Расчет загрязнения атмосферы вредными веществами г. Владивостока.
Расчет
загрязнения атмосферы вредными веществами города Владивостока
Введение
В данной работе представлена методика расчета концентраций в атмосферном
воздухе вредных веществ, содержащихся в выбросах предприятий и методика расчета
разбавления сточных вод в водотоке. Проведены расчеты для города Владивостока.
При проектировании таких предприятий должны соблюдаться нормы, а так же при
нормировании выбросов в атмосферу реконструируемых и действующих предприятий.
атмосферный воздух сточный вода
1.Физико-географическое описание города
.1
Географическое положение
В работе представлен расчет для города Владивостока - города в Азиатской
части России, административного центра Приморского края, образующего
Владивостокский городской округ. Владивосток расположен на полуострове
Муравьёва-Амурского и островах в заливе Петра Великого Японского моря (рис. 1).
Рис.
1. Владивосток на карте России.
1.2
Население Владивостока
По
оценке на 1 января 2012 года население Владивостока составляло 597 476 человек,
а Владивостокского городского округа - 622 693 человек, из которых 24 773
человека - сельское население. Но население Владивостока в последние годы
стабильно растет и на сегодня составляет уже 630,02 тысячи человек. При этом
растет число родившихся человек (на 4%), а число умерших падает (на 2%).
1.3 Экологическая ситуация
В «Рейтинге экологического развития городов России - 2013», составленном
Минприроды России, Владивосток занял 45-е место среди 85 городов-участников.
Воздух
Во Владивостоке наблюдается высокий уровень загрязнения воздуха,
содержание диоксида азота и формальдегида примерно вдвое превышает предельно
допустимую концентрацию. Неблагополучное состояние воздуха объясняется большим
количеством автотранспорта и объемами выбросов производственных объектов.
Морская акватория
Для Владивостока, с трех сторон омываемого морем, большой проблемой
является высокое загрязнение окружающих его акваторий Амурского и Уссурийского
заливов, пролива Босфор Восточный и, особенно, бухты Золотой Рог, которую в
декабре 2013 года представитель Росгидромета объявил самой грязной акваторией
России.
Так, по данным Государственной сети наблюдений (ГСН), в 2013 году на
протяжении всего периода наблюдений (с апреля по ноябрь) поверхность бухты
Золотой Рог была покрыта плавающим мусором и нефтяной пленкой, процент покрытия
нефтяными пятнами почти повсеместно достигал уровня 91-100 %. Основным
загрязняющим веществом бухты являются нефтяные углеводороды. Отборы проб
показали, что среднегодовая концентрация нефтяных углеводородов в толще воды
бухты Золотой Рог в 2013 году в 3,6 раза превышала предельно допустимый
уровень. А загрязнение нефтяными углеводородами донных отложений в бухте
Золотой Рог превышает предельно допустимую концентрацию в 123 раза. В донных
отложениях скопилось 800 тысяч тонн нефтепродуктов, 16 тысяч тонн цинка, 9
тысяч тонн марганца, 7 тысяч тонн меди и т. д. В результате биопланктон,
обитающий в бухте, ядовит, а употребление в пищу выловленной здесь рыбы -
опасно.
Схожие проблемы, хотя и в меньших масштабах, наблюдаются в проливе Босфор
Восточный, Амурском и Уссурийском заливах.
1.4 Общая характеристика
Тип климата - муссонный.
Среднегодовая температура - 4,9 °C, а разность температур 65 °C. При этом
максимальная температура достигала 33,6 °C, а минимальная 31,4 °C.
Количество осадков в среднем 818 мм, а снежный покров наблюдается 2,6
месяца.
Средняя скорость ветра во Владивостоке равна 6,0 м/с. Влажность воздуха
же 71 %. При этом солнечное сияние наблюдается в течение 2131 часов.
2.Расчет атмосферы
.1 Методика
Максимальное значение приземной концентрации вредного вещества См [мг/м3]
при выбросе газовоздушной смеси из одиночного точечного источника с круглым
устьем достигается при неблагоприятных метеорологических условиях на расстоянии
Хм (м) от источника и определяется по формуле
где А - коэффициент, зависящий от температурной стратификации атмосферы;
M -
масса вредного вещества, выбрасываемого в атмосферу в ед.времени [г/ с];
F -
безразмерный коэффициент, учитывающий скорость оседания вредных веществ в
атмосферном воздухе;
m и n - безразмерные коэффициенты,
учитывающие условие выхода газовой смеси из устья источника выброса;
H -
высота источника выброса над землей [м];
η - безразмерный коэффициент,
учитывающий влияние рельефа местности;
ΔT - разность между температурой выбрасываемой газово-воздушной
смеси (Tc) и температурой атмосферного воздуха
наиболее жаркого месяца (Tв):
V1 - расход газо-воздушной смеси [м3/с],
определяемый по формуле
где D - диаметр устья источника выброса;
Значение коэффициента А, соответствующее неблагоприятным
метеорологическим условиям, при которых концентрация вредных веществ в
атмосфере воздуха максимальна, принимается равным 200 - для Европейской,
территории СССР: для районов РСФСР южнее 50⁰ с.ш., для остальных районов Нижнего
Поволжья, Кавказа, Молдавии; для Азиатской территории СССР, Казахстана,
Дальнего Востока и остальной территории Сибири и Средней Азии.
Значения мощности выброса M и
расхода газовоздушной смеси V1 при
проектировании предприятий определяется расчетом технологической части проекта,
и принимаются в соответствии с действующими для данного производства нормативами.
В расчете принимаются сочетания М и V1, реально имеющие место в течении года при установленных (обычных)
условиях эксплуатации предприятия, при которых достигается максимальное
значение См.
При определении значения ΔT, определяется разность между температурой выбрасываемой
газово-воздушной смеси (Tc) и температурой атмосферного воздуха наиболее жаркого месяца (Tв) по формуле
Значение безразмерного коэффициента F принимается равным 1: для газообразных вредных веществ и
мелкодисперсных аэрозолей (пыли, золы и т.д., скорость упорядоченного оседания
которых практически равна нулю).
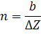
Значения коэффициентов m и n определяются в зависимости от
параметров f, VM, V'M и fe:
Коэффициент m определяется в
зависимости от f по формуле:
при f<100:
Коэффициент n при f<100 определяется в зависимости от
VM по формуле:
при 0,5≤VM<2
Расстояние Хм (м) от источника выбросов, на котором приземная
концентрация при неблагоприятных метеорологических условиях достигает
максимального значения определяется по формуле:
где безразмерный коэффициент d при f<100 находится по формуле:
при 0,5≤VM<2
Значение опасной скорости UМ
(м/ с) на уровне
флюгера (обычно 10 м от уровня земли), при которой достигается наибольшее
значение приземной концентрации вредных веществ, в случае f<100 определяется по формуле:
при 0,5≤VM<2
Максимальное значение приземной концентрации вредного вещества CМи (мг/
м3) при неблагоприятных метеорологических условиях и скорости ветра U (м/ с),
отличающейся от опасной скорости ветра UМ (м/ с), определяется по формуле:
где r - безразмерная величина,
определяется в зависимости от отношения U/UМ по формуле:
при U/UМ≤1
Расстояние до источника выброса XМи (м), на
котором при скорости ветра U и
неблагоприятных метеорологических условиях приземная концентрация вредных
веществ достигает максимального значения, и определяется по формуле:
где p - безразмерный коэффициент,
определяемый в зависимости от отношения U/UМ по формуле:
при 0.25<U/UМ≤1
При опасной скорости ветра UМ
приземная
концентрация вредных веществ C в
атмосфере по оси факела выброса на различных расстояниях X (м) от источника выброса
определяется по формуле:
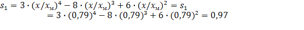
где S1 - безразмерный коэффициент, определяемый в
зависимости от отношения х/хм и коэффициента F по формуле:
при x/xм≤1
при 1< x/xм≤8
при F≤1.5 и x/xм>8
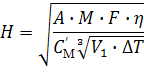
Расчет предельно допускаемого выброса
Расчет мощности источника М [г/ c];
где, Cм' - концентрация, с учетом фоновой концентрации,
рассчитывается по формуле:
Расчет предварительной высоты трубы H [м] производится по формуле:
По найденному значению Н определяются величины f, VM,
V'M и fe, и устанавливаются в первом приближении величины m и n.
Дальнейшее уточнение величины H определяется по формуле:
где mi b ni соответствуют Hi, а mi-1 и ni-1 соответствуют Hi-1.
2.2 Исходные данные
¾ Высота трубы H=30
м;
¾ Размеры устья трубы D=0.8 м;
¾ Скорость ветра U=1.5
м/с;
¾ Объем газовоздушной смеси V1=10м3/с;
¾ Валовой выброс M=5
г/с;
¾ Cпдк=0,45 мг/м3;
¾ Cф=0.11
мг/м3;
¾ Температура выходящих газов Тг=90 ⁰С;
¾ Средняя температура наиболее жаркого месяца Tв=23,2 ⁰С;
.3 Расчет
Максимальное значение приземной концентрации вредного вещества См [мг/м3]
при выбросе газовоздушной смеси из одиночного точечного источника с круглым
устьем достигается при неблагоприятных метеорологических условиях на расстоянии
Хм (м) от источника:
при разности температур
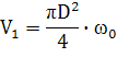
Расчет параметров f, VM, V'M и fe:
где ωο - средняя скорость выхода
газо-воздушной смеси из устья источника определяется по формуле:
Коэффициент m определяется в
зависимости от f по формуле:
Коэффициент n при f<100 определяется в зависимости от
VM по формуле:
при 0,5≤VM<2
Тогда суммарная концентрация, с учетом фоновой концентрации:
Расстояние Х м (м) от источника выбросов, на котором приземная
концентрация при неблагоприятных метеорологических условиях достигает
максимального значения определяется по формуле:
где безразмерный коэффициент d при f<100 находится по формуле:
при 0,5≤VM<2
Значение опасной скорости U М (м/ с) на уровне флюгера, при которой
достигается наибольшее значение приземной концентрации вредных веществ, в
случае f<100 определяется по формуле:
Максимальное значение приземной концентрации вредного вещества CМи (мг/ м3) при
неблагоприятных метеорологических условиях и скорости ветра U (м/ с), отличающейся от опасной
скорости ветра UМ (м/ с), определяется по формуле:
где r - безразмерная величина,
определяется в зависимости от отношения U/UМ по формуле:
при U/ UМ≤1
Расстояние до источника выброса XМи (м), на
котором при скорости ветра U и неблагоприятных
метеорологических условиях приземная концентрация вредных веществ достигает
максимального значения, и определяется по формуле:
где p - безразмерный коэффициент,
определяемый в зависимости от отношения U/ UМ по формуле:
при 0.25<U/ UМ≤1
При опасной скорости ветра UМ
приземная
концентрация вредных веществ C в
атмосфере по оси факела выброса на различных расстояниях X (м) от источника выброса
определяется по формуле:
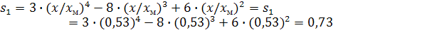
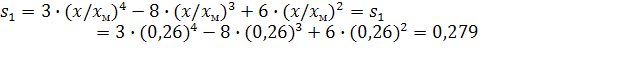
1) x=200;
x/xм=0,26
тогда
тогда
2) x=400;
x/xм=0,53
тогда

3) x=600;
x/xм=0,79
тогда
тогда
4) x=800;
x/xм=1,05
)
тогда
тогда
1) x=1000;
x/xм=0,93
тогда
тогда
Зависимость концентрации вредного вещества от заданного расстояния
приводится на рисунке 2.
Рисунок
2. Зависимость концентрации вещества от расстояния до источника.
Расчет предельно допускаемого выброса
Расчет мощности источника
М [г/ c];
где, Cм' - концентрация, с учетом фоновой концентрации,
рассчитывается по формуле:
Расчет предварительной высоты трубы H [м] производится по формуле:
По найденному значению Н определяются величины f, VM,
V'M и fe:
Уточнение коэффициентов m и n:
при f<100:
Коэффициент n при f<100 определяется в зависимости от
VM по формуле:
при VM>2
Дальнейшее уточнение величины H определяется по формуле:
3.Расчет разбавления сточных вод в водотоке
Методика
Работа промышленных предприятий связана с потреблением воды. Вода
используется в технологических и вспомогательных процессах или входит в состав
выпускаемой продукции. При этом образуются сточные воды, которые подлежат
сбросу в близлежащие водные объекты.
Сточные воды можно сбрасывать в водные объекты при условии соблюдения
гигиенических требований применительно к воде водного объекта в зависимости от
вида водопользования.
Основной механизм снижения концентрации загрязняющего вещества при сбросе
сточных вод в водные объекты - разбавление
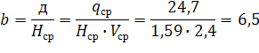
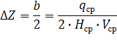
Вычисляется условная площадь поперечного сечения притока δ в месте его впадения по формуле:
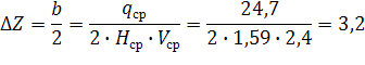
Определение ширины загрязненной струи потока b в нулевом створе
производят по формуле.
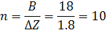
В соответствии с величиной b назначается ширина расчетного элемента ΔZ. Наиболее допустимая величина ΔZ при береговом сбросе сточных вод
находится из соотношения
При выпуске сточных вод на некотором расстоянии от берега или в фарватере
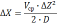
величина ΔZ вычисляется из соотношения
Необходимо соблюдать условие, при котором при назначении величины ΔZ выполнялось бы неравенство:
где B - ширина водотока.
Таким образом, при расчете турбулентной диффузии весь участок потока (от
нулевого створа до расчетного или створа, который нас интересует по условиям
решаемой задачи) делят на клетки со сторонами ΔХ и ΔZ, получая расчетную сетку.
В этом случае число клеток по ширине потока, занятых загрязненной водой в
результате выпуска сточных вод:
Общее число клеток по ширине водотока:
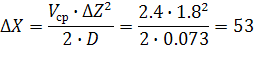
Определить расстояние между расчетными сечениями вдоль водотока:
Строим сечение водотока, определяем распространение концентрации
загрязняющего вещества по длине и ширине водотока, см.табл. 2.
Клетки, попавшие в водоток со сточными водами в начальном поперечнике
(нулевой створ), заполняются числами, выражающими концентрацию загрязняющего
вещества в сточной воде. Остальные клетки заполняются числами, отражающими
естественную концентрацию загрязняющего вещества в водотоке (в частном случае
это может быть нулевая концентрация).
Если протяженность интересующего участка водотока велика, а размеры
клеток малы, то расчет ведут до определенного створа, после чего клетки в
сечении объединяют (укрупняют), получая новые средние значения концентрации
загрязняющего вещества и новые линейные параметры клетки. Значения концентраций
загрязняющего вещества получают как среднее арифметическое из суммы
концентраций объединенных клеток.
Укрупнение клеток можно повторять несколько раз, начиная с определенного
раствора.
3.1 Исходные данные
Определить максимальную концентрацию загрязняющего вещества в водотоке на
расстоянии 500 м от места выпуска сточных вод по схеме плоской задаче. Выпуск
сточных вод = береговой.
Расход сточных вод q ст = 24,7 м3/с;
Водоток характеризуется следующими показателями:
¾ средняя скорость течения Vср = 2,4 м/c;
¾ средняя глубина водотока Hср = 1,59 м;
¾ ширина водотока B = 18 м;
Коэффициент турбулентной диффузии D = 0,073 м2/c;
Концентрация загрязняющего вещества в сточной воде С ст = 100
г/м3.
Пример расчета
Вычисляется условная площадь поперечного сечения притока δ в месте его впадения по формуле:
Определение ширины загрязненной струи потока b в нулевом створе
производят по формуле.
В соответствии с величиной b назначается ширина расчетного элемента ΔZ. Наиболее допустимая величина ΔZ при береговом сбросе сточных вод
находится из соотношения
При выпуске сточных вод на некотором расстоянии от берега или в фарватере
величина ΔZ вычисляется из соотношения
Необходимо соблюдать условие, при котором при назначении величины ΔZ выполнялось бы неравенство:
где B - ширина водотока.
Таким образом, при расчете турбулентной диффузии весь участок потока (от
нулевого створа до расчетного или створа, который нас интересует по условиям
решаемой задачи) делят на клетки со сторонами ΔХ и ΔZ, получая расчетную сетку.
Расстояние между расчетными сечениями вдоль водотока:
ü число клеток по ширине потока, занятых загрязненной водой в
результате выпуска сточных вод:
ü общее число клеток по ширине водотока:
ü общее число клеток по длине водотока:
Строим сечение водотока, определяем распространение концентрации
загрязняющего вещества по длине и ширине водотока (приложение 1).
Библиографический список
1. Экология:
учеб. / Л.В. Передельский, В.И. Коробкин, О.Е. Приходченко. - М.: Проспект,
2008. - 512 с.
. Очистка
атмосферного воздуха: методические указания к практическим
и
лабораторным работам / сост.: С.В. Белькова, В.В. Аккерман. - Омск, 2002. -
с.
. Экология.
Сборник задач, упражнений и примеров : учеб. пособие для
вузов / Н. А.
Бродская, О. Г. Воробьев, А. Н. Маковский и др. ; под ред. О. Г. Во-
робьева и Н.
И. Николайкина. - 2-е изд., перераб. и доп. - М. : Дрофа, 2006. -
с.
.
Методические указания по определению предельно допустимых выбросов вредных
веществ в атмосферу. - М.: Изд-во МХТИ, 1986. - 46 с.
. ОНД - 86.
Методика расчета концентраций в атмосферном воздухе
вредных
веществ, содержащихся в выбросах предприятий. - Л.: Гидрометеоиз-
дат, 1987. -
93 с.
Методические
основы оценки и регламентирования антропогенного
влияния на
качество поверхностных вод / под ред. А. В. Караушева. - Л.: Гидрометеоиздат,
1987. - 43 с.
. ГОСТ
17.2.3.02-78. Охрана природы. Атмосфера. - М.: Изд-во стандартов, 1983. - 26 с
. ГОСТ
17.1.1.02-77. Охрана природы. Гидросфера. Классификация водных объектов. - М.:
Изд-во стандартов, 1980. - 28 с.
. ГОСТ
17.1.1.01-77. Охрана природы. Гидросфера. Использование и охрана вод. Основные
термины и определения. - М.: Изд-во стандартов, 1980. - 56 с.
. СанПиН
№4630-88 Охрана поверхностных вод от загрязнений. - М.: Гидрометеоиздат, 1988.
- 26 с.
. СанПиН
2.1.4.559-96 Питьевая вода. - М.: Гидрометеоиздат, 1996. - 34 с.
. ГОСТ
2.105-95 ЕСКД. Общие требования к текстовым документам. http://goo.gl/WTxrL
. ГОСТ
2.106-96 ЕСКД. Текстовые документы. http://goo.gl/TiUsH
1.