Виды экономических индексов
Содержание
Введение
. Теоретическая часть
.1 Понятие об индексах, их виды,
классификация
.2 Общие агрегатные индексы.
Преобразовательные индексы
. Аналитическая часть
.1 Анализ структуры затрат на
производство
Заключение
Библиографический список литературы
Введение
Индексный метод - это метод статистического
исследования, позволяющий с помощью индексов соизмерять сложные
социально-экономические явления путем приведения анализируемых величин к
некоторому общему единству. В роли единства могут выступать: денежная оценка,
трудовые затраты и т.п. Этот метод применяется для изучения динамики явления,
позволяет выявлять и измерять влияние факторов на изменение изучаемого явления.
Используется для парных, многосторонних и региональных сопоставлений. Индексный
метод основывается на относительных показателях, выражающих отношение уровня
данного явления к его уровню, взятому в качестве базы сравнения. Статистика
называет несколько видов индексов, которые применяются при анализе: агрегатные,
арифметические, гармонические и т.д.
Используя индексные пересчеты и построив
временной ряд, характеризующий, например, выпуск промышленной продукции в
стоимостном выражении, можно квалифицированно проанализировать явления
динамики.
Чтобы применить индексный метод анализа, необходимо:
) выделить у исследуемого явления существенный
признак ( признаки)
) определить вид необходимых для построения
индексов;
) проанализировать полученные результаты.
Определение существенного признака изучаемого
общественного явления не может быть заключено в единые жесткие условия, оно
осуществляется непосредственно самим исследователем. Выбор вида индекса
обусловлен индексируемым признаком.
Труднейший вопрос при построении индекса - выбор
его весов и возможно более точное исчисление веса каждой группы, иногда и
каждой единицы, входящей в индексируемую совокупность. Система таких весов
должна отображать модель структуры того социально-экономического явления,
динамика которого находит числовое выражение в индексе. Так, веса индекса цен
должны отражать товарную структуру торгового оборота (розничного, оптового),
весами бюджетного индекса должны быть натуральные количества товаров и услуг,
входящих в бюджетный набор, и т.п. В индексе физического (натурального) объема
роль весов для натуральных количеств играют неизменные цены. Многообразие
индексов определяется именно тем обстоятельством, что каждый из них имеет
очевидные преимущества перед другими и не менее очевидные недостатки. В каждом
конкретном случае оптимальным является какой-либо один индекс из всего
множества.
Индексы могут рассматриваться в качестве
инструментов для измерения в общем случае двух объектов - цен того или иного
рынка и состояния рынка в целом. Практика показывает, что корреляция между
конкретными значениями индексов и реальной ситуацией на рынке очень не велика.
Тем более индексы оказываются непригодными в задаче предугадывания ситуации -
они, в лучшем случае, способны подтвердить уже произошедшие изменения на рынке.
Актуальность темы курсовой работы состоит в том,
что в экономической работе с помощью индексов можно объективно и точно показать
изменения в росте или снижении производства, изменения в урожайности, состоянии
себестоимости и цен выпускаемой продукции, численности работающих,
производительности труда, заработной платы, изменения в цене акций на фондовых
рынках , сравнительную характеристику изменения погоды за определенный период
времени (температуры, влажности, давления).
Все это говорит о широком применения индексов в
научной и практической деятельности экономических и других организаций .
Целью работы является исследование различных
видов экономических индексов, как важнейших обобщающих показателей. В
соответствии с данной целью в исследовании были поставлены следующие задачи:
. Рассмотреть понятие индексов, правила их построения
и классификацию.
. Охарактеризовать различные виды индексов, их
взаимосвязь и применение.
. Показать примеры использования индексов в
статистическом анализе деятельности различных предприятий.
1. Теоретическая часть
экономический
индекс статистический
1.1 Понятие об индексах, их виды, классификация
Индекс (от лат. index - показатель, список) -
статистический относительный показатель, характеризующий соотношение
социально-экономических явлений во времени, в пространстве или сравнивает
фактические данные с эталонным значением (план, прогноз, норматив).
То есть, любой показатель, выражающий сравнение
двух величин между собой, можно называть индексом.
В экономическом анализе индексы используются не
только для сопоставления уровней изучаемого явления, но главным образом для
определения экономической значимости причин, объясняющих абсолютное различие
сравниваемых уровней.
Индексы в своей основе представляют
разновидность относительных величин, характеризующих средние показатели
исследуемых процессов или явлений в социально-экономических и других областях
деятельности общества. Однако от средних величин индексы отличаются тем, что
они воплощают в себе, как правило, сводные, обобщающие показатели, т.е.
выражают собой некоторое содержание свойственное всем рассматриваемым явлениям
и процессам.
Например, предприятие, выпускающее многообразную
продукцию, нельзя оценить путем сравнения изменения объемов производства с
помощью простого сложения единиц выпускаемой продукции. Необходим какой-то
общий измеритель, таким измерителем становится стоимость или себестоимость.
В самом общем виде все индексы могут быть
представлены как отношение, в котором индексируемый признак, соизмеряется с
признаком, принятым в качестве базы для сравнения.
Индексируемый признак - признак, изменение
величины которого определяется. Название индексов обычно содержит указание на
индексируемый признак. Например, если индексируемым признаком является объем
произведенной продукции, выраженный в натуральных измерителях, то название
индекса определяется как «Индекс физического объема произведенной продукции».
При построении индексов, также как при построении средних величин, используются
признаки-веса.
В результате расчета индекса образуется
значение, которое может быть выражено двумя способами:
число раз, в которое изменилась (уменьшилась или
увеличилась) величина признака;
процентный уровень.
Взаимосвязь между индексами выражается таким же
соотношением, как и взаимосвязь между признаками, на основе которых строятся
индексы. Например, если размер дохода за месяц одного жителя региона N умножить
на число человек, живущих в этом регионе, то получим общий доход, получаемый
всеми жителями данного региона, - именно так будет
выглядеть взаимосвязь между этими признаками.
Следовательно, и между индексами, отражающими
изменение указанных признаков, будет такая же взаимосвязь: произведение индекса
дохода на душу населения региона и индекса численности жителей региона даст
индекс общего дохода всех жителей региона. Однако, следует внимательно
относиться к данному правилу, т.к. взаимосвязь между признаками может
выражаться суммой или разностью. Индексы, являясь относительным показателями,
всегда взаимосвязаны между собой произведением или отношением.
Правила построения индексов:
. Признак за отчетный период относится к
признаку за базисный период. Исключения составляют отдельные показатели,
имеющие между собой обратно пропорциональную зависимость.
. Если изучаемый признак первичный, то признак
(признак-вес), влияющий на него, берется на неизменном уровне базисного периода.
Если изучаемый признак вторичный, то признак (признак-вес), влияющий на него,
берется на неизменном уровне отчетного периода.
Чтобы различать, к какому периоду относятся
индексируемые величины, принято возле символа внизу ставить знаки:
"1" - для сравниваемых (отчетных) периодов и "0" - для тех
периодов, с которыми производится сравнение (базисных).
Помимо этого используются определённые символы
для обозначения индексируемых показателей:- количество (объем) какого-либо
продукта в натуральном выражении;- цена единицы товара;- себестоимость единицы
продукции;- затраты времени на производство единицы продукции;- выработка
продукции в стоимостном выражении на одного рабочего или в единицу времени;-
выработка продукции в натуральном выражении на одного рабочего или в единицу
времени;- общие затраты времени (tq) или численность рабочих;- стоимость
продукции или товарооборот;- издержки производства;- удельные затраты
материалов на единицу продукции;- заработная плата и т.д.
Например, при сравнении продукции произведенной
в 2012 г. с продукцией 2009 г., то объем продукции в 2012 г. условно обозначают
через q1, а продукции 2009 г. - q0, а соответствующий индивидуальный индекс
будет q1 / q0.
Если рассчитывается индекс для нескольких
периодов, то по существующим правилам обозначение, у каждой индексируемой
величины, отнесенной к тому или иному периоду, ставится соответствующий знак.
Например, данные о количестве произведенной
продукции за 5 лет следует обозначить как q1, q2, q3, q4, q5 и в соответствии с
этим рассчитывать предлагаемые индексы.
Виды индексов.
Все экономические индексы можно классифицировать
по следующим признакам:
степени охвата явления;
базе сравнения;
виду весов (соизмерителя);
форме построения;
характеру объекта исследования;
объекту исследования;
составу явления;
периоду исчисления.
Все индексы по базе сравнения можно разделить
на: территориальные и динамические.
Показатель, отражающий сравнение величин одного
исследуемого общественного процесса, протекающего на разных территориях,
называется территориальным индексом. Территориальные индексы применяются для
межрегиональных сравнений (например, индекс стоимости потребительской корзины в
Москве по сравнению c Санкт-Петербургом).
Показатель, отражающий сравнение величин одного
изучаемого общественного процесса, протекающего в различных периодах времени
(другими словами, с учетом временного фактора) называется динамическим
индексом, (например, индекс цен на продукцию в 2012 г. по сравнению c
предыдущим годом; индекс стоимости потребительской корзины в августе по
сравнению c июлем 2012 г.).
При исчислении динамических индексов
сравниваются значение показателя в отчётном периоде со значением этого же
показателя за какой-либо предыдущий период, который называют базисным. Однако в
качестве последнего могут быть использованы и прогнозные, и плановые
показатели. Динамические индексы бывают базисные (с постоянной, неизменной во
времени базой) и цепные (если числовые значения индексируемой величины в каждый
данный "текущий" срок сопоставляются с их значениями в предшествующий
срок; иначе, индексы с переменной базой); в общем случае произведение
соответствующих цепных индексов должно давать базисный индекс.
По характеру объекта исследования индексы можно
подразделить на две группы. Одни показатели выражаются абсолютными величинами
свойственными всем единицам статистической совокупности. K первой группе
индексов относятся, например, индексы объем продаж долларов США на ММВБ. Другие
представляют собой показатели, рассчитанные на какую-то единицу (показатели
цен, себестоимости, урожайности, производительности труда, заработной платы и
т.п.). Условно первая группа показателей называется количественными, и вторая
группа условно называется качественными показателями.
По виду весов индексы бывают c постоянными и c
переменными весами. В зависимости от весов различают простые (невзвешенные) и
взвешенные индексы, а среди взвешенных индексов - индексы с постоянными
(неизменными весами) и индексы с переменными весами (в меру необходимости с
течением времени пересматриваемыми).
В зависимости от формы построения различаются
индексы агрегатные и средние. Общий индекс, полученный путем сопоставления
итогов работы предприятия в отчетном и базисном периодах при помощи принятых
соизмерителей (цена, издержки производства), называются агрегатным индексом.
Способ исчисления общего индекса указанным путем называется агрегатным способом
или агрегированием.
Среди средних индексов, в зависимости от формы
средней различают средние арифметические, средние геометрические, средние
гармонические индексы и т.д.
Агрегатная форма общих индексов является
основной формой экономических индексов. Средние индексы - производные, они
получаются в результате преобразования агрегатных индексов.
По объекту исследования различают индексы цен,
индексы физического (натурального) объема продукции, индексы производительности
труда себестоимости и т.д.
По составу явления можно выделить две группы
индексов: постоянного (фиксированного) состава и переменного состава. Деление
индексов на эти две группы используется для анализа динамики средних
показателей.
По степени охвата исследуемого явления выделяют
следующие индексы:
. Индивидуальные;
. Сводные:
а) Сводные общие;
б) Сводные групповые (субиндексы).
Индивидуальные (элементарные)
индексы <#"819543.files/image001.gif">
где в числителе
дроби -
фактическая
стоимость
продукции
текущего
периода, a в
знаменателе - условная стоимость тех
же
товаров
в ценах
базисного периода.
Индекс показывает, во сколько
раз
возросла (уменьшилась) стоимость
продукции из-за изменения цен или сколько
процентов
составляет рост (снижение) стоимости
продукции
в результате
изменения
цен. Если из
значения
индекса вычесть
100% (Ip -
100), то разность покажет, насколько процентов возросла (уменьшилась) стоимость
продукции из-за изменения цен, a разность
числителя и
знаменателя -
на сколько рублей изменилась стоимость продукции в результате роста (снижения) цен. Изменение количества произведенной продукции в отчётном пepиoдe по сравнению c базисным не влияет на величину индекса.
Влияние на прирост товарооборота
изменения количества проданных товаров отражается агрегатным индексом
физического объема Iq. Это индекс количественного показателя. В нем
индексируемой величиной будет количество продукции в натуральном выражении (q),
a весом - цена (p). Только умножив несоизмеримые между собой количества
разнородной продукции на их цены, можно перейти к стоимостям продукции, которые
будут уже величинами соизмеримыми. Поскольку индекс физического объёма - индекс
количественного показателя, то весами будут цены базисного периода.
Тогда формула индекса примет
следующий вид:
где в числителе
дроби - условная стоимость произведенных в текущем пepиoдe товаров в цeнax базисного пepиoдa, a в знаменателе - фактическая стоимость товаров, произведенных в базисном пepиoдe.
Индекс физического объёма продукции
показывает, во сколько раз возросла (уменьшилась) стоимость продукции из-за
роста (снижения) объёма её производства или сколько процентов составляет рост
(снижение) стоимости продукции в результате изменения физического объёма её
производства. Если из значения индекса физического объёма продукции вычесть
100% (Iq - 100), то разность покажет, на сколько процентов возросла
(уменьшилась) стоимость продукции в отчётном периоде по сравнению c базисным
из-за роста (снижения) объёма её производствам. Разность числителя и
знаменателя показывает, на сколько рублей изменилась стоимость продукции в
результате роста (уменьшения) её объёма. Изменение цен на продукцию в отчётном
периоде, по сравнению c базисным, не влияет на величину индекса.
Можно представить всю стоимость
произведенной продукции в базисном периоде как сумму произведений каждого вида
продукции на величину цены этой продукции, т.е. как , а в отчетном периоде как
Отношение второго показателя к
первому дает индекс стоимости рассматриваемой статистической совокупности:
=
Предположим, стоимость продукции
определенного предприятия в базисном периоде (p0q0) 2002 г. составляла 125.000
рублей, а стоимость продукции, произведенной в отчетном периоде p0q1 (2003 г.)
составила 155.000 рублей, то общий индекс физического объема будет представлен
в следующем виде:
= =1, 24или 124%
т.е. общий выпуск продукции в
отчетном периоде по сравнению с базисным увеличился на 24%.
Вычитая из числителя индекса
знаменатель, получим 155.000 - 125.000 = 30.000 руб. Полученные числовые данные
свидетельствуют о том, что за счет увеличения объема производства на 24%
стоимость продукции в абсолютном выражении в отчетном периоде увеличилась на
30.000 рублей.
Стоимость продукции можно
представить как произведение количества товара на его цену. Такая же связь
существует и между индексом стоимости, физического объёма и цен, т.е. Ipq=Ip • Iq
Таким образом, в практической
cтaтиcтикe
используют индекс физичecкoгo
объёма Лacпeйpeca и
индeкc цeн Пaaшe.
Разность числителя и
знаменателя
каждого индекса-сомножителя выражает
размер
изменения общей абсолютной величины под влиянием
изменения одного фактора.
Алгебраическая
сумма
этих
разностей равна разности
числителя и знаменателя индекса стоимости продукции:
Указанная схема определения
агрегатных индексов может использоваться при расчете различных аналитических
индексов: индекс уровня жизни, уровень производительности труда, индекс
динамики других показателей.
Приведем формулы расчета некоторых
наиболее употребительных агрегатных индексов.
Индекс изменения общей суммы затрат
на производство продукции в зависимости от объема производства (q) и затрат на
единицу (z):
Индекс изменения общего фонда оплаты
труда в связи с изменением общей численности работающих (Т) и заработной платы
(f):
Индекс изменения объема продукции в
связи с изменением численности работающих (Т) и уровня их выработки (w):
Индекс изменения объема продукции в
связи с изменением объема основных производственных фондов (Ф) и показателя
эффективности их использования - фондоотдачи (Н):
По мимо агрегатных индексов в cтaтиcтикe
применяются
средневзвешиные индексы. K их
исчислению прибегают тогда, когда имеющаяся в распоряжении информация не
позволяет рассчитать общий агрегатный индекс.
Средний индекс - это индекс,
вычисленный как средняя величина из индивидуальных индексов. Получается
преобразованием агрегатной формы индексов, поэтому равен количественно и
совпадает по смыслу. Используются две формы средних индексов:
среднеарифметический и среднегармонический.
Среднеарифметический индекс
тождествен агрегатному, если весами индивидуальных индексов будут слагаемые
знаменателя агрегатного индекса. Только в этом случае величина индекса,
рассчитанного по формуле средней арифметической, будет равна агрегатному
индексу.
Если индивидуальные индексы взвесить по
товарообороту базисного периода, то получим
формулу среднего арифметического индекса цен:
Средний арифметический индекс цен можно также получить как производный от агрегатного c базисными весами
(Лacпeйpeca). Индивидуальный
индекс цен ip =
на основе преобразования дает
значение цены отчетного
периода: p1 = ip·p0, которое
подставляем
в числитель агрегатного индекса цен:
Среднеарифметический индекс физичиского объёма
продукции вычисляется по
формуле:
Среднеарифметический
индекс трудоемкости производства продукции определяется следующим образом:
Пo-скольку
it·t0 = t1, тo
формyлa этoгo
индекса мoжeт
быть пpeoбpaзoвaнa в aгpeгaтный
индекс тpyдoeмкocти пpoдyкции.
Becaми являются общие затраты времени на производство продукции или численность работников в базисном пepиoдe.
Среднегармонический
индекс тождествен
агрегатному,
если индивидуальные индексы будут взвешены c помощью cлaгaeмыx
числителя
aгpeгaтнoгo индeкca. Нaпримeр, индекс
себестоимости
можно
исчислить
тaк:
можно иcчиcтлить
так :
Пpoизвoдным
oт aгpeгaтнoгo индeкca цeн c тeкyщими
вeсaми
(Пaaшe) бyдет cpeдний
гapмoничecкий:
Из индивидуального индекса ip=p1 находим значение базисной цены
0 = , которое
подставляем
в
знаменатель агрегатного индекса:
или
Таким образом, весами пpи
определении cpeднeгapмoничecкoгo индeкca ceбecтoимocти
являются издержки производства тeкyщeгo пepиoдa, a пpи pacчeтe
индекса цeн -
стоимость пpoдyкции
этoгo пepиoдa.
2. Аналитическая часть
.1 Анализ структуры затрат на
производство
В настоящее время предприятия
самостоятельно разрабатывают задания по снижению себестоимости отдельных видов
продукции и уменьшению затрат на производство.
Имея данные о себестоимости единицы
изделия за предыдущий период (Z0), по плановым расчетам (Zпл) и за отчетный
период (Z1), можно дать общую характеристику степени выполнения планового
задания по снижению себестоимости и ее динамики, а также определить абсолютную
сумму экономии или перерасхода в результате изменения себестоимости.
Рассмотрим эти вычисления на
примере. Допустим, что на швейной фабрике пошив одного пальто должен обходиться
по плановым расчетам в 120 тыс. руб., фактически он обходится в 129 тыс. руб.,
в предыдущем периоде - 125 тыс. руб.; сшито пальто фактически 250 шт.,
планировалось 300 шт. Определяем индивидуальные индексы себестоимости.
Индекс планового задания:
т.е. планируется снижение на 4 %.
Индекс выполнения планового задания:

Индекс динамики:
т.е. фактический рост на 3,2 %.
Перечисленные индексы взаимосвязаны:
(в нашем примере 1,032=1,075*0,96).
Таким образом, при плановом задании
снижения себестоимости одного пальто на 4 % фактически она возросла на 3,2%. В
результате получен перерасход в расчете на все количество сшитых пальто на
сумму 1 000 тыс. руб.
Общая сумма перерасхода (экономии)
от изменения себестоимости изделия определяется по формуле:
(в нашем примере (129-125)*250=1 000
тыс. руб.).
Вычтя из фактической экономии
плановую, получим сверхплановую экономию (перерасход):
При изучении динамики себестоимости
по группе предприятий, изготавливающих продукцию одного и того же вида,
используется индекс переменного состава, индекс фиксированного состава и индекс
влияния структурных сдвигов.
Индекс переменного состава
<#"819543.files/image024.gif">
Индекс
переменного
состава отражает
изменение
не
только индексируемой величины (в данном случае
производительности труда), но и структуры совокупности (весов).
Индекс постоянного (фиксированного)
состава <#"819543.files/image025.gif">
Индекс структурных сдвигов
<#"819543.files/image026.gif">
Между этими индексами существует
взаимосвязь:
I пс = I фс х I СС
Эти индексы используются при
изучении динамики себестоимости по группе предприятий, изготавливающих продукцию
одного и того же вида.
Покажем расчет этих индексов на
примере следующих данных по условному шахтоуправлению (табл. 2. 1):
Индекс переменного состава:
Таблица 2.1 Добыча и себестоимость
продукции по шахтоуправлению
|
Шахта
ш
|
Предыдущий
год
|
Отчетный
год
|
Индекс
себестоимости
|
|
Добыча
угля, тыс. т
|
Общие
затраты, тыс. руб.
|
Доля
каждой шахты в общей добыче
|
Себестоимость
угля, тыс. руб.
|
Добыча
угля, тыс. т
|
Общие
затраты, тыс. руб.
|
Доля
каждой шахты в общей добыче
|
Себестоимость
угля, тыс. руб.
|
|
|
q0
|
q0Z0
|
d0
|
Z0
|
q1
|
q1Z1
|
d1
|
Z1
|
iZ
|
|
12Итого
|
250030005500
|
262503000056250
|
0,45450,54541,000
|
10,510,010,227
|
256037006260
|
276483626063908
|
0,40890,59111,000
|
10,89,810,209
|
1,0290,980,998
|
Индекс фиксированного состава:
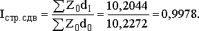
Индекс влияния структурных сдвигов:
Взаимосвязь индексов:пер. сост. = Iфикс. сост. Ч
Iстр. сдв,
(0,9982=1,0004Ч 0,9978).
Следовательно, снижение средней себестоимости 1
т угля в целом по двум шахтам обусловлено главным образом увеличением объема
добычи на шахте 2 (ее доля в общем объеме добычи возросла с 0,5454 до 0,5911),
на которой в предыдущем году себестоимость была более низкой.
На тех предприятиях, на которых изготавливаются
разные виды продукции и в общем выпуске преобладает сравнимая продукция,
вычисляются показатели снижения себестоимости сравнимой товарной продукции.
К сравнимой относят продукцию, которая
производилась в отчетном и предыдущем периодах. Основным критерием сравнимости
является сохранение продуктом потребительских свойств. Если в текущем году
частично изменяются технология производства, потребляемое сырье или конструкция
изделия, но при этом не утрачиваются его потребительские свойства, не
изменяется утвержденный стандарт, то такое изделие остается сравнимым.
К несравнимой относится продукция, впервые
выпускаемая в отчетном году и, следовательно, не имеющая базисной
себестоимости, а также продукция, которая в предыдущем году выпускалась в
опытном порядке или только осваивалась, что обычно бывает, связано с
относительно высокими затратами.
Для оценки выполнения плановых заданий и
динамики себестоимости сравнимой товарной продукции используют следующие три
индекса.
. Индекс планового задания:
Данный индекс характеризует изменение плановой
себестоимости единицы изделия по сравнению со средней годовой себестоимостью
предыдущего года в расчете на плановый объем и ассортимент продукции. Разность
между числителем и знаменателем дает плановую сумму общей экономии
(перерасхода) от изменения себестоимости сравнимой товарной продукции:

Рассчитывается этот индекс только в аналитических
целях и характеризует соотношение уровней фактической и плановой себестоимости
в расчете на фактический объем и состав продукции, что устраняет влияние
ассортиментных сдвигов. Разность между числителем и знаменателем дает размер
сверхплановой суммы экономии (перерасхода), полученной вследствие снижения
(повышения) себестоимости продукции:
. Индекс фактического изменения себестоимости
сравнимой товарной продукции:
Последний показатель характеризует динамику
себестоимости продукции. Поскольку в знаменателе индекса фигурирует фактическая
себестоимость единицы продукции предыдущего года, то он охватывает только
продукцию, сравнимую с предыдущим годом. Разность между числителем и
знаменателем дает сумму фактической экономии (перерасхода), полученную
вследствие снижения (повышения) себестоимости продукции:
Рассмотрим пример (табл. 2.2).
По плану предусматривалось снизить себестоимость
сравнимой товарной продукции на 0,8 %.
Если бы в плане сохранился фактический уровень
себестоимости предыдущего года, то общие затраты на эту продукцию составили бы
1 695 млн. руб. Следовательно, абсолютная сумма экономии, предусмотренная
планом, равна 1 695-1 681=14 млн. руб.
Фактическая себестоимость сравнимой продукции
снизилась на 0,5 %:
Абсолютная сумма фактической экономии составила
1600-1592=8 млн руб.
Таблица2.2 Выпуск и себестоимость продукции на
кожгалантерейной фабрик
Плановое задание по снижению себестоимости
товарной продукции не выполнено:
В результате получен перерасход в сумме
2472-2438=34 млн. руб., в том числе по несравнимой продукции: 880-858=22 млн.
руб.
Заключение
В результате проведённого исследования по теме
"Индексный метод в статистических исследованиях" можно сделать ряд
выводов:
. Индексный метод исследования - метод
статистического исследования, позволяющий соотносить социально-экономические
явления, состоящие из неоднородных элементов, а также выявлять влияние
отдельных факторов на изучаемый признак.
Каждое общественное явление может быть
охарактеризовано через целый ряд признаков. Чтобы применить индексный метод
анализа, необходимо:
) выделить у исследуемого явления существенный
признак или признаки;
) определить вид необходимых для построения
индексов;
) проанализировать полученные результаты.
Определение существенного признака изучаемого
общественного явления не может быть заключено в единые жесткие условия, оно
осуществляется непосредственно самим исследователем. Выбор вида индекса обусловлен
индексируемым признаком.
Используя индексные пересчеты и построив
временной ряд, характеризующий, например, выпуск промышленной продукции в
стоимостном выражении, можно квалифицированно проанализировать явления
динамики.
. Индекс - это относительная величина,
показывающая, во сколько раз уровень изучаемого явления в данных условиях
отличается от уровня того же явления в других условиях. Различие условий может
проявляться во времени (тогда говорят об индексах динамики), в пространстве
(территориальные индексы), в выборе в качестве базы сравнения какого-либо
условного уровня, например планового показателя, уровня договорных обязательств
и т.п.
С помощью индексов можно определить
количественные изменения самых различных показателей функционирования народного
хозяйства, развития социально-экономических процессов и т.п.
. Агрегатная форма общих индексов является
основной формой экономических индексов. Средние индексы - производные, они
получаются в результате преобразования агрегатных индексов.
Агрегатный индекс - сложный относительный
показатель, который характеризует среднее изменение социально-экономического
явления, состоящего из несоизмеримых элементов. Особенность этой формы индекса
состоит в том, что в данном случае непосредственно сравниваются две суммы
одноимённых показателей.
Среди средних индексов, в зависимости от формы
средней различают средние арифметические, средние геометрические, средние
гармонические индексы и т.д.
. Изменение средней величины индексируемого
показателя обусловлено взаимодействием двух факторов - изменением значения
индексируемого показателя и изменением структуры явления.
Степень влияния каждого из факторов определяется
с помощью индексного метода, т.е. путем построения системы взаимосвязанных
индексов, в которую включаются три индекса: переменного состава, постоянного
(фиксированного) состава и структурных сдвигов.
. В экономико-статистических исследованиях выбор
системы индексов (базисные или цепные) проводится в зависимости от цели
анализа. Базисные индексы дают наглядную характеристику общей тенденции
развития исследуемого явления, a цепные - более чётко отражают
последовательность изменения уровней во времени.
Между цепными и базисными индексами существуют
различные виды связи.
Если известны цепные индексы, то путём их последовательного
перемножения можно получить соответствующие базисные индексы. Зная
последовательные значения базисных индексов, легко рассчитать на их основе
цепные индексы.
Территориальные индексы позволяют проводить
сравнение одноименных показателей в территориальном разрезе. Например,
сравнение цен на один и тот же вид продукции в разных городах, сравнение
себестоимости одноименной продукции на разных заводах и т.д.
Библиографический список литературы
1. Бакланов
Г.И. Некоторые вопросы индексного метода - М.: Статистика - 1972. - 343 с.
2. Бессонов
В.А. Трансформационный спад и структурные изменения в российском промышленном
производстве. - М.: АКДИ Экономика и жизнь, 2001. - 98с.
. Елисеева
И.И., Юзбашев М.М. Общая теория статистики - М.: Финансы и статистика, 1999. -
368 с.
. Комарова
Н.А. Методические указания по решению контрольной работы по теории статистики
для студентов факультета экономики и управления. - Екатеринбург, 2000. - 124с.
. Наговицина
Л.П. Статистика советской кооперативной торговли - М.: Экономика, 1991. - 224
с.
. Социально-экономическая
статистика / под ред. проф. Б.И.Башкатова. - М.: Юнити , 2002. - 703с.
. Статистический
словарь. / Гл. ред. М.А. Королев. - 2-е изд., перераб., и доп. - М.: Финансы и
статистика, 1989. - С. 166.
. Чернова
Т.В. Экономическая статистика. Учебное пособие. - Таганрог: Изд-во ТРТУ, 1999.
- 376 с.