Определение карбоксильных групп в различных системах

  • Вид работы:
    Курсовая работа (т)
  • Предмет:
    Химия
  • Язык:
    Русский
    ,
    Формат файла:
    MS Word
    607,52 Кб
  • Опубликовано:
    2014-08-15
Вы можете узнать стоимость помощи в написании студенческой работы.
Помощь в написании работы, которую точно примут!

Определение карбоксильных групп в различных системах

Министерство образования Республики Беларусь

Учреждение образования

«Могилёвский государственный университет имени А.А. Кулешова»






Выпускная работа

по анализу биологических объектов

Определение карбоксильных групп в различных системах


студенток 4-ого курса

дневная форма обучения

группа 4 «Х»

Н.Д. Городецкая, Е.В. Сказецкая

Научный руководитель

канд. хим. наук доцент

Н.А.Клебанова


Могилёв

г

ОГЛАВЛЕНИЕ

ВВЕДЕНИЕ

ГЛАВА I. ОБЗОР ЛИТЕРАТУРЫ

.1 Химический состав, структура, характерные показатели и применение пектина

.2 Строение, образование и применение глюкозы

.3 Влияние микроорганизмов на различные системы

ГЛАВА II. ЭКСПЕРИМЕНТАЛЬНАЯ ЧАСТЬ

.1 Титриметрическое определение содержания карбоксильных групп в пектине

СПИСОК ИСПОЛЬЗОВАННЫХ ИСТОЧНИКОВ

карбоксильный пектин глюкоза титриметрическое

ВВЕДЕНИЕ

В настоящее время люди потребляют большое количество пищевых волокон, но не происходит дополнительного употребления бифидобактерий для разложения большого количества волокон. В литературе было показано, что бифидобактерии продуцируют большое количество органических кислот (молочной, уксусной, янтарной) и летучих жирных кислот (уксусная, пропионовая, масляная, изомасляная, валериановая, изовалериановая, капроновая, изокапроновая), за счет которых подавляется рост и размножение патогенных и условно патогенных бактерий.

В последнее время широко используются пищевые волокна (пектин), которые также могут быть субстратами для бифидобактерий.

Пектин - водорастворимое вещество, свободное от целлюлозы и состоящее из частично или полностью метоксилированных остатков полигалактуроновой кислоты.

В процессе метаболизма за счёт образования карбоновых кислот содержание карбоксильных групп должно возрастать.

Поэтому, целью нашей исследовательской работы, было определение количества карбоксильных групп в различных системах.

Передо мной были поставлены следующие задачи:

определение количества карбоксильных групп в пектине

определение количества карбоксильных групп в системе пектин-бифидобактерии

определение количества карбоксильных групп в глюкозе

определение количества карбоксильных групп в системе глюкоза-бифидобактерии

ГЛАВА I. ОБЗОР ЛИТЕРАТУРЫ

.1 Химический состав, детоксицирующие свойства, структура, характерными показатели и применение пектина

Пектины это природные полисахариды, которые содержатся почти во всех растениях. Как вещество, пектин был открыт более 200 лет назад и впервые получен из корнеплода топинамбура (земляной груши) [13].

Наиболее распространенным в нашей стране пектинсодержащим сырьем являются яблоки, сахарная свекла, цитрусовые, подсолнечник, клубни топинамбура и др [5,17].

Пектин способен сорбировать и выводить из организма микроорганизмы и выделяемые ими токсины, биогенные токсины, анаболики, ксенобиотики, продукты метаболизма, а также биологически вредные вещества, способные накапливаться в организме: холестерин, желчные кислоты, мочевину, билирубин, серотонин, гистамин, продукты тучных клеток [8]. В процессе усвоения пищи деметоксилизация пектина способствует превращению его в полигалактуроновую кислоту, которая соединяется с определенными тяжелыми металлами и радионуклидами, в результате чего образуются нерастворимые соли, не всасывающиеся через слизистую желудочно-кишечного тракта и выделяющиеся из организма вместе с калом [16].

Для оценки детоксицирующих свойств пектина имеют значение такие показатели как: молярная масса, уронидная составляющая, степень этерификации, содержание свободных карбоксильных групп, связывающая способность, сорбционная способность, полная статистическая обменная емкость и др [1,8].

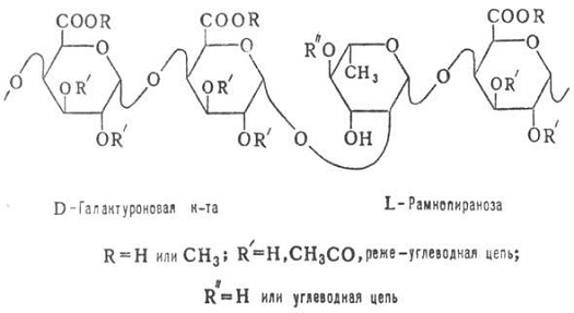
Пектины представляют собой полисахариды клеточных стенок. Основным компонентом пектиновых полисахаридов являются полиуроновые кислоты. У высших растений они состоят из остатков D-галактуроновой кислоты, связанных С-1®С-4-связями, на долю которой в зависимости от источника происхождения пектиновых веществ приходится от 83 до 90 % [14].

Карбоксильная группа каждого остатка D-галактуроновой кислоты может существовать в разных состояниях: образовывать соли с ионами определенных металлов, чаще всего кальция (пектат), причем атомы двух- и трехвалентных металлов могут связывать несколько цепей полигалактуроновой кислоты; соль может быть одновременно и метоксилирована (пектинат), или оставаться немодифицированной (пектовая кислота - основа всех видов пектиновых веществ), или быть частично метоксилированной (эту форму обычно называют пектином) , что изображено на рисунке 1.1.1: [1]

Рисунок 1.1.1


Незначительную часть в составе пектиновых веществ составляют нейтральные полисахариды - арабинаны и галактаны, что и обусловливает гетерополисахаридный характер пектина [14]. Арабинаны представляют собой разветвленные полимеры, состоящие из остатков L-арабофуранозы, соединенные между собой α-С-1®С-5-связями. Галактаны - неразветвленные цепи, образованные из остатков D-галактопиранозы, соединенных b-С-1®С-4-связями. При этом возможно, что часть карбоксильных групп галактуроновой кислоты этерифицирована указанными нейтральными полисахаридами. Молекулярная масса пектиновых веществ достигает 200000.

Согласно современным представлениям пектин имеет линейную структуру, в которой остатки D-галактуроновой кислоты имеют пиранозную конфигурацию. Используют и другой способ изображения молекулы пектина, в котором отдельные кольца повернуты относительно друг друга и лежат в различных плоскостях. Структурная формула пектина предствлена на рисунке 1.1.2: [6].

Рисунок 1.1.2


Пектин (pectin) - водорастворимое вещество, свободное от целлюлозы и состоящее из частично или полностью метоксилированных остатков полигалактуроновой кислоты. В зависимости от количества метоксильных групп и степени полимеризации существуют различные пектины. Н-пектин (H-pectin) - высокоэтерифицированный пектин. Имеет степень этерификации, т. е. отношение числа этерифицированных карбоксильных групп на каждые 100 карбоксильных групп пектиновой кислоты, более 50 %; L-пектин (L-pectin) - низкоэтерифицированный пектин. Имеет степень этерификации менее 50 %;

Структура и химический состав пектиновых веществ определяют пространственную форму их молекул и характер взаимодействия с другими соединениями. Установлено, что пектиновые вещества обладают структурой с ограниченной гибкостью, стабилизируемой водородными и гидрофобными связями [9].

Пектиновые растворы оптически активные, правовращающие, удельное вращение постоянно при значении рН около от 3,0 до 6,5 [5].

Характерными показателями пектина являются:

Молекулярный вес, метоксильное число, ацетильное число, растворимость в воде, вязкость золя, желеобразующая способность [4].

Содержание метоксильных групп является важным показателем пектиновых веществ. Степень этерификации полигалактуроновой кислоты меняется в широких пределах в зависимости от источника получения и способа извлечения - от полностью лишенной метоксильных групп (пектовой кислоты) до полностью замещенных всех карбоксильных остатков полигалактуроновой кислоты [6]. Пектины, полученные из разных растений, значительно различаются по степени этерификации [1].

Метоксильное число имеет большое значение для желирующих свойств пектина. Для желеобразующего пектина установлена норма содержания метоксильных групп не ниже 7 %. Количество карбоксильных груп достигает до 3,7% (свекловичный пектин содержит наибольшее количество карбоксильных групп).

Значительно в меньшем количестве содержатся в пектине ацетильные группы. Ацетильное число колеблется в широких пределах: от сотых долей процента до 2,5 %. Ацетильные группы оказывают отрицательное влияние на желирование. Установлены допустимые пределы содержания ацетильных групп для студнеобразующего пектина - не более 1 %.

Наилучшим растворителем пектиновых веществ является вода. Растворяются они также в 84%-ной фосфорной кислоте и жидком аммиаке; в глицерине и формамиде - набухают. В остальных органических и неорганических растворителях они практически нерастворимы [7].

Растворимость пектина в воде возрастает с увеличением степени этерификации и с уменьшением степени полимеризации. Из двух пектинов с одинаковой длиной цепи легче растворим тот, у которого выше метоксильное число; из двух пектинов одинаковой степени этерификации легче растворим обладающий меньшим молекулярным весом [10].

Желирующая способность пектина растительного, широко используемая пищевой промышленностью, у разных растений далеко не одинакова и зависит от относительной молекулярной массы пектина, от степени метоксилирования остатков галактуроновой кислоты и количества сопутствующих балластных веществ, концентрации сахара в растворе, температуры и рН среды [5].

Между карбоксильными и гидроксильными группами цепей пектиновой кислоты возникают водородные связи. Возможно, что водородные связи образуются также между карбоксильными и гидроксильными группами пектиновых молекул и полярными группами сахара [12].

При повышении температуры пектины разрушаются [5]. Этот процесс сопровождается уменьшением вязкости и желирующей способности. Понижение вязкости и желирующей способности вызывается разрушением суперструктуры пектиновых веществ. Оптимальной для сушки пектиновых веществ является температура, приблизительно равная 80°С. При сушке выше этой температуры желеобразование пектина ухудшается в связи с происходящей деградацией.

Под действием кислот молекулы растворимых пектиновых веществ могут претерпевать одновременно два существенных изменения [2]:

а) омыление этерифицированных карбоксильных групп;

б) разрушение молекулы вследствие разрыва гликозидной связи между остатками D-галактуроновой кислоты.

При действии сильной минеральной кислоты на высокоэтерифицированную пектиновую даже при комнатной температуре через несколько недель происходит ее омыление до нерастворимой полигалактуроновой кислоты, выпадающей в осадок. Одновременно с метоксильными омыляются и ацетильные группы пектиновой молекулы. При повышении температуры кислотное омыление происходит быстрее. При дальнейшем же повышении температуры скорость этого процесса еще более возрастает, но вместе с тем начавшийся распад макромолекул по главным валентностям увеличивается настолько, что деградация начинает преобладать над омылением [6]. В присутствии сахарозы окислительный распад пектиновых веществ подавляется, т.е. сахароза является ингибитором окисления пектиновых веществ [5].

Карбоксильные и гидроксильные группы пектиновой или пектовой кислот могут вступать в химические реакции; полученные при этом соединения рассматриваются как соответствующие производные двух видов [16].

Карбоксильные группы пектина могут восстанавливаться до первичных спиртовых групп с помощью алюмогидрида лития или боргидрида натрия. Довольно легко происходит сшивка пектиновых веществ формальдегидом в присутствии соляной кислоты как катализатора, в результате чего образуется метилольный полуацеталь пектина [3].

При взаимодействии пектиновых веществ с полифункциональными соединениями образуются пространственные трехмерные структуры. В качестве связующих агентов используют диметилдихлорсилан, глиоксаль, дихлорэтилсульфамид и др [11].

Объединенный комитет экспертов ФАО/ВОЗ по пищевым добавкам рекомендует пектин как безопасную добавку без ограничения приемлемой дозы ежедневного потребления [16]. Одно из направлений применения пектинов связано с их использованием в фармацевтических технологиях. Вместе с тем большой интерес вызывают результаты экспериментальных и клинических исследований, свидетельствующие о том, что пектины способны проявлять лечебные и профилактические свойства при ряде заболеваний, не уступая по эффективности некоторым лекарственным препаратам.

В медицине пектин используется при лечении желудочно-кишечного тракта, для профилактики сахарного диабета, онкозаболеваний [17]. Пектин способствует снижению кровяного давления, выведению из организма холестерина, нормализации обменных процессов, улучшает периферическое кровообращение, перистальтику кишечника, рекомендуется для диетического питания [17].Установлено, что пектиновые вещества тормозят процессы гниения в кишечнике больше, чем искусственно введенные дезинфицирующие вещества [15].

Пектин обладает способностью очищать организм от вредных веществ, не нарушая при этом бактериологический баланс организма. Благодаря способности пектиновых веществ не расщепляться под действием ферментов желудка, а также взаимодействовать с ионами различных металлов, они используются как профилактическое средство при интоксикации организма тяжелыми металлами [7].

Наличие в составе пектиновых веществ уроновых кислот повышает сопротивляемость организма [6].

Пектины являются вспомогательным средством при приготовлении многих лекарственных форм, служат основой для получения пастилок, суппозиториев, являются исходным сырьем в приготовлении гидрогелей, таблеток, мягких желатиновых и ректальных капсул, свечей. Используется их пролонгированное действие в таблетках, микстурах с разными лекарственными препаратам [9].

.2Строение, образование и применение глюкозы

Глюкоза - моносахарид, одна из восьми изомерных альдогексоз. Глюкоза в виде D-формы (декстоза, виноградный сахар) является самым распространённым углеводом. D-глюкоза (обычно её называют просто глюкозой) встречается в свободном виде и в виде олигосахаридов (тростниковый сахар, молочный сахар) , полисахаридов (крахмал, гликоген, целлюлоза, декстран) , гликозидов и других производных. В свободном виде D-глюкоза содержится в плодах, цветах и других органах растений, а также в животных тканях (в крови, мозгу и др.) . D-глюкоза является важнейшим источником энергии в организмах животных и микроорганизмов.

Продуктом полного гидролиза крахмала и целлюлозы является глюкоза. При разрыве полуацетальной (гликозидной) связи образуются гидроксильная и альдегидная (в полуацетальной форме) группы. Образование глюкозы после гидролиза крахмала и целлюлозы представлено на рисунке 1.3.1:

Рисунок 1.3.1


Катализаторами реакции гидролиза полисахаридов являются водородные ионы. Гидроксильные ионы не ускоряют этой реакции, благодаря чему полисахариды относительно стойки в щелочной среде и нестойки в кислой. Катализаторами реакции гидролиза полисахаридов служат также ферменты: а-глюкозидаза для крахмала и р-глюкозидаза для целлюлозы [18].

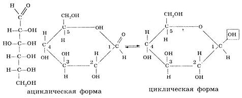
Глюкоза является альдегидоспиртом, так как атомы углерода связаны между собой сигма-связью, возможно вращение частей молекулы относительно сигма-связей. При этом альдегидная функциональная группа взаимодействует со спиртовым гидроксилом пятого углеродного атома, и образуется циклическая форма глюкозы, которая пердствлена на рисунке 1.3.1:

Рисунок 1.3.1


В растворе ациклическая (альдегидная) форма глюкозы находится в равновесии с циклической (полуацетальной) формой. При переходе ациклической формы в циклическую полуацетальную форму у первого углеродного атома формируется полуацетальная - гликозидная гидроксигруппа. По своим свойствам эта группа отличается от спиртовой. В циклической глюкозе, которая имеет строение кресла или лодки, полуацетальный гидроксил жестко расположен в пространстве относительно плоскости [19].

Применение глюкозы:

Глюкоза является ценным питательным продуктом. В организме она подвергается сложным биохимическим превращениям в результате которых образуется диоксид углерода и вода, при это выделяется энергия согласно итоговому уравнению: C6H12O6 + 6O2 = 6H2O + 6CO2 + 2800 кДж. Этот процесс протекает ступенчато, и поэтому энергия выделяется медленно.

Так как глюкоза легко усваивается организмом, её используют в медицине в качестве укрепляющего лечебного средства при явлениях сердечной слабости, шоке, она входит в состав кровозаменяющих и противошоковых жидкостей. Широко применяют глюкозу в кондитерском деле (изготовление мармелада, карамели, пряников и т.д.), в текстильной промышленности в качестве восстановителя, в качестве исходного продукта при производстве аскорбиновых и гликоновых кислот, для синтеза ряда производных сахаров и т.д.

Большое значение имеют процессы брожения глюкозы. Так, например, при квашении капусты, огурцов, молока происходит молочнокислое брожение глюкозы, так же как и при силосовании кормов. Если подвергаемая силосованию масса недостаточно уплотнена, то под влиянием проникшего воздуха происходит маслянокислое брожение и корм становится непригоден к применению.

.3Влияние микроорганизмов на различные системы

Морфологически бифидобактерии представляют собой неспорообразующие, грамположительные палочки, в старых культурах могут встречаться грамотрицательные варианты.

Для большинства штаммов оптимальной является температура 36- 38°С, рост почти всех штаммов прекращается при 20°С и ниже, максимальная температура находится в пределах 45-50°С. Оптимальным для развития бифидобактерии является рН 6-7. При рН ниже 5,5 рост этих микроорганизмов приостанавливается. Основными продуктами метаболизма при сбраживании глюкозы являются уксусная кислота и L( + )-молочная кислота с небольшой примесью муравьиной и янтарной кислот. Масляная и пропионовая кислоты и углекислый газ не образуются. Некоторые штаммы бифидобактерии продуцируют ферменты, полисахариды с различными свойствами и составом.

Наибольшее значение для организма человека имеют: Bifidobacterium bifidum, Bifidobacterium lonngum.Их содержание о организме - 10*8-10*12 КОЕ в 1 мл кишечного содержимого и составляют 90-98% от общего объема нормофлоры кишечника ( в зависимости от возраста).

Бифидобактерии участвуют в утилизации пищевых субстратов, улучшают процессы гидролиза и всасывания белков, углеводов, активизируют пищеварение и стимулирауют перистальтику толстого кишечника. Обладают детоксикационными свойствами, разлагают 50% мочевины, снимая нагрузку с почек. Оказывают стимулирующее влияние на функции печени путем обеспечения кишечно-печеночной циркуляции органических и неорганических соединений, гормонов, цитокинов, ведущих компонентов желчи-солейжелчных кислот, желчных пигментов, холестерина, кобальта, цинка.

Бифидобактерии продуцируют большое количество органических кислот (молочной, уксусной, янтарной ) и летучих жирных кислот (уксусная, пропионовая, масляная, изомасляная, валериановая, изовалериановая, капроновая, изокапроновая), за счет которых подавляется рост и размножение патогенных и условно патогенных бактерий.

Бифидобактерии способны перерабатывать моносахариды (глюкозу, галактозу и фруктозу). Для большинства бифидобактерий оптимальной является температура 36-38°С, рН 6-7.

При гидролизе пектиновой кислоты пектиназой в течение первых стадий разложения аккумулируются только небольшие количества свободной D-галактуроновой кислоты. Обычно ферментами разлагаются ди-, три -, тетра - и пентагалактуроновые кислоты. В последующие стадии гидролиза длинные молекулы распадаются под влиянием каталитической деятельности пектиназы и накапливаются свободная D-галактуроновая кислота и другие соединения.

Распад пектиновой кислоты может быть выражен следующей схемой:

С46Н68О40 + nН20 = СНО(СНОН)4СООН+С6Н12О6 + С5Н10О5 + С5Н10 О5 + СН3ОН + СН3СООН

Продукты распада пектиновой кислоты (галактоза, арабиноза и др.) подвергаются окислению или сбраживанию разнообразными микроорганизмами. В частности, при анаэробиозе они сбраживаются бактериями. Продуктами брожения являются органические кислоты (уксусная, молочная), а также газы Н2 и СО2, кроме указанных веществ, образует и небольшое количество ацетона и бутилового спирта.


ЧАСТЬ II. ЭКСПРИМЕНТАЛЬНАЯ

.1Титриметрическое определение содержания карбоксильных групп в пектине

Методика определения содержания свободных карбоксильных групп(ОСТ 18-62-72):

Около 1 г промытого и высушенного пектина помещают в колбу на 300 мл, смачивают чистым 96%-ным этиловым спиртом для предотвращения комкования и добавляют 100 мл дистиллированной воды, перемешивают и оставляют на ночь для полного растворения пектина. Раствор титруют 0,1 н NaOH до появления красного окрашивания, не исчезающего в течение 1 минуты, при добавлении 6 капель индикатора Хинтона (для его приготовления смешивают 1 объем 0,4 % бромтимолблау, 1 объем 0,4%-ного красного крезола, 3 объема 0,4% красного фенола и 1 объем дистиллированной воды).

Содержание свободных карбоксильных групп Кс, %, рассчитывают по формуле (1).

    (1)

Для проведения эксперимента нами был выбран в качестве бактерий препарат «Бифидумбактерин форте». Этот препарат представляет собой микробную массу живых бактерий антоганистически активного штамма Bifidobacterium bifidum №1, сорбированных на частицах активированного угля, лиофилизированную, смешанную с лактозой.

Система пектин-бактерии:

В качестве субстрата нами был использован свекловичный пектин, который растворяли на водном термостате при температуре 40°С что известно из литературы.

Для приготовления системы брали раствор пектина, концентрацией 1 грамм на 100 миллилитров, и аккуратно всыпали бактерии (в одном пакетике не менее 50 млн колониеобразующих единиц) в колбу. Один пакетик препарата на 100 мл раствора.

Первый эксперимент проводился в течение 28 часов, результаты исследования представлены в таблице 2.1.1.

Таблица 2.1.1

Время, мин

V(NaOH)б, мл

V(колбы), мл

V(аликвоты), мл

m(пектина), г

Кс б, %

V(NaOH) без б, мл

Кс без б, %

∆Кс, %

0

1,415

500

10

5,11

6,2304

1,415

6,2304

0

120

1,525

500

10

5,11

6,7148

1,5

6,6047

1,67

240

500

10

5,11

7,0450

1,5

6,6047

6,67

480

1,6

500

10

5,11

7,0450

1,5

6,6047

6,67

600

1,615

500

10

5,11

7,1111

1,5

6,6047

7,67

1440

1,62

500

10

5,11

7,1331

1,5

6,6047

8

1680

1,655

500

10

5,11

7,2872

1,5

6,6047

10,33


Второй эксперимент проводился в течение 29 часов 30 минут, результаты исследования представлены в таблице 2.1.2.

Таблица 2.1.2

Время, мин

V(NaOH)б, мл

V(колбы), мл

V (аликвоты), мл

m(пектина), г

Кс б, %

V(NaOH) без б, мл

Кс без б, %

∆Кс, %

0

1,43

500

10

5,13

6,2719

1,43

6,2719

0

120

1,515

500

10

5,13

6,6447

1,5

1

180

1,61

500

10

5,13

7,0614

1,505

6,6009

6,98

390

1,61

500

10

5,13

7,0614

1,505

6,6009

6,98

600

1,615

500

10

5,13

7,0833

1,505

6,6009

7,31

1440

1,62

500

10

5,13

7,1053

1,505

6,6009

7,64

1590

1,625

500

10

5,13

7,1272

1,505

6,6009

7,97

1770

1,635

500

10

5,13

7,1711

1,52

6,6667

7,57


На графике 2.1.1 представлены результаты 2-х опытов:

График 2.1.1


Система глюкоза-бактерии:

В качестве субстрата нами была использована глюкоза.

Для приготовления системы брали раствор глюкозы, концентрацией 1 грамм на 100 миллилитров, и аккуратно всыпали бактерии (в одном пакетике не менее 50 млн колониеобразующих единиц) в колбу. Один пакетик препарата на 100 мл раствора.

Опыт проводился в течение 28 часов, результаты исследования представлены в таблице 2.1.3:

Таблица 2.1.3

Время, мин

V(NaOH)б, мл

V(колбы), мл

V (аликвоты), мл

M (глюкозы), г

Кс б, %

V(NaOH) без б, мл

∆Кс, %

0

0

500

20

5,0022

0

0

0

0

120

0,23

500

20

5,0022

0,5178

0

0

0,5172

240

0,26

500

20

5,0022

0,5847

0

0

0,5847

480

0,28

500

20

5,0022

0,6297

0

0

0,6297

600

0,29

500

20

5,0022

0,6522

0

0

0,6522

1440

0,35

500

20

5,0022

0,7871537

0

0

0,7872

1680

0,45

500

20

5,0022

2,9237136

0

0

1,01


Опыт проводился в течение 29 часов 30 минут, результаты исследования представлены в таблице 2.1.4:

Таблица 2.1.4

Время, мин

V(NaOH)б, мл

V(колбы), мл

V(аликвоты), мл

Кс б, %

V(NaOH) без б, мл

Кс без б, %

∆Кс, %

0

0

500

20

5,0047

0

0

0

0

120

0,15

500

20

5,0047

0,3372

0

0

0,3372

180

0,23

500

20

5,0047

0,5170

0

0

0,5170

390

0,24

500

20

5,13

0,5263

0

0

0,5263

600

0,25

500

20

5,13

0,5482

0

0

0,5482

1440

0,27

500

20

5,13

0,5921

0

0

0,5921

1590

0,31

500

20

5,0055

0,6967

0

0

0,6967

1770

0,42

500

5,0055

0,9440

0

0

0,9440


Результаты двух опытов представлены на графике 2.1.2:

График 2.1.2:

Результаты проведенной работы представлены на графике 2.1.3:

График 2.1.3


В результате было получено, что бифидобактерии увеличивают число карбоксильных групп в течении 28 часов до 10,33%.

СПИСОК ИСПОЛЬЗОВАННЫХ ИСТОЧНИКОВ

Арасимович, В.В. Методы анализа пектиновых веществ, гемицеллюлоз и пектолитических ферментов в плодах / В.В. Арасимович, С.В. Балтага, Н.П. Пономарева.- Кишинев: АН Молд. ССР, 1970.- 84 с.

Бек, М.М. Химия реакций комплексообразования / М.М. Бек.- М.: Мир, 1973.- 279 с.

Березин, И.В. Практический курс химической и ферментативной кинетики / И.В. Березин.- М.: Изд-во МГУ, 1976.- 320 с.

Василенко, Ю.К. Получение и изучение физико-химических и гепатопротекторных свойств пектиновых веществ / Ю.К. Василенко, С.В. Москаленко, Н.Ш. Кайшева // Хим.- фармац. журн.- 1997.- Т.31, № 6.- С. 28-29.

Государственная фармакопея РФ.- 12-е изд.- М.: Науч. центр экспертизы средств мед. применения, 2007.- Ч. 1.- 704 с.

Зависимость колориметрической реакции галактуроновой кислоты и нейтральных моносахаридов с карбазолом от условий её проведения / М.П. Филиппов [и др.] // Изв. АНМолд. ССР. Серия биолог. и хим. наук.- 1986.- №1.- С. 75.

Исследование взаимодействия пектиновых веществ с солями меди, ртути, цинка и кадмия / Г.П. Кацева [и др.] // Химия природ. соединений.- 1988.- № 2.- С. 171-175.

Комиссаренко, С.Н. Пектины - их свойства и применение / С.Н. Комиссаренко, В.Н. Спиридонов // Раст. ресурсы.- 1998.- Т. 34, вып. 1.- С. 111-119.

Мелвин-Хьюз, Е.А. Равновесие и кинетика реакций в растворах / Е.А. Мелвин-Хьюз.- М.: Химия, 1975.- 472 с.

Оводов, Ю.С. Современные представления о пектиновых веществах / Ю.С. Оводов // Биоорган. химия.- 2009.- Т.5, № 3.- С. 293-310.

Определение комплексообразующей способности пектинов и пектинсодержащих препаратов / В.А. Компанцев [и др.] // Охрана окружающей среды.- 1991.- Вып. 3.- С. 25-27.

Пат. 2206089 Российская Федерация, МПК G01 N31/16. Способ определения массовой доли функциональных групп полиуронидов / Н.Ш. Кайшева (РФ). - № 2001134132/04; заявл. 13.12.2001; опубл. 10.06.2003. [Электронный ресурс].- Режим доступа: http://ru-patent.info/21/80-84/2181551.html.- Загл. с экрана.

Пектин. Тенденции научных и прикладных исследований / И.Л. Новосельская [и др.] // Химия природ. соединений.- 2000.- №1.- С. 3-11

Пектин. ВФС 42-3433.- Введ. 1999.- 08.10.- М., 1999.- 4 с.

Природные свойства топинамбура // Новые лекарственные препараты.- 2003.- Вып. 12.- С. 6-19.

Рациональное питание. Рекомендуемые уровни потребления пищевых и биологически активных веществ: методические рекомендации МР 2.3.1. 19150.- Введ. 2004.- 02.06.- М.: Медицина, 2004.- 25 с.

Разработка пищевых продуктов и лечебных препаратов на основе клубней и травы топинамбура / Н.С. Зяблицева [и др.].- Пятигорск, 2009.- 25 с.- Деп. в ВИНИТИ РАН 27.07.2009, № 497- В2009.

Грасси Н. химия процессов деструкции полимеров. М. Издатинлит, 1959.

В.Г. Жиряков «Органическая химия». - Москва - 1986 г.

Похожие работы на - Определение карбоксильных групп в различных системах

 

Не нашли материал для своей работы?
Поможем написать уникальную работу
Без плагиата!
Без нейросетей!