Деловое предприятие в рыночной экономике

  • Вид работы:
    Курсовая работа (т)
  • Предмет:
    Эктеория
  • Язык:
    Русский
    ,
    Формат файла:
    MS Word
    477,87 Кб
  • Опубликовано:
    2014-12-08
Вы можете узнать стоимость помощи в написании студенческой работы.
Помощь в написании работы, которую точно примут!

Деловое предприятие в рыночной экономике

МИНИСТЕРСТВО ОБРАЗОВАНИЯ И НАУКИ РОССИЙСКОЙ ФЕДЕРАЦИИ

Федеральное государственное бюджетное образовательное учреждение высшего профессионального образования

«Тюменский государственный архитектурно-строительный университет»

Кафедра Экономики






КУРСОВАЯ РАБОТА

по дисциплине: «Экономическая теория»

Выполнил: Жданова К.О.

Проверил: ассистент кафедры Экономики

Городинская Н.В.








Тюмень, 2013

Введение

Представленная работа посвящена теме "Деловое предприятие в рыночной экономике".

Проблема данного исследования носит актуальный характер в современных условиях. Об этом свидетельствует частое изучение поднятых вопросов.

Тема "Деловое предприятие в рыночной экономике" изучается на стыке сразу нескольких взаимосвязанных дисциплин. Для современного состояния науки характерен переход к глобальному рассмотрению проблем тематики "Деловое предприятие в рыночной экономике".

Вопросам исследования посвящено множество работ. В основном материал, изложенный в учебной литературе, носит общий характер, а в многочисленных монографиях по данной тематике рассмотрены более узкие вопросы проблемы "Деловое предприятие в рыночной экономике". Однако, требуется учет современных условий при исследовании проблематики обозначенной темы.

Высокая значимость и недостаточная практическая разработанность проблемы "Деловое предприятие в рыночной экономике" определяют несомненную новизну данного исследования.

Дальнейшее внимание к вопросу о проблеме "Деловое предприятие в рыночной экономике" необходимо в целях более глубокого и обоснованного разрешения частных актуальных проблем тематики данного исследования.

Актуальность настоящей работы обусловлена, с одной стороны, большим интересом к теме "Деловое предприятие в рыночной экономике" в современной науке, с другой стороны, ее недостаточной разработанностью. Рассмотрение вопросов связанных с данной тематикой носит как теоретическую, так и практическую значимость.

Теоретическое значение изучения проблемы "Деловое предприятие в рыночной экономике" заключается в том, что избранная для рассмотрения проблематика находится на стыке сразу нескольких научных дисциплин.

Объектом данного исследования является анализ условий "Деловое предприятие в рыночной экономике".

При этом предметом исследования является рассмотрение отдельных вопросов, сформулированных в качестве задач данного исследования.

Целью исследования является изучение темы "Деловое предприятие в рыночной экономике" с точки зрения новейших отечественных и зарубежных исследований по сходной проблематике.

.       
Экономическая природа фирмы

Экономическая природа существования фирмы

Рыночная экономика состоит из частного и государственного секторов Действующие лица в частном секторе - фирмы, в государственном - избиратели, политики и чиновники

Фирмы, или деловые предприятия, производящие разнообразные товары и услуги, они действуют в условиях конкуренции, которые постоянно меняются, они подвергаются воздействию и подконтрольные различным факторам внешней сред.

Деловое предприятие трактуются, как независимая финансовая, юридическая и хозяйственно-экономическая единица, которая имеет свой собственный бизнес-управление и направлена всегда на получение финансовой прибыли.

Предприятие - это физическое сооружение, такая, как фабрика, ферма, шахта и т.д., выполняет одну или несколько специфических функций, связанных с производством и распределением продуктов. Фи́рма - это единица предпринимательской деятельности, оформленная юридически и реализующая собственные интересы посредством производства и продажи товаров и услуг с использованием различных факторов производства. Понятие "фирма" и "предприятие" идентичны, если предприятие является самостоятельным юридическим лицом, реализующим свои экономические интересы

Фирмы заключают соглашения со своими рабочими и служащими, а также с другими фирмами Предприятия покупают материалы и услуги у других фирм и продают им свою продукцию Так, "Дженерал Моторз" покупает в таль и пластик у своих поставщиков и продает произведенные из них автомобили другим фирмам Ресурсы также распределяются внутри фирмы посредством управления Фирмы имеют определенные факторы производства (такие как оборудование) У фирм состоят также контрактные отношения с обладателями факторов производства Предприятия заключают трудовые договоры с наемными работниками, соглашения с владельцами зданий и земли фирмой распоряжается факторами производства внутри предприятия, отдавая указания и приказы без участия рынка.

Возникновение фирмы - это дело не случайно Для их появления существовали и продолжают существовать серьезные причины Современное производство невозможно представить без совместной работы десятков или даже сотен человек Ф Фирма требует управления Более того, предприятия объединяют вместе факторы производства, менеджеры или директора направляют на выполнение каких-то задач В совместной работе рабочие и служащие часто вы пользуют специальное оборудование, выполняют особые задачи, с помощью, которых получают больше опыта, чем другие рабочие фирмы производят несравненно больший объем продукции, чем индивидуальная.

Фирмы эффективно используют преимущества совместной работы Они налаживают специализацию, берут на себя риск за возможные неудачи и ответственность за результаты хозяйственной деятельности

Фирмы подвержены риску Поэтому они пытаются предсказать его и по возможности свести к минимуму Возможно, товар будет реализован за исправной цене, а возможно, и нет Могут быть последствия и от стихий бедствий В фирме единственный человек, который берет на себя весь риск, - ее владелец Он рискует капиталом, нанимая рабочих и подписывая соглашения об аренде земли и на поставку оборудования Владелец фирмы обеспечивает (на основании сделок) определенный уровень гарантии работникам и владельцам факторов производства При нормальных условиях эти люди получают деньги независимо от успеха или неудачи фирмы.

2. Рациональные границы интеграции

Вопрос об оптимальных размерах фирмы принято рассматривать под рубрикой "теория интеграции". Интеграция - это сосредоточение экономической деятельности внутри фирмы. Фирма граничит как с фирмами-конкурентами в своей отрасли, так и с фирмами из смежных отраслей, откуда она покупает необходимое сырье и оборудование и куда поставляет готовую продукцию. У нее есть как горизонтальные, так и вертикальные границы. Соответственно этому различают интеграцию горизонтальную, вертикальную и диверсификацию.

Рис. 1. Выбор размеров фирмы

а - общие затраты на сделки каждого вида в зависимости от их числа

б - предельные трансакционные затраты. Рациональному уровню интеграции соответствует минимум суммарных затрат. В точке минимума предельные суммарные затраты равны нулю; следовательно, при этом предельные внутренние трансакционные затраты равны предельным рыночным трансакционным затратам

Допустим, что технология фиксирована. Каждая компонента изделия должна быть произведена с помощью материалов и оборудования, энергии и воображения. Эти ресурсы должны быть отобраны и направлены на выполнение соответствующей задачи. А координация этого процесса требует осуществления определенного числа трансакций. Каждая из них в принципе может быть реализована одним из двух способов - как внутрифирменная или как рыночная:

общее число трансакций = число внутрифирменных трансакций + число рыночных трансакций.

В случае горизонтальной интеграции границы фирмы раздвигаются вширь: она вбирает в себя все больший объем производства какого-нибудь одного вида. Диверсификация рассматривается обычно как особый случай горизонтальной интеграции. Она обозначает проникновение фирмы в разнородные, технологически не связанные между собой отрасли. Пример - крупные конгломераты, имеющие множество самых разных предприятий промышленности, торговли, финансов.

В случае вертикальной интеграции фирма распространяет свою деятельность "вверх" или "вниз", на соседние звенья производственного процесса. Соответственно вертикальная интеграция может быть восходящей (от устья к истоку, от конечных к начальным стадиям технологического цикла) инисходящей (от истока к устью, от начальных стадий к конечным). Если представить весь путь к потребителю какого-либо продукта, например бензина, в виде вертикальной линии, как это сделано на рис. 2, то восходящей интеграции будет соответствовать подключение добычи нефти к нефтеперерабатывающей компании, нисходящей - организация ею собственной сети бензозаправочных станций.

Рис. 2. Восходящая и нисходящая вертикальная интеграция

Есть три пути, ведущих к образованию вертикально интегрированной фирмы: 1) она может изначально создаватьсякак охватывающая несколько последовательных производственных стадий; 2) она может сформироваться за счет экспансии неинтегрированной фирмы в смежные отрасли;

) она может быть результатом слияния двух фирм, находившихся на соседних ступенях производственного процесса.

По наблюдению американского экономиста Дж. Стиглера, в молодых, недавно появившихся отраслях обычно преобладают вертикально интегрированные фирмы, так как объем спроса слишком мал, чтобы специализироваться на какой-нибудь одной стадии выпуска нового продукта. При достижении отраслью фазы зрелости начинает действовать тенденция к дезинтеграции, складываются крупные, узкоспециализированные фирмы. В старых отраслях, клонящихся к упадку, происходит возврат к вертикально интегрированным организационным формам.

Существует несколько подходов к анализу проблемы интеграции. Как вскоре станет ясно, само представление о том, что такое фирма. в каждом из них оказывается различным.

. Фирма как производственная функция. Если вспомнить, в каком смысле употреблялся термин "фирма" в предшествующих лекциях, то нетрудно убедиться, что это имеет мало общего с тем обобщенным образом, который был только что представлен. Действительно, до сих пор фирма рассматривалась просто как некая точка во времени и пространстве, где исходные ресурсы преобразуются в готовую продукцию. Проще говоря, "фирма" была иным обозначением понятия "производственная функция".

Такой подход можно назвать технологическим. Фирма выступает в нем как "черный ящик" с затратами на входе и выпуском на выходе. Все внутреннее содержание фирмы сводится к технологическому процессу, не относящемуся к предмету экономического анализа. Состояние технологии принимается как нечто данное, как фактор, диктующий больший или меньший размерфирмы, т. е. объем осуществляемой в ее рамках экономической деятельности. Все внимание сосредоточивается на происходящем не внутри, а как бы на границах "черного ящика". (Заметьте: понимание фирмы как производственной функции оказывается достаточно далеко от ее понимания как организации со сложной внутренней структурой).

Технологический подход сводит объяснение больших или меньших размеров фирмы к уже знакомому вам эффекту экономии от масштаба. Простейший пример - двое рабочих, поднимающих тяжелый камень, вес которого больше, чем в сумме могут они поднять, действуя поодиночке. Увеличение размеров "предприятия" с одного до двух человек обеспечивает выпуск, превосходящий совокупный продукт двух "одиночных" предприятий.

Источники экономии от масштаба различны. Расширение производства позволяет использовать более мощное и эффективное оборудование, углублять специализацию. Фирме, например, может быть выгоднее, чтобы ремонт станков осуществлялся не самим работающим на них персоналом, а специализированным ремонтным подразделением, однако его создание оправдано лишь при достаточно больших объемах производства. Экономия от масштаба обеспечивает снижение средних затрат на единицу продукции.

Технологическая экономия может давать толчок и вертикальной интеграции. Скажем, объединение в рамках непрерывного процесса литья и проката стали обеспечивает экономию тепла: металл не нужно разогревать вторично.

Технологический подход характеризуется также экономией от разнообразия. Она имеет место тогда, когда соединением под одной крышей нескольких различных видов производства достигается сокращение затрат. Ее источником может являться использование одного и того же ресурса или одной и той же технологии одновременно в нескольких производственных процессах, а также дополняющий характер спроса. Скажем, на бензозаправочной станции есть смысл наладить текущий ремонт машин, организовать мелкую торговлю и т. д. Обувной фабрике лучше заниматься производством ботинок и на правую, и на левую ногу. И т. д.

Эффектам экономии от масштаба и разнообразия можно дать более общие определения, чем это было сделано раньше. Допустим, винодельческий завод выпускает 100 тыс. л вина в год. То же количество можно было бы производить на двух заводах меньшей мощности, причем в самых различных сочетаниях: на первом - 1 л, на втором - 999999 л, на первом - 2 л, на втором - 999998 л и т. д. Если при любой из этих комбинаций затраты на производство у двух заводов меньшей величины оказываются выше, чем у завода мощностью 100 тыс. л, налицо экономия от масштаба. Точно так же налицо экономия от разнообразия, если затраты на производство п продуктов в пределах одной фирмы меньше, чем затраты на производство того же количества этих продуктов при любых вариантах дробления данной фирмы на несколько более специализированных предприятий. Так, железнодорожная компания, занимающаяся и грузовыми, и пассажирскими перевозками, эффективнее двух, специализирующихся на оказании услуг одного вида.

Однако обычно реализация экономии от масштаба и разнообразия наталкивается на неизбежные ограничения. Расширение производства начинает с определенного момента вести не к сокращению, а к росту средних затрат. Выгоды, связанные с использованием более мощного оборудования и углублением специализации, исчерпываются, управляющие с трудом справляются с возросшей нагрузкой и т. д. Отсюда - стандартная U-образная форма кривой средних затрат длительного периода. Напомним, что минимума она будет достигать в точке, где положительная экономия сменяется на отрицательную.

От формы и расположения кривых средних затрат длительного периода будут зависеть и оптимальный размер предприятий, и их количество в разных отраслях. Предприятие достигает оптимальной величины при полном исчерпании экономии от масштаба. Необходимое же количество предприятий можно определить, разделив рыночный объем спроса на оптимальный для данной отрасли размер предприятия.

Однако объяснение размеров фирмы факторами технологической экономии трудно признать достаточным. Обратите внимание: понятие "фирма" практически подменяется понятием "предприятие". Но, как известно, одной фирме может принадлежать несколько предприятий.

Если кривая средних затрат длительного периода с определенного момента действительно начинает расти, то непонятно, почему бы фирме не завести два, три или больше филиалов, каждый из которых в точности соответствовал бы оптимальной для данной отрасли величине предприятия.

. Фирма как долговременный контракт. Центральным для этого подхода является введенное в предыдущем разделе понятие трансакционных затрат. Фирма рассматривается не просто как производственная функция, а как коалиция ресурсов, принадлежащих различным агентам. В состав ее участников могут входить акционеры, кредиторы, поставщики, управляющие, наемный персонал, потребители и т. д. В этом смысле фирма представляет собой сеть переплетающихся контрактов.

Ядро этой сети образуют долговременные договорные отношения между владельцами наиболее важных и специфических для коалиции ресурсов. Поэтому точнее фирму можно определить как особый долговременный контракт, связывающий воедино составляющие ее части.

Подобно технологическому подходу, существование фирмы выводится в этом случае из экономии от масштаба и разнообразия. Только речь идет уже об экономии не технологических, а трансакционных затрат. Производственные факторы будут интегрироваться путем установления долговременных контрактных отношений, только если в результате этого их взаимодействие начнет осуществляться с меньшими трансакционными затратами.

Трансакции (т.е. типы взаимодействий) могут различаться по целому ряду признаков. Они могут быть: 1) общими или специальными (касаться стандартных или достаточно уникальных ресурсов); 2) мимолетными или длительными, однократными или регулярно повторяющимися; 3) слабо или сильно зависящими от непредсказуемых будущих событий; 4) с легко- или трудноизмеримыми результатами (допускающими более или менее эффективный контроль за выполнением контрактных обязательств каждой из сторон).

Чем более общий, кратковременный, определенный и контролируемый характер носит сделка, тем больше оснований либо вообще обходиться без ее юридического оформления, либо ограничиться составлением простейшего типового контракта. Напротив, чем более специальный, повторяющийся, неопределенный и трудноизмеримый характер носит сделка, тем сильнее стимулы к установлению долговременных договорных отношений с подробным перечнем взаимных обязательств на все случаи жизни.

Потребность в таких отношениях особенно велика, когда сделка оказывается связанной с использованием специфических ресурсов. Ресурс относится к общим, если его ценность не зависит от особых обстоятельств времени и места. Его услуги везде оплачиваются одинаково. Ресурс относится к специфическим, если его ценность в данной местности, внутри данной фирмы или при сотрудничестве с данным партнером выше, чем где-либо еще. Пример общего ресурса - бензин стандартной марки. Пример специфического ресурса - уникальное оборудование, сделанное по индивидуальному заказу: ведь оно приспособлено к условиям работы именно данной фирмы и для любой другой его ценность будет меньше.

Существование специфических ресурсов может быть источником двусторонних монополий. Возьмем, к примеру, рабочего, приобретшего за много лет сотрудничества с одной и той же фирмой какие-то уникальные навыки. С одной стороны, на любом другом месте его квалификация и мастерство имели бы меньшую ценность, а значит, и его заработная плата была бы ниже. С другой стороны, и фирма получает от него большую отдачу, чем от любого новичка, не знакомого со спецификой ее деятельности. Рабочий и фирма становятся в известном смысле незаменимыми, "взаимоуникальными" друг для друга. В условиях двусторонней монополии, когда ни одному из участников нельзя найти адекватной замены на рынке, возникает дополнительный чистый доход -квазирента, которая должна каким-то образом делиться между ними. Но существует она лишь до тех пор, пока длится их сотрудничество.

Это создает почву для особой формы поведения - вымогательства (англ. nolding-up). Например, фирма может пригрозить опытному рабочему увольнением, если тот не согласится на снижение заработной платы. Землевладелец может шантажировать компанию, которая построила на его участке завод, расторжением арендного договора. Цель такого вымогательства - присвоение всей квазиренты. Понятно, что рабочий не станет тратить, усилий на приобретение узкоспециальных навыков, а компания строить завод, если у них не будет гарантий от вымогательства потенциального партнера.

Этой цели и служат долговременные контракты, в которых подробно оговариваются условия сделки и санкции за их нарушения. Известно, что опытные работники обычно бывают защищены правилами старшинства, основанными на принципе "последним нанят - первым уволен". Сталелитейные фирмы строят металлургические заводы в районах угледобычи, только если они могут заключить контракт с местными компаниями о поставке угля на срок не менее 20-30 лет.

Важно отметить: двусторонняя монополия может сформироваться только после того, как произведены инвестиции в специфические активы. Изначально и рабочему, и сталелитейной фирме все равно, с кем иметь дело, у них есть выбор среди большого числа примерно равноценных партнеров. "Личность" другой стороны приобретает значимость лишь после начала действия договора. Обмен из безличного становится персонифицированным: предпочтение отныне отдается именно данному контрагенту. Инвестиции в специальные активы приводят к сокращению числа потенциально выгодных партнеров, ситуация перестает быть конкурентной.

Когда возможность инвестиций в будущем зависит от согласования условий в настоящем, наилучшим решением оказывается заключение долговременных контрактов. Сокращая риск вымогательства, они дают дополнительные стимулы к вложениям в специальные активы. Таким образом, их главная задача состоит в обеспечении условий для оптимального инвестирования в специальные ресурсы.

Высшая ступень - долговременный контракт, объединяющий производственные факторы в единую организационную структуру, иными словами, учреждение фирмы. Она гарантирует максимальную степень непрерывности экономических отношений.

Основной недостаток долговременных контрактов в их негибкости. Соблюдать его приходится даже тогда, когда вследствие появления новых возможностей это уже невыгодно. Кроме того, при поддержании многолетних неизменных связей возрастает вероятность сговора между управляющими фирм в ущерб интересам собственников. Это накладывает серьезные ограничения на оптимальную продолжительность контрактных отношений: с определенного момента сопряженные с ними затраты могут начать перевешивать выгоды.

Но и этот подход требует уточнений. Главное - в нем размывается грань между близкими, но все же разными организационными формами - долговременным контрактом и полноценной фирмой. Избежать сложностей, связанных с формированием и использованием специфических ресурсов, можно как одним, так и другим способом. Если в долговременном контракте оговариваются все возможные будущие события, то этого вполне достаточно, чтобы экономика обходилась без фирм.

. Фирма как неполный контракт. В этом подходе, как и в предыдущем, признается контрактная природа фирм. Однако акцент делается не на долговременности, а принципиальной неполноте рыночных контрактов. Опорным для него также является понятие трансакционных затрат.

Существование фирм объясняется недостаточностью полных и исчерпывающих контрактов, способных отразить все изменения, какие только могут произойти в будущем. Способности человеческого предвидения ограничены. Как правило, в договор удается включить лишь несколько самых важных "особых условий". Попытка оговорить в нем заранее все обязательства сторон при появлении любых новых обстоятельств в будущем была бы обречена на провал. Можно утверждать, что трансакционные затраты по заключению полных контрактов "запретительно" высоки. Их несовершенным, но все же достаточно эффективным заменителем в реальной жизни выступает фирма.

Итак, с одной стороны, перезаключение контрактов всякий раз, как только возникало бы какое-нибудь новое непредвиденное обстоятельство, требовало бы астрономических затрат. С другой стороны, заранее в них можно предусмотреть лишь малую часть будущих возможных изменений. Фирма становится способом решения этой дилеммы: по обоюдному согласию один из участников наделяется правами при наступлении не оговоренных в контракте событий принимать решения по своему усмотрению. Другой соглашается подчиняться - в установленных пределах - его контролю и командам.

Фирма предстает в одно и то же время и как неполный контракт, определяющий ее внутреннюю "конституцию", и как система авторитетной власти, действующая в рамках этой конституции.

Как правило, "остаточные права" на принятие решений предоставляются владельцам наиболее долговременных и специфических активов. Это активы, имеющие в рамках фирмы наибольшую ценность. Минимальный набор прав такого центрального агента включает три элемента: 1) право определять производственную программу фирмы; 2) право контроля за всеми остальными членами фирмы; 3) право на получение остаточного дохода, т. е. прибыли, остающейся после оплаты всех привлеченных факторов производства.

Оказывается, что такое неравное распределение прав во многих случаях отвечает интересам обоих участников. В то же время оно сопряжено с немалыми минусами, о чем частично уже говорилось. Основным ограничителем размера фирмы оказывается концентрация власти у одного агента (или одной категории агентов, как в товариществе или акционерном обществе).

Это создает благоприятную почву для отлынивания (англ. shirking), т. е. работы с меньшей ответственностью и отдачей, чем следует по договору. В условиях совместной деятельности целой командой трудно оценить вклад каждого работника. Чем крупнее фирма, тем слабее связь между вознаграждением агента и его личным вкладом и тем сильнее стимулы к отлыниванию.

При складывании крупных организаций трудно получить объективную оценку деятельности отдельных частей, из которых они состоят. Пока действуют две самостоятельные фирмы, о каждой можно судить по соответствующим рыночным показателям, таким как курс акций и др. В случае их слияния поток информации сужается. Если, например, у объединенной компании дела пошли плохо, не так легко определить, какое из ее подразделений несет за это ответственность.

Чем крупнее организация, тем больше в ней групп давления, ведущих борьбу за власть. Возникающие отсюда потери (их иногда называют издержками влияния) могут быть очень значительны.

При слиянии фирм нередко возникает конфликт организационных культур. Допустим, одной из фирм присущ жесткий бюрократический стиль управления, а в другой царит дух предпринимательства, вознаграждение напрямую зависит от личного вклада каждого. В случае их слияния организационная культура неизбежно начнет унифицироваться, причем, вероятнее всего, восторжествует бюрократический стиль. Поэтому границы фирмы определяются той чертой, за которой затраты, присущие неполным контрактам, начинают превосходить потенциальные выгоды.

Наш анализ описал как бы полный круг. Первым шагом было определение фирмы как юридического лица и как системы административного контроля. Затем она представала в иных обликах - производственной функции, долговременного контракта и, наконец, неполного контракта.

Интересно отметить, что последний подход в наибольшей степени совпадает и с обиходным пониманием фирмы как юридического лица, и с первоначальным представлением о ней Р. Коуза как об авторитарной, иерархической структуре. Мы убедились также, что анализ любого вопроса, относящегося к фирме, - о ее границах, внутренней организационной структуре, составе участников, распределении прав между ними - неизменно выходит на категорию трансакционных затрат. Мы видим, что если для определения оптимальных границ предприятия главным фактором оказывается экономия технологических затрат при расширении масштабов деятельности, то для определения границ фирмы - экономия трансакционных затрат.

. Основные формы деловых предприятий

Основными формами деловых предприятий являются частнопредпринимательские фирмы и корпорации, регулируемые и государственные фирмы, потребительские кооперативы и неприбыльные организации, партнерства и самоуправляющиеся фирмы. Наиболее распространенными из них являются частнопредпринимательские фирмы, партнерства и корпорации.

Частнопредпринимательская фирма - это фирма, владелец которой самостоятельно ведет дела в собственных интересах; управляет ею, получает всю прибыль (остаточный доход) и несет персональную ответственность по всем ее обязательствам (т. е. является субъектом неограниченной ответственности).

Собственник классической фирмы является центральной фигурой, с которой владельцы всех остальных ресурсов заключают контракты. Он обладает правом найма и увольнения, т. е. контролирует поведение всех остальных членов команды. Поэтому он получает весь остаточный доход - всю прибыль за вычетом издержек по ведению дела. Наконец, он вправе продать все, чем он обладает, передать все свои права другому лицу.

Обычно собственником классической фирмы является владелец наиболее важного (интерспецифического) ресурса. Таким интерспецифическим ресурсом может быть как физический, так и человеческий капитал. Например, в проектно-конструкторских организациях или в рекламном бюро и т. д. роль человеческого капитала чрезвычайно высока, поэтому владельцами фирмы являются талантливые работники.

Несомненными достоинствами частнопредпринимательской фирмы являются:

) простота организации (учреждения, управления и т. д.);

) свобода действий (не связанная с необходимостью согласования в принятии решений и т. д.);

) сильный экономический стимул (получение всей прибыли одним лицом).

Среди очевидных недостатков частнопредпринимательской фирмы следует назвать в первую очередь:

) ограниченность финансовых и материальных ресурсов (связанная как с недостатком средств собственника фирмы, так и с трудностью получения кредитов);

) отсутствие развитой системы внутренней специализации производственных и управленческих функций (особенно в условиях мелкого и среднего производства, наиболее типичного для данной формы собственности);

) существование неограниченной ответственности (когда собственник в случае банкротства рискует не только капиталом, вложенным в дело, но и всей своей личной собственностью).

Партнерство - это фирма, организованная рядом лиц, совместно владеющих и управляющих предприятием.

Основные права здесь принадлежат всем партнерам. Они осуществляют эффективный контроль за деятельностью друг друга. Партнерства типичны для различных сфер интеллектуальной деятельности, таких, как искусство, юриспруденция, медицина и т. д. Они, как правило, жизнеспособны при ограниченном числе участников.

Бывает, что все партнеры принимают активное участие в работе фирмы, но чаще наряду с активными членами встречаются и партнеры, играющие пассивную роль.

В ряде случаев возникают партнерства с ограниченной ответственностью. Это означает, что наряду с основными участниками, полностью отвечающими за деятельность фирмы, имеются партнеры, ответственность которых ограничивается суммой, вложенной в дело (партнеры с ограниченной ответственностью).

Партнерства разделяют большинство достоинств частнопредпринимательской фирмы (в частности, их легко организовать и ими несложно управлять). В то же время они обладают рядом преимуществ по сравнению с частнопредпринимательской фирмой. Здесь уже в большей мере можно использовать разделение труда и специализацию в производстве и управлении, легче преодолеть финансовые барьеры для начала и продолжения деятельности.

Как и частнопредпринимательская фирма, партнерства обладают рядом недостатков (скудность финансовых средств, неограниченная ответственность и др.).

К ним, однако, добавляются новые. Главными из них являются разделение функций (в результате которого может возникнуть несогласованность действий и даже несовместимость интересов) и угроза потенциального распада партнерства (в результате возникающих противоречий или выхода из дела одного из партнеров).

Иногда по типу партнерства организованы большие трудовые коллективы. Так возникли самоуправляющиеся фирмы югославского типа. В этом случае владельцами предприятия являются все - владельцы как интерспецифических, так и общих ресурсов. Все они имеют одинаковые права.

Поскольку все стратегические вопросы решаются совместно, нередким является распределение прибыли в пользу настоящего (повышения зарплаты) и в ущерб будущему (инвестициям в производство). Проедание средств создает инвестиционный голод и, как следствие, медленные темпы научно-технического прогресса и развития производства.

Корпорация. Третьим, основным видом делового предприятия является современная (открытая) корпорация.

Корпорация - это фирма, имеющая форму юридического лица, где ответственность каждого собственника ограничена его вкладом в данное предприятие.

Корпорация - общество, основанное на паях. Покупая ценные бумаги (акции и облигации), индивиды (домохозяйства) становятся собственниками корпорации.

Через рынок ценных бумаг возможно быстрое привлечение финансовых средств огромного числа людей. Держатели акций получают часть дохода (дивиденд) и рискуют только той суммой, которую они заплатили при покупке акций (облигаций). Кредиторы предъявляют иск к корпорации в целом, но не к акционерам как частным лицам (право ограниченной ответственности).

Более глубокая специализация, широкое привлечение высококвалифицированных кадров способствуют росту эффективности корпорации. Благодаря корпорациям стало возможным внедрение достижений научно-технического прогресса, постоянное обновление ассортимента выпускаемой продукции, освоение технологий массового производства.

Корпорация - это специфический тип деловых предприятий, который имеет форму существования, отличную от физических лиц (форма юридического лица).

Корпорация существует независимо от ее владельцев - акционеров. Если им не нравится проводимая корпорацией политика, они вправе продать свой пай, но, как правило, не в состоянии ликвидировать компанию как таковую. Поэтому современные корпорации характеризуются известной стабильностью. Они сохраняют свои специфические ресурсы независимо от воли и желания отдельных акционеров.

Наряду с несомненными достоинствами корпорации обладают и вполне ощутимыми недостатками.

Корпорации открывают широкий простор для всевозможных злоупотреблений. Возникает разрыв между функцией собственности и функцией управления.

Мелкие и средние держатели обычно не обладают необходимой и достаточной информацией для осуществления действенного контроля. В корпорации происходит размывание прав собственности, поскольку возможности контроля за деятельностью команды ослабляются.

Держатели контрольного пакета акций могут осуществлять контроль лишь за высшими управляющими. Возможности оппортунистического поведения расширяются. Стремясь к личному обогащению, высшие менеджеры участвуют в чрезвычайно рискованных операциях, а иногда идут и на прямые злоупотребления властью (махинации с ценными бумагами, перелив капитала в дочерние компании, сомнительная производственная деятельность и т. д.).

Однако, как правило, такие злоупотребления возможны лишь в определенных пределах. Сдерживающим фактором выступает сам рынок. Если корпорация начинает работать плохо, опасность вмешательства акционеров в повседневные дела компании возрастает. Возникает угроза «поглощения» данной фирмы другой и полной смены команды (во всяком случае, ее верхнего эшелона).

К тому же падает престиж менеджеров компании на рынке менеджерского труда, что может в перспективе привести к резкому сокращению их доходов.

Другим крупным недостатком деятельности современной корпорации является двойное налогообложение. Дело в том, что часть дохода корпорации, которая выплачивается акционерам в виде дивидендов, сначала облагается налогом как прибыль корпорации, а потом как часть дохода держателя акций. В результате большая часть прибыли превращается в налоги, уплачиваемые государству.

Регулируемая и государственная фирмы. Деятельность ряда фирм регулируется государством. В этом случае государство вводит ограничения на размеры прибыли, т. е. регулирует остаточный доход.

Такая политика государства приводит к тому, что часть прибыли либо превращается в издержки (путем повышения заработной платы, дополнительного премирования и т. д.), либо дарится потребителям путем снижения цены выпускаемой продукции.

Государство не только регулирует деятельность частных фирм. Ряд фирм находится в собственности государства. Государственная собственность означает отсутствие права на свободную продажу имеющихся правомочий.

Таким образом, деятельность менеджеров не получает прямой рыночной оценки. Менеджеры государственных предприятий контролируются собственниками (гражданами государства) в меньшей степени, чем менеджеры частных компаний.

Ослабление контроля открывает широкие возможности для оппортунистического поведения и различных злоупотреблений. Срок службы управляющих, как правило, дольше, чем в частном секторе. Они меньше рискуют, меньше заботятся о прибыли. Государство нередко занижает цены на продукцию своих предприятий, ведь убытки могут быть покрыты за счет налогоплательщиков.

Неприбыльные (некоммерческие) организации - широко распространенная форма в условиях современной рыночной экономики.

К ним относятся профсоюзы, клубы, церкви, госпитали, колледжи, общества милосердия и другие организации, которые не стремятся к получению прибыли.

Некоторые из них полностью зависят от пожертвований, другие получают доходы от своей деятельности - продажи товаров и услуг. Многие из этих организаций имеют статус корпораций.

Однако это специфический вид корпораций. Это корпорации без акционеров. Обычно они управляются советом попечителей, выбранных или сформированных в соответствии с уставом данной организации. Если в результате деятельности такой организации появляется прибыль, то она обычно вкладывается в дело.

Кооперативы образуются путем объединения части ресурсов своих членов с целью извлечения взаимной выгоды. Кооперативы могут быть потребительскими или сбытовыми.

В первом случае покупатели приобретают возможность получать товары по оптовым ценам, во втором - контролировать продажу произведенной ими продукции. Прибыль обычно не является самоцелью деятельности таких организаций, хотя появление ее не исключено.

4. Издержки производства в краткосрочном периоде


Величина издержек производства зависит от величины затрат на экономические ресурсы. Несколько условно все ресурсы, используемые в производстве, можно разделить на две большие группы: ресурсы, величину которых можно изменить очень быстро (например, затраты на сырье, материалы, энергию, найм рабочей силы и т. п.) и ресурсы, изменить объемы использования которых возможно только за достаточно длительный промежуток времени (строительство нового производственного объекта).

Исходя из этих обстоятельств, анализ издержек обычно осуществляют в двух временных промежутках: в краткосрочном периоде (когда количество некоторого ресурса остается постоянным, но объемы производства можно изменить за счет применения большего или меньшего количества таких ресурсов, как труд, сырье, материалы и т. п.) и в долгосрочном периоде (когда можно изменить количество любого ресурса, используемого в производстве).

Различию между краткосрочным и долгосрочным периодами точно соответствует различие между постоянными и переменными факторами производства. Переменные факторы производства - факторы производства, количество которых может быть изменено в рамках краткосрочного периода (например, количество наемных работников). Постоянные факторы производства - факторы, затраты на которые заданы и не могут быть изменены в рамках краткосрочного периода (например, производственные мощности). Таким образом, в краткосрочном периоде предприниматель использует как постоянные, так и переменные факторы производства. В долгосрочном же периоде все факторы производства носят переменный характер.

Анализ издержек производства в краткосрочном периоде предполагает, что количество некоторого ресурса (например, производственных мощностей) изменяться не может, а изменяется только количество некоторого другого отдельного ресурса. Вследствие этого возникает вопрос: как будет меняться количество производимой продукции при неизменности одного ресурса (мощностей) и изменяемости другого (затрат труда), т. е. какова будет динамика объема производства при сочетании постоянного и переменного факторов производства? Ответ на этот вопрос дает закон убывающей предельной отдачи (производительности): начиная с определенного момента времени, последовательные добавления одинаковых единиц переменного ресурса (например, труда) к постоянному (например, производственным мощностям) дает уменьшающуюся отдачу в виде снижения дополнительного или предельного продукта в расчете на каждую последующую единицу переменного ресурса.

Для иллюстрации действия этого закона необходимо ввести в анализ новые показатели. Совокупный продукт (TP или Qx) - общий объем готовой продукции, произведенной фирмой за определенный промежуток времени. Средний продукт (АТР) (средняя производительность ресурса) - отношение общего объема произведенной продукции (TP) к использованному объему данного ресурса (в нашем случае труда):


где QR - объем вовлеченного в производство переменного ресурса.

Предельный продукт ресурса (MP) (предельная производительность) - дополнительный продукт, полученный за счет вовлечения в производственный процесс каждой следующей единицы данного фактора, т. е. этот показатель дает нам информацию о том, как изменится общий объем выпуска при изменении количества переменного ресурса на одну единицу. Предельный продукт равен изменению общего объема продукции, деленному на изменение количества использованного ресурса:


Непрерывный предельный продукт математически можно определить как первую производную функции совокупного продукта, т. е. MP=TP'.

К сведению. Из курса алгебры известно, что производная любой функции у=f(х) есть предел отношения приращения функции (Δy) к приращению аргумента (Δx) при стремлении последнего к нулю:


Если дополнительные единицы переменного ресурса достаточно малы по сравнению с общим его количеством, то mp можно определить как производную функции совокупного продукта. Последний, в свою очередь, является функцией одного переменного и одного постоянного ресурса. Таким образом, MP = dTP(QR)/dQR.Так как производная функции показывает темп изменения самой функции, то MP отражает скорость изменения общего объема производства товара (Qx) при изменении количества переменного ресурса.

Кривая совокупного продукта (TP) на рисунке ниже покажет зависимость между «затратам и переменного фактора производства (труда) и итоговым объемом произведенной продукции. Кривая среднего продукта труда (ATP) покажет, сколько продукции получает фирма в расчете на единицу использованного переменного ресурса. Чем выше средний продукт ресурса, тем больше продукции получает фирма на единицу ресурса. Кривая предельного продукта (MP) покажет, сколько дополнительной продукции получает фирма, привлекая дополнительную единицу переменного ресурса.


Из представленной графической информации можно заключить, что после вовлечения в процесс создания продукции Q1 единиц переменного ресурса дополнительный продукт (mp) начинает сокращаться, а рост общего объема производства (tp) замедляется. Как только показатель совокупного продукта (tp) достигает своего максимального уровня, предельная отдача каждой следующей единицы переменного ресурса начинает принимать значения меньше нуля, что обуславливает последующую отрицательную динамику показателя объема выпуска.

Общие закономерности, обусловленные действием принципа убывающей предельной отдачи, позволяют выделить на рисунке три области:

• область возрастающей предельной отдачи (1) - закон убывающей предельной отдачи еще не работает. Показатель mp имеет положительную динамику, а показатель tp растет ускоряющимися темпами;

• область убывающей предельной отдачи (2) - здесь предельная производительность каждой следующей единицы переменного ресурса ниже предельной производительности каждой предыдущей. В области убывающей предельной отдачи общий объем продукции по-прежнему растет, но все более низкими темпами, достигая своего максимума;

• область отрицательной предельной отдачи (3) - на этом участке предельная производительность каждой следующей единицы переменного ресурса не просто убывает, но и принимает отрицательные значения. В этом случае показатель TР, преодолев точку максимума, начинает понижаться. Отметим, что совокупный продукт достигает своего максимума, когда предельный продукт равен нулю. В рассмотренном примере мы наблюдаем такую ситуацию при использовании Q2единиц переменного фактора производства.

Закон убывающей предельной отдачи применим ко всем видам переменных факторов производства во всех отраслях. При постепенном введении в производство дополнительных единиц переменного ресурса при условии, что все остальные ресурсы постоянны, предельная отдача этого ресурса сначала быстро растет, а затем начинает снижаться вплоть до отрицательных значений.

Сформулировав закон убывающей предельной отдачи, вернемся к проблеме анализа издержек производства. Практика свидетельствует, что величина издержек так или иначе будет зависеть от объема выпускаемой продукции. В краткосрочном периоде выделяют:

• постоянные издержки (ТFC) величина которых не зависит от объема выпускаемой продукции (амортизационные отчисления, проценты по банковскому кредиту, арендная плата, содержание административного аппарата и др.). Речь идет о затратах на ресурсы, относящиеся к постоянным факторам производства. Величина этих затрат не связана с объемами производства. Постоянные издержки существуют даже тогда, когда производственная деятельность на предприятии приостановлена, а объем производимой продукции равен нулю. Предприятие может избежать этих издержек, только полностью прекратив свою деятельность;

• переменные издержки (TVC), величина которых меняется в зависимости от изменения объема производства (затраты на сырье, материалы, топливо, энергию, заработную плату рабочего персонала и т. п.). Речь идет о затратах на ресурсы, относящиеся к переменным факторам производства. С расширением производства переменные издержки будут возрастать, так как фирме потребуется больше сырья, материалов, работников и т. п. Если фирма прекратит производство и объем выпуска (Qx) достигнет нулевого уровня, то и переменные издержки сократятся почти до нуля, в то время как постоянные издержки останутся неизменными. Различие между постоянными и переменными издержками существенно для каждого бизнесмена: переменными издержками он может управлять, постоянные издержки - вне контроля администрации и должны быть выплачены независимо от объемов производства, даже если производство приостановлено.

Итак, по мере увеличения объема выпуска при неизменной величине постоянных издержек переменные издержки возрастают.

Однако в начале процесса наращивания объемов выпуска переменные издержки будут какое-то время увеличиваться медленными темпами. Затем переменные издержки начнут возрастать ускоряющимися темпами. Это можно проиллюстрировать графически на рисунке ниже.


Поскольку показатель постоянных издержек остается неизменным при всех уровнях производства, включая нулевой, график постоянных издержек - линия, параллельная оси абсцисс. График переменных издержек - линия восходящая, которую можно разделить на два участка. Для первого из них характерен незначительный рост издержек, а для второго - более заметный. Такое поведение переменных издержек обуславливается существованием закона убывающей предельной отдачи. Пока у нас предельный продукт (mp) каждой следующей единицы переменного ресурса растет, tvc увеличиваются, но незначительными темпами. Как только показатель mp начинает снижаться, в силу действия закона убывающей предельной производительности, переменные издержки начинают расти быстрыми темпами, поскольку для производства каждой последующей единицы продукции будет требоваться все большее количество переменного ресурса.

Помимо постоянных и переменных издержек в краткосрочном периоде выделяют еще один вид издержек - валовые (совокупные, суммарные, общие). Валовые издержки (ТС) - сумма постоянных и переменных издержек, исчисляемая для каждого данного объема производства: ТС= TFC+ TVC. Поскольку TFC равны некоторой константе, динамика валовых издержек будет зависеть от поведения TVС, т. е. будет определяться действием закона убывающей предельной производительности.

Чтобы получить кривую валовых издержек, необходимо просуммировать графики постоянных и переменных издержек - сместить график tvc вверх вдоль оси ординат на величину TFC, которая неизменна при любом Qx (см. рисунок).


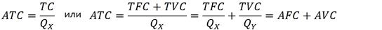
Кроме валовых издержек предпринимателя интересуют издержки на единицу продукции, поскольку именно их он будет сравнивать с ценой товара, чтобы получить представление о прибыльности работы фирмы. Издержки на единицу производимой продукции называются средними. Эта группа издержек включает:

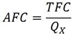
• средние постоянные издержки (AFC) - постоянные издержки, исчисленные на единицу продукции:


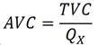
• средние переменные издержки (AVC) - переменные издержки в расчете на единицу продукции:


• средние совокупные (суммарные, валовые, общие) издержки (АТС) - общие издержки в расчете на единицу продукции:


График средних постоянных издержек представлен гиперболой (рисунок ниже). График средних переменных издержек представляет собой неправильную параболу ветвями вверх. На этой кривой можно выделить два отрезка. На первом - AVC снижаются, на втором - увеличиваются. Подобная динамика средних переменных издержек связана с действием закона убывающей предельной отдачи. Пока отдача от каждой последующей единицы переменного ресурса возрастает (область возрастающей предельной отдачи на рисунке ниже), средние переменные издержки падают. По мере увеличения объемов производства дополнительный продукт начинает сокращаться - предельная отдача каждой последующей единицы переменного ресурса падает - следовательно, для дальнейшего наращивания производства требуется все большее количество переменных ресурсов, и средние переменные издержки АVС возрастают. График средних совокупных издержек получаем путем вертикального суммирования двух кривых - AFC и AVC. В этой связи динамика АТС будет связана с динамикой средних постоянных и средних переменных издержек. Пока снижаются и те и другие, АТС падают, но когда по мере увеличения объема производства рост переменных издержек начинает обгонять падение постоянных, AТС начинают возрастать.


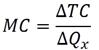
Для производителя имеет немалое значение, как изменяются издержки фирмы с выпуском дополнительной единицы продукции. Определить это можно с помощью показателя предельных издержек. Предельные издержки (МС) - дополнительные издержки, необходимые для производства каждой последующей единицы продукции:

деловое предприятие контракт прибыль

Необходимо учитывать, что предельные издержки во многом зависят от переменных издержек, поэтому аналогично ситуации с переменными издержками, а также со средними переменными и средними суммарными издержками на графике МС выделяют два отрезка: отрезок с отрицательной и отрезок с положительной динамикой, что также объясняется существованием закона убывающей предельной отдачи. Следующей особенностью графика предельных издержек является то, что он пересекает графики средних переменных и средних общих издержек в их нижних точках (А и В). Объясняется эта ситуация следующим образом: МС по своей сути имеют переменный характер, причем этот вид издержек тесно связан со средними переменными издержками. Как только предельные издержки становятся больше средних переменных, так сразу последние начинают увеличиваться. Поэтому точка пересечения графиков МС и АVС может быть только нижней точкой неправильной параболы средних переменных издержек. Аналогично объяснение и для взаимосвязи MС и АТС. Пока предельные издержки не превышают средние суммарные издержки, последние сокращаются, но если соотношение между ними характеризуется неравенством МС > АТС, средние валовые издержки имеют положительную динамику. В этой связи точка пересечения двух кривых - МС и АТС - будет являться точкой минимума графика средних общих издержек.

Снижение издержек представляет собой один из важнейших источников повышения конкурентоспособности любого предприятия. Ведь при существующих рыночных ценах на продукцию снижение издержек означает дополнительную прибыль, а значит и процветание для любого производителя. При изменении по каким-либо причинам уровня издержек графики издержек смещаются. В случае снижения издержек соответствующие графики смещаются вниз, при росте издержек графики сдвигаются вверх вдоль оси ординат.

Издержки производства в долгосрочном периоде

Главной особенностью издержек в долгосрочном периоде является тот факт, что все они носят переменный характер - фирма может увеличить или сократить мощности, а также у нее достаточно времени, чтобы принять решение покинуть данный рынок или вступить на него, прейдя из другой отрасли. Поэтому в долгосрочном периоде не выделяют средних постоянных и средних переменных издержек, а анализируют средние издержки на единицу продукции (LATC), которые по сути своей являются одновременно и средними переменными издержками.

Для иллюстрации ситуации с издержками в долгосрочном периоде рассмотрим условный пример. Некоторое предприятие на протяжении достаточно длительного периода времени расширялось, увеличивая объемы своего производства. Процесс расширения масштабов деятельности условно разделим на этапы в рамках анализируемого долгосрочного периода три краткосрочных, каждому из которых соответствуют различные размеры предприятия и объемы выпускаемой продукции. Для каждого из трех краткосрочных периодов можно построить кривые краткосрочных средних издержек применительно к различным размерам предприятия - ATC1, АТС2 и АТС3. Общая же кривая средних издержек дли любого объема производства будет представлять собой линию, состоящую из внешних частей всех трех парабол - графиков краткосрочных средних издержек.


В рассмотренном примере мы использовали ситуацию с 3-хэтапным расширением предприятия. Подобную ситуацию можно предположить не для 3, а для 10, 50, 100 и т. д. краткосрочных периодов в рамках заданного долгосрочного. Причем для каждого из них можно начертить соответствующие графики АТС. То есть мы получим фактически множество парабол, большая совокупность которых приведет к выравниванию внешней линии графика средних издержек, и она превратится в плавную кривую - LATC. Таким образом, кривая долгосрочных средних издержек (LATC) представляет собой кривую, огибающую бесконечное число кривых краткосрочных средних издержек производства, которые соприкасаются с ней в точках их минимума. Кривая долгосрочных средних издержек показывает наименьшие издержки производства единицы продукции, с которыми может быть обеспечен любой объем выпуска при условии, что фирма имеет время для изменения всех факторов производства.


В долгосрочном периоде также существуют и предельные издержки. Долгосрочные предельные издержки (LMC) показывают изменение общей суммы издержек предприятия в связи с изменением объема выпуска готовой продукции на одну единицу в том случае, когда фирма свободна изменять все виды затрат.

Кривые долгосрочных средних и предельных издержек соотносятся друг с другом так же, как и кривые краткосрочных издержек: если LMC лежит ниже LATC, то LATC падают, а если LMC лежит выше laТС, то laТС возрастают. Возрастающая часть кривой LMC пересекает кривую LATC в точке минимума.


На кривой LATC можно выделить три отрезка. На первом из них долгосрочные средние издержки сокращаются, на третьем, наоборот, возрастают. Возможна также ситуация, когда на графике LATC будет существовать промежуточный отрезок с примерно одинаковым уровнем издержек на единицу продукции при различных значениях объема выпуска - Qx. Дугообразный характер кривой долгосрочных средних издержек (наличие убывающего и возрастающего участков) можно объяснить при помощи закономерностей, называемых положительным и отрицательным эффектами роста масштаба производства или просто эффектами масштаба.

Положительный эффект масштаба производства (эффект массового производства, экономия, обусловленная ростом масштаба производства, возрастающая отдача от масштаба производства) связан со снижением издержек на единицу продукции по мере наращивания объемов выпускаемой продукции. Возрастающая отдача от масштаба производства (положительный эффект масштаба производства) имеет место в ситуации, когда объем производства (Qx) растет быстрее, чем растут издержки, и, следовательно, LATC предприятия падают. Существование положительного эффекта масштаба производства и объясняет нисходящий характер графика LAТС на первом отрезке. Объясняется это расширением масштабов деятельности, которое влечет за собой:

. Рост специализации труда. Специализация труда предполагает, что многообразные производственные обязанности поделены между разными работниками. Вместо того чтобы выполнять одновременно по нескольку различных производственных операций, что имело бы место при незначительном масштабе деятельности предприятия, в условиях массового производства каждый рабочий может ограничиться одной единственной функцией. Отсюда рост производительности труда, а следовательно, и снижение издержек на единицу продукции.

. Рост специализации управленческого труда. По мере роста размеров предприятия увеличиваются возможности использования преимуществ и от специализации в управлении, когда каждый менеджер может сосредоточиться на одной задаче и выполнять ее более эффективно. Это в конечном счете повышает эффективность функционирования предприятия и влечет за собой снижение издержек на единицу продукции.

. Эффективное использование капитала (средств производства). Наиболее эффективное, с технологической точки зрения, оборудование продается в виде крупных, дорогостоящих комплектов и требует больших объемов производства. Использование этого оборудования крупными производителями позволяет сократить издержки на единицу продукции. Подобное оборудование недоступно мелким фирмам из-за малых объемов производства.

. Экономию от использования вторичных ресурсов. У крупного предприятия больше возможностей для производства побочной продукции, чем у мелкой фирмы. Крупная фирма, таким образом, более эффективно использует ресурсы, вовлекаемые в производство. Отсюда и меньшие издержки на единицу продукции.

Положительный эффект масштаба производства в долгосрочном периоде не является беспредельным. Со временем расширение предприятия может привести к отрицательным экономическим последствиям, вызвать отрицательный эффект масштаба производства, когда расширение объемов деятельности фирмы сопряжено с ростом издержек производства на единицу продукции. Отрицательный эффект масштабаимеет место, когда издержки производства растут быстрее его объема и, следовательно, LATC растут по мере увеличения выпуска. Со временем расширяющаяся фирма может столкнуться с негативными экономическими фактами, обусловленными усложнением структуры управления предприятием, - этажи управления, разделяющие административный аппарат и собственно процесс производства, множатся, высшее руководство оказывается существенно отдаленным от производственного процесса на предприятии. Возникают проблемы, связанные с обменом и передачей информации, плохой координацией решений, бюрократической волокитой. Снижается эффективность взаимодействия между отдельными подразделениями фирмы, теряется гибкость управления, усложняется и затрудняется контроль за реализацией решений, принимаемых руководством фирмы. В результате эффективность функционирования предприятия снижается, растут средние издержки производства. Поэтому фирме при планировании своей производственной деятельности необходимо определять пределы расширения масштабов производства.

На практике возможны случаи, когда кривая LATC на некотором интервале параллельна оси абсцисс - на графике долгосрочных средних издержек есть промежуточный отрезок с примерно одинаковым уровнем издержек на единицу продукции при различных значениях Qx. Здесь мы имеем дело с постоянной отдачей от масштаба производства. Постоянная отдача от масштаба имеет место тогда, когда издержки и объем производства растут одинаковыми темпами и, следовательно, LATC остаются постоянными при всех объемах производства.

Внешний вид кривой долгосрочных издержек позволяет сделать некоторые выводы по поводу оптимального размера предприятия для разных отраслей экономики. Минимальный эффективный масштаб (размер) предприятия - уровень выпуска продукции, начиная с которого прекращается действием эффекта экономии, обусловленной ростом масштабов производства. Иными словами, речь идет о таких значениях Qx при которых фирма достигает наименьших издержек на единицу продукции. Обусловленный действием эффекта масштаба уровень долгосрочных средних издержек влияет на формирование эффективного размера предприятия, что, в свою очередь, оказывает воздействие на структуру отрасли. Чтобы разобраться, рассмотрим следующие три случая.


. Кривая долгосрочных средних издержек имеет продолжительный промежуточный отрезок, для которого величина LATC соответствует некоторой константе (рисунок а). Для данной ситуации характерно положение, когда предприятия с объемом производства от QA до QB имеют одинаковую величину издержек. Это свойственно отраслям, включающим разновеликие предприятия, причем уровень средних издержек производства у них будет одинаковым. Примеры таких производств: деревообрабатывающая, лесная промышленность, производство продуктов питания, одежды, мебели, текстиля, продуктов нефтехимии.

. У кривой LATC достаточно продолжительный первый (нисходящий) отрезок, на котором действует положительный эффект масштаба производства (рисунок б). Минимальная величина издержек достигается при больших объемах производства (Qc). Если технологические особенности производства некоторых благ порождают кривую долгосрочных средних издержек описанной формы, то на рынке этих благ будут присутствовать крупные предприятия. Это характерно, в первую очередь, для капиталоемких отраслей - металлургии, машиностроения, автомобилестроения и т. д. Существенный эффект от масштаба наблюдается и при производстве стандартизированной продукции - пива, кондитерских изделий и т. п.

. Падающий отрезок графика долгосрочных средних издержек очень незначителен, быстро начинает работать отрицательный эффект масштаба производства (рисунок в). В этой ситуации оптимальный объем производства (QD) достигается при небольшом объеме выпуска продукции. При наличии рынка большой емкости можно предположить возможность существования множества мелких предприятий, выпускающих данный вид продукции. Такая ситуация характерна для многих отраслей легкой и пищевой промышленности. Здесь речь идет о некапиталоемких производствах - многие виды розничной торговли, фермерские хозяйства и т. п.

.        Излишек производителей

СПРОС - платежеспособная потребность покупателей в данном товаре при данной цене. Спрос характеризуется величиной спроса - количеством товаров, которое покупатели готовы приобрести по данной цене. Под словом «готовы» нужно понимать то, что у них есть желание (потребность) и возможность (наличие необходимых денежных средств) для покупки товара в данном количестве.

Необходимо заметить, что спрос - это потенциальная платежеспособная потребность. Его величина говорит о том, что покупатели готовы приобрести такое количество товаров. Но это не значит, что сделки в таких объемах действительно состоятся - это зависит от ряда экономических факторов. Например, производители могут оказаться не в состоянии выпустить такое количество товара.

Можно рассматривать как индивидуальный спрос (спрос конкретного покупателя), так и общую величину спроса (спрос всех покупателей, присутствующих на рынке). В экономике изучается, в основном, общая величина спроса, так как индивидуальный спрос сильно зависит от личных предпочтений покупателя и, как правило, не отражает реальной картины, сложившейся на рынке. Так, конкретный покупатель может вообще не испытывать нужды в каком-либо товаре (например, велосипеде), тем не менее, на рынке в целом спрос на этот товар существует.

Как правило, спрос на товар подчиняется закону спроса.

ЗАКОН СПРОСА - закон, в соответствии с которым при увеличении цены на товар спрос на этот товар снижается при прочих неизменных факторах.

Закон спроса может иметь отдельные исключения. Например, для некоторых престижных товаров небольшое увеличение цены иногда может приводить к повышению спроса, так как более высокая, по сравнению с аналогами, цена, создает у покупателя иллюзию того, что этот товар более качественный или модный.

ПРЕДЛОЖЕНИЕ - способность и желание продавцов предложить определенное количество товара по данной цене. Предложение характеризуется, в первую очередь, величиной предложения - количеством товаров, которое продавцы хотят и могут продать по данной цене. Таким образом, у них должно быть желание (согласие на продажу товара по данной цене) и возможность (наличие необходимого числа товаров) для продажи товара в данном количестве.

Можно рассматривать как индивидуальное предложение (предложение конкретного продавца), так и общую величину предложения (предложение всех продавцов, присутствующих на рынке). В экономике изучается, в основном, общая величина предложения на какой-либо товар. В макроэкономике также рассматриваетсясовокупное предложение - общая величина предложения всех товаров всеми продавцами, действующими на данном рынке.

Как правило, предложение товара подчиняется закону предложения.

ЗАКОН ПРЕДЛОЖЕНИЯ - закон, в соответствии с которым при увеличении цены на товар предложение этого товара повышается при прочих неизменныхфакторах.

Закон предложения может иметь исключения. Так, для целого ряда товаров сдерживающим фактором роста производства является ограниченность ресурсов. При достижении границы максимального использования ресурсов никакой рост цен не сможет увеличить производство, а с ним и предложение товаров.

ГРАФИК СПРОСА И ПРЕДЛОЖЕНИЯ - график, показывающий зависимость величины спроса и предложения от цены.

Обратите внимание на то, что, хотя по оси абсцисс обычно откладываются значения независимой переменной, на графике предложения, наоборот, по оси абсцисс принято откладывать цену (P), а по оси ординат - количество (Q).

КРИВАЯ СПРОСА - непрерывная линия на графике спроса, на которой каждой величине цены соответствует определенная величина спроса. Линия спроса на графике может выглядеть различным образом, в зависимости от товара. Обычно она изображается в виде кривой, напоминающей гиперболу. Кривую спроса обычно изображают лишь в центральной ее части, не доводя линию до участков чересчур низкой или чересчур высокой цены на товар, поскольку такие ситуации являются, как правило, умозрительными и изучение спроса в них носит характер предположений.

КРИВАЯ ПРЕДЛОЖЕНИЯ - непрерывная линия на графике предложения, на которой каждой величине цены соответствует определенная величина предложения.

Линия предложения на графике может выглядеть различным образом, в зависимости от товара. Иногда она изображается в виде прямой, а чаще - в виде кривой, напоминающей гиперболу. При этом кривую часто изображают так, что она как бы имеет вертикальную асимптоту. Этим хотят подчеркнуть ограниченный характер производственных возможностей: существует предел производства каждого продукта, такая величина выпуска, которая не может быть достигнута даже при самых высоких затратах, поскольку ресурсы носят ограниченный характер.

Кривую предложения обычно изображают лишь в начальной или центральной ее части, не доводя линию до участков чересчур высокой цены на товар, поскольку такие ситуации являются, как правило, умозрительными и изучение предложения в них носит характер предположений.

ТОЧКА РАВНОВЕСИЯ - точка пересечения кривой спроса и кривой предложения на графике спроса и предложения.

Поскольку, согласно закону спроса и закону предложения, спрос является монотонно возрастающей, а предложение - монотонно убывающей функцией, на графике спроса и предложения их кривые обычно пересекаются. Точка их пересечения соответствует состоянию рыночного равновесия, а ее координаты - равновесной ценеи равновесному количеству.

РЫНОЧНОЕ РАВНОВЕСИЕ - состояние рынка при равенстве спроса и предложения.

РАВНОВЕСНАЯ ЦЕНА - цена, для которой величины спроса и предложения равны. Иными словами, по данной цене производители готовы предложить ровно столько товара, сколько покупатели готовы купить. Отклонения от равновесной цены способны привести к состоянию дефицита или перепроизводства.

РАВНОВЕСНОЕ КОЛИЧЕСТВО - совпадающие величины спроса и предложения при равновесной цене.

ИЗЛИШЕК ПРОИЗВОДИТЕЛЯ - разность между минимальной ценой, по которой производитель готов продать товар, и той ценой, которую он за него получил.

Для совокупного предложения излишек производителя равен площади между кривой предложения и горизонтальной линией, соответствующей рыночной цене.

Излишки производителя

Рис. 2.28 Прибыль и излишек производителя

В связи с тем, что в коротком периоде фирма может выпускать продукцию, не покрывая постоянных затрат, для оценки экономического результата ее деятельности наряду с прибылью используют понятие излишки производителя. Он равен разности между общей выручкой фирмы и общими переменными затратами. Излишки производителя превышают прибыль на величину постоянных затрат. Соотношение между этими двумя понятиями показано на рис. 2.28; прибыль равна площади прямоугольника Pcda, а излишки производители - площади abed. Последние можно рассматривать, как максимальную сумму денег, которую фирма согласна заплатить за возможность производить продукцию в коротком периоде.

Рис. 2.29. Излишек производителя

Из отмеченного выше отношения между суммами предельных и переменных затрат следует, что излишки производителя можно представить как разность между выручкой и суммой предельных затрат, которая соответствует на рис. 2.29 заштрихованной площади. Такой способ графического представления излишков производителя удобен тем, что показывает их связь с кривой предложения фирмы.

6. Распределение налогового бремени


Распределение налогового бремени - размещение налога между конечными плательщиками. Распределение косвенных налогов (таких, как акцизы или налог на добавленную стоимость) в основном зависит от эластичности спроса и предложения по цене. Если спрос на товар высокоэластичен по цене, всю тяжесть налога несет производитель; если спрос на товар неэластичен по цене, большую часть налога платят покупатели (рис. 3.6).

Рис. 3.6. Распределение налогового бремени при эластичном спросе по цене (а); при неэластичном спросе по цене (б)

Заключение

Представленная работа выше посвящена теме "Деловое предприятие в рыночной экономике".

Проблема данного исследования носит актуальный характер в современных условиях. Об этом свидетельствует частое изучение поднятых вопросов.

Тема "Деловое предприятие в рыночной экономике" изучается на стыке сразу нескольких взаимосвязанных дисциплин. Для современного состояния науки характерен переход к глобальному рассмотрению проблем тематики "Деловое предприятие в рыночной экономике".

Вопросам исследования посвящено множество работ. В основном материал, изложенный в учебной литературе, носит общий характер, а в многочисленных монографиях по данной тематике рассмотрены более узкие вопросы проблемы "Деловое предприятие в рыночной экономике". Однако, требуется учет современных условий при исследовании проблематики обозначенной темы.

По результатам исследования был вскрыт ряд проблем, имеющих отношение к рассматриваемой теме, и сделаны выводы о необходимости дальнейшего изучения/улучшения состояния вопроса.

Таким образом, актуальность данной проблемы определила выбор темы работы "Деловое предприятие в рыночной экономике", круг вопросов и логическую схему ее построения которую мы представели выше.

Библиографический список

1.       Экономика и управление преобразованиями сложных социально-экономических систем. - М.: Едиториал УРСС, 2004. - 112 с.

2.      Торстейн Веблен. Теория делового предприятия. - М.: Дело, 2007. - 288 с.

.        Григорий Явлинский, Сергей Брагинский. СтимулВ.Р. Евстигнеев. Финансовый рынок в переходной экономике. - М.: Едиториал УРСС, 2004. - 240 с.

.        Россия: Интеграция в мировую экономику. Учебник. - М.: Финансы и статистика, 2002. - 432 с.

.        Рыночные методы управления окружающей средой. Учебное пособие. - М.: ГУ ВШЭ, 2002. - 288 с.

.        Н.Л. Маренков. Экономическая теория цены и ценообразования в рыночных отношениях в России. - М.: Едиториал УРСС, 2002. - 216 с.

.        К.А. Солодушкина. Современный словарь фразовых глаголов и идиом в сфере экономики и бизнеса (Modern Dicnionary of Phrasal Verbs and Idioms in the Language of Business). - М.: Антология, 2008. - 800 с.

.        В.Д. Андрианов. Россия в мировой экономике. Учебник для ВУЗов. - М.: Владос, 1999. - 296 с.

.        Р.М. Нуреев. Экономика развития модели становления рыночной экономики. - М.: Инфра-М, 2001. - 240 с.

.        Ф.Х. Аширов, В.Б. Алексеенко, Т.Б. Иванова. Основы экономической теории и практики. - М.: Издательство Российского Университета дружбы народов, 2005. - 408 с.

.        В.В. Герасименко. Ценообразование. - М.: Инфра-М, 2011. - 422 с.

.        В.А. Кардаш. Конфликты и компромиссы в рыночной экономике. - М.: Наука, 2006. - 248 с.

Практическая часть

А. «Спрос и предложение. Механизм установления рыночного равновесия»

На основании информации, характеризующей спрос и предложение на рынке хлебобулочных изделий (таблица 1), выполним задание.

Таблица 1 - Исходные данные

Показатели

Исходные данные

1. Кривая спроса на хлеб в базисном году характеризовалась точками с координатами: - точка А: цена, т. руб.

0,6

- количество в день, тонн.

500

- точка Б: цена, т. руб.

1

- количество в день, тонн.

400

2. Кривая спроса на хлеб в текущем году характеризовалась точками с координатами: - точка В: цена, т. руб.

3,6

- количество в день, тонн.

450

- точка Г: цена, т. руб.

10

-количество в день, тонн.

350

3. Кривая предложения на хлеб в базисном году. характеризовалась точками с координатами: - точка Д: цена, т. руб.

0,6

- количество в день, тонн.

250

- точка Е: цена, т. руб.

2,4

650

4. Снижение предложения в текущем году по сравнению с базисным годом, %

5

5. Индекс изменения цен за период составил

5

6. Среднедушевой доход в базисном году, руб.

220

7. Среднедушевой доход в текущем году, руб.

880

Рыночная цена товара в предшествующем периоде установилась на F % ниже равновесной

10


. Предполагая, что зависимость объема спрашиваемого и предлагаемого товара от его цены линейная, функции спроса и предложения запишем в следующем виде:

Qd = a - b×P,               (1)s = c + e×P,                     (2)

где Qd, Qs - количество, соответственно спрашиваемого и предлагаемого товара, ед;цена товара, ден.ед.;, b, c, e - переменные.

Определим уравнение спроса и предложения на товар в базисном году:

,откуда 0 = 650 - 250P

,откуда 90 = 116,67 + 222,22P

Определим координаты точки рыночного равновесия в базисном году:

- 250P = 116,67 + 222,22P,

откуда P*0 = 96/85 » 1,129 тыс.руб., Q*0 =6250/17 » 367,65 тонн.

Определим уравнение спроса на товар в текущем году:

Определим уравнение предложения на товар в текущем году:

        (3)

где c0, e0 - переменные, характеризующие зависимость величины предложения товара от цены в базисном году;- индекс изменения цен за период с базисного по текущий год;- коэффициент снижения предложения товара за период.

Определим координаты точки рыночного равновесия в текущем году:

,25 - 15,625P = 110,83 + 42,22P

откуда P*1=5694/833 » 6,84 тыс. руб. Q*1=399,45 тонн.

Следовательно, за прошедший период равновесное количество товара снизилось, а цена возросла с 1,129 до 6,84 тыс. руб. (в ценах базисного года).

Изобразим графически изменение в спросе и предложении в масштабе цен базисного года.

Рисунок 1 - Изменения в спросе и предложении товара

Предполагая, что анализируемый товар - хлеб, можно сказать, что в данном случае, увеличение спроса на хлебобулочные изделия связано с тем, что товар является товаром спрос на который, относится к товарам Гифина, чем выше цена, тем выше спрос на товар, снижение уровня жизни населения, поскольку при росте цены в 5 раз, среднедушевые доходы населения возросли только в 4 раза. В то же время незначительно сократился импорт печенья, кексов, кондитерских изделий, то есть товаров-заменителей.

Изменение наклона кривой спроса, связано со снижением эластичности спроса. На снижение эластичности спроса повлияло увеличение расслоения общества, а также уменьшение потребления хлеба на непищевые цели, в частности, на откорм домашних животных.

2.Определим эластичность спроса и предложения по цене в текущем году.

;      (4)


;       (5)

Определим эластичность спроса по доходу.

      (6)

где Qd1, Qd0 - объем спроса на товар при неизменной цене. За основу возьмем равновесную цену на товар в текущем году.;0- среднедушевой доход в базисном году;1 - среднедушевой доход в текущем году, скорректированный на индекс изменения цен (Ic1= I1/i).0=Q*0=367,65 тонн

1=a1-b1×P*0×i,              (7)

где a1, b1- коэффициенты из уравнения спроса в текущем году;- индекс изменения цен.

Q1 = 506,25-15,625×1,129×5 = 418,05 тонн;

Следовательно, хлеб относится к товарам увеличение дохода приводит к падению спроса на данное благо. Он имеет слабо выраженную положительную эластичность по доходу.

. Предполагая, что рыночная цена на хлеб в предшествующем периоде установилась на 10% ниже равновесной цены текущего года, построим динамическую модель рынка. При этом:

  (8)

     (9)

где Qs(t) - объем предложения товара в t-м периоде;t-1 - цена товара в (t-1)-м периоде;(t) - рыночная цена товара в (t)-м периоде.

(0)= P*1× (1-f),           (10)

где f- коэффициент, учитывающий более низкий уровень цены в предшествующем периоде, по сравнению с текущим периодом.

P(0)=6,84×(1-0,1)=6,16 тыс. руб.(1) = 110,83+42,22×6,16 = 370,91 тонн(1) = 32,4-0,064 ×370,91 = 8,66 тыс.руб.(2) = 110,83+42,22×8,66 = 476,46 тонн(2) = 32,4-0,064×476,46 = 1,91 тыс.руб.(3) = 110,83+42,22×1,91 = 191,47 тонн; (3) = 32,4-0,064 ×191.47 = 20,146 тыс.руб.

Рисунок 2 - Динамическая модель рынка

Следовательно, с течением времени, отклонение от равновесия нарастает. Рынок находится в неустойчивом состоянии.

. Величина товарной интервенции в текущем году, необходимой для удержания цены предшествующего периода, определяется разницей в спросе и предложении товара.

= Qd(P0) - Qs(P0),   (11)

где INT- величина товарной интервенции;(P0), Qs(P0) - объемы спроса и предложения при цене 0-го периода.

INT = (506,25-15,625×6,16) - (110,83+42,22×6,16) = 559,25т.

. Выручка продавцов будет максимальна в точке, коэффициент эластичности спроса в которой равен -1. Следовательно, кривая предложения товара также должна проходить через эту точку.

Учитывая, что ценовая эластичность спроса может быть определена по формуле:

        (12)

Определим цену, при которой выручка продавцов будет максимальна:

 тыс. руб.

Спрос на товар при этом составит: Qd=506,25-15,625×16,2=253,125 тонн.

Определим величину налога на единицу товара, введение которого приведет к установлению рыночного равновесия в точке с координатами:

Р = 16,2 тыс.руб., Q = 253,125 тонн.

Перейдем к обратным уравнениям, было:

необходимо:

Следовательно, величина налога должна составить: тыс.руб. за 1 тонну.

После введения налога равновесная цена возрастет с 6,84 тыс.руб. до 16,2 тыс.руб., а равновесное количество товара сократится с 399,95 до 253,125 тонн.

Графическая интерпретация введения налога представлена на рисунке 3.

Рисунок 3 - Изменение рыночного равновесия при введении налога

. Общая величина налоговых поступлений в бюджет(TS) составит:

S= T×QT,                    (13)

Часть этой суммы ляжет на плечи покупателей товара:

d = (PT- P*)×QT,          (14)

где Td- сумма налоговых платежей, которую оплатят покупатели в связи с ростом цены на товар;T- равновесная цена, которая сложится на рынке при введении налога.

Сумма налоговых платежей, которую заплатят производители товара, составит:

S = (P* + T - PT)×QT   (15)

В рассматриваемом примере:

TS = 12,83×255,125 = 3273,25 тыс.руб.d = (16,2 -6,84) × 255,125= 2387,97 тыс.руб.S = (6,84 +12,83 - 16,2) ×255,125 = 885,28 тыс.руб.

Следовательно, потребители товара вынуждены будут оплачивать большую часть вводимого налога.

Очевидно, что введение такого налога тяжелым бременем ляжет на плечи всего населения. И, особенно, малообеспеченных категорий граждан.

Другим негативным моментом введения налога является то, что производители вынуждены будут сократить производство товара. Это вызовет увеличение себестоимости единицы продукции, может привести к сокращениям персонала, что также имеет негативные социальные последствия.

Поэтому введение налога нецелесообразно.

. Вместо введения налога государство может использовать методы прямого регулирования цен. В данном случае для того, чтобы выручка продавцов была максимальна, необходимо установить нижний предел цены на уровне 3,5 тыс.руб. за тонну. Изобразим графически.

Рисунок 4 -Установление нижнего уровня цены

Последствия прямого регулирования цены могут привести к еще более отрицательным результатам, чем введение налога. Поскольку к социальным проблемам, обусловленным ростом цены, добавляется хроническое перепроизводство товара.

При данном уровне цены объем предложения товара составляет= 110,83+42,22 × 16,2 = 794,79 тонн.

А объем спроса=506,25-15,625×16,2=253,13 тонн.

Товарный излишек составит (794,79 - 253,13) 541,66 тонн и превысит объем потребления товара.

Следовательно, введение нижнего предела цены на уровне 16,2 тыс.руб. за тонну продукции нецелесообразно.

Похожие работы на - Деловое предприятие в рыночной экономике

 

Не нашли материал для своей работы?
Поможем написать уникальную работу
Без плагиата!
Без нейросетей!