Антибиотики и их продуценты

  • Вид работы:
    Реферат
  • Предмет:
    Биология
  • Язык:
    Русский
    ,
    Формат файла:
    MS Word
    1 Мб
  • Опубликовано:
    2015-12-09
Вы можете узнать стоимость помощи в написании студенческой работы.
Помощь в написании работы, которую точно примут!

Антибиотики и их продуценты

Министерство образования и науки Российской Федерации

Федеральное государственное автономное образовательное учреждение

высшего профессионального образования

«Уральский федеральный университет имени первого Президента России Б.Н. Ельцина»

Химико-технологический институт

Кафедра технологии органического синтеза






Реферат

по дисциплине «Основы микробиологии и биотехнологии»

Антибиотики и их продуценты

Преподаватель

Безматерных М. А.

Выполнила

Студентка гр. Х-330702

Елизарова А. С.



Екатеринбург, 2015

Введение

Учение об антибиотиках - сравнительно молодая ветвь современного естествознания. Прошло немногим более 60 лет с того времени, когда впервые в 1940 г. был получен в кристаллическом виде химиотерапевтический препарат микробного происхождения - пенициллин, открывший эру антибиотиков. Многие ученые мечтали о создании таких препаратов, которые могли бы использоваться при лечении различных заболеваний человека и были бы способны убивать патогенные бактерии, не оказывая вредного действия на организм больного. И такими препаратами стали антибиотики. Впервые термин «антибиотик» ввел в 1942 г. 3. Ваксман, что в переводе означает «против жизни».

Что же такое антибиотики? Антибиотики - специфические продукты жизнедеятельности, обладающие высокой физиологической активностью по отношению к определенным группам микроорганизмов (вирусам, бактериям, грибам, водорослям) или к злокачественным опухолям, избирательно задерживающие их рост либо полностью подавляющие развитие.

Целью моей работы является рассмотрение различных классов антибиотиков, вырабатываемых микроорганизмами, а так же изучение механизмов их действия.

Антибиотики - конечные продукты обмена веществ организмов, накапливающиеся внутри клетки или выделяющиеся в окружающую среду.

Классификация антибиотиков

Для биологов, изучающих продуценты антибиотических веществ, условия образования этих соединений и другие интересующие их проблемы, наиболее приемлема классификация антибиотиков по принципу их биологического происхождения.

Антибиотики, образуемые бактериями

К настоящему времени известно около 1000 антибиотиков бактериального происхождения. По химической природе почти все бактериальные антибиотики - полипептиды или белки. Особенность полипептидных антибиотиков, образуемых бактериями, заключается еще и в том, что в их состав наряду с L-формами аминокислот входят D-аминокислоты.

Тиротрицин (Tyrothricin)

Впервые был получен Р. Дюбо в 1939 г. при развитии бактерии Bacillus brevis, выделенной из почвы. Продуцент тиротрицина - аэробная, спорообразующая грамположительная бактерия. Для получения антибиотика бактерии выращивались в течение 4-5 сут при 37 °С на жидкой питательной среде (мясопептонный бульон). В процессе развития бактерий образующийся антибиотик в небольшом количестве выделяется в окружающую среду, а основная масса тиротрицина находится в бактериальных клетках, поэтому обрабатывать следует как культуральную жидкость, так и бактериальную массу.

Рис. 1. Схема выделения тиротрицина

Тиротрицин обладает бактериостатическим и бактерицидным действием в отношении грамположительных бактерий и главным образом гноеродных кокков. Преимущество тиротрицина состоит в том, что он действует на те патогенные микробы, на которые не влияют ни пенициллин, ни сульфаниламидные препараты. Грамотрицательные бактерии устойчивы к действию антибиотика.

В 1941 г. было выявлено, что тиротрицин состоит из двух разных полипептидов. Их разделили и дали самостоятельные названия - тироцидин и грамицидин. Грамицидин составляет 15-20% от массы тиротрицина и является его растворимой частью при обработке смесью ацетона и эфира. Тироцидин же остается нерастворимым. Фракция тироцидина неоднородна и состоит из трех близких по аминокислотному составу полипептидов, получивших названия тироцидинов А, В и С.

пенициллин антибиотик стрептомицин лишайник

Рис. 2. Строение тироцидина А

Грамицидиновая фракция тиротрицина также неоднородна, были выделены четыре полипептида: грамицидины А, В, CD и D. Грамицидин А находится в преобладающем количестве. В отдельных препаратах грамицидиновой фракции содержится около 85% грамицидина А, 9% грамицидина В, 6% грамицидина CD и следы грамицидина D.:

Рис. 3. Линейное строение грамицидинов А, В, CD.

Грамидицины (Gramicidins)

Из штамма Brevi bacillus, выделенного из почв Подмосковья, получен новый полипептидный антибиотик - грамицидин С (советский грамицидин, который иногда обозначают грамицидин S). В 1942 г. его выделили микробиологи Георгий Францевич Гаузе и Мария Георгиевна Бражникова. Грамицидин С существенно отличается от грамицидинов, выделенных из тиротрицина, по аминокислотному составу, однако по структуре и действию на бактерии он сходен с тироцидином А.

Рис. 4. Строение грамицидина С (S).

Грамицидин С активно применяется в медицинской практике: в хирургии при первичной обработке ран, при лечении инфицированных ран, ожогов и других нагноительных процессов.

Антибиотики, образуемые актиномицетами

Наибольшее число антибиотиков (не менее 70%), широко применяемых на практике, относится к веществам, образуемым актиномицетами (порядок Actinomycetales).

Стрептомицин (Streptomycin)

Продуцентом большинства известных к настоящему времени антибиотиков, синтезируемых актиномицетами, является род Streptomyces. В 1944 г. 3ельманом Ваксманом и его сотрудниками был открыт антибиотический препарат стрептомицина, образуемого культурой Streptomyces griseus.

Рис. 5. Структура стрептомицина

Условия образования и биосинтеза стрептомицина

Стрептомицин синтезируется в средах, содержащих в своем составе мясной экстракт, либо в средах, где мясной экстракт заменен соевой мукой, или кукурузным экстрактом, или гидролизатами, полученными из этих веществ. pH такой среды устанавливается в пределах 7,0-8,5. Большое значение имеет температура культивирования организма. Повышение температуры выше 30 °С практически прекращает образование антибиотика. Границы оптимума температуры для синтеза антибиотика определяются 27-29 °С.. griseus - организм высокоаэробный, он поглощает значительное количество кислорода, которое зависит от состава среды и стадии его развития. В ранний период развития стрептомицета потребление кислорода воздуха происходит интенсивно, а затем падает почти до нуля. Увеличение степени аэрации повышает выход стрептомицина. Можно отметить две реальные фазы развития стрептомицета.

Первая фаза. Для фазы характерны быстрый рост и развитие стрептомицета с энергичным использованием основных компонентов субстрата и максимальным потреблением кислорода.

Вторая фаза. Для этой фазы характерно медленное потребление оставшихся в среде питательных веществ. Рост стрептомицета замедляется, резко снижается потребление кислорода.

Антибиотические свойства

По отношению к стрептомицину все микроорганизмы условно можно разделить на три группы.

. Весьма чувствительные микроорганизмы, которые подавляются в большинстве случаев при концентрации стрептомицина 10 мкг/мл.

. Умеренно чувствительные микроорганизмы, для подавления которых необходима концентрация стрептомицина в пределах 10-100 мкг/мл.

. Устойчивые формы микробов, для подавления которых необходима концентрация антибиотика, превышающая 100 мкг/мл.

Токсичность стрептомицина сравнительно невелика. Для человека массой 60 кг токсическая доза этого антибиотика составляет около 6 г. Использование стрептомицина особенно эффективно при туберкулезе верхних дыхательных путей, заболеваниях менингеальных и других серозных и слизистых оболочек. При всех видах туберкулеза наибольший эффект получается при использовании стрептомицина в ранней или острой фазе процесса, а наименьший - при обширных деструктивных изменениях в пораженных органах.

Хлортетрациклин (Chlortetracyclin)

В 1948 г. из почв был выделен новый вид стрептомицета - Streptomyces aureofaciens, образующий антибиотик ауреомицин. Позже этому антибиотику было дано общепринятое название - хлортетрациклин. Антибиотик имеет систему четырех линейных конденсированных 6-членных колец.

Рис. 6. Химическое строение хлортетрациклина

Хлортетрациклин слаборастворим в обычных органических растворителях, растворим в воде (0,55 мг/мл при 25 °С) и нерастворим в эфире.

Биосинтез тетрациклиновых структур происходит через малонил-КоА и малонамоил-КоА, которые образуются из девяти молекул уксусной кислоты (ацетил-КоА) при участии АТФ.

Рис. 7. Начальная стадия биосинтеза тетрациклиновой структуры

Затем к одной молекуле малонамоил-КоА присоединяется восемь молекул малонил-КоА с образованием нонакетида, который через ряд промежуточных соединений превращается в молекулу тетрациклина.

Рис.8. Окончание синтеза тетрациклина

После этого осуществляются реакции, связанные с формированием функциональных групп (метильных, гидроксильных и др.).

Применение хлортетрациклина

Наиболее рационально применение его при лечении заболеваний, возбудители которых устойчивы к действию пенициллина или стрептомицина, например бактериальных пневмоний, бруцеллеза, туляремии, коклюша, скарлатины, сибирской язвы и других бактериальных заболеваний. Кроме того, хлортетрациклин может использоваться при терапии различных форм сыпного тифа, пятнистой лихорадки. Применение хлортетрациклина не дает серьезных осложнений или побочных реакций, связанных с токсичностью.

Антибиотики, образуемые грибами и лишайниками

Пенициллин (Penicillin).

Изучение пенициллина в СССР было начато З.В. Ермольевой. В 1942 г. под ее руководством был выделен первый отечественный пенициллин - крустозин, сыгравший огромную роль в спасении жизни воинов Советской Армии во время Великой Отечественной войны.

После того как было установлено, что пенициллин обладает ценными лечебными свойствами, начались интенсивные поиски продуцентов этого антибиотика. В результате большого числа работ удалось установить, что пенициллин могут вырабатывать многие виды Penicillium (P. chrysogenum, P. brevicompactum, P. nigricans, P. turbatum, P. steckii, P. corylophilum), а также некоторые виды Aspergillus (A.flavus, A.flavipes, A. janus, A. nidulans и др.). Получать этот антибиотик в нашей стране начали в 1944 г., используя метод поверхностного выращивания гриба. В 1944-1945 гг. в СССР была разработана технология промышленного производства пенициллина глубинным способом.

Условия образования пенициллина.

Изменения, происходящие в мицелии гриба P.chrysogenum и культуральной жидкости в процессе биосинтеза пенициллина, имеют определенный фазовый характер. В первой фазе развития наблюдается усиленный рост гриба, происходит энергичное потребление углерода, усиливается азотный обмен, рН среды значительно возрастает и потребление кислорода высокое. В этой фазе антибиотик практически не вырабатывается. Во второй фазе значительно снижается прирост мицелия гриба, уменьшается интенсивность поглощения кислорода, рН среды почти не изменяется. Основная масса источника углерода уже использована. В этот период образуется основное количество пенициллина.

Для высокого выхода пенициллина требуются следующие условия развития гриба: хороший рост мицелия, достаточное обеспечение культуры питательными веществами и кислородом, оптимальная температура (в период первой фазы 30°С, в период второй фазы 20°С), уровень рН ниже 8,0 (но не ниже 7,0), медленное потребление углеводов (лактозы, дробное внесение глюкозы или другого сахара).

Общее строение молекулы пенициллина.

Различные типы пенициллинов, образуемые грибом, близки по химическому строению. Отличие в их структуре определяется лишь строением радикала. Радикал соединяется с общим для всех типов ядром молекулы пенициллина, называемым 6-аминопенициллановой кислотой, состоящей из β-лактамного и тиазолидинового колец.

Рис. 9.Строение молекулы пенициллина

Пути биосинтеза молекулы пенициллина

Направленный биосинтез того или иного типа пенициллина обеспечивается добавлением к среде для культивирования P. chrysogenum фенилуксусной кислоты или ее производных, а также других соединений. Следовательно, эти соединения, включающиеся в боковую цепь молекулы пенициллина, определяют направленность биосинтеза антибиотика. Молекула пенициллина образуется из L-цистеина, L-валина и неполярных карбоновых кислот. Обязательным компонентом биосинтеза пенициллина является L-a-аминоадипиновая кислота (L-a-АКК), которая образуется из кетоглутарата и ацетил -КоА при участии фермента гомоцитратсинтетазы по следующей схеме:

Рис. 10. Образование L-a-аминоадипиновой кислоты

Первым этапом биосинтеза молекулы пенициллина следует считать образование трипептида L-2-аминоадипил-L-цистеинил-D-валина (LLD). Этот трипептид был обнаружен в мицелии продуцента пенициллина P.chrysogenum. LLD-трипептид превращается в изопеницилин N через моноциклический b-лактам

Рис. 11. Образование моноциклического b-лактама

b-лактам образуется в результате замыкания кольца между С-3-цистеином и NH-группой валина. Этот процесс - первая стадия циклизации LLD-трипептида в первичный антибиотик - изопеницилин N.

Рис. 12. Схема биосинтеза пенициллина 6-аминопенициллановой кислоты

Пенициллин оказывает антимикробное действие в отношении некоторых грамположительных бактерий - стафилококков, стрептококков и некоторых других, и практически неактивен в отношении грамотрицательных бактерий и дрожжей. Пенициллин - наиболее ценное и мощное из известных средств для лечения заболеваний, вызываемых этими бактериями. Преимущество пенициллина состоит в том, что этот препарат - один из наименее токсичных антибиотиков, используемых в медицинской практике.

Пенициллин широко применяется в хирургии, успешно используется при лечении остеомиелитов, карбункулов, инфицированных ран и других заболеваний. Использование пенициллина создало широкие возможности для лечения таких заболеваний, как перитонит и пневмония. В педиатрической практике пенициллин имеет большое значение при лечении гнойных осложнений после скарлатины.

Цефалоспорины (Cephalosporins)

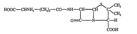
Цефалоспорины - антибиотики, образуемые грибами из рода Cephalosporium. Основной продуцент этих антибиотиков - гриб С. acremonium, позднее переименованный в Acremonium chrysogenum, был выделен в 1945 г. В культуральной жидкости гриба обнаружено три варианта цефалоспорина:Р, N и С. Цефалоспорин С - главный антибиотик, на основе которого впоследствии были созданы многочисленные полусинтетические препараты с весьма ценными свойствами.

Рис. 13. Строение цефалоспорина С

Рис. 14. Строение цефалоспорина N

Сравнивая схемы биосинтеза цефалоспорина (рис. 15) и пенициллина, можно заметить, что пути образования молекул названных антибиотиков на стадии до биосинтеза изопенициллина N одинаковы. И лишь после появления этого промежуточного соединения пути биосинтеза молекул цефалоспорина и пенициллина расходятся.

Рис. 15. Схема биосинтеза цефалоспорина С

В зависимости от свойств цефалоспоринов и времени их получения данные вещества подразделяют на четыре поколения.

Цефалоспорины I поколения обладают высокой биологической активностью в отношении стафилококков, стрептококков, пневмококков, многих видов энтеробактерий, в том числе Е. coli, Proteus mirabilis.

Цефалоспорины II поколения характеризуются высокой активностью в отношении грамотрицательных бактерий.

Цефалоспорины III поколения отличаются высокой антимикробной активностью в отношении энтеробактерий, в том числе устойчивых к другим антибиотикам. Для них характерна повышенная антибиотическая активность в отношении Е. coli, ряда штаммов Proteus, Enterobacter. Вместе с тем они обладают умеренной активностью по отношению к стафилококкам. Цефалоспорины III поколения широко применяются в медицинской практике.

Цефалоспорины IV поколения обладают необычным биологическим свойством: очень быстрым транспортом в периплазматическое пространство. Находит практическое применение при лечении инфекций нижних дыхательных и мочевыводящих путей, а также гинекологических и других заболеваний.

Антибиотические вещества высших растений

Биологически активные вещества высших растений Борис Петрович Токин, советский биолог, назвал фитонцидами. Фитонциды - продукты жизнедеятельности растений, обнаруженные у представителей всех групп высших растений. Наибольшим антибиотическим свойством обладают фитонциды лука, чеснока и некоторых других растений. Известно, что фитонциды представляют собой не отдельные вещества, а комплексы соединений. Фитонцидными свойствами обладают бальзамы, смолы, вещества хиноидного строения, глюкозиды и другие соединения.

Аллицин (Allicin)

Аллицин - продукт жизнедеятельности чеснока (Allium sativum) Антибиотик выделяют из чеснока экстракцией органическими растворителями и очищают перегонкой с водяным паром.

Аллицин, выделенный из чеснока, - очень неустойчивое соединение: при комнатной температуре он разрушается в течение нескольких суток. Однако неповрежденный чеснок сохраняет антибиотическую активность в течение года и более. Изучение этого явления показало, что в чесноке аллицин содержится не в виде свободного соединения, а в виде вещества, которое может переходить в антибиотик. Это вещество было названо аллиином. Под действием аллииназы аллиин превращается в аллицин с выделением пировиноградной кислоты и аммиака

Рис. 16. Превращение аллиина в аллицин

Аллицин принадлежит к группе серосодержащих алифатических соединений. Он подавляет развитие грамположительных и грамотрицательных микробов и развитие туберкулезной палочки.

Антибиотики животного происхождения

Антибиотики животного происхождения характеризуются свойствами, отличающими их от других антибиотиков. Обладая антибиотическими свойствами, они в то же время активизируют защитные силы макроорганизма. Сочетание этих свойств делает возможным применение их для профилактики и лечения ряда заболеваний.

Лизоцим (Lysozyme)

Лизоцим обнаружен в белке куриного яйца, селезенке, сердце, печени, легком, в различных секреторных выделениях (слезы, слизь носа, слюна и др.), в соках некоторых растений, у микроорганизмов и бактериофагов. Лизоцим активно действует на клеточную стенку бактерий - непосредственно на пептидогликан. Он гидролизует β-гликозидные связи между остатками N-ацетилмурамовой кислоты и N-ацетилглюкозамина в пептидогликане бактериальной стенки, что приводит к распаду полимера и лизису бактериальной клетки. Лизоцим изучался и продолжает изучаться как лечебный препарат, применяемый при инфекционных болезнях, в дерматологии, офтальмологии, хирургии и при воздействии на злокачественные опухоли.

 

Механизмы действия антибиотиков разных классов


По механизму биологического действия антибиотические вещества условно подразделяют на несколько основных групп.

)        Антибиотики, ингибирующие синтез клеточной стенки бактерий, а точнее, синтез пептидогликана (пенициллины и др.).

)        Антибиотики, нарушающие функции мембран (грамицидины и др.). Поступление антибиотиков в клетку микроорганизмов - процесс активного транспорта. Антибиотики «пользуются» транспортными системами, предназначенными для переноса обычных метаболитов, «подменяя» последние. Так идет накопление антибиотика в клетке микроорганизма.

)        Антибиотики, избирательно подавляющие синтез (обмен) нуклеиновых кислот:

а)      ингибирующие синтез РНК (актиномицин и др.);

б)      подавляющие синтез ДНК.

Перед полным подавлением синтеза белка антибиотик успевает нарушить последовательность аминокислот в белках и в результате этого вызвать образование дефектных белков, которые, накапливаясь в мембране, приводят к нарушению ее барьерных функций.

)        Антибиотики - ингибиторы синтеза пуринов и пиримидинов.

)        Антибиотики, подавляющие синтез белка. Тетрациклины оказывают действие на каталазу крови. В больших дозах они вызывают у животных стойкое нарушение регенерации клеток крови.

 

Заключение


В наше время антибиотики - незаменимые лечебные препараты, широко применяемые при различных видах заболеваний. В результате химической модификации природных антибиотиков получены десятки тысяч полусинтетических препаратов, многие из которых представляют большой практический интерес.

Открытие антибиотиков - великое достижение науки прошлого века, которое по сей день продолжает спасать жизни миллионам людей.

Библиографический список

1.     Основы учения об антибиотиках: Учебник. 6-е изд., перераб. и доп. / Н.С.Егоров. - М.: МГУ, Наука, 2004. - 528 с.

2.      Учебное пособие для студентов высших фармацевтических учебных заведений. / Ю. О. Сазыкин, С. Н. Орехов, И. И.Чакалева ; под ред. А. В. Катлинского. - 3-е изд., стер. - М.: Издательский центр «Академия», 2008. 256 с.

.        Промышленная микробиология: Учеб. пособие для ВУЗов по специальности "Микробиология", "Биология" /З.А. Аркадьева, А.М. Безбородов, Н.С. Егоров и др.; Под ред. Егорова Н. С. М.: Высшая школа, 1989. - 688 стр.

Похожие работы на - Антибиотики и их продуценты

 

Не нашли материал для своей работы?
Поможем написать уникальную работу
Без плагиата!
Без нейросетей!