Економічна політика України
ЗМІСТ
Вступ
. Теоретична частина
.1 Зміст і загальна характеристика економіки та
економічної політики держави
.2 Основні складові економіки України
Практична частина
. Аналіз економічної сфери України (статистичні
показники та їх аналіз). Показники сільського господарства, а саме
РОСЛИННИЦТВА)
.1 Посівні площі сільськогосподарських культур
.2 Площа, з якої зібрано врожай сільськогосподарських
культур
.3 Виробництво сільськогосподарських культур
.4 Урожайність сільськогосподарських культур
.5 Індекси виробництва основних сільськогосподарських
культур
.6 Валова продукція сільськогосподарської продукції
.7 Продуктивність праці сільськогосподарської
продукції на підприємствах
.8 Рівень рентабельності виробництва
сільськогосподарської продукції в сільськогосподарських підприємствах
.9 Виробництво основних видів продукції рослинництва
на одну особу
.10 Реалізація продукції рослинництва
. Прогнозування та перспективний план рослинництва на
майбутні роки
Висновки
Список використаної літератури
ВСТУП
Матеріальні і духовні цінності створюються працею людей. В
Україні працюють тисячі підприємств (заводів, фабрик, шахт, рудників,
селянських господарств), що виробляють промислові товари, продукти тощо, і
установ та закладів (шкіл, лікарень, бібліотек, театрів), що надають певні
послуги. Сукупність підприємств, установ, закладів, які виробляють однорідну
продукцію чи надають послуги, що задовольняють однорідні потреби, утворюють
галузі. Наприклад, сільське господарство - це сукупність підприємств, що
виробляють рослинницьку і тваринницьку продукцію (зерно, молоко, м'ясо тощо),
галузі охорони здоров'я - сукупність закладів, що попереджують хвороби і
лікують людей.
Великими галузями є промисловість,
сільське господарство, будівництво, транспорт, освіта, охорона здоров'я. Усі
вони тісно пов'язані між собою і разом утворюють господарство (господарський
комплекс), або економіку, країни. Оскільки кожна галузь має свою спеціалізацію,
то між ними відбувається обмін продукцією чи послугами.
Отже, господарство країни - це
система виробництва, обміну і розподілу та споживання продуктів, що історично
склалась і розвивається на її території.
Розрізняють галузі виробничої сфери,
підприємства якої виробляють матеріальні цінності, і галузі невиробничої сфери,
тобто заклади, що задовольняють різноманітні соціальні та духовні запити людей.
Основна галузь виробничої сфери -
промисловість, що поділяється на важку промисловість (підприємства групи
"А" - виробляють електроенергію, машини, устаткування) та легку й
харчову (підприємства групи "Б"). На всю промисловість припадає
близько 60% вартості продукції виробничої сфери. До важливих галузей виробничої
сфери належить також сільське господарство, будівництво, транспорт, зв'язок.
Галузі невиробничої сфери (житлове і комунальне господарство, охорона здоров'я,
освіта, наука, культура, мистецтво) хоч і не створюють безпосередньо
матеріальних цінностей, але необхідні для розвитку виробництва.
Промислові товари, продукти
харчування, різні послуги люди виробляють і надають за допомогою засобів
виробництва. Засоби виробництва - це поєднання засобів праці (машини,
устаткування, інструменти, транспорт, зв'язок, земля, виробничі споруди) і
предметів праці.
Зрозуміло, що завод, фабрика чи шахта
не зможе нормально функціонувати без забезпечення транспортом, зв'язком,
електроенергією, водою, лікарським обслуговуванням робітників та їх сімей,
тобто підприємств і закладів, які дістали назву об'єктів інфраструктури.
Розрізняють об'єкти виробничої інфраструктури (транспортні шляхи, лінії
електропередачі, водопроводи, склади та ін., тобто споруди, що не беруть
безпосередньо участі у випуску продукції, але сприяють цьому), і об'єкти
соціальної інфраструктури (послуги з виховання дітей, освіти, культури, охорони
здоров'я, соціального забезпечення).
Найважливіший показник розвитку
економіки - продуктивність праці, що визначається величиною всієї продукції,
виробленої за рік у країні, чи її окремих галузей, підприємств у розрахунку на
одного працюючого.
Цей показник відбиває два протилежних
за характером шляхи розвитку господарства - екстенсивний та інтенсивний. За
екстенсивного шляху розвитку економіки будують нові підприємства, залучають
додаткову кількість робітників, розширюють посівні площі, збільшують поголів'я
худоби. Інтенсивний шлях розвитку передбачає застосування передових технологій,
кращу організацію виробництва і праці, залучення кваліфікованих кадрів, тобто
нарощування виробництва відбувається на основі зростання продуктивності праці.
Актуальним у нашій країні є
визначення сучасних підходів до обґрунтування розміщення нових виробництв.
Раніше це питання вирішувалося з центру адміністративними вказівками. Адже всі
господарські об'єкти були державними. У ринкових умовах першорядну роль
відіграють економічні важелі. Власник тепер сам вирішує, де будувати підприємство,
враховуючи цілий комплекс чинників (наявність інфраструктури, сировини, робочої
сили, ринку збуту). Тим часом держава зацікавлена в такому будівництві,
оскільки це сприятиме працевлаштуванню безробітних, надходженню податків від
підприємства, що працюватиме. Щоб стимулювати людей чи фірми, що мають гроші,
відкривати нові господарські об'єкти, держава може створювати для них
податкові, кредитні, митні та інші пільги. Досвід функціонування вільних
економічних зон у багатьох регіонах України і за кордоном засвідчує дійовість
таких нових ринкових важелів регулювання територіальним розвитком.
1. Теоретична
частина
.1 Зміст і загальна характеристика
економіки та економічної політики держави
Україна вступила в XXI століття в умовах стрімких зрушень на
міжнародній арені. Тому пошуку парадигми майбутнього розвитку України надається
велике значення. Сучасному стану економічного розвитку притаманні два основних
напрямки: глобалізація і регіоналізація. Вони є відображенням об´єктивного процесу
модернізації суспільства під впливом зменшення кількості виробничих ресурсів і
значним зростанням потреб суспільства. В цих умовах Україна, отримавши
незалежність, формує і розвиває свою національну міжнародну економічну
політику, яка виступає складовою частиною загальної економічної політики. У
широкому розумінні, економічна політика охоплює політичні відносини, політичну
організацію і політичну ідеологію. Виходячи з цього можна визначити, що
економічна політика є комплексом дій держави з регулювання економічної ситуації
і корекції економічних інтересів. Безумовно, що економічна політика базується
на чіткому визначенні органами влади її основних цілей, напрямків, методів і
важелів розвитку економіки.
Розробка економічної політики
передбачає чітку постанову завдань. Для України такими завданнями є:
. Визначення мети (цілі), на
досягнення якої буде зорієнтований розвиток господарства.
. Визначення засобів, які потрібно
мобілізувати на досягнення поставленої мети.
Основними пріоритетами економічної
політики є:
. Забезпечення економічної свободи в
рамках діючого законодавства.
. Забезпечення повної зайнятості
робочої сили й інших факторів виробництва.
. Підтримання і забезпечення
економічного зростання і економічного розвитку.
. Забезпечення ефективності
економіки.
. Організація справедливого
оподаткування.
. Забезпечення охорони навколишнього
середовища.
. Забезпечення захисту
підприємницької діяльності й соціального захисту населення.
Безумовно, що будь-яка економічна
діяльність і економічна політика повинна визначити пріоритетні напрямки.
Пріоритетний підхід до економіки - це завжди політичний, стратегічний підхід.
Пріоритети мають визначатися на основі інтересів і здійснюватися через них.
Вони мусять сприяти науковому передбаченню майбутнього стану розвитку
економіки, його структури, впливу на соціальну сферу, людину, природу. У свою
чергу, на цій основі можна прогнозувати реальні суперечності та шляхи і способи
вирішення їх. У такий спосіб економічна політика, побудована на науковій
теорії, перетворюється на чинник суспільного прогресу.
Пріоритетний розвиток економіки, тієї
чи іншої сфери можливий за умови взаємодії двох процесів:
• забезпечення передової
матеріально-технічної бази в цій сфері, використання підготовлених кадрів,
предметів праці, інших елементів виробництва;
• матеріального і морального
стимулювання його розвитку.
Це забезпечить єдність
науково-технічного і соціального підходу до вирішення ключових проблем
економіки. Отже, зміна пріоритетів у економічній політиці можлива лише в тому
випадку, якщо вона буде підкріплена адекватними змінами перелічених процесів.
Для національної економічної системи
України основними напрямками вважаються:
. Постійне зростання темпів і
ефективності виробництва.
. Забезпечення оптимального
платіжного балансу.
. Регулювання інфляційних процесів.
. Досягнення і підтримка
збалансованого бюджету.
. Підвищення рівня життя населення
країни.
У кожний період часу важливо
визначити конкретні напрями економічної політики, їхній зміст, політичну
значимість. Вибір їх не може бути довільним. На кожному етапі розвитку
суспільства він визначається рівнем розвитку продуктивних сил і виробничих
відносин, конкретними історичними умовами, ситуацією в світі.
Напрями економічної політики
різноманітні за змістом та політичною значимістю. При цьому важливе значення
має виокремлення головних напрямів суспільного виробництва, які забезпечують
створення прогресивної структури економіки - неодмінної умови її переходу до
нової якості зростання. Без цього не можна ефективно використовувати стимули до
праці, реалізувати сукупність різноманітних інтересів суспільства і рухатися
вперед у поступальному розвитку.
В умовах функціонування ринкової
економіки діють два основних напрямки економічної політики: фіскальний та
монетарний.
Об´єктами регулювання при
фіскальному напрямку виступають:
• рівень податків;
• рівень державних витрат.
При монетарному напрямку об´єктами регулювання
виступають:
• обсяг грошової маси;
• відсоткова ставка.
Поступовий зважений перехід економіки
України до ринку можливий лише завдяки використанню реальних
причинно-наслідкових зв´язків у економічному житті,
врахуванню інтересів усіх господарюючих суб´єктів, тобто завдяки
політиці, побудованій на науковій теорії та адекватно трансформованій у
господарському механізмі. Виходячи з цього, можна сказати, що першоосновою
вироблення науково обгрунтованої економічної політики є економічна теорія, яка
відбивала б закономірності перехідної економіки нашої країни. Наукове
обгрунтування економічної політики сприятиме глибокому оновленню матеріального
виробництва, повнішому розкриттю соціальних ресурсів суспільства, шо
перебувають у стадії переходу до нових економічних відносин.
Для вироблення економічної стратегії
на основі всебічного врахування вимог об´єктивних економічних законів
першорядне значення має забезпечення реалістичної об´єктивної оцінки, з одного
боку, досягнень у здійсненні соціально-економічних завдань, з´ясування труднощів і
недоліків, що виникли, їхніх причин, а з іншого - такої ж реалістичної оцінки
наявних можливостей, ресурсів для подальшого соціально-економічного розвитку.
Існує два основних угрупування
методів економічної політики: економічні та адміністративні.
Світовий досвід показує, що
економічні методи управління не встановлюються з утвердженням певної форми
власності на засоби виробництва, а також після прийняття державних та інших
рішень, як це тривалий час стверджувалось в нашій країні. Більше того, такі
методи в нашій економіці, за винятком періоду нової економічної політики, майже
не використовувались через незмінність виробничих відносин.
Потребують уточнення і самі поняття
адміністративно-командних і економічних методів управління. Сутність перших
найчастіше зводиться до того, що вони діють через накази, розпорядження,
заборони та інші прийоми неекономічного тиску. Це - поверхове виявлення
адміністративно-командних методів управління. Причину слід шукати глибше, в
економічних відносинах.
Економічні методи управління - це
система економічних та неекономічних важелів, спрямованих на поєднання
інтересів усіх суб´єктів господарської дяльності.
Суспільство може перейти до
економічних методів господарювання при виконанні таких умов:
• врахування і реалізація інтересів
усіх господарюючих суб´єктів, які беруть участь в
економічному житті;
• виявлення об´єктивних суперечностей
економічних інтересів і вирішення їх завдяки застосуванню ефективних форм і
засобів управління;
• суб´єкти власності, а отже і
влади, на всіх рівнях мають займатися управлінням інтересами і через інтереси;
• усі суб´єкти економічної політики
мають бути рівноправними.
Таким чином, при виробленні
економічної політики слід широко використовувати світовий досвід
господарювання, розвитку науково-технічного прогресу, наукове прогнозування.
Економічна політика як чинник
економічного розвитку має націлювати господарство на розв´язання головних завдань,
вибір пріоритетних напрямків розвитку, які, з одного боку, забезпечать
зростання галузей, що відбивають досягнення науково-технічного прогресу, а з
іншого - створять передумови для подальшого зростання рівня життя населення.
1.2 Основні
складові економіки України
економіка
сільськогосподарський культура індекс
Важливою складовою економіки України
є господарство.
Господарство - 1) система суспільного
відтворення, яка історично склалася у визначених територіальних межах; 2)
отримання безпосередньої економічної вигоди від заходів як самоцілі.
Українська економіка переходить від
планової до ринкової.
Національний господарський комплекс -
це система виробництв, обміну, розподілу та споживання, яка виникла на певній
території. Він охоплює галузеву, функціональну та територіальну структури
виробництва.
Найважливішими чинниками формування
господарського комплексу є:
економіко-географічне положення;
сировинний;
паливно-енергетичний;
транспортний;
споживчий;
науково-технічний прогрес;
трудові ресурси;
екологічний;
кон’юнктура ринку.
Галузева структура господарства
відображає поділ суспільного виробництва на групи галузей, галузі та підгалузі.
Галузь господарства - сукупність
підприємств, що випускають однорідну продукцію та мають схожі процеси виробництва.
Господарство України має понад 20 галузей промисловості.
Галузева структура є основою
господарського комплексу, який складається з галузей виробничої таневиробничої
сфер.
Економіка України
Галузі виробничої сфери:
промисловість
сільське господарство
транспорт
будівництво
зв’язок
торгівля
суспільне харчування
Галузі невиробничої сфери:
житлово-комунальне обслуговування
охорона здоров’я
наука, освіта, спорт, культура.
До виробничої сфери належать види
діяльності, які:
створюють матеріальні блага (промисловість,
сільське господарство, будівництво);
доставляють матеріальні блага
(транспорт, зв’язок);
пов’язані з продовженням процесу
виробництва у сфері обігу (торгівля, матеріально-технічне забезпечення,
заготівля, громадське харчування).
Невиробнича сфера - сукупність
галузей господарства, які виконують функції надання суспільству послуг
нематеріального характеру:
галузі сфери послуг
(житлово-комунальне господарство, побутове обслуговування населення, транспорт,
зв’язок);
галузі соціального обслуговування
(освіта, охорона здоров’я, фізкультура і спорт, культура та мистецтво, наука та
наукове обслуговування);
органи управління та оборони;
кредитування, фінансування,
страхування.
Територіальна структура економіки -
науково обґрунтоване розміщення взаємозалежних підприємств і галузей на певній
території.
Одиницями територіальної структури є:
промисловий пункт - населений пункт з
одним промисловим підприємством;
промисловий центр - місто, у якому
знаходиться декілька промислових підприємств;
промисловий вузол - сукупність
пов’язаних промислових центрів та промислових пунктів (Донецько-Макіївський,
Маріупольський, Луганський, Харківський);
промисловий район - територія, де
розташовані промислові вузли, центри, пункти (Донецький, Придніпровський,
Прикарпатський);
промислова зона - об’єднання
промислових районів, вузлів, центрів, пунктів на великій території;
Територіально-виробничі комплекси
(ТВК) - форма територіальної організації економіки, яка здійснює сполучення
взаємопов’язаних основних галузей та виробництв, а також додаткових та
обслуговуючих галузей на визначеній території. За територією ТВК поділяються на
локальні, внутрішньорайонні, міжрайонні та ті, що охоплюють територію всієї
країни. За складом галузей ТВК підрозділяються на промислові, агропромислові,
інфраструктурні, народногосподарські, до яких входять усі галузі виробничої та
невиробничої сфер.
Промисловий
<#"821437.files/image001.gif">
Сільськогосподарські підприємства засіяли у 2009 році 459,7 тис. га
зерновими культурами, що на 0,3 тис. га (0,1%) менше, ніж у попередньому році.
В господарствах населення зерновий клин склав 74,8,тис. га, що, менше ніж у
2008 році на 2,0 тис. га.
В загальній площі зернових в усіх категоріях господарств 61,5% припадає
на озимі культури. В сільськогосподарських підприємствах питома вага озимих
культур збільшилась з 60,9% у минулому році до 65,3% у 2009 році, а в господарствах
населення, навпаки, зменшилась з 39,4% до 38,2%.
Під урожай 2009 року всіма категоріями господарств було посіяно 353,0
тис. га озимини, що на 18,3 тис. га або на 5,5% більше, ніж у попередньому
році, в тому числі - 306,9 тис. га пшениці, що на 10,5 тис. га більше, 13,3
тис. га жита (на 1,5 тис. га більше), 11,9 тис. га ячменю (на 6,5 тис. га ).
Ріпаку було посіяно 20,9 тис. га, що менше ніж у минулому році на 0,1 тис. га.
2.2 Площа, з якої зібрано врожай
сільськогосподарських культур
|
Роки / назви культур
|
Зернові культури, тис.га
|
Олійні культури, тис.га
|
Кормові культури, тис.га
|
|
2008
|
15380,7
|
6271,1
|
259,5
|
|
2009
|
15469,7
|
6049,7
|
248,6
|
|
2010
|
14575,7
|
6588,6
|
245,5
|
|
2011
|
15321,3
|
6765,4
|
237,5
|
|
2012
|
14792,1
|
7143,5
|
231,7
|
Відображення данних у вигляді діаграми.
Сільськогосподарськими підприємствами області зернові та зернобобові
культури (включаючи кукурудзу) зібрано на площі 632,7 тис.га, намолочено 1920,9
тис.т зерна у вазі після доробки, що на 64,3% менше, ніж у 2011р. Середня
урожайність зернових культур становила 30,4 ц з 1 га.
Соняшник зібрано з площі 362,9 тис.га, намолочено 738,7 тис.т насіння
соняшнику при середній урожайності 20,4 ц з 1 га.
Цукрові буряки (фабричні) для промислової переробки зібрано з площі
17,7 тис.га, накопано 614,5 тис.т при урожайності 349ц з 1 га.
Сільськогосподарськими підприємствами Ульяновського району зернових та
зернобобових культур (включаючи кукурудзу) зібрано на площі 22,5 тис.га,
намолочено 704,3 тис.ц зерна у вазі після доробки, що на 20,1% менше, ніж на
відповідну дату торік. Середня урожайність зернових культур становила
31,3цз1га.
Соняшник зібрано на площі 8,4 тис.га, намолочено 192,7 тис.ц насіння
соняшнику при середній урожайності 22,9 ц з 1 га.
2.3 Виробництво сільськогосподарських культур
|
Роки / назви культур
|
Зернові культури, тис.тонн
|
Олійні культури, тис.тонн
|
|
2008
|
53290,1
|
10271,6
|
|
2009
|
46028,3
|
9436,4
|
|
2010
|
39270,9
|
10033,0
|
|
2011
|
56746,8
|
12453,9
|
|
2012
|
46216,2
|
12074
|
Відображення данних у вигляді графіка.
Як видно зі статистичних даних, виробництво
сільськогосподарських культур, а саме зернових та олійних культур, помітно
відрізняються починаючи з 2008 року по 2012 рік.
Виробництво зернових культур у 2011 році порівняно з 2010
роком значно збільшилося, а у 2012 році показник виробництва помітно зменшився.
Щодо виробництва олійних культур, то упорівнянні з 2008 року
до 2012 року відбулися не значні зміни (лише 1802т)
2.4 Урожайність
сільськогосподарських культур
|
Роки / назви культур
|
Зернові культури, ц з 1 га площі
|
Олійні культури, ц з 1 га площі
|
Кормові культури, ц з 1 га площі
|
|
2008
|
34,6
|
16,4
|
308,7
|
|
2009
|
29,8
|
15,6
|
303,1
|
|
2010
|
26,9
|
15,2
|
275,8
|
|
2011
|
37,0
|
18,4
|
312,9
|
|
2012
|
31,2
|
16,9
|
301,8
|
Відображення данних у вигляді графіка.
Розглянемо урожайність сільськогосподарських культур за
2008-2012 роки. Як показує статистика, урожайність зернових культур у 2010 році
порівняно з 2008 значно зменшилася, а у 2011 порівняно з 2010 роком - зросла, а
у 2012 знову збільшилася. Урожайність олійних культур у 2012 році майже не
зменшилася порівняно з 2008 роком (16,9 - 16,4 ц з 1 га відповідно).
Що стосується кормових культур, урожайність у 2010 році
порівняно з 2008 роком збільшилася (308,7 ц з 1 га), а у 2012 році - зменшилася
(301,8 ц з 1 га).
2.5 Індекси виробництва основних
сільськогосподарських культур
|
Роки / назви культур
|
Зернові культури, %
|
Картопля, %
|
Соняшник, %
|
|
2008
|
181,9
|
102,3
|
156,3
|
|
2009
|
86,4
|
100,6
|
97,5
|
|
2010
|
85,3
|
95,1
|
106,4
|
|
2011
|
144,5
|
129,6
|
128,0
|
|
2012
|
81,4
|
95,9
|
96,7
|
Відображення данних у вигляді діаграми.
В Україні сукупний індекс обсягу сільгоспвиробництва за 12 місяців 2011
р. в порівнянні з показником 2010 р. виріс на 17,5%. Про це повідомляє Державна
служба статистики (Держстат). Даного показника вдалося досягти завдяки гарним
показниками в рослинництві.
Зернових культур було зібрано 56 млн 674,9 тис. т, що на 44,3% більше,
ніж у 2010 р. Валовий збір цукрових буряків досяг 18 млн 730,8 тис. т та на
36,2% перевищив показники 2010 р. Картоплі зібрано 24 млн 247,6 тис. т, що на
29,6% перевищило показники 2010 р. Загалом, в 2011 р. сільськогосподарських
культур було зібрано більше, ніж у попередньому, окрім ріпака, виробництво
якого в минулому році зменшилося на 2,2%.
Індекс виробництва продукції рослинництва у 2011 р. порівняно з 2010 р.
становив 128,2%, у т.ч. в сільськогосподарських підприємствах - 136,2%, у
господарствах населення - 121,5%.
.6 Валова продукція сільськогосподарської продукції
|
Роки / назви культур
|
Рослинництво, млн. грн.
|
Тваринництво, млн. грн.
|
|
2008
|
114479,9
|
65125,9
|
|
2009
|
136277,1
|
65286,9
|
|
2010
|
129908,3
|
68027,6
|
|
2011
|
124554,1
|
70332,4
|
|
2012
|
162436,4
|
71259,9
|
Відображення данних у вигляді графіка.
Проаналізуємо данні валової продукції
сільськогосподарської продукції у відсотках.
Валова продукція рослинництва
зменшилася на 4,7%, у т.ч. в сільськогосподарських підприємствах - на 7,2%, у
господарствах населення - на 2,5%. Зменшення валової продукції рослинництва
викликано скороченням виробництва зернових культур - на 14,7%, рапсу - на
21,5%, картоплі - на 4,9, овочів - на 2,6%.
Крім того частка виробництва с/г
продукції господарствами населення в 2010 р. становила 55,1%.
Найбільш істотний внесок у загальний
обсяг валової продукції в 2010 р. зробили господарства Черкаської (7%),
Київської (6,6%), Дніпропетровської (6,4%), Вінницької (6,1%), Полтавської
(5,1%), Донецької (5 %) областей.
2.7
Продуктивність праці сільськогосподарської продукції на підприємствах
|
Роки / назви культурРослинництво, млн.
грн.Тваринництво, млн. грн.
|
|
|
|
2008
|
86198,1
|
47992,8
|
|
2009
|
142513,5
|
92722,8
|
|
2010
|
138741,7
|
113976,6
|
|
2011
|
133603,0
|
130473,7
|
|
2012
|
171142,8
|
148840,3
|
Відображення данних у вигляді діаграми.
У таблиці і графіку наведені данні продуктивності праці
сільськогосподарської продукції на підприємствах. Порівняємо продуктивність
праці рослинництва і тваринництва. Помітно, що показники рослинництва вищі, ніж
показники тваринництва. Особливу різницю ми бачимо у 2008 році (р. - 86198,1
млн.грн.; т. - 47992,8 млн.грн.) та у 2009 році (р. - 142513,5 млн.грн.; т. -
92722,8 млн.грн.).
У 2012 році показники продуктивності праці як рослинництва,
так і тваринництва помітно зросли порівняно з 2010 роком.
2.8 Рівень рентабельності
виробництва сільськогосподарської продукції в сільськогосподарських
підприємствах
|
Роки / назви культурРослинництво, %Тваринництво, %
|
|
|
|
2008
|
32,7
|
-13,4
|
|
2009
|
19,6
|
0,1
|
|
2010
|
16,9
|
5,5
|
|
2011
|
26,7
|
7,8
|
|
2012
|
32,3
|
13,0
|
Відображення данних у вигляді діаграми.
З таблиці видно, що динаміка
показників рентабельності тваринництва характеризується нестійкістю, особливо у
2008-2009 роках рівень рентабельності постійно збільшується. Несприятливі
кліматичні умови 2008р. визначили різке зменшення динаміки данного показника по
рослинництву (жарке літо з відсутністю дощів). У 2012 році ситуація
стабілізувалася і значно підвищилася, порівняно з 2011р.
Усе це визначає необхідність
факторного аналізу і виявлення резервів збільшення валового доходу (від який
залежить ефективність виробництва, що є наслідком відносини валового доходу до
витрат на виробництво).
2.9 Виробництво основних видів
продукції рослинництва на одну особу
|
Роки / назви культур
|
Зернові культури, %
|
Картопля, %
|
Соняшник, %
|
|
2008
|
807
|
413
|
160
|
|
2009
|
1152
|
423
|
141
|
|
2010
|
999
|
427
|
138
|
|
2011
|
856
|
408
|
148
|
|
2012
|
1242
|
531
|
190
|
Відображення данних у вигляді діаграми.
У пункті 3.9. розглядаємо показники виробництво основних
видів продукції рослинництва на одну особу. Розглядаємо зернові культури,
картоплю і соняшник. Щодо картоплі та соняшника, то показники відповідно
стабільні кожного року (2008-2012рр). А от виробництво зернових культур помітно
відрізняються, особливо у 2009році порівняно з 2008роком, а також у 2012 році
порівняно з 2011 роком.
Показники розглядаємо у відсотках.
2.10 Реалізація продукції
рослинництва
|
Роки / назви культур
|
Зернові культури, тис. тонн
|
Олійні культури, тис. тонн
|
|
2008
|
19458,4
|
2612,4
|
|
2009
|
24763,1
|
5541,9
|
31686,3
|
7239,2
|
|
2011
|
23661,7
|
7756,7
|
|
2012
|
28609,0
|
7907,5
|
Відображення данних у вигляді діаграми.
Розглянемо показники реалізації
продукції рослинництва, на прикладі зернових та олійних культур.
За 2012р. сільськогосподарськими
підприємствами реалізовано зернових та зернобобових культур 28609,0; на 3,2%
більше ніж у 2011р.
Олійних культур -7907,5; на 1,5%
більше до реалізації обсягів минулого року, в тому числі соняшнику, сої,
ріпаку.
3. Прогнозування та перспективний
план рослинництва на майбутні роки
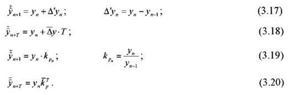
Щоб зробити прогнозування основних показників рослинництва України,
треба застосувати статистику та використати деякі формули. Щоб спрогнозувати
рослинність України треба згадати, що таке:
Екстраполяція - прогнозування даних за межами визначеного
інтервалу часу.
Інтерполяція - прогнозування даних невизначено в середині
даного інтервалу часу.
Існують декілька системних методів екстраполяції та
інтерполяції, а я використаю саме метод на базі середнього абсолютного
приросту. Прогнозування здійснюється за такою формулою:
Середній абсолютний приріст розраховується:
Значення для наступних років на основі середнього абсолютного
приросту, розраховуються за залежністю:
де Т - величина горизонту(терміну) прогнозу
Порівняльна структура посівних площ сільськогосподарських
культур в господарствах всіх форм власності за 2005-2015 роки
|
Структура
|
2005
|
2006
|
2007
|
2008
|
2009
|
2010 (дані регіонів 09.04.10)
|
прогноз на 2011
|
прогноз на 2012
|
прогноз на 2013 рік
|
прогноз на 2014 рік
|
прогноз на 2015 рік
|
|
|
|
|
|
|
|
|
|
|
|
|
|
|
|
|
|
|
|
|
|
|
|
|
|
Вся посівна площа
|
32406,0
|
30963,2
|
27173,3
|
26043,6
|
25927,7
|
25853,7
|
26987,4
|
26700,2
|
25885,09
|
25069,98
|
24254,87
|
|
Зернові, всього
|
14583,4
|
14152,1
|
13646,5
|
15052,3
|
14655,7
|
15235,5
|
15650,5
|
15706,2
|
15866,6
|
16027,0
|
16187,4
|
|
озимі на зерно
|
8452,5
|
6504,0
|
6703,6
|
7291,0
|
6005,0
|
6731,5
|
8132,5
|
8251,7
|
8223,0
|
8194,31
|
8165,62
|
|
з них: пшениця на зерно
|
7567,5
|
5324,4
|
5316,3
|
6183,9
|
5087,4
|
5822,7
|
6805,2
|
6497,9
|
6345,1
|
6192,3
|
6039,5
|
|
Жито
|
519,1
|
608,9
|
669,4
|
624,3
|
377,1
|
350,1
|
466,9
|
487,1
|
482,53
|
477,96
|
473,39
|
|
Ячмінь
|
365,6
|
569,8
|
717,1
|
482,8
|
538,7
|
558,7
|
859,5
|
1265,0
|
1393,49
|
1521,98
|
1650,47
|
|
інші озимі на зерно*
|
0,3
|
0,9
|
0,8
|
0
|
1,8
|
0,0
|
0,9
|
1,7
|
1,9
|
2,1
|
2,3
|
|
Ярі зернові і зернобобові
|
6130,9
|
7648,1
|
6942,9
|
7761,3
|
8650,7
|
8504,0
|
7517,9
|
7454,5
|
7643,59
|
7832,68
|
8021,77
|
|
з них: ячмінь
|
2363,4
|
3937,3
|
3268,1
|
4021,4
|
4770,2
|
4437,3
|
3357,6
|
3447,2
|
3602,03
|
3756,86
|
3911,69
|
|
Пшениця
|
8,7
|
184,7
|
303,0
|
480,3
|
494,6
|
471,5
|
314,7
|
316,9
|
360,93
|
404,96
|
448,99
|
|
Овес
|
492,0
|
569,6
|
520,6
|
490,7
|
484,3
|
406,7
|
458,2
|
436,5
|
428,57
|
420,64
|
412,71
|
|
Зернобобові - всього
|
1424,1
|
1102,6
|
408,3
|
427,6
|
391,4
|
444,9
|
262,4
|
323,9
|
166,73
|
9,59
|
-147,58
|
|
в т.ч.горох
|
1100,7
|
915,5
|
293,3
|
330,5
|
341,1
|
319,6
|
206,4
|
261,6
|
141,73
|
21,86
|
-98,01
|
|
Гречка
|
350,2
|
458,9
|
573,5
|
413,7
|
393,3
|
338,6
|
293,0
|
273,7
|
262,77
|
251,84
|
240,91
|
|
Просо
|
204,9
|
166,6
|
437,4
|
136,1
|
135,7
|
106,0
|
148,0
|
135,8
|
125,93
|
116,06
|
106,19
|
|
Рис
|
28,1
|
22,4
|
25,5
|
21,1
|
21,8
|
21,8
|
19,8
|
20,8
|
19,66
|
18,06
|
17
|
|
кукурудза на зерно
|
1223,5
|
1174,1
|
1364,4
|
1761,5
|
1895,2
|
2202,4
|
2539,3
|
2411,2
|
2580,87
|
2750,54
|
2920,21
|
|
інші зернові **
|
36,0
|
31,9
|
42,1
|
8,9
|
64,2
|
74,8
|
124,9
|
88,5
|
96,0
|
103,5
|
111
|
|
Технічні - всього
|
3751,3
|
3748,2
|
4186,8
|
5260,1
|
6104,8
|
5788,7
|
6704,0
|
6054,2
|
6383,19
|
6712,18
|
7041,17
|
|
з них: цукровий буряк
|
1607,2
|
1475
|
855,6
|
674,0
|
825,0
|
634,8
|
389,9
|
349,7
|
170,06
|
-9,58
|
-189,22
|
|
Соняшник
|
1635,9
|
2019,8
|
2942,9
|
3623,7
|
3857,0
|
3445,3
|
4221,5
|
3511,3
|
3327,8
|
3144,27
|
2960,76
|
|
ріпак озимий
|
84,2
|
32,7
|
111,5
|
120,4
|
418,4
|
753,8
|
1366,7
|
1411,4
|
1601
|
1790,6
|
1980,2
|
|
ріпак ярий
|
5,5
|
16,4
|
102,8
|
86,8
|
137,7
|
142,3
|
46,7
|
43,7
|
49,16
|
54,62
|
60,08
|
|
Соя
|
92,6
|
24,7
|
64,8
|
435,1
|
748,0
|
665,2
|
557,2
|
569,1
|
637,18
|
705,24
|
773,31
|
|
льон-довгунець
|
172,5
|
97,8
|
23,4
|
25,51
|
16,3
|
12,9
|
6,8
|
5,0
|
-18,93
|
-42,86
|
-66,79
|
|
Коноплі
|
0
|
0
|
0
|
2,2
|
0,3
|
0,5
|
0,9
|
0,6
|
0,69
|
0,77
|
0,86
|
|
інші технічні***
|
153,4
|
85,8
|
292,4
|
102,1
|
133,8
|
114,3
|
163,4
|
164,83
|
166,26
|
167,69
|
|
Картопля і овочі - всього
|
2072,5
|
2165,3
|
2277
|
2041
|
2031,0
|
1990,6
|
1962,2
|
1958,7
|
1942,44
|
1926,18
|
1909,92
|
|
з них картопля
|
1432,7
|
1530,6
|
1629,3
|
1513,6
|
1466,8
|
1452,8
|
1413,1
|
1411,9
|
1408,93
|
1405,96
|
1402,99
|
|
овочі , баштанні
|
639,8
|
634,7
|
647,7
|
527,4
|
564,2
|
537,8
|
549,1
|
546,8
|
533,51
|
520,22
|
506,93
|
|
Кормові -всього
|
11998,8
|
10897,6
|
7063,0
|
3690,2
|
3136,2
|
2838,9
|
2670,7
|
2981,1
|
1692,9
|
404,62
|
-883,62
|
|
з них кукурудза на силос
|
4730,2
|
3493,4
|
1920
|
712,2
|
673,3
|
487
|
468,4
|
541,9
|
-56,43
|
-654,76
|
-1253,09
|
|
багаторічні трави
|
3751,8
|
2910
|
1449,4
|
1548,4
|
1584,5
|
1300,6
|
1186,7
|
1345
|
1001,17
|
657,34
|
313,51
|
|
однорічні трави (вкл.озимі на з/к)
|
2067
|
1920
|
1765,1
|
849,9
|
805,8
|
587,3
|
548,5
|
708,4
|
514,31
|
320,22
|
126,13
|
|
інші кормові****
|
1449,8
|
2574,2
|
1928,5
|
579,7
|
72,6
|
464,0
|
467,1
|
385,8
|
233,8
|
81,8
|
-70,2
|
Динаміка виробництва зернових культур по Україні у всіх
категоріях господарств в 2003 - 2015 роках
|
Роки
|
Зернові культури
|
|
Посівні площі,
|
Валовий збір,
|
Урожайність,
|
|
тис. га
|
тис. тонн
|
ц з 1 га
|
|
2003
|
13646,5
|
24459
|
19,4
|
|
2004
|
15585,8
|
39706,1
|
27,1
|
|
2005
|
15447,6
|
38804,3
|
27,3
|
|
2006
|
12494,6
|
20233,9
|
18,2
|
|
2007
|
15433,5
|
41808,8
|
28,3
|
|
2008
|
15004,8
|
38015,5
|
26
|
|
2009
|
14515,2
|
34258,3
|
24,1
|
|
2010
|
15233,9
|
29294,9
|
21,8
|
|
2011
|
15380,7
|
53290,1
|
34,6
|
|
2012
|
15468,3
|
46007,6
|
29,7
|
|
2013
|
15670,7
|
48401,89
|
30,84
|
|
2014
|
15873,1
|
50796,18
|
31,98
|
|
2015
|
16075,6
|
53190,47
|
33,12
|
Таблиця
Динаміка виробництва технічних культур по Україні у всіх
категоріях господарств в 2003-2015 роках
|
Роки
|
технічні культури
|
|
Соняшник
|
Цукровий буряк
|
|
Посівні площі,
|
Валовий збір,
|
Урожайність,
|
Посівні площі,
|
Валовий збір,
|
Урожайність,
|
|
тис. га
|
тис. тонн
|
ц з 1 га
|
тис. га
|
тис. тонн
|
ц з 1 га
|
|
2003
|
2942,9
|
3457
|
12,2
|
747
|
13185
|
177
|
|
2004
|
2502
|
2250,6
|
9,4
|
853
|
15574
|
183
|
|
2005
|
2833,9
|
3270,5
|
12
|
763
|
14452
|
189
|
|
2006
|
4001,2
|
4254,4
|
11,2
|
666
|
13392
|
201
|
|
2007
|
3521
|
3050,1
|
8,9
|
696
|
16600
|
238
|
|
2008
|
3742,9
|
4706,1
|
12,8
|
623
|
15468
|
248
|
|
2009
|
3963,6
|
5324,3
|
13,6
|
788
|
22421
|
285
|
|
2010
|
3603,9
|
4174,4
|
12,2
|
577
|
16978
|
294
|
|
2011
|
4277,9
|
6526,2
|
15,3
|
377
|
13438
|
356
|
|
2012
|
4192,8
|
6360,6
|
15,2
|
320
|
10021
|
314
|
|
2013
|
4331,68
|
6683,22
|
15,53
|
272,56
|
9669,45
|
329,22
|
|
2014
|
4470,56
|
7005,84
|
15,86
|
225,12
|
9317,9
|
344,44
|
|
2015
|
4609,44
|
7328,46
|
16,19
|
177,68
|
8966,35
|
359,66
|
Рис.6 Динаміка виробництва та урожайності зернових і зернобобових
культур
∆y=(46-24,5)/ 5-1=5,375
Розраховуємо:= 46+ 5,375*1=51,375
У2011= 46+5,375*2=56,75
У2012=46+5,375*3=62,125
У2013=46+5,375*4=67,5
У2014=46+5,375*5=72,875
У2015=46+5,375*6=78,25
Рис.7 Динаміка виробництва та урожайності соняшнику
∆y=(6,4-3,5)/ (5-1)=0,725
Розраховуємо:= 6,4+ 0,725*1=7,125
У2011= 6,4+0,725*2=7,85
У2012=6,4+0,725*3=8,575
У2013=6,4+0,725*4=9,3
У2014=6,4+0,725*5=10,025
У2015=6,4+0,725*6=10,7
Висновки
Українська земля щедро обдарована природою. Багатство і різноманітність
рослинності України залежать від географічного положення, геологічної будови й
історії розвитку території, від кліматичних і ґрунтових умов та господарської
діяльності людини.
Внаслідок нераціонального природокористування, землеробська освоєність
і розореність сільськогосподарських угідь в України є найбільшою в порівнянні з
розвинутими країнами світу. Під впливом господарської діяльності людини
відбуваються зміни природних ландшафтів.
Рослинництво, як невід'ємна складова частина агропромислового
комплексу, безсумнівно відіграє важливу роль у структурі народного
господарства. Від стану рослинництва прямо залежить рівень життя людей та
процвітання держави. Зробивши прогнозування на 2011, 2012, 2013, 2014, 2015
роки, можна зробити певні висновки по прогнозованим показникам. Порівняємо 2010
та 2015 роки, вся посівна площа збільшилась з 24254,87 до 25853,7; посівна площа
зернових всього зросла з 15235,5 до 16187,4; посівна площа ярих зернових та
зернобобових зменшилась з 8504 до 8021,77; посівна площа технічних культур
всього зросла з 5788,7 до 7041,17; а посівна площа картоплі та овочем всього
зменшилась з 1990,6 до 1909,92. Динаміка виробництва зернових культур по
Україні у всіх категоріях господарств в 2010 - 2015 роках змінилась таким
чином: валовий збір зріс з 46007,6 до 53190,47 тис. тонн, а урожайність зросла
з 29,7 до 33,12 ц з 1 га. Динаміка виробництва технічних культур по Україні у
всіх категоріях господарств в 2003-2015 роках змінилась так: Посівна площа
соняшнику зросла з 2942,9 до 4609,44 тис. га, валовий збір соняшнику збільшився
з 3457 до 7328,46 тис. тонн, а урожайність збільшилась з 12,2 до 16,19 ц з 1
га; А от посівна площа цукрового буряку зменшилась з 747,68 до 177,68 тис. га,
валовий збір також зменшився з 13185 до 8966,35 тис. тонн, а урожайність зросла
з 177 до 359,66 ц з 1 га.
СПИСОК ВИКОРИСТАНОЇ ЛІТЕРАТУРИ
1. Економічна
і соціальна географія світу. За ред.. Б.П. Яценка - Київ 2010р.
. Економічна
географія України За ред. М. Д. Пістуна. - К.: Крищатик, 2008.
. Іщук
С.І. Розміщення продуктивних сил: теорія, методи, практика. -К., 2011.
. Качан
Є. П., Царик Т. Є. Міжгалузеві комплекси України: проблеми розвитку і
розміщення: Наук.-навч. видання. -Тернопіль: Екон. думка, 2009.
. Розміщення
продуктивних сил: Навч.-метод, посібник для самостійного вивчення дисципліни С.
І. Дорогунцов, Ю. І. Пітюренко, Я. Б. Олійник та ін. - К.: КНЕУ, 2008.
6. <http://www.ukrstat.gov.ua/>
. <http://uk.wikipedia.org>