Антибиотики микробного происхождения

  • Вид работы:
    Реферат
  • Предмет:
    Химия
  • Язык:
    Русский
    ,
    Формат файла:
    MS Word
    730,19 Кб
  • Опубликовано:
    2014-09-03
Вы можете узнать стоимость помощи в написании студенческой работы.
Помощь в написании работы, которую точно примут!

Антибиотики микробного происхождения














Реферат по предмету «Химия» на тему

« Антибиотики микробного происхождения»

Содержание

Введение

. Применение антибиотиков в пищевой промышленности

. Классификация антибиотиков

. Механизмы действия антибиотиков на микробную клетку

. Бета-лактамные антибиотики

. Бацитрацины

. Полимиксины

. Гликопептидные антибиотики

. Полиены

. Аминогликозиды

. Тетрациклины

. Фениколы

. Макролиды

Заключение

Список использованной литературы


Введение

В народной медицине некоторые способы применения лечебных свойств микроорганизмов и продуктов их жизнедеятельности были известны давно. Так, например, для лечения некоторых язвенных поражений, кишечных расстройств и других заболеваний находил применение заплесневевший хлеб. В конце 19 века русские исследователи - В.А. Манассеин и А.Г. Полотебнов описали практическое использование зеленой плесени для заживления язв кожи. Примерно к этому же времени относятся и основополагающие труды Луи Пастера, которые в 1877 году обратил внимание на подавление развития возбудителя сибирской язвы некоторыми сапрофитными бактериями и высказал мысль о возможности практического использования этого явления[1].

1. Применение антибиотиков в пищевой промышленности

Одной из важнейших мер, принимаемых для хорошего сохранения пищевых продуктов, является борьба с развитием микроорганизмов. Для этой цели применяются консервирование, сквашивание, кипячение, замораживание продуктов, что изменяет их свойства и значительно снижает пищевую ценность.

Применение антибиотиков, обладающих мощным антибактериальным действием и сравнительно малой токсичностью для организма человека, позволяет сохранять пищевые продукты без потери их питательной ценности. Наиболее эффективны для этой цели антибиотики с широким спектром действия. При испытании их действия на различные микроорганизмы, выделенные из испорченного мяса, антибиотики подавляли развитие 70- 80% штаммов.

Антибиотики используют для консервации мяса, рыбы, птицы, молока, плодов, овощей и др. Антибиотик скармливают животным непосредственно перед убоем или вводят его под давлением в сонную артерию сразу же после убоя. Это позволяет увеличить срок хранения свежего мяса до 2-3 суток и улучшить его внешний вид, запах, окраску. Эффективно также опрыскивание разделанных и охлажденных говяжьих туш раствором антибиотика. Добавка антибиотика удлиняет срок хранения мясного фарша.

Применение антибиотиков позволяет значительно удлинить сроки хранения свежей рыбы и птицы (особенно при длительной транспортировке). Рыбу или птицу погружают в раствор антибиотика (концентрация 5-100 мг/л) на 1-5 мин или в охлажденную морскую воду (1-1,5 °С), содержащую 2 мг/л антибиотика.

Возможно применение антибиотиков и при изготовлении овощных консервов, в этом случае часто используют антибиотики, полученные из высших растений (фитонциды).

Антибиотики применяют в тех случаях, когда требуется подавить развитие нежелательной вредной микрофлоры. Например, в виноделии для подавления роста бактерий, образующих слизистые вещества, и диких дрожжей используют пенициллин, хлортетрациклин, бацитрацин.

Во всех случаях применения антибиотиков для консервирования пищевых продуктов необходимо учитывать возможность попадания их в небольших количествах в организм человека. Показано, что в 200 г консервированного мяса (с применением антибиотика) содержится примерно 1/1000 часть суточной лечебной дозы препарата. Хотя такие подпороговые дозы и не проявляют фармакологического действия, они могут влиять на чувствительность макроорганизмов. Поэтому необходимо обращать особое внимание на удаление антибиотиков перед окончательным приготовлением пищевых продуктов.

. Классификация антибиотиков

Существует множество классификаций антибиотиков, в основе которых приняты во внимание те или иные свойства и признаки антибиотиков[1]. Например, по химическому строению (бета-лактамные, аминогликозиды, макролиды, тетрациклины, полимиксины и др.), в зависимости от типа воздействия (бактерицидные и бактериостатические), по спектру действия (широкого спектра, преимущественно действующие на грамположительные и грамотрицательные кокки или грамотрицательные палочки и др.), по механизму действия на микробную клетку антибиотики делят на две группы:

- антибиотики, нарушающие функцию стенки микробной клетки;

- антибиотики, влияющие на синтез РНК и ДНК или белков в микробной клетке.

Антибиотики первой группы в основном воздействуют на биохимические реакции стенки микробной клетки. Антибиотики второй группы влияют на обменные процессы в самой микробной клетке.

В данной работе будут рассмотрены: классификация антибиотиков по химическому строению, а также антибиотики микробного происхождения, которые наряду с антибиотиками, производимыми растениями, животными, а также синтетическими и полусинтетическими, которые применяются в пищевой промышленности и в клинической практике[2].

. Механизмы действия антибиотиков на микробную клетку

Механизм антимикробного действия антибиотиков разнообразен. Одни нарушают синтез клеточной стенки микробной клетки (пенициллин, цефалоспорин), другие тормозят процессы синтеза белка в клетке (стрептомицин, тетрациклин, левомицетин), третьи угнетают синтез нуклеиновых кислот в клетках (рифампицин и др.).

Для каждого антибиотика характерен спектр действия, т.е. препарат может оказывать губительное действие на определенные виды микроорганизмов.

Антибиотики широкого спектра действия активны в отношении различных групп микроорганизмов (тетрациклины) или угнетают размножение грамположительных и грамотрицательных микробов (стрептомицин).

Некоторые антибиотики действуют наиболее узкий круг микроорганизмов. Например, к полимиксину чувствительны преимущественно грамотрицательные бактерии.

По группам объектов, на которые действуют антибиотики, их разделяют на:

. Антибактериальные, угнетающие развитие бактерий и составляющие наиболее обширную группу различных по химическому составу препаратов. Для лечения инфекций, вызываемых бактериями, чаще используют антибиотики широкого спектра действия (тетрациклины, левомицетин, стрептомицин, гентамицин, кантамицин, полусинтетические пенициллины, цефалоспорины).

. Противогрибковые антибиотики (нистатин, амфотерицин В др.) оказывают угнетающее действие на рост несовершенных и совершенных микроскопических грибов, так как нарушают целостность цитоплазматических мембран микробных клеток.

. Противоопухолевые антибиотики (актиномицины, митрамицин, блеомицин) угнетают синтез нуклеиновых кислот в животных клетках и используются для лечения различных форм злокачественных новообразований.

Антибиотики могут оказывать на микроорганизмы бактериостатическое и бактерицидное действие. Бактерицидное действие антибиотиков вызывает гибель микроорганизмов, а бактериостатическое действие подавляет или задерживает их размножение. Характер оказываемого действия на микробные клетки зависит от характеристики антибиотика, его концентрации, а также от особенностей самого микроорганизма.

. Бета-лактамные антибиотики

Бета-лактамные антибиотики (β-лактамные антибиотики, β-лактамы) - группа антибиотиков <#"820916.files/image001.gif">

Рисунок 1. 1. - пенициллины <#"820916.files/image002.gif">

Рисунок 2. Бацирацин А.

. Полимиксины

К полимиксинам относятся антибиотики, механизм действия которых основан на нарушении цитоплазматической мембраны. Обладает узким спектром активности в отношении грамотрицательной флоры. По химическому строению представляют собой сложные органические соединения, основой которых является полипептид (Рис.3). Основное клиническое значение имеет активность полимиксинов в отношении синегнойной палочки P. aeruginosa.

Рисунок 3. Полимиксин В.

Наибольшее применение находят полимиксин В <#"820916.files/image004.gif">

Тейкопланин

Не смотря на длительную историю использования (ванкомицин - с 1958 года) в последнее время интерес к ним возрос в связи с увеличением частоты нозокомиальных инфекций <#"820916.files/image005.gif">

Рисунок 4. Ванкомицин.

Примечательной особенностью данной группы антибиотиков является отсутствие всасывания при приеме внутрь[5].

. Полиены

К антибиотикам группы полиенов относятся нистатин, амфотерицин В и др (Рис.5). Основной спектр действия - патогенные грибы. Полиены повреждают их цитоплазматическую мембрану, связываясь с эргостерином, являющимся основным и неотъемлемым компонентом мембраны дрожжей, грибов и простейших. Побочные эффекты, особенно амфотерицина В, связаны именно с этой особенностью механизма действия - они могут повреждать и животные клетки , в частности, эритроциты человека.

Рисунок 5. Нистатин, Амфотерицин В.

У некоторых полиеновых антибиотиков обнаруживается противоопухолевая и антивирусная активность.

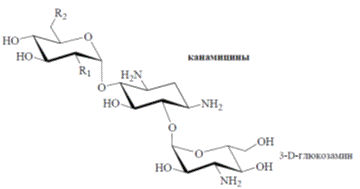
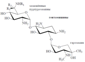
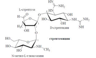
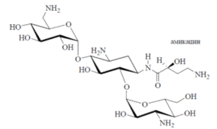
. Аминогликозиды

Некоторые антибиотики, относящиеся к данной группе, являются одними из самых старых. Например, стрептомицин был получен в 1944 г., а с того времени появилось уже три поколения. Т.е. аминогликозиды первого поколения - стрептомицин, неомицин и канамицин, второго - гентамицин, тобрамицин и нетилмицин, а третьего - амикацин.



Аминогликозиды образуют необратимые ковалентные связи с белками 30S-субъединицы бактериальных рибосом <#"820916.files/image011.gif"> 

Рисунок 6. Основа молекулярной структуры аминогликозидов.


. Тетрациклины

К тетрациклинам относятся антибиотики - поликетиды. В основе химического строения - полифункциональное гидронафтаценовое соединение с родовым названием тетрациклин (Рис.7).

Рисунок 7. Молекула тетрациклина.

Большой интерес представляют карбоксамидные производные тетрациклинов, полученные на основе аминометилирования исходного продукта. Такие соединения характеризуются рядом ценных свойств, в том числе действием в широком спектре значений рН (2 - 8.5), а также хорошей растворимостью. Спектр действия относительно микроорганизмов также достаточно широк - проявляет бактерицидные действия в отношении большого количества как грамположительных, так и грамотрицательных микробов[8].

. Фениколы

К данной группе антибиотиков относятся соединения, содержащие в составе структуру фенила (Рис.8).

Рисунок 8. Структура хлорамфеникола.

В клинической практике применяется природный антибиотик хлорамфеникол Механизм действия основан на угнетении синтеза белка на уровне 70S рибосомы, потому антибиотики данной группы оказывают бактериостатическое действие на большинство известных чувствительных микроорганизмов. В связи с высокой токсичностью фениколы применяются достаточно редко и являются препаратами резерва[8].

12. Макролиды

Макролиды - класс антибиотиков, в основе химической структуры которых лежит лактонное кольцо. По количеству атомов углерода в кольце макролиды могут быть 14-членными (эритромицин (Рис.9), кларитромицин), 15-член ными (азитромицин) и 16-членными (мидекамицин, спирамицин).

Эритромицин

 

Рисунок 9. Структуры эритромицина, азитромицина, кларитромицина.

Бактериостатическая активность макролидов обусловлена нарушением синтеза белка на рибосомах микробной клетки. Как правило, макролиды оказывают бактериостатическое действие, но в высоких концентрациях способны действовать бактерицидно. По спектру побочных эффектов считаются одними из самых безопасных на сегодняшний день[9].

Заключение

Большинство антибиотиков в настоящее время получают в промышленности микробиологическим синтезом - в ферментерах на специальных питательных средах, благодаря десяткам лет разработки максимально эффективных и безопасных технологий. Микроорганизмы используются в медицине и пищевой промышленности. С их помощью получают антибиотики, витаминные препараты, кормовые белки. Колонии микроорганизмов выращивают из одной особи, которая быстро размножается бесполым путем, образуя штамм. Биотехнология - использование живых организмов и их биологических процессов в производстве необходимых для человека веществ. В биотехнологии применяют бактерии, грибы, клетки растительных тканей. Их выращивают на питательных, ферментных средах в специальных биореакторах. В культуре тканей проводят гибридизацию клеток, изучают раковые клетки и особенности их размножения, проверяют устойчивость к различным вирусам. Из более чем 100 тыс. видов известных в природе микроорганизмов человеком используется несколько сотен, и число это растет. Качественный скачок в их использовании произошел в последние десятилетия, когда были установлены многие генетические механизмы регуляции биохимических процессов в клетках микроорганизмов.

Многие из них продуцируют десятки видов органических веществ - аминокислот, белков, антибиотиков, витаминов, липидов, нуклеиновых кислот, ферментов, пигментов, сахаров и т. п., широко используемых в разных областях промышленности и медицины. Такие отрасли пищевой промышленности, как хлебопечение, производство спирта, молочных продуктов, виноделие и многие другие, основаны на деятельности микроорганизмов.

Методами современной селекции микроорганизмов интенсивно исследуются возможности получения важных в хозяйственном отношении веществ - органических кислот, спиртов, кетонов. Селекция направлена на создание генетических линий (штаммов), обеспечивающих максимальную производительность.

Методы обнаружения антибиотиков на протяжении ряда лет практически не претерпели никаких изменений. Обычно они включают биоавтографию с помощью чувствительных к данному антибиотику микроорганизмов, посеянных на агаре, или проявление хроматограмм путем их опрыскивания растворами соответствующих реагентов с последующим просмотром при УФ-освещении. Для обнаружения антибиотиков наиболее пригоден метод биоавтографии, суть которого заключается в следующем. Высушенную бумажную хроматограмму, тонкослойную пластинпластинку или электрофореграмму прижимают к поверхности агара, содержащего культуру подходящего микроорганизма, и выдерживают в течение определенного времени. За время инкубации число бактерий увеличивается лишь в тех участках агара, которые не соприкасались с антибиотиком. По положению зон, в которых подавляется рост бактерий, определяют значения Rf соединений, проявляющих свойства антибиотика. Мейерс и Чанг предложили способ увеличения чувствительности обнаружения антибиотиков с помощью Trichomonas, основанный на использовании монофосфата фенолфталеина.

Синтезированные микроорганизмами антибиотики извлекают и подвергают химической очистке с использованием различных методов. Основными продуцентами антибиотиков являются почвенные микроорганизмы - лучистые грибы (актиномицеты), плесневые грибы и бактерии. Те микробы, против которых направлено действие этих продуктов, со временем начинают приспосабливаться и избегать гибели. Это, а также распространение множества болезней, особенно в неблагополучных регионах нашей планеты, заставляют исследователей и врачей всего мира продолжать разрабатывать новейшие препараты.

Список использованной литературы

. Егоров Н.С. Основы учения об антибиотиках. М.: Изд. МГУ, 2005. - 600 с.

. Бибикова М.В., Бондарева Н.С. Препараты микробного происхождения для лечения атеросклероза // Антибиотики и химиотерапия. 1998. т.43. - №8. -С.34-39.

. Нетрусов А. И., Котова И. Б. Общая микробиология; Академия - Москва, 2007. - 288 c.

. Донецкая Э. Г.-А. Клиническая микробиология; ГЭОТАР-Медиа - Москва, 2011. - 480 c.

. Шильникова В. К., Ванькова А. А., Годова Г. В. Микробиология; Дрофа - Москва, 2006. - 288 c.

. Фомина И. П. Современные аминогликозиды. Значение в инфекционной патологии и особенности действия // Русcкий медицинский журнал. 1997; 5 (21): 1382-1391.

. Решедько Г. К. Механизмы резистентности к аминогликозидам у нозокомиальных грамотрицательных бактерий в России: результаты многоцентрового исследования // КМАХ. 2001; 3 (2): 111-132.

. Поздеев О. К. Медицинская микробиология; ГЭОТАР-Медиа - Москва, 2008. - 784 c. антибиотик антимикробное пенициллин аминогликозид

. Сазыкин Ю.О., Бибикова М.В., Грамматикова Н.Э. и др. Механизм биологической активности макролидных антибиотиков - ингибиторов FoFl-АТФазы // Антибиотики и химиотерапия. 2003. т.48. -№12. - С.33-39.

Похожие работы на - Антибиотики микробного происхождения

 

Не нашли материал для своей работы?
Поможем написать уникальную работу
Без плагиата!
Без нейросетей!