Полимерно-битумные вяжущие

  • Вид работы:
    Дипломная (ВКР)
  • Предмет:
    Химия
  • Язык:
    Русский
    ,
    Формат файла:
    MS Word
    837,15 Кб
  • Опубликовано:
    2015-06-30
Вы можете узнать стоимость помощи в написании студенческой работы.
Помощь в написании работы, которую точно примут!

Полимерно-битумные вяжущие

РЕФЕРАТ

Расчетно-пояснительная записка содержит 131 стр., 25 рисунков, 16 таблиц, 252 источника.

ПОЛИМЕРНО-БИТУМНОЕ ВЯЖУЩЕЕ, ПОЛИМЕР, АДГЕЗИОННАЯ ДОБАВКА

Цель работы - разработка рецептур и создание полимерно-битумных вяжущих (ПБВ) на основе региональных источников нефтехимического сырья.

В процессе выполнения дипломной работы была проведена выборочная паспортизация предприятий нефтехимического комплекса региона и подобраны реагенты для создания полимер-битумных вяжущих для дорожного строительства, разработаны новые составы ПБВ с участием различных полимеров. Проведены исследования, в результате которых установлены характеристики ПБВ и влияние компонентов на конечные свойства ПБВ. Разработаны составы ПБВ с характеристиками существенно лучшими, чем у используемых в данное время ПБВ.

ОГЛАВЛЕНИЕ

ВВЕДЕНИЕ

ГЛАВА 1. БИТУМНЫЕ ВЯЖУЩИЕ: СОСТАВ, СТРОЕНИЕ И ОСНОВНЫЕ СВОЙСТВА БИТУМОВ

.1 Битум. Общие представления

.2 Групповой и химический состав битумов

.3 Битум как специфическая нефтяная дисперсная система. Коллоидно-химические свойства битума

.4 Физико-химические свойства битумов

ГЛАВА 2. ПОЛИМЕР-БИТУМНЫЕ ВЯЖУЩИЕ

.1 Введение

.2 История применения полимер-битумных вяжущих

.3 Полимеры, используемые для модификации битума

.4 Технические разработки для удаления недостатков ПБВ

.5 Перспективы развития

ГЛАВА 3. ОБЪЕКТЫ И МЕТОДЫ ИССЛЕДОВАНИЯ

.1 Объекты исследования

.2 Оборудование для исследования

.3 Методики исследования

ГЛАВА 4. РЕЗУЛЬТАТЫ И ИХ ОБСУЖДЕНИЕ

.1 Выборочная паспортизация нефтехимических предприятий региона

.2 Выбор компонентов для создания ПБВ

.3 Способ приготовления ПБВ

.4 Исследование физико-механических свойств ПБВ

.5 Полимер-битумные вяжущие полученные на основе смесевых каучуков

.6 Введение адгезионной добавки

ЗАКЛЮЧЕНИЕ

БИБЛИОГРАФИЧЕСКИЙ СПИСОК

ВВЕДЕНИЕ

Автомобильные дороги имеют стратегическое значение для Российской Федерации. Они связывают обширную территорию страны, обеспечивают жизнедеятельность всех городов и населенных пунктов, во многом определяют возможности развития регионов, по ним осуществляются самые массовые автомобильные перевозки грузов и пассажиров. Сеть автомобильных дорог обеспечивает мобильность населения и доступ к материальным ресурсам, позволяет расширить производственные возможности экономики за счет снижения транспортных издержек и затрат времени на перевозки. В настоящее время протяженность автомобильных дорог общего пользования составляет 947,3 тыс. километров, в том числе автомобильных дорог федерального значения - 50,1 тыс. километров.

Имеется несколько процессов, комплексно влияющих на качество дорожных покрытий из асфальтобетонов. Непосредственно сам процесс получения сырья для изготовления дорожного битума. В странах с дорогами высокого качества основным материалом для изготовления дорожных битумов служит остаток перегонки нефти, полученный при достаточно высоком вакууме. В нашей стране повсеместно реализуется процесс окисления гудронов, причем этому процессу подвергаются нефти различного состава.

Процесс получения битума, являющийся с химических позиций процессом окислительного дегидрирования радикального типа, неминуемо ведет в большей или меньшей степени к процессу образования пачечных структур (графитоподобные кристаллические структуры с электронами проводимости). Данные структуры являются основными негативными компонентами дорожного битума, быстро старящими его, имеющими крайне слабую адгезию к минеральному наполнителю любого типа, что неминуемо вело и ведет к короткоживущим и (или) не выдерживающим необходимых нагрузок дорогам.

Процесс приготовления асфальтобетонной смеси также привносит свою лепту в процесс старения дорожного битума и образованию дефектов в асфальтовом покрытии дороги. Известно, что при смешении с минеральным материалом битум переводится в пленочное состояние и распределяется по большой поверхности. Следовательно, в асфальтосмесителе создаются все условия для окисления битума и удаления летучих компонентов, т. е. для химического старения битума уже на стадии приготовления. С повышением температуры скорость реакции окисления соединений, входящих в состав битума, возрастает.

Введение модификаторов и стабилизаторов способно ингибировать процессы старения и деструкции в асфальтовом покрытии дороги. В странах Запада, несмотря на высокую стоимость полимеров, уже давно считается экономически оправданным применение модификаторов битума в дорожном строительстве. Улучшение адгезии битума к минеральному наполнителю, повышение качества асфальтобетона в целом - сцепление с колесами транспортных средств, усталостные свойства, автовосстановимость в благоприятных условиях и т. д. - это то, что удается добиться применением модификаторов.

Одна из основных причин преждевременного разрушения дорожных покрытий заключается в качестве дорожных битумов. Битумы не обладают требуемыми адгезионными свойствами, так как склеивают только минеральные частицы основной породы, и, кроме того, становятся хрупкими при наступлении зимы практически на всей территории России. Это предполагает образование трещин на покрытиях, которые ввиду малой прочности асфальтобетона быстро превращаются в выбоины. В общей доле деформаций, которые претерпевает битумная пленка в результате движений автомобилей по покрытию или под действием температурных напряжений, превалирует пластическая, т.е. идет накопление дефектов.

Уникальной особенностью территорий России является рекордное количество «переходов через ноль», отчего тающая и вновь застывающая в небольших трещинах вода буквально разрывает полотно. Летом асфальтобетон, нагреваясь до 50-60 градусов, теряет свои прочностные свойства. А зимой, при низких температурах, асфальт растрескивается.

Наиболее распространенным типом усовершенствованных дорожных покрытий в России и за рубежом являются асфальтобетонные покрытия, устраиваемые с применением нефтяных дорожных битумов. Увеличение грузонапряженности и интенсивности движения автомобилей приводит к преждевременному разрушению дорожных покрытий, срок службы которых составляет в среднем по России около 6 лет. В результате, несмотря на незавершенность сети автомобильных дорог с твердым покрытием в России, более 90 % материальных, трудовых и энергетических ресурсов выделяется дорожной отраслью на ремонт и реконструкцию асфальтобетонных покрытий.

Одним из важнейших условий повышения долговечности асфальтобетонных покрытий является улучшение свойств битумов и правильный выбор их с учетом условий эксплуатации. Однако углубление переработки нефти в целях увеличения объемов выхода топливных и масляных компонентов приводит к ухудшению качества битумов. Отечественные дорожные битумы марок БНД и БН (по ГОСТ 22245-90) не отвечают требованиям дорожного строительства по показателям низкотемпературной трещиностойкости, теплоустойчивости, эластичности, адгезионным свойствам, особенно по отношению к поверхности минеральных материалов из кислых горных пород, устойчивости к старению.

Эффективным способом повышения качества дорожных битумов является регулирование их свойств путем применения различных модифицирующих добавок (полимеров, резиновой крошки, серы, адгезионных добавок и др.). Применение полимеров для модификации битумов относится к одной из наиболее активно внедряющихся технологий строительства и ремонта покрытий автомобильных дорог.

Наибольшее распространение, в качестве модифицирующего агента, получили полимерные материалы или отходы их производства. Последние 15-20 лет полимерные битумы стали применяться особенно широко, по причине того, что полимерные материалы производят десятки тысяч тонн в год и они стали более доступны, во-вторых, при их производстве образуется значительные количества некондиционных материалов, которые не находят квалифицированного использования.

При введении в битум даже небольших их количеств полимеры оказывают влияние на параметры, характеризующие качество. Добавки полимеров позволяют снизить температуру хрупкости и одновременно увеличить теплостойкость битумов. Использование таких модифицированных полимерами материалов повышает сроки службы покрытий. В настоящее время имеются многолетние наблюдения за покрытиями разного рода с использованием многих видов полимеров. Общим для них является удлиненный срок службы. Наряду с этими свойствами улучшаются, как правило, деформативная способность во всем интервале эксплуатационных температур, водостойкость, прочность и другие характеристики.

На сегодняшний день актуальным является вопрос создания комплексных битумных вяжущих, содержащих в своем составе полимер и адгезионную добавку.

ГЛАВА 1. БИТУМНЫЕ ВЯЖУЩИЕ: СОСТАВ, СТРОЕНИЕ И ОСНОВНЫЕ СВОЙСТВА БИТУМОВ

Нефтяной битум впервые был получен с 1898 г. из нефтяных остатков путем окисления их воздухом при высоких температурах (300-320° С).

Нефтяные битумы относятся к одним из самых многотоннажных видов нефтепродуктов в России и за рубежом. Они широко применяются в дорожном строительстве, при ремонте дорог, аэродромов, в дорожном и промышленном строительстве (для изготовления кровельных материалов, для изоляции трубопроводов от грунтовой коррозии и для приготовления лакокрасочных материалов).

Основным потребителем нефтяных битумов является дорожное строительство, в настоящее время до 90% производимого во всем мире объема товарных битумов потребляется дорожной отраслью. Доля дорожных покрытий с применением битума в России составляет 93-95% от всех усовершенствованных покрытий.

В нашей стране исторически сложилось, что нефтеперерабатывающая промышленность в основном заинтересована в углублении процесса переработки и максимального отбора светлых фракций, однако полностью отсутствует база нефтепереработки, которая целенаправленно занималась бы производством высококачественных дорожных битумов.

Дорожные битумы, выпускаемые отечественными нефтеперерабатывающими предприятиями, принципиально отличаются по своему качеству от битумов, производимых за рубежом, где в качестве исходного сырья используются нефти только определенного группового химического состава и где практически отсутствует твёрдый парафин.

Для производства дорожных битумов созданы специальные нефтебитумные заводы, поставку сырья для которых обеспечивают водным путем из Венесуэлы и Ливии. Качество нефтяных битумов служит определяющим фактором в обеспечении долговечности дорожных покрытий. На сегодняшний день до 70 % выпускаемых в России и странах СНГ битумов не соответствуют по ассортименту и качеству требованиям современного рынка, и в первую очередь это касается битумов дорожного, строительного и специального назначений. В результате срок службы дорог в России составляет в среднем 6-7 лет, в то время как в развитых зарубежных странах этот показатель достигает 10-15 лет. Указанная проблема вызывает необходимость поиска новых материалов для получения битумных вяжущих заданного качества. Поэтому все большее распространение в последнее время получают модифицированные битумные вяжущие, позволяющие расширить температурный интервал работоспособности за счет повышения теплостойкости и морозостойкости, обеспечить надежность и долговечность сооружений.

Постоянный интерес в повышении качества как самих товарных битумов, так и в расширении перечня материалов, используемых в композитах на основе битума, объясняется широким спектром их практического применения.

.1 Битум. Общие представления

Битумы благодаря ряду ценных свойств нашли широкое применение в различных областях народного хозяйства в качестве связующего, водонепроницаемого, тепло- и звукоизолирующего материала в различных битумных композиционных материалах [1,2].

Битумы (от лат. bitumen - горная смола) - твердые или смолообразные, водонерастворимые (преимущественно черного цвета) вещества, состоящие из смеси высокомолекулярных углеводородов метанового C2H2n+2, нафтенового C2H2n и ароматического рядов и их кислородных, сернистых и азотных производных.

Различают природные и искусственные нефтяные битумы. Применение находят как одни, так и другие [3,4], однако наибольшее распространение приобрели нефтяные окисленные битумы [5].

Природные битумы это вязкие жидкости или твердообразные вещества, получившиеся в результате естественного процесса окислительной полимеризации нефти.

Природные битумы в чистом виде встречается редко. Чаще встречаются пропитанные битумом горные породы (известняки, доломиты, песчаники, грунты). Залежи природных битумов разрабатывают открытыми (карьерными) и подземными (шахтными, скважинными) методами. Извлечение битума из пород выполняется тремя способами[6]:

водой с добавлением поверхностно-активных веществ;

экстракцией органическими растворителями;

тепловым воздействием.

Скважинные методы добычи осуществляются с применением паротеплового воздействия, внутрипластового горения или других источников воздействия на пласт: вибрационных, акустических, электромагнитных [7].

Природные битумы и битуминозные породы относятся к категории комплексного сырья. Наличие в природных битумах реакционноспособных кислородсодержащих групп предопределяет их более высокую силу сцепления с породой (адгезионные свойства) по сравнению с искусственными композициями на основе продуктов нефтепереработки [8].

Ученые рассматривают два варианта использования природных битумов:

. Комплексное сырье для строительства дорог получают без отделения углеводородной составляющей от породы.

. Разделение органической (продукция химической промышленности) и минеральной (строительные материалы) составляющих битуминозных пород.

Нефтяные (искусственные) битумы получают путем переработки нефти. По консистенции (при температуре 18 0С) битумы могут быть: твердыми - обладают упругими, а иногда хрупкими свойствами; вязкими - обладают вязкопластичными свойствами; жидкими - обладают легкотекучими свойствами [9].

Для современного производства нефтяных битумов наиболее характерными являются следующие способы получения битумов:

. Концентрирование нефтяных остатков путем перегонки их в вакууме в присутствии водяного пара или инертного газа.

. Окисление кислородом воздуха различных нефтяных остатков (мазутов, гудронов, полугудронов, асфальтов деасфальтизации гудрона, экстрактов селективной очистки масел, крекинг-остатков или их смесей).

. Компаундирование различных нефтяных остатков с дистиллятами, с окисленными или остаточными битумами [6,7,10].

В зависимости от способа производства получаемые битумы подразделяются на три основные группы [7]:

. Остаточные битумы.

. Окисленные битумы.

. Компаундированные битумы.

1.2 Групповой и химический состав битумов

Битумы - это твердые, полутвердые или жидкие водонерастворимые материалы, представляющие собой чрезвычайно сложную смесь углеводородов нефти и их гетеропроизводных, содержащих кислород, азот, серу и металлы (ванадий, железо, никель, натрий и др.) Средняя молекулярная масса битумов равна 600-1000 а.е.м., что соответствует углеводородам, содержащим от 40 до 70 атомов углерода. Битумы содержат до 80-85 % углерода, 8,0-11,5 % водорода, 0,2-4 % кислорода, 0,5-7,0 % серы и 0,2-0,5 % азота. Основная масса азота включена в соединения порфиринового ряда. Сера входит в состав циклических структур типа тиофена. Максимальное содержание азота и серы наблюдается в асфальтеновой фракции, а кислорода - в смолах. Максимальное содержание гетероатомов в асфальтенах и смолах достигает 10 % и более [8].

Химический состав, в общем, достаточно стабильный для различных битумов, не дает возможности судить об их свойствах. Битумы принято характеризовать по количественному содержанию в них определенных групп химических соединений. Основные группы соединений различаются по молекулярной массе и растворимости в селективных растворителях.

По методу Маркуссона битумы разделяют на масла, смолы, асфальтены, асфальтогеновые кислоты и их ангидриды. Часто разделяют битум на асфальтены и мальтены, представляющие собой сумму масел и смол [11-13]. Эти соединения находятся в генетической связи друг с другом, масла в результате процессов окислительной конденсации, радикальной циклизации и окислительного дегидрирования могут превращаться в смолы, а затем в асфальтены.

Асфальтены являются высокомолекулярными компонентами битума. В качестве звеньев в их молекулы входят шестичленные ароматические и нафтеновые кольца, шестичленные гетероциклы с парафиновыми цепями различной степени разветвленности [14]. Молекулярная масса асфальтенов колеблется в пределах 1700-7500 а.е.м. Элементарный состав (в вес. %) углерода - 80-84; водорода -7,5-8,3; серы - 4,6- 8,3; кислорода - до 6; азота - 0,4-1. Содержание гетероатомов в асфальтенах выше, чем в маслах и смолах, выделенных из того же битума [11,15].

Смолы отличаются от асфальтенов меньшей степенью конденсированности, меньшей молекулярной массой и большим содержанием водорода. Основными структурными единицами молекул смол являются конденсированные циклические системы, содержащие ароматические, циклопарафиновые, гетероциклические кольца, которые соединены между собой сравнительно короткими алифатическими мостиками. В их состав входят кроме углерода (79-87 %), водорода (8,5-9,5%), кислорода (1-10%), серы (до 2 %), многие другие элементы, включая металлы (Fe, Ni, V, Cr, Mg, Со и др.) [16, 17]. Углеродный скелет молекул смол - полициклическая система, состоящая преимущественно из конденсированных ароматических колец с алифатическими боковыми цепями. Число углеродных атомов в соединениях, составляющих смолы, доходит до 80-100. По сравнению с асфальтенами смолы имеют большое число и длину боковых алифатических цепей [18].

Масляная часть битумов представлена углеводородами смежного строения, включающими парафиновые, нафтеновые и ароматические фрагменты, сочетающиеся в различных соотношениях [19, 20]. Асфальтовые кислоты и их ангидриды - вещества коричневого цвета смолистой консистенции с плотностью (р420) - более 1. Они относятся к группе полинафтеновых кислот и могут быть не только вязкими, но и твердыми. Асфальтогеновые кислоты являются поверхностно-активной частью битума и способствуют повышению сцепления его с поверхностью минеральных заполнителей. Содержание их в нефтяных битумах составляет около 1 % [21].

Групповой состав битума не является стабильным. Под влиянием различных факторов групповой состав может претерпевать существенные изменения за счет частичного превращения масел в смолы, а смол в асфальтены. Такого рода изменения происходят, в частности, при нагреве битума во время приготовления асфальтобетонной смеси, а также в результате воздействия на битум атмосферных факторов. Эти изменения, отражаются на основных физических свойствах битума [22].

Соотношения между основными группами, входящими в состав битума, определяют его важнейшие свойства: вязкость, восприимчивость к изменению температуры, хрупкость и эластичность. Но все же не всегда групповой состав дает хорошее представление о свойствах битума. Объясняется это двумя причинами: во-первых до сих пор не установлена с достаточной четкостью связь между структурно-механическими свойствами битума и его групповым составом; во-вторых, и это, пожалуй, самое важное, выделяемые из битума тем или иным способом соединения и искусственно объединяемые в одну из трех основных групп (асфальтены, смолы, масла) не всегда имеют одинаковые свойства. Свойства каждого из этих компонентов могут быть различны для различных битумов в зависимости от свойств исходной нефти и способа ее переработки. Это положение подтверждается тем, что во многих случаях приходится сталкиваться с положением, когда битумы, различающиеся по своим свойствам, имеют одинаковый или почти одинаковый групповой состав и наоборот. К сожалению, свойства компонентов битумов изучены до сих пор недостаточно [22].

Различные исследователи пытались выделить из битума более узкие группы соединений, обладающих одинаковыми свойствами. Однако до сих пор эти работы не привели к результатам, позволяющим точнее оценивать свойства битумов [22].

Ученые предполагают, что молекулы всех компонентов битума состоят из фрагментов [23]. Фрагмент представляет собой полициклическую структуру, состоящую из 4-6 (чаще 5) конденсированных колец, имеющих несколько метальных (2-4) и один достаточно длинный (4-12 атомов углерода) алкильный заместитель. Молекулы масел и смол состоят из 1-2 фрагментов, асфальтены - из 4-6 [24-25].

Вышеуказанные группы углеводородов битума образуют сложную дисперсную систему - коллоидный раствор, в котором жидкая среда - это масла и раствор смол в маслах, а твердая фаза представлена асфальтенами, на поверхности которых адсорбированы асфальтогеновые кислоты [26].

Асфальтены представляют собой кристаллические структуры, пакеты из 5-6 слоев, состоящих из пластин с боковыми алифатическими цепочками и нафтеновыми кольцами, содержащими полярные функциональные группы с атомом кислорода.

Пластины представляют собой полициклические конденсированные ароматические структуры с включением гетероциклов с серой и азотом. Структура асфатьтена напоминает структуру графита.

Масла разделяются на парафино-нафтеновые, моно- и бициклоароматические соединения, а смолы - на бензольную и спирто-бензольную группы. Парафино-нафтеновые соединения представляют собой смесь нормальных парафинов, изопарафинов и полициклических нафтенов (конденсированные нафтеновые кольца, которые имеют алкильные заместители); последних обычно более 60 % мас. Моноциклоароматические соединения представлены главным образом пятикольчатыми конденсированными циклическими системами с 2-4 метальными заместителями и одним алкильным заместителем R циклической части этих соединений имеется одно ароматическое кольцо. Этот компонент битумов может состоять из 1-2 фрагментов [27].

Бициклоароматические соединения имеют молекулы, похожие на моноциклоароматические, только с двумя ароматическими конденсированными кольцами (рис. 1.1, а). Их молекулы также могут состоять из 1-2 фрагментов, при этом один имеет ароматические кольца, а второй нет. Моноциклоароматические и бициклоароматические соединения содержат гегероатомы - S, N, О, однако их количество относительно невелико - один атом на 3-5 молекул. Атомы серы и азота входят в циклические структуры типа тиофена, пиррола и пиридина, атомы кислорода входят в периферийные функциональные группы [13].

Спиртобензольные смолы отличаются высоким содержанием гетероатомов. Молекулы спиртобензольных смол преимущественно бифрагментны (рис. 1.1, б)

Рис. 1. Структурные фрагменты: а - молекулы моноциклоароматического и бициклоароматического соединений масел; б - молекулы спиртобензольной смолы.

Частица асфальтенов состоит из 4-6 фрагментов (рис. 2) Их отличие от масел и смол состоит в том, что фрагмент асфальтена из пяти конденсированных колец содержит три ароматических (гетероароматических) цикла, меньшее число алкильных заместителей и большее число гетероатомов [27]. Асфальтены имеют слоисто-блочное строение: фрагменты, имеющие три ароматических кольца, а, следовательно, большую плоскую часть молекулы (порядка 1,5 нм), ориентируются параллельно друг другу на расстоянии 0,35-0,37 нм. Частица из пяти слоев имеет псевдосферическую форму диаметром 1,5-1,8 нм. По всей вероятности фрагменты удерживаются друг относительно друга за счет взаимодействия ароматических систем. Псевдосферические частицы асфальтенов могут образовываться в среде, где находятся полициклические ароматические соединения типа ароматических масел и смол, которые сольватируют эти частицы [28].

Рис. 2. Среднестатистические структурные фрагменты асфальтенов (а) и схема объединения их в ассоциаты (б).

Молекулы масел и смол занимают свободные ароматические плоскости по "торцам" частиц асфальтенов и препятствуют их слипанию друг с другом. Если ароматических соединений в системе становится недостаточно, наступает коагуляция асфальтенов в виде твердой фазы, превышающей коллоидные размеры [28].

Парафины и церезины, входящие в состав сырья для получения битумов, снижают их товарные свойства. Твердые парафины, как кристаллические вещества, не обладают пластическими и клеющими свойствами и, покрывая тонкой пленкой битум, ухудшают растяжимость, прочность и адгезию. Однако существующие исследования влияния твердых парафинов и парафино-нафтеновых соединений сырья на свойства нефтяных битумов показали, что эти свойства зависят не только от содержания этих компонентов, но и от структуры их молекул и что их присутствие в определенных количествах даже полезно и необходимо.

Парафино-нафтеновые соединения ведут себя аналогично моноциклическим ароматическим: улучшают пластичность и температуру хрупкости нефтяных битумов Одинаковое поведение парафино-нафтеновых и моноциклических ароматических соединений, выражающееся в торможении процесса окисления, объясняется сходством структуры их молекул [29].

1.3 Битум как специфическая нефтяная дисперсная система. Коллоидно-химические свойства битума

Нелленштейн еще в 1923 году предложил следующую теорию строения битумов: лиофобные части окружены лиофильными частицами, что защищает их от слияния друг с другом, от масляной фазы или среды, в которой суспендированы данные коллоидные образования, названные мицеллами [30].

Полагают, что компоненты с наиболее четко выраженными ароматическими свойствами и с наибольшей молекулярной массой ближе примыкают к ядру коллоидной мицеллы. Вокруг ядра располагаются последовательно слои компонентов все более низкой молекулярной массы и с постепенно снижающейся ароматичностью, переходящей в интермицеллярную жидкость.

Объяснение коллоидной структуры битумов по Тракслеру [8] заключается в следующем: вокруг ядра коллоидной мицеллы последовательно располагаются компоненты все более низкой молекулярной массой со снижающейся ароматичностью, переходящие в межмолекулярную среду с отсутствием границы раздела фаз.

Ряд отечественных и зарубежных ученых, таких как Р.С. Сергиенко, А.С Колбановская, И.М. Руденская, В.В. Михайлов, А.И. Лысихина, И.Пфейффер, Л. Корбет. Г. Олиензис, Р. Тракслер, и др., проводили исследования структуры и свойств битумов. В их работах была установлена роль отдельных компонентов: асфальтенов, смол и масел в формировании структуры. Представление о структуре битумов, определяемой соотношением и взаимодействием асфальтенов, смол и масел, сводится к следующему:

битумы - дисперсная система, которая в зависимости от условий может быть в состоянии коллоидных растворов или суспензий;

битумы - раствор высокомолекулярных соединений, который в зависимости от тех или иных условий может быть коллоидным или истинным[30].

По модели, предложенной З.И. Сюняевым, нефть, нефтяные остатки, в том числе и битумы, состоят из сложных структурных единиц -надмолекулярных структур (ассоциатов) различной толщины сольватной оболочки, прочности связей и упорядоченности [8,31]. Особенностью последних, в отличие от классических дисперсных систем, является то, что они формируются в системе, состоящей из большого числа компонентов, в том числе, относящихся к различным классам органических соединений с мало различающимися потенциалами межмолекулярного взаимодействия.

Таким образом, общепринято [24,32] считать битумы специфическими нефтяными дисперсными системами, состоящими из дисперсной фазы, представляющей собой ассоциаты асфальтенов и смол, и сплошной фазы (матрицы) - раствора н- и изоалканов и ароматических (алкилароматических) углеводородов или спиртобензольных смол. Дисперсная фаза обеспечивает прочностные свойства битума, а углеводородная матрица придает ему вязкость и пластичность. Большую роль в дисперсных системах играют поверхностные явления.

В битумах дисперсионной средой являются мальтены (сумма масел и смол), дисперсной фазой - асфальтены. Устойчивость системы зависит от степени родства мальтенов и асфальтенов которое с определенным приближением можно расценить как разность между степенью ароматичности (отношение числа атомов углерода, входящих в ароматические структуры, к общему числу углеродных атомов в молекуле) асфальтенов и мальтенов. Чем меньше эта разность отличается от значения 0,13, тем более устойчива система битума, тем медленнее он стареет. Таким образом, для долговечности битума (устойчивости его коллоидной структуры) необходимо наличие ароматических масел и смол. Поэтому лучшим сырьем для получения окисленных битумов являются гудроны, содержащие небольшое количество парафино-нафтеновых углеводородов [33].

Битумы принято делить на 3 типа:

. К первому типу относят битумы, течение которых под действием постоянного напряжения сдвига подчиняется закону Ньютона[34]. Для таких битумов с момента наступления деформации скорость течения постоянна и пропорциональна напряжению сдвига. Когда напряжение снимают, наступает состояние неэластичной упругости. Битумы этого типа представляют собой золи.

. Битумы второго типа - это вещества, у которых при постоянном напряжении сдвига скорость течения после начала деформации снижается и через некоторое время становится практически постоянной. Когда напряжение снимают, эластичность частично восстанавливается. Коллоидное состояние битумов этого типа - золь-гель.

. У битумов третьего типа при постоянном напряжении сдвига в начале деформации скорость течения снижается до минимума, а затем повышается. После снятия напряжения, упругость восстанавливается. Битумы этого типа имеют коллоидную структуру геля [1,35].

Коллоидная структура битумов зависит от содержания и природы асфатьтенов и мальтенов.

Структура битума (золь или гель) определяется степенью пептизации асфальтенов и зависит от относительного содержания в битуме ароматических углеводородов с алифатическими цепями различной длины [33].

Высокое содержание ароматических соединений в мальтеновой части битумов противодействует стремлению молекул асфальтенов к ассоциации в более крупные агрегаты, что приводит к образованию небольших мицелл, и битум в результате находится в состоянии золя (рис. 1.3).

Наоборот, низкое содержание ароматических соединений ведет к образованию крупных агрегатов и битум находится в состоянии геля [36] (рис. 1.3).

Рис. 3. Структура битум - золь

По классическим представлениям мицелла имеет строение концентрически расположенных сферических слоев. В центре находятся полярные молекулы асфальтенов, сольватированные смолами. Внешние оболочки составляют ароматические соединения с уменьшающейся степенью полярности.

Существует и другое представление о строении мицеллы, согласно которому конденсированные ароматические структуры стремятся собираться в «пачки» - листы (гроздья), входящие в состав молекул асфальтенов. Такие гроздья могут входить и в состав молекул смол и масел. Участие в образовании «пачек» молекул смол и ароматической части масел обусловливает образование мицелл.

Механизм стабилизации битумной коллоидной системы можно объяснить тремя факторами:

. Образование на поверхности частиц двойного электрического слоя, обусловливающего возникновение энергетического барьера, который препятствует сближению частиц на расстояние, где действуют интенсивные молекулярные силы притяжения - теория устойчивости коллоидных растворов Б. В. Дерягина и Л. Д. Ландау.

. Образование на поверхности частиц достаточно мощного сольватного слоя из молекул среды; эта сольватная оболочка исключает слипание частиц при соударении, как в результате своих упругих свойств, как и вследствие того, что на границе сольватного слоя и свободной среды отсутствует сколько-нибудь заметное поверхностное натяжение.

Образование на поверхности частиц адсорбционной оболочки, обладающей структурной вязкостью при малых градиентах скорости и представляющей собой структурно-механический барьер (положение, разработанное А. А. Ребиндером) [37,38].

Для характеристики степени коллоидности битума используют показатель - индекс пенетрации. По индексу пенетрации битумы подразделяют на три группы:

. Битумы с индексом пенетрации менее -2, не имеющие дисперсной фазы или содержащие сильно пептизированные асфальтены. Это битумы типа «золь».

. Битумы с индексом пенетрации от -2 до +2, битумы типа «золь-гель». Это остаточные и мало окисленные битумы.

. Битумы с индексом пенетрации более +2 имеют выраженные коллоидные свойства «гелей». Чаще всего это окисленные битумы [1].

1.4 Физико-химические свойства битумов

Важнейшими свойствами дорожных битумов, характеризующими их качество, являются вязкость, пластичность, температуры размягчения и хрупкости, свойство адгезии, обусловливающее способность битумов сцеплять в монолит минеральные зерна заполнителей [19].

Основной характеристикой структурно-механических свойств битумов является вязкость, зависящая главным образом от температуры и группового состава. Вязкость - сопротивление внутренних слоев битума перемещению относительно друг друга [19]. Для многих битумов вязкость непостоянна и уменьшается с увеличением напряжения сдвига или градиента скорости деформации. При повышении температуры вязкость снижается, при ее понижении вязкость быстро возрастает, а при отрицательных температурах битум становится хрупким. Для измерения структурной вязкости применяют различные приборы, позволяющие определить вязкость в абсолютных единицах (Па*с) или выразить ее в условных единицах.

Вязкость является важнейшей реологической характеристикой, изменяется в широких пределах в зависимости от химического состава и температуры. Наиболее существенное влияние на вязкость битума оказывает количественное соотношение асфальтенов и масел. С увеличением количества асфальтенов вязкость повышается и наоборот. Жидкие битумы, характеризующиеся жидкотекучим состоянием при положительных температурах, имеют сравнительно небольшую вязкость, во много раз меньшую, чем у вязких дорожных битумов. Вязкостью битума определяются свойства асфальтобетона, важного композиционного материала на основе битума, в весьма широком температурном интервале. Для получения долговечного покрытия важно, чтобы вязкость битума в меньшей степени изменялась в интервале температур, при которых протекает работа дорожных покрытий.

Пластичность является важным свойством битумов. Она повышается с увеличением содержания масел, длительности действия нагрузки и повышения температуры. Пластические свойства твердых и вязких битумов условно характеризуются растяжимостью (дуктильностью) - способностью вытягиваться в тонкие нити под действием внешних постоянных сил. Растяжимость определяют на специальном приборе при температурах испытания 25°С и 0°С. Показателем растяжимости служит длина нити в момент разрыва образца, выраженная в сантиметрах. Пластические свойства битума зависят от температуры, группового состава и структуры. Так, например, с повышением содержания смол и асфальтенов пластичность при постоянной температуре битумов возрастает.

Дуктильность характеризует степень структурированности битумов. Дуктильность при 00С характеризует пластичность при низкой температуре и косвенно устойчивость к образованию температурных трещин. Дуктильность при 25°С характеризует степень структурированности вяжущих. Низкие значения дуктильности при 25°С свидетельствуют об их недостаточной устойчивости к старению [5].

Растяжимость зависит от химического состава битума и его температуры. Как уже отмечалось, носителями эластичности битумов являются смолы. Для однородных битумов (по источнику сырья и технологии переработки) существует определенная зависимость между вязкостью и растяжимостью: чем больше вязкость, тем меньше растяжимость. С растяжимостью битума (при низких температурах) тесно связано одно из важнейших свойств асфальтобетона - его деформативная способность при этих температурах, когда асфальтобетонное покрытие испытывает значительные растягивающие усилия. Недостаточная деформативная способность приводит к быстрому разрушению асфальтобетона, в дорожных покрытиях появляются трещины. В связи с этим наиболее показательным является определение растяжимости битумов при низких температурах, например при 0°С [22].

Для вязких дорожных битумов растяжимость при температуре 25°С колеблется в пределах от 40 до 65 см и выше. Следует, однако, признать, что сопоставление поведения дорожных покрытий с показателем растяжимости битумов при температуре 25 °С не позволяет с достаточной достоверностью оценивать качество битумов по этому показателю [22]

Существенной характеристикой свойств битума является температура размягчения, определяемая на приборе «кольцо и шар» («КиШ»), Температура размягчения вязких и твердых битумов колеблется в пределах от 20 °С до 95°С.

Товарные свойства битумов определяются концентрацией дисперсной фазы (асфальтенов), компонентным составом дисперсионной среды (мальтенов) и степенью их ароматичности. Температура размягчения повышается с повышением концентрации асфальтенов в битуме [39]. В зависимости от концентрации асфальтенов битумы образуют соответственно золь, золь-гель или гель-структуры. Для разрушения этих структур требуется разная энергия, поэтому битумы с большим содержанием асфальтенов, имеющие гель-структуру, имеют более высокую температуру размягчения.

Для характеристики тепловых свойств битумов кроме температуры размягчения определяют температуру хрупкости. Температуру хрупкости битума определяют на специальном приборе Фрааса. Для этой цели испытуемый битум наносят тонким слоем на латунную пластинку, которая вместе с битумом может охлаждаться и изгибаться с помощью приспособления, имеющегося на приборе. За температуру хрупкости принимают ту температуру, при которой на тонком изгибаемом слое битума образуется первая трещина. Температуру хрупкости, например, дорожных битумов может быть от (-20 °С) до (+5°С). Очевидно, что чем ниже температура хрупкости битума, тем больше его морозостойкость и выше качество.

Хрупкость битума, следовательно, и хрупкость асфальтобетона отрицательно сказываются на эксплуатационных свойствах дорожных покрытий: повышается склонность к образованию трещин, к деформациям и разрушениям, связанным с выкрашиванием покрытия. Поэтому температура хрупкости является важной характеристикой битумов. Чем ниже температура хрупкости, тем больше температурный интервал, в котором битум находится в вязко-пластичном состоянии, а, следовательно, тем лучше и его дорожно - эксплуатационные свойства [22].

Температура хрупкости зависит от вязкости битума и свойств исходного сырья. Для битумов, полученных из однородного сырья, увеличение вязкости приводит к повышению температуры хрупкости и наоборот. Большое влияние на температуру хрупкости оказывает содержание в битуме парафина [22].

Для характеристики вязкости, точнее, величины обратной вязкости, то есть текучести битумов, принимается условный показатель - глубина проникания иглы в битум (пенетрация). Глубину проникания иглы в битум определяют на приборе при действии на иглу груза массой 100 г в течение 5 с при температуре 25°С или 0 °С при грузе 200 г в течение 5 с. Пенетрация твердых или вязких битумов выражается в единицах (градусах), равных 0,1 мм проникания иглы в битум. Чем больше вязкость, тем меньше проникание иглы в битум.

Для перехода от глубины проникания иглы к динамической вязкости можно пользоваться формулой Зааля:


где Е - динамическая вязкость битума, П - глубина проникания иглы (пенетрация).

По таким показателям битума, как температура размягчения и пенетрация при 25°С, определяют индекс пенетрации, позволяющий характеризовать коллоидную структуру битумов (рис. 1.4)

Рис. 4. Номограмма для определения индекса пенеграции

Температура хрупкости и пенетрация зависят в большей степени от свойств дисперсионной среды. Температура хрупкости битума, как и температура размягчения, повышается с увеличением дисперсной фазы (асфальтенов), так как их жесткий каркас становится хрупким. С другой стороны повышается температура хрупкости, потому что уменьшается количество дисперсионной среды и повышается температура перехода ее в твердое состояние. Температура хрупкости характеризует момент, когда вся система теряет пластичность, становясь аморфным твердым телом.

Пенетрация, будучи по существу параметром вязкости, также характеризует изменение пластичности среды в зависимости от изменения ее количества и состава.

Пенетрация, определяемая при 25°С и 0°С, характеризует изменение пластичности (вязкости) дисперсионной среды и в определенных случаях переход ее в твердое тело.

Плотность нефтяных битумов при 20°С обычно находится в пределах 0,95-1,15. Плотность битумов определяют по плотности его смеси с равным объемом растворителя известной плотности ареометром или пикнометром. Плотность битума также можно определить методом взвешенных капель и капельно-пикнометрическим методом. Плотность является весьма важной характеристикой битума, так как по ней судят о происхождении битума. Окисленные битумы из остатков высокосмолистых нефтей имеют большую плотность при одинаковой температуре размягчения, чем битумы из высокопарафинистых нефтей. Плотность остаточных битумов возрастает с увеличением отбора масел. Плотность битумов повышается по мере увеличения глубины окисления и повышения температуры размягчения.

Плотность битумов, как и пенетрация, зависит от их химического состава. Увеличение содержания ароматических структур повышает его плотность, а увеличение содержания насыщенных соединений - уменьшает; с повышением содержания серы, плотность битума увеличивается.

Существенной особенностью битумов является их достаточно высокая адгезия - прилипание к поверхности различных минеральных и органических материалов. Для определения адгезии существует много методов и приборов [13 - 15]. Одним из них является визуальный метод, по которому степень прилипания битумов к поверхности минеральных материалов оценивают по пятибалльной шкале. Отличное прилипание битума (5 баллов) в том случае, когда пленка битума на поверхности гравия или щебня полностью сохранилась после кипячения в дистиллированной воде. Очень плохое прилипание, оцениваемое в 1 балл, когда пленка битума после кипячения полностью смещается с минеральных зерен и всплывает на поверхность воды.

Весьма важным показателем качества битума является его температурный интервал работоспособности - разность показателей температур размягчения и хрупкости. Для России требуемый температурный интервал работоспособности составляет более 110 °С.

По всем вышеуказанным показателям битумы должны соответствовать

требованиям соответствующих стандартов. В настоящее время битумы выпускаются по трем нормативным документам:

ГОСТ 22245-90 «Битумы нефтяные дорожные вязкие» (на марки БН и БНД);

ТУ 0256096- 00151807-97 (на марку БДУС);

ТУ 0256097-00151807-97 (на марки БНН).

Битумы марок БНД, БН получают окислением нефтяного остатка,

БДУС - путем окисления с последующим компаундированием переокисленпого продукта с исходным сырьем; битумы марок БНН получают вакуумной перегонкой высокосернистых нефтей или компаундированием асфальта пропанобутановой деасфальтизации с различными разбавителями [2].

ГЛАВА 2. ПОЛИМЕР-БИТУМНЫЕ ВЯЖУЩИЕ

.1 Введение

Битум является одним из старейших известных конструкционных материалов [39]. Он был широко использован в течение многих тысяч лет [40], например, как клей, герметик, консервант, гидроизолята и связующего. Древние жители непосредственно использовали природный битум[40]. В начале 1900-х, битум впервые был получен при переработке сырой нефти в США [39]. С тех пор, мировое потребление битума быстро возросло, большая часть битума была использована в дорожном строительстве. Согласно совместной публикации Института асфальта и Eurobitume в 2011 году, в настоящее время мировое потребление битума составляет около 102 млн. тонн в год, 85% из которых используется в различных видах покрытий [41]. В самом деле, химический состав получаемого битума очень сложный и носит изменчивый характер; свойства битума тесно связаны с источниками нефти и процессами нефтепереработки. Выбрав хорошую сырую нефть и соответствующий НПЗ, некоторые конкретные свойства битума могут быть получены. Тем не менее, ограниченные запасы нефти и возможности производить качественные битумы и желание получить максимальную экономическую выгоду вынуждает уделять больше внимания модификациям битума [42]. Кроме того, дорожная промышленность быстро развивалась во всем мире в течение последних нескольких десятилетий, особенно в развивающихся странах. После бурного развития, увеличилась транспортная нагрузка, возрос объем трафика и недостаточное обслуживание привели к многочисленным повреждениям дорожных покрытий. Суровая реальность требовала больше внимания к качеству битума. Для того чтобы получить битум улучшенного качества все большее число исследователей начали сосредотачиваться на модификациях битума. Среди всех подходов к улучшению качества дорожных битумов полимерная модификация является одним из самых популярных подходов.

Модификация битума полимерами - это включение полимеров в битум с помощью механического перемешивания или химических реакций [43]. В течение последних 40 лет, все больше и больше исследователей начали концентрироваться на полимерных модификациях битума и быстро возросло число научных исследований в этой области. В них рассматривались различные полимеры: пластомеры (например, полиэтилен (ПЭ), полипропилен (ПП), этилен-винилацетат (ЭВА), этилен-бутил акрилат (ЭБА)) и термопластичные эластомеры (например, стирол-бутадиен-стирол (СБС), стирол-изопрен-стирол (СИС) и стирол-этилен / бутилен-стирол (СЭБС)) [44-60], хотя ни один из них не был первоначально предназначен для модификации битума. Эти полимеры, как сообщалось, приводили к некоторым улучшениям свойств битума, таким как более высокая жесткость при высоких температурах, повышенная устойчивость к разрушению при низких температурах, улучшение влагостойкости и большему сроку службы [41-56]. В работе [40] были подведены итоги, что результаты модификации полимерами приводят к термодинамически неустойчивым, но кинетически стабильным системам, в которых полимеры частично набухают под воздействием легких компонентов битума. Некоторые важные факторы, включая характеристики битума и самих полимеров, содержание полимера и производственных процессов, определяют конечные свойства полимерно-модифицированных битумов (ПБВ) [43,57]. С увеличением содержания полимера возможна инверсия фаз: от битума, являющегося доминирующей фазой, становится доминирующей фаза полимера [58]. Таким образом, идеальной микроструктурой для полимербитумов является структура, содержащая две непрерывные фазы с оптимальным содержанием полимера в этой битумной модификации [59]. В этом случае полимербитум обычно показывает лучшие характеристики: механические свойства, стабильность при хранении и экономическую эффективность.

Помимо указанных преимуществ, исследователи также сталкивались с различными проблемами, в том числе с высокой стоимостью, высокой температурной чувствительностью, низким сопротивлением старению, плохой стабильностью при хранении и ограниченным улучшением эластичности. При этом сочетание окисления битума и разрушения полимера стала причиной старения полимербитумов [60], особенно явным для некоторых ненасыщенных полимеров, например, СБС. Плохая стабильность при хранении некоторых полимербитумов обычно возникает в результате плохой совместимости между полимерными модификаторами и битумом, от которых зависят такие свойства полимербитумов как плотность, молекулярная масса, полярность и растворимость [61]. Химическая структура и реакционная способность полимеров, однако, также должна повлиять на их совместимость с битумом, что приводит к прямой зависимости их с результирующими свойствами полимербитумов [62]. Для того чтобы решить эти проблемы, исследователи рассматривали различные категории решений, таких как насыщение, вулканизация серой, добавление антиоксидантов, использование гидрофобных глинистых минералов, функционализация и применение реактивных полимеров (которые также можно рассматривать в качестве новых функционализированных продуктов).

Наряду с технической стороной вопроса, экономический аспект имеет конечно же огромную важность для выбора технологии. Различные виды покрытий имеют разные требования к производству. С экономической точки зрения это не всегда лучше для достижения более высокого качества дорожного покрытия. Только тогда, когда технология является экономически эффективной, возможно получить максимум выгоды от нее и она может стать популярной. Что касается полимербитумов, стоимость напрямую зависит от добавленного количества полимера, в то время как количество добавленного полимера влияет на качество конечного полимербитума. Поэтому, прежде чем начать строительство дороги, конструкторы должны знать необходимые эксплуатационные требования, а затем решить использовать полимербитумы или нет, и если использовать, то, как много. В настоящее время, большая часть мирового потребления битума по-прежнему приходится на базовые битумы. Даже для одной страны процент колеблется в разные годы. По данным, опубликованным Европейской ассоциацией асфальтового покрытия, процент использования полимербитумов во всех ежегодно используемых битумах для дорожного строительства, как правило, менее 20% в большинстве европейских стран в течение последних 3 лет [63]. Подробные данные для каждой страны можно увидеть в [63]. Касаясь содержания полимера в битуме [64] что оно должно быть около 3,5 % вес.

2.2 История развития применения полимер-битумных вяжущих

Модификация битума полимерами имеет долгую историю. Даже до производственного получения битума, конструкторы использовали природный битум и некоторые патенты были получены для модификаций натурального каучука [39,65-67]. Синтетические полимеры, однако, не имели широкого применения до окончания Второй мировой войны. Одно из известных ранних применений полимера из неопренового (полихлорсодержащего) латекса, который начал использоваться для модификации битума в Северной Америке с 1950-х годов [67]. Пластомеры имеют более длинную историю искусственного синтеза чем термопластичные эластомеры. Большинство популярных в настоящее время пластомеров начали производить коммерчески до 1960-х годов [68]. Что касается термопластичных эластомеров, первый коммерчески приемлемый продукт СБС был разработан в США в 1965 году и первый гидрогенизированный (или насыщенный) продукт, СЭБС, был создан в 1972 [69]. В начале эти коммерческие полимеры в основном использовались для упаковки, изготовления каучука, обуви и в другой промышленности.

Полимерно-модифицированные битумы были впервые использованы в кровельной промышленности, а затем в дорожном строительстве. В 1965 году атактический полипропилен (АПП), который является побочным продуктом изготовления изотактического полипропилена (ИПП), впервые был использован для битумной модификации в кровельной промышленности в Италии и первый коммерческий продукт вышел на рынок в 1967 [70]. СБС, однако, не был широко использован до начала 1970-х годов в Европе. Что касается США, в 1978 году американцы начали широко использовать модифицированные битумы в укладке кровли. Около 1980 года в США началось первое промышленное производство полимербитумов [70].

Модификация битума полимерами для дорожного строительства является полем широкой интеллектуальной собственности. Один из первых патентов в этой области был получен в 1940 [71]. После этого, особенно после модификации битумов СБСом, большое количество патентов было получено по всему миру. Из-за нефтяных кризисов 1973 и 1979, попытки модификации битума полимерами для дорожного строительства начали увеличиваться около 40 лет назад [72,73]. В 1970-х, исследователи доказали, что добавление полимеров, в том числе пластомеров и термопластичных эластомеров, могли бы улучшить некоторые свойства дорожных битумов, таких как сокращение температурной чувствительности или увеличение сопротивления постоянной деформации [35-39]. В 1978, Чаффин и др. [68] сообщили о потенциальной стабильности при хранении битума, модифицированного эластомерами.

В 1980-х, спрос на полимерные покрытия для дорог привел к более систематическим исследованиям [72,78-85]. Например, в 1980 году, исследования, проведенные Пиацца [40], показали перспективы модификации битумов термопластомерами и термоэластопластомерами. В 1982 году Краус [79] исследовал морфологию модифицированного эластомерами битума и сообщил о набухании полимеров в битуме. В течение следующих нескольких лет, дальнейшие исследования [81,82] модифицированного битума были опубликованы. Боверинг [83] рассмотрел необходимость модификации битума полимерами в 1984 году и заявил, что относительно высокая стоимость ПБВ компенсируется длительностью эксплуатации и надежностью дорожных покрытий. В 1987 году Конгресс США учредил Программу стратегических исследований дорожных покрытий, что способствовало увеличению популярности использования ПБВ. В 1989, Риз и др. [84] сообщили о хорошей стойкостью к старению и растрескиванию ПБВ после двухлетних полевых испытаний в Калифорнии, хотя они указали, что необходимы дальнейшие исследования.

В начале 1990-х годов интерес к исследованию полимерно модифицированных битумов возрос во многих развитых странах [65]. Ученые систематически исследовали механические свойства, реологию, температурную чувствительность, морфологию, термическое поведение, устойчивость при хранении и старение различных ПБВ [86-101]. В результате обширных исследований были выявлены как преимущества, так и недостатки ПБВ. С одной стороны, был сделан вывод, что полимерные модификации привели к улучшению свойств битумов, таких как упругое восстановление, устойчивость к деформации при низких температурах и более высокой устойчивостью при высоких температурах СБС модифицированного битума [96 - 98]. С другой стороны, некоторые недостатки были выявлены, в частности, термическая нестабильность некоторых полимерных модификаторов и проблема разделения на фазы некоторых ПБВ [86,99].

В июне 1998 в Риме состоялся Международный симпозиум по полимерно модифицированным битумам, на котором было выявлено состояние дел по ПБВ в мире и по итогам был опубликован доклад в 1999 году [72]. Попытки устранить недостатки ПБВ начались в 1990-х годах. В 1996 году Джаварини др.[45] утверждали, что полимерно модифицированные битумы могут быть стабилизированы добавлением полифосфорной кислоты и они считали что ее добавление также улучшить срок хранения полимербитума путем изменения его структуры из золя в гель. После 2000 года исследования, касающиеся ПБВ, разделились на два направления: (1) глубокое исследование механизма полимерной модификации и его недостатки, а (2) попытки преодолеть недостатки некоторых ПБВ. Первое направление в основном фокусируется на изучении микроструктуры, деформации, трещин, старении и усталости ПБВ[102-115]. Даже сейчас, есть еще некоторые академические дебаты в этом направлении. Например, некоторые исследователи полагают, что битум имеет неоднородную коллоидную структуру и должен исследоваться как многофазная (полимеры / асфальтены /мальтены) вязкоупругая эмульсии [116,117], показанная на рис.5; в то время как некоторые другие исследователи утверждают, что битум однородный и непрерывный молекулярный состав [108], рис. 6. Другие авторы считают, что асфальтены сильно полярные компоненты битума и полярность полимерных модификаторов имеет значительное влияние на их совместимость с битумом и стабильность при хранении полученных ПБВ [40,116]. Следует отметить, что имеются авторы, которые считают, что асфальтены являются типичными неполярными молекулами с химической точки зрения [119]. Что касается попыток преодолеть недостатки, в 2000-х годах, были зарегистрированы различные способы устранить недостатки ПБВ, в том числе вулканизацией серой [120-125], добавление антиоксидантов [60,126,127], использование гидрофобных глинистых минералов [128-136] и функционализация (в том числе применение реактивных полимеров) [48, 137-151].

Рис. 5 Схематическое изображение коллоидной структуры битума и эффекта модификации полимеров. (A) Базовый битум. (B) Соответствующее ПБВ с повышенным содержанием асфальтенов в матрице.

(C) Мицеллы асфальтенов.

Рис.6 (А) растворимости сфер мальтенов и асфальтенов выделенных из венесуэльского битума. (B) Параметры растворимости СБС и Венесуэльского битума. (Взято из [118]).

2.3 Полимеры, используемые для модификации битума

Как упоминалось выше, после окончания Второй мировой войны, синтетические полимеры стали использоваться для модификации битумов. На протяжении многих лет исследователи разработали различные полимерно битумные модификации. Сегодня широко используемые полимеры для модификации битума можно разделить на две категории: пластомеры и термопластичные эластомеры. Так Строуп - Гардинер и др. [152] сообщили, пластомеры практически не имеют упругую составляющую, что обычно приводит к их быстрой разрушаемости при нагрузке и последующей остаточной деформации и хрупкости. Что касается термопластичных эластомеров, они размягчаются при нагревании, затвердевают при охлаждении [65] и способны противостоять постоянным деформациям растяжением под нагрузкой и упруго восстанавливается сразу после снятия нагрузки [152].

Некоторые популярные полимеры для модификации битума приведены в таблице 1 с их преимуществами и недостатками. Среди них, СБС привлекает наибольшее внимание из-за его относительно хорошей дисперсности (или соответствующей растворимости) в битуме, а также относительно хорошие свойства и приемлемая стоимость СБС модифицированного битума[43,153].

Конечно, помимо этих перечисленных полимеров, некоторые другие, такие как стирол- бутадиеновый каучук, диблок-сополимеры стирол-бутадиеновые и этилен-пропилен-диенового мономера были также популярны для модификации битума [154-156].

Таблица 1. Полимеры, используемые для модификации битумов [40, 42-50, 58, 61, 62, 65-67, 152, 156-163]

Категории полимеров

Полимеры

Преимущества

Недостатки

Пластомеры

Полиэтилен Полипропилен

Хорошие высокотемпературные свойства Относительно низкая цена

Незначительное улучшение эластичности Проблема разделения фаз

Пластомеры

Этилен-винил ацетат Этилен-бутил ацетат

Относительно хорошая стабильность при хранении Высокая устойчивость к колейности

Незначительное улучшение эластичности Незначительное улучшение низкотемпературных свойств

Термопластичные эластомеры

Стирол-бутадиен-стирол Стирол-изопрен-стирол

Возрастает жесткость Уменьшается чувствительность к температурным воздействиям Улучшается эластичность

Проблемы совместимости с битумами Плохая стойкость к жаре, окислению и ультрафиолету Относительно высокая цена

Термопластичные эластомеры

Стирол-этилен/бутилен-стирол

Хорошая стойкость к жаре, окислению и ультрафиолету

Нестабильность при хранении Незначительное улучшение эластичности. Высокая цена


Перед рассмотрением популярных полимерных модификаторов, стоит отметить, что даже для данного полимерного модификатора, выбор базового битума все еще имеет важное влияние на результат, так как каждый битум имеет свой собственный химический состав и структуру. Кроме того, базовые битумы обычно составляет более 90 % от полимербитума, что может являться наиважнейшим фактором, влияющим на окончательные свойства ПБВ. Качественные базовые битумы помогают усилить воздействие полимерного модификатора, в то время как некачественные могут сделать модификации бессмысленными. Что касается совместимости между полимером и битумом, выбор базового битума, как правило, осуществляется путем лабораторных экспериментов. Тем не менее, некоторые теоретические подходы основаны на содержании различных фракций битума: например, высокое содержание асфальтенов может уменьшить совместимость полимера и битума, а повышение содержания ароматики в мальтенах может привести к хорошей совместимости [78]. Некоторые другие исследователи даже дали компонентный состав битума с оптимальной совместимостью с СБС [61].

2.3.1 Пластомеры

В качестве важной категории пластомеров, полиолефины является одним из самых ранних используемых модификаторов для битумов. Различные полиолефиновые материалы, включая полиэтилен высокой плотности (ПЭВП), полиэтилен низкой плотности (ПЭНП), линейный полиэтилен низкой плотности (ЛПЭНП), изотактический полипропилен и атактический полипропилен [39,44,60,137,164,165], изучались для применения в модификации битума ввиду относительно низкой стоимости и преимуществах, которые они могут принести. Типичные структуры популярной ПЭ и ПП, приведены на Рис. 7.

Рис.7 Структуры полиэтилена и полипропилена

После того как полиолефиновые материалы добавляют в битум, они, как правило, набухают под воздействием легких компонентов битума и двухфазная структура формируется с полиолефиновой фазой (дисперсной фазой) в битумной матрице (непрерывная фаза) [157]. С увеличением концентрации полиолефинов, в модифицированном битуме происходит инверсия фаз. Две непрерывные фазы идеально подходят для полиолефинов, которые могут улучшить свойства битума до некоторой степени. Эти используемые материалы, как правило, приводят к высокой жесткости и хорошей устойчивостью модифицированного битума [44], хотя они имеют совершенно разные химическую структуру и свойства. Тем не менее, используемые полиолефиновые материалы значительно не улучшают эластичность битума [65]. В дополнение к этому, регулярные длинные цепи полиолефиновых материалов приводят к высокой склонности к упаковке и кристаллизации, что может привести к отсутствию взаимодействия между битумом и полиолефином и в результате к нестабильности модифицированного битума. Более того, некоторые исследователи утверждали, что совместимость полиолефинов с битумом очень плохое из-за неполярной природы используемых материалов[40]. В результате, ограниченное улучшение эластичности и потенциальные проблемы стабильности при хранении полиолефинмодифицированного битума ограничивают применение полиолефиноматериалов в качестве модификатора битума, в то время как они пользуются популярностью в производстве непроницаемых мембран.

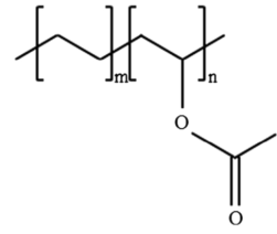
Более чаще используемые пластомеры в модификации битума являются сополимеры этилена, такие как этилен-винил ацетат (ЭВА) и этилен-бутил ацетат (ЭБА) [46,47]. В связи с их подобными химическими структурами, ЭВА обсуждается здесь как пример сополимеров этилена. Как показано на рис. 8, ЭВА сополимеры состоят из этилен-винилацетатных цепей, образованных случайным образом.

Рис. 8 Структура этиленвинилацетата

Однако свойства сополимеров ЭВА тесно связаны с содержанием винилацетата. Когда содержание винилацетата является низким, степень кристаллизации высока и свойства ЭВА являются совершенно аналогичными ПЭ низкого давления. Поскольку содержание винилацетата увеличивается, ЭВА имеет тенденцию представлять собой двухфазную микроструктуру с жесткой кристаллической фазой (как у полиэтилена) и резиновой винилацетатной аморфной фазой [67]. Чем выше винилсодержание винилацетата, тем выше процент аморфной фазы. Но степень кристаллизации следует тщательно контролировать когда ЭВА используется в качестве модификатора битумов, потому что ни слишком низкая (связи легко быть нарушены), ни слишком высокая (в результате чего отсутствует взаимодействие с битумом) степень кристаллизации не является хорошей [78].

После того, как сополимеры ЭВА добавлены в битум, светлые компоненты битума обычно пополняются сополимерами. При низких концентрациях ЭВА, дисперсная ЭВА-обогащенная фаза может наблюдаться одновременно с битумной фазой [103]. По мере увеличения концентрации ЭВА, инверсии фаз происходит в модифицированном битуме и ЭВА-фаза переходит в непрерывную фазу. Процесс инверсии фаз модифицированного битума был представлен в виде флуоресцентного изображения на рис. 9 [161]. Если в модифицированном битуме существуют две непрерывные фазы, то его свойства могут быть существенно улучшены. ЭВА, как было установлено, образует жесткую сеть в модифицированном битуме и противостоит деформации [47], что означает, что ЭВА модифицированный битум обладает повышенной устойчивостью к образованию колеи при высоких температурах.

Хотя некоторые свойства битума с применением ЭВА улучшаются, есть еще некоторые проблемы, ограничивающие его применение. Главным ограничением является то, что ЭВА не может значительно улучшить упругое восстановление битума [42,65]. Кроме того, температура стеклования (Tg) сополимеров ЭВА, которая сильно зависит от содержания винилацетата [166], недостаточно низка, чтобы значительно улучшить низкотемпературные свойства битума. Было установлено, что Tg полимербитума с 28,4% массовым содержанием винилацетата является -19,9°С [167], что довольно близко к Tg некоторых базовых битум. В результате способность ЭВА для улучшения низкотемпературных свойств битума является довольно ограниченной, особенно при высоких концентрациях ЭВА. Согласно исследованию Амери и др. [159], низкотемпературные свойства увеличиваются до некоторой степени добавлением 2 % по весу или 4 % по весу ЭВА и снижаются при добавлении 6 % мас. В противоположность этому, хотя ЭВА может привести к потенциальной нестабильности при хранении модифицированного битума [168], его Tg является намного ниже, чем у ЭВА с тем же содержанием сомономера (винилацетат или бутилакрилат). Было установлено, что Tg сополимеров ЭБА с 33,9 % массовым содержанием бутилакрилата - 45,9 ° С, что привело к более высокому сопротивлению разрушению из EБA модифицированного битума при низких температурах [167]. Кроме того, температура плавления богатых этиленом компонентов ЭВА значительно ниже, чем температура при приготовлении модифицированного битума. Т.е., жесткие кристаллические домены могут быть частично разрушены при изготовлении битума [40]. Для того, чтобы подготовить идеально модифицированный битум на сополимерах ЭВА, Эйри [161] предложил верхний предел температуры, около 55 °С. Тем не менее, эти этиленовые сегменты еще могут расплавиться и частично разрушены когда ЭВА модифицированный битум смешивают с минеральными компонентами перед мощением дороги, потому что обычная температура смешивания также значительно выше, чем температура плавления этих сегментов.

Рис.9 Изображения ЭВА модифицированного битума с различным содержанием (по массе) ЭВА[161]

полимер битум вяжущий нефтехимический

2.3.2 Термопластичные эластомеры

Термопластичные эластомеры обычно более эффективны чем пластомеры в целях модификации битума. Самые популярные термопластичные эластомеры для битумных модификаторов СБС и сополимеры стирол-изопрен-стирола (СИС). Из-за их сходных химических структур, СБС рассматривается в качестве примера термоэластопластомера. Сополимеры СБС состоят из стирол-бутадиен-стирольных тройных цепей с двухфазной морфологией жестких полистирольных доменов (дисперсная фаза) в гибкой полибутадиеновой матрице (рис. 10А).

Химические связи между ПС и ПБ блоками могут обездвижить домены в матрице. Тg полистирольных(ПС) блоков составляет около +95 °С и Тg полибутадиеновых блоков составляет около +80 ° С [141].

В обычных температурах эксплуатации дорожных битумов ПС блоки стекловидны и способствовать укреплению СБС, в то время как ПБ блоки эластичны [169]. Кроме того, несовместимость между ПС и ПБ блоками дает возможность физической сшивки ПС блоков. Эта агрегация ПС блоков исчезает при высоких температурах, когда кинетическая энергия молекулярного термодинамического движения больше, чем энергия межмолекулярного взаимодействия [170]. Однако, как показано на рис. 6, физическое сшивание среди ПС блоков могут быть реформированы и прочность и эластичность СБС могут быть восстановлены после охлаждения, что является очень важным фактором для СБС.

Рис.10 Структура стирол-бутадиен-стирола (СБС) и схематическая иллюстрация обратимых поперечных связей в SBS.

После добавления сополимеров СБС в битум, некоторые взаимодействия происходят между битумом и СБС. Массони и другие [171] сообщил, что межмолекулярные взаимодействия между битумом и ПБ сильнее, чем с ПС. Они считали, что ПБ блоки взаимодействуют с положительно заряженными группами битума через их π-электроны, в то время как ПС блоки взаимодействуют с электронно-богатыми группами битума через их ароматические протоны.

Смешанные с битумом ПС блоки в сополимерах СБС поглощают часть насыщенных цепей и несколько колец в легких компонентах битума [153,162], что приводит к набуханию ПС блоков и упрочнение битума. Когда содержание полимера низко, СБС диспергируется в виде дискретной фазы в битум [153]. По мере увеличения концентрации СБС, фазаинверсия начинается в модифицированном битуме. Процесс фазоинверсии в модифицированном СБС битуме представлен в виде флуоресцентных изображений на рис. 11 [47].

Рис. 11 Изображения СБС модифицированного битума с различным содержанием (по весу) СБС [47].

Это идеально представляет две блокированные непрерывные фазы: битумно-обогащенная фаза и СБС-обогащенная фаза. В СБС-обогащенной фазе, существуют две подфазы: набухшие матричные ПБ и практически чистые домены ПС [153]. Как только СБС-обогащенная фаза формируется, в модифицированном битуме формируется эластичная сеть, что приводит к увеличению комплексного модуля и вязкости, улучшает упругость и повышает сопротивление разрушению при низких температурах.

Неоднократно подтвержденные превосходные свойства, относительно хорошая дисперсность (или соответствующая растворимость) в битуме, приемлемая стоимость сделали СБС очень популярным модификатором для битума [43,153]. Тем не менее, сополимеры СБС далеки от идеала. Например, совместимость между битумами и СБС не очень хороша[61,121,172]. Нестабильность СБС при хранении модифицированного битума показана рис. 12 [121].

Рис.12 Изменение морфологической структуры СБС модифицированного битума с увеличением времени хранения при 1600С.

Эйри [162] утверждал, что термопластичные эластомеры и асфальтены конкурируют поглощая световые компоненты битума в смеси СБС и битума. Из-за этого может произойти разделение фаз. Было отмечено, что битум с высоким содержанием ароматики может быть полезным в производстве стабильного СБС модифицированного битума [79] и добавление ароматические масла может улучшить совместимость между СБС и некоторых битум с низким содержанием ароматических соединений [171]. Слишком высокое содержание ароматических углеводородов в модифицированном битуме, однако, может привести к набуханию и анти- пластификации некоторых ПС блоков[135], что нехорошо для свойств модифицированного битума.

Еще одна проблема СБС-модифицированного битума его низкая устойчивость к тепловому воздействию, окислению и ультрафиолетовому воздействию (УФ) из-за наличия двойных связей и α-Н в ПБ блоках [126,174]. В самом деле, нестабильность сополимеров СБС в основном за счет высокой активности α-Н и низкой энергии р-связи в двойных связях. Нежелательные химические реакции (например, формирование пероксирадикалов и гидроперекисей [60]) делают их чувствительными к теплу, окислению и УФ. Для того чтобы преодолеть этот недостаток, ученые во-первых уделяют много внимания насыщенного термопластичным эластомерам, такие как стирол-этилен/бутилен-стирол (СЭБС)[175].

СЭБС сополимеры, которые могут быть получены гидрированием СБС, состоят из трехблочной стирол-этилен/бутилен-цепи стирола. Химическая насыщенность делает их весьма устойчивыми к теплу, окислению и УФ. Однако, когда двойные связи исчезают, некоторые исследователи утверждают, что полярность сополимеров значительно снижается [40]. Между тем, этилен/бутилен блоки в СЭБС имеют тенденцию кристаллизоваться [176]. Таким образом, совместимость между СЭБС и битумом должна стать еще хуже. По исследованию Полакко и соавт. [50], стабильный СЭБС модифицированный битум может быть получен только при низком содержании полимера (ниже примерно 4 % мас. от общей массы) при этом СЭБС действует только в качестве наполнителя и не улучшает вязкостные и эластичные свойства битума значительно. Напротив, когда содержание СЭБС достаточно высоко, чтобы действительно изменить структуру битума, подготовленный полимербитум неустойчив и имеет тенденцию к постепенному разделению на фазы. Кроме того, дополнительные расходы, связанные с процессом гидрирования и очень плохие упругие свойства, наблюдаемые в СЭБС-модифицированном битуме[40], дополнительно ограничивает его применение в качестве модификатора битума.

Для того чтобы избежать недостатков модификации СЭБС, исследователи из Мексики [176] пытались использовать частично насыщенный сополимерами СБС в модификации битума. Они приготовили стирол-бутадиен-этилен/бутадиен-стирол (СБЭБС) полимеры с различными степенями насыщения путем частичного гидрирования сополимеров СБС и обнаружили, что СБЭБС модифицированный битум имеет лучшие механические свойства (например, более высокое сопротивление колейности и лучше эластичность), чем СБС модифицированный битум. Хотя частичное гидрирование также может вызвать слабую полярность и возможность кристаллизации сополимеров, было заявлено, что СБЭБС расшились лучше в битуме и это привело к улучшению стабильности при хранении модифицированного битума. Объяснение этому явлению было дано с точки зрения параметров растворимости сополимеров в ароматических соединениях [176]. Однако никакие дальнейшие доклады о применении СБЭБС не обнаружены.

Еще одной попыткой повышения сопротивления старению СБС модифицированного битума была попытка передать двойные связи от основной цепи к ветвям, то есть с использованием сополимеров с высоким содержанием винила. Из 1,3-бутадиена, исследователи обычно готовят сополимеры СБС со структурой, как на рис.6А по механизму 1,4-присоединение. Некоторые исследователи [177] утверждали, что новый класс сополимеров СБС, называемый “сополимеры СБС с высоким содержанием винила”, могут быть получены из 1,3-бутадиена с помощью механизма 1,2 -присоединения со специальными добавками и условиями обработки. Этот сополимер СБС имеет двойную связь на ветвях, которые, как полагали, могут привести к снижению вязкости и лучшей совместимости с битумом [177]. Так как тепловое воздействие, окисление и УФ предпочтительно разрушают двойные связи в цепях, то в основной цепи, как правило, остаются нетронутыми. Так было заявлено, что устойчивость к старению СБС модифицированного битума, можно было бы улучшить использованием сополимеров СБС с высоким содержанием винила [177]. Тем не менее, в настоящее время исследователи не имеют большого опыта работы с СБС сополимерами с высоким содержанием винила. По-прежнему необходимо проводить больше исследований и испытаний, чтобы выяснить, в какой степени они работают для модификации битума, особенно в процессе эксплуатации.

.4 Технические разработки для удаления недостатков

Хотя большие успехи были достигнуты в области модификации битума полимерами, как обсуждалось в предыдущих разделах, есть еще различные недостатки, которые ограничивают дальнейшее развитие, такие как более высокие затраты, низкое сопротивление старению и плохая стабильность при хранении. Исследователи пытались различными способами устранить эти недостатки, в том числе вулканизацией серой [120-125], добавлением антиоксидантов [60,126,127], использованием гидрофобных глинистых минералов [128-136] и функционализации (включая применение реактивных полимеров) [48,137-151].

Таблица 3. Технические разработки для улучшения свойств ПБВ: преимущества и недостатки [40,48,50,60,120-151,172,176,179]


Преимущества

Недостатки

Насыщение

Возрастает стойкость к воздействию тепла, окислению и УФ

Проблема разделения фаз Высокая цена

Вулканизация серой

Возрастает стабильность при хранении Хорошие высокотемпературные свойства

Применимо только для ненасыщенных полимеров, например СБС Высокая чувствительность к окислительному старению

Антиоксиданты

Снижение окисления

Высокая цена

Гидрофобные глинистые минералы

Возрастает стабильность при хранении, сопротивление колеиобразованию и старению

Ограниченное улучшение низкотемпературных свойств, дуктильности и эластичности

Функционализация

Возрастает совместимость

Неконтролируемые изменения свойств Высокая цена

Реактивные полимеры

Возрастает совместимость Хорошие высокотемпературные свойства

Ограниченное улучшение низкотемпературных свойств Проблемы желатинирования


2.4.1 Вулканизация серой

Вулканизация серой - это химический процесс, широко используется при производстве технических резин, он дает возможность улучшить стабильность при хранении некоторых ПБВ (например, СБС модифицированного битума) [120-125]. Считается что сера работает в двух направлениях: химически сшивая полимерные молекулы и химически связывая полимер и битум через сульфидные и / или полисульфидные связи [121]. Эти химические взаимодействия гораздо сильнее чем физические (например, агрегация ПС блоков в сополимеры), и они не исчезают даже при довольно высоких температурах, что, как полагают, очень полезно для улучшения стабильности при хранении ПБВ. Сшивание полимерных молекул приводит к образованию стабильной полимерной сетки в битуме; в то время как соединение между полимером и битумом непосредственно уменьшает возможность разделения. Хотя точный механизм реакции вулканизации серой полимербитума по-прежнему неясен, исследования вулканизации каучука серой может быть полезно для понимания химических реакций в ходе вулканизации серой полимербитумов. В случае СБС модифицированных битумов, реакции по двойным связям и замещение аллильных атомов водорода могут быть основными при связывании сополимеров СБС серой [180,181]. Возможно образование связей между серой и битумом, дегидрирование компонентов битума [183-185]. Однако из-за сложного состава ПБВ и отсутствия катализаторов (например, ускорители и активаторы) в процессе вулканизации серой ПБВ, все эти возможные реакции должны быть критически доказаны с помощью дальнейших исследований.

Связывание серы с полимерными модификаторами основано на химических реакциях вулканизации серой и ограничено в пределах ПБВ модифицированных ненасыщенными полимерами, из которых широко используется только СБС. Вулканизация серой используется уже более 30 лет. Было доказано, что вулканизация серой привела к некоторым улучшениям свойств некоторых ПБВ. Кроме повышенной стабильности при хранении, некоторые исследователи [131-133,186] утверждали, что вулканизация серой может также улучшить эластичность, сопротивление деформации и некоторые реологические свойства ПБВ, но остальные [124,131] обнаружили, что вулканизация серой сделала ПБВ более восприимчивы к окислительному старения и динамическому сдвигу и пришли к выводу, что это нехорошая идея использовать серу в качестве единственного дополнительного модификатора ПБВ. Кроме того, сероводород, опасный газ для здоровья человека и окружающей среды, может выделяться во время вулканизации серой из-за абстракции атомов водорода в битумах и полимерных модификаторах, особенно при высоких температурах [187-189]. Конечно, некоторые исследователи могут возразить, что газообразные выбросы являются относительно небольшими и большинство производителей знают, как иметь дело с рисками и опасностями, связанными с этим. Все эти недостатки ограничивают применение вулканизации серой.

2.4.2 Антиоксиданты

Как упоминалось ранее, некоторые ПБВ чувствительны к окислению, например, СБС модифицированный битум. В этих случаях использование антиоксидантов могут быть полезно для замедления окисления ПБВ. Различные антиоксиданты, в том числе фенолы, фосфиты и органические соединения цинка, были введены в ПБВ в лаборатории. Считается, что они работают на удаление свободных радикалов и/или разложения гидропероксидов, которые создаются в процессе окисления [60,126,127]. Эти промежуточные вещества химически очень активны и вносят большой вклад в окисление. Контролируя их, было доказано, что антиоксиданты способствуют уменьшению окисления в лабораторных условиях, но лабораторные условия и реальные условия сильно различны. Антиоксиданты могут вызвать проблемы в использовании, например, их недостаточной мобильности в вязкой среде при рабочих температурах. Кроме того, высокая стоимость внедрения антиоксидантов также является фактором, ограничивающим их применение [179].

Рис.13 А) Многоуровневая структура глинистых минералов 2:1-типа. (B) Схематическое изображение интеркалированного и отслаивающего глинистых минералов. (С) Проникновение кислорода в: (а) СБС модифицированный битум; и (б) СБС модифицированный битум с гидрофобными глинистыми минералами.

2.4.3 Гидрофобные глинистые минералы

Гидрофобные глинистые минералы были использованы в базовых битумах и ПБВ. Утверждается, что их использование в ПБВ влияет главным образом на две цели: (1) повышение устойчивости к старению ПБВ и (2) повышение стабильности при хранении ПБВ благодаря уменьшению разности плотности между полимерными модификаторами и битумом [172]. Как показано на рис. 9А, обычно используемые для ПБВ глинистые минералы, такие как монтмориллонит и каолинит, имеют слоистую структуру 2:1 типа, что означает, что слои их кристаллической структуры состоят из двух тетраэдрически скоординированных атомов кремния, слитую с восьмигранной структурой алюминия или гидроксида магния [190]. Каждый слой из их имеет толщину около 1 нм [132,133,135,172]. Способность этих глинистых минералов к разделению на отдельные слои на нанометровом уровне и для тонкой перестройки их гидрофильных поверхностей в гидрофобные через ионообменные реакции [190] дает возможность использовать их в ПБВ. После смешения гидрофобные глинистые минералы внедряются в матрицу ПБВ. Как видно на рис. 9В, структура гидрофобных дисперсных глинистых минералов может быть интеркалированной или отслаиваемой [132,191]; и последняя является более эффективной для использования в ПБВ. При добавлении необходимого содержания гидрофобных глинистых минералов, улучшается стабильность при хранении, повышается вязкость, повышается жесткость [130,131]. Кроме того, улучшение устойчивости к старению достигается тем, что пластинки глины препятствуют проникновению кислорода в ПБВ [172], которые могут быть представлены на рис. 9C. Однако чрезмерное добавление глинистых материалов может ухудшить эластичность ПБВ [131]. Кроме того, очень трудно получить хорошее набухание полимера при использовании глинистых минералов; и их использование приведет лишь к ограниченным улучшениям низкотемпературных свойств, пластичности и упругого восстановления [131]. Эти факторы могут ограничить применение гидрофобных глинистых минералов в ПБВ.

2.4.4 Функционализация и реактивные полимеры

С точки зрения битумной полимерной модификации, функционализация означает химическое добавление конкретных функциональных групп в полимер для получения конкретных свойств ПБВ, такие как хорошая стабильность при хранении, отличная устойчивость к старению, высокая адгезия с поверхностью, высокая жесткость при высоких температурах и хорошая устойчивость к растрескиванию при низких температурах. Это один из возможных путей для преодоления недостатков используемых в настоящее время полимерных модификаторов и увеличение уровня использования битумных полимерных модификаторов.

С помощью функционализации возможно получение различных новых свойств и функций и даже могут быть разработаны некоторые полимерные модификаторы нового типа, например, реактивные полимеры. В самом деле, хотя это не типично, насыщение может быть также рассматриваться как своего рода функционализация, добавление водорода для насыщения полимера. Хотя различные свойства имеющихся в настоящее время ПБВ могут быть получены путем функционализации, наиболее известные исследования в основном направлены на улучшение совместимости полимерных модификаторов с битумом.

Добавленные функциональные группы обычно взаимодействуют с некоторыми компонентами битума в различных направлениях, например, образовывают водородные связи или химические связи, которые могут улучшить совместимость до некоторой степени. Например, Ванг и соавт. [139] подготовили функционализованные сополимеры СБС добавив амино и карбоксильные группы во время синтеза и заявили что эти функциональные группы могут улучшить совместимость СБС сополимеров с битумом без существенного влияния на их другие свойства. Малеиновый ангидрид (MAH), метакриловая кислота и глицидиловый метакрилат (ГМА), структура которых показана на рис. 10, пытались привить некоторым используемым в настоящее время полимермодификаторам и все они были найдены возможными для улучшения стабильности при хранении ПБВ и даже с некоторыми другими улучшенными свойствами (например, выше сопротивление колейности) [48,137,138,140,192,193].

Кроме улучшения совместимости, некоторые попытки [194,195] были также сделаны в направлении улучшения адгезии между ПБВ и агрегатов.

Рис. 14 Структуры: (A) малеинового ангидрида (МАН); (B) метакриловой кислоты и (C) глицидилметакрилата (ГМА).

Конечно, есть и некоторые проблемы, которые могут быть отмечены про функционализацию используемых в настоящее время полимерных модификаторов. Например, в случае улучшения стабильности при хранении, чрезмерное взаимодействия между полимерными модификаторами и битумом может уничтожить двухфазную структуру ПБВ и сделать продукты бесполезными [40]. Кроме того, некоторые исследователи утверждают, что ненасыщенные полимеры (например, СБС) не должны быть модифицированы прививанием, потому что это вероятно вызывает нежелательное сшивание [40], хотя привитые сополимеры SBS были получены и использованы в битумных модификациях некоторыми другими исследователями [138,196,197].

Что касается разработки новых типов полимерных модификаторов, реактивные полимеры являются примерами, которые не могут быть пропущены. Реактивные полимеры, используют в битумной модификации те полимерные модификаторы, которые, как полагают, химически реагируют (а не физически смешиваются или взаимодействуют) с некоторые компонентами битума [151], например реактивные полимеры этилена и изоцианатные полимеры.

Реактивные полимеры этилена в основном представлены как этилен -основанные сополимеры, содержащие эпоксидные кольца, например этилен-глицидилакрилат (ЭГА) сополимеры и случайные тройные сополимеры этилена, ГМА и эфирной группы (обычно метил, этил или бутил акрилат )

[40,141,198]. Некоторые из них даже были использованы в промышленности. Они, как правило, могут улучшать совместимость полимера с битумом, а акрилатные группы в молекуле, как полагают, повышают полярность полимера и эпоксидные кольца, как правило, реагируют с некоторыми функциональными группами (например, карбоновой кислоты) в битуме [40]. Тем не менее, есть также много факторов, ограничивающих их применение. Занзотто и др. [141] сообщили что битумные модификации с более низкой концентрацией из ЭГА сополимеров имеют высокотемпературные свойства, аналогичные модификации с более высокой концентрацией других полимерных модификаторов (например СБС и ЭВА), но ЭГА удалось улучшить низкотемпературные свойства. По исследованию Полакко и соавт. [40], когда содержание реактивных полимеров этилена достаточно высока, чтобы быть в состоянии действительно изменить битум: подготовленные на его основе ПБВ нестабильны и имеют тенденцию к гелеобразованию из-за чрезмерного взаимодействия внутри цепи в пределах полимеров этилена. Наоборот, стабильные модифицированные битумы с реактивным этиленовыми полимерами могут быть получены только при низком содержании полимера(обычно 1,5-2,5 % мас), когда фазоинверсия не происходит и механические свойства битума не улучшились значительно. Считалось, что реактивные полимеры этилена не подходят для модификации битума [40].

Что касается изоцианатных полимеров, они, главным образом представлены полимерами с низким молекулярным весом: полиэтиленгликоль или полипропиленгликоль (ПЭГ или ППГ), функционализированный с изоцианатными группами по реакции с 4,4’ - дифенилметанадиизоцианатом [ 144-151 ], пример на рис. 15.

Рис.15 Структура полимеров на основе изоцианатов: полиэтиленгликоль функционализированный 4,4’- дифенилметанадиизоцианатом

Утверждается, что они могут повысить некоторые механические свойства битума в результате химических реакций, главным образом при высоких температурах. В связи с наличием изоцианатных групп, эти полимеры, как полагают, реагируют с гидроксильными группами в битуме [150,151]. После обработки водой, они, как правило, реагируют друг с другом, приводя к изменению битума в более высокой степени [146,150,151]. В результате полимеры на основе изоцианата могут увеличить вязкость и улучшить стабильность при хранении и стойкость к образованию колеи при высоких температурах [144,151]. Но они не смогли повысить низкотемпературный свойства по сравнению с СБС модифицированного битумом [144]. Кроме того, реакции между изоцианатными полимерами могут также привести к риску гелеобразования битума. Дальнейшие исследования должны быть проведены, чтобы решить потенциальные проблемы с модификации битума с изоцианатными полимерами.

2.5 Перспективы развития

В идеале говоря, свойства полимерных модификаторов следует очень внимательно разрабатывать в соответствии с необходимыми ПБВ характеристиками, как показано в таблице 4. После смешивания с битумом, полимерные модификаторы, как предполагается, должны физически или химически взаимодействовать с битумом в должной степени, чтобы сформировать стабильную двухфазную структуру с двумя блокированными непрерывными фазами [91]. Как уже говорилось ранее, низкая степень взаимодействия между полимером и битума может привести к разделению на фазы; в то время как высокая степень может привести к образованию геля и высоким затратам. Взаимодействие между двумя полимерными молекулами, также не должно быть ни слишком низким, ни слишком высоким. Полимеры с двухфазной структурой диспергированный жесткой фазы в гибкой непрерывной фазе могут позволить лучшие свойства ПБВ. С использованием модификаций из этих идеальных полимеров свойства битума будут улучшены в значительной степени.

Таблица 4. Разработанные свойства полимерных модификаторов

Необходимые характеристики ПБВ

Разработанные свойства модификаторов

Быть жесткими при высоких температурах и мягкими при низких температурах Хорошая адгезия Стабильность при хранении Легкость переработки Рентабельность Экологическая чистота

Низкая температурная чувствительность Хорошее прилипание к материалам Хорошая совместимость с битумом Хорошая способность к утилизации Низкая цена Низкое воздействие на окружающую среду в процессе производства и применения



В действительности, однако, в настоящее время брошен вызов для достижения всех ожидаемых свойств одновременно. Чтобы быть практичным, всегда должны быть компромиссы, и поэтому важно принять решение о доминирующих характеристиках, наиболее необходимых, при разработке ПБВ. Компромиссы могут быть достигнуты двумя способами: значительное улучшение свойств с приемлемо высокой стоимостью или значительное снижение стоимости с относительно слабыми свойствами. Все ранее упомянутые усилия для удаления недостатков ПБВ, на самом деле, были сосредоточены на первом компромиссе.

Для улучшения свойств, функционализация и разработка новых дополнительных добавок является одним из возможных направлений. Хотя есть много факторов, ограничивающих применение таких функционализированных полимеров и реактивных полимеров в битумах, функционализация действительно перспективна для будущего развития. Настоящим стоит отметить, что повышение физического взаимодействия кажется легче достижимыми и управляемым, чем химического взаимодействия при функционализации и направлена ​​на улучшение совместимости полимербитумов и их адгезию. Это связано с тем, что ни битумы, ни агрегаты, не так реактивноспособны после искусственного воздействия очень высоких температур или природного воздействия окружающей среды. Таким образом, гораздо легче контролировать физическое взаимодействие. Конечно, если химические взаимодействия возможны и возможно, они могли бы быть более эффективными для повышения адгезии между ПБВ и агрегатами. Что касается разработки новых дополнительных добавок, более эффективных, улучшающих совместимость, антиокисление и адгезию, они могут быть полезны улучшению свойств ПБВ. Что касается веществ, способствующих совместимости полимеров и битумов следует отметить, что ни слишком малая ни слишком большая совместимость не хороши для модификации битума, потому что слишком малая совместимость вызывает разделение фаз, а слишком большая совместимость приводит только к очень ограниченным улучшениям [91,116]. При этом в случае улучшения свойства, безусловно, будет увеличена стоимость. Так, степень усиления свойств должна быть достаточно высокой чтобы покрыть дополнительные расходы при увеличении стоимости ПБВ.

Для снижения стоимости, некоторые дешевые полимерные материалы, особенно отходы и побочные продукты (например, отходы резины, пластмасс и полимерной биомассы побочных продуктов), имеют потенциал применения в будущем. Многократные исследования, посвященные этому домену [199-215] еще больше подчеркивает этот потенциал. Несмотря на хорошие условия и дружелюбность к окружающей среде, эти отходы или побочные продукты обычно делают некоторые свойства ПБВ относительно слабыми. Так их стоимость должна быть проанализирована и доказана их эффективность перед применением в производстве. Дополнительно, отходы как правило, имеют свои специфические режимы применений (например, конкретные климатические условия, конкретные уровни объемов перевозок) при которых они работают лучше, чем при других. Это более рентабельно использовать их под свой конкретный режим применения, который звучит довольно очевидным, но могут быть проигнорированы или забыты в этом процессе. Более того, комбинации двух компромиссов (то есть с использованием функциональными отходов или с использованием отходов с дополнительной добавки) также может привести к появлению новых продуктов. Некоторые исследования, собственно, начали принимать этот путь недавно и несколько статей были опубликованы, представлены в таблице 5. Хотя все из них заявляли некоторые улучшенные свойства, необходимо ознакомиться с этими попытками, так как они все изолированные исследовательские проекты и в дальнейшем исследования еще должны быть выполнены, чтобы выяснить, являются ли они возможным или нет вне основных условий применения.

Таблица 5. Испытания, проведенные для улучшения свойств ПБВ и полученные результаты [178-182]

Модификации

Выводы

Добавление отходов пластмасс и малеинового ангидрида Комбинация отходов полиэтилена с гидрофобными глинистыми минералами Добавление смолы дерева эвкоммии

Значительно улучшилась стабильность при хранении битумов Значительно улучшились высокотемпературные свойства, без ухудшения низкотемпературных Соответствующее количество добавленной смолы может улучшить как низко-, так и высокотемпературные свойства ПБВ


Помимо необходимости идти на компромисс между улучшением свойств и расходами на производство, а также может быть несколько дополнительных аспектов, которые должны быть учтены в будущих исследованиях ПБВ.

2.5.1 Повышение адгезии полимерных модификаторов

Традиционные агенты, уменьшающие отслаивание, такие как гашенная известь, цементы и амины [183-187], добавляют в битум с целью улучшения адгезии. Связующие вещества на основе серы также были использованы и чтобы помочь борьбе с отслаиванием [188-190]. Полимеры, однако, имеют преимущество использования желательные свойства различных функциональные группы в одной молекуле [191] и могут улучшать адгезию. Хотя некоторые из обычных полимерных модификаторов (например, СБС и ЭВА) также приводят к улучшению адгезии [15], ни один из них не был специально разработан для повышения адгезии и их возможности, чтобы помочь борьбе с отслаиванием весьма ограничены. Давно считалась, как перспективная, стратегия использовать специально разработанные полимеры для повышения адгезии между битумом и веществами [191]. Использование дополнительных полимерных усилителей адгезии и объединенная функция усиления адгезии с полимер-модификаторами - оба возможных направления дальнейшего развития, но последнее, безусловно, более эффективно. В самом деле, некоторые усилия были в этом направлении. Например, Кросли и соавт. [157,192] специально разработали и подготовили функциональный полиизопреновый модификатор амино или силановых групп на одном конце полимерной цепи, чтобы улучшить адгезию битума с агрегатами. Было обнаружено, что с высоким молекулярным весом силанфункциональный полиизопрен помог повышению как влагостойкости, так и низкотемпературным свойствам смеси.

2.5.2 Долгосрочная стабильность ПБВ

ПБВ, как ожидается, должны показывать хорошие результаты в течение длительного времени. Для оценки этого было выполнено много исследований [89,152,231-239] Другим направлением исследований было измерение актуальности применения разработанных модификаций путем укладки и мониторинга опытных участков [152]. В конце 1980-х были построены испытательные участки с ПБВ; и несколько исследований по фактической долгосрочной работе были проведены в последующие годы [231-239], хотя некоторые из них также обратили внимание на некоторые другие добавки. К сожалению, никакой последовательности не было найдено между этими исследованиями кроме одного: никакая закономерность не наблюдается на этих тестовых участках из-за короткого времени в процессе эксплуатации и некоторых неконтролируемых факторов. Другой основной зоной фокусировки было измерение прочности [233-235,240] путем лабораторных ускоренных испытаний. Однако связь между этими результатами лабораторных исследований и фактической областью применения до сих пор не до конца понятна. Это также может быть объяснено тем, что лабораторные методы исследований далеки от реальных условий эксплуатации [238,239].

2.5.3 Возможности переработки

Прошло почти 30 лет с тех пор как полимербитумы стали активно использоваться в дорожном строительстве. Многие из дорожных покрытий, уложенных в конце 1980-х годов выработали свой ресурс и требуют замены [241]. Это требует переработки покрытий из ПБВ после окончания срока их службы. Исследователи попытались исследовать возможность утилизациии ПБВ, особенно наиболее широко используемого СБС модифицированного битума [241-247]. Хотя некоторые из этих исследований пришли к выводу, что это технически возможно перерабатывать ПБВ, добавив омолаживатели или исходный битум [241-247], до сих пор нет широко признанной техники переработки, доступных сегодня. Кроме того, механизм старения ПБВ и омоложения еще не до конца понятен. Таким образом, в будущем, необходимы дополнительные исследования. Многие из нынешних проблем с утилизацией результат того, что проблемы утилизации не были учтены при разработке модификаторов. Если модификатор первоначально разработан с учетом пригодности к переработке, то популярность использования ПБВ сильно возрастет.

2.6 Выводы и рекомендации

В этом обзоре рассматриваются достигнутые успехи и проблемы в области битумной полимерной модификации в течение последних 40 лет. В основном обсуждались технические разработки, включающие применение некоторых популярных пластомеров (ПЭ, ПП, ЭВА и ЭБA) и термопластичных эластомеров (СБС, СИС и СЭБС), насыщенности, вулканизации серой, добавление антиоксидантов, использование гидрофобных глинистых минералов и функционализации (включая применение реактивных полимеров). На основании этого обзора, необходимое направление будущей разработки полимеров для модификации битумов были проанализированы и получены следующие выводы и рекомендации:

) Полимерные модификации битумов являются эффективным способом улучшения свойств битумов, что было доказано многими исследователями и широко показано на практике. Тем не менее, в настоящее время популярные полимерные модификаторы имеют различные недостатки, ограничивающие их применение. Некоторые важные проблемы, связанные с полимербитумами все еще недостаточно хорошо ясны. Дополнительные усилия должны быть сделаны для содействия дальнейшему развитию этого направления.

) Исследователи попробовали различные решения, чтобы устранить недостатки в настоящее время используемых полимерных модификаторов, среди которых насыщенность, функционализации (включая приложение реактивных полимеров) и используя дополнительные присадок (сера, антиоксиданты и гидрофобные глинистые минералы). Эти решения позволяют преодолеть некоторые недостатки ПБВ, но большинство вызывают некоторые новые проблемы. Так больше исследований должно осуществляться в будущем, чтобы решить эти проблемы и найти новые способы эффективного и недорогого изменения битума.

) Так как в настоящее необходимо устранить все недостатки ПБВ: то, что значительно усиливает свойства - приводит к очень высокой стоимости, что значительно снижает стоимость с приводит к относительно плохим свойствам или их комбинации. Функционализация рассматривается как перспективный путь к улучшению свойств используемых в настоящее время полимеров и развитию полимерных модификаторов нового типа с гораздо большим успехом в будущем.

) Рекомендуется, что будущие исследования ПБВ должны уделять больше внимания на следующее:

А) Улучшение адгезии к материалам;

Б) Свойства при долгосрочной эксплуатации;

В) Пригодность к переработке ПБВ.

ГЛАВА 3. ОБЪЕКТЫ И МЕТОДЫ ИССЛЕДОВАНИЯ

. Объекты исследования

В диссертационной работе улучшение физико-механических характеристик нефтяных битумов дорожного назначения достигается созданием модификаторов комплексного действия и получения полимер-битумных вяжущих на их основе. Объектом для исследований послужили битум нефтяной дорожный вязкий марки БНД 60/90, получаемый на НПЗ ОАО «Таиф-НК», и полимер-битумные вяжущие на его основе.

Таблица 6 Физико-механические свойства битума нефтяного дорожного вязкого марки БНД 60/90

Показатели

ГОСТ 22245-90 БНД 60/90

БНД 60/90 ОАО «ТАИФ-НК»

Температура размягчения по КИШ, °С, не ниже

47

49-50

Пенетрация при 25 °С, мм-1

61-90

75-80

Пенетрация при 0°С, мм-1, не менее

20

22-24

Растяжимость при 25 °С, см, не менее

55

90-100

Растяжимость при 0°С, см, не менее

3,5

4-5

Температура хрупкости, °С, не выше

-15

-20…-24

Температура вспышки, °С, не ниже

230

>250

Изменение температуры размягчения после прогрева, °С, не более

5

Индекс пенетрации

От -1,0 до +1,0

От -0,5 до +0,5


В качестве модификаторов были использованы концентраты полимеров различного состава. Компонентами модификаторов являются каучуки такие, как СКД-L, СКИ-3, ДССК, и пластификаторы.

В качестве пластификаторов были использованы полиалкилбензол, индустриальное масло И-20А, нецелевые фракции α-олефинов.

Полиалкилбензол выделяется из реакционной смеси процесса фтористоводородного алкилирования бензола моноолефинами нормального строения С1014 и представляет собой в основном различные диалкилбензолы с примесью моноалкилбензолов и дифенилалканов. Полиалкилбензол марки ПАБ-С применяется в качестве сырья для производства водо- и маслорастворимых поверхностно-активных веществ, алкилбензолов и других продуктов. Полиалкилбензол марки ПАБ-Т применяется в качестве теплоносителя, работающего при температуре эксплуатации до 250 °С.

Таблица 7 - Физико-химические характеристики полиалкилбензола (ТУ 2414-040-04689375-95)

НАИМЕНОВАНИЕ ПОКАЗАТЕЛЯ

НОРМА


Марка ПАБ-С

Марка ПАБ-Т

Внешний вид

Прозрачная жидкость коричневого цвета, не содержащая взвешенных и осевших посторонних примесей, в том числе воды

Плотность при 20 °С, г/см

Не нормируется. Определение обязательно

Бромное число,/100 г продукта, не более

3,5

3,5

Фракционный состав, °С


Температура начала кипения, не ниже

290

290

Температура конца кипения, не выше

500

500

Вязкость кинематическая при 100 °С, мм/с, не менее

-

3,5

Температура застывания, °С, не выше

-

минус 30

Температура вспышки в закрытом тигле, °С, не ниже

-

175

Температура самовоспламенения, °С, не ниже

-

346

Кислотное число, мг КОН/100 г продукта, не более

-

0,03

Массовая доля воды, % не более

-

Следы

Массовая доля механических примесей

-

Отсутствие



Масло И-20А входит в группу масел без присадок. Это дистиллятное масло или смесь остаточного и дистиллятного нефтяных масел, полученных из сернистых и малосернистых нефтей селективной очистки.

Индустриальное масло И-20 А служит для смазывания наиболее распространенных узлов и механизмов оборудования в различных отраслях промышленности, условия работы которых не предъявляют особых требований к антиокислительным и антикоррозионным свойствам масел, а так же в качестве рабочих жидкостей в гидравлических системах станочного оборудования, автоматических линий, прессов для смазывания легко- и средненагруженных зубчатых передач, направляющих качения и скольжения станков, где не требуются специальные масла, и других механизмов.

Так же индустриальные масла используются в качестве пластификаторов в битумно-полимерной композиции.

Таблица 8 - Физико-химические характеристики масла И-20А. (ТУ 0253-043-48120848-2005)

Наименование показателей масла И-20А

Норма по ГОСТ(ТУ)

Кинематическая вязкость при 40°С, мм2/с

29-35

Температура вспышки в открытом тигле, °С, не ниже

200

Температура застывания, °С, не выше

-15

Кислотное число, мг КОН на 1 г масла, не более

0,03

Плотность, кг/м3, не более

890

Содержание механических примесей

Отсутствие

Содержание растворителей в маслах селективной очистки

Отсутствие

Массовая доля серы, %

1,0

Зольность, %, не более

0,005

Цвет на колориметре ЦНТ, единицы ЦНТ, не более

2,0

Содержания воды

Следы

Стабильность против окисления:

Приращение кислотного числа окисленного масла мг КОН на 1 г масла, не более

0,30

приращение смол, % не более

2,0



Каучук бутадиен-стирольный ДССК - продукт блочной полимеризации бутадиена со стиролом в растворе в присутствии литийорганических катализаторов.

ДССК имеет заданную макро- и микроструктуру и содержат сегменты с различной температурой стеклования, что обеспечивает необычный для каучуков общего назначения баланс эксплуатационных свойств. Бутадиен-стирольные статистические каучуки типа ДССК-25 относятся к каучукам общего назначения. По сравнению с эмульсионными аналогами они дают в протекторах повышенное сопротивление растрескиванию, лучшее сцепление с мокрой дорогой, пониженное теплообразование и повышенную эластичность. Хорошая текучесть и шприцуемость позволяет использовать эти каучуки для производства обуви, шприцованных изделий и покрытий для полов.

Рис. 16 Общая формула бутадиен-стирольного каучука

Таблица 10 - Физико-химические характеристики каучука бутадиен-стирольного ДССК (ТУ 2294-153-05766801-2013)

Наименование показателя

Норма


I

II

1. Вязкость по Муни МБ 1+4 (100 оС), в пределах

30-70

2. Разброс по вязкости внутри партии, ед., не более

6

3. Массовая доля золы, %, не более

0,10

4. Потеря массы при сушке, в том числе влаги, %, не более

0,60

5. Массовая доля геля (5,43 % по массе раствора каучука в толуоле), %, не более

0,020

6. Вязкость (5,43 % по массе раствора каучука в толуоле), мПа∙с, в пределах

15 - 30

30 - 45

7. Цвет по платиново-кобальтовой шкале (5,43 % по массе раствора каучука в толуоле), не более

10

8. Массовая доля 1,2-звеньев,%, в пределах

10-16

9. Массовая доля стирола, %, в пределах

15 - 25

5 - 15

10.Массовая доля антиоксиданта Ирганокса 1520 L (или его аналогов), %, не менее

0,10


Каучук бутадиеновый СКД-L является продуктом полимеризации бутадиена в растворе в присутствии литийорганического катализатора. Область применения: для использования в синтезе ударопрочного полистирола.

Рис. 17 Общая формула бутадиенового каучука СКД-L

Таблица 11 - Физико-химические характеристики бутадиенового каучука СКД-L (ТУ 2294-140-05766801-2007)

Наименование показателя

Норма по группам


1

2

3

4

1. Вязкость по Муни, МБ 1+4 (100 °С), ед. Муни, в пределах

46-60

2. Разброс вязкости внутри партии, ед. Муни, не более

6

3. Массовая доля золы, %, не более

0,10

4. Потеря массы при сушке, в том числе влаги, %, не более

0,6

5. Массовая доля геля (5,43 % по массе раствора каучука в толуоле), %, не более

0,02

6. Вязкость (5,43 % по массе раствора каучука в толуоле), МПа×с, в пределах

50-100

100-150

150-200

200-250

7. Цвет по платиново-кобальтовой шкале (5,43 % по массе раствора каучука в толуоле), не более

10

8. Массовая доля 1,2-звеньев, %, в пределах

11 - 16

9. Массовая доля антиоксиданта Ирганокса 1520 L (или его аналогов), %, не менее

0,10



Изопреновый каучук СКИ-3 - синтетический каучук с содержанием цис-1,4 звеньев не менее 96%. Может быть использован самостоятельно или в сочетании с другими каучуками для изготовления автомобильных шин, всевозможных резино-технических изделий, в том числе для пищевой и медицинской промышленности, резиновой обуви, спортивного инвентаря, клеевых составов, водоотталкивающих композиций.

Таблица 12 - Физико-химические характеристики изопренового каучука СКИ-3 (ГОСТ 14925-79)

Показатель

Значение


Группа I

Группа II

Вязкость по Муни МБ1+4 (100° С)

75 - 85

65 - 74

Разброс по вязкости внутри партии

8

8

Пластичность

0,30 - 0,35

0,36 - 0,41

Разброс по пластичности внутри партии, не более

0,05

0,05

Эластическое восстановление после определения пластичности, мм, не более

1,8

1,7

Условная прочность при растяжении, МПа (кгс/см2), не менее: при 23°С при 100°С

 30,4 (310) 21,6 (220)

 30,4 (310) 21,6 (220)

Относительное удлинение при разрыве, %, не менее

800

800

Массовая доля золы, %, не более

0,5

0,5

Массовая доля металлов, %, не более: медь железо титан

 0,0001 0,004 0,06

 0,0001 0,004 0,06

Потеря массы при сушке, %, не более

0,6

0,6

Массовая доля стеариновой кислоты, %

0,6 - 1,4

0,6 - 1,4

Массовая доля антиоксиданта, %, не менее Дусантокса Л, не менее или Флекзона 11 Л, не менее

 0,2 0,2

 0,2 0,2



3.2 Оборудование для исследования

Дуктилометр ДА-01-150

Назначение дуктилометра ДА-01-150

Дуктилометр ДА-01-150 (рисунок 3) предназначен для определения максимальной длины, на которую может растянуться без разрыва битум залитый в специальную форму, раздвигаемую с постоянной скоростью при заданной температуре. Определение растяжимости битумов производится по ГОСТ 11505. Область применения дуктилометра ДА-01-150 -лаборатории предприятий и научно-исследовательских институтов, разрабатывающих, выпускающих или исследующих нефтяные битумы. Основу дуктилометра составляет ванна, внутри которой находится подвижная каретка со штифтами. Перемешивание воды в ванне при термостатировании проб битума производится при помощи помпы. Дуктилометр позволяет испытывать одновременно три растягиваемые пробы.

Рис. 18 Дуктилометр ДА-01-150

Технические характеристики

)        Дуктилометр предназначен для определения растяжимости битумов по ГОСТ 11505.

)        Конструкция и основные размеры технологического блока и комплекта принадлежностей соответствуют ГОСТ 11505.

)        Количество одновременно растягиваемых п р о б -3.

)        Скорость растяжения проб битума (5,0±0,25)см/мин.

)        Цена деления наименьшего разряда индикации длины растяжения пробы битума -0,1см.

)        Температура воды в зоне испытаний (25,0±0,5)°С.

)        Максимальная длина растяжения образцов битума 150см.

)        Погрешность измерения длины перемещения каретки не более:

±0,2см в диапазоне от 0 до 30см;

±0,3см в диапазоне от 30 до 100см;

±0,4см в диапазоне от 100 до 150см;

)        Скорость нагрева воды в ванне не менее 3°С/ч; скорость охлаждения неменее - 1,5°С/ч.

)        Габаритные размеры дуктилометра, мм

ширина-1970, глубина -320, высота-220.

)        Масса аппарата не более 60кг.

)        Параметры питания

напряжение питания (220+22/-33)В;

частота (50±1)Гц;

потребляемая мощность не более 1000 В А.

)        Параметры хладагента (воды)

расход хладагента в процессе работы не менее 2л/мин;

температура хладагента должна быть не выше 35°С.

Аппарат кольцо и шар АКШ-04

Назначение АКШ-04

Аппарат кольцо и шар АКШ-04 (рисунок 4) предназначен для нагревания нефтяных битумов в диапазоне от 5 до 200°C и регистрации температуры, при которой битум, находящийся в кольце определенных размеров, под действием веса стального шарика переместится на заданное расстояние. Размеры рабочих частей аппарата и комплектующие соответствуют требованиям ГОСТ 11506, ASTM D36. Аппарат осуществляет температурную стабилизацию проб с шариками. Аппарат снабжен встроенным нагревателем, механической мешалкой и датчиком температуры Pt 1000 и обеспечивает нагрев проб со скоростью (5±0,5) °С. Два механических детектора обеспечивают точное определение температуры размягчения двух проб без вмешательства лаборанта. Область применения дуктилометраАКШ-04 - лаборатории предприятий и научно-исследовательских институтов, разрабатывающих, выпускающих или исследующих нефтяные битумы. Аппарат состоит из технологического блока и блока управления, показанных на рисунке 4.

Рис. 19 Аппарат кольцо и шар АКШ-04

Основные технические характеристики прибора:

         Максимальное количество одновременно испытуемых проб  4

         Диапазон измерения температуры нагрева проб, °Сот 5 до 200

         Цена наименьшего разряда цифрового табло, °С 0,1

         Погрешность измерителя температуры не более, °С ±1,0

         Скорость нагрева проб, °С/мин 5,0±0,5

         Расстояние перемещения столбика размягченного битума при срабатывании аппарата, мм25+0,4

         Диапазон установки температуры стабилизации, °С* от плюс 30 до плюс 180

         Погрешность регулирования температуры стабилизации, °С ±0,5

         Диапазон установки времени стабилизации, минот 1 до 30

         Максимальная продолжительность одного испытания не более, мин 30

Пенетрометр цифровой полуавтоматический для битумов ПНБ-03

Назначение ПНБ-03

Пенетрометр цифровой полуавтоматический для битумов ПНБ-03 (рис.20) предназначен для определения пенетрации нефтяных битумов путем автоматического измерения глубины погружения в испытуемый образец стандартной по массе, форме и размерам иглы (ГОСТ 11501) при заданной температуре в течение заданного времени. Аппарат автоматически фиксирует результат анализа в единицах пенетрации, соответствующих целым числам десятых долей миллиметра. После завершения анализа аппарат выдает звуковой сигнал. Результат анализа и время пенетрации высвечиваются на дисплее электронного блока и сохраняются в памяти аппарата. Область применения дуктилометра АКШ-04 - лаборатории предприятий и научно-исследовательских институтов, разрабатывающих, выпускающих или исследующих нефтяные битумы.

Рис.20 Пенетрометр для битумов ПНБ-03

Основные технические характеристики прибора:

         Диапазон измерения - 630 единиц пенетрации

         Разрешающая способность - 1 единица пенетрации = 0,1 мм

         Абсолютная погрешность измерения - не более 1 единицы пенетрации

         Время пенетрации - (5 ± 0,1) с или (60 ± 0,15) с

         Погружение иглы в пробу битума осуществляется под действием суммарной массы движущихся частей, в том числе:

§  плунжера - (47,50±0,05)г;

§  иглы с держателем - (2,50±0,05)г;

§  груза - (50,00±0,05)г или (150,0±0,05)г.

         Геометрические размеры иглы, чашек и допуски на них соответствуют ГОСТ 1440.

         Параметры питания - 220 В, 50 Гц

         Потребляемая мощность - не более 50 В

3.3 Методики исследования

Методика получения полимер-битумного вяжущего

Битумно-полимерную композицию получали путем нагревания битумной массы в металлическом стакане. Для этого в стакан объемом 400мл был отобран окисленный битум, предоставленный НПЗ ОАО «Таиф-НК», затем стакан ставится на нагревательную плитку и ведется нагрев. Температура смеси доводится до 160 ̊С при непрерывном перемешивании с помощью лабораторной мешалки, скорость перемешивания составляла 600-700 об/мин. При достижении битумной массой заданной температуры, в нее вводили полимер. Продолжая перемешивать, поддерживали установленную температуру, в течении трех часов.

По достижению установленных трех часов нагревание прекращалось, металлический стакан с битумно-полимерной массой направлялся на подготовку образцов для испытания.

По мере необходимости перед формированием образцов испытуемый битум предварительно прогревали при 160 ̊С до подвижного состояния.

Методика определения растяжения нефтяного битума

Подготовка и испытание образцов проводится на дуктилометре ДА-01-150в соответствии с требованиями ГОСТ 11505.

Подготовка проб: перед испытанием битум при наличии влаги обезвоживают осторожным нагреванием без перегрева до температуры на 80 ̊С - 100̊С выше температуры размягчения, но не выше 160 ̊С при перемешивании стеклянной палочкой. Обезвоженный и расплавленный битум процеживают через металлическое сито и тщательно перемешивают до полного удаления пузырьков воздуха.

Полированную металлическую или стеклянную пластинку и внутренние боковые стенки вкладышей «восьмерки» покрывают смесью талька с глицерином (1:3). Затем собирают форму на пластике [1].

Битум расплавить и налить в каждую из трех форм тонкой струей от одного конца формы до другого, немного выше краев. Залитый в форму битум охладить, а затем гладко срезать излишек горячим острым ножом.

Формы с битумом, не снимая с их пластинок, поместить в отдельную ванну по ГОСТ 11505, предварительно установив в ней требуемую температуру, или в ванну дуктилометра. По истечению часа термостатирования битум помещают в дуктилометр на исследование.

Методика определения эластичности битума

Сущность метода заключается в определении доли пластической (полностью обратимой) деформации предельной деформации образца.

Эластичность ПБВ определяют непосредственно после испытания образцов на растяжимость. Формы с разорвавшимися образцами снимают со штифтов дуктилометра и помещают в отдельную емкость, температура воды которой равна 35̊С, с целью ускорения сокращения образцов при определении пластичности ПБВ при 25 ̊C. Затем проводят измерения (с точностью до 0,1 см) обеих частей образца от свободного конца образца до зажима формы и момента изменения длины не более чем на 0,1 см за 15 минут. При определении эластичности ПБВ при 0̊С измерения проводят при(0 ± 0,5} ̊С.[2]

Показатель пластичности Э вычисляют по формуле


где Д - растяжимость, см;

l- длина образца до его растяжения, равная 3 см:- сумма длин двух частей образна после их восстановления

Метод определения температуры размягчения по кольцу и шару

Подготовка и испытание образцов проводится на аппарате кольцо и шар АКШ-04 в соответствии с требованиями ГОСТ 11506-73.

Перед испытанием образец битума при наличии влаги обезвоживают осторожным нагреванием без перегрева до температуры на 80 - 100 0С выше ожидаемой температуры размягчения, но не ниже 120 0С и не выше 180 0С. Обезвоженный и расплавленный до подвижного состояния битум процеживают через сито и затем тщательно перемешивают до полного удаления пузырьков воздуха.

Битум наливают с некоторым избытком в два гладких (для битумов с температурой размягчения свыше 80̊С используют два ступенчатых кольца, которые первоначально подогревают с помощью горелки или электрической плитки до предполагаемой температуры размягчения битума), помещенные на пластинку, покрытую смесью талька с глицерином (1:3), при этом следует избегать образования пузырьков воздуха.

После охлаждения колец с битумом на воздухе в течение 30 мин при (25 ±10) ̊С избыток битума гладко срезают нагретым ножом вровень с краями колец.[3]

В зависимости от предполагаемой температуры размягчения битума залить в стакан соответствующую рабочую жидкость (воду, смесь воды с глицерином или глицерин).

Методика определения глубины проникания иглы

Подготовка и испытание образцов проводится на пенетрометре ПНБ-03 в соответствии с требованиями ГОСТ 11501-78.

Подготовка образца:

Испытуемый образец битума нагревают до подвижного состояния, при наличии влаги его обезвоживают путем нагрева до температуры на 90̊С выше температуры размягчения, но не выше 160 ̊С при осторожном перемешивании, избегая местных перегревов. Время нагревания битума при указанных условиях не должно превышать 30 минут. Обезвоженный и расплавленный до подвижного состояния битум процеживают через металлическое сито и наливают в две пенетрационные чашки так, чтобы поверхность битума была не более чем на 5 мм ниже верхнего края чашки, и тщательно перемешивают до полного удаления пузырьков воздуха. Чашку с битумом охлаждают на воздухе при 10-30̊С, предохраняя образец от пыли. Продолжительность охлаждения 60 -90 минут при испытании битума с глубиной проникания иглы до 250.Затем чашки с битумом помещают в баню для термостатирования при заданной температуре испытания (25̊С и 0 ̊С). Время выдерживания чашек в бане высотой 35 мм 60-90 минут, а чашек высотой 60 мм 90-120 мин.[4]

Методы определения сцепления битума с щебнем

Подготовка и испытание образцов проводится в соответствии с требованиями ГОСТ 11508-74.

Подготовка к испытанию:

Испытания проводились на щебне Первоуральского месторождения, который носит основный характер (диарит) и Шкурлатовского месторождения, который носит кислый характер (гранит).

Щебень измельчают, отсеивают через металлические сита фракцию размером от 2 до 5 мм. Кусочки с полированной поверхностью отбрасывают. Образцы щебня промывают дистиллированной водой и сушат при 105-110 °С в течение 5 часов. Перед испытанием образец битума обезвоживают осторожным нагреванием до 105°С при перемешивании стеклянной палочкой. Битум, обезвоженный и расплавленный до подвижного состояния, процеживают через сито с сеткой № 07.

Для приготовления битумоминеральной смеси в две фарфоровые чашки взвешивают по 30 г щебня, с погрешностью не более 0,1 г, и по1,20 г испытуемого битума с погрешностью не более 0,01 г. Чашки выдерживают в течение 20 мин в термостате при 130-140 °С. Чашки вынимают из термостата и перемешивают мрамор или песок с битумом металлической ложкой до покрытия всей поверхности минерального материала. Затем смесь выдерживают при комнатной температуре в течение 20 минут.

На металлическую сетку № 025 или 05 с проволочными дужками выкладывают из одной чашки примерно половину подготовленной битумоминеральной смеси, распределяют ее равномерным слоем и опускают сетку в стакан с кипящей дистиллированной водой (высота слоя воды под сеткой и над смесью должна быть по 40-50 мм). Аналогичную операцию производят с битумоминеральной смесью из второй чашки.

Сетки с испытуемыми образцами выдерживают в кипящей воде в течение 30 мин. Кипение воды не должно быть бурным. Битум, отделившийся от смеси и всплывший на поверхность воды в процессе кипячения, снимают фильтровальной бумагой.

Сетки с испытуемым битумом сразу по окончании кипячения переносят в стаканы с холодной водой, где выдерживают в течение 3-5 мин, после этого смеси переносят на фильтровальную бумагу.

Для оценки сцепления битума с поверхностью минерального материала битумоминеральную смесь сравнивают с фотографиями контрольных образцов, представленных в ГОСТ 11508-74 [252].

БИБЛИОГРАФИЧЕСКИЙ СПИСОК

1.      Гунн, Р.Б. Нефтяные битумы / Р.Б. Гунн - М.: Химия, 1973.- 432с.;

.        Поконова, Ю.В. Нефтяные битумы / Ю.В. Поконова. - СПб.: Санкт- Петербургская издательская компания «Синтез», 2005,- 154с.

.        Губницкий, В.М Природные битумы: состояние ресурсов,

особенности освоения и возможности использования / В.М. Губницкий //Геология нефти и газа. - 1997. -.4» 2. - С 16-19.

.        Белонин, М.Д. Повышение эффективности комплексного освоения месторождений тяжелых металлоносных нефтей и битумов / М.Д.Белонин, И.С.Гольдберг, В.В.Грибков, Н.И. Искрицкая // Геология

нефти и газа. - 1990. - 9. - С.2.-4.

.        Колбановская. А.С. Дорожные битумы / А.С. Колбановская, В.В Михайлов,-М.: Транспорт, 1973.-255с.

.        Никишина. М.Ф Производство битумов / М.Ф. Никишина,

В.А. Захаров // Труды СоюздорНИИ. - 1980. - Вып. 46,- С.187-194.

.        Розенталь, Д.А. Получение битумов различных марок компаундированием гудрона с природным асфальтитом / Д.А. Розенталь //Нефтехимия. - 2007.-№ 4. - С.6-7.

.        Сюняев, З.И Нефтяные дисперсные системы / З.И. Сюняев, Р.З. Сюняев, Р.З. Сафиева. - М.: Химия, 1990. - 226 с.

.        Opганические вяжущие и материалы на их основе: метод, указ. к практическим занятиям и лабораторным работам / сост.: О.А. Корчагина, О А. Киселева, Тамб. гос. техн. ун-т. - Тамбов, 2004 - 36 с.

.        Розентать, Д.А. Битумы. Получение и способы модификации /Д.А. Розенталь, А.В. Березников, И.Н. Кудрявцева. - Л.: ЛТИ,1979. -80с.

.        Состав, структура и свойства битумов [Электронный ресурс]. Режим доступа: http:// www.vost.ru / docs / article / sostavstruktura-i-svojstva-bitumov, свободный.

.        Сюняев, P 3. Интенсификация некоторых процессов переработкинефтяного сырья на базе принципов физико-химической механики / Р.З. Сюняев, А.А. Гуреев. - М.: ЦНИИТЭННефтехим, - 1989,- 66 с.

.        Битумы, полимерно-битумные вяжущие, асфальтобетон, полимерасфальтобетон: метод, пособие для слушателей ГОУ ДПО ГАСИС / сост.: Л.М. Гохман. - Москва: Изд-во ГОУ ДПО ГАСИС, 2008,-94 с.

.        Унгер, Ф.Г Фундаментальные аспекты химии нефти. Природа смол и асфальтенов / Ф.Г. Унгер. Л.Н Андреева - Новосибирск: Наука, 1995. - 192 с.

.        Хойдберг, А.Д. Битумные материалы. Асфальтены, смолы, пеки / А.Д. Хойдберг. - М.: Химия, 1974. - 247с.

.        Посадков, И.А. Коллоидная структура битумов / И А. Посадков // Нефтехимия.-1985.-№ 3.-С.41-46.

.        Камьянов, В.Ф. Исследования в области химии высокомолекулярных соединений нефти / Б.Ф. Камьянов // Проблемы и достижения в исследовании нефти. - Томск. - 1990. - С. 65-99

.        Сафиева, Р.З. Физикохимия нефти / Р.З. Сафиева. - М.: Химия, 1998. - 448с.

.        Битумы нефтяные, состав, структура и свойства [Электронный ресурс]. - Режим доступа: httр: / /www.materialsworld.ru/ 8 /bitum.php, свободный.

.        Химический состав нефтей и нефтепродуктов: тез. докл. всес. конф. Тбилиси, октябрь 1984 г,-М.: Наука, 1984.-47 с

.        Батуева, И.Ю. Химия нефти / И.Ю Батуева, А.А Гайле, Ю.В. Поконова. - Л.: Химия, 1984. - 360 с.

.        Абдуллин, И.А., Композиционные материалы с полимерной матрицей Учебное пособие / И.А. Абдуллин и др - Казань: Изд-во КГТУ. - 2006. - 144 с.

.        Богомолов, А И. Химия нефти и газа / А.И Богомолов, А.А. Гайле, В.В. Громова - СПб: Химия, 1995. - 445с.

.        Богомолов, А.И. Современные методы исследования нефтей А.И. Богомолов, М.Б. Темянко, Л.И. Хотынцевой. - Л.: Недра, 1984,-431с.

.        Большаков, Г.Ф. Разделение и анализ нефтяных систем / Г.Ф. Большаков,- Новосибирск: Наука, 1989. - 175 с.

.        Фукс, Г.И. Коллоидная химия нефти и нефтепродуктов / Г.И. Фукс. - М.: Знание, 1984. - 61 с.

.        Камьянов. В.Ф Гетероатомные компоненты нефтей / В.Ф. Камьянов, B.C. Аксенов, В.И. Титов.-Новосибирск:Наука, 1983.-237 с.

.        Поконова Ю.В. Химия высокомолекулярных соединений нефти / Ю.В. Поконова. - Л.: Изд-во ЛГУ, 1980. - 179 с.

.        Петров, А.А. Углеводороды нефти / А.А. Петров. - М.:Наука, 1984,- 264 с.

.        Сюняев, З.И. Прикладная физико-химическая механика нефтяных дисперсных систем / 3 И. Сюняев. М: МИНХ и ГП им. И.М. Губкина, 1982. - 99 с.

.        Сюняев, Р.З Коллоидные структуры асфальтенов / Р.З. Сюняев, Р.З Сюняева - М.: Нефть и газ, 1994. - 49 с.

.        Гуреев, А, А. Технология органических вяжущих материалов/ А.А. Гуреев, Л.М. Гохман, Л.П. Гилязетдинов.-М.: МИНХ и ГП, 1986.-112 с.

.        Сюняев, З.И. Физико-химическая механика нефтяных дисперсных систем / З.И. Сюняев.-М.. Химия, 1981.-89 с.

.        Бибик, Е.Е Реология дисперсных систем / Е.Е. Бибик - Л: Изд-во ЛГУ, 1981,- 170 с.

.        Руденская, И.М. Реологические свойства бигумов / И.М Руденская, А.В Руденский.-М.: Высшая школа, 1967 - 188 с.

.        Печеный, Б Г. Физико-химические основы регулирована структурных и фазовых превращений в процессах производства применения битумов. Автореф. дис. д-ра техн. наук. М., МИНХ и ГП им. И.М. Губкина, 1985. - 48 с.

.        Ребиндер, П.А Высокомолекулярные дисперсные системы / П. А. Ребиндер, И.Н. Влодавец // Поверхностные явления в дисперсных системах Коллоидная химия. - М.: Наука, 1978. - С. 61-73.

.        Ребиндер, П.А Поверхностные явления в дисперсных системах/ П.А. Ребиндер. - М.: Наука, 1978.-С. 294-298.

39.    Morgan P, Mulder A. The Shell bitumen industrial handbook. Surrey: Shell Bitumen; 1995.

.        Polacco G, Stastna J, Biondi D, Zanzotto L. Relation between polymer architecture and nonlinear viscoelastic behavior of modified asphalts. Curr Opin Colloid Interface Sci 2006;11(4):230-45.

.        Asphalt Institute; Eurobitume. The bitumen industry - a global perspective, 2nd ed. Lexington, Kentucky: Asphalt Institute; Brussels, Belgium: Eurobitume; 2011.

.        Becker Y, Mendez MP, Rodriguez Y. Polymer modified asphalt. Vision Technol 2001;9(1):39-50.

.        Lu X. On polymer modified road bitumens [doctoral dissertation]. Stockholm: KTH Royal Institute of Technology; 1997.

.        Polacco G, Berlincioni S, Biondi D, Stastna J, Zanzotto L. Asphalt modification with different polyethylene-based polymers. EurPolym J 2005;41(12):2831-44.

.        Giavarini C, De Filippis P, Santarelli ML, Scarsella M. Production of stable polypropylene-modified bitumens. Fuel 1996;75(6):681-6.

.        Panda M, Mazumdar M. Engineering properties of EVA-modified bitumen binder for paving mixes. J Mater Civ Eng 1999;11(2):131-7.

.        Sengoz B, Topal A, Isikyakar G. Morphology and image analysis of polymer modified bitumens. Constr Build Mater 2009;23(5):1986-92.

.        Becker Y, Muller AJ, Rodriguez Y. Use of rheological compatibility criteria to study SBS modified asphalts. J Appl Polym Sci 2003;90(7):1772-82.

.        Chen JS, Liao MC, Tsai HH. Evaluation and optimization of the engineering properties of polymer-modified asphalt. Pract Fail Anal 2002;2(3):75-83.

.        Polacco G, Muscente A, Biondi D, Santini S. Effect of composition on the properties of SEBS modified asphalts. Eur Polym J 2006;42(5):1113-21.

.        Tayfur S, Ozen H, Aksoy A. Investigation of rutting performance of asphalt mixtures containing polymer modifiers. Constr Build Mater 2007;21(2):328-37.

.        Isacsson U, Zeng H. Low-temperature cracking of polymer-modified asphalt. Mater Struct 1998;31(1):58-63.

.        Gorkem C, Sengoz B. Predicting stripping and moisture induced damage of asphalt concrete prepared with polymer modified bitumen and hydrated lime. Constr Build Mater 2009;23(6):2227-36.

.        Alatas_ T, Yilmaz M. Effects of different polymers on mechanical properties of bituminous binders and hot mixtures. Constr Build Mater 2013;42:161-7.

.        Ponniah J, Kennepohl G. Polymer-modified asphalt pavements in Ontario: performance and cost-effectiveness. Trans Res Rec: J Trans Res Board 1996;1545:151-60.

.        von Quintus HL, Mallela J, Buncher M. Quantification of effect of polymer-modified asphalt on flexible pavement performance. Trans Res Rec: J Trans Res Board 2007;2001:141-54.

.        Larsen DO, Alessandrini JL, Bosch A, Cortizo MS. Micro-structural and rheological characteristics of SBS-asphalt blends during their manufacturing. Constr Build Mater 2009;23(8):2769-74.

.        Sengoz B, Isikyakar G. Analysis of styrene-butadiene-styrene polymer modified bitumen using fluorescent microscopy and conventional test methods. J Hazard Mater 2008;150(2):424-32.

.        Brule B, Brion Y, Tanguy A. Paving asphalt polymer blends: relationship between composition, structure and properties. In: Asphalt paving technology 1988: Journal of the Association of Asphalt Paving Technologists; 1988 February 29-March 2; Williamsburg, Virginia. St. Paul, Minnesota: Association of Asphalt Paving Technologists; 1988. p. 41-64.

.        Ouyang C, Wang S, Zhang Y, Zhang Y. Improving the aging resistance of styrene-butadiene-styrene tri-block copolymer modified asphalt by addition of antioxidants. Polym Degrad Stab 2006;91(4):795-804.

.        Wang T, Yi T, Yuzhen Z. The compatibility of SBS-modified asphalt. Pet Sci Technol 2010;28(7):764-72.

.        Chang HL, Wong GK, Lin JR, Yen TF. Electron spin resonance study of bituminous substances and asphaltenes. In: Yen TF, ChilingarianGV, editors. Asphaltenes and asphalts, 2. Developments in petroleum science 40B. Amsterdam: Elsevier; 2000. p. 229-80.

.        European Asphalt Pavement Association. Asphalt in figures 2012 [Internet]. Brussels, Belgium: European Asphalt Pavement Association; 2013 Eurobitume. Life cycle inventory: bitumen, 2nd ed. Brussels, Belgium: Eurobitume; 2012.

.        Lewandowski LH. Polymer modification of paving asphalt binders. Rubber Chem Technol 1994;67(3):447-80.

.        Yildirim Y. Polymer modified asphalt binders. Constr Build Mater 2007;21(1):66-72.

.        Utracki LA. History of commercial polymer alloys and blends (from a perspective of the patent literature). Polym Eng Sci 1995;35(1):2-17.

.        Legge NR. Thermoplastic elastomers. Rubber Chem Technol 1987;60(3):83-117.

.        Johnson R. History and development of modified bitumen. In: Proceedings of the 8th conference on roofing technology; 1987 April 16-17; Gaithersburg, Maryland. Rosemont, Illinois: National Roofing Contractors Association; 1987. p. 81-4.

.        Anderson AP, Nelson WK, inventor. Shell Development Company, assignee. Bituminous composition. United States patent US 2197461. 1940 April 16.

.        World Road Association (PIARC), Technical Committee Flexible Roads (C8). Use of Modified Bituminous Binders, Special Bitumens and Binders with Additives in Road Pavements. Paris, France: World Road Association (PIARC); 1999.

.        Rostler FS, White RM, Cass PJ. Modification of asphalt cements for improvement of wear resistance of pavement surfaces. Report No.: FHWA-RD-72-24 Final Rpt. Washington, D.C.: Federal Highway Administration; 1972 March.

.        Zenke G. On the use of polymer-modified bitumen in asphalt mixes. Stationaere Mischwerk 1976;10(6):255-64 [In German].

.        Kameau G, Duron M. Influence of static and sequenced elastothermoplastic copolymers on the mechanical properties of bituminous mixtures. Bulletin de Liaison des Laboratoires des Ponts et Chaussees 1976;18:135-9 [In French].

.        Lucas AG. Modified bitumens for rolled asphalt. Highways Road Constr Int 1800;1976(44):4-5.

.        Chaffin CW, O’Connor DL, Hughes CH. Evaluation of the use of certain elastomers in asphalt. Report No.: FHWA-TX-78180-1F Final Rpt. Washington, D.C.: Federal Highway Administration, July 1978.

.        Piazza S, Arcozzi A, Verga C. Modified bitumens containing thermoplastic polymers. Rubber Chem Technol 1980;53(4):994-1005.

.        Kraus G. Modification of asphalt by block polymers of butadiene and styrene. Rubber Chem Technol 1982;55(5):1389-402.

.        Denning JH, Carswell J. Assessment of ‘Novophalt’ as a binder for rolled asphalt wearing course. Report No.: TRRL Laboratory, Report 1101. Crowthorne, England: Transport and Road Research Laboratory; 1983.

80.    Miłkowski W. Catalytic modification of road asphalt by polyethylene. J Trans Eng 1985;111(1):54-72.

.        Jew P, Shimizu JA, Svazic M, Woodhams RT. Polyethylene-modified bitumen for paving applications. J Appl Polym Sci 1986;31(8):2685-704.

.        Bowering RH. Modified bitumens. In: Proceedings of the Australian asphalt pavement association conference 84, 1984 Members Conference; 1984 August 27-28, Hobart, Tasmania. Kew, Victoria: Australian Asphalt Pavement Association; 1984.

.        Reese R, Predoehl NH. Evaluation of modified asphalt binders - Interim report. Report No.: FHWA/CA/TL-89/15. Washington, D.C.: Federal Highway Administration; 1989 September.

.        King GN, Muncy HW, Prudhomme JB. Polymer modification: Binders effect on mix properties (with discussion). In: Asphalt paving technology 1986: Journal of the Association of Asphalt Paving Technologists; 1986 February 17-18; Clearwater Beach, Florida. St. Paul, Minnesota: Association of Asphalt Paving Technologists; 1986. p. 519-540.

.        Wardlaw KR, Shuler S, editors. Polymer modified asphalt binders. Philadelphia, Pennsylvania: American Society for Testing and Materials; 1992.

.        Aglan H. Polymeric additives and their role in asphaltic pavements. Part I: Effect of additive type on the fracture and fatigue behavior. J Elastomers Plast 1993;25(4):307-21.

.        Bahia HU, Anderson DA. Glass transition behavior and physical hardening of asphalt binders (with discussion). In: Asphalt Paving Technology 1993. Journal of the Association of Asphalt Paving Technologists. 1993 March 22-24; Austin, Texas. St. Paul, Minnesota: Association of Asphalt Paving Technologists; 1993. p.93-129.

.        Elmore WE, Kennedy TW, Solaimanian M, Bolzan P. Long-term performance evaluation of polymer-modified asphalt concrete pavements. Report No.: FHWA-TX-94+1306-1F. Washington, D.C.: Federal Highway Administration; 1993 November.

.        Bonemazzi F, Braga V, Corrieri R, Giavarini C, Sartori F. Characteristics of polymers and polymer-modified binders. Trans Res Rec: J Trans Res Board 1996;1535:36-47.

90.    Brûlé B. Polymer-modified asphalt cements used in the road construction industry: basic principles. Trans Res Rec: J Trans Res Board 1996;1535:48-53.

.        Adedeji A, Grünfelder T, Bates FS, Macosko CW, Stroup-Gardiner M, Newcomb DE. Asphalt modified by SBS triblock copolymer: structures and properties. Polym Eng Sci 1996;36(12):1707-23.

.        Shin EE, Bhurke A, Scott E, Rozeveld S, Drzal LT. Microstructure, morphology, and failure modes of polymer-modified asphalts. Trans Res Rec: J Trans Res Board 1996;1535:61-73.

.        Loeber L, Durand A, Muller G, Morel J, Sutton O, Bargiacchi M. New investigations on the mechanism of polymer-bitumen interaction and their practical application for binder formulation. In: Proceedings of the 1st Eurasphalt & Eurobitume Congress; 1996 May 7-10; Strasbourg, France. Brussels: Eurasphalt & Eurobitume Congress; 1996: Paper No. 5115.

.        Gahvari F. Effects of thermoplastic block copolymers on rheology of asphalt. J Mater Civ Eng 1997;9(3):111-6.

.        Valkering CP, Vonk W. Thermoplastic rubbers for the modification of bitumens: Improved elastic recovery for high deformation resistance of asphalt mixes. In: Proceedings of the 15th Australian Road Research Board (ARRB) Conference; 1990 August 26-31; Darwin, Northern Territory. Vermont South, Victoria: Australian Road Research Board; 1990. p. 1-19.

.        Krutz NC, Siddharthan R, Stroup-Gardiner M. Investigation of rutting potential using static creep testing on polymer-modified asphalt concrete mixtures. Trans Res Rec: J Trans Res Board 1991;1317:100-8.

.        Stock AF, Arand W. Low temperature cracking in polymer modified binders. In: Asphalt paving technology 1993: Journal of the Association of Asphalt Paving Technologists; 1993 March 22-24; Austin, Texas. St. Paul, Minnesota: Association of Asphalt Paving Technologists; 1993. p. 23-53.

.        Lu X, Isacsson U, Ekblad J. Phase separation of SBS polymer modified bitumens. J Mater Civ Eng 1999;11(1):51-7.

.        Collins JH, Bouldin MG, Gelles R, Berker A. Improved performance of paving asphalts by polymer modification (with discussion). In: Asphalt paving technology 1991: Journal of the Association of Asphalt Paving Technologists; 1991 March 4-6; Seattle, Washington. St. Paul, Minnesota: Association of Asphalt Paving Technologists; 1991. p. 43-79.

.        Bouldin MG, Collins JH, Berker A. Rheology and microstructure of/asphalt blends. Rubber Chem Technol 1991;64(4):577-600.

.        Sengoz B, Isikyakar G. Evaluation of the properties andmicrostructure of SBS and EVA polymer modified bitumen. Constr Build Mater 2008;22(9):1897-905.

.        Topal A. Evaluation of the properties and microstructure of plastomeric polymer modified bitumens. Fuel Process Technol 2010;91(1):45-51.

.        Lu X, Isacsson U. Artificial aging of polymer modified bitumens. J Appl Polym Sci 2000;76(12):1811-24.

.        Hoare TR, Hesp SAM. Low-temperature fracture testing of asphalt binders: regular and modified systems. Trans Res Rec: J Trans Res Board 2000;1728:36-42.

.        Khattak MJ, Baladi GY. Fatigue and permanent deformation models for polymer-modified asphalt mixtures. Trans Res Rec: J Trans Res Board 2001;1767:135-45.

.        Ruan Y, Davison RR, Glover CJ. Oxidation and viscosity hardening of polymer-modified asphalts. Energy Fuels 2003;17(4):991-8.

.        Durrieu F, Farcas F, Mouillet V. The influence of UV aging of a styrene/butadiene/styrene modified bitumen: comparison between laboratory and on site aging. Fuel 2007;86(10-11):1446-51.

.        Mouillet V, Farcas F, Besson S. Ageing by UV radiation of an elastomer modified bitumen. Fuel 2008;87(12):2408-19.

.        Khodaii A, Mehrara A. Evaluation of permanent deformation of unmodified and SBS modified asphalt mixtures using dynamic creep test. Constr Build Mater 2009;23(7):2586-92.

.        Cortizo MS, Larsen DO, Bianchetto H, Alessandrini JL. Effect of the thermal degradation of SBS copolymers during the ageing of modified asphalts. Polym Degrad Stab 2004;86(2):275-82.

.        Sugano M, Iwabuchi Y, Watanabe T, Kajita J, Iwata K, Hirano K. Relations between thermal degradations of SBS copolymer and asphalt substrate in polymer modified asphalt. Clean Technol Environ Policy 2010; 12(6):653-9.

.        Kutay ME, Gibson N, Youtcheff J. Conventional and viscoelastic continuum damage (VECD)-based fatigue analysis of polymer modified asphalt pavements (with discussion). In: Asphalt paving technology 2008: Journal of the Association of Asphalt Paving Technologists; 2008 April 27-30; Philadelphia, Pennsylvania. St. Paul, Minnesota: Association of Asphalt Paving Technologists; 2008. p. 395-434.

113.  Hernández G, Medina EM, Sánchez R, Mendoza AM. Thermomechanical and rheological asphalt modification using styrene-butadiene triblock copolymers with different microstructure. Energy Fuels 2006;20(6):2623-6.

.        Mouillet V, Lamontagne J, Durrieu F, Planche JP, Lapalu L. Infrared microscopy investigation of oxidation and phase evolution in bitumen modified with polymers. Fuel 2008;87(7):1270-80.

.        Lesueur D. The colloidal structure of bitumen: consequences on the rheology and on the mechanisms of bitumen modification. Adv Colloid Interface Sci 2009;145(1-2):42-82.

.        Lesueur D, Gérard JF, Claudy P, Létoffé JM, Martin D, Planche JP. Polymer modified asphalts as viscoelastic emulsions. J Rheol 1998;42(5):1059-74.

.        Redelius P. Bitumen solubility model using Hansen solubility parameter. Energy Fuels 2004;18(4):1087-92.

.        Redelius P. Asphaltenes in bitumen, what they are and what they are not. Road Mater Pavement Des 2009;10(sup1):25-43.

.        Wen G, Zhang Y, Zhang Y, Sun K, Chen Z. Vulcanization characteristics of asphalt/SBS blends in the presence of sulfur. J Appl Polym Sci 2001;82(4):989-96.

.        Wen G, Zhang Y, Zhang Y, Sun K, Fan Y. Rheological characterization of storage-stable SBS-modified asphalts. Polym Test 2002;21(3):295-302.

.        Wen G, Zhang Y, Zhang Y, Sun K, Fan Y. Improved properties of SBS modified asphalt with dynamic vulcanization. Polym Eng Sci 2002;42(5):1070-81.

.        Chen JS, Huang CC. Fundamental characterization of SBS-modified asphalt mixed with sulfur. J Appl Polym Sci 2006;103(5):2817-25.

.        Zhang F, Yu J, Wu S. Effect of ageing on rheological properties of storage-stable SBS/sulfur-modified asphalts. J Hazard Mater 2010;182(1-3):507-17.

.        Zhang F, Yu J, Han J. Effects of thermal oxidative ageing on dynamic viscosity, TG/DTG, DTA and FTIR of SBS-and SBS/sulfur-modified asphalts. Constr Build Mater 2011;25(1):129-37.

.        Li Y, Li L, Zhang Y, Zhao S, Xie L, Yao S. Improving the aging resistance of styrene-butadiene-styrene tri-block copolymer and application in polymer modified asphalt. J Appl Polym Sci 2010;116(2):754-61.

.        Dessouky S, Contreras D, Sanchez J, Papagiannakis AT, Abbas A. Influence of hindered phenol additives on the rheology of aged polymer-modified bitumen. Constr Build Mater 2013;38:214-23.

.        Ouyang C, Wang S, Zhang Y, Zhang Y. Preparation and properties of styrene-butadiene-styrene copolymer/kaolinite clay compound and asphalt modified with the compound. Polym Degrad Stab 2005;87(2):309-17.

.        Ouyang C, Wang S, Zhang Y, Zhang Y. Thermo-rheological properties and storage stability of SEBS/kaolinite clay compound modified asphalts. Eur Polym J 2006;42(2):446-57.

.        Yu J, Wang L, Zeng X, Wu S, Li B. Effect of montmorillonite on properties of styrene-butadiene-styrene copolymer modified bitumen. Polym Eng Sci 2007;47(9):1289-95.

.        Golestani B, Nejad FM, Galooyak SS. Performance evaluation of linear and nonlinear nanocomposite modified asphalts. Constr Build Mater 2012;35:197-203.

.        Jasso M, Bakos D, MacLeod D, Zanzotto L. Preparation and properties of conventional asphalt modified by physical mixtures of linear SBS and montmorillonite clay. Constr Build Mater 2013;38:759-65.

.        Zhang B, Xi M, Zhang D, Zhang H, Zhang B. The effect of styrenebutadiene-rubber/montmorillonite Zhang B, Xi M, Zhang D, Zhang H, Zhang B. The effect of styrenebutadiene-modification on the characteristics and properties of asphalt. Constr Build Mater 2009;23(10):3112-7.

.        Zhang H, Yu J, Wang H, Xue L. Investigation of microstructures and ultraviolet aging properties of organo-montmorillonite/SBS modified bitumen. Mater Chem Phys 2011;129(3):769-76.

.        Polacco G, Krˇízˇ P, Filippi S, Stastna J, Biondi D, Zanzotto L. Rheological properties of asphalt/SBS/clay blends. Eur Polym J 2008;44(11):3512-21.

.        Zhang H, Yu J, Wu S. Effect of montmorillonite organic modification on ultraviolet aging properties of SBS modified bitumen. Constr Build Mater 2012;27(1):553-9.

.        Yeh PH, Nien YH, Chen JH, Chen WC, Chen JS. Thermal and rheological properties of maleated polypropylene modified asphalt. Polym Eng Sci 2005;45(8):1152-8.

.        Fu H, Xie L, Dou D, Li L, Yu M, Yao S. Storage stability and compatibility of asphalt binder modified by SBS graft copolymer. Constr Build Mater 2007;21(7):1528-33.

.        Wang Q, Liao M, Wang Y, Ren Y. Characterization of endfunctionalized styrene-butadiene-styrene copolymers and their application in modified asphalt. J Appl Polym Sci 2007;103(1):8-16.

.        Li J, Zhang Y, Zhang Y. The research of GMA-g-LDPE modified Qinhuangdao bitumen. Constr Build Mater 2008;22(6):1067-73.

.        Zanzotto L, Stastna J, Vacin O. Thermomechanical properties of several polymer modified asphalts. Appl Rheol 2000;10(3):134-44.

.        Hesp SAM, Hoare TR, Roy SD. Low-temperature fracture in reactiveethylene-terpolymer-modified asphalt binders. Int J Pavement Eng 2002;3(3):153-9.

.        Polacco G, Stastna J, Biondi D, Antonelli F, Vlachovicova Z, Zanzotto L. Rheology of asphalts modified with glycidylmethacrylate functionalized polymers. J Colloid Interface Sci 2004;280(2):366-73.

.        Navarro FJ, Partal P, García-Morales M, Martinez-Boza FJ, Gallegos C. Bitumen modification with a low-molecular-weight reactive isocyanate-terminated polymer. Fuel 2007;86(15):2291-9.

144.  Martín-Alfonso MJ, Partal P, Navarro FJ, García-Morales M, Gallegos C. Use of a MDI-functionalized reactive polymer for the manufacture of modified bitumen with enhanced properties for roofing applications. Eur Polym J 2008;44(5):1451-61.

145.  Martín-Alfonso MJ, Partal P, Navarro FJ, García-Morales M, Gallegos C. Role of water in the development of new isocyanate-based bituminous products. Ind Eng Chem Res 2008;47(18):6933-40.

.        Navarro FJ, Partal P, García-Morales M, Martín-Alfonso MJ, Martínez-Boza F, Gallegos C, et al. Bitumen modification with reactive and non-reactive (virgin and recycled) polymers: a comparative analysis. J Ind Eng Chem 2009;15(4):458-64.

147.  Martín-Alfonso MJ, Partal P, Navarro FJ, García-Morales M, Bordado JCM, Diogo AC. Effect of processing temperature on the bitumen/ MDI-PEG reactivity. Fuel Process Technol 2009;90(4):525-30.

.        Carrera V, Partal P, García-Morales M, Gallegos C, Páez A. Influence of bitumen colloidal nature on the design of isocyanate-based bituminous products with enhanced rheological properties. Ind Eng Chem Res 2009;48(18):8464-70.

.        Carrera V, Garcia-Morales M, Partal P, Gallegos C. Novel bitumen/ isocyanate-based reactive polymer formulations for the pavingindustry. Rheol Acta 2010;49(6):563-72.

.        Shivokhin M, García-Morales M, Partal P, Cuadri AA, Gallegos C. Rheological behaviour of polymer-modified bituminous mastics: a comparative analysis between physical and chemical modification. Constr Build Mater 2012;27(1):234-40.

.        Stroup-Gardiner M, Newcomb DE. Polymer literature review. St. Paul, Minnesota: Minnesota Department of Transportation; 1995 September. Report No.: MN/RC-95/27.

.        Chen JS, Liao MC, Shiah MS. Asphalt modified by styrene- butadiene-styrene triblock copolymer: morphology and model. J Mater Civ Eng 2002;14(3):224-9.

.        Zhang F, Yu J. The research for high-performance SBR compound modified asphalt. Constr Build Mater 2010;24(3):410-8.

.        Blanco R, Rodríguez R, García-Garduño M, Castaño VM. Rheological properties of styrene-butadiene copolymer-reinforced asphalt. J Appl Polym Sci 1996;61(9):1493-501.

155.  Pérez-Lepe A, Martínez-Boza FJ, Gallegosa C, Gonzálezb O, Muñoz ME, Santamaría A. Influence of the processing conditions on the rheological behavior of polymer-modified bitumen. Fuel 2003;82(11):1339-48.

156.  Pérez-Lepe A, Martínez-Boza FJ, Attané P, Gallegos C. Destabilization mechanism of polyethylene-modified bitumen. J Appl Polym Sci 2006;100(1):260-7.

157.  González O, Muñoz ME, Santamaría A, García-Morales M, Navarro FJ, Partal P. Rheology and stability of bitumen/EVA blends. Eur Polym J 2004;40(10):2365-72.

.        Ameri M, Mansourian A, Sheikhmotevali AH. Investigating effects of ethylene vinyl acetate and gilsonite modifiers upon performance of base bitumen using Superpave tests methodology. Constr Build Mater 2012;36:1001-7.

.        Ameri M, Mansourian A, Sheikhmotevali AH. Laboratory evaluation of ethylene vinyl acetate modified bitumens and mixtures based upon performance related parameters. Constr Build Mater 2013;40:438-47.

.        Airey GD. Rheological evaluation of ethylene vinyl acetate polymer modified bitumens. Constr Build Mater 2002;16(8):473-87.

.        Airey GD. Rheological properties of styrene butadiene styrene polymer modified road bitumens. Fuel 2003;82(14):1709-19.

.        Bahia HU, Hanson DI, Zeng M, Zhai H, Khatri MA, Anderson RM. Characterization of modified asphalt binders in Superpave mix design. Washington, D.C.: Transportation Research Board; 2001. Report No.: NCHRP, Report 459.

163.  González O, Peña JJ, Muñoz ME, Santamaría A, Pérez-Lepe A, Martínez-Boza F, et al. Rheological techniques as a tool to analyze polymer-bitumen interactions: bitumen modified with polyethylene and polyethylene-based blends. Energy Fuels 2002;16(5):1256-63.

.        Attaelmanan M, Cheng PF, AI AH. Laboratory evaluation of HMA with high density polyethylene as a modifier. Constr Build Mater 2011;25(5):2764-70.

.        Stastna J, Zanzotto L, Vacin OJ. Viscosity function in polymermodified asphalts. J Colloid Interface Sci 2003;259(1):200-7.

.        Champion L, Gerard JF, Planche JP, Martin D, Anderson D. Low temperature fracture properties of polymer-modified asphalts relationships with the morphology. J Mater Sci 2001;36(2):451-60.

.        Isacsson U, Lu X. Characterization of bitumens modified with SEBS, EVA and EBA polymers. J Mater Sci 1999;34(15):3737-45.

.        Lucena MCC, Soares SA, Soares JB. Characterization and thermal behavior of polymer-modified asphalt. Mater Res Ibero-American J Mater 2004;7(4):529-34.

.        Zhang Y, Zhao S, Li Y, Xie L, Sheng K. Radiation effects on styrenebutadiene-styrene copolymer. Nucl Instrum Methods Phys Res, Sect B 2008;266(15):3431-6.

.        Masson JF, Collins P, Robertson G, Woods JR, Margeson J. Thermodynamics, phase diagrams, and stability of bitumen-polymer blends. Energy Fuels 2003;17(3):714-24.

.        Galooyak SS, Dabir B, Nazarbeygi AE, Moeini A. Rheological properties and storage stability of bitumen/SBS/montmorillonite composites. Constr Build Mater 2010;24(3):300-7.

.        Wloczysiak P, Vidal A, Papirer E, Gauvin P. Relationships between rheological properties, morphological characteristics, and composition of bitumen-styrene butadiene styrene copolymers mixes. I. A three-phase system. J Appl Polym Sci 1998;65(8):1595-607.

.        Collins JH, Bouldin MG. Stability of straight and polymer-modified asphalts. Trans Res Rec: J Trans Res Board 1992;1342:92-100.

.        Gelles R, Collins JH, Bouldin MG, inventor. Shell Oil Company, assignee. Asphalt-block copolymer paving composition. United States patent US 5118733. 1992 June 2.

.        Vargas MA, Chávez AE, Herrera R, Manero O. Asphalt modified by partially hydrogenated SBS tri-block copolymers. Rubber Chem Technol 2005;78(4):620-43.

.        Scholten EJ, Vonk W, Korenstra J. Towards green pavements with novel class of SBS polymers for enhanced effectiveness in bitumen and pavement performance. Int J Pavement Res Technol 2010;3(4):216-22.

.        Scholten EJ, Vonk WC. inventor. Kraton Polymers US LLC, assignee. Block copolymer and polymer modified bituminous binder composition for use in base course asphalt paving application. United States patent US 8357735. 2013 January 22.

.        Peralta J, Raouf MA, Tang S, Williams RC. Bio-renewable asphalt modifiers and asphalt substitutes. In: Gopalakrishnan K, van Leeuwen JH, Brown RC, editors. Sustainable bioenergy and bioproducts value added engineering applications. London: Springer; 2012. p. 89-115.

.        Bloomfield GF. Modern views on the chemistry of vulcanization changes. III. Reaction of sulfur with squalene and with rubber. J Polym Sci 1946;1(4):312-7.

.        Chough SH, Chang DH. Kinetics of sulfur vulcanization of NR, BR, SBR, and their blends using a rheometer and DSC. J Appl Polym Sci 1998;61(3):449-54.

.        Versloot P, Haasnoot JG, Nieuwenhuizen PJ, Reedijk J, van Duin M, Put J. Sulfur vulcanization of simple model olefins, Part V: double bond isomerization during accelerated sulfur vulcanization as studied by model olefins. Rubber Chem Technol 1997;70(1):106-19.

.        Petrossi U, Bocca PL, Pacor P. Reactions and technological properties of sulfur-treated asphalt. Ind Eng Chem Prod Res Dev1972;11(2):214-9.

.        Syroezhko AM, Begak OYu, Fedorov VV, Gusarova EN. Modification of paving asphalts with sulfur. Russ J Appl Chem 2003;76(3):491-6.

.        Cheng G, Shen B, Li H, Hao J, Ling H. Determination of the main sulfur-containing compounds in sulfide asphalt and the mechanism of asphalt sulfidation. J East China Univ Sci Technol - Nat Sci Ed 2008;34(3):319-23 [In Chinese].

.        Sun D, Ye F, Shi F, Lu W. Storage stability of SBS-modified road asphalt: preparation, morphology, and rheological properties. Pet Sci Technol 2006;24(9):1067-77.

.        Lee D. Modification of asphalt and asphalt paving mixtures by sulfur additives. Ind Eng Chem Prod Res Dev 1975;14(3):171-7.

.        De Filippis P, Giavarini C, Santarelli ML. Reaction of visbreaker bitumens with sulfur. Pet Sci Technol 1997;15(7-8):743-53.

.        De Filippis P, Giavarini C, Santarelli ML. Sulphur-extended asphalt: reaction kinetics of H2S evolution. Fuel 1998;77(5):459-63.

.        Sinha Ray S, Okamoto M. Polymer/layered silicate nanocomposites: a review from preparation to processing. Prog Polym Sci 2003;28(11):1539-641.

.        Ray SS, Bousmina M. Biodegradable polymers and their layered silicate nanocomposites: in greening the 21st century materials world. Prog Mater Sci 2005;50(8):962-1079.

.        Vargas MA, Vargas MA, Sánchez-Sólis A, Manero O. Asphalt/ polyethylene blends: rheological properties, microstructure and viscosity modeling. Constr Build Mater 2013;45:243-50.

.        Rojas JM, Hernández NA, Manero O, Revilla J. Rheology and microstructure of functionalized polymer-modified asphalt. J Appl Polym Sci 2010;115(1):15-25.

.        Gelles R, inventor. Shell Oil Company, assignee. Asphalt-diene polymer composition with improved adhesion to polar materials. United States patent US 5130354. 1992 July 14.

.        Crossley GA, Hesp SAM. New class of reactive polymer modifiers for asphalt: mitigation of moisture damage. Trans Res Rec: J Trans Res Board 2000;1728:52-9.

.        Maurano CHF, Portal LL, Neto RB, Mauler RS. Functionalization of styrene-butadiene-styrene (SBS) triblock copolymer with maleic anhydride. Polym Bull 2001;46(6):491-8.

.        Cordella CD, Cardozo NSM, Neto RB, Mauler RS. Functionalization of styrene-butadiene-styrene (SBS) triblock copolymer with glycidyl methacrylate (GMA). J Appl Polym Sci 2003;87(13):2074-9.

.        Selvavathi V, Sekar VA, Sriram V, Sairam B. Modifications of bitumen by elastomer and reactive polymer - a comparative study. Pet Sci Technol 2002;20(5-6):535-47.

.        Bahia HU, Davies R. Effect of crumb rubber modifiers (CRM) on performance related properties of asphalt binders (with discussion). In: Asphalt paving technology 1994: Journal of the Association of Asphalt Paving Technologists; 1994 March 21-23; St. Louis, Missouri. St. Paul, Minnesota: Association of Asphalt Paving Technologists; 1994. p. 414-438.

199.  Hınıslıog˘lu S, Ag˘ar E. Use of waste high density polyethylene as bitumen modifier in asphalt concrete mix. Mater Lett 2004;58(3-4):267-71.

200.  García-Morales M, Partal P, Navarro FJ, Gallegos C. Effect of waste polymer addition on the rheology of modified bitumen. Fuel 2006;85(7-8):936-43.

.        Panda M, Mazumdar M. Utilization of reclaimed polyethylene in bituminous paving mixes. J Mater Civ Eng 2002;14(6):527-30.

.        Yousefi AA, Ait-Kadi A, Roy C. Composite asphalt binders: effect of modified RPE on asphalt. J Mater Civ Eng 2000;12(2):113-23.

203.  García-Morales M, Partal P, Navarro FJ, Martínez-Boza FJ, Gallegos C. Processing, rheology, and storage stability of recycled EVA/LDPE modified bitumen. Polym Eng Sci 2007;47(2):181-91.

.        Abdel-Goad MAH. Waste polyvinyl chloride-modified bitumen. J Appl Polym Sci 2006;101(3):1501-5.

205.  García-Morales M, Partal P, Navarro FJ, Martínez-Boza F, Mackley MR, Gallegos C. The rheology of recycled EVA/LDPE modified bitumen. Rheol Acta 2004;43(5):482-90.

206.  García-Morales M, Partal P, Navarro FJ, Martínez-Boza F, Gallegos C. Linear viscoelasticity of recycled EVA-modified bitumens. Energy Fuels 2004;18(2):357-64.

207.  Fuentes-Audén C, Sandoval JA, Jerez A, Navarro FJ, Martínez-Boza FJ, Partal P, et al. Evaluation of thermal and mechanical properties of recycled polyethylene modified bitumen. Polym Test 2008;27(8):1005-12.

.        Fang C, Li T, Zhang Z, Jing D. Modification of asphalt by packaging waste-polyethylene. Polym Compos 2008;29(5):500-5.

.        Casey D, McNally C, Gibney A, Gilchrist MD. Development of a recycled polymer modified binder for use in stone mastic asphalt. Resour Conserv Recycl 2008;52(10):1167-74.

.        Singh B, Gupta M, Tarannum Hina. Mastic of polymer-modified bitumen and poly(vinyl chloride) wastes. J Appl Polym Sci 2003;90(5):1347-56.

.        Fang C, Zhang Y, Yu Q, Zhou X, Guo D, Yu R, et al. Preparation, characterization and hot storage stability of asphalt modified by waste polyethylene packaging. J Mater Sci Technol 2013;29(5):434-8.

.        Murphy M, O’Mahony M, Lycett C, Jamieson I. Bitumens modified with recycled polymers. Mater Struct 2000;33(7):438-44.

.        Naskar M, Chaki TK, Reddy KS. Effect of waste plastic as modifier on thermal stability and degradation kinetics of bitumen/waste plastics blend. Thermochim Acta 2010;509(1-2):128-34.

.        Ai AH, Tan YQ, Hameed AT. Starch as a modifier for asphalt paving materials. Constr Build Mater 2011;25(1):14-20.

.        Naskar M, Chaki TK, Reddy KS. A novel approach to recycle the waste plastics by bitumen modification for paving application. Adv Mater Res 2012;356-360:1763-8.

.        Fang C, Yu R, Zhang Y, Hu J, Zhang M, Mi X. Combined modification of asphalt with polyethylene packaging waste and organophilic montmorillonite. Polym Test 2012;31(2):276-81.

.        Fang C, Yu R, Li Y, Zhang M, Hu J, Zhang M. Preparation and characterization of an asphalt-modifying agent with waste packaging polyethylene and organic montmorillonite. Polym Test 2013;32(5):953-60.

.        Li Z, Li C. Improvement of properties of styrene-butadiene- styrene-modified bitumen by grafted eucommia ulmoides gum. Road Mater Pavement Des 2013;14(2):404-14.

.        Cuadri AA, García-Morales M, Navarro FJ, Partal P. Isocyanatefunctionalized castor oil as a novel bitumen modifier. Chem Eng Sci 2013;97:320-7.

.        Kim YR, Lutif JS, Bhasin A, Little DN. Evaluation of moisture damage mechanisms and effects of hydrated lime in asphalt mixtures through measurements of mixture component properties and performance testing. J Mater Civ Eng 2008;20(10):659-67.

.        Kim YR, Pinto I, Park SW. Experimental evaluation of anti-stripping additives in bituminous mixtures through multiple scale laboratory test results. Constr Build Mater 2012;29:386-93.

.        Isacsson U. Portland cement as an anti-stripping additive in bituminous road bases. In: Proceedings of the IPENZ Annual Conference 1996: Engineering, Providing the Foundations for Society, 1; 1996 February 9-13; Dunedin, New Zealand. Wellington: Institution of Professional Engineers New Zealand;1996. p. 98-102.

.        Iskender E, Aksoy A, Ozen H. Indirect performance comparison for styrene-butadiene-styrene polymer and fatty amine anti-strip modified asphalt mixtures. Constr Build Mater 2012;30:117-24.

.        Hossain Z, Zaman M, Hobson KR. Effects of liquid anti-stripping additives on rheological properties of performance grade binders. Int J Pavement Res Technol 2010;3(4):160-70.

.        Graf PE. Factors affecting moisture susceptibility of asphalt concrete mixes. In: Asphalt paving technology 1986: Journal of the Association of Asphalt Paving Technologists; 1986 February 17-18; Clearwater Beach, Florida. St. Paul, Minnesota: Association of Asphalt Paving Technologists; 1986. p. 175-191.

.        DiVito JA, Morris GR. Silane pretreatment of mineral aggregate to prevent stripping in flexible pavements. Trans Res Rec: J Trans Res Board 1982;843:104-11.

.        Fromm HJ, Kennepohl GJA. Sulphur asphaltic concrete on three Ontario test roads. In: Asphalt Paving Technology1979: Journal of the Association of Asphalt Paving Technologists; 1979 February 19-21; Denver, Colorado. St. Paul, Minnesota: Association of Asphalt Paving Technologists; 1979. p. 135-162.

.        Bagampadde U, Isacsson U, Kiggundu BM. Classical and contemporary aspects of stripping in bituminous mixes. Road Mater Pavement Des 2004;5(1):7-43.

.        Crossley GA, Hesp SAM. New class of reactive polymer modifiers for asphalt: mitigation of low-temperature damage. Trans Res Rec: J Trans Res Board 2000;1728:68-74.

.        Button JW. Summary of asphalt additive performance at selected sites. Trans Res Rec: J Trans Res Board 1992;1342:67-75.

.        McDaniel R, Shah A. Asphalt additives to control rutting and cracking. Washington, D.C.: Federal Highway Administration; 2003 January. Report No.: FHWA/IN/JTRP-2002/29.

.        Woo WJ, Ofori-Abebresse E, Chowdhury A, Hilbrich J, Kraus Z, Martin AE, Glover CJ. Polymer modified asphalt durability in pavements. Washington, D.C.: Federal Highway Administration; 2007 July. Report No.: FHWA/TX-07/0-4688-1.

.        Woo WJ. Development of a long-term durability specification for polymer modified asphalt [doctoral dissertation]. College Station (Texas): Texas A&M University; 2007.

.        Dumont AG, Ould-Henia M. Long term effect of modified binder on cracking resistance of pavements. In: Proceedings of the fifth international RILEM conference on reflective cracking in pavements; 2004 May 5-7. Limoges, France. Bagneux France: RILEM Publications SARL; 2004. p. 511-8.

.        Dreessen S, Planche JP, Ponsardin M, Pittet M, Dumont AG. Durability study: field aging of conventional and polymermodified binders. In: Transportation Research Board 89th Annual Meeting Compendium of Papers DVD; 2010 January 10-14; Washington, D.C. Washington, D.C.: Transportation Research Board; 2010; Paper No.: 10-2127.

.        Hesp SAM, Genin SN, Scafe D, Shurvell HF, Subramani S. Five year performance review of a northern Ontario pavement trial: Validation of Ontario’s double-edge-notched tension (DENT) and extended bending beam rheometer (BBR) test methods. In: Proceedings of the Fifty-fourth Annual Conference of the Canadian Technical Asphalt Association; 2009 November 15-18; Moncton, New Brunswick. Laval, Quebec: Polyscience Publications; 2009. p. 99-126.

.        Wright L, Kanabar A, Moult E, Rubab S, Hesp S. Oxidative aging of asphalt cements from an Ontario pavement trial. Int J Pavement Res Technol 2011;4(5):259-67.

.        Erskine JA, Hesp SAM, Kaveh F. Another look at accelerated aging of asphalt cements in the pressure aging vessel. In: Proceedings of the Fifth Eurasphalt and Eurobitume Congress; 2012 June 13-15; Istanbul, Turkey. Brussels, Belgium: Eurasphalt & Eurobitume Congress; 2012; Paper No.: P5EE-202.

.        de Sá Araujo MFA, Lins VFC, Pasa VMD, Leite LFM. Weathering aging of modified asphalt binders. Fuel Process Technol 2013;115:19-25.

.        Ma T, Yuan H. Aging behavior characterization of SBS-modified asphalt for recycling purpose. In: Sustainable Construction Materials 2012: Proceedings of the 2nd International Conference on Sustainable Construction Materials: Design, Performance and Application; 2012 October 18-22; Wuhan, China. Reston, Virginia: American Society of Civil Engineers; 2013. p. 261-275.

.        Romera R, Santamaría A, Peña JJ, Muñoz ME, Barral M, García E, et al. Rheological aspects of the rejuvenation of aged bitumen. Rheol. Acta 2006;45(4):474-8.

.        Geng J, Li H, Sheng Y, Zhang Q. Recycling characteristics of polymer modified asphalt. In: Proceedings of the 2011 International Conference on Electric Technology and Civil Engineering; 2011 April 22-24; Lushan, China. New York: Institute of Electrical and Electronics Engineers; 2011. p. 6095-6098.

.        Ma T, Huang X, Zhao Y, Bahia HU. Compound rejuvenation of polymer modified asphalt binder. J Wuhan Univ Technol - Mater Sci Ed 2010;25(6):1070-6.

.        Daranga C. Characterization of aged polymer modified asphalt cements for recycling purposes [doctoral dissertation]. Baton Rouge, Louisiana: Louisiana State University; 2005.

.        Ma T, Chen C, Li C. Laboratory investigation of recycling for aged SBS modified asphalt cement. In: Soliamanian M, Hong F, Won M, Choi S, Yuan J, editors. Pavements and materials: recent advances in design, testing, and construction. Geotechnical Special Publication No. 212. Reston, Virginia: American Society of Civil Engineers; 2011. p. 139-149.

.        Mohammad LN, Negulescu II, Wu Z, Daranga C, Daly WH, Abadie C. Investigation of the use of recycled polymer modified asphalt binder in asphalt concrete pavements (with discussion and closure). In: Asphalt paving technology 2003: Journal of the Association of Asphalt Paving Technologists; 2003 March 10-12; Lexington, Kentucky. St. Paul, Minnesota: Association of Asphalt Paving Technologists; 2003. p. 551-594.

247.  ГОСТ 11505-75 Методика определения растяжения нефтяного битума.

.        ГОСТ Р 52056-2003 Вяжущие полимерно-битумные дорожные на основе блоксополимеров типа стирол-бутадиен-стирол.

.        ГОСТ 11506-73 Метод определения температуры размягчения по кольцу и шару.

.        ГОСТ 11501-78 Метод определения глубины проникания иглы.

.        ГОСТ 11508-74 Метод определения сцепления битума с мрамором и песком.

.        ГОСТ 22245-90 Битумы нефтяные дорожные вязкие.

Похожие работы на - Полимерно-битумные вяжущие

 

Не нашли материал для своей работы?
Поможем написать уникальную работу
Без плагиата!
Без нейросетей!