Организация и управление товарным ассортиментом

  • Вид работы:
    Дипломная (ВКР)
  • Предмет:
    Маркетинг
  • Язык:
    Русский
    ,
    Формат файла:
    MS Word
    841,07 Кб
  • Опубликовано:
    2014-07-18
Вы можете узнать стоимость помощи в написании студенческой работы.
Помощь в написании работы, которую точно примут!

Организация и управление товарным ассортиментом

Введение

С экономической точки зрения ассортимент - это, прежде всего, отражение межотраслевых и отраслевых пропорций в составе товарного предложения. Ассортимент - это главная составляющая розничной стратегии и оружие в конкурентной борьбе, и уже одно это предполагает его непрерывное изменение.

Формирование ассортимента является важнейшей составной частью коммерческой деятельности торгового предприятия. Формирование ассортимента - это процесс определения набора товарных групп, видов и разновидностей, наиболее предпочтительного для успешной работы на рынке и обеспечивающего экономическую эффективность деятельности организации.

Торговый ассортимент в конечном звене товародвижения - магазине выступает в качестве целевой установки всего процесса движения товаров и формирования ассортимента, так как позволяет удовлетворить спрос покупателей и получить прибыль от реализации товаров и услуг. Формирование (комплектование) торгового ассортимента магазина - серьезная и ответственная коммерческая работа. Она требует знания состава населения, обслуживаемого магазином, потребностей, его покупательской способности, знания моды, учета климатических, сезонных и национальных особенностей.

Если коммерсант надеется добиться успехов на розничном рынке, то он обязан отслеживать все изменения, происходящие на нем и своевременно на них реагировать. При формировании ассортимента это означает, что однажды сформированная модель ассортимента не дает гарантий рентабельной работы, так как обстановка на рынке очень динамична и требует ответной адекватной реакции.

Изменяются экономическая ситуация, социальная и демографическая обстановка, денежные доходы потребителей и стратегии конкурентов. Соответственно изменяются потребительские запросы. Эти изменения и должны стать объектом внимания коммерсанта. После изучения товарного рынка и получения на этой основе информации о спросе и предпочтениях потребителей предприятие должно планировать ассортимент как новых, так и уже реализуемых товаров.

Планирование ассортимента товаров - это обоснованный отбор товаров для будущей реализации, а также приведение всех характеристик товаров в соответствии с требованиями потребителей.

Концепция жизненного цикла изделий имеет большое значение при планировании ассортимента товаров. Учитывая длительность жизненного цикла, старые, убыточные товары снимаются с реализации. Таким образом, управление ассортиментом товаров в соответствии со спросом обслуживаемого контингента покупателей и принятой ассортиментной политикой предполагает его поддержание в полном и устойчивом состоянии на протяжении всего времени работы магазина.

В условиях рыночных отношений работа по формированию ассортимента в магазинах значительно усложняется. Широта и глубина ассортимента реализуемых товаров во многом зависят от квалификации работников магазина и коммерческих служб организаций, которые должны располагать обширной информацией о спросе покупателей, источниках возможного поступления товаров, ценах на товары и другой коммерческой информацией. В этих условиях все более необходимым становится стратегический подход к управлению товарных ассортиментом.

Кроме этого, важнейшим элементом успеха розничной торговли является обеспечение оптимальных товарных запасов. Правильно организованное управление товарными запасами играет большую роль в повышении уровня торгового обслуживания.

Управление товарными запасами решает ряд коммерческих задач, связанных с формированием и поддержанием ассортимента товаров на требуемом уровне с целью удовлетворения спроса покупателей.

Таким образом, грамотное формирование ассортимента товаров и обеспечение оптимальных товарных запасов - залог процветания любого предприятия розничной торговли. В связи с этим выбор темы дипломной работы весьма актуален на сегодняшний день.

Объект дипломной работы - коммерческая деятельность предприятия торговли. Предмет дипломной работы - товарный ассортимент предприятия торговли.

Цель дипломной работы - провести анализ управления товарным ассортиментом торгового предприятия и разработать мероприятия по совершенствованию управления товарным ассортиментом на примере магазина №15 «ТГ Ижтрейдинг».

Для достижения цели дипломной работы в процессе её выполнение должен быть решен ряд задач:

изучен теоретический материал и практический опыт совершенствования управления товарным ассортиментом

представлена общая характеристика магазина №15 «ТГ Ижтрейдинг»;

проведен анализ товарного ассортимента магазина №15 «ТГ Ижтрейдинг»;

разработаны мероприятия по оптимизации товарного ассортимента магазина №15 «ТГ Ижтрейдинг».

Структурно дипломная работа включает в себя введение, основную часть, заключение и список литературы.

Теоретической и методологической основой дипломной работы является отечественная и зарубежная литература по предметам товароведения, коммерции, маркетинга, мерчандайзинга, экономического анализа, проблемам товарной политики предприятия.

Для написания работы использованы официальные статистические материалы, нормативные акты, бухгалтерские и статистические данные исследуемого предприятия.

1.     
Теоретико-методологические аспекты управления товарным ассортиментом

.1      Сущность целей и задачи управления товарным ассортиментом

Область профессиональных интересов - стратегическое управление, экономика предприятия, управленческий учет, финансовый анализ, описание и проектирование бизнес-процессов. Специализация - работа с предприятиями среднего бизнеса, в том числе с группами компаний или холдингами.

Сущность планирования, формирования и управления ассортиментом торгового предприятия заключается в том, чтобы реализатор своевременно предлагал определенную совокупность товаров, которые бы, соответствуя в целом профилю его торговой деятельности, наиболее полно удовлетворяли требованиям определенных категорий покупателей.

Товарный ассортимент характеризуется широтой (количеством ассортиментных групп), глубиной (количеством позиций в каждой ассортиментной группе) и сопоставимостью (соотношением между предлагаемыми ассортиментными группами с точки зрения общности потребителей, конечного использования, каналов распределения и цен).

Ассортимент продукции буквально означает подбор предметов, совокупность их наименований по каким-либо признакам. С этой точки зрения ассортимент может быть простым или сложным, узким или широким. Такая классификация предусматривает выделение групп однородной продукции или товаров по признаку вида, сорта, марки и т.п.

Формируются ассортиментные признаки товарных групп, в пределах которых предметы имеют определенное сходство. И также можно различать ассортимент продукции (мыло производится предприятием) и ассортимент товаров (что предлагается потребителям, данным продавцом).

. Ассортиментные группы по местонахождению товаров:

Торговый ассортимент - перечень товаров, формируемых организацией с учётом спроса, материально- технической базы и специализации магазина.

. Ассортиментные группы по широте охвата товаров:

Групповой ассортимент товаров показывает перечень укрупненных товарных групп, составляющих номенклатуру товаров. Так, в продовольственном магазине могут продаваться гастрономические и бакалейные продукты, а в магазине спортивных товаров - летний и зимний спортивный инвентарь.

Видовой ассортимент товаров отражает наличие в группе товаров ряда видов. Например, в составе молочных продуктов могут быть представлены кефир, сливки, творог и т.п. мужская обувь включает такие понятия как сапоги, ботинки, туфли, босоножки.

Внутривидовой ассортимент товаров представляет разновидности продукции, членения вида на части. Так, творог может быть разной степени жирности, самовары - разной вместимости, обувь - разного фасона, ткани - разной расцветки и т.п. Внутривидовой ассортимент товаров может иметь разную глубину развития, детализации. В этом смысле можно говорить о степени сложности ассортимент. Например, лекарственные препараты, применяемые при определенном заболевании человека, могут быть представлены средствами для наружного или внутреннего употребления, в виде таблеток или жидкостей, иметь разную фасовку, упаковку и т.п.

Простой - набор товаров представленный не большим количеством групп видов и наименований, которые удовлетворяют ограниченное число потребителей.

Сложный - набор товаров представлен значительным количеством групп, видов разновидностей наименований, которые удовлетворяют разнообразные потребности.

Развёрнутый - набор товаров, который включает значительное количество групп, подгрупп, разновидностей наименований, но отличающихся индивидуальными признаками.

Сопутствующий - набор товаров, который выполняет вспомогательные функции и не относится к основным.

Смешанный - набор товаров разных групп, отличающихся большим разнообразием функционального назначения.

. Виды ассортиментов по степени удовлетворения потребителей:

Рациональный ассортимент - набор товаров, наиболее полно удовлетворяющий реально обоснованные потребности, которые обеспечивают максимальное качество жизни на данном этапе.

Оптимальный - набор товаров, удовлетворяющий реальные потребности с максимально полезным эффектом для потребителей при минимальных затратах.

. Разновидности ассортимента по характеру потребностей:

Реальный - действительный набор товаров находящийся в магазине у продавца.

Прогнозируемый - набор товаров, который может удовлетворять предполагаемые потребности.

Классификационные признаки ассортимента товаров:

С полным основанием изложенные положения о номенклатуре и ассортимент продукции могут быть отнесены к выполнению работ и оказанию услуг, в отношении которых также выделяются группы, виды, подвиды продукции.

Формирование ассортимента предшествует разработка предприятием ассортиментной концепции. Она представляет собой направленное построение оптимальной ассортиментной структуры, товарного предложения, при этом за основу принимаются, с одной стороны, потребительские требования определенных групп (сегментов рынка), а с другой - необходимость обеспечить наиболее эффективное использование предприятием сырьевых, технологических, финансовых и иных ресурсов с тем, чтобы производить изделия с низкими издержками.

Ассортиментная политика - определение набора товарных групп, наиболее предпочтительного для успешной работы на рынке и обеспечивающего экономическую эффективность деятельности предприятия в целом.

Задачи ассортиментной политики:

. Удовлетворение запросов потребителей - один из основных принципов маркетинга, который соответствует задаче глубокой сегментации и дифференциации рынка и обеспечивает тесную связь с потребителями;

. Оптимальное использование технологических знаний и опыта предприятия;

. Оптимизация финансовых результатов предприятия - Формирование ассортимента основывается на ожидаемой рентабельности и величине прибыли, что чаще встречается в практике работы предприятий, однако может быть оправдано при тяжелом финансовом положении, отсутствии альтернатив и др.;

. Завоевание новых покупателей путем расширения сферы применения существующей производственной программы. Этот подход достаточно консервативен, так как рассчитан на краткосрочные результаты и предполагает удлинение жизненного цикла устаревающих изданий за счет нахождения новых рынков сбыта;

. Соблюдение принципов гибкости за счет диверсификации сфер деятельности предприятия отрасли печати и включения в них нетрадиционных отраслей;

. Соблюдение принципа синергизма, предполагающего расширение областей производства и услуг предприятия, связанных между собой определенной технологией, единой квалификацией кадров и другой логической зависимостью.

Широкая ассортиментная гамма выпускаемой продукции укрепляет рыночные позиции предприятия и расширяет объем продаж.

Ассортиментная стратегия может строиться также по следующим направлениям:

товарная дифференциация связана с выделением предприятием своих изданий в качестве особых, отличных от изданий конкурентов, и обеспечением по ним отдельных «ниш» спроса;

узкая товарная специализация определяется работой предприятия на довольно узком сегменте рынка и связана с ограничением сферы сбыта продукции в силу ряда причин. Иногда узкая специализация как вариант товарной политики воспринимается в качестве вынужденной меры, поскольку предприятие не располагает достаточными ресурсами для проведения успешной работы по широкому кругу товарной номенклатуры или в силу специфики самого товара, а также особенностей технологического процесса. Причиной может служить и глубокая сегментация рынка данного издания. В ряде случаев политика узкой товарной специализации оптимальна для эффективной деятельности небольшого предприятия или когда предприятие периодически меняет узкую специализацию, используя ее для освоения новых рынков или адаптируясь к меняющемуся характеру спроса;

желание и предпочтение покупателей приобретать большое число наименований продукции одного предприятия;

оптимальность продаж сбытовой сети нескольких видов продукции одновременно;

развитие торговли по специальным заказам отдельных потребителей, предусматривающим индивидуальное изготовление продукции заданных свойств и характеристик;

стремление избежать наличия неиспользованных или незагруженных мощностей за счет производства других, дополнительных видов продукции;

желание использовать побочные продукты для производства новых видов продукции и повысить общую эффективность деятельности предприятия.

Товарная политика предприятия требует изменения в том случае, если в течение длительного периода имеются избыточные производственные мощности; основную прибыль дают два-три вида продукции; нет достаточного количества видов продукции, соответствующих возможностям рынка и объему предъявляемого спроса; объем продаж и прибыль предприятия постоянно снижаются.

Большое значение имеет выбор ассортимента выпускаемой продукции, который позволил бы предприятию отрасли печати увеличить выручку от реализации и соответственно прибыль.

Рациональную структуру выпускаемой продукции можно определить с помощью показателя «точка безубыточности», отражающего минимальный уровень сбыта, при котором отсутствует убыток, но нет прибыли. Сущность планирования ассортимента продукции определяется как планирование всех видов деятельности, направленных на отбор изделий для будущего производства и на приведение технических, функциональных и эстетических свойств этих изделий в наиболее полное соответствие с требованиями потенциальных потребителей. Рост объемов реализации товаров является наиболее перспективным и надежным средством обеспечения устойчивости торгового предприятия.

Прогноз тенденции развития ассортимента должен показывать такую траекторию развития процесса, которая позволит обеспечить достижение намечаемого соответствия товарного предложения предприятия меняющейся в перспективе ассортиментной структуре спроса на рынке. Итак, суть проблемы формирования ассортимента состоит в планировании фактически всех видов деятельности, направленных на отбор товара для будущей реализации на рынке и на приведение характеристик этих товаров в соответствие с требованиями потребителей. Формирование на основе планирования ассортимента товара - непрерывный процесс, продолжающийся в течение всего жизненного цикла товара.

Система формирования ассортимента включает следующие основные моменты:

. Определение текущих и перспективных потребностей покупателей, анализ способов использования данного товара и особенностей покупательского поведения на соответствующих рынках.

. Оценка существующих аналогов конкурентов по тем же направлениям.

. Критическая оценка торговым предприятием товара, в том же ассортименте, что и в п.п. 1 и 2, но уже с позиции покупателя.

. Решение вопросов, какие товары следует добавить в ассортимент, а какие исключить из него из-за изменений в уровне конкурентоспособности.

. Рассмотрение предложений о закупке новых позиций товаров, усовершенствование существующих, а также о новых способах и областях применения товаров.

. Оценка и пересмотр всего ассортимента товара.

Планирование и управление ассортиментом - неотъемлемая часть управления торговым предприятием. Даже хорошо продуманные планы сбыта и рекламы не смогут нейтрализовать последствия ошибок, допущенных ранее при планировании ассортимента.

Управление ассортиментом предполагает координацию взаимосвязанных видов деятельности - научно-технической и проектной, комплексного исследования рынка, организации сбыта, сервиса, рекламы, стимулирования спроса. Трудность решения данной задачи состоит в сложности объединения всех этих элементов для достижения конечной цели оптимизации ассортимента с учетом поставленных стратегических рыночных целей предприятием. Если этого достигнуть не удается, то может получиться, что в ассортимент начнут включаться товары, приобретенные скорее для удобства предприятия, нежели для потребителя. Это прямо противоречит тому, что необходимо действительно делать. Задачи планирования и формирования ассортимента состоят, прежде всего, в том, чтобы подготовить «потребительскую» спецификацию на товар. Иначе говоря, в формировании ассортимента решающее слово должно принадлежать руководителям службы маркетинга предприятия, которые должны решать вопрос о том, когда более целесообразно вложить средства в определенный товар, а не нести дополнительные возрастающие расходы по рекламе и реализации устаревающего товара или снижать цену на него. Именно руководитель службы маркетинга предприятия должен решать, настало ли время ввести в ассортимент новые виды товаров, взамен существующих или в дополнение к ним.

Конкретный перечень целей предприятия в области управления ассортиментом и качеством товара зависит от стоящих перед ним проблем. Поскольку поставленные цели предопределяют намечаемые действия, постольку они сами являются критериями оценки достигнутых результатов. Поэтому они должны быть четко сформулированными; реально выполнимыми; указывающими направления действий; обеспечивающими сосредоточение материальных, трудовых и финансовых ресурсов.

Одним из важнейших мероприятий является формирование текущей и перспективной политики торгового предприятия в области ассортимента и качества товаров. Сформировать такую политику - значит определить, в каком объеме, какого ассортимента и качества и на какой рынок следует поставить продукцию.

Особое значение имеет изучение жизненного цикла изделий, поскольку в зависимости от конкретной его фазы должна устанавливаться определенная стратегия.

Важным мероприятием является формирование заявок и заказов на производство и поставку товаров, являющихся основными инструментами воздействия торговли на промышленность, от обоснованности которых зависит степень эффективности этого воздействия.

Таким образом, принципы просты и доступны, но, чтобы неуклонно следовать им в практической деятельности, необходимыми немалыми усилия всех без исключения работников. Работники выявляют потребности разных контингентов потребителей, активно участвуют в создании товаров, давая промышленности конкретные заказы, сделанные на основе разработок собственных дизайнеров, модельеров, технологов. Фирма исходит из того, что разработка товара - это не только технические возможности, ресурсы, технология, мода и вкус, но и коммерческое решение, зависящее от потребностей покупателей, от конъюнктуры и тенденций развития рынка, интенсивности спроса на аналогичные товары фирм-конкурентов, от ожидаемого вливания нового товара на спрос, от сложившегося ассортимента и т. д. Более того, разработка товара - это научно-техническое предвидение, умение использовать новейшие достижения науки и техники, способность предугадать их влияние на производство намеченного к внедрению товаров и на спрос, на него.

Реализация контроля в системе управления ассортиментом и качеством должна начинаться с анализа соответствия установленных программ маркетинговых действий условиям внешней среды. Данный вид контроля позволит своевременно отреагировать на изменения внешней среды и внести коррективы в программу маркетинговых действий.

Следующий вид контроля - оценка соответствия фактических действий принятой программе - позволяет в случае недостаточной действенности проведенных мероприятий внести соответствующие изменения в намеченную программу(предусмотреть дополнительные мероприятия по отдельным направлениям, наметить новые направления, приостановить проведение неоправдавших себя мероприятий).

Одним из элементов данной подсистемы является контроль качества и ассортимента реализуемых товаров, который позволяет выявить их соответствие стандартам качества и требованиям потребителей. Контроль - соответствия качества и ассортимента реализуемых товаров стандартам предполагает:

входной контроль качества товаров;

контроль наличия товаров достаточного ассортимента в розничной торговой сети;

контроль исполнения каждым поставщиком договоров поставки в ассортиментном разрезе;

контроль снятия с производства товаров, не пользующихся спросом;

контроль хода освоения и поставки производителями новых товаров, закупленных на ярмарках;

контроль состояния товарных запасов;

контроль своевременности и действенности правовой и претензионной работы.

Контроль соответствия ассортимента и качества товаров требованиям потребителей должен осуществляться посредством изучения информации, полученной от потребителей по «обратной связи». Это одно из самых существенных видов контроля, поскольку мнение потребителя - основа формирования ассортиментной политики. Для того чтобы вид контроля был действенным, необходим четкий организационный механизм получения подобной информации. Источниками такой информации могут быть: панельные опросы потребителей, опросы посетителей выставок-просмотров, выставок-продаж, покупательских конференций, специальное анкетирование и т. д. Необходимо ежегодно разрабатывать конкретный перечень таких мероприятий, предусматривая ответственных за их проведение, обработку и передачу руководству полученной информации.

Среди мер по управлению ассортиментом могут быть предусмотрены:

разработка предложений по совершенствованию стандартов и другой научно- технической документации;

разработка рекомендаций по повышению качества товаров, замене товаров устаревших фасонов и моделей, совершенствованию упаковки, снижению цен, организации послепродажного обслуживания; разработка спецификаций новых товаров или улучшенных товаров в соответствии с требованиями потребителей.

Важное значение для решения наиболее острой проблемы на современном этапе развития нашей экономики - проблемы насыщения рынка высококачественными товарами в необходимом количестве и ассортименте в соответствии с запросами с запросами конкретных потребителей.

.2      Методы и механизмы управления товарным ассортиментом и критерии оценки его эффективности

Ассортиментная политика включает в себя управление ассортиментом, т.е. деятельность, направленную на достижение требований рациональности ассортимента. Основополагающими элементами управления является формирование ассортимента и установление уровня требований по показателям, определяющим рациональность ассортимента.

Формирование ассортимента есть деятельность по составлению набора товаров, позволяющего удовлетворить реальные или прогнозируемые потребности, а также достигнуть целей, определенных руководством организации.

Цель организации в области ассортимента - формирование реального и прогнозируемого ассортимента, максимально приближающегося к рациональному, для удовлетворения разнообразных потребностей и получения запланированной прибыли.

Основные направления в области формирования ассортимента: сокращение, расширение, стабилизация, обновление, совершенствование, гармонизация. Указанные направления взаимосвязаны, в значительной мере дополняют друг друга и определяются рядом факторов.

Сокращение ассортимента - количественные и качественные изменения состояния набора товаров за счет уменьшения его широты и полноты.

Причинами сокращения ассортимента может быть падение спроса, недостаточность предложений, убыточность или низкая прибыльность при производстве или реализации отдельных товаров. Например, в последние годы наблюдается тенденция сокращения ассортимента за счет дешевых продовольственных и непродовольственных товаров, не выгодных изготовителю и продавцу, но необходимых потребителю.

Расширение ассортимента - количественные и качественные изменения набора товаров за счет увеличения показателей широты, полноты и новизны. Причинами, способствующими расширению ассортимента, являются увеличение спроса и предложения, высокая рентабельность производства и реализации товаров, внедрение на рынок новых товаров или изготовителей. Так, современное состояние российского потребительского рынка характеризуется расширением ассортимента за счет импортных товаров, а также товаров, изготовленных на основе зарубежных технологий.

Расширение ассортимента наряду с увеличением товарной массы - одно из важнейших условий насыщения рынка товарами. Вместе с тем это направление ассортиментной политики не исключает других направлений, которые дополняют его, придавая новые аспекты. Так, расширение ассортимента может происходить за счет его обновления при одновременном сокращении доли товаров, не пользующихся спросом.

Стабилизация ассортимента - состояние набора товаров, характеризующееся высокой устойчивостью и низкой степенью обновления.

Это достаточно редкое состояние ассортимента, присущее в основном ассортименту пищевых продуктов повседневного спроса. Ассортимент непродовольственных товаров отличается высокой степенью изменений под воздействием моды, достижений технического прогресса, других факторов.

Обновление ассортимента - качественные и количественные изменения состояния набор товаров, характеризующиеся увеличением показателя новизны. Критерием выбора этого направления можно считать необходимость удовлетворения новых постоянно изменяющихся потребностей; повышения конкурентоспособности; стремления изготовителей и продавцов стимулировать спрос, побуждая потребителей делать покупки новых товаров для удовлетворения функциональных, социальных, психологических потребностей; изменения моды; достижения научно-технического прогресса.

Это направление основывается на распространенном убеждении потребителей, считающих, что новые товары лучше ранее выпускавшихся. Однако это не всегда так, потому что качество новых товаров может быть хуже, чем уже известных. В таких случаях потребитель, осознав это, может испытать чувство разочарования, неудовлетворенности, недоверия к новым товарам вообще, а также к фирме-изготовителю или продавцу.

В то же время в условиях конкурентной среды без обновления невозможно обойтись, так как новизна товаров - один из важнейших критериев конкурентоспособности организаций-изготовителей и продавцов.

Совершенствование ассортимента - количественные и качественные изменения состояния набора товаров для повышения его рациональности.

Это комплексное направление изменений ассортимента товаров обусловливает выбор возможных путей: сокращение, расширение или обновление ассортимента товаров для формирования рационального ассортимента. Целевой подход к формированию улучшенного рационального ассортимента составляет основную отличительную черту этого направления. При этом должны учитываться научно обоснованные рациональные потребности, а также требования общества: обеспечение безопасности для потребителей и окружающей среды, использование достижений научно-технического прогресса для максимально повышения качества жизни.

Гармонизация ассортимента - количественные и качественные изменения состояния набора товаров, отражающие степень близости реального ассортимента к оптимальному или лучшим зарубежным и отечественным аналогам, наиболее полно соответствующие целям организации.

Выбор того или иного направления требует знания факторов, влияющих на формирование ассортимента.

Основными факторами, влияющими на формирование торгового ассортимента, являются:

Спрос как потребность, подкрепленная платежеспособностью потребителей, -определяющий фактор формирования ассортимента, в свою очередь зависит от сегмента потребителей (их доходов, национальных, демографических и других особенностей).

Специализация торговой организации относится к наиболее значимым факторам формирования ассортимента товаров. Она определяется при создании, лицензировании или аттестации организации. Руководство организации принимает решение о специализации, от которой зависит ее последующая деятельность, в том числе и формирование торгового ассортимента.

Каналы распределения товаров также имеют значение при формировании торгового ассортимента. Отлаженная система поставок через приемлемые для торговли каналы распределения, ритмичность доставки в нужные сроки и в необходимом объеме облегчают работу по формированию торгового ассортимента, обеспечивают предпочтение закупок товаров, для которых имеется налаженная система сбыта.

Методы стимулирования сбыта и формирования спроса, в частности рекламная поддержка товаров, в условиях насыщенного рынка также влияют на формирование торгового ассортимента. Это объясняется тем, что торговые организации освобождаются от дорогостоящих затрат на рекламу, за счет чего сокращаются издержки производства и возрастает прибыль.

Материально-техническая база торговой организации также может оказать определенное воздействие на формирование торгового ассортимента. Если у фирмы отсутствуют склады, обеспечивающие сохранность товаров в надлежащих условиях, или площади торгового зала для выкладки товаров сложного или развернутого ассортимента, то организация не должна и планировать формирование такого ассортимента. Например, нельзя включать в ассортимент скоропортящиеся или замороженные продукты питания при отсутствии холодильного оборудования.

Регулирование перечисленных выше факторов составляет суть управления ассортиментом и достигается посредством установления определенных требований, предъявляемых к рациональному ассортименту. Эти требования регламентируются рядом нормативных, технических и технологических документов.

Ассортимент в торговле может иметь различные формы:

-     широкий ассортимент (большое число товарных групп);

-        узкий ассортимент (немногочисленное число групп);

         глубокий ассортимент (в товарной группе предлагаются многочисленные альтернативные продукты различного качества, цвета, вида, цены и др.);

         мелкий ассортимент (отдельные товарные группы в немногих вариантах).

Как правило, магазин имеет или широкий, но мелкий ассортимент (супермаркет), или узкий, но глубокий ассортимент (специализированный магазин).

Создание широкого и глубокого ассортимента затрудняется отсутствием необходимых финансовых средств.

Торговому ассортименту присуще такое понятие как сбалансированность. Сбалансированным является ассортимент, сочетающий различные виды и разновидности товаров в группе и различные группы товаров в розничном торговом предприятии. Товарный ассортимент формируется на основе спроса и предназначения целевых рынков товаров. Изменения в спросе сопровождаются изменениями в ассортименте и отражаются на его сбалансированности.

В процессе продажи отслеживается взаимозаменяемость в продовольственных товарах. При отсутствии конкретного продукта, покупатель находит ему замену и приобретает другой продукт с аналогичными пищевыми свойствами. Такие манипуляции заметно прослеживаются в продаже продуктов однородного признака.

В результате перехода к рынку в нашей стране образовалась довольно большая доля населения с низкими доходами, что привело к снижению покупательского спроса и устойчивости продажи товаров. В этой связи в составе номенклатуры наравне с обычными товарами необходимо учитывать и дешевые.

Качественная и количественная характеристика ассортимента товаров имеет ключевое значение для выбора номенклатурной политики. Поэтому проведем более тщательный анализ свойств ассортимента.

.3      Практический опыт совершенствования управления товарным ассортиментом

Оптимизация ассортимента по методике К. и Р. Канаяна состоит из трех этапов:

Совершенствование ассортимента по методике К. и Р. Канаяна основано на мерчандайзинге.

Мерчандайзинг - комплекс мероприятий, производимых в торговом зале и направленных на продвижение того или иного товара, марки, вида или упаковки. Цель мерчандайзинга - стимулирование желания потребителей выбрать и купить продвигаемый товар.

Состоит из трех этапов.

Анализ структуры товарооборот.

Рассчитываются доли товарных групп в общем товарообороте магазина за исследуемый период, затем список товарных групп выстраивается по убыванию доли в товарообороте. Товарные группы, составляющие ассортимент магазина, разделяются на три категории по их доле в общем объеме товарооборота.

Первая группа (А) - группы- «лидеры», составляющие вместе около 80% товарооборота магазина.

Вторая группа (В) включает в себя товарные группы, продажи по которым составляют около 15% общего товарооборота магазина.

Третья группа (С) включает в себя товарные группы, дающие вместе 5% общего товарооборота магазина.

Для увеличения прибыли необходимо обращать внимание на товары, входящие в категорию «А».

Для товаров этих групп необходимо обеспечить непрерывное присутствие ассортимента, оптимизировать размещение и выкладку таким образом, чтобы торговое пространство использовалось максимально эффективно. В этих группах можно использовать сезонное увеличение ассортиментных позиций.

Расширение ассортимента товаров, входящих в группу «В», «С» не окажет существенного влияния на повышение общего товарооборота. Они должны присутствовать в ассортименте, но при сезонном изменении выкладки, специальных акциях места под товар особенно категории «С» можно сократить.

Оценка эффективности использования торговых площадей Важный показатель деятельности магазина - показатель товарооборота на 1 кв. м. площади торгового зала.

Для расчета этого показателя необходимо разделить товарооборот за отчетный год на площадь торгового зала и на 12 месяцев. Для новых магазинов значение за период от начала работы магазина до даты последнего подсчета, количество полных календарных месяцев.

Этот показатель позволяет выявить зоны в магазине, требующие особого внимания. Неправильная планировка и размещение товарных групп приводит к потере товарооборота. Задача магазина - обеспечить навигацию в системе навигации могут использоваться:

·размещение групп таким образом, чтобы покупателю было интересно следовать от одной к другой, или если отслеживается некая логика.

·рекламные материалы и средства справки;

·товары- магниты;

-освещение, обеспечивающее зрительный маршрут для покупателя.

Затормозить движение покупателя можно с помощью рядов оборудования, расположенных перпендикулярно входу или интересной деталью интерьера. Проведение во входной зоне специальных акций. Акции «Сыщик», «Находка» и т.п.

Торговые площади необходимо распределять в соответствии со значением товарных групп. При распределении торговых площадей на оборудовании необходимо учитывать соответствие места на полках объему продаж и прибыли.

Для оценки эффективности использования торговых площадей и распределении места для групп необходимо:

1.      Рассчитать показатели доли продаж товарных групп.

Доля продаж товарной группы равна соотношению продажи по товарной группе к общему объему товарооборота, умноженная на 100%.

2.      Рассчитать показатели доли выкладки товарных групп.

Доля выкладки товарной группы равна соотношению длины выкладки товарной группы к общей длине выкладки и умноженная на 100%.

На основе полученных показателей определяется эффективность использования площадей. Она равна соотношению доли продаж группы к доле выкладки группы. Если показатель эффективности более 1, торговая площадь используется эффективно. Однако для разных товарных групп существуют поправки, учитывающие ассортимент, характер спроса. Коэффициент 0,5 для бакалейных товаров считается приемлемым. Особенно важна эффективность использования площадей товарных групп категории «А», «В», определяется место, для каких групп может быть расширено за счет сокращения товаров, входящих в группу «С».

Низкие показатели эффективности использования торговых площадей говорят о возможности оптимизации ассортимента и выкладки в товарных группах. Причинами низкой эффективности могут быть:

-проблемы с поставками, отсутствие в продаже товаров, пользующихся наибольшим спросом.

·неэффективная выкладка;

·неэффективный ассортимент внутри товарной группы, когда присутствует большое количество марок, видов, не пользующихся значительным спросом.

·особенности планировки и различия оборудования, низкая освещенность.

Для определения эффективности использования площадей применяется показатель продажи на погонный метр выкладки. Это соотношение продаж по товарной группе к длине выкладки товарной группы. Анализ позволяет определить наиболее слабые места зале - полки с наиболее низкими показателями продажа погонный метр. Для увеличения этого показателя необходимо оптимизировать ассортимент, размещение и выкладку.

3. Оптимизация ассортимента внутри товарной группы.

4. Анализ ассортимента внутри товарной группы позволяет выбрать ключевые позиции ассортимента, постепенное удаление неперспективных марок. Необходимо изучить спрос в целом и по отдельным товарным группам.

Спрос должен изучаться относительно каждой группы покупателей, выделенной по различным признакам, объектом изучения спроса может являться структура товаров и услуг или контингент покупателей.

Ассортиментная политика - определение набора товарных групп, наиболее предпочтительного для успешной работы на рынке и обеспечивающего экономическую эффективность деятельности предприятия в целом.

Задачи ассортиментной политики могут быть различны. Это:

- удовлетворение запросов потребителей - один из основных принципов маркетинга, который соответствует задаче глубокой сегментации и дифференциации рынка и обеспечивает тесную связь с потребителями;

оптимальное использование технологических знаний и опыта предприятия;

оптимизация финансовых результатов предприятия - формирование ассортимента основывается на ожидаемой рентабельности и величине прибыли, что чаще встречается в практике работы предприятий, однако может быть оправдано при тяжелом финансовом положении, отсутствии альтернатив и др.;

завоевание новых покупателей путем расширения сферы применения существующей производственной программы. Этот подход достаточно консервативен, так как рассчитан на краткосрочные результаты и предполагает удлинение жизненного цикла устаревающих изданий за счет нахождения новых рынков сбыта;

соблюдение принципов гибкости за счет диверсификации сфер деятельности предприятия отрасли печати и включения в них нетрадиционных отраслей;

соблюдение принципа синергизма, предполагающего расширение областей производства и услуг предприятия, связанных между собой определенной технологией, единой квалификацией кадров и другой логической зависимостью.

Широкая ассортиментная гамма выпускаемой продукции укрепляет рыночные позиции предприятия и расширяет объем продаж.

Ассортиментная политика определяет оптимальное соотношение набора изданий, разных по стадиям жизненного цикла, но одновременно находящихся на рынке. Оптимизация номенклатуры изданий, одновременно находящихся на рынке, но различающихся по степени новизны, позволяет гарантировать предприятию отрасли печати относительно стабильные общие условия обеспечения объемов реализации, покрытия расходов и достижения прибыли.

Ассортиментная стратегия может строиться также по следующим направлениям:

-       товарная дифференциация связана с выделением предприятием своих изданий в качестве особых, отличных от изданий конкурентов, и обеспечением по ним отдельных «ниш» спроса;

-       узкая товарная специализация определяется работой предприятия на довольно узком сегменте рынка и связана с ограничением сферы сбыта продукции в силу ряда причин. Иногда узкая специализация как вариант товарной политики воспринимается в качестве вынужденной меры, поскольку предприятие не располагает достаточными ресурсами для проведения успешной работы по широкому кругу товарной номенклатуры или в силу специфики самого товара, а также особенностей технологического процесса. Причиной может служить и глубокая сегментация рынка данного издания. В ряде случаев политика узкой товарной специализации оптимальна для эффективной деятельности небольшого предприятия или когда предприятие периодически меняет узкую специализацию, используя ее для освоения новых рынков или адаптируясь к меняющемуся характеру спроса;

-       товарная диверсификация подразумевает значительное расширение сферы деятельности предприятия и осуществление производства большого числа, как правило, не связанных между собой изданий. Такая политика обеспечивает значительную устойчивость и стабильность работы предприятия, так как служит гарантом от риска снижения спроса и кризисных явлений в производстве одного издания;

-       товарная вертикальная интеграция преследует цель расширить деятельность предприятия путем освоения (или присоединения к себе) производства или услуги по одной технологической цепочке. Она дает возможность экономить на издержках производства и обращения в связи с использованием более дешевого сырья и базовых компонентов основной продукции, передовой технологии и опыта интегрируемых производств, доступа к новой сбытовой сети и новым рынкам сбыта и др.

При определении оптимальной ассортиментной политики и товарной номенклатуры исходят из двух принципов:

-       принцип синергизма означает, что номенклатура выпускаемых товаров и услуг должна быть внутренне связана и отдельные товары и виды услуг должны дополнять друг друга. Этот принцип обеспечивает широкую экономию на масштабах деятельности предприятия за счет взаимной поддержки различных товарных групп или сфер хозяйственной деятельности. Однако в случае конъюнктурных колебаний такая система построения ассортиментной политики отличается большой уязвимостью;

-       принцип стратегической гибкости основывается на конгломератном построении стратегических зон хозяйствования и товарной номенклатуры, которые зависят от различных технологий, уравновешивают рисковые и устойчивые товарные группы и т.д., так что неожиданные события в одной сфере не могут тяжело сказаться на развитии другой сферы и на общих результатах совокупной деятельности предприятия.

Большое значение имеет выбор ассортимента выпускаемой продукции, который позволил бы предприятию отрасли печати увеличить выручку от реализации и соответственно прибыль.


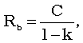
Где, Rb - объем реализации продукции, при котором предприятие не имеет убытков, а также и прибыли; С - постоянные расходы предприятия, не зависящие от объема производства; k - коэффициент, выражающий состояние между переменными расходами предприятия, зависящими от объема производства V, и выручкой от реализации R:


Рациональную структуру выпускаемой продукции можно определить с помощью показателя «точка безубыточности», отражающего минимальный уровень сбыта, при котором отсутствует убыток, но нет прибыли. Когда предприятие производит и реализует одно издание, «точка безубыточности» определяется по формуле

Основными элементами (или фазами) планирования ассортимента продукции являются:

) выявление текущих и потенциальных (неудовлетворенных) потребностей покупателей; анализ способов использования соответствующей продукции, а также особенностей поведения покупателей (потребителей) в данном сегменте рынка;

) оценка конкурирующих изделий-аналогов под тем же углом зрения;

) анализ потребительских оценок качества вырабатываемых изделий, т.е. определение степени их соответствия запросам покупателей (потребителей) с точки зрения способности удовлетворить конкретную потребность в функциональном и эстетическом отношении;

) определение того, какими изделиями должен быть пополнен вырабатываемый ассортимент продукции и какие изделия следует исключить из него по причинам недостаточной рентабельности, морального износа, снижения конкурентоспособности и т.д. Сюда же относится решение вопроса о том, следует ли диверсифицировать производство за счет направлений, выходящих за рамки сложившейся специализации;

) рассмотрение предложения об освоении новых изделий, усовершенствовании освоенной продукции, а также о новых способах и сферах применения выпускаемых товаров;

) разработка спецификаций новых или улучшенных изделий в соответствии с требованиями покупателей;

) изучение с помощью специалистов по научно-техническим изделиям и разработкам перспектив производства новых или усовершенствованных изделий, включая вопросы цен, себестоимости и рентабельности;

) тестирование продукции с привлечением потенциальных потребителей для выявления ее соответствия покупательскому спросу по всему кругу основных показателей: качеству, внешнему виду, прочности, удобству в эксплуатации, безотказности в работе; упаковке, цене, потребительной ценности;

) разработка специальных рекомендаций для изготовителей продукции в отношении ее качества, типоразмера, наименования, цены, упаковки, технического обслуживания и т.д. в соответствии с результатами проведенного тестирования, пробных продаж и т.п.;

) подготовка рекомендаций по сбыту продукции, включая: определение сроков и графика ввода на рынок нового или усовершенствованного товара, масштабов и начальной формы его реализации (например, только пробные продажи в специально отобранных городах, освоение отдельных региональных рынков или же выход сразу на национальный рынок), планов сбыта продукции, разработку программы проведения рекламных кампаний и других мероприятий по стимулированию сбыта.

При этом важно иметь в виду, что планирование ассортимента продукции - это непрерывный процесс, продолжающийся на протяжении всего жизненного цикла товара, начиная с зарождения идеи и кончая снятием его с продажи. Формированию ассортимента предшествует разработка предприятием ассортиментной концепции. Она представляет собой направленное построение оптимальной ассортиментной структуры, товарного предложения, при этом за основу принимаются потребительские требования определенных групп и необходимость обеспечить наиболее эффективное использование предприятием сырьевых, технологических и других ресурсов с тем, чтобы производить изделия с низкими издержками.

Ассортиментная концепция выражается в виде системы показателей, характеризующих по возможности оптимальное развитие производственного ассортимента данного вида товаров. К ним относятся: разнообразие видов и разновидностей товаров, частота обновления ассортимента, уровень соотношения цен на товары данного вида и др. Цель ассортиментной концепции - сориентировать предприятие на выпуск товаров, соответствующих структуре и разнообразию спроса покупателей.

Целевая направленность и искусство планирования проявляются в воплощении реальных и потенциальных возможностей предприятия в определенное сочетание продуктов, удовлетворяющих потребность покупателя и позволяющих получить прибыль.

Типичный цикл планирования ассортимента и его реализации включает предварительную оценку замысла, за которым следуют разработка спецификаций, основанных на требованиях потребителя, создание образцов, проверка возможностей их массового производства, рыночный тест.

магазин товарный ассортимент эффективность

2.     
Организационно-экономическая и правовая характеристика предприятия

.1      Месторасположение, правовой статус, организационное устройство и управление

Магазин №15 расположен по адресу: г. Ижевск, ул. 9 Января, 259

Дата открытия магазина: 5 февраля 2004 года.

Общая площадь магазина - 937 м2, торговая площадь - 740 м2. Площадь складских помещений - 154 м2, административных - 30 м2. Численность персонала- 43 человека. Здание магазина встроено в жилой дом, помимо магазина ТГ «Ижтрейдинг» в здании осуществляется продажа мебели, одежды для детей и взрослых, канцтовары, игрушки, парфюмерия и косметика, осуществляется продажа живых цветов, аудио-видео продукции, аптека - это способствует привлечению все большего числа покупателей.

Предприятие расположено в районной торговой зоне, недалеко от магазина расположена магистраль городского значения (ул. 9-Января), с интенсивными потоками движения индивидуального и общественного транспорта, остановки общественного транспорта расположены в пределах 2- 5-и минут ходьбы до магазина.

Режим работы магазина - с 8.00 до 23.00. В дневное время необходимости для перерыва нет, так как штат магазина позволяет всем сотрудникам отдыхать (обедать) по составленному расписанию, на рабочем процессе магазина это не отражается.

Около магазина не предусмотрена удобная стоянка для автомобилей, поэтому водители вынуждены оставлять автомобили на тротуаре, что создает неудобства при передвижении покупателей.

Магазин № 15 ТГ «Ижтрейдинг» - местного значения - занимается обеспечением населения основными продовольственными и непродовольственными товарами повседневного спроса.

ТГ «Ижтрейдинг», зарегистрирована 13 октября 2005 года Межрайонной инспекцией Федеральной налоговой службой №8 УР. «Общество с ограниченной ответственностью признается учрежденное одним или несколькими лицами общество, уставный капитал которого разделен на доли определенных учредительными документами размеров; участники ООО не отвечают по его обязательствам и несут риск убытков, связанных с деятельностью общества, в пределах стоимости внесенных ими вкладов…».

ООО получили наибольшее распространение в России. Обществом с ограниченной ответственностью является коммерческая организация, созданная одним или несколькими лицами, уставный капитал которой разделен на доли определенных учредительными документами размеров. Участники ООО не отвечают по его обязательствам, но несут риск убытков, связанных с деятельностью общества, в пределах стоимости вложенных ими вкладов. Текущее руководство деятельность общества осуществляется исполнительным органом, созданным на коллегиальной основе. Исполнительный орган подотчетен общему собранию участников общества. Предприятие осуществляет самостоятельную финансовую деятельность в пределах, установленных действующим законодательством. Предприятие строит свои отношения с юридическими лицами, частными предпринимателями во всех сферах своей деятельности исключительно на основе договоров. В своей деятельности предприятие учитывает также и интересы потребителей, соблюдая требования к качеству товаров и ycлyг. Предприятие свободно в выборе формы и предмета хозяйственных договоров и обязательств, любых других условий хозяйственных взаимоотношений, не противоречащих законодательству Российской Федерации и Удмуртской Республики. Магазин реализует товары, работы, услуги по ценам и тарифам, установленным самостоятельно или на договорной основе, если иное не предусматривает законодательством РФ и УР. Контроль и ревизия производственной и хозяйственной деятельности предприятия осуществляется налоговыми, природоохранными и другими органами, имеющими право контроля. Прекращение деятельности предприятия может осуществляться путем ликвидации, либо реорганизации (слияния, присоединения, разделения, преобразование организационно-правовой формы) на условиях и в порядке предусмотренным действующим законодательством РФ и УР.

Структура управления магазином № 15 представлена на рисунке 1.

Рисунок 1 - Структура управления магазином № 15

Структура управления представляет собой централизованную систему. Руководитель сосредотачивает в своих руках высокий уровень прав.

Централизованное принятие решений в сложных организациях не дает возможности быстро приспосабливаться к изменениям внешней среды, к меняющимся потребностям клиентов. Структура управления имеет вид линейно - функциональной. За конечный результат в целом отвечает директор магазина, задача которого состоит в том, чтобы весь управленческий персонал (администратор, товаровед, зав. секцией, ст. кассир, ст. менеджер) вносили свой вклад в его достижение.

В магазине трудится коллектив людей, выполняющих разные функции и задачи. Поэтому цель управления магазином - добиться единства действий и целенаправленности работы всего коллектива.

В зависимости от выполняемых функций работниками, коллектив магазина можно подразделить на следующие группы:

·   административно-управленческий персонал (директор магазина, товаровед, менеджер по товародвижению, администратор, старший менеджер)

·   торгово-оперативный персонал (старший кассир и кассиры, заведующие секциями, менеджеры торгового зала, сотрудники СПП, фасовщицы, контролер ручной клади)

·   вспомогательный персонал (уборщики, грузчики дворник).

Директор магазина осуществляет текущее руководство. К текущему управлению относятся организация завоза и реализация товаров, повседневный контроль за работой, оперативное устранение причин, мешающих нормальному ходу торгово-технологического процесса. Текущее управление торговым процессом обеспечивает организационную устойчивость работы всех подведомственных торговых и хозяйственных единиц экономичного и своевременного выполнения поставленных планов и задач.

Менеджер по товародвижению подчиняется директору магазина. Он осуществляет проверку и оприходование принятого товара, проверяет верность штрих-кодов, заводит с помощью сканера штрих-код, оформляет ценники, анализирует товародвижение, организует эффективное движение товаров.

Товаровед находится также в подчинении директора магазина. Осуществляет оценку правильности учета товаров, ревизии, контроль за соответствием цен товаров данным учета, сроки реализации, составляет заявки на товар.

Администратор зала подчиняется директору магазина. В его непосредственном подчинении находятся заведующие секциями, менеджеры торгового зала, уборщики, приемосдатчики ручной клади. Основной задачей деятельности является контроль за соблюдением персоналом надлежащего качества и культуры обслуживания покупателей при оказании услуг торговли.

Старший продавец подчиняется директору магазина. В его подчинении находятся фасовщики и грузчики. Основной задачей деятельности является прием и размещение товара на складе.

Старший кассир сотрудник магазина, осуществляющий контроль за денежными потоками по кассовым аппаратам. В его непосредственном подчинении находятся продавцы - кассиры. Основными задачами являются контроль кассовых операций по приему, выдаче и хранению денежных средств, введение и предоставление кассовой отчетности, передача денежной наличности на инкассацию

Менеджер торгового зала - сотрудник магазина, представляющий посредством своей деятельности саму фирму, ее реализуемую продукцию и услуги клиентам и потребителям в магазине. Работа менеджера зала заключается в выполнении поставленных руководителями планов по объемам продаж, мерчендайзингу на выделенной территории, а также поддержании и улучшении отношений с потребителями. В деятельности он подчиняется администратору зала. Основными задачами являются: выкладка товара в торговый зал, помощь старшему продавцу в приемке товара, замещение администратора с исполнением его обязанностей.

Продавец-кассир - сотрудник магазина, осуществляющий контроль за денежными потоками по кассовым аппаратам магазина. При выполнении служебных обязанностей находится в непосредственном подчинении старшего кассира. Его основными задачами являются осуществление кассовых операций по приему, учету, выдаче и хранению денежных средств, составление заявления о возврате товара и аннуляции кассового чека.

Фасовщик подчиняется старшему продавцу магазина. Основной задачей деятельности является расфасовка товара с целью удовлетворения покупательского спроса, улучшения обслуживания покупателей.

Приемосдатчик ручной клади подчиняется администратору зала. Основной задачей деятельности является прием, хранение и выдача вещей покупателей.

Грузчик подчиняется старшему продавцу магазина и осуществляет погрузочно-разгрузочные работы.

Уборщик производственных и служебных помещений подчиняется администратору зала. Основной задачей деятельности является уборка помещений магазина. Уборщик территории подчиняется директору магазина. Основной задачей деятельности является поддержание в чистоте прилегающей территории.

Должностные инструкции каждому исполнителю разрабатывает руководитель предприятия. Эти инструкции отражают задачи, стоящие перед тем или иным отделом, четко определяют обязанности работников с учетом их взаимозаменяемости (на время отпуска, болезни и т.д.), обеспечивают правильное использование труда специалистов. Права и обязанности работников магазина регламентируются «Основными правилами работы магазина», «Правилами внутреннего распорядка» и должностными инструкциями. В магазинах имеются инструкции на все должности, предусмотренные штатным расписанием. Они способствуют правильному решению вопросов подбора и расстановки кадров, повышению их деловой квалификации, определению должностных обязанностей.

2.2.   
Основные экономические показатели деятельности

В соответствии с товарной специализацией и размеров торговой площади осуществляется формирование ассортимента разных групп товаров, их видов и разновидностей.

Таблица 1 - Структура товарооборота по ассортиментным группам

Ассортиментная группа

Выручка от продаж, тыс.руб.

Удельный вес, %

Отклонение в сумме (+,-)


2009г

2010г

2011г

2009г

2010г

2011г

2011г-2009г, тыс.руб.

2011г - 2009г.,%

Хлебобулочные изделия

1725

2748

3489

7,5

8,9

6,2

1764

-1,3

Колбасная продукция

1807

2415

5441

7,8

7,8

9,7

3634

1,9

Кондитерские изделия

4416

3489

8896

19,3

11,4

15,8

4480

-3,5

Бакалейные товары

1265

1654

3101

5,6

5,5

5,5

1836

-0,1

Молочная продукция

2726

3985

9568

11,9

13,0

17,1

6842

5,2

Фрукты и овощи

1976

2753

8497

8,6

9,0

15,2

6521

6,6

Консервация

1219

2692

3154

5,4

8,8

5,7

1935

0,3

Вино- водочные изделия

6363

8645

10245

27,8

28,2

18,2

3882

-9,6

Чай, кофе

1407

2254

3658

6,1

7,4

6,6

2251

0,5

Итого

22895

30635

56049

100

100

100

33154

0

В таблице 2 представлены общие сведения о предприятии за период 2009-2011гг.

Таблица 2 - Общие сведения об организации

Показатель

2009г.

2010г.

2011г.

2011г. к 2009г., %

Площадь организации, кв.м

740

740

740

100

Валовая прибыль, тыс. руб.

4204

7800

11186

266,1

Выручка от продаж, тыс. руб.

43693

96287

115684

264,8

Прибыль (убыток) от продаж, тыс. руб.

4204

7800

11186

266,1

Среднегодовая численность работников, человек

37

42

43

116,2

Себестоимость проданных товаров, продукции, работ, услуг, тыс. руб.

39489

88487

104498

264,6

Прочие расходы, тыс. руб.

1569

425

2497

159,1

Управленческие расходы, тыс. руб.

-

-

-

-

Прочие доходы, тыс. руб.

4891

1694

2696

55,1

Чистая прибыль, тыс.руб.

6229

8483

10260

164,7

Стоимость основных средств, тыс.руб. (остаточная стоимость)

21107

23218

27862

132,0

Стоимость оборотных средств, тыс.руб.

9944

14781

9124

91,8

Уровень рентабельности, %

10,6

8,8

10,7

100,9

Рентабельность продаж по прибыли от реализации, %

9,6

8,1

9,7

101,0


Согласно данным таблицы 2 за период 2009-2011 гг. в организации наблюдается рост валовой продукции на 166,1%,но уменьшается стоимость оборотных средств на 8,2%. Среднегодовая численность работников с 2009-2010гг. увеличилась на 16,2% или на 6 человек. Увеличивается также рентабельность организации, так в 2011г. она составила 10,7% это на 0,9% больше, чем в 2009г.

Таблица 3 - Показатели производства продукции и производительности труда

Показатель

2009г.

2010г.

2011г.

2009г. к 2011г., %

Выручка, тыс. руб.

43693

96287

115684

264,8

Выручка на 1 кв.м, тыс.руб.

86,3

190,3

228,6

264,9

Количество отработанных часов

66317

76822

73575

110,9

Торговый оборот за отработанный час одним работником, тыс. руб.

0,66

1,25

1,57

237,9

Торговый оборот на 1 работника в год, тыс. руб.

1181

2293

2690

228,0

Количество покупателей, чел.

426320

706311

834841

195,8

Средняя сумма покупки, руб.

102

136

139

136,3


Как видно из таблицы 3 выручка за три года увеличилась на 71991тыс.руб. или на 164,8%, значит, показатели, рассчитанные нами в этой таблице, имеют значение в сторону увеличения. Например, часовая выработка и выработка на 1 работника с 2009г по 2011г возросла в среднем на 132%. Это связано с увеличением количества сотрудников и выручки. При этом средняя сумма покупки за три года существенно не изменилась.

.3 Интенсивность и экономическая эффективность деятельности организации

Интенсификация производства - основная форма расширенного воспроизводства, осуществляемая путём совершенствования системы ведения отрасли на основе научно-технического прогресса для увеличения выхода продукции с единицы площади, повышения производительности труда и снижения издержек на единицу продукции.

При рассмотрении интенсификации производства необходимо учитывать два аспекта: уровень интенсивности и экономическую эффективность интенсификации.

Основными показателями, характеризующими экономическую эффективность использования основных фондов, являются фондоотдача и фондоёмкость. Данные показатели будут представлены в таблице 4

Таблица 4 - Эффективность использования производственных фондов

Показатель

2009г.

2010г.

2011г.

2009г. к 2011г., %

Фондооснащённость, тыс. руб. на 1 кв.м.

90,2

97,7

112,3

124,5

Фондовооружённость, тыс. руб., на 1 раб.

1232,9

1177,6

1321,9

107,2

Фондоотдача

1,0

1,9

2,0

200.0

Фондоёмкость

1,0

0.5

0,5

50,0

Коэффициент оборачиваемости оборотных средств

5

8

10

200,0

Продолжительность оборота оборотных средств, дней

73

46

37

50,6

Уровень рентабельности производственных запасов в %

25,1

31,1

31,2

124,3


По данным таблицы 4 в 2009 г на 1 кв.м приходится 90,2 тыс. руб. и 1232,9 тыс.руб. на 1 человека или на24,5% и 7,2% меньше, чем 2011г.

Коэффициент Фо увеличивается за три года, т.е предприятие имеет основные средства для эффективной работы - 2,0 руб. реализованной продукции приходятся на 1 руб. основных средств. т.к. фондоотдача за анализируемый период увеличилась на 100%, а фондоёмкость снизилась на 50%. ( т.е. больше получено продукции с меньшим использованием основных средств). За 2011г Коб = 10. Эта скорость оборота показывает, что в течение года материальные оборотные средства совершили 10 полных оборотов в течение 37 дней, что в 2 раза больше, чем в 2009 году.

Коэффициент оборачиваемости оборотных средств показал, что затрачиваемое предприятием на движение оборотных средств через все стадии кругооборота, и длительность их пребывания в каждой фазе увеличивается. В общем объёме в производственные запасы в 1,2 раза увеличились и составили 6 коп. с 1 рубля прибыли.

Таблица 5 - Уровень интенсивности и результативные показатели интенсификации

Показатель

2009г.

2010г.

2011г.

2011г. к 2009г., %

Площадь организации, кв.м

740

740

740

100,0

Прибыль(убыток) от продаж, тыс.руб.

4204

7800

11186

266,1

Количество работников, чел

37

42

43

100,0

Покупная стоимость товаров, тыс.руб.

18947

39841

47952

253,1

Выручка от продаж, тыс.руб.

43693

96287

115684

264,8

Выручка на 1 среднегодового работника, тыс.руб.

1181

2293

2690

228,0

Выручка на 1 кв.м., тыс.руб.

86,3

190,2

228,6

264,8

Выручка на 1 руб. покупной стоимости товара

2,3

2,4

2,4

104,3

Прибыль на 1 руб. покупной стоимости товара

0,22

0,20

0,23

104,5

Покупная стоимость товаров на 1 работника, тыс. руб.

512,1

948,6

1115,2

217,8

Покупная стоимость товаров на 1 кв. м, тыс. руб.

37,4

78,7

94,8

253,5


Согласно данным таблицы 5, можно сделать вывод, что с увеличением реализации продукции - организация получает выручку, которая как мы видим, с 2009 по 2011 год возрастает. Выручка от продаж выросла на 71 991 тыс.руб. или на 64,8%, выручка на 1 среднегодового работника увеличилась в 2 раза или на 146,5 тыс.рублей. Покупная стоимость товаров увеличилась за три года в 2 раза или на 603,10 рублей

Рассмотрим уровень интенсивности и результативные показатели интенсификации производства на предприятии ООО «Ижтрейдинг», представленную в таблице 6.

Таблица 6 Показатели экономической эффективности интенсификации

Показатель

2009г.

2010г.

2011г.

2011г. к 2009г., %

Получено прибыли (убыток) от продаж, тыс.руб.

4204

7800

11186

95,4

-На 1 кв.м, руб.

8308

15415

22107

266,1

-На 1 работника, руб.

113622

185714

260140

229,0

-На 1 чел./час., руб.

63

101

152

241,3

-На 1 рабочий день, руб.

11486

21311

30563

266,1

-На 1 чел./день., руб.

310

507

711

229,4

-На 1 руб. основных фондов, руб.

0,09

0,16

0,20

222,2

-На 1 руб. оборотных фондов, руб.

0,42

0,53

1,23

292,9

-На 1 работника аппарата управления, тыс. руб.

420,4

780,0

1118,6

266,1


За рассматриваемый период в таблице 6 представлены показатели интенсификации производства продукции ООО «Ижтрейдинг». Ежегодно возрастают продажи товарной продукции в расчете на 1 кв.м. Прибыль организации в расчете на 1 кв.м. с 2009 по 2010 год увеличилась на 7107 тыс.руб., так и с 2010 по 2011 год наблюдается рост на 6692 тыс.руб. Если сравнить за три года, то идет увеличение в 2,7раза. Все рассматриваемые показатели в течение трех лет увеличились в среднем в 2 раза или на 146%. Это свидетельствует о положительной тенденции на предприятии.

.4 Оценка относительных показателей ликвидности, платежеспособности и финансовой устойчивости

Необходимым звеном в системе рыночной экономики является институт несостоятельности (банкротства) хозяйствующих субъектов. Поэтому особую актуальность приобретает вопрос оценки структуры баланса, так как по неудовлетворительности структуры баланса принимаются решения о несостоятельности предприятия.

Под несостоятельностью (банкротством) предприятия понимается неспособность удовлетворить требования кредиторов по оплате товаров (работ, услуг), а также неспособность обеспечить обязательные платежи в бюджет и внебюджетные фонды в связи с превышением обязательств должника над его имуществом или в связи с неудовлетворительной структурой баланса должника.

Выводы о признании структуры баланса неудовлетворительной , а предприятия неплатежеспособным делаются при отрицательной структуре баланса и отсутствии у него реальной возможности восстановить свою платежеспособность.

Таблица 7

Относительные показатели ликвидности и платежеспособности

Показатели

2009г.

2010г.

2011г.

Денежные средства, тыс. руб.

424

470

564

Краткосрочные финансовые вложения, тыс. руб.

-

-

-

Дебиторская задолженность, тыс. руб.

5686

6001

3580

Прочие оборотные активы, тыс. руб.

-

-

-

Материальные запасы, тыс. руб.

3718

4090

4980

Расходы будущих периодов, тыс.руб.

11

13

20

Доходы будущих периодов, тыс. руб.

-

-

-

Резервы предстоящих расходов и платежей, тыс.руб.

234

257

-

Краткосрочные кредиты и займы, тыс. руб.

-

2379

1848

Кредиторская задолженность, тыс. руб.

2228

2451

2394

Задолженность участникам по выплате доходов, тыс. руб.

-

-

-

Прочие краткосрочные обязательства, тыс. руб.

-

-

-

Коэффициент текущей ликвидности

2,7

2,3

2,1

Коэффициент срочной (быстрой) ликвидности

1,6

1,0

1,0

Коэффициент абсолютной ликвидности

0,1

0,1

Коэффициент обеспеченности собственными оборотными средствами

1,5

1,9

1,9

Коэффициент платежеспособности

5,3

3,8

5,8


Коэффициент абсолютной ликвидности показывает, какую часть краткосрочной задолженности предприятие может погасить в ближайшее время.

По данным нашего примера соотношение денежных средств и краткосрочных обязательств составляет в течение трех лет 0,1. Это говорит о том, что, ООО «Ижтрейдинг» в случае необходимости будет иметь затруднения в погашении краткосрочной задолженности за счет быстрореализуемых активов, в случае предъявления к нему требований со стороны всех кредиторов (обязательства перед которыми истекают в ближайшее время) одновременно.

Коэффициент срочной ликвидности (промежуточный коэффициент покрытия) равен 1, значит, часть текущих обязательств может быть погашена не только за счет наличности, но и за счет ожидаемых поступлений за отгруженную продукцию, выполненные работы или оказанные услуги.

Коэффициент текущей ликвидности в течении трех лет превышал нормативный показатель- 2, т.е предприятие располагает значительным объемом свободных ресурсов, формируемых за счет собственных источников и может погасить свои обязательства.

Увеличение коэффициента обеспеченности собственными оборотными средствами рассматривается как положительная тенденция , т.е часть собственного капитала предприятия является источником покрытия текущих активов предприятия. Коэффициент платежеспособности больше нормативного значения, значит, предприятие может выполнять свои обязательства перед кредиторами на случай ликвидности.

Таблица 8 - Показатели финансовой устойчивости

Показатели

2009 г.

2010 г.

2011 г.

Стоимость основных средств, тыс. руб.

21107

23218

27862

Собственный капитал, тыс.руб.

28812

32957

32848

Долгосрочные обязательства, тыс.руб.

1484

1732

1438

Краткосрочные обязательства, тыс. руб.

3946

6819

4242

Валюта баланса, тыс. руб.

34242

41508

38528

Коэффициент концентрации собственного капитала, тыс.руб.

0,84

0,79

0,85

Коэффициент концентрации привлеченного капитала, тыс. руб.

0,16

0,21

0,15

Коэффициент финансовой зависимости (автономии), тыс. руб.

1,19

1,26

1,17

Коэффициент структуры долгосрочных вложений, тыс. руб.

0,07

0,07

0,05

Коэффициент долгосрочного привлечения заемных средств, тыс. руб.

0,04

0,05

0,04

Коэффициент соотношения привлеченного и собственного капитала, тыс.руб.

0,18

0,26

0,17


По данным таблицы 8 собственный капитал в течение трех лет превышает привлеченный капитал, это означает, что предприятие в меньшей степени прибегает к привлеченным средствам. Рост показателя финансовой зависимости в динамике означает увеличение доли заемных средств в финансировании предприятия. Показатель 1,17 означает, что в каждом 1,17 руб., вложенном в активы, 17 копеек были заемными.

Коэффициент структуры долгосрочных вложений за два года не изменился, но в 2011г. снизился на 0,02, значит, 7 копеек были вложены в основные средства внешними инвесторами.

Коэффициент соотношения привлеченного и собственного капитала или операционный леверидж показывает, что собственный капитал превышает привлеченный в 5 раз.

3.     
Оценка состояния и эффективность управления товарным ассортиментом ООО «Ижтрейдинг»

.1      Организация и управление товарным ассортиментом

В настоящее время магазин №15«Ижтрейдинг» осуществляет розничную продажу продовольственных и непродовольственных товаров с ассортиментом в количестве 8000 наименований; учитываются запросы потребителей, сезонность спроса, происходит постоянное обновление ассортимента.

Выявить ассортимент, дающий наибольший вклад в объем продаж, позволяет «АВС-анализ».

Сущность «ABC-анализа» строится на основании принципа Парето: «за большинство возможных результатов отвечает относительно небольшое число причин», в настоящий момент более известного, как «правило 20 на 80». Считается, что 20% товарного ассортимента дают 80% общего объема продаж; 20 % покупателей приносят 80 % оборота.

Благодаря своей универсальности и эффективности данный метод анализа получил большое развитие. По сути АВС-анализ - это составление рейтинговых списков по разным параметрам. В рамках общего рейтингового списка мы получаем три группы объектов - А,В и С, которые отличаются по своей значимости и доле.

Рассмотрим этапы проведения АВС-анализа:

1)   выбираем объект анализа и параметр, по которому мы будем сравнивать объекты. Традиционно в рознице объектами АВС-анализа являются поставщики, товарные группа (категории), товарные единицы и т.п. Каждый из этих объектов может быть описан различными параметрами: объем продаж (в денежном или количественном выражении), доход (в денежном выражении), товарный запас и т.д.

2)      составляем рейтинговый список объектов по убыванию значения параметра.

)        Определяем, какие объекты относятся к группе А, В и С. Для этого необходимо:

-    Рассчитать долю параметра от общей суммы параметров выбранных объектов

-        Рассчитать эту долю с накопительным итогом

-        Присвоить значение групп выбранным объектам.

Группа А - объекты, сумма долей с накопительным итогом которых составляет первые 50% от общей суммы параметров. Эти объекты требуют тщательного планирования, постоянного (возможно, даже ежедневного) и скрупулезного учета и контроля.

Группа В - следующие за группой А объекты, сумма долей с накопительным итогом которых составляет 50-80 % от общей суммы параметров. Эти объекты в меньшей степени важны для компании и требуют обычного контроля и налаженного учета (возможно, ежемесячно).

Группа С - оставшиеся объекты, сумма долей с накопительным итогом которых составляет 80-100% от общей суммы параметров. Это малоценные объекты, характеризующиеся упрощенными методами планирования, учета и контроля.

Проведем АВС-анализ торгового ассортимента магазина №15 «Ижтрейдинг» за 2009, 2010, 2011 года. данные анализа представлены в таблицах 9,10,11.

Таблица 9 АВС-анализ ассортимента магазина №15«Ижтрейдинг» за 2009 год

Наименование группы

Товарооборот за 2009 г, тыс.руб.

Доля продаж, %

Доля продаж с накопительным итогом, %

Наименование группы

Вино- водочные изделия

6363

27,78

27,78

А

Кондитерские изделия

4416

19,28

47,06

А

Молочная продукция

2726

11,90

58,96

В

Фрукты и овощи

1976

8,63

67,59

В

Колбасная продукция

1807

7,90

75,49

В

Хлебобулочные изделия

1725

7,53

83,02

С

Чай, кофе

1407

6,14

89,16

С

Бакалейные товары

1265

5,52

94,68

С

Консервация

1219

5,32

100

С

Итого

22895

100

-

-


Данные таблицы 9 говорят о том, что при проведенном АВС-анализе торгового ассортимента магазина №15«Ижтрейдинг» получилось 2 группы товаров А, 3 группы товаров В и 4 групп товаров С.

К товарам группы А относятся: вино-водочные изделия и кондитерские изделия - это те товары , которые дают наибольший удельный вес в товарообороте предприятия. Данные группы товаров необходимо постоянно контролировать, вести ежедневный учет и своевременно планировать.

К товарам группы В относятся следующие группы товаров: молочная продукция, фрукты и овощи, колбасные изделия. Данные группы товаров требуют обычного контроля и налаженного учета.

К товарам группы С относят следующие группы товаров: хлебобулочные изделия, чай,кофе, бакалейные товары, консервация. Это малоценные объекты, требующие упрощенные методы планирования, учета и контроля.

Далее в таблице 10 проанализируем ассортимент товаров по средствам АВС-0анализа за 2010 год.

Таблица 10 АВС-анализ ассортимента магазина №15«Ижтрейдинг» за 2010год

Наименование группы

Товарооборот за 2010 г, тыс.руб.

Доля продаж, %

Доля продаж с накопительным итогом, %

Наименование группы

Вино- водочные изделия

8645

28,22

28,22

А

Молочная продукция

3985

13,01

41,23

А

Кондитерские изделия

3489

11,39

52,62

В

Фрукты и овощи

2753

8,99

61,61

В

Хлебобулочные изделия

2748

8,97

70,58

В

Консервация

2692

8,79

79,37

В

Колбасная продукция

2415

7,88

87,25

С

Чай, кофе

2254

7,36

94,61

С

Бакалейные товары

1654

5,39

100

С

Итого:

30635

100

-

-


По данным АВС-анализа за 2010год, в двойку лидеров (товары группы А) вошли товарные группы: вино-водочные изделия и молочная продукция.

К товарам группы В: кондитерские изделия, фрукты и овощи, хлебобулочные изделия, консервация.

Товары группы С включают в себя 3 товарные группы: колбасная продукция, чай, кофе, бакалейные товары.. Товарная группа колбасная продукция в 2010 году переместилась в товарную группу С ( в 2009 году данная товарная группа располагалась в товарной группе В). Хлебобулочные изделия и консервация переместились в 2010 году в товарную группу В - этому послужила оптимизация товарного ассортимента по этим группам, данные товарные группы стали наиболее ценными для магазина, дающие больший товарооборот, нежели товарная группа С. Товарная группа чай, кофе и бакалейные товары так и осталась на прежнем уровне в товарной группе С как в 2009 г так и в 2010 г.

Далее проанализируем товарный ассортимент магазина «Ижтрейдинг» в 2011 году.

Таблица 11  АВС - анализ ассортимента магазина №15 «Ижтрейдинг» за 2011 год

Наименование группы

Товарооборот за 2011г, тыс.руб.

Доля продаж, %

Доля продаж с накопительным итогом, %

Наименование группы

Вино- водочные изделия

10245

18,28

18,28

А

Молочная продукция

9568

17,07

35,35

А

Кондитерские изделия

8896

15,87

51,22

В

Фрукты и овощи

8497

15,16

66,38

В

Колбасная продукция

5441

9,71

76,09

В

Чай, кофе

3658

6,53

82,62

С

Хлебобулочные изделия

3489

6,22

88,84

С

Консервация

3154

5,63

94,47

С

Бакалейные товары

3101

5,53

100

С

Итого:

56049

100

-

-


Данные АВС-анализа торгового ассортимента за 2011 год говорят о постоянной двойке лидеров ( вино-водочные изделия и молочная продукция) это товары группы А. Товары группы В также занимают 3 группы(кондитерские изделия, фрукты и овощи, колбасная продукция). Товары группы С включают в себя 4 группы, дающие наименьший удельные вес в розничном товарообороте предприятия.

На рисунке 3 представлен сводный АВС-анализ торгового ассортимента магазина №15 «Ижтрейдинг» за три года.

Рисунок 2 - Сводный АВС-анализ торгового ассортимента магазина №15 «Ижтрейдинг» за 2009, 2010, 2011 гг.

Наглядно видно, что товары группы А имеют наибольший удельный вес в товарообороте предприятия. Так в 2011 году удельный вес товаров группы А снизился с 47% до 35,35. За счет данного изменения товарной группы А происходят и изменения в товарной группе В. Таким образом, за счет снижения товарной группы А в 2011 году происходит увеличение товарной группы В с 28,43% до 40,74%. В товарных группах С также наблюдаются изменения. В 2010 году удельный вес товаров группы С снижается с 24,51% до 20,63% и в 2011 году увеличивается до 23,91%.Предприятию необходимо сокращать товары группы С за счет увеличения товарной группы А и В. Предприятию необходима оптимизация товарного ассортимента.

.2      Оценка состава движения товарного ассортимента

Товарные запасы представляют собой совокупность товарной массы, находящейся в сфере обращения, предназначенной для реализации. Товарные запасы, как категория товарного обращения, обеспечивают стабильный процесс обращения товаров и выполняют определенные функции:

-    являясь формой товарного предложения, удовлетворяют платежеспособный спрос населения;

-       характеризуют соотношение между объемом и структурой спроса и товарного предложения;

-       обеспечивают непрерывность расширенного производства и обращения, в процессе которых происходит их образование и расходование.

Главный фактор развития розничного товарооборота - обеспеченность и рациональное использование товарных ресурсов. Розничный товарооборот зависит от поступления товаров и состояния товарных запасов, на его объем оказывает влияние прочее выбытие товаров(товарная потери, бой, лом, порча, уценка, недостача). Эта зависимость выражается формулой товарного баланса:

Зн+П=РТО+В+Зк

Где Зн,Зк- запасы на начало и конец периода,

П-поступление товара,

РТО-розничный товарооборот,

В-прочее выбытие товаров.

Влияние показателей товарного баланса на объем розничного товарооборота можно определить по формуле:

РТО=Зн+П-В-Зк

Где Зн,Зк- запасы на начало и конец периода,

П-поступление товара,

РТО-розничный товарооборот,

В-прочее выбытие товаров.

Следовательно на выполнение плана и динамику розничного товарооборота положительно влияют завышенные(сверхнормативные) товарные запасы на начало периода(если товары пользуются спросом) и рост поступления товаров. Отрицательно - увеличение прочего выбытия товаров и завышенные товарные запасы на конец периода.

Анализ товарных ресурсов в магазине №15«Ижтрейдинг» ведут по товарному балансу, при чем все показатели отражаются в товарном балансе по розничной стоимости. За плановые товарные запасы на начало года берут их нормативы на 4-ый квартал прошлого года - нормативы 4-го квартала отчетного года.

Проанализируем обеспеченность магазина №15«Ижтрейдинг» товарными запасами по группам товаров. Данные анализа представлены в таблице 12.

Таблица 12 - Показатели товарных запасов по группам магазина №15«Ижтрейдинг»

Товарная группа

2010 год

2011 год


Остаток на начало года

Поступление товаров

Выбытие товаров

Остаток на конец года

Остаток на начало года

Поступление товаров

Выбытие товаров

Остаток на конец года

Вино- водочные изделия

1330

4524

58

1520

1520

12698

1171,3

2337

Молочная продукция

1350

3450

55

1598

1598

10498

1175,9

5339,6

Кондитерские изделия

1360

3480

54,2

1689

1689

11191

582,8

5360,5

Фрукты и овощи

1450

3300

54,5

1569

1569

10258

588,6

5380,6

Колбасная продукция

1589

3550

60,6

1458

1458

13590

583,2

5332,6

Чай, кофе

1245

4600

75,6

1580

1580

8958

6338,9

Хлебобулочные изделия

1359

4200

62,5

1589

1589

10985

888,9

7350,2

Консервация

1469

3597

34,2

1745

1745

9659

51,2

6520,6

Бакалейные товары

1520

2460,2

45,6

1950

1950

8069

55,8

4312,1

Итого:

12672

33161,2

500,2

14698

14698

95906

6282,9

48272,1

Розничный товарооборот:

30635

56049

Данные таблицы 12 говорят о том, что розничный товарооборот по товарным группам магазина «Ижтрейдинг» в 2011 году по сравнению с 2010 годом увеличился за счет увеличения поступления товаров (95906-33161,2=62744,8 тыс.руб.) и увеличения товарных запасов на начало года(14698-12672=2026 тыс.руб.). Также спаду розничного товарооборота способствует увеличение выбытия товаров на 5782,7 тыс.руб.(6282,9-500,2) и увеличение запасов на конец года на 33574,1 тыс.руб.

Предприятию необходимо снижать выбытия товаров за счет снижения боя, лома, порчи, хищения, недостачи товаров, а также снижать запасы на конец периода путем проведения различных акций в конце и в течение года.

.3      Оценка эффективности товарным ассортиментом организации

Оценим по методике «АВС» распределение товарного ассортимента эффективность использования торговых площадей в магазине №15 «Ижтрейдинг», так как она наиболее полно раскроет недостатки и упущения в сложившемся ассортименте предприятия.

Для оценки эффективности использования торговых площадей определенными группами товаров, необходимо рассчитать показатели доли продаж и доли выкладки товарных групп.

Для этого требуется, во-первых, определить общую длину выкладка (в погонных метрах), которая равна сумме длин всех полок, предназначенных под выкладку товаров в зале.

И, во-вторых - определить долю выкладки товарной группы (в %).

Для этого необходимо:

. Определить длину выкладки товарной группы в метрах.

Доля выкладки товарной группы = Длина выкладки товарной группы / Общая длина выкладки х 100%).

. Определить долю товарооборота товарной группы за период.

Доля товарооборота товарной группы = Товарооборот по товарной группе/Общий объем товарооборота х 100%.

На основе полученных показателей определяется эффективность использования площадей по следующей формуле:

Эффективность использования площадей = Доля продаж группы / Доля выкладки группы.

Если показатель эффективности использования площадей:

· более 1 - торговая площадь используется эффективно;

· менее 1 - торговая площадь используется неэффективно.

Для разных товарных групп существуют допустимые значения коэффициента эффективности использования площадей, учитывающие:

· глубину ассортимента;

· характер спроса;

· объемы упаковок.

Допустимые значения коэффициента:

· для соков - 0,6;

· для бакалейных товаров - от 0,5.

· для специфических товарных групп (например, детское питание) - 0,6. Низкие показатели эффективности использования площадей говорят о возможности оптимизации ассортимента и выкладки товаров в товарных группах.

Анализ эффективности использования торговой площади магазина №15 оцепим по группам товаров «А», «В», «С» в зависимости от удельного веса в товарообороте.

Удельный вес рассчитывается по методике за год работы предприятия, базой для расчетов послужит 2011г.

Для анализа понадобятся следующие данные:

· общая длина полок в магазине - 530м.;

· товарооборот магазина за 2011г - 56049 тыс.руб.

Путем соответствующих измерений, определена длина полок, занимаемая каждой товарной группой.

По данным о продажах за 2011год, рассчитан удельный вес каждой группы в общем объеме товарооборота, в соответствии с которым группы распределены в три категории - «А», «В», «С». Полученные данные в общем виде представлены в таблице 13.

Таблица 13- Сводный АВС-анализ по доле продаж и доле выкладки

Группа товаров

Показатель


Длина выкладки, м

Доля выкладки, %

Доля продаж, %

А

179

33,77

35,35

Б

171

32,27

40,74

С

180

33,96

23,91

Итого:

530

100

100


Группа «А» - это лидеры, группы товаров, дающие более 35% удельного веса товарооборота.

Группа «В» - это группы товаров, дающие около 40% удельного веса товарооборота. Группа «С» включает товарные группы, дающие вместе около 23% общего товарооборота магазина.

Анализ эффективности использования торговой площади товарами группы «А» «В», «С» представлен в таблице 14.

Таблица 14 - Эффективность использования торговой площади товарами группы «А», «В», «С» за 2011 г.

Наименование группы

Длина выкладки, м

Доля выкладки, %

Доля продаж, %

Эффективность, %

Наименование группы

Вино- водочные изделия

90

16,98

18,28

1,08

А

Молочная продукция

89

16,79

17,07

1,02

А

Кондитерские изделия

88

16,60

15,87

0,96

В

Фрукты и овощи

45

8,49

15,16

1,79

В

Колбасная продукция

38

7,17

9,71

1,35

В

Чай, кофе

95

17,92

6,53

0,36

С

Хлебобулочные изделия

31

5,85

6,22

1,06

С

Консервация

25

4,72

5,63

1,19

С

Бакалейные товары

29

5,47

5,53

1,01

С

Итого:

530

100

100

-

-


На протяжении большего периода работы предприятия первую двойку лидеров составляют следующие группы: вино-водочные изделия, молочная продукция. Эти группы приносят наибольший вклад в товарооборот магазина. Но из года в год доля товаров группы А снижается.

Полученные данные свидетельствуют о том, что товарами группы «А» эффективно используется торговая площадь магазина. Показатель эффективности более 1 у всех товаров данной группы. Для группы товаров, имеющих показатель эффективности больше 1 - вино-водочная продукция (1,08) и молочная продукция (1,02), но меньшую эффективность, чем товары группы В - необходимо пересмотреть выкладку, ассортимент, а также площадь , занимаемую под данными товарными группами, чтобы увеличить продажи и эффективность использования торговой площади.

В товарной категории группы В эффективно используется площадь следующими всеми группами товаров, таких как: фрукты и овощи, колбасная продукция. Товарная группа кондитерские изделия, имеющая показатель ниже 1 (0,96) неэффективно используется предприятием. Необходима оптимизация ассортиментной группы.

Исходя из данных таблицы, можно сказать о том, что эффективность использования площадей товарами группы С (больше 1) имеют не все товарные группы, такие как: чай и кофе, хлебобулочные изделия, консервация, бакалейные товары. Также стоит заметить, что товарная группа С из года в год увеличивается и ее доля увеличилась в 2010 г. с 20,63% до 23,91% в 2011 г.

Вместе с тем, низкие значения показателя по товарной группе А, которые приносят наибольший товарооборот, но при этом не эффективно используются площади могут говорить не только о сокращении места под выкладку, но и возможности оптимизации ассортимента и пересмотра выкладки.

Проверим эффективность использования площадей при помощи показателя «продажа на погонный метр выкладки». Это соотношение продаж по товарной группе к длине выкладки данной группы на полке .

Анализ позволяет определить наиболее слабые места в зале - полки с наиболее низкими показателями продажи на погонный метр. Упорядоченный по возрастанию список позволяет понять, где применять принцип массирования, а где экономии сил.

Среднегодовой товарооборот с 1 погонного метра равен 105,75 тыс. руб. (56049/530). Эффективность продаж группы проверим через отношение товарооборота группы с 1 погонного метра к его среднегодовому значению.

Результаты расчета эффективности использования торговой площади через показатель «продажа на 1 погонный метр» представлен в таблице 15.

Таблица 15- Анализ продаж на погонный метр выкладки магазина «Ижтрейдинг»»

Название группы

Длина выкладки, м

ТО группы, тыс. руб.

ТО на погонный метр, тыс. руб.

Эффективность, %

Вино- водочные изделия

90

10245

113,83

1,08

Молочная продукция

89

9568

107,51

1,02

Кондитерские изделия

88

8896

101,09

0,96

Фрукты и овощи

45

8497

188,82

1,79

Колбасная продукция

38

5441

143,18

1,35

Чай, кофе

95

3658

38,51

0,36

Хлебобулочные изделия

31

3489

112,55

1,06

Консервация

25

3154

126,16

1,19

Бакалейные товары

29

3101

106,93

1,01

Итого:

530

56049

105,75

-

Рисунок 4 - Товарооборот групп товаров на погонный метр выкладки, тыс.руб.

Рисунок 5- Эффективность использования площадей группами товаров магазина «Ижтрейдинг»

По данным таблицы 15 видно, что наибольший товарооборот с 1 погонного метра приносят следующие группы: кондитерские изделия, фрукты и овощи. Наименьший товарооборот с 1 погонного метра выкладки занимают бакалейные товары, алкогольная продукция, молочные товары, непродовольственные товары.

Из рисунка 4 и 5 наглядно видно, что наименьшая эффективность использования торговых площадей принадлежит товарной группе «бакалейные товары»(0,42), также данная товарная группа имеет наименьший товарооборот с 1 погонного метра(13,69 тыс.руб.).Для увеличения данного показателя необходимо оптимизировать ассортимент, размещение и выкладку товаров.

Товарооборачиваемость является одним из важных качественных показателей в торговле. Под товарооборачиваемостью понимается время обращения товаров со дня их поступления до дня реализации, а также скорость оборота товаров. Время обращения характеризует среднюю продолжительность пребывания в виде товарных запасов. Скорость оборота показывает сколько раз в течение отчетного периода произошло обновление товарных запасов. Следует помнить, что оборачиваются не сами товары, а вложенные в них средства. При ускорении товарооборачиваемости высвобождаются оборотные средства, вложенные в товарные запасы, снижаются потери товаров и другие товарные расходы, сохраняется качество товаров, улучшается обслуживание покупателей т т.д. замедление времени обращения товаров требует дополнительных привлечений кредитов и займов, ведет к росту издержек обращения, уменьшению прибыли, ухудшению финансового положения предприятия.

Далее проанализируем коэффициент товарооборачиваемости товарных групп магазина «Ижтрейдинг». Коэффициент оборачиваемости показывает количество оборотов, пройденных товарами:

Коб=РТО/Зср

Где Коб - коэффициент оборачиваемости,

РТО-розничный товарооборот,

Зср - средние товарные запасы.

Средние товарные запасы рассчитываются по формуле:

Зср =

Где Зср - средний запас за год,

Зн - запас на начало первого периода,

Зк - запас на конец первого периода.

Данные анализа товарооборачиваемости товарных групп магазина «для Вас» представлены в таблице 16.

Таблица 16 - Анализ коэффициента оборачиваемости товарных групп магазина «Ижтрейдинг»

Товарная группа

2010 год

2011 год

Отклонение по К оборачиваемости


Розничный товарооборот, тыс. руб.

Запасы средние тыс. руб.

К оборачиваемости

Розничный товарооборот, тыс.руб.

Запасы средние, тыс.руб.

К оборачиваемости


Вино- водочные изделия

8645

1425

6,1

10245

1928,5

5,3

-0,8

Молочная продукция

3985

1474

2,7

9568

3468,8

2,8

0,1

Кондитерские изделия

3489

1524,5

2,3

8896

3524,75

2,5

0,2

Фрукты и овощи

2753

1509,5

1,8

8497

3474,8

2,4

0,6

Колбасная продукция

2748

1523,5

1,8

5441

3395,3

1,6

-0,2

Чай, кофе

2692

1412,5

1,9

3658

3959,45

0,9

-1

Хлебобулочные изделия

2415

1474

1,6

3489

4469,6

0,8

-0,8

Консервация

2254

1607

1,4

3154

4132,8

0,8

-0,6

Бакалейные товары

1654

1735

0,9

3101

3131,05

0,9

0

Итого:

30635

13685

2,2

56049

31485,05

1,8

-0,4


Рисунок 6 - Коэффициенты оборачиваемости товарных групп магазина «Ижтрейдинг» за 2010 - 2011 гг.

Данные таблицы 16 и рисунка 6 говорят о том, что коэффициент оборачиваемости по товарным группам магазина №15 «Ижтрейдинг» в 2011 году по отношению к 2010 году снизился на 0,4. Большее снижение коэффициента оборачиваемости наблюдается по вино-водочным и хлебобулочным изделиям. Наглядно видно, что наименьший коэффициент оборачиваемости, который имеет также тенденцию к снижению, наблюдается по товарной группе чай, кофе(1,9 оборота в 2010 г. и 0,9 оборота в 2011 г.). Для увеличения коэффициента оборачиваемости по группам предприятию рекомендуется снижать средние товарные запасы и увеличивать розничный товарооборот.

Для увеличения коэффициента оборачиваемости необходимо снижать запасы на конец периода и увеличивать розничный товарооборот. Это произойдет если темпы роста розничного товарооборота будут опережать темпы роста среднегодовой стоимости товарных запасов.

        
Совершенствования организации управления товарным ассортиментом в ООО «Ижтрейдинг»

.1      Совершенствование организации управления. (анализ, структуру, схему)

Проанализировав торговый ассортимент магазина №15 «Ижтрейдинг» были выявлены следующие проблемы:
















Рисунок 7 - Дерево проблем магазина №15 «Ижтрейдинг»

Из рисунка 7 видно, основными проблемами в ассортиментной политике магазина является снижение темпов роста товарооборота и прибыли. Сделав АВС-анализ, были выявлены группы, занимающие наибольший удельный вес в структуре товарооборота и наименьший удельный вес. Была выбрана категория чай, так как данная группа является одной из критических, на полках постоянно царит хаос, нет никакой последовательности в выкладке товаров, и преобладают дорогие чаи. Был проведен опрос среди покупателей, в котором был выявлен спрос на чай и масса вопросов о недорогом чае. То есть спрос есть, а предложение отсутствует. Также данная товарная группа имеет низкий коэффициент эффективности использования торговой площади и самый низкий товарооборот на 1 погонный метр.

Далее представим варианты решения проблем для товарной группы чай в магазине №15 «Ижтрейдинг». Данные представлены на рисунке 8.









Рисунок 8 - Пути оптимизации торгового ассортимента магазина №15 «Ижтрейдинг»

Делая акцент на товарной группе чай следует отметить, что по исследованию МИЦ, 93% населения России пьют чай, компания Gallup Media Russia в результате анализа рынка получила значение - 98,5%. По данным государственной статистики, потребление чая в России - 1,5 кг на одного человека в год, в Англии этот показатель от 2,5 кг, тогда как структуры потребления чая обеих стран похожи. Это показывает возможности развития чайного рынка. Чай именно тот продукт, потребление которого в регионах России превышает показатели потребления чая в крупных городах. Причем основными «любителями» чая считаются регионы Севера, Сибири и Кавказа.

Другим следствием неплатежеспособности населения является сложившаяся система розничных продаж чая. Львиная доля чая продается через оптово - розничные и розничные рынки, лотки и киоски. Несопоставимо меньшая доля через магазины. При этом часто рынки предлагают более широкий, чем магазины, ассортимент чая - до 200 - 300 наименований.

4.2    Совершенствование состава и структура товарного ассортимента

В ходе комплексного анализа, приведенного в третьей главе настоящей работы, рассмотрев все позиции товарного ассортимента по группе «чай» и приняв во внимание покупательские предпочтения, определены направления совершенствования товарной политики. Приемлемым вариантом стратегии ассортимента для данной группы товаров стало: расширение в номенклатуре одной ассортиментной категории («ТНП») за счет сокращения других («медиум» и «премиум»).

По результатам проведенного исследования, в течение двух недель проводилась работа по замене ассортимента чая и оптимизации выкладки на оборудовании, при этом доля выкладки группы осталась неизменна. Проведенные мероприятия по оптимизации ассортимента товарной группы «чай» в магазине №15 дали следующий результат: из 349 рабочих товарных позиций осталось 290; при этом изменена их структура - расширен ассортимент чая с низкими ценами за счет сокращения неперспективных марок среднего и нижнего ценового сегментов.

На рисунке 9 представлена структура ассортимента чая по ценовым категориям до и после изменений.

а)б)

Рисунок 9- Структура ассортимента чая до и после проведенной оптимизации

Для того чтобы выяснить, как изменение структуры ассортимента чая повлияло на изменение розничных объемов продаж и эффективность использования торговой площади данной группой, необходимо сравнить показатели по розничному обороту до и после изменений.

Оптимизация ассортимента товарной группы «чай» проводились в 2011г. по результатам анализа продаж за период 2010г. В течение оставшегося времени, до конца 2011г. и в начале 2012 г., реализовывалась новая товарная политика, после чего был проведен сравнительный анализ показателей эффективности ассортимента товарной группы «чай» за 2011г. и 2012гг.

Оптимизация выкладки товарной группы чай заключалась в сокращении места для выкладки товаров до 50 метров, увеличив при этом место выкладки под группу товаров фрукты и овощи до 90 м. Так как в данной группе товаров наблюдается постоянный беспорядок выкладки на полках - покупатели часто не видят нужного им товара, маленький метраж полок не позволяет разместить все виды овощей и фруктов.

Проанализируем изменения по эффективности использования торговой площади товарной группой «чай». Данные представлены в таблице 17.

Таблица 17- Сравнительный анализ эффективности использования торговой площади товарной группой чай за 2011 г и 2012 г

2011 г.

Прогноз на 2012 г.

Товарооборот , руб.

Доля продаж, %

Эффективность использования, %

Товарооборот, руб.

Доля продаж, %

Эффективность использования, %

По магазину в целом

По товарной группе чай



По магазину в целом

По товарной группе



56049

3658

6,5

0,36

60305

4500

7,5

0,8

Примечание

1. Длина выкладки бакалейных товаров до оптимизации 95 м., после - 50 м

2. Доля выкладки до оптимизации ассортимента, % - 17,92; после оптимизации-9,4

3. Доля продаж группы определяется отношением товарооборота по товарной группе к общему объему товарооборота, умноженное на 100%

4. Эффективность использования площадей определяется отношением доли продаж группы к доле выкладки группы


Из данных таблицы 17 видно, что после проведения оптимизации торгового ассортимента по товарной группе чай, доля выкладки с 17,92% сократилась до 9,4%, а доля продаж увеличилась с 6,5% до 7,5%, тем самым увеличилась эффективность использования торговых площадей самой проблемной группой в магазине №15 «Ижтрейдинг».

Рисунок 10 - Эффект проведения оптимизации товарной группы чай магазина №15 «Ижтрейдинг»

Наглядно видно, что товарооборот на погонный метр выкладки после оптимизации ассортимента увеличился с 38,51 тыс.руб. до 90 тыс.руб. Что говорит об эффекте проведения и правильности выбора метода оптимизации ассортимента для магазина №15«Ижтрейдинг».

Будущее чайного рынка Удмуртии связано с повышением уровня жизни населения. Вероятны тенденции усиления рыночной силы марочных чаев, рост популярности и расширение сегментов пакетированного и ароматизированного чаев, повышение спроса на «здоровые» напитки - зеленый чай, травяные и лечебные чаи.

Травяной чай - это напиток, составленный из разных частей растений: листьев, цветков, плодов, веток, корней. Чаще всего это освежающий напиток, но травяной чай также может использоваться в качестве профилактического или лечебного средства.

Каким будет травяной чай - это определяют растительные компоненты, входящие в состав сложной чайной смеси.

Травяной чай - универсальный напиток, ценнейшее общеоздоравливающее средство, особенно если он грамотно собран и составлен. В своем главном назначении - утолении жажды - травяные чаи не только не уступают чаю и кофе, но и превосходят их, так как содержат неизмеримо большее количество незаменимых пищевых биологически активных веществ, постоянно поддерживающих химический баланс организма. Известные популяризаторы «зеленой аптеки» Г. и М. Свиридоновы травяные чаи разделили на: поливитаминные, регулирующие обмен веществ (обменные), тонизирующие, успокаивающие, противовоспалительные и универсальные, детские и т.д. Эти безвредные по своей сути напитки можно использовать каждый день.

Чайно-травяные напитки- это смесь чёрного или зелёного чаёв с лекарственными или пряно-ароматическими травами по рецептуре.

Обычно чайные напитки используют как заменители чёрного чая в том случае, когда есть непереносимость к компонентам экстракта чайного листа (дубильных веществ, алкалоидов: кофеина, теобромина).

В мире популярен чай каркадэ - напиток, получаемый из цветков и коробочек гибискуса.

Зачастую делают сложные составные травяные чаи - когда к основной заварке на основе чёрного (реже зелёного) чая добавляется при заваривании один или несколько следующих компонентов:

- листья: черной смородины, малины, лимонника, мяты, душицы, облепихи, зверобоя, черники, крапивы, тысячелистника, земляники, морошки, монарды, бадана и др.;

цветки: липы, ноготков или календулы, мяты, душицы, зверобоя, лабазника или филипендулы, шиповника, мальвы или шток-розы, ромашки аптечной, и др.;

плоды: шиповника, боярышника, барбариса, калины, кизила, рябины, зизифуса или джиды, облепихи, малины, земляники, винограда (изюм или кишмиш), актинидии, яблоко, абрикос, персик, лимон и др.;

плодоножки: морошки, вишни, черешни и др.;

семена: укропа, тмина, кориандра, шиповника и др.;;

корни: лопуха, солодки, девясила и др.

Ассортимент чайных напитков составляет свыше 40 наименований. В зависимости от состава сырья и физиологического воздействия чайные напитки подразделяют на 5 групп:

-   поливитаминные

-        регулирующие обмен веществ в организме

         тонизирующие

         успокаивающие

Одним из направлений является введение в чай листьев и плодов различных лекарственных растений (мяты, душицы, зверобоя, чабреца, плодов тмина, листьев черной смородины, малины, липы и т. д.) в различных пропорциях и соотношениях. Это направление получило название "фиточаи".

Введение в чай различных лекарственных растений позволяет увеличить физиологическую активность исходного напитка. Поскольку лекарственные растения содержат различные витамины и витаминоподобные вещества, фенольные соединения, зольные элементы, органические кислоты и др., то введение их в чай позволяет значительно повысить физиологическую ценность данного напитка.

Далее представим анкетные данные по выявлению спроса на травяные чаи. Анкета проводилась среди потребителей магазина №15 «Ижтрейдинг». В опросе участвовало 1000 чел. Опрос проводился силами сотрудников магазина №15 «Ижтрейдинг» и студентами-практикантами Торгово-экономического техникума. Данные представлены в таблице 18.

Таблица 18 - Анкетные данные по выявлению спроса на травяные чаи

Вопрос

Ответы

Предпочитаете ли Вы пить травяные чаи?

Да 75%

Нет 15%

Какой из перечисленных травяных чаев вы предпочитаете?

- листья: черной смородины, малины, лимонника <#"820634.files/image012.gif">

 

 

Рисунок 11 - Данные опроса респондентов по предпочтеням к чаю

Основываясь на результаты анкетных данных, введем в ассортимент новую позицию - травяные чаи. В таблице 19 представим предполагаемый спрос на чаи и спрогнозируем товарооборот.

Таблица 19 - Эффект от внедрения травяных чаев в товарную группу чай магазина №15 ТГ «Ижтрейдинг»

Предполагаемый спрос на травяной чай,чел.

7248

Средняя цена травяного чая, тыс.руб.

0,075

Товарооборот, тыс.руб.

543,6

Себестоимость, тыс.руб.

380,5

Валовый доход, тыс.руб.

163,1

Издержки обращения, тыс.руб.

30,2

Прибыль от реализации, тыс.руб.

132,9


Из данных таблицы19 видно, что при внедрении новых травяных чаев в магазин №15 товарооборот составит 543,6 тыс.руб., а прибыль от реализации составит 132,9 тыс.руб.

Также в качестве оптимизации ассортимента был применен метод расчета оптимального размера поставки во избежание больших объемов товарных запасов на конец года.

Эффективный порядок заказа товаров может оказаться решающим условием для успешной работы магазина. Чрезмерные запасы товаров связывают капитал, делают убыточными отделы, в которых продается скоропортящаяся продукция, затрудняют движение ходовой продукции и мешают управлению запасами. Они приводят к уменьшению полезной площади магазина и повышают издержки. Но и заказ недостаточного количества товаров также приводит к серьезным последствиям. Отсутствие товара на складе означает уменьшение продаж; потерю прибыли и клиентов. Поэтому важнейшим элементом заказа является определение оптимального количества заказываемых товаров.

Оптимальное количество товаров означает качественное обслуживание покупателей, минимум инвестиций в товары и высокий оборот запасов. Дополнительные выгоды включают уменьшение случаев не- хватки товара, сокращение времени, уходящего на инвентаризацию, уменьшение инвентарного списка (на полках и в подсобках), а также сокращение операций по маркировке товаров при изменении цены.

Базисные решения относительно оптимизации товарных запасов определяются размером единичной партии заказа и частотой завоза. Оптимальный размер заказа определяется по формуле экономичного заказа, которая конструируется, исходя из минимизации суммарных издержек заказа и хранения:

Nопт = (2*P*V) / S

где, Nопт - оптимальный размер заказа (шт.);

P - стоимость выполнения одного заказа: затраты, связанные с получением и размещением груза, его освидетельствование и пр. (руб.);

V - годовая потребность в товаре (шт.);

S - ежегодные издержки хранения товара на складе (руб.).

Определение оптимального размера заказа не имеет смысла, если время его выполнения весьма продолжительно при значительном колебании спроса и нестабильных ценах. Во всех Других случаях определение оптимального размера запаса приведет к уменьшению издержек хранения без потери качества обслуживания.

Следующий вопрос, который встает перед закупщиком категории, - определение момента заказа. Для принятия этого решения используется другая формула, так называемая формула определения точки возобновления заказа:

Тз= (V/365)*tвып        

где, Тз - точка возобновления заказа (количество товара на момент возобновления заказа) (шт.);

tвып - время исполнения заказа поставщиками, проходящее с момента подачи заявки (дн.).

Рассчитаем оптимальный запас товаров для магазина «Ижтрейдинг». данные расчета представлены в таблице 20.

Таблица 20 - Расчет оптимального размера товарного запаса для магазина №15 «Ижтрейдинг»

 

Наименование

Годовое потребление

Расходы по доставке партии товара, руб.

Расходы на хранение единицы товара, руб.

Оптимальный размер партии

Точка возобновления заказа

Частота поставки, раз

 

Вино- водочные изделия

36000

1589

1825

250

394

144

 

Молочная продукция

8367

4589

1658

215

69

39

 

Кондитерские изделия

4853

2345

1245

135

53,2

36,0

 

Фрукты и овощи

4743

3459

2136

124

65,0

38,0

 

Колбасная продукция

2789

1258

2458

53

23,0

53

Чай, кофе

11474

2459

3124

134

63,0

86

Хлебобулочные изделия

16817

3457

2658

209

184

80,46

Консервация

12048

2358

2145

163

99

74

Бакалейные товары

3729

3458

1253

144

31

26


Так, при трехсуточном цикле (чай, кофе) выполнении заказа в момент его возобновления в запасе должно оставаться не меньше 63 единиц товара. Т.е. при снижении запасов товара до 63 шт. необходимо возобновить заказ на 134 шт.

Всякий раз, когда достигается точка возобновления заказа, определяемая 63 шт., инициируется новая поставка и 134 шт. поступают именно в тот момент, когда запас истощается полностью. Однако на практике лучше предусмотреть небольшой избыток или резервный запас, гарантирующий постоянное наличие товара в продаже.

Значительная роль в управлении ассортиментом отводится оптимизации товарных запасов. Величина товарных запасов не должна быть как слишком большой, чтобы не связывать ресурсы предприятия, так и слишком малой, чтобы не возникло проблем с товарным обеспечением категории. Поэтому вопрос количественного измерения величины товарных запасов и определения соответствия их величины потребностям товарооборота является весьма актуальным.

Таблица 21 - Расчет эффекта проведения оптимизации ассортимента методом расчета оптимального размера поставки товаров

Наименование группы

2011 год

Прогноз 2012 г

Темп роста, %


Розничный товарооборот, тыс.руб.

Запасы средние, тыс.руб.

К оборачиваемости

Розничный товарооборот, тыс.руб.

Запасы средниетыс.руб

К оборачиваемости


Вино- водочные изделия

10245

1928,5

5,3

10990,2

1352,3

8,1

52,8

Молочная продукция

9568

3468,8

2,8

10824,2

1300,2

8,3

196,4

Кондитерские изделия

8896

3524,75

2,5

9840

1250,3

7,9

216

Фрукты и овощи

8497

3474,8

2,4

5710

1300,2

4,4

83,3

Колбасная продукция

5441

3395,3

1,6

3550

1211,1

2,9

81,2

Чай, кофе

3658

3959,45

0,9

3050,2

1249,6

2,4

166,7

Хлебобулочные изделия

3489

4469,6

0,8

3370,2

1213,6

2,7

237,5

Консервация

3154

4132,8

0,8

9450

1210

7,8

875

Бакалейные товары

3101

3131,05

0,9

3520,2

1230,4

2,9

222,2

Итого:

56049

31485,05

1,8

60305

11317,7

5,3

194,4

Рисунок 12- Коэффициент оборачиваемости до и после внедрения оптимизации ассортимента в магазине №15«Ижтрейдинг»

Из данных таблицы 21 и рисунка 12 видно, что после внедрения методов оптимизации торгового ассортимента коэффициент оборачиваемости практически по всем товарным группам вырос. Наибольший темп роста коэффициента товарооборачиваемости наблюдается по товарным группам бакалейные товары, консервация, хлебобулочные изделия, чай, кофе. Следовательно, можно сказать об эффективности разработанной системы мероприятий, направленной на оптимизацию и повышение качества управления ассортиментом товаров магазина №15 «Ижтрейдинг».

Чтобы более ясно увидеть картину происходящего представим в таблице 22 эффект от внедрения всех мероприятий.

.3      Эффективность совершенствования управления товарным ассортиментом

Располагая следующими данными: выручка от реализации продукции (товарооборот), полная себестоимость реализованной продукции, издержки обращения, - необходимо определить эффективность проведенных мероприятий по оптимизации ассортимента сравнив показатели за 2010 и 2011гг. Полученные данные представлены в таблице 22.

Таблица 22 - Расчет эффекта от предложенных мероприятий

Показатель

2011г

Прогноз

Абсолютное изменение,(+/-)

Темп роста, %

Выручка от реализации (товарооборот), (тыс.руб.)

56094

60305

+4256

107,5

в том числе: -увеличение товаров ТНП за счет сужения товаров медиум-класса и премиум-класса

-

1667,4

+1667,4

100

-внедрение травяных чаев


543,6

+543,6

100

-внедрение расчета оптимального размера поставки

-

1203

+1203

100

-сокращение выкладки под чай до 50 м


842

+842

100

Покупная стоимость (полная себестоимость, включая НДС),(тыс.руб.)

44863

45243,5

+380,5

100,8

Валовой доход (сумма торговых наценок), (тыс.руб.)

11186

15061,5

+3875,5

134,6

Издержки обращения, (тыс.руб.)

926

956,2

+30,2

103,2

Издержки обращения, % к обороту

1,65

1,59

-0,06

96,3

Прибыль от реализации, (тыс.руб.)

10260

14105,3

+3845,3

137,4


Расчетные данные позволяют судить о том, что мероприятия, направленные на совершенствование структуры ассортимента, имеют положительный результат. Полученный эффект, выраженный в виде прибыли, а также экономическая эффект проекта, характеризуемая прибылью от продаж, служат прямым доказательством правильно выбранной стратегии. Итоговая прибыль предприятия увеличилась на 37,4%.

Заключение

Целью данной дипломной работы являлось провести анализ управления товарным ассортиментом торгового предприятия и разработать мероприятия по совершенствованию управления товарным ассортиментом на примере магазина №15 «ТГ Ижтрейдинг».

Для достижения цели дипломной работы в процессе её выполнение были решены следующие задачи:

изучен теоретический материал и практический опыт совершенствования управления товарным ассортиментом

представлена общая характеристика магазина №15 «ТГ Ижтрейдинг»;

проведен анализ товарного ассортимента магазина №15 «ТГ Ижтрейдинг»;

разработаны мероприятия по оптимизации товарного ассортимента магазина №15 «ТГ Ижтрейдинг».

Структурно дипломная работа включает в себя введение, основную часть, заключение и список литературы.

Теоретической и методологической основой дипломной работы является отечественная и зарубежная литература по предметам товароведения, коммерции, маркетинга, мерчандайзинга, экономического анализа, проблемам товарной политики предприятия.

Для написания работы использованы официальные статистические материалы, нормативные акты, бухгалтерские и статистические данные исследуемого предприятия.

В первую главу дипломной работы были включены теоретические материалы, актуальные для изучения и исследования данной темы дипломной работы.

Во второй главе был проведен анализ экономических показателей деятельности предприятия.

Третья глава диплома включала в себя АВС-анализ товарного ассортимента, анализ товарооборота на погонный метр, анализ использования торговых площадей товарами группы А,В,С. В ходе исследования были выявлены следующие данные:

- при проведенном АВС-анализе торгового ассортимента магазина №15«Ижтрейдинг» за 2009 г. получилось 2 группы товаров А, 3 группы товаров В и 4 групп товаров С.

К товарам группы А относятся: вино-водочные изделия и кондитерские изделия - это те товары , которые дают наибольший удельный вес в товарообороте предприятия. Данные группы товаров необходимо постоянно контролировать, вести ежедневный учет и своевременно планировать.

К товарам группы В относятся следующие группы товаров: молочная продукция, фрукты и овощи, колбасные изделия. Данные группы товаров требуют обычного контроля и налаженного учета.

К товарам группы С относят следующие группы товаров: хлебобулочные изделия, чай,кофе, бакалейные товары, консервация. Это малоценные объекты, требующие упрощенные методы планирования, учета и контроля.

- По данным АВС-анализа за 2010год, в двойку лидеров (товары группы А) вошли товарные группы: вино-водочные изделия и молочная продукция.

Товары группы С включают в себя 3 товарные группы: колбасная продукция, чай, кофе, бакалейные товары.. Товарная группа колбасная продукция в 2010 году переместилась в товарную группу С ( в 2009 году данная товарная группа располагалась в товарной группе В). Хлебобулочные изделия и консервация переместились в 2010 году в товарную группу В - этому послужила оптимизация товарного ассортимента по этим группам, данные товарные группы стали наиболее ценными для магазина, дающие больший товарооборот, нежели товарная группа С. Товарная группа чай, кофе и бакалейные товары так и осталась на прежнем уровне в товарной группе С как в 2009 г так и в 2010 г.

данные АВС-анализа торгового ассортимента за 2011 год говорят о постоянной двойке лидеров ( вино-водочные изделия и молочная продукция) это товары группы А. Товары группы В также занимают 3 группы(кондитерские изделия, фрукты и овощи, колбасная продукция). Товары группы С включают в себя 4 группы, дающие наименьший удельные вес в розничном товарообороте предприятия.

товары группы А имеют наибольший удельный вес в товарообороте предприятия. Так в 2011 году удельный вес товаров группы А снизился с 47% до 35,35. За счет данного изменения товарной группы А происходят и изменения в товарной группе В. Таким образом, за счет снижения товарной группы А в 2011 году происходит увеличение товарной группы В с 28,43% до 40,74%. В товарных группах С также наблюдаются изменения. В 2010 году удельный вес товаров группы С снижается с 24,51% до 20,63% и в 2011 году увеличивается до 23,91%.Предприятию необходимо сокращать товары группы С за счет увеличения товарной группы А и В. Предприятию необходима оптимизация товарного ассортимента

- розничный товарооборот по товарным группам магазина «Ижтрейдинг» в 2011 году по сравнению с 2010 годом увеличился за счет увеличения поступления товаров (95906-33161,2=62744,8 тыс.руб.) и увеличения товарных запасов на начало года(14698-12672=2026 тыс.руб.). Также спаду розничного товарооборота способствует увеличение выбытия товаров на 5782,7 тыс.руб.(6282,9-500,2) и увеличение запасов на конец года на 33574,1 тыс.руб.

Предприятию необходимо снижать выбытия товаров за счет снижения боя, лома, порчи, хищения, недостачи товаров, а также снижать запасы на конец периода путем проведения различных акций в конце и в течение года

- На протяжении большего периода работы предприятия первую двойку лидеров составляют следующие группы: вино-водочные изделия, молочная продукция. Эти группы приносят наибольший вклад в товарооборот магазина. Но из года в год доля товаров группы А снижается.

Полученные данные свидетельствуют о том, что товарами группы «А» эффективно используется торговая площадь магазина. Показатель эффективности более 1 у всех товаров данной группы. Для группы товаров, имеющих показатель эффективности больше 1 - вино-водочная продукция (1,08) и молочная продукция (1,02), но меньшую эффективность, чем товары группы В - необходимо пересмотреть выкладку, ассортимент, а также площадь , занимаемую под данными товарными группами, чтобы увеличить продажи и эффективность использования торговой площади.

В товарной категории группы В эффективно используется площадь следующими всеми группами товаров, таких как: фрукты и овощи, колбасная продукция. Товарная группа кондитерские изделия, имеющая показатель ниже 1 (0,96) неэффективно используется предприятием. Необходима оптимизация ассортиментной группы.

Исходя из данных таблицы, можно сказать о том, что эффективность использования площадей товарами группы С (больше 1) имеют не все товарные группы, такие как: чай и кофе, хлебобулочные изделия, консервация, бакалейные товары. Также стоит заметить, что товарная группа С из года в год увеличивается и ее доля увеличилась в 2010 г. с 20,63% до 23,91% в 2011 г.

Вместе с тем, низкие значения показателя по товарной группе А, которые приносят наибольший товарооборот, но при этом не эффективно используются площади могут говорить не только о сокращении места под выкладку, но и возможности оптимизации ассортимента и пересмотра выкладки.

- наибольший товарооборот с 1 погонного метра приносят следующие группы: кондитерские изделия, фрукты и овощи. Наименьший товарооборот с 1 погонного метра выкладки занимают бакалейные товары, алкогольная продукция, молочные товары, непродовольственные товары.

Из рисунка 20 и 21 наглядно видно, что наименьшая эффективность использования торговых площадей принадлежит товарной группе «бакалейные товары» (0,42), также данная товарная группа имеет наименьший товарооборот с 1 погонного метра (13,69 тыс.руб.). Для увеличения данного показателя необходимо оптимизировать ассортимент, размещение и выкладку товаров.

- коэффициент оборачиваемости по товарным группам магазина №15 «Ижтрейдинг» в 2011 году по отношению к 2010 году снизился на 0,4. Большее снижение коэффициента оборачиваемости наблюдается по вино- водочным и хлебобулочным изделиям. Наглядно видно, что наименьший коэффициент оборачиваемости, который имеет также тенденцию к снижению, наблюдается по товарной группе чай, кофе(1,9 оборота в 2010 г. и 0,9 оборота в 2011 г.). Для увеличения коэффициента оборачиваемости по группам предприятию рекомендуется снижать средние товарные запасы и увеличивать розничный товарооборот.

Для увеличения коэффициента оборачиваемости необходимо снижать запасы на конец периода и увеличивать розничный товарооборот. Это произойдет если темпы роста розничного товарооборота будут опережать темпы роста среднегодовой стоимости товарных запасов.

По итогам исследования, в 4 главе были представлены следующие проблемы в области товарного ассортимента магазина №15 «Ижтрейдинг»:

-    Снижение темпов роста товарооборота и прибыли

-       Неэффективное использование торговых площадей товарной группы чай

-       Наименьший товарооборот на 1 погонный метр выкладки по группе чай

-       Высокий спрос на чай-отсутствие предложения

-       Неудовлетворенный спрос покупателей на товары по товарной группе чай

-       Снижение товарооборачиваемости в связи с увеличением товарных запасов на конец периода в 2011 г по отношению к 2010 г

Основными проблемами в ассортиментной политике магазина является снижение темпов роста товарооборота и прибыли. Сделав АВС-анализ, были выявлены группы, занимающие наибольший удельный вес в структуре товарооборота и наименьший удельный вес. Была выбрана категория чай, так как данная группа является одной из критических, на полках постоянно царит хаос, нет никакой последовательности в выкладке товаров, и преобладают дорогие чаи. Был проведен опрос среди покупателей, в котором был выявлен спрос на чай и масса вопросов о недорогом чае. То есть спрос есть, а предложение отсутствует. Также данная товарная группа имеет низкий коэффициент эффективности использования торговой площади и самый низкий товарооборот на 1 погонный метр.

На основе выявленных проблем были предложены следующие решения:

-  Внедрение расчета оптимальной поставки товаров в магазин

-       Оптимизация товарного ассортимента внутри группы чай

-       Сокращение места выкладки под чай до 50 м и увеличение места выкладки под овощи и фрукты до 90м

-       Расширение товаров группы ТНП за счет сужения товаров групп премиум-класса и медиум-класса

-       Оптимизация выкладки товарной группы чай по производителям, цвету, видам, вкусам и т.д.

-       Внедрение нового товара «Травяные чаи»

В результате внедрения данных мероприятий были достигнуты следующие результаты:

после проведения оптимизации торгового ассортимента по товарной группе чай, доля выкладки с 17,92% сократилась до 9,4%, а доля продаж увеличилась с 6,5% до 7,5%, тем самым увеличилась эффективность использования торговых площадей самой проблемной группой в магазине №15 «Ижтрейдинг».

товарооборот на погонный метр выкладки после оптимизации ассортимента увеличился с 38,51 тыс.руб. до 90 тыс.руб. Что говорит об эффекте проведения и правильности выбора метода оптимизации ассортимента для магазина №15«Ижтрейдинг»

- при внедрении новых травяных чаев в магазин №15 товарооборот составит 543,6 тыс.руб., а прибыль от реализации составит 132,9 тыс.руб.

- после внедрения методов оптимизации торгового ассортимента коэффициент оборачиваемости практически по всем товарным группам вырос. Наибольший темп роста коэффициента товарооборачиваемости наблюдается по товарным группам бакалейные товары, консервация, хлебобулочные изделия, чай, кофе. Следовательно, можно сказать об эффективности разработанной системы мероприятий, направленной на оптимизацию и повышение качества управления ассортиментом товаров магазина №15 «Ижтрейдинг».

Расчетные данные позволяют судить о том, что мероприятия, направленные на совершенствование структуры ассортимента, имеют положительный результат. Полученный эффект, выраженный в виде прибыли, а также экономическая эффект проекта, характеризуемая прибылью от продаж, служат прямым доказательством правильно выбранной стратегии. Итоговая прибыль предприятия увеличилась на 37,4%.

Список литературы

1.     ГРАЖДАНСКИЙ КОДЕКС РОССИЙСКОЙ ФЕДЕРАЦИИ" (ГК РФ) Часть от 30.11.1994 N 51-ФЗ, принят ГД ФС РФ 21.10.1994, действующая редакция

2.      НАЛОГОВЫЙ КОДЕКС РОССИЙСКОЙ ФЕДЕРАЦИИ" (НК РФ)
Часть 1 от 31.07.1998 N 146-ФЗ, (принят ГД ФС РФ 16.07.1998)
(действующая редакция)

3.      Федеральный закон от 08.08.2001 года. № 129-ФЗ «О государственной регистрации юридических лиц и индивидуальных предпринимателей» (в ред. от 02.07.2007 года). - М.: Статут, 2007.

4.      ГОСТ Р 51773-2001 "Розничная торговля. Классификация предприятий".

5.      Бланк И.А. Торговый менеджмент. - М., 2003. - 110 с.

6.      О.В.Памбухчиянц Организация и технология коммерческой деятельности // Москва, 1999

7.      Ф.Котлер Основы маркетинга // Москва, Издательская группа «Прогресс» «Универс», 1993

8.      Я.Т. Васильевна, к.э.н., Основы экономики предприятия Краткий курс. Учебное пособие для студентов вузов и средних специальных заведений экономического направления, специалистов-практиков.

9.      Молоткова Н.В., Соседов Г.А. Организация, технология и проектирование коммерческих предприятий: Учеб. пособие. Тамбов: Изд-во Тамб. гос. техн. ун-та, 2004. 128 с.

10.   Чечевицына Л. Н. Экономика фирмы: Учебное пособие для студентов вузов / Л. Н. Чечевицына, И. Н. Чуев. - Ростов н/Д: Фе-никс, 2006. - 400 с.

11.     Осипова Л.В. Основы коммерческой деятельности. - М., 2003. - 355 с.

12.   Панкратов Ф.Г. Коммерческая деятельность. - М., 2003. - 504 с.

13.   Смагина И.Н., Смагин Д.Л. Организация коммерческой деятельности на предприятиях торговли. - М., 2003. - 310 с.

14.    Сысоева С.А. Книга директора магазина, Москва 2007

15.    Канаян Р., Канаян К. Ассортимент: стратегия и тактика//Новости торговли: Торговое оборудование.2002 №9

16.    Ламбен Ж.-Ж. Менеджмент, ориентированный на рынок. Стратегический и операционный маркетинг. - Спб.:Питер,2004

17.    Парамонова Т.Н., Красюк И.Н. маркетинг в розничной торговле. - М.:ИД ФБК - Пресс, 2004

18.    Канаян К., Канаян Р.Мерчандайзинг Издательство РИП-Холдин 2006 236 стр.

19.    К.А.Раицкий Экономика организации (предприятия)//Москва,2003

20.    Современный маркетинг. Настольная книга по исследованию рынка М., «Финансы и статистика», 1999г.

21.    Снегирева В. Розничный магазин. Управление ассортиментом по товарным кате- гориям. - СПб.: Питер, 2007. - 416 с: ил.

22.    Правила продажи отдельных видов товаров. Экономика и жизнь. - 1998 №6- с.5

23.    Николаева М.А. Теоретические основы товароведения. Учебник для ВУЗов.//Норма,2006

24.    Тимофеева В.А.Товароведение продовольственных товаров / В.А. Тимофеева. Учебник. Изд-е 5-е, доп. и перер. -Ростов н/Д: Феникс2005. - 416 с. (СПО)

25.    Сысоевой С.В., Бузуковой Е.А. «Категорийный менеджмент. Курс управления ассортиментом в рознице», изд-во «Питер», 2007.

26.    Умный мерчандайзинг: Практическое пособие / А. Г. Таборова. - М.: Издательско-торговая корпорация «Дашков и К», 2009. - 160 с.

27.    Журнал Управление магазином/6 июня,2005 г.

Похожие работы на - Организация и управление товарным ассортиментом

 

Не нашли материал для своей работы?
Поможем написать уникальную работу
Без плагиата!
Без нейросетей!