Економічна рівновага і циклічність. Типи циклів

  • Вид работы:
    Курсовая работа (т)
  • Предмет:
    Эктеория
  • Язык:
    Украинский
    ,
    Формат файла:
    MS Word
    69,72 Кб
  • Опубликовано:
    2014-10-25
Вы можете узнать стоимость помощи в написании студенческой работы.
Помощь в написании работы, которую точно примут!

Економічна рівновага і циклічність. Типи циклів

Вступ

Як відомо, сучасне суспільство прагне до постійного поліпшення рівня й умов життя, які може забезпечити тільки стійкий економічний ріст. Однак спостереження показують, що довгостроковий економічний ріст не є рівномірним, а постійно переривається періодами економічної нестабільності. Підйоми і спади рівнів економічної активності, що ідуть один за одним прийнято називати діловим чи економічним циклом. Термін “цикл” вживається в біології й інших науках для позначення таких подій, що постійно повторюються, але не обов'язково в однаковому ступені. Тому є всі підстави думати, що рух ділового життя суспільства протікає у формі циклів, сутність яких полягає в наявності повторюваної послідовності змін. Діловий цикл припускає рух трьох величин: обсягу зайнятості, обсягу продукції і рівня цін.

В умовах переходу до ринкових відносин в економіці України велике значення грає реформація відносин власності, роздержавлення і поява нових видів власності, що буде сприяти розвитку ринкових відносин, нових видів господарювання, завдяки чому з'явиться можливість перебороти найтяжку економічну кризу, у якій знаходиться Україна.

Економічні перетворення в Україні повинні бути націленими на вирішення найважливішого завдання - це радикальні зміни в системі управління економікою як на макрорівні, так і на мікрорівні (рівні підприємств і об'єднань). Зміни на мікрорівні полягають в перебудові організаційної структури управління діяльність підприємств, створенні промислово-фінансових груп, холдингових компаній. Необхідність створення і розвитку нових в Україні форм підприємництва об'єктивно обумовлена потребою підприємств у більш гнучких структурних формах, здатних адаптуватися до швидких змін зовнішнього середовища.

Кризові явища в галузях економіки України спричинені недостатнім і несвоєчасним урахуванням змінних умов виробництва, можливостями інтенсифікації, змінами у методах господарювання та іншими причинами. Темпи виробництва почали різко сповільнюватися. А намагання стримати спад виробництва екстенсивними методами не призвело до відповідних результатів, спричинило зменшення фондовіддачі.

Відносно високий рівень розвитку економіки України може забезпечити їй економічну незалежність, але за умови конверсії оборотного потенціалу й незалежної економічної оцінки матеріально-сировинної бази.

Тема економічної кризи на сьогодні є дуже актуальною, тому що не знаючи причин кризи в Україні, неможливо знайти шляхи до її подолання.

Метою курсової роботи є аналіз причин та факторів економічної кризи в Україні та шляхи її подолання.

Для досягнення поставленої мети були визначені наступні завдання:

визначити поняття " економічний цикл ", розглянути циклічність процесу і виділити основні стадії ;

дати характеристику економічній кризі, привести класифікацію криз ;

назвати основні причини виникнення криз і описати механізм їх розвитку;

навести приклади наслідків, а також шляхів виходу з економічних криз;

розкрити особливості економічних криз сучасного типу.

Об'єктом дослідження є економічні кризи .

Предмет дослідження: сутність економічної кризи та її особливості в Україні.

У дослідженні застосовувалися теоретичні та аналітичні методи . Були задіяні матеріали періодичного видання " Економіка України ", інтернет -ресурси , а також навчальні видання з обраної теми . Для розкриття теми вибиралися нові , актуальні статті , з метою відображення представленої інформації у вигляді , найбільш відповідному сучасної економічної ситуації.

Розділ 1. Економічна рівновага і циклічність. Типи циклів

За своїм змістом поняття "економічна рівновага" досить просте. Під ним розуміють такий стан економіки, при якому досягається стале урівноваження та взаємне збалансування структур, що протистоять одна одній (виробництво і споживання, попит і пропозиція тощо). В ринкових системах урівноваження досягається завдяки ринковому механізму через встановлення відповідних пропорцій. Рівновага відбиває внутрішній стан ринкової системи, яка са-моупорядковується. За визначенням П. Самуельсона, рівновага - це такий стан економіки, при якому зберігається здатність її до саморегулювання: у випадку відхилення економічної системи від збалансованого стану в дію автоматично включаються сили, які намагаються відновити порушені структурні зв'язки.

Автоматичним механізмом самонастроювання економічних зв'язків є механізм досконалої конкуренції, що не зазнає дії монополії. Отже, економічна рівновага є конкурентно-ринковою. Формування її відбувається за певних умов: по-перше, функціонування на ринку економічно самостійних суб'єктів; по-друге, можливість еластичного використання виробничих ресурсів і вільне ціноутворення; по-третє, відсутність монополії та адміністративного втручання держави в систему підприємницької діяльності; по-четветре, наявність розвинутої ринкової інфраструктури.

Формування економічної рівноваги неможливе без поглиблення суспільного поділу праці. Саме суспільний поділ праці, його рівень і характер, що притаманні тій чи іншій економічній системі, зумовлюють суттєві ознаки механізму ринкової рівноваги, принципи його формування і функціонування, визначають специфіку його дії в конкретних історичних умовах. Ступінь розвитку та економічні межі суспільного поділу праці, в свою чергу, залежать від можливостей досягнення структурної збалансованості економічних зв'язків, їхнього рівноважного стану. Взаємозв'язок між економічною рівновагою і суспільним поділом праці характеризується тим, що досягнення першої є умовою вдосконалення макроструктури суспільного виробництва. Об'єктивну зумовленість характеру і рівня розвитку суспільного поділу праці й процесів, для яких він є матеріальною основою, можливостей досягнення економічної рівноваги можна розглядати як один з найважливіших законів ринкової економіки.

За змістом система економічної рівноваги багаторівнева. В економічній теорії розмежовують рівновагу обміну, виробництва, розподілу та споживання. У сукупності вони формують загальну систему економічної рівноваги відтворювального процесу. Одночасно виділяються умови статичної рівноваги і умови рівноваги економіки, що динамічно розвивається. При цьому статичну рівновагу розглядають не як самоціль, а лише як попередню сходинку до визначення принципів збалансованості економічних процесів, що реально розвиваються. В теорії також виділяють поняття повної та часткової, тимчасової та постійної рівноваги.

Епіцентром формування рівноваги в ринковій економіці є потреби людини. Тому вихідною ланкою багатоструктурного механізму ринкової рівноваги є рівновага між платоспроможним попитом населення і пропозицією.

У ринковій економіці основною ланкою врівноваження попиту і пропозиції є природна ціна продукції, що реалізується, або ціна рівноваги. Вона формується в точці перетину кривих попиту і про-позиції й визначається як базова ціна, до змін якої змушена пристосовуватися економіка: зростання ціни приводить до розширення пропозиції порівняно з попитом, а падіння - до розширення попиту порівняно з пропозицією.

Йдеться про ідеальні умови виробництва і реалізації продукції - наявність конкуренції і економічних зв'язків, за яких автоматично забезпечується рівність попиту і пропозиції. Виробництво породжує доходи, на які обов'язково купуються товари відповідної вартості, і пропозиція товарів сама створює необхідний попит.

У теорії циклічності рівновагу розглядають як вихідний стан економічної динаміки. Коли структурні порушення відтворювальних зв'язків досягають критичної величини, відбудова стану рівноваги здійснюється стрибкоподібно - через економічні кризи. В цьому випадку економічні кризи виконують функцію специфічного інструменту насильницького подолання диспропорцій, що виникли, і відбудови порушеної рівноваги. Відновити порушену рівновагу можна не тільки насильницьким, кризовим, а й еволюційним шляхом, оскільки рівноваги можна досягти і на основі застосу-вання засобів антициклічної політики держави т а міждержавних об'єднань.

Можливість вирівнювання кривої економічного зростання на інституціональній основі не дає підстав вважати можливим усунення факторів циклічності. Дія останніх є суб'єктивною, і їх слід обов'язково враховувати в економічній політиці. Отже, економічна політика як на мікро-, так і на макрорівні управління повинна містити в собі антициклічні елементи.

Можливості застосування антициклічної політики не однозначні в різних економічних системах і конкретних історичних умовах. Циклічність як об'єктивна закономірність економічного розвитку за своїм змістом багатоструктурна. Якщо в основу критерію класифікації покласти довготривалість, то вона буде мати: малі цикли (короткострокові коливання ділової активності, які продовжуються З-4 роки); середні цикли (строком 7-11 років); великі цикли (періодичність яких становить 40-60 років); вікові циклічні коливання, наприклад вікові цикли лідерства.

Проте критерій довготривалості лише один з можливих. Типи циклів розрізняються неоднозначністю матеріальної основи розвитку, характером впливу на економічні процеси. Здавалося, що в основу класифікації циклів можна покласти саме їх, та ця специфіка відносна: причинно-наслідкові зв'язки, що викликають до життя ті чи інші цикли, функції, які вони виконують, багато в чому переплітаються. Крім того, різні цикли накладаються один на одний, що ускладнює їхню диференціацію. Отже, і в цьому випадку штучна уніфікація їх неприпустима.

У структурі циклічного економічного розвитку найрельєфніше виражаються середні промислові цикли. Вони найближче взаємодіють з малими циклами і найдієвіше впливають на розвиток економічних процесів.

Саме тому середні цикли визначаються як базові.

Розділ 2. Економічна криза: суть, структура

.1 Економічна криза: природа, наслідки та виклики

У сучасній науковій літературі триває полеміка щодо визначення сутності й природи криз у розвитку соціально-економічної системи. Існувала точка зору, що кризи є характерною рисою капіталістичного способу виробництва і повинні бути відсутні за соціалістичного ладу. У минулому існували навіть такі теоретичні концепції, що обґрунтовували неможливість виникнення криз при соціалізмі, а існуючі проблеми забезпечення стабільного розвитку пояснювали тільки “труднощами зростання”. Держава, втручаючись в економіку того чи іншого підприємства, не допускала та й не могла допустити банкрутства (не існувало навіть такого поняття). Проте практика суспільного та економічного розвитку в усі періоди історії свідчить, що криз уникати поки не вдіється, це обумовлює важливість та актуальність своєчасного розпізнавання криз, розуміння їх сутності та виявлення симптомів. Проблема виникнення економічних криз є предметом дослідження багатьох учених. Кризу розглядати як закономірне явище, як обов’язковий атрибут розвитку економічної системи Дж. М. Кейнс, М. Кондратьєв, К. Маркс,

П. Самуельсон, М. Туган-Барановський, Р. Дж. Хоутрі, Й. Шумпетер та ін. Фундаментальні праці з виявлення природи сучасних криз та пошуку ефективного інструментарію їх запобігання в економіці розвинених країн не втрачають своєї актуальності, це дослідження таких видатних учених, як:

Дж. Тобін, К. Ерроу, Дж. Штігліц, Ф. Кідланд та Е. Прескот. Серед вітчизняних учених, які займалися дослідженням цієї проблематики та зробили суттєвий внесок у вирішення окремих її аспектів, варто відмітити В. Гейця, Є. Перепьолкіна, A. Гончарука, Д. Лук'яненка, В. Василенка, Л. Дмитриченко, а серед російських учених-економістів - В. Іноземцева,

Є. Балацького, С. Меньшикова, Ю. Яковця та ін. Останнім часом велика увага приділяється розмежуванню зовнішніх і внутрішніх причин циклічності ринкової економіки, а також визначенню ролі держави в антикризовому регулюванні. У сучасному розумінні криза (від грец. krisis - вихід, закінчення, суд і вище справедливе покарання) - це крайнє загострення протиріч у соціально-економічній системі, що загрожує її життєстійкості в навколишнім середовищі. Криза порушує стійкість системи, при цьому радикальним чином її оновлюючи. Стабільний стан і криза виступають постійними антагонізмами в розвитку будь-якої системи, при цьому очисна сила кризи потрібна системі не менше, ніж стабільне існування. Ці дві сторони (криза і стабільність) не можуть існувати одне без одного, це свого роду закон єдності й боротьби протилежностей (оскільки без боротьби - немає й розвитку). Будь-яка соціально-економічна система (підприємства, суспільна формація тощо) має дві тенденції свого існування:

функціонування - підтримка, збереження функцій, що визначають цілісність соціально-економічної системи, її якісну визначеність та сутнісні характеристики;

розвиток - придбання нової якості, що змінює стабільність й умови функціонування соціально-економічної системи. Фактором розвитку є підвищення продуктивності праці, зміна його характеру, виникнення нової технології, посилення мотивації діяльності.

Зв’язок функціонування і розвитку відбиває можливість і закономірність настання та подолання криз. Функціонування стримує розвиток і в той же час є його живильним середовищем, розвиток руйнує багато процесів функціонування, але створює умови для його більш стійкого здійснення. Проте кризи відбивають не тільки протиріччя функціонування і розвитку, але можуть виникати й у самих процесах функціонування, також кризи не обов’язково є руйнівними - вони можуть протікати з різною мірою гостроти.

Причиною появи проблемних, а найчастіше й кризових ситуацій, може бути не тільки об’єкт, але й суб’єкт управління. Більше того, саме суб’єкт управління може бути найчастіше джерелом кризи, стан і розвиток якого можуть бути неадекватними стану й тенденціям розвитку об’єкта управління, що й породжує кризові ситуації. При цьому, чим вище ранг суб’єкта управління в ієрархічній системі, тим помітніший його вплив на первинні ланки економіки. Дуже важливо це бачити в системі державного управління. Очевидно, що під суб’єктом управління в даному випадку розуміється не тільки особистість, але й орган влади країни, регіону, галузі, що здійснює той чи інший вплив на економічну політику об’єктів управління.

Цікаво, що відповідно до концепції “рівноважного ділового циклу”, яка відбиває розвиток ідей монетаризму, держава відіграє роль своєрідного генератора грошових “шоків’, що виводять господарську систему зі стану рівноваги й у такий спосіб підтримують циклічні коливання в суспільному відтворенні.

Наслідки кризи залежать від ефективності антикризового управління, що може або пом’якшувати або загострювати кризу. Перелік сукупності можливих позитивних і негативних наслідків кризи достатньо значний:

) оновлення, оздоровлення, перебудова соціально-економічної системи або її руйнування, виникнення нової кризи;

) загострення або послаблення кризи;

) різкі зміни в соціально-економічній системи, або м’який вихід з кризи;

) довгострокові, короткострокові, якісні, кількісні зміни (або разом);

) незворотні або зворотні зміни.

Таким чином, наслідком кризи може бути як відновлення соціально-економічної системи, так і руйнування її, як розв’язання накопичених протиріч, так і виникнення нової кризи. Отже, вихід із кризи не завжди пов’язаний з позитивними наслідками. Не можна виключати перехід у стан нової кризи (навіть ще більш глибокої та тривалої). Кризи можуть виникати як ланцюгова реакція. Існує можливість і консервації кризових ситуацій на досить тривалий період (найчастіше це обумовлено певними політичними причинами). Тому, прийняття рішень антикризового характеру вкрай відповідальне для керівництва.

Власне будь-яке управління певною мірою має бути антикризовим, а соціально-економічна система повинна бути пристосована до тривалого існування з можливостями адаптації до умов, що змінюються. Можливості антикризового управління залежать від професіоналізму й мистецтва управління, характеру мотивації, розуміння передумов кризи та її наслідків, а також відповідальності уповноважених осіб.

.2 Дослідження економічних циклів найбільших економік СНД на основі процедури Брай-Бошена

Відповідно до уявлень більшості науковців, економічні цикли доцільно розглядати як коливальні процеси макроекономічної кон'юнктури навколо певних рівноважних значень агрегованих макроекономічних показників:

ВВП, інфляція, обмінний курс тощо. Згладжування коливань макроекономічної динаміки засобами грошово-кредитної й бюджетно-податкової політик є одним із приоритетних завдань держави у контексті за-безпечення сталого економічного розвитку. У свою чергу, ретроспективний аналіз ефективності застосування антициклічних заходів і розробка перспек-тивних планів щодо регулювання фаз економічних циклів можуть ефективно реалізовуватись лише на основі врахування результатів досліджень параметрів економічних циклів. Процедура Брай-Бошена передбачає обробку часових рядів даних на основі таких правил:

після зростання настає спад, як наслідок, кожному піку відповідає дно; - кожна фаза (від зростання до спаду і навпаки) повинна тривати не менше двох кварталів;

бізнес-цикл від піку до піку чи від дна до дна повинен тривати хоча б п'ять кварталів для розрізнення його від сезонного коливання;

поворотні точки протягом двох кварталів на початку або в кінці часового ряду не враховуються як піки (нижні точки);

перший або останній пік (дно) має бути більшим (меншим), ніж значення ближче до початку чи кінця часового ряду.

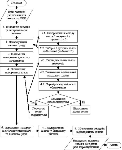
Алгоритм ґрунтується на підходах, подібних до методики Національного бюро економічних досліджень. Однак, на відміну від цієї методики, алго-ритм передбачає використання лише одного часового ряду для визначення фаз циклів - реального ВВП. Поетапну роботу алгоритму датування циклів на основі процедури Брай-Бошена наведено на рис. 1.2. Потрібно зазначити, що алгоритм передбачає виконання зазначених вище 5 правил (обмежень) щодо квартальних даних ВВП. Однак вони можуть відповідним чином трансформуватись при дослідженні циклічності річних(місячних) показників.

На першому етапі відбувається впорядкування вхідного часового ряду та підготовка його для подальшої обробки. Програма дослідження економічних циклів реалізована у вигляді набору файлів з відповідною логікою коду. Вхідні дані організовуються у вигляді набору даних щодо реального ВВП у текстовому файлі. Спочатку визначається тип вхідних даних, які аналізуватимуться: квартальні (місячні, річні). Далі встановлюються ключові початкові параметри вхідних даних: перший квартал (місяць, рік) і останній квартал (місяць, рік). Потім за спеціальною формулою визначається кількість вхідних даних для аналізу. Після цього отримане значення порівнюється з фактичним обсягом вхідних даних. У разі невідповідності програма інформує про помилку та вказує про необхідність зміни початкових параметрів.

Рис. 1.2. Схема роботи алгоритму програми на основі процедури Брай-Бошена

Потім відбувається завантаження вхідних даних з текстового файлу. Відповідно до кількості стовпчиків (у даному випадку - один з показників ВВП у розрізі кожної країни) визначається рівень ітерацій. У випадку декількох видів вхідних даних алгоритм повторюється відповідну кількість раз. У пропонованому дослідженні для всіх країн СНД використовується один показник - квартальні темпи росту реального ВВП у відсотках до відповідного кварталу попереднього року. Після завершення наведених вище процедур проводиться логарифмування даних для приведення їх до однієї розмірності, а також усунення невизначеностей і шумів. Порівнюється кількість розрахункових (відповідно до процедур алгоритму) і завантажених значень. При збігу зазначених показників починається розрахунок пікових і найнижчих точок, що є поворотними значеннями для циклів. Другий етап реалізації алгоритму передбачає обчислення різниці між наступним і попереднім значеннями рядів даних.

Для значних величин відбувається видалення їх з вибірки з поміщенням в окремий масив. Вважається, що ці дані спричинені або економічними чинниками, або сезонними коливаннями. На наступному кроці проводиться згладжування за методом ковзної середньої для визначення основної тенденції вхідного ряду. Згладжування методом ковзної середньої є найбільш поширеним способом видалення сезонної складової та ігнорування шуму в динаміці. З іншого боку, даний метод не змінює початкову тенденцію і є досить надійним [2]. У досліджуваному алгоритмі використовується ковзна середня Спенсера для виявлення основної динаміки при одночасному зниженні випадкової флуктуації(шуму) [10]. Ідея згладжування полягає в тому, щоб брати два сусідніх значення ряду та замінювати їх середніми, отримуючи таким чином новий ряд для дослідження. Параметр згладжування 2 означає, що беруться усереднені значення для двох сусідніх. Потім визначаються максимальні та мінімальні значення й поміщаються у масив. На третьому етапі проводиться віднімання згладжених даних від початкових і процедура повторюється, тобто поворотні точки визначаються знову, а потім порівнюються з двома попередніми масивами. Таким чином, усувається вплив сезонних чинників і підсилюється значення економічних чинників, що безпосередньо визначають ключові тенденції зміни досліджуваних показників.

Четвертий етап передбачає перевірку поворотних точок. Суть перевірки зводиться до таких кроків: спочатку повторюють процеси згладжування та запису результатів до масиву [5]. При підтвердженні збігу даних за трьома масивами ці точки визначаються поворотними для циклу. Далі визначається мінімальний цикл за тривалістю і проводиться перевірка відповідно до обмежень. Якщо умови не виконуються, то даний цикл відкидається, а далі проводиться обчислення наступного циклу. У межах п'ятого етапу, для отриманих точок при зміні тенденції зі зростання до падіння, номер відповідного значення вхідних даних визначається як пікова точка та виводиться на екран. На основі протилежних підходів виводяться номери значень вхідних даних, де спостерігаються найнижчі рівні показників порівняно з сусідніми [3, 32].

Шостий етап передбачає оцінку тенденції, показуючи цикли у вигляді бінарного набору (почерговий опис циклів зміною нулів та одиниць). При зміні тенденції опис циклу визначається переходом до іншого бінарного числа. Для фази спаду всі елементи вхідного ряду подаються як 0, а зростання - 1.

На сьомому етапі розраховуються статистичні характеристики для вхідних даних: тривалість, амплітуда, кумулятивне зміщення, ексцес. даних: тривалість, амплітуда, кумулятивне зміщення, ексцес.

Тривалість (durations) - кількість кварталів від піку до найнижчої точки або від найнижчої точки до наступного піку. У програмі розраховується два показники тривалості фаз циклу: середнє значення за всіма періодами спаду та середнє значення за всіма періодами зростання.

Амплітуда (amplitudes) - відсоткова зміна реального ВВП від піку до найнижчої точки або навпаки. У програмі розраховується два показники амплітуди фаз циклу: середнє значення за всіма періодами спаду й середнє значення за всіма періодами зростання. піку й спаду як відсоткова зміна ВВП за всіма піками або спадами, поділена на кількість елементів ряду, з яких видалено шуми. Показує довгострокову тенденцію зміни фаз часового ряду. Порівнюються параметри тривалості кожної наступної фази щодо попередньої. Із ряду таких показників виводиться усереднене значення.

Ексцес (excess movements percent of triangle area) - стрімкість підвищення або спаду кривої порівняно з нормальним законом розподілу (гостріша чи пологіша). У даному випадку крива нормального розподілу описується трикутником із визначеними середніми параметрами за вибіркою, а перевищення окремої хвилі спаду чи росту показують гостріший нахил, вміщення в трикутник - пологіший.

Також розраховуються середні помилки зазначених вище характеристик:

середня помилка амплітуди (розраховується аналогічно попередньому показнику, але для амплітуди - cv of amps);

середня помилка ексцесу (аналогічні розрахунки окремо для піків і спадів щодо ексцесу - cv of xss).

У дослідженні наведено результати дослідження економічних циклів найбільших економік СНД на основі процедури Брай-Бошена, що змодельована у MatLab. Початковий алгоритм було модифіковано для роботи з різними часовими рядами: для аналізу вхідних даних за будь-який період часу на основі використання місячних, квартальних або річних показників реального ВВП.

Розділ 3. Кризові явища в економіці України

.1 Поширення та класифікація кризових явищ в економіці України

Простежуючи економічні явища в Україні впродовж всього історичного шляху, видно, що вони протікали завжди в гострій боротьбі. Ця боротьба триває і до сьогодні. Ця боротьба є ніщо інше, як вияв кризових явищ. Будь-які кризові явища завжди мали і мають зовнішні і внутрішні чинники. Їх співвідношення, або їх інтегральна дія і визначають або економічний поступ, або економічний занепад.

Дослідження кризових явищ в економіці України є актуальними, бо вони допомагають зацікавленим у вирішенні назрілих проблем швидше розібратись в існуючій ситуації і накреслити правильні шляхи з рецесії.

В Україні дослідженнями кризових явищ в економіці займаються

В. Мельник, О. Барановський, І. Дорошенко, Н. Шелудько, Т. Вахненко,

П. Гайдуцький, О. Білорус та багато інших. У публікаціях вказаних та інших авторів розкриті різні аспекти фінансових криз у різні періоди, у них відображена фундаментальна інформація як щодо самих кризових явищ, так і причини, що їх породжують [7].Вчені систематизували наявні чинники фінансової кризи в Україні стосовно

місця їх виникнення, тобто поділили ці чинники на внутрішні та зовнішні, розуміючи, що в сьогоднішніх умовах економіка України не може мати сильного глобалізаційного впливу на економіки інших держав, очевидно навпаки, що зовнішні чинники ще тривалий час, допоки не зміцніє економічна система України, будуть мати домінуюче значення. Хоч при цьому завжди треба враховувати рівень інтегрованості національної економіки в світові господарські процеси. І зрозуміло, що вступ України до СОТ, зростання і пришвидшення у зв’язку з цим глобалізаційних процесів загалом, робить національну економіку більш вразливою. Основні внутрішні чинники кризових явищ в сучасній економіці України:

. Невміння використовувати інтелектуальний капітал в українському суспільстві.

Із розширенням застосування комп’ютерних технологій інформація і знання стають незамінним виробничим ресурсом, “який перевершує фінансовий потенціал і робочу силу”. Все це сприяє “виникненню інтелектуального капіталу як закономірного результату розвитку науки й технологій, глибокого проникнення їх у процес виробництва, піднесення ролі й значення науки, людського розуму, інформації і знань у розвитку економіки й суспільства”.2. Механізм відшкодування ПДВ. В Україні були випадки, коли підприємствам роками не відшкодовували ПДВ. Були також випадки безпідставного повернення ПДВ деякими податковими органами.

. Низький рівень валових міжнародних резервів України. У 2009 році він становив 20,3% ВВП. Для порівняння - в країнах з низьким і середнім рівнями доходів він складав 27%. А в 2013 році рівень валових міжнародних резервів складав 18,7%. У цьому ж періоді відношення міжнародних резервів до короткострокового зовнішнього боргу становило в Україні 1,2, тоді як середній показник для країн з низьким і середнім рівнем доходів становив 3,2. Зрозуміло, що сьогодні неможливо раптово поправити рівень валових міжнародних резервів.

. Відсутність динамічної податкової політики держави, яка би своєчасно реагувала на зміни в економіці. Цей чинник у порівнянні з перерахованими легше поправити, оскільки в державі ще не прийнятий Податковий кодекс. У такій ситуації, тобто в періоди криз, необхідно мінімізувати податковий тиск в державі до настання фази піднесення. Усе це також слід передбачити і записати в Податковий кодекс. І тоді в державі буде офіційно функціонувати правове забезпечення адекватної поведінки податкової служби відповідно до

мінливих умов економіки.

. Відсутність патріотизму у частини депутатів ВРУ, які не захищають інтереси свого народу.

. Високоризикована кредитна політика. В Україні кредити видавалися без реального забезпечення або з низьколіквідним забезпеченням. В покращенні кредитної політики позитивну роль може зіграти якісна робота бюро кредитних історій, а також удосконалення Закону України “Про Заставу” та інше.

. Слабкість фінансового стану клієнтів (позичальників). Для вивчення фінансового стану юридичних осіб позитивну роль відіграє бюро кредитних історій, про що вже згадувалося при аналізі попереднього чинника. Щодо фізичних осіб необхідно застосувати якісну оцінку кредитоспроможності позичальників, в якій потрібно розширити коло питань, що допоможе точніше визначити їх фінансовий стан.

. Недостатній нагляд за банківською системою. НБУ повинен вести строгішу політику щодо комерційних банків і оперативніше реагувати на зміни на валютному ринку, якщо такі зміни вже відбулися. Аналіз ситуації, що склалася на межі 2008-2009 років свідчить про те, що НБУ були допущені серйозні помилки в такому нагляді. Відповідну роль повинна відіграти Державна Комісія з регулювання ринку фінансових послуг, діяльність якої під час фінансової кризи в 2008-2009 роках була невиразною.

. Наявність асиметрії інформації між кредитором і позичальником. Тобто позичальники найчастіше мають більше інформації про інвестиційний проект, ніж кредитори, які в умовах неповної інформації змушені страхуватися від невизначеності, позичаючи гроші під середню процентну ставку між ризиковими і безризиковими інвестиціями. Внаслідок цього позичальники, яким потрібні гроші для фінансування високодохідних проектів із низьким ступенем ризику, змушені сплачувати більший процент, ніж за інформаційної прозорості. Водночас позичальники, що фінансують високоризикові проекти, мають можливість одержати гроші під нижчий процент.

Усе це спричиняє витіснення “хороших” інвестиційних проектів “поганими”, а отже, зниження якості портфелів фінансових посередників”.

. Недостатній професіоналізм фінансових менеджерів і особливо в банківському секторі економіки. Досвід уже двох фінансових криз в Україні показав, що фінансові менеджери не завжди діяли адекватно до умов кризи. Багатьох негативних результатів кризи можна було оминути, якби фінансові менеджери своєчасно реагували на мінливі події. Отже, школу фінансових менеджерів і особливо в кризових умовах, необхідно удосконалювати.Загальний аналіз фінансової кризи в Україні показав, що значний вплив на її результати мали зовнішні чинники, з якими Україні важче справитися, а часом і зовсім неможливо. Розглянемо ці чинники.

. Неефективна структура іноземних інвестицій в економіку України. Інвестиції в Україну в основному направлені на посередницькі види діяльності: фінансову, банківську, торгівлю, операції з нерухомістю. Все це закріплює сировинну орієнтацію економіки.

У державі мають бути створені умови, має бути правове забезпечення вкладення іноземних інвестицій в основний капітал, а саме в промисловість, сільське господарство, транспорт, зв’язок.

. Зростання інвестицій з України в економіку інших країн. Вивіз капіталу негативно впливає на розвиток інвестиційних процесів в Україні, бо капітал вивозиться в іноземній валюті, яка має позабалансовий обіг. Це і було однією з причин, що спровокували кризу на валютному ринку України.

Якщо експорт капіталу сприяє експорту товарів і підтримці зайнятості, вирішенню інших національних проблем, то “втеча” капіталу свідчить про критичний рівень проблем у національній економіці, низьку ефективність внутрішнього інвестування; веде до збідніння національної економіки, зниження можливого рівня інвестицій, загалом, до погіршення перспектив розвитку.

. Приєднання України до СОТ. Поряд з позитивними елементами, цей процес може породжувати і провокує ризики, що пов’язані з лібералізацією торгівлі в умовах недостатнього рівня міжнародної конкурентоспроможності та структурної недосконалості української економіки.

. Тимчасова орієнтація в системі економічної глобалізації переважно на галузі, що виробляють низькотехнологічні товари.

Зрозуміло, що в цьому плані необхідно здійснити кардинальні зміни. В інтересах національної економіки ця ситуація має кардинально змінитися, тим більше, що в Україні є всі необхідні потенційні можливості для цього.

. Глобалізаційні процеси в світовій економіці, окрім позитивних результатів, мають і негативні наслідки. Висока взаємозалежність фінансових ринків різних країн сприяє тому, що негативні зовнішні шоки можуть переливатися у здорові країни. Л. Кодрес і М. Пріцкер розробили теоретичну модель, згідно з якою інфікування залежить, у тому числі, від рівня асиметрії інформації.

. Наявність спільного кредитора з тією країною, де фінансова криза вже виникла. Про це яскраво свідчать факти з першої фінансової кризи літа-осені 1998 року, коли слабка інтегрованість економіки України не дала можливості розвиватися кризі у більші масштаби.

Параметри цієї кризи залежали, в основному, від інтегрованості національної економіки в економіку Росії

. Фінансова глобалізація, що супроводжується формуванням транскордонного капіталу й підвищенням його мобільності, утворенням транснаціональних компаній. Ці компанії, цей транснаціональний капітал старається перекривати збитки, які в нього виникають за рахунок периферійних ринків, до яких належить і український ринок.

. Негативні наслідки глобалізації проявляються ще й тому, що вона сприяє створенню сприятливих умов для легалізації незаконних доходів. За даними FATF загальна сума штатних доходів, що легалізуються перевищує 3 трлн американських доларів на рік; розхитується стабільність національної валюти й банківської системи; розширюються можливості для ухилення від сплати податків.

Глобалізація спричиняє виникнення глобальних комп’ютерних мереж, а це створює умови для миттєвого переливу капіталу. Цьому сприяє постійна і надмірна відкритість фінансових ринків і прискорена лібералізація зовнішньої економічної діяльності.

Розширюються функції банків. Якщо раніше банк виступав тільки як фінансовий посередник, то в умовах глобалізації банк, окрім того, виконує функції операторів на фондових і валютних ринках[11, c. 23].

Найбільший вплив на глобалізацію світової економіки через міжнародну торгівлю мають вісім країн світу: США, Японія, ФРН, Китай, Великобританія, Франція, Італія, Нідерланди. Це половина обороту міжнародної торгівлі і дві третини світового ВВП.

. Зменшення схильності інвесторів до прийняття ризиків. В державі має постійно проводитись політика активного залучення іноземних інвесторів до вкладання коштів в економіку України. Необхідно всілякими методами, підключаючи рекламу, яскраво висвітлювати вигоди, які отримає іноземний інвестор в нашій державі. Про це також повинні постійно дбати всі зовнішньоекономічні і дипломатичні представники нашої держави.

. Кредитна криза у розвинутих країнах, зокрема у США. Недоліки в американській системі кредитування, іпотечна криза і спад у американській економіці. ФРС для запобігання кризи з 2003 року знизила процентну ставку до 1 % (а з грудня 2013 року ФРС зберігає вартість грошей у діапазоні 0-0,25 % річних). В державі активно видавались кредити під будівництво житла.

Знизилася якість кредитування. Кредити видавалися без підтверджуючих документів про доходи.

Не використовувалась інформація бюро кредитних історій. Бували випадки, коли кредити видавалися без оформлення застави. В таких умовах кредит могли отримати неплатоспроможні клієнти в сумах, що в багато раз перевищували їх потенційні можливості. Було запроваджено пільгові строки погашення тіла кредиту і сплату процентів.

.2 Фінансова криза в Україні

економічний криза цикл

Проблема нестабільності валютно-фінансової системи України має досить специфічні характеристики. З одного боку, кризові явища пов'язані з моделлю економічного розвитку держави та можливостями здійснення відчутних економічних реформ, з іншого - нестабільність у валютній сфері характеризується проблемами внутрішньої та зовнішньої боргової залежності країни. Основні тенденції розвитку останнього десятиліття, навіть із невдачами у перебігу економічних реформ, у цілому підтвердили обраний теоретичний підхід до ринкових перетворень: східноєвропейські та прибалтійські країни, де було реалізовано найважливіші пункти стандартної програми міжнародних фінансових організацій, змогли порівняно швидко подолати трансформаційну кризу. Водночас менш сумлінні й послідовні у здійсненні запропонованої програми країни СНД, зокрема Росія та Україна, ще й досі продовжують боротися за оздоровлення економіки[11].

Сучасний розвиток валютно-фінансової системи нашої країни характеризується дією так званих позаекономічних чинників, які відчутно впливають на її розвиток. Це, на нашу думку, чинники «стадної поведінки», психологічного ризику, епідемічного поширення кризових явищ та суто політичних зрушень, що впливають на поточний або майбутній стан економіки[2, c.594]. Проте вітчизняні вчені не виокремлювали зазначені фактори як такі, що здатні спровокувати складний механізм розгортання тенденцій нестабільності.

На думку вчених, фінансова криза містить такі елементи, як різке падіння цін на активи, масове банкрутство як у фінансовому, так і нефінансовому секторі та порушення діяльності валютного ринку.

Криза, яка нині зароджується у валютно-фінансовому, банківському, виробничому та інших секторах економіки України не є кризою в її канонічному розумінні, адже за своєю специфікою вона не є циклічною. Це відбулося через низку об'єктивних політичних і економічних чинників, зокрема, зниження інвестиційної активності яке спричинило:

обмеженість інвестиційних ресурсів товаровиробників через збільшення коштів для фінансування затрат на оплату праці (у зв'язку з підвищенням мінімальної заробітної плати);

зростання соціальної складової у державних видатках, що значно зменшило порівняно з минулим роком обсяг державних інвестицій та, відповідно, позначилось на інвестиційній діяльності окремих галузей економіки;

пасивність великого бізнесу у прийнятті інвестиційних рішень до закінчення процесу реприватизації, а також через скасування податкових пільг для суб'єктів господарювання спеціальних економічних зон та територій пріоритетного розвитку.

Криза як специфічна фаза циклу, що характеризується порушеннями рівноваги, зміною звичного устрою або функціонування, є прогнозованою, адже циклічність як така відтворює закономірність розвитку будь якого процесу[6, c. 20]. Відповідно, криза, викликана об'єктивними циклічними процесами в економіці, не передбачає раптових коливань подібної амплітуди, а, навпаки, характеризується тривалістю фаз зародження та розгортання, які формуються на попередніх етапах. Таким чином, проблеми розгортання кризових явищ в Україні мають досить специфічні характеристики. З одного боку, кризові явища пов'язані з моделлю економічного розвитку держави та можливостями здійснення відчутних економічних реформ. З іншого - кризові явища відрізняються певною специфічністю залежно від сфери їх прояву.

Основною причиною фінансової кризи на українському підґрунті є наслідки прийняття і реалізації бюджету, який має соціальну спрямованість попри задекларовані орієнтири на інноваційно-інвестиційний розвиток України. Таким чином, на сучасному етапі, ризики національної фінансової системи перебувають насамперед у площині бюджетно-боргової сфери[10, c. 29].

На сьогодні сформувалися напрями, за якими світова криза здійснює вплив на економіку України.

. Циклічне уповільнення світової економіки, що в цілому може скоротити попит на експортну продукцію, а отже, експортну виручку і далі за ланцюжком призвести до зменшення надходжень до державного бюджету, девальвації гривні і зниження заробітної плати тощо.

. Висока волатильність цін на світових товарних ринках, коли спостерігаються різкі стрибки цін на біржові товари, зокрема, залежно від ситуації на фінансових і валютних ринках. У разі їх значного падіння ефект буде такий саме, але ще може додатися проблема скорочення торговельного балансу, що, у свою чергу, здатне негативно позначитися на поточному рахунку, тобто ослабити міжнародну позицію України.

. Обвал котирувань на світових фондових ринках, який призвів до різкого падіння вартості акцій українських компаній.

Щоб визначити вплив фінансової кризи на українську економіку треба проаналізувати макроекономічні показники. Розглянути вплив кризових явищ на сектори економіки України, а також виділити фактори вразливості економіки. У таблиці 1.3. представлені макроекономічні показники за 2000-2013 рр.

Таблиця 1.3. - Макроекономічні показники за 2000-2013 рр.


2000-2007, середнє

2008

2009

2013 (прогноз)

ВВП, % зміни

7,5

2,3

-15,9

3,0

Дефіцит бюджету, % ВВП

-0,8

-7,0

-4,0

Рівень інфляції, %, на кінець року

11,3

22,3

12,3

10,0-13,0

Обмінний курс, грн./дол., на кінець року

5,2

7,7

8,0-9,0

8,0

Рахунок поточних операцій, % ВВП

5,7 (2000-2005) -2,6 (2006-2007)

-7,1

-1,0

0,5

Валові міжнародні резерви, млрд. дол.

1,5 (2000) 32,5 (2007)

31,5

25,0

28,0

Зовнішній борг уряду, % ВВП

21,3 (2003) 8,7 (2007)

9,2

25,8

24,0


Світова криза ліквідності мала сильний негативний вплив на Україну.

. Індекс фондового ринку ПФТС у 2008 році впав на 74%.

. В останньому кварталі 2008 року девальвація гривні відносно долара склала 58%.

. ВВП у 2009 року впав на 15,9%.

. У січні-липні 2009 року обсяги експорту українських товарів скоротилися на 49% у річному численні.

. У січні-липні 2009 року обсяг промислового виробництва зменшився на 30% у річному численні.

. На кінець першого півріччя 2009 року рівень безробіття склав 9% порівняно з 6% у 2008 році.

. У першому півріччі 2009 року реальні доходи громадян знизилися на 10%.

Україна зіткнулась з серйозними викликами щодо запобігання різкому знеціненню національної валюти й утримання цінової стабільності, уникнення колапсу кредитної системи і підтримання дієздатної платіжно-розрахункової системи, припинення руйнівних процесів ерозії внутрішніх депозитів і втечі резидентів від національної валюти, зменшення масштабів виведення іноземних капіталів і гарантування зовнішньої платоспроможності країн.

Криза - це реальна можливість й необхідність кардинальних реформ, здатних забезпечити прискорений кількісний та якісний розвиток економіки у майбутньому. І думати про це майбутнє необхідно вже сьогодні.

Розділ 4. Антикризові заходи

.1 Досвід країн світу

Світова фінансова криза, яка в процесі свого розгортання породжує економічну кризу в багатьох країнах світу, змусила уряди і центральні банки вживати швидких і масштабних рішень щодо підтримання стійкості фінансової системи країни, забезпечення ліквідності банківської системи, підтримання виробництва і економічного зростання, а також мінімізації соціальних втрат працівників і населення[1, c. 36]. Серед значного різноманіття антикризових заходів, які вживаються різними країнами світу, чільне місце посідають заходи, спрямовані на безпосередню підтримку компаній як фінансового, так і реального секторів економіки, що потерпають від кризи. Системним наслідком таких заходів, на думку авторів, має стати відновлення або прискорення економічного зростання, підвищення конкурентоспроможності компаній, збереження, або збільшення зайнятості. Узагальнення міжнародного досвіду дозволяє виокремити низку антикризових інструментів у наступних сферах.

. Розширення пропозиції кредитних ресурсів:

• збільшення кредитування економіки банками розвитку;

• збільшення статутного капіталу державних банків;

• придбання комерційних цінних паперів, випущених компаніями з метою послаблення жорсткості умов фінансування.

. Підтримка малого й середнього бізнесу:

• субсидування процентної ставки за комерційними кредитами для малих і середніх підприємств (МСП) та домогосподарств;

• тимчасове зниження ставки корпоративного податку для МСП;

• звільнення підприємств від сплати певної частки відрахувань до бюджету при прийнятті на роботу нових працівників та поступове збільшення таких відрахувань в наступні періоди;

• створення спеціальних фондів, які надаватимуть кредити МСП, що мають потенціал для зростання і створення додаткових робочих місць;

• надання спеціалізованими кредитними установами позик

підприємствам на покриття короткострокових фінансових потреб МСП, які потерпають від нестачі оборотного капіталу;

• розширення кредитних ліній, що надаються державними фінансовими установами;

• збільшення мінімального ліміту кредитів, що надаються для малих підприємств та фізичних осіб;

• спрощення процедури отримання кредитів для МСП, відкриття власної справи, надання на ці цілі податкових пільг, фінансування консалтингових послуг;

• розміщення коштів державних суверенних фондів у банках другого рівня на програми фінансування малого й середнього бізнесу.

. Стимули для інвестицій та інновацій:

• надання тимчасових інвестиційних податкових пільг на придбання нових матеріальних активів та капітальні інвестиції;

• відшкодування частини витрат на сплату відсотків за кредитами, спрямованими на технологічне переоснащення;

• прийняття на себе відповідальності державним банком розвитку в розмірі до 80 % кредиту і покриття ним банківських ризиків за контрактами, що були укладені в 2012-2013 роках;

• зниження процентної ставки за кредитами з метою фінансування інвестицій та оборотного капіталу;

• зменшення норми амортизаційних відрахувань на рухоме майно, що буде утримуватися на балансі підприємства протягом двох років;

• утворення стратегічного фонду інвестицій для захисту промисловості від іноземних поглинань (фонд може викупати частки великих і стратегічно важливих компаній, уразливих до поглинань через падіння цін акцій);

• субсидування та розширення кредитування житлового будівництва;

• направлення капіталу до малих підприємств, сільських областей, на технічні нововведення та індустріальну раціоналізацію шляхом скасування обмежень у розмірах кредитів для комерційних банків;

• податкові пільги для стимулювання довгострокових інвестицій в акції;

• пряме державне фінансування перспективних проектів;

• залучення прямих інвестицій шляхом створення спільних фондів із зарубіжними партнерами;

• збільшення асигнувань на реконструкцію будівель з метою поліпшення їхньої енергетичної ефективності;

• надання допомоги та кредитів, спрямованих на вдосконалення транспортних засобів та розробку альтернативних видів палива;

• інвестиції на наукові дослідження та розробки;

• списання податкових платежів для високотехнологічних досліджень, зокрема, досліджень, основна увага яких приділяється промисловості, що не забруднює повітря;

• прискорення відшкодування податкових кредитів для науково-орієнтованих інвестицій в МСП;

• купівля акцій технологічних компаній, з метою погашення ними боргів; при цьому вони зобов’язані викупати назад свої частки, після того, як їхні труднощі минуть;

• надання кредитів, атестація продукції, закупівля й маркетингові дослідження для просування нових продуктів для заохочення розвитку енергозбереження, нових технологій і видів продукції;

• збільшення фінансування університетів, місцевих науково-дослідних інфраструктур та розвитку кар’єри дослідників.

. Підтримка галузей:

• надання знижки для покупців нових автомобілів у разі позбавлення від старих транспортних засобів, а також звільнення від сплати податку з власників транспортних засобів для нових автомобілів строком до двох років;

• надання коштів на ремонт державного житла для бідних верств населення;

• підвищення субсидій для фермерських господарств, збільшення обсягів державних закупівель продовольства у фермерів;

• субсидування кредитів для агропромислового комплексу в розмірі від 80 % до 100 % ставки рефінансування Центрального банку;

• розширення обсягу і спектру державних інтервенцій на сільгосппродукцію за фіксованими закупівельними цінами;

• підвищення мінімальної закупівельної ціни зернових для підвищення доходів населення сільських територій та повернення додому робітників-мігрантів з міст.

. Підтримка експортерів:

• надання субсидій організаціям-експортерам промислової продукції для відшкодування частини витрат на сплату відсотків за кредитами, отриманими для виробництва продукції на експорт;

• зниження експортних мит на нафту та нафтопродукти;

• створення спеціальної кредитної лінії серед банків, які мають виступити в якості гарантів експортних контрактів;

• відшкодування податку з продажу та акцизного збору для експортерів;

• збільшення експортних податкових пільг для заохочення експорту високоякісної кінцевої продукції за рахунок:

• поповнення центрального фонду розвитку зовнішньої торгівлі;

• збільшення ставки відшкодування податку на частину трудомістких виробів продукції машинобудування, електронної продукції й інших товарів, на сфері виробництва яких особливо сильно позначається фінансова криза;

• збільшення податкових пільг для деяких видів продукції, техніки, високотехнологічних, механічних та електротехнічних виробів з високою доданою вартістю;

• надання кредитів з кращими умовами для експортерів через підтримку відповідних посередників, таких, як експортний банк, компанія страхування експорту, банк розвитку;

• збільшення експортних гарантій інститутом експортного кредитування.

. Податкові інструменти:

• зниження ставки ПДВ;

• зниження ставки податку на прибуток;

• збільшення розміру амортизаційних премій;

• збільшення періоду розстрочки по сплаті податків і платежів до бюджету для малих компаній (зокрема, ПДВ, податок на корпорації, прибутковий податок та державне страхування) за узгодженим з податковою службою розкладом;

• відстрочка підвищення ставки корпоративного податку для малих підприємств;

• прискорення відшкодування ПДВ, яке має відбуватися щомісяця, (там, де це здійснювалося щорічно);

• надання податкових преференцій та використання прискореної амортизації при здійсненні інвестицій;

• скорочення податку з бізнесу і прибуткового податку, що стягується з операцій з нерухомістю;

• збільшення мінімального обсягу обороту, що не обкладається ПДВ;

• перенесення термінів збитків для всіх підприємств з 3 до 10 років;

• зниження стандартної ставки ПДВ за витратами, що понесені на будівництво нового приватного житла;

• скорочення санкцій за прострочення сплати податків, внесків на соціальне страхування і несвоєчасну виплату відсотків;

• зменшення податку на дивіденди;

• зменшення відрахувань підприємств до фонду соціального страхування.

В якості важливого стимулятора економічної активності у міжнародній практиці розглядається розвиток інфраструктурних проектів. Зокрема, нові інфраструктурні проекти передбачають модернізацію транспортної інфраструктури, енергетики, в тому числі альтернативних джерел енергії, а також сільського господарства[17].

Так, в США згідно Проекту відновлення і реінвестування для розвитку інфраструктури передбачено фінансування протягом двох років будівництва і реконструкції доріг і мостів, інвестицій в залізничний транзит, медичних інформаційних технологій, проектів, спрямованих на «озеленення» Америки, енергоефективності громадських будівель на федеральному, державному і місцевому рівнях, будівництва, ремонту і модернізації шкіл і лікарень, екологічних проектів. Загальна вартість проекту складає 180 млрд дол. США[8].

Європейський інвестиційний банк надаватиме додаткові кредити для розвитку енергетики, інфраструктури та подолання наслідків зміни клімату. На реалізацію зазначених заходів виділено 14 млрд євро.

В Німеччині було прийнято два пакети антикризових заходів. Ними передбачено додаткове фінансування програм підвищення енергоефективності, інноваційної та інвестиційної програм в транспортній галузі, громадських інфраструктурних проектів. Загалом на подолання наслідків кризи передбачено 27,2 млрд євро[6].

Реалізація антикризових заходів вимагає концентрації значних фінансових ресурсів. В конкретних країнах застосовуються різні комплекси джерел фінансування, серед яких, зокрема:

• збільшення дефіциту державного бюджету внаслідок надання низки податкових пільг;

• зростання державного боргу;

• використання валютних резервів для вливання ліквідності в банківську систему (Корея), підтримки доступу компаній до ліквідності (Бразилія);

• випуск казначейських облігацій;

• використання коштів фондів суверенного багатства чи національних фондів (Казахстан, Росія, Норвегія)

• використання коштів державних та місцевих бюджетів;

• використання коштів державних банків та банків розвитку.

.2. Особливості антикризового управління в Україні

Структурні зрушення в економіці, нестабільність зовнішнього середовища, розрив налагоджених виробничих зв'язків, зміна форм власності і реструктуризація підприємств вимагають перегляду вироблених стереотипів управлінського мислення і переходу до нових форм і методів системи управління. Це пов'язане також із тривалим процесом диференціації й інтеграції структур, методів й інших елементів систем управління виробництвом, що спостерігаються в даний час у світовому співтоваристві.

Головною проблемою управління всередині організації, підприємства стає адекватність стимулів і форм взаємодії параметрів об'єкта і суб'єкта управління умовам і методам розв'язання завдань виробництва, його ефективності.

Варто враховувати, що характеристики зовнішнього і внутрішнього середовища підприємства в умовах сучасного виробництва і соціального розвитку працівників усіх категорій надзвичайно рухливі. При цьому виробничі системи мають ряд особливостей, знаючи і володіючи якими можна ефективно ними управляти.

Виникнення тієї чи іншої виробничої системи, природно, зумовлено виникненням чи формуванням на ринку попиту на продукцію, здатну задовольнити вимоги покупців. Інакше кажучи, виробнича система повинна бути пристосована до тривалого існування для задоволення купівельного попиту, що змінюється.

Отже, неминуче виникають виробничо-економічні проблеми оптимізації нових зв'язків (зовнішніх і внутрішніх), проблеми їхнього стикування в організаційному, економічному і науково-технічному аспектах.

Антикризове управління - це управління, яке спрямовано на передбачення небезпеки кризи, аналіз її симптомів і усунення загроз появи кризових ситуацій, а в разі їх появи - аналіз і прийняття швидких заходів ліквідаційного характеру з найменшими втратами та негативними наслідками. Велике значення при цьому має використання факторів кризи для наступного розвитку підприємства. Можливість антикризового управління визначається, у першу чергу, людським фактором. Усвідомлена діяльність людини дозволяє шукати і знаходити шляхи виходу з критичних ситуацій, концентрувати зусилля на вирішенні найбільш складних проблем, використовувати накопичений, у тому числі тисячоліттями, досвід подолання криз, пристосовуватися до ситуацій, що виникають.

Тому основною метою антикризового управління є забезпечення гарних результатів - запланованих чи випадкових - за допомогою здорової організації, що досягається шляхом використання оточення на основі добре поставленого управління людьми і комунікаціями. Реалізація поставленої мети полягає в належному балансі між вимогами, висунутими ситуацією, і особистими якостями керівника з урахуванням зрілості (компетентності, досвіду) і готовності колективу до співробітництва.

Суть антикризового управління виражається в таких положеннях: кризи можна передбачати, очікувати і викликати; кризи у визначеній мірі можна прискорювати, випереджати, відсувати; до криз можна і необхідно готуватися; кризи можна пом'якшувати; управління в умовах кризи вимагає особливих підходів, спеціальних знань, досвіду і мистецтва; кризові процеси можуть бути до визначеної межі керованими; управління процесами виходу з кризи здатне прискорювати ці процеси і мінімізувати їхні наслідки.

Для того, щоб організація домоглася успіху, керівник повинен уміти передбачати можливість, імовірність появи тих чи інших виробничих ситуацій, бути готовим до них і діяти адекватно сформованим обставинам.

Кризові явища в економіці, як не банально це звучить, роблять сильних сильними, а слабких усувають з галузей і ринків. Компанії, що розвивалися на ринках України в «до кризовий період», які перебували в перманентній організаційно-управлінській кризі, чекає неминуче банкрутство, якщо найближчим часом вони не зроблять радикальних змін в своїх підходах до управління і ведення бізнесу. Що ж таке організаційно-управлінська криза?

Якщо коротко, то організаційно-управлінська криза - це системна неспроможність нарощувати і ефективно використовувати наявні організаційні ресурси, а саме людські, фінансові, часові, маркетингові і інформаційні. Явні ознаки, по яких можна визначити, що компанія знаходиться в стані управлінської кризи наступні:

• Реактивне реагування на проблеми. Проблеми вирішуються у міру їх надходження.

• Ніякі несприятливі сценарії організаційного розвитку заздалегідь не розглядаються, відповідно ніякі попередні плани виходу з них не розробляються;

• Замість «що робити?», керівництво зайняте питаннями «хто винен?». Пошук винних, замінює концентрацію на пошуках виходу з кризових станів;

• Немає досвіду роботи компанії в рамках розробленої, кількісно та якісно обґрунтованої стратегії;

• Ресурси компанії, окрім фінансових, не піддавалися систематичній оцінці. Маються на увазі, перш за все людські, маркетингові, інформаційні, організаційно-управлінські та адміністративні.

Що необхідно зробити власникам, інвесторам, акціонерам і топ-менеджерам компаній, для зміни ситуації? Перш за все, необхідно провести організаційну діагностику, оцінити наявні ресурси і поміняти стиль управління з реактивного на проектний. Проектний стиль управління виявляється, перш за все, в здатності розробляти плани діяльності відповідно до можливих сценаріїв розвитку несприятливих подій. Тобто діяти превентивно, чітко прорахувавши заздалегідь ресурси, які будуть потрібні в тих або інших ситуаціях. Іншими словами, проектний стиль предбачає розробку заздалегідь декількох антикризових стратегій, використовуючи технологію ТСАС (технологія створення антикризової стратегії).

Технологія Створення Антикризової Стратегії полягає в послідовному здійсненні ряду необхідних дій, метою, яких є створення найбільш адекватного плану діяльності бізнесу або компанії в умовах кризи і подальшого виходу з неї. Які ж складові цієї технології? З чого потрібно почати і до чого слід прийти? Перш за все, необхідно створити орган антикризового управління, який, як правило, носить назву комітет антикризового стратегічного управління (КАСУ), потім необхідно навчити людей, що увійшли до такого комітету, навичкам діяльності в робочих групах. Наступним кроком є проведення комітетом ресурсного аналізу Компанії або Бізнесу. Потім складається карта сценаріїв несприятливого розвитку на вибраному ринку (ринках, якщо діяльність компанії диверсифікована). Для кожного сценарію виробляється план реагування. У момент початку здійснення сценарію КАСУ вводить в дію відповідний план. Надалі комітет здійснює контрольні функції на фазі здійснення плану і вводить корегування, у разі відхилень від наміченого плану.

Висновок

В цій роботі було дано конкретні відповіді на конкретні запитання, а саме:

. що економічна криза - це значне порушення рівноваги в господарській системі, що часто супроводжується втратами й розривом нормальних зв'язків у виробництві й ринкових відносинах, що, в остаточному підсумку, веде до дисбалансу функціонування економічної системи в цілому.

. Існує багато видів економічних криз (більшість з них наведена вище в роботі) і на мою думку ця кількість не буде стояти на місті, так само як не стоїть на місті економіка, будуть з'являтися нові види криз, але разом з цим - і нові методи їх вирішення.

. Тема економічної кризи цікава, думаю не тільки мені. Вона буде актуальною ще велику кількість часу, а, можливо, і завжди, оскільки, я не думаю, що найближчим часом економісти навчаться згладжувати цикл до такого ступеня, щоб її амплітуда коливань була рівна нулю. При амплітуді коливань більше нуля - це вже цикл.

. Коли спостерігаєш, як назрівають і відбуваються кризи в країнах - лідерах, таких як США, Японія, Німеччина, Англія, Франція, то мимоволі замислюєшся, що навіть такі багаті країни, стільки фахівців, що мають, засобів, впливу дотепер не можуть уникнути криз.

Також в ході виконання роботи я дізнався, що в Україні також були економічні спади і підйоми.

. Основними ознаками, властиві економічній кризі України, були:

) Катастрофічний спад виробництва і його низька ефективність.

) Криза платежів, що охопила практично всі галузі народного господарства, включаючи банківську систему.

) Криза фондового ринку.

) Криза державних платежів і державних фінансів в цілому.

) Криза банківської системи.

) Криза фінансів підприємств.

Також економічній кризі властива "Галопуюча" інфляція, яка виступає у вигляді:

А) Фактична девальвація гривни.

Б) Зростання реальних цін на імпортні товари.

В)Зниження купівельної спроможності населення унаслідок зростання цін без відповідного зростання заробітної платні.

Г) Зростання безробіття.

Свою дію на кризу має криміналізація економіки, а саме:

А) "Тінізація" економіки.

Б) Витік грошових коштів українського походження за межу.

В) Корупція.

Г) "Витік мізків".

Список використаної літератури

1. Базилевич В. Д., Баластрик Л. О. Макроекономіка: Навч. посібник. − К.: Атіка, 2002. - С.13-14

. Базилевич В.Д. Історія економічних учень. Навчальний посібник / Базилевич В.Д., Гражевська Н.І., Гайдай Т.В., Леоненко П. М., Нестеренко А. П. - К.: Знання, 2004. - С.1300

. Башнянин Г. /., Лазур П. Ю., Медведев В. С. Політична економія. − К.: Ніка-Центр: Ельга, 2000. − С.34

. Бобкевич М.С. Антикризові заходи: крок за кроком // Червоний гірник. - 2009. - № 18. - С.1-2.

. Бобров В. Я. Основи ринкової економіки і підприємництва: Підручник. - К.: Вища шк., 2003. − С.23-24

. Буковинський С.А. Фінансова криза в Україні: вплив на розвиток економіки та деякі заходи з досягнення фінансової стабільності / С.А.Буковинський // Фінанси України. - 2010. − №11. - C.10-30.

. Василенко В. О. Антикризове управління підприємством: навчальний посібник / В. О. Василенко. - 2-ге видання, виправлення і доповнення - Київ: Центр навчальної л-ри, 2008. - С.507

. Гнибіденко І.Г. Вплив світової фінансово-економічної кризи на соціальну сферу України / І.Гнибіденко // Економіка України. - 2009. − № 7. - С.64-73

. Економічні кризи: природа, наслідки та виклики / М.-Ю. Чень, Ч.К. Чуль, М.-Й. Леонг // Актуальні проблеми економіки. - 2012. − №7. - С.528-537.

. Клочко В. Глобалізація та особливості сучасної економічної кризи // Економіка України. - 2011. - №9. - С.48.

. Ковальчук В.М. Економічна теорія: короткий курс. - Тернопіль, Астон, 1997. − №7. - С.45-48

. Кривов’язюк І.В. Кризові явища в українській економіці та їх зв’язок з циклічністю / І.В.Кривов’язюк // Економіка та держава. - 2010. − №12. - С.5-8

. Кузнецов О. Особливості антикризової програми «Групи двадцяти» // Економіка України. - 2011. − №1. - С.70.

. Лігоненко Л. О. Антикризове управління підприємством: теоретико-методологічні засади та практичний інструментарій: монографія / Л. О. Лігоненко. - К.: Наук. думка, 2000. - С.390.

. Любич А.С. Загальна економічна теорія. Підручник у 2-х част. - Тернопіль, Астон, 1996. - С.12

. Онищенко В. Модернізація як імператив розвитку України // Економіка України. - 2011. − №7. - С.4.

. Педь І.В. Антикризові заходи: досвід країн ЄС //Формування ринкових відносин. - 2012. − №9. - С.16-21.

. Пороховский О.А. Економічна криза як рубіж сучасного світового і національного розвитку / О.А. Пороховский // Економічна теорія. - 2009. - № 1. - С. 5-14.

. Пріб К. А. Механізм стабілізації діяльності сільськогосподарських підприємств в умовах впливу фінансово-економічних криз // Економіка АПК. - 2012. − №5. - С.52

. Радіонова І.Ф. Макроекономіка та економічна політика. - К.: Таксон, 1996. − №11. - С.45-50.

. Савченко А.Д. Причини фінансової кризи та шляхи її подолання в Україні // Голос України. - 2008. − № 211. - С. 3.

. Савченко, Т.Г. Дослідження економічних циклів найбільших економік СНД на основі процедури Брай-Бошена / Т.Г.Савченко, І.П.Манжула // Актуальні проблеми економіки. - 2011. − №9. - С.289-299.

. Слізкова, Г.В. Особливості кризових явищ та антикризового управління в Україні / Г.В.Слізкова // Формування ринкових відносин в Україні. - 2011. - №10. - С.66-72.

. Федоренко В.Г., Діденко О.М., Руженський М.М., Іткін О.Ф. Політична економія: Підручник / За науковою ред. доктора економ. наук проф. В.Г. Федоренка. - К.: Алерта, 2008. - С. 487

. Чередніченко С.В. Заходи виходу України із сучасної фінансової кризи / С.В.Чередніченко // Держава та регіони. - 2010. − №6. - С.74-79.

. Яценко Г.Ю. Канали та індикатори поширення кризових явищ в економіці України / Г.Ю.Яценко // Економіка України. - 2013. − №6. - С.42-54

Похожие работы на - Економічна рівновага і циклічність. Типи циклів

 

Не нашли материал для своей работы?
Поможем написать уникальную работу
Без плагиата!
Без нейросетей!