Индексы и их использование в экономическом анализе
Оглавление
Введение
. Понятие индексов
. Индивидуальные индексы
. Общие индексы
.1 Агрегатные индексы
.2 Средневзвешенные индексы
. Индексы с постоянными и переменными величинами
. Общие индексы и их применение в экономическом
анализе
Заключение
Библиографический список
Введение
Статистический индексный метод является одним из
основных в анализе экономических процессов.
В нынешних условиях перехода к рынку
статистические исследования необходимы для осуществления эффективной
экономической политики.
Индексы занимают особое положение в статистике и
относятся к важнейшим обобщающим показателям. Они являются незаменимым
инструментом исследования в тех случаях, когда необходимо сравнить во времени
или в пространстве две совокупности, элементы которых являются несоизмеримыми
величинами. Индекс - это показатель сравнения двух состояний одного и того же
явления.
Каждый индекс включает два вида данных:
оцениваемые данные (отчетные), и данные, которые используются в качестве базы
сравнения (базисные). Выбор базы определяется целью исследования.
С помощью индексных показателей решаются
следующие основные задачи:
. Индексы позволяют измерять изменение сложных
явлений. При помощи индексов можно характеризовать изменения во времени
различных показателей, например ВВП, численность работающих, себестоимость,
производительность труда и т. п.
. С помощью индексов можно определить влияние
отдельных факторов на изменение динамики сложного явления. Используя
взаимосвязь индексов, можно установить, например, в какой мере выпуск продукции
возрос за счёт увеличения численности работников и в какой мере - за счёт
повышения производительности труда.
. Индексы являются показателями сравнений не
только с прошлым периодом (сравнение во времени), но и с другой территорией -
сравнение в пространстве, а также с планами, нормативами, прогнозами и т. д.
1. Понятие индексов
Индексы являются относительными величинами,
характеризующими изменение уровней простых или сложных социально-экономических
явлений во времени, пространстве или по сравнению с планом.
В статистике под индексом
понимается относительная величина (показатель), выражающая изменение сложного
экономического явления во времени, в пространстве или по сравнению с планом. В
связи с этим различают динамические, территориальные индексы, а также индексы
выполнения плана.
Многие общественные явления
состоят из непосредственно несопоставимых явлений, поэтому основной вопрос -
это вопрос сопоставимости сравниваемых явлений.
К какому бы экономическому
явлению ни относились индексы, чтобы рассчитать их, необходимо сравнивать
различные уровни, которые относятся либо к различным периодам времени, либо к
плановому заданию, либо к различным территориям. В связи с этим различают
базисный период (период, к которому относится величина, подвергаемая сравнению)
и отчетный период (период, к которому относится сравниваемая величина). При
исчислении важно правильно выбрать период, принимаемый за базу сравнения.
От обычных относительных показателей индексы
отличаются тем, что характеризуют изменение не только простых, но и сложных
явлений. Сложные явления состоят из непосредственно несоизмеримых элементов, а
простые - только из однородных элементов.
Показатель, для которого рассчитывается индекс,
называется индексируемой величиной. Так, в индексе себестоимости индексируемой
величиной является себестоимость, в индексе физического объема - объем выпуска
в натуральном выражении.
С помощью индексов решаются следующие задачи:
. Оценка изменений сложных явлений и отдельных
их частей (например, насколько в текущем периоде изменился объем продаж по
сравнению с предыдущим).
. Определение влияния отдельных факторов на
общую динамику сложного явления (например, влияние изменения цен на объем
продаж), для чего используется индексный анализ.
В практической деятельности используются
разнообразные индексы, которые можно классифицировать по следующим основаниям:
· содержание изучаемых объектов
(характер);
· степень охвата элементов
совокупности;
· методы расчета.
К какому бы экономическому явлению ни относились
индексы, чтобы рассчитать их, необходимо сравнивать различные уровни, которые
относятся либо к различным периодам времени, либо к плановому заданию, либо к
различным территориям. В связи с этим различают базисный период (период, к
которому относится величина, подвергаемая сравнению) и отчетный период (период,
к которому относится сравниваемая величина). При исчислении важно правильно
выбрать период, принимаемый за базу сравнения.
По содержанию индексируемых величин
индексы разделяют на:
- индексы количественных (объемных). К ним
относятся индексы физического объема произведенной продукции, физического
объема потребления и т.д. Индексируемой величиной в таких индексах является
объемный показатель, измеряемый в натуральных единицах.
индексы качественных. Эти индексы используются
для измерения изменения показателя, рассчитываемого на единицу совокупности.
Такие показатели называются качественными и характеризуют интенсивность
изучаемого явления или процесса. Индексируемой величиной в индексах
качественных показателей является уровень явления в расчете на единицу
совокупности. К индексам качественных показателей относятся индекс цен,
себестоимости единицы продукции, трудоемкости, производительности труда и т.д.
По степени охвата элементов
совокупности выделяют три формы индексов:
индивидуальные,
сводные (общие),
групповые (субъиндексы).
Индивидуальные индексы характеризуют изменение
отдельных элементов, входящих в состав сложного явления. Это простая форма
индексов (например, индивидуальный индекс цен отдельного вида товара). Сводные
индексы характеризуют изменение всего сложного явления, выражаемого сложным
показателем. В таком явлении его элементы являются величинами несопоставимыми.
Для решения проблемы несопоставимости индексируемых величин используются
специальные показатели, называемые соизмерителями индексируемых величин
(статическими весами). Групповые индексы (субъиндексы) рассчитываются для
определенной части элементов совокупности. Например, индекс физического объема
по отдельным отраслям или территориям.
По методам расчета классифицируются
только общие индексы. Они делятся на агрегатные и средние. В агрегатных
индексах числитель и знаменатель (величина и база сравнения) представляют собой
набор или агрегат разнородных элементов («aggregatus» - складываемый,
суммируемый). Средние индексы используются в тех случаях, когда данных для
построения агрегатных индексов недостаточно. Они рассчитываются на основе
индивидуальных индексов и делятся на средние арифметические и средние
гармонические индексы.
В международной практике индексы принято
обозначать символами i и I (начальная буква латинского алфавита index). Буквой
«i» обозначаются индивидуальные (частные) индексы, буквой «I» - общие индексы.
Знак внизу справа означает период: 0 - базисный; 1 - отчетный. Помимо этого
используются определенные символы для обозначения индексируемых показателей:-
количество продукции одного вида в натуральном выражении,- цена единицы
продукции,- себестоимость единицы продукции,- выработка продукции на 1-ого
работника или в единицу времени,- трудоемкость единицы продукции.
Индивидуальные индексы обозначаются следующими
символами:i - индивидуальный индекс физического объема,i - индивидуальный
индекс цен,i - индивидуальный индекс себестоимости и т.д.
Общие (сводные) индексы имеют обозначения:I -
общий индекс физического объема,I - общий индекс цен,I - общий индекс
себестоимости и т.д.
2. Индивидуальные индексы
Индивидуальные индексы получаются в
результате сравнения однородных явлений. Например, индекс цен на подсолнечное
масло определяется как отношение цены на этот товар в текущем периоде к цене
базисного периода.
В зависимости от экономического содержания
индивидуальные индексы бывают: физического объема продукции, себестоимости,
цен, производительности труда и т.д.
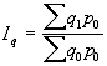
Индекс физического объема продукции iq рассчитывается
по формуле
q = qi
/ q0
где q1 и q0 -
соответственно продукция отчетного и базисного периодов.
В знаменателе может быть не только количество
продукции, произвеенной в каком-то предыдущем периоде, но и плановое значение
(qпл), нормативное (qн), ли эталонное значение, принятое
за базу сравнения (qэ).
Индивидуальные индексы других показателей
строятся аналогично. В частности, индивидуальный индекс цен рассчитывается по
формуле.
статистический индекс агрегатный средневзвешенный
ip = pi/po
где pi
и po - соответственно цена одного вида продукции в отчетном и
базисном периодах.
Этот индекс характеризует изменение цена одного
определенного товара в текущем периоде по сравнению с базисным.
Индивидуальный индекс себестоимости (z) единицы
продукции рассчитывается по формуле
iz = z1/zo
Он также показывает изменение себестоимости
единицы продукции в текущем периоде по сравнению с базисным.
Производительность труда может быть измерена
количеством продукции, производимой в единицу времени (v) или затратами
рабочего времени на производство единицы продукции (t). Поэтому можно
построить:
· Индекс количества продукции,
произведенной в единицу времени:
iv = v1/vo=q1/T1
: qo/To
· Индекс затрат времени на
производство единицы продукции:
it = t1/to
Для характеристики производительности труда
часто используется индивидуальный индекс выработки продукции в стоимостном
выражении на одного рабочего:
w=
wi/wo = ∑ pq1/∑T1 : ∑
pqo/∑To
где p - сопоставимые цены на продукцию (обычно
цены базисного периода).
pq = p1q1/
p0q0
Индивидуальный индекс численности рабочих можно
рассчитать следующим образом:
T=
T1/T0
Он показывает, во сколько раз изменилась
численность рабочих в текущем периоде по сравнению с базисным или сколько
процентов составляет рост (снижение) численности рабочих.
Общие индексы рассчитывают для количественных и
качественных показателей. В зависимости от цели исследования и наличия исходных
данных используют различные формы построения общих индексов: агрегатную и
средневзвешенную.
3. Общие индексы
Общие индексы рассчитывают для количественных и
качественных показателей. В зависимости от цели исследования и наличия исходных
данных используют различные формы построения общих индексов. Общие индексы
отражают изменение всех элементов сложного явления. Под сложным явлением
понимают такую статистическую совокупность, отдельные элементы которой
непосредственно не подлежат суммированию. Это и есть собственно индексы (или
индексы в узком смысле слова). Название индекса фиксируется подстрочным знаком
- принятым обозначением индексируемого показателя. Одна из особенностей
индексов состоит в том, что исследуемый показатель рассматривается не
изолированно, а во взаимосвязи с другими показателями. Они имеют более сложную
методику построения и расчёта. Для того чтобы построить общие индексы,
необходимо соизмерить различные элементы совокупности, т. е. свести их к одному
и тому же единству.
В аналитической теории индексы трактуются как
показатели, необходимые для измерения влияния изменения составных частей,
компонентов, факторов сложного явления на изменение уровней, компонентов,
факторов сложного явления на изменение уровня этого явления. Например,
изменение общей величины товарооборота в текущем периоде по сравнению с
базисным связано как с изменением физического объема продаж товаров, так и с
изменением цен по каждому виду товаров.
Общие индексы являются синтетическими и
аналитическими показателями.
Общие индексы строят для
количественных (объемных) и качественных показателей. В зависимости от цели
исследования и наличия исходных данных используют различные формы построения
общих индексов: агрегатную или средневзвешенную.
3.1 Агрегатные
индексы
Основной формой общих индексов являются
агрегатные индексы.
Агрегатный индекс - сложный относительный
показатель, который характеризует среднее изменение социально-экономического
явления, состоящего из несоизмеримых элементов.
Числитель и знаменатель агрегатного индекса
представляют собой сумму произведений двух величин, одна из которых меняется
(индексируемая величина), а другая остается неизменной в числителе и
знаменателе (вес индекса).
Индексируемой величиной называется признак,
изменение которого изучается (цена товаров, курс акций, затраты рабочего
времени на производство продукции, количество проданных товаров и т.д.). Вес
индекса - это величина, служащая для целей соизмерения индексируемых величин.
За каждым экономическим индексом стоят
определенные экономические категории. Экономическое содержание индекса
предопределяет методику его расчета.
Методика построения агрегатного индекса
предусматривает решение трех вопросов:
) какая величина будет индексируемой;
) по какому составу разнородных элементов
явления необходимо исчислить индекс;
) что будет служить весом при расчете индекса.
При выборе веса индекса принято
руководствоваться следующим правилом: если строится индекс количественного
показателя, то веса берутся за базисный период, при построении индекса
качественного показателя используются веса отчетного периода.
Стоимость продукции - это произведение
количества продукции в натуральном выражении (q) на ее цену (p).
Индекс стоимости продукции, или
товарооборота (
),
представляет собой соотношение стоимости продукции текущего периода (
) к
стоимости продукции в базисном периоде (
) и определяется по формуле:
.
Такой индекс показывает, во сколько
раз возросла (уменьшилась) стоимость продукции (товарооборота) отчетного
периода по сравнению с базисным, или сколько процентов составляет рост
(снижение) стоимости продукции.
Аналогично строятся индексы для
показателей, которые являются произведением двух сомножителей: издержек
производства (произведение себестоимости продукции на количество продукции),
затрат времени на производство всей продукции (произведение затрат времени на
производство единицы продукции на количество выработанной продукции).
Индекс физического объема продукции
- это индекс количественного показателя. В этом индексе индексируемой величиной
будет количество продукции в натуральном выражении, а весом - цена. Только
умножив несоизмеримые между собой количества разнородной продукции на цены,
можно перейти к стоимостям продукции, которые будут уже величинами
соизмеримыми. Так как индекс физического объема - индекс количественного
показателя, то весами будут цены базисного периода. Тогда формула индекса
примет следующий вид:
,
где в числителе дроби - условная
стоимость произведенных в текущем периоде товаров в ценах базисного периода, а
в знаменателе - фактическая стоимость товаров, произведенных в базисном
периоде.
Индекс физического объема продукции
показывает, во сколько раз возросла (уменьшилась) стоимость продукции из-за
роста (снижения) объема ее производства, или сколько процентов составляет рост
(снижение) стоимости продукции в результате изменения физического объема ее
производства.
3.2 Средневзвешенные индексы
Помимо агрегатных индексов в
статистике применяется другая форма - средневзвешенные индексы. К их исчислению
прибегают тогда, когда имеющаяся в распоряжении информация не позволяет
рассчитать общий агрегатный индекс. Так, если отсутствуют данные о ценах, но
имеется информация о стоимости продукции в текущем периоде и известны
индивидуальные индексы цен по каждому товару, то нельзя определить общий индекс
цент как агрегатный, но возможно исчислить общий индекс физического объема
продукции как средневзвешенную величину.
Средний индекс - это индекс,
вычисленный как средняя величина из индивидуальных индексов. Агрегатный индекс
является основной формой общего индекса, поэтому средний индекс должен быть
тождествен агрегатному индексу. При исчислении средних индексов используются две
формы средних: арифметическая и гармоническая.
Во всех случаях, когда информация о физических
объемах в натуральном исчислении отсутствует, для определения изменения
показателей используется средняя форма индексов. В практических расчетах
используются два вида средних индексов:
• средний индекс качественного показателя,
• средний индекс физического объема.
Каждый из средних индексов может быть рассчитан
по формулам средней арифметической взвешенной или средней гармонической
взвешенной.
Средний индекс физического объема используется в
тех случаях, когда отсутствует информация об объемах выпуска в натуральных
измерителях.
Средний арифметический индекс тождествен
агрегатному индексу, если весами индивидуальных индексов будут слагаемые
знаменателя агрегатного индекса. Только в этом случае величина индекса,
рассчитанного по формуле средней арифметической, будет равна агрегатному
индексу. Средняя арифметическая форма индекса физического объема
применяется, когда имеется информация о стоимости реализованной продукции в
базисном периоде, и об индивидуальных индексах физического объема.
Средний арифметический индекс цен, тождественен
агрегатному индексу Ласпейреса:
Весами осредняемых индивидуальных индексов
в этом индексе служит объем товарооборота в базисном периоде (p0q0).
Аналогично индексу цен исчисляются и
средние индексы себестоимости продукции.
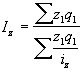
Средний гармонический индекс
тождествен агрегатному, если индивидуальные индексы будут взвешены с помощью
слагаемых числителя агрегатного индекса. Например, индекс себестоимости можно
исчислить так:
,
а средний гармонический индекс цен,
который тождественен формуле Паше, так:
.
Таким образом, весами при определении среднего
гармонического индекса себестоимости являются издержки производства текущего
периода, а индекса цен - стоимость продукции этого периода.
4. Индексы с постоянными и
переменными весами
При изучении динамики коммерческой деятельности
приходится производить индексные сопоставления более чем за два периода.
Поэтому индексные величины могут определяться
как на постоянной, так и на переменной базах сравнения. При этом, если задача
анализа состоит в получении характеристик изменения изучаемого явления во всех
последующих периодах по сравнению с начальным, то вычисляются базисные
индексы. Например, сопоставление объёма розничного товарооборота II, III и
IV кварталов с I кварталом.
Но если требуется охарактеризовать
последовательно изменения изучаемого явления из периода в период, то
вычисляются цепные индексы. Например, при изучении объёма розничного
товарооборота по кварталам года сопоставляют товарооборот II квартала c I, III
- cо II и IV - с III кварталом.
В зависимости от задачи исследования и характера
исходной информации базисные и цепные индексы исчисляются как индивидуальные,
так и общие.
Способы расчёта индивидуальных базисных и цепных
индексов аналогичны расчёту относительных величин динамики. Общие индексы в
зависимости от их вида вычисляются с переменными и постоянными весами -
соизмерителями.
Используя индексный ряд за несколько периодов,
можно получить динамику стоимости продукции и динамику товарооборота в
неизменных ценах, т.е. в ценах какого - то одного прошлого периода. Такие
индексные ряды называются индексами с постоянными весами. Для них действует
правило: произведение цепных индексов даёт индекс базисный.
Цепные и базисные индексы могут
быть как индивидуальные, так и общие.
Ряды индивидуальных индексов
просты по построению. Так, например, обозначив четыре последовательных периода
подстрочными значениями 0, 1,2, 3, исчисляем базисные и цепные индивидуальные
индексы цен:
· Базисные индексы:
· Цепные индексы: 
Между цепными и базисными
индивидуальными индексами существует взаимосвязь, позволяющая переходить от
одних индексов к другим - произведение последовательных цепных индивидуальных
индексов дает базисный индекс последнего периода:
Отношение базисного индекса
отчетного периода к базисному индексу предшествующего периода дает цепной
индекс отчетного периода:
Это правило позволяет применять так
называемый цепной метод, т.е. находить неизвестный ряд базисных индексов по
известным цепным и наоборот. Рассмотрим построение базисных и цепных индексов
на примере агрегатных индексов цен и физического объема продукции.
w Базисные индексы:
· Индексы цен Пааше
(с переменными весами):
· Индексы цен
Ласпайреса (с постоянными весами):
· Индексы физического
объема продукции (с постоянными весами):
w Цепные индексы:
· Индексы цен Пааше
(с переменными весами):
· Индексы цен
Ласпайреса (с постоянными весами):
· Индексы физического
объема продукции (с постоянными весами):
Итак, в базисных агрегатных индексах
все отчетные данные сопоставляются только с базисными (закрепленными) данными,
а в цепных - с предыдущими (в данном случае - смежными) данными.
Период весов во всех индексах цен
Пааше взят текущий (индексы с переменными весами), в индексах физического
объема и индексах цен Ласпейреса - закрепленный (индексы с постоянными весами).
Постоянные веса (не меняющиеся при переходе от
одного индекса к другому) позволяют исключить влияние изменения структуры на
значение индекса.
Ряды агрегатных индексов с
постоянными весами имеют преимущество - сохраняется взаимосвязь между цепными и
базисными индексами, например, в ряду агрегатных индексов физического объема:
Использование постоянных весов в течение ряда
лет позволяет переходить от цепных общих индексов к базисным и наоборот.
5. Общие индексы и их применение в
экономическом анализе
Если известно, что изучаемое явление
неоднородно и сравнение уровней можно провести только после приведения их к
общей мере, экономический анализ выполняют посредством так называемых общих
индексов. Индекс становится общим, когда в расчетной формуле показывается
неоднородность изучаемой совокупности. Примером неоднородной совокупности
является общая масса проданных товаров всех или нескольких видов. Тогда сумму
выручки можно записать в виде агрегата (суммы произведений взвешивающего
показателя на объемный), например:
Отношение агрегатов, построенных для
разных условий, дает общий индекс показателя в агрегатной форме. Так, например,
получают индекс общего объема товарооборота в агрегатной форме:
При анализе прироста общего объема
товарооборота этот прирост также объясняется изменением уровня цен и количества
проданных товаров.
Влияние на прирост товарооборота
общего изменения цен выражается агрегатным индексом цен Ip, который в
предположении первичности изменения количественного показателя (q) и
вторичности - качественного (р) имеет вид
Влияние на прирост товарооборота
изменения количества проданных товаров отражается агрегатным индексом
физического объема Iq , который строится также в предположении первичности
изменения количественных показателей (q) и вторичности влияния качественных
(р):
В форме мультипликативной индексной
модели динамика товарооборота будет выражаться соотношениями
или
где
Если принимается предположение об
очередности влияния факторов - сначала q, а затем р, то общий прирост
товарооборота будет распределяться по факторам следующим образом:
Если же принимается предположение об
обратной последовательности влияния факторов - сначала р, затем q, то меняются
и формулы разложения прироста и формулы расчета индексов Iq и Ip . Тогда
Где
;
.
Примером мультипликативной индексной
модели с большим числом факторов является изменение общей суммы материальных
затрат на производство продукции. Сумма затрат зависит от количества выпущенной
продукции (индекс Iq), удельных расходов (норм) материала на единицу продукции
(индекс In) и цены на материалы (индекс Ip). Прирост общей суммы затрат
распределяется следующим образом:
;
где а величины индексов таковы:
индекс увеличения суммы затрат в
связи с изменением объемов производства продукции (индекс физического объема)
индекс изменения суммы затрат за
счет изменения удельных расходов материала (индекс удельных расходов)
индекс изменения общей суммы затрат,
объясняемого изменением цен на материалы (индекс цен на материалы)
Заключение
Практика применения индексов в
экономике настолько широка, что всего и не перечислишь. С их помощью изучается
динамика любых показателей (в промышленном производстве, в сельском хозяйстве,
в торговой сфере и т.д.), макроэкономика использует в своей практике индекс -
дефлятор (отражает текущий уровень показателя в сопоставимых или базисных
ценах), индексы пространственно - территориального сопоставления позволяют
провести сравнение не динамики, а двух территорий. Это очень удобно с точки
зрения международного исследования.
В практике статистики индексы наряду
со средними величинами являются наиболее распространенными статистическими
показателями. С их помощью характеризуется развитие национальной экономики в
целом и ее отдельных отраслей, анализируются результаты
производственно-хозяйственной деятельности предприятий и организации,
исследуется роль отдельных факторов в формировании важнейших экономических
показателей, выявляются резервы производства, индексы используются также в
международных сопоставлениях экономических показателей, определения уровня
жизни, мониторинге деловой активности в экономике и т.д.
Обычно сопоставляемые показатели
характеризуют явления, состоящие из разнородных элементов, непосредственное
суммирование которых невозможно в силу их несоизмеримости. Например,
промышленные предприятия выпускают, как правило, разнообразные виды продукции.
Получить общий объем продукции предприятия в таком случае нельзя суммированием
количества различных видов продукции в натуральном выражении. Здесь возникает
проблема соизмерения разнородных элементов. В качестве меры соизмерения
разнородных продуктов можно использовать цену, себестоимость или трудоемкость
единицы продукции.
Способы построения индексов зависят
от содержания изучаемых показателей, методологии расчета исходных
статистических показателей, имеющихся в распоряжении исследователя
статистических данных и целей исследования.
Индексные показатели в статистике
вычисляются на высшей ступени статистического обобщения и опираются на
результаты сводки и обработки данных статистического наблюдения.
Библиографический список
1.
Ефимова Ф.Р. , Петрова Е.В., Румянцев В.Н. Общая теория статистики.- М.,
Инфра-М, 2000.
.
Виноградова Н.М., Евдокимов В.Т., Хитарова Е.М., Яковлева Н.И. Общая теория
статистики. - М., Статистика, 2005.
.
Четыркин Е.М. Статистические методы прогнозирования - М., Статистика, 2006
.
Торвей Р. Индексы потребительских цен. Методологическое руководство. Пер. с
англ. - М., Финансы и статистика, 2003.
.
Экономическая статистика: Учебник/ Под ред. Ю. Н. Иванова.- М.: ИНФРА-М, 2007.
.
Башет К.В. Статистика коммерческой деятельности: - М.: Финансы и статистика,
2002.
.
Шмойлова Р.А. Теория статистики - 2-е издание переработанное и дополненное. -
М.: ФИНАНСЫ И СТАТИСТИКА, 2004.
.
Ефимова М.Р., Ганченко О.И., Петрова Е.В. Практикум по общей теории статистики:
учебное пособие - 2-е издание, переработанное и дополненное - М.: ФИНАНСЫ И
СТАТИСТИКА, 2004.
.
Сизова
Т.М. Статистика: Учебное пособие. - СПб.: СПб ГУИТМО, 2005. - 80
с.