армстронг Г., Сондерс Д., Вонг В. «Основы маркетинга» 2-е издание, М.: СПБ, 2005.

8.      Савицкая Г. В. «Анализ хозяйственной деятельности» - ИНФРА-М, 2004.

.        Шеремет А. Д., Негашев Е. В. «Методика экономического анализа» - ИНФРА-М, 2000.

10.       Курс лекций Будашевского В.Г. по дисциплине «Инновационный менеджмент».

Похожие работы на - Анализ деятельности организации (ЗАО 'Каскад-1')

 

Не нашли материал для своей работы?
Поможем написать уникальную работу
Без плагиата!
Без нейросетей!