Вдосконалення шляхів формування та використання прибутку підприємства (на прикладі ПАТ 'ТНТ')

  • Вид работы:
    Курсовая работа (т)
  • Предмет:
    Эктеория
  • Язык:
    Украинский
    ,
    Формат файла:
    MS Word
    175,58 Кб
  • Опубликовано:
    2015-03-11
Вы можете узнать стоимость помощи в написании студенческой работы.
Помощь в написании работы, которую точно примут!

Вдосконалення шляхів формування та використання прибутку підприємства (на прикладі ПАТ 'ТНТ')















Вдосконалення шляхів формування та використання прибутку підприємства (на прикладі ПАТ «ТНТ»)

ВСТУП

В умовах розвитку ринкових відносин ефективність фінансово-господарської діяльності підприємств пов'язана з раціональним формуванням та розподілом фінансових ресурсів з метою досягнення високих фінансових результатів. Враховуючи різні аспекти планування діяльності підприємства, найважливішим є процес управління прибутком, як процес дослідження і прийняття управлінських рішень за усіма основними аспектами його формування, розподілу і використання.

Прибуток, по своїй суті, являється певним мірилом знань, вмінь, навичок та здатностей підприємця завоювати певне місце на ринку. Адже, керуючись величиною майбутнього доходу, підприємець ладен зробити все, що від нього залежатиме: буде шукати найкращу можливість як, де і кому продати свій товар (виконати роботи, надати послуги тощо).

Дослідження формування прибутку, рентабельності підприємства, валових доходів та витрат, є найважливішим чинником при прийнятті організаційних і господарсько-управлінських рішень, створення сприятливих умов для реалізації планів і програм по нарощуванню прибутку. Іншими словами підприємства повинні чітко уявляти резерви збільшення прибутку, від чого він залежить і які основні параметри.

Актуальність даної теми полягає у з’ясуванні суті прибутку, методів його розрахунку, принципів розподілу та формування прибутку підприємства у ринкових умовах господарювання. Зокрема, на прикладі підприємства ПАТ «ТНТ» виявити та дослідити залежність прибутку від різноманітних факторів, оцінити їх вплив на прибуток даного підприємства.

Метою дослідження є визначення шляхів, та надання пропозицій щодо удосконалення формування і використання прибутку на підприємстві.

Основними завданнями роботи є:

·        розгляд теоретичних аспектів управління прибутком на підприємстві;

·        проведення фінансово-економічного аналізу діяльності публічного акціонерного товариства “ТНТ”;

·        дослідження прибутку на підприємстві;

·        надання практичних рекомендацій щодо управління прибутком на підприємстві, удосконалення факторів, що впливають на величину прибутку, оптимізації прибутку тощо.

Предметом дослідження є формування і використання прибутку на підприємстві.

Об'єктом дослідження є діяльність публічного акціонерного товариства «ТНТ»

Методи дослідження.

У роботі було використано загальнонаукові та спеціальні методи, що дало змогу вирішувати завдання наукового дослідження. Методологічним підґрунтям дослідження став діалектичний метод та системний підхід. Для досягнення мети дослідження використано методи: діалектичного пізнання - для визначення сутності прибутку підприємства торгівлі; порівняльного аналізу - для обґрунтування підходів до економічної сутності прибутку. Нормативну базу дослідження склали чинні законодавчі та нормативні документи. Інформаційною базою дослідження є офіційні статистичні матеріали, дані первинного обліку та звітності підприємства. У процесі дослідження також було використано метод економіко-статистичного аналізу.

РОЗДІЛ 1. ТЕОРЕТИЧНІ ОСНОВИ ДОСЛІДЖЕННЯ ПИТАННЯ ВДОСКОНАЛЕННЯ ШЛЯХІВ ФОРМУВАННЯ ТА ВИКОРИСТАННЯ ПРИБУТКУ ПІДПРИЄМСТВА

управління прибуток економічний

1.1    Суть зміст і значення прибутку


Актуальність дослідження значення прибутку як основного елемента ефективності діяльності підприємства полягає в тому, що саме він являється основним показником ефективності роботи підприємства, джерелом його діяльності. Це основний чинник який впливає на можливість забезпечення багатьох програм підприємства, пов’язаних із розширенням потужностей, підвищенням якості продукції, зміцненням конкурентної позиції та виходом на нові ринки. За рахунок прибутку формуються в значному обсязі бюджетні ресурси держави, здійснюється фінансування для розширення підприємств, соціально-культурних заходів, матеріальне стимулювання працівників тощо.

Дослідженням сутності прибутку як основного елемента ефективності діяльності підприємств займалися багато вчених. Значний внесок у дослідження даної теми зробили такі вчені як: Дуляба Н.І., В. Найт, В.Е.Патон, Сивак О.Б., Пилипчук О. В., Багнюк І.С. та багато інших.

Проте, беручи до уваги поглиблене дослідження даної теми, все ж таки питання ролі прибутку, як результату ефективності діяльності підприємства, залишається невирішеним.

Оскільки прибуток є однією з найскладніших економічних категорій, існує багато трактувань щодо сутності даного поняття. Вчений В. Найт стверджував, що «…можливо жодний економічний термін або поняття використовується в такій неймовірній кількості загальновживаних значень, як прибуток»[1].

Прибуток по своїй суті має якісне і кількісне визначення. Саме в їх змістовній єдності розкривається сутність прибутку, його економічний зміст.

Кількісний результат формування прибутку відображає відображає визначення Покропивного С. Ф., що трактує прибуток як частину доходу, що залишається після відшкодування усіх витрат на виробничу і комерційну діяльність підприємств.

Прибуток - система економічних відносин між підприємцями (роботодавцями, власниками засобів виробництва) і найманими працівниками з приводу виробництва, розподілу та привласнення створеної додаткової вартості, яка відособлюється у вигляді надлишку над витратами вкладеного капіталу. Це якісне вираження його як об’єктивної економічної категорії. Водночас він трактується як результат господарської діяльності окремого підприємства або галузі економіки і визначається різницею між виручкою, отриманою від продажу продукції (послуг), і сумою витрат на її виробництво. Це кількісне визначення даної категорії [2].

Вичерпне трактування значення прибутку дав В.Е.Патон, стверджуючи, що прибуток виникає або за рахунок збільшення доходу, або за рахунок зниження витрат. Вчений намагався поділити прибуток на два види: операційний та фінансовий. Перший виникає в результаті господарської діяльності, другий - прибуток від кон’юктури. Звідси випливає визначення операційного прибутку як доходу підприємства, а витрат як затрат на отримання прибутку[4].

Прибуток, або чистий дохід, фірми - це різниця між валовим доходом (виручкою від реалізації) і сукупними витратами.

Більш повніше сутність досліджуваної нами категорії можна охарактеризувати через функції, які вона виконує. Вони виявляються у такому здійсненні виробничої діяльності, яка полягає у зацікавленості самого підприємства, його власників, кредиторів і працівників в отриманні прибутку, який забезпечує умови для самофінансування підприємства, стимулювання праці працівників і винагороди власників капіталу. Існують розбіжності у поглядах дослідників, щодо функцій, які виконує прибуток, проте історично склалися основні три:

. розподільна функція забезпечує вибір підприємницької діяльності серед альтернативних варіантів. Вона здійснюється утворенням фондів грошових засобів, які забезпечують фінансування прийнятих до реалізації програм. Це дає можливість підтримувати оптимальну структуру капіталу і мінімізує ризик банкрутства;

. стимулююча функція прибутку спрямована на зниження витрат виробництва запровадженням інновацій, що збільшує можливості розширення виробництва і зростання масштабів бізнесу;

. індикативна (інформаційна) функція забезпечує підприємство інформацією з одного боку, про оцінку його діяльності, а з іншого - про наповненість ринку товаром, даючи тим самим економічний сигнал про необхідність збільшувати чи зменшувати обсяги його виробництва [6].

Прибутковість підприємства характеризується абсолютними і відносними показниками. Абсолютний показник прибутковості - це сума прибутку (збитку). Однак прибуток не може повністю характеризувати діяльність підприємства, оскільки з його величини не видно від якого обсягу виробництва така сума прибутку отримана. Тому визначається відносний показник прибутковості - рентабельність.

Рентабельність підприємства обчислюють як відношення прибутку до вартості основних виробничих та оборотних засобів, виражене у відсотках.

Показники рентабельності не мають певних нормативних значень, однак позитивним є збільшення даних показників. Чим вище значення коефіцієнта рентабельності, тим краще. Збільшення коефіцієнта протягом звітного періоду свідчить про покращання результатів діяльності підприємства, а зменшення - про погіршення.

На формування величини та якості операційного прибутку впливають такі чинники як: обсяг та структура виробництва, обсяги реалізації, витрати, ціна та собівартість. Тому для того, щоб підприємство отримало належний прибуток першочергово потрібно визначити яка саме продукція користується попитом серед населення і врахувати запити споживачів, а також врахувати корисність і якість обраного товару, які будуть впливати на ціну і формування попиту, які забезпечать прибутковість підприємству в майбутньому. Також постійно вести наукові дослідження з аналізу ринку, поведінки споживачів і конкурентів, приділяти більше уваги дизайну продукції, упаковці, а також рекламі. Усувати канали з втрати прибутку (виплата різних штрафів, пені, неустойок), чітко і своєчасно виконувати угоди з поставок продукції, підвищувати оптові та інші відпускні ціни на продукцію, але так, щоб ці ціни відповідали якості продукції[7].

Отже, значення прибутку як основного елемента ефективної діяльності підприємств є дуже вагомим, адже показує наскільки ефективно працює підприємство. Проте єдиного визначення поняття прибутку немає, адже воно, насамперед, залежить від цілей, які поставлені на його користувачів. Прибуток як економічна категорія відображає кінцеву грошову оцінку виробничої та фінансової діяльності і є найважливішим показником фінансових результатів підприємницьких структур, їх фінансового стану. Тому прибуток відіграє вирішальну роль у стимулюванні подальшого підвищення ефективності виробництва, посилення матеріальної зацікавленості працівників у досягненні високих результатів діяльності свого підприємства. В отриманні прибутку повинні бути зацікавлені як держава, так і підприємства.

 

1.2 Види та класифікація прибутку підприємства


Розглядаючи інформацію про операції з формування та розподілу прибутку слід зазначити, що власників (засновники, акціонери) цікавить інформація про чистий прибуток, прибуток на акцію, капіталізований прибуток, прибуток , спрямований на споживання;управлінський персонал - про маржинальний прибуток, валовий прибуток, прибуток відокремленого структурного підрозділу, прибуток підприємства як економічної одиниці, прибуток в розрізі видів діяльності, прибуток скоригований на результати ризиків в господарській діяльності, реальний прибуток з урахуванням впливу інфляції; державні органи влади - про прибуток, що підлягає оподаткуванню, частка прибутку, сплачена державними та комунальними підприємствами до бюджету, прибуток звітного періоду; інвесторів - про прибуток звітного періоду; плановий прибуток. Враховуючи те, що класифікацію прибутку необхідно розробити з таким рівнем деталізації, який би дозволив побудувати їх аналітичний облік, здійснити контрольні заходи виходячи з поставлених суб’єктами організації та суб’єктами здійснення контролю завдань, необхідним є виділення наступних класифікаційних ознак прибутку: залежно від складу елементів, що формують прибуток, за характером діяльності суб’єкта господарювання, залежно від характеру оподаткування прибутку, залежно від ступеню розподілу, за характером використання прибутку, залежно від рівня формування, залежно від впливу інфляції, залежно від впливу на величину прибутку ризиків в господарській діяльності. Види прибутку в розрізі виділених ознак класифікації наведені в таблиці 1.

Використання запропонованої класифікації, розробленої з врахуванням інтересів користувачів, дозволить: на теоретичному рівні - удосконалити методологічні засади бухгалтерського обліку та контролю через підходи до визнання та оцінки, на практичному рівні - побудувати на підприємстві відповідну систему аналітичного обліку, яка стане надійним обліковим забезпеченням для проведення аналізу та контролю операцій з формування та розподілу прибутку, а також для здійснення управління. Запропонований підхід до класифікації прибутку для потреб бухгалтерського обліку, аналізу та контролю має на меті забезпечити зацікавлених користувачів з прямим фінансовим інтересом інформацією для прийняття відповідних управлінських рішень.

Таблиця 1. Класифікація прибутку для потреб бухгалтерського обліку,

аналізу та контролю. № з/п

Класифікаційна ознака

Види прибутку

1

Залежно від складу елементів, що формують прибуток

- маржинальний прибуток;  - валовий прибуток;  - чистий прибуток

2

За характером діяльності суб'єкта господарювання

- прибуток від звичайної діяльності(операційна, фінансова, інвестиційна); - прибуток від надзвичайної діяльності

3

Залежно від ступеню розподілу

- прибуток розподілений;   - прибуток нерозподілений

4

За характером використання прибутку

- прибуток , що споживається (розподіляється);    - прибуток, що капіталізується (накопичується)

5

Залежно від характеру оподаткування прибутку

- прибуток, що підлягає оподаткуванню;   - прибутоку, що не податковується

6

Залежно від рівня формування

- прибуток групи підприємств; - прибуток суб'єкта господарювання, що входить в групу підприємств;  - прибуток структурного підрозділу (філіїї, представництва)

7

Залежно від впливу інфляції

- прибуток не скоригований на вплив інфляції (номінальний прибуток); -прибуток скоригований на вплив інфляції ( реальний прибуток)

8

Залежно від впливу на велечину прибутку ризиків в господарській діяльності

- прибуток не скоригований на величину наслідків ризиків в господарській діяльності; - прибуток скоригований на величину наслідків ризиків в господарській діяльності

 

.3 Методи розрахунку прибутку від реалізації


Розрахунок прибутку й рентабельності використовується для складання поточних і перспективних фінансових планів.

Методи визначення суми валового прибутку від реалізації мають свої особливості залежно від напрямку діяльності (виробництво, торгівля, сфера послуг) і широти номенклатури продукції.

У виробництві можуть бути використані три методи розрахунку прибутку від реалізації: 1) прямий; 2) на основі показника витрат на гривню продукції і 3) розрахунково-аналітичний метод.

Метод прямого розрахунку. Він полягає у визначенні прибутку як суми добутків одиничного прибутку за кожним видом продукції на кількість реалізованої продукції:

,

де Р - сума прибутку; j - собівартість одиниці продукції.

Цей метод використовують підприємства, що мають порівняно невелику номенклатуру продукції, бо він є досить трудомістким.

Розрахунок прибутку на основі показника витрат на одну гривню продукції. Це укрупнений метод, що використовують малі й середні підприємства, а також у випадку великої номенклатури й невизначеності структури попиту на продукцію (послуги). Метод передбачає використання даних про витрати на гривню продукції за попередній період і очікувану зміну цих витрат у плановому періоді:

Р = Вплан - [Вплан ´(Зотч -ДЗ)],

де Вплан - обсяг реалізації продукції в плановому періоді в цінах виробника;

Зотч - витрати на гривню продукції звітного року (визначаються розподілом собівартості продукції на обсяг реалізації);

ДЗ - зниження витрат на гривню реалізованої продукції в плановому періоді;

план ´(Зотч -ДЗ)] - повна собівартість реалізованої продукції.

Розрахунково-аналітичний метод. Розрахунок прибутку по цьому методі здійснюється окремо по порівнянній і непорівнянній продукції. Порівнянна - це продукція, що провадилася на підприємстві в попередньому періоді. Розрахунок прибутку по порівняній продукції здійснюється з урахуванням зниження собівартості за основними техніко-економічних факторами:

-        підвищення технічного рівня виробництва;

-        вдосконалення організації виробництва й праці;

         зміна обсягів і структури випуску продукції.

Прибуток від реалізації непорівнянної продукції, що не вироблялась на підприємстві в поточному році, може бути розрахована прямим методом, якщо для цього є вихідні дані. Коли такі дані відсутні, можуть бути використані дані про середню рентабельність реалізованої продукції в цілому по підприємству

Незважаючи на те, що абсолютна сума прибутку є дуже важливим показником, але цей показник не відображає ефективності використання всіх ресурсів підприємства.

Рентабельність визначається як відношення прибутку до ресурсів на його одержання. Залежно від поставлених завдань використовуються ті або інші показники рентабельності. Основні показники рентабельності можна об'єднати в наступні три основні групи:

) показники рентабельності основних видів продукції;

) показники рентабельності інвестицій (активів);

) показники рентабельності стосовно чистих грошових потоків.

Найбільше часто використовуються показники рентабельності продажів, рентабельності стосовно собівартості, рентабельності власного капіталу й рентабельності активів. Залежно від значення показників прибутку й витрат може бути використаний і цілий ряд інших показників рентабельності.

1.4 Інформаційне забезпечення та короткий огляд літературних джерел


1. Покропивний С.Ф., Колот В.М. Підприємництво: стратегія, організація, ефективність: Навч. Посібник. - К.: КНЕУ, 2005. - 350 с

Багнюк І.С. Економічна суть та значення прибутку в сучасних умовах і його оподаткування [Електронний ресурс] - Режим доступу: www.nbuv.gov.ua/portal/soc...4.../zbirnuk_O_FN_4has_1_6.pdf

. Проскурін П.В. Історія економіки та економічних учень. Економічна історія індустріальної цивілізації : навч. посібн. / П.В. Проскурін. - Вид. 2-ге, [перероб. та доп.]. - К. : Вид-во КНЕУ, 2008. - 400 с.

. Фінанси підприємств : Навч.-метод. посібник для самост. вивч. дисц./ Л.Д. Буряк , Є. В. Вакуленко А.П. Куліш. -К.: КНЕУ, 2006.-165 c..

. Азаренкова Г.М., Журавель Т.М., Михайленко Р.М. Фінанси підприємств: Навч. посібник для самостійного вивчення дисципліни / Азаренкова Г.М., Журавель Т.М., Михайленко Р.М. - К.: Знання-Прес, 2009. - 299 с.

. Генеза ринкової економіки (політекономія, мікроекономіка, макроекономіка, економічний аналіз, економіка підприємства, менеджмент, маркетинг, фінанси, банки, інвестиції, біржова діяльність, планування). Терміни. Поняття. Персоналії.: Навч.екон.слов.-довід./ За ред. Г.І. Башнянина. -Л.: Магнолія плюс, 2004.-682 c.

РОЗДІЛ 2. ДОСЛІДЖЕННЯ ТА АНАЛІЗ ШЛЯХІВ ФОРМУВАННЯ ТА ВИКОРИСТАННЯ ПРИБУТКУ ПІДПРИЄМСТВА НА ПРИКЛАДІ ДІЯЛЬНОСТІ ПАТ «ТНТ»


2.1 Коротка характеристика підприємства та його техніко - економічні показники

управління прибуток економічний

Публічне акціонерне товариство «ТНТ» створене на підставі свідоцтва про державну реєстрацію серiя АОО № 727057 ВАТ "ТНТ" зареєстровано Володимирецькою ройонною державною адмiнiстрацiєю 15.01.2004 року. Код ЄДРПОУ - 00379488. Публiчне акцiонерне товариство «ТНТ» є новим найменування Вiдкритого акцiонерного товариства «ТНТ» вiдповiдно до вимог Закону України «Про акцiонернi товариства» .Вiдповiдно до рiшення Загальних Зборiв Акцiонерiв ( Протокол № 01/20011 вiд 07 грудня 2011 року) найменування Товариства було змiнено iз Вiдкритого акцiонерного товариства «ТНТ» на Публiчне акцiонерне товариство «ТНТ» у зв'язку з приведенням дiяльностi Товариства у вiдповiднiсть з Законом України « Про акцiонернi товариства» . Публiчне акцiонерне товариство «ТНТ» є повним правонаступником всiх прав та обов'язкiв Вiдкритого акцiонерного товариства «ТНТ» Пiдприємство є юридичною особою з моменту його державної реєстрацiї, має самостiйний баланс, в банкiвських установах вiдкрито рахунки, має офiцiйну печатку Пiдприємство самостiйно вiдповiдає за своїми зобов'язаннями усiм своїм майном. Акцiонери не вiдповiдають за зобов'язаннями пiдприємства i несуть ризик збиткiв, пов'язаних з дiяльнiстю пiдприємства, у межах вартостi акцiй, що їм належать.

Юридична i фактична адреса товариства: 34300, Рiвненська область, смт. Володимирець, вул. Соборна, 4. Предметом дiяльностi вiдкритого акцiонерного товариства "ТНТ" є : виробництво сидру, плодоовочевих консервiв (крiм картоплi), враховуючи м'ясо-рослиннi; виробництво мiнеральних вод i прохолодних напоїв. Вiдповiдальними за фiнансово-господарську дiяльнiсть за вiдповiдний перiод були: голова правлiння Гаврилюк А.Л., з правом другого пiдпису - головний бухгалтер Шурко А.Г.

Основними видами діяльності підприємства є:

.94.0 - Виробництво сидру та iнших плодово-ягiдних вин - 15.33.0 - Перероблення та консервування овочiв та фруктiв, не вiднесене до iнших групувань - 15.98.0 - Виробництво мiнеральних вод та iнших безалкогольних напоїв.

Детальніш, це - виробництво сокiв (сiк березовий з цукром, сiк березово-чорничний, сiк березово-яблучний, сiк яблучний натуральний, сiк яблучний з м'якоттю, сiк яблучно-вишневий, сiк березово-вишневий); - напої ("Вишневий сад", "Осiннiй", "Волинський", "Нектар лiсу"); - компоти, повидло, джеми, томати маринованi, кабачки маринованi, огiрки маринованi, огiрки консервованi, капуста маринована, морква гарнiрна, салат закусочний, соус томатний, оцет столовий, виробництво харчеконцентратiв (кисiль); - виробництво грибiв маринованих (лисичка маринована, зелениця маринована). Освоєно виробництво, заготiвля ягiд чорницi свiжої та експорт чорницi мороженої.

До основних споживачiв продукцiї завода належать райспоживспiлки, комбiнати громадського харчування, гуртово-торговi бази, по лiнiї лiквiдацiї наслiдкiв аварiї на ЧАЕС-школи, дитячi сдки, лiкарнi, училища. Iнформацiя вiдсутня. Конкурентiв у пiдприємства у Володимирецькому районi немає.

Основні економічні показники діяльності ПАТ « ТНТ» відображені в таблиці 2.1.

Таблиця 2.1


Аналізуючи основні економічні показники діяльності ПАТ « ТНТ» за період 2010-2012 роки можна зробити наступні висновки.

За техніко - економічними показниками бачимо, що виручка від реалізації продукції з 2010 року по 2011 рік зменшилась на 5 100 грн., а з 2011 по 2012 рік відбулася тенденція до збільшення на 50 500грн. Також з таблиці ми бачимо, що вартість основних виробничих фондів зменшуються з кожним роком.

Провівши аналіз фондовіддачі, видно, що фондовіддача у 2010 році залишилась без змін, а у порівняні із 2011 до 2012 року зросла 0,06 грн./грн. Збільшення фондовіддачі на підприємстві у звітному році в порівнянні з плановим періодом та минулим роком говорить про більш ефективне використання основних фондів.

Щодо операційних витрат, то даний показник кожен рік змінюється, з 2010 по 2011 роки вони збільшилися на 301, 8 тис. грн., а з 2011-2012 роки - зменшились 331,3 тис. грн.

Нажаль, ситуація з рентабельністю є негативною, а отже від‘ємною, що свідчить про збитковість підприємства, більш за все це зумовлено тим, що дане підприємство впроваджує нові технології виробництва своєї продукції, збільшує асортимент, і відповідно іще не втримує свої позиції на ринку.

Стосовно чистого прибутку, то підприємство несе збитки, разом з тим ми спостерігаємо абсолютне збільшення чистого прибутку на 49тис.грн. в 2011році та 32,6 тис. грн. в 2012р. Отже, підводячи підсумки можемо сказати, що хоча діяльність підприємства є і збитковою, з кожним роком спостерігається зменшення збитку, а отже можна говорити про те, що підприємство шукає шляхи збільшення прибутку на виробництві.

2.2 Аналіз реалізації продукції


У міру насичення ринку та посилення конкуренції вже не виробництво визначає обсяг продажу, а навпаки, можливий обсяг продажу є основою розроблення виробничої програми. Підприємство має виробляти тільки ті товари і в такому обсязі, котрі воно може реально й прибутково реалізувати.

Темпи зростання обсягу реалізації продукції безпосередньо впливають на величину витрат, прибуток та рентабельність підприємства. Тому аналіз показників реалізації має важливе значення. Його основні завдання:

·              оцінка рівня виконання плану (прогнозу) та динаміки реалізації продукції;

·              визначення впливу різних факторів на зміну величини цих показників;

·              розроблення заходів для збільшення обсягів реалізації продукції.

Джерелами інформації для аналізу є ф. 2 «Звіт про фінансові результати», відомість 16 «Рух готових виробів, їх відвантаження та реалізація» та ін.

Обсяг реалізації продукції визначається за відвантаженою покупцям продукцією.

У чинному законодавстві України операція з продажу (реалізації) продукції жорстко не прив’язана до факту реальної оплати її вартості, до строків здійснення платежу; вона розглядається як господарська операція з передання права власності на продукцію в обмін на еквівалентну суму коштів або боргових зобов’язань. Обсяг реалізованої продукції визначається продажною вартістю відвантаженої продукції, зазначеною в оформлених для сплати розрахункових документах, і не залежить від фактичного надходження грошової виручки.

Реалізація продукції - це ланка зв’язку між виробником і споживачем. Від того, як продається продукція, який попит на неї на ринку, залежить і обсяг її виробництва.

Важливе значення для оцінювання виконання планів (прогнозів) мають також натуральні показники обсягів реалізації продукції (штуки, метри, тонни та ін.). Їх використовують для аналізу обсягів реалізації за окремими видами та групами однорідної продукції. (8.ст.314-315)

Аналіз починається з вивчення динаміки реалізації продукції, розрахунку базисних та ланцюгових темпів зростання та приросту. Розглянемо діяльність ПАТ «ТНТ» (таб.2.2).

Наведемо розрахунки.

. Абсолютний приріст,

Ланцюговий спосіб:

У 2011році: 1800-6900= - 5100

У 2012 році: 52300-1800=50500

Базисний спосіб:

У 2011році: 1800-6900=-5100

У 2012 році: 52300-6900=4540

Таблиця 2.2.

Динаміка реалізації продукції підприємства

Роки

Обсяг реалізації продукції, тис. грн

Абсолютний приріст (зниження) обсягів реалізації продукції, тис. грн

Темпи зростання (зниження),обсягів реалізації продукці, %

Темп приросту (зниження), обсягів реалізації продукці%



базисний

 ланцюговий

базисний

 ланцюговий

базисний

 ланцюговий

 2010

6900

-

-

-

-

-

-

2011

1800

-5100

-5100

26

26

-74

-74

2012

52300

45400

50500

758

2906

658

2806


2. Темп зростання, %

Ланцюговий спосіб:

У 2011році: 1800/6900*100% = 26%

У 2012 році: 52300/1800*100% =2906%

Базисний спосіб:

У 2011році: 1800/6900*100%=26%

У 2012 році: 52300/6900*100%=758%

. Темп приросту, %

Ланцюговий спосіб:

У 2011році: 1800-6900/6900*100% = -74%

У 2012 році: 52300-1800/1800*100%= 2806%

Базисний спосіб:

У 2011році: 1800-6900/6900*100% = -74%

У 2012 році: 52300-6900/6900*100%= 658%

Розрахуємо наступні показники динаміки: середньорічний абсолютний приріст, середньорічний темп росту та середньорічний темп приросту обсягів реалізації продукції.

1.  Середньорічний абсолютний приріст визначається за формулою:

                                                 (1)

де Yn - значення кінцевого рівня ряду, тобто показник 2012 року;

Y1 - значення початкового рівня ряду, тобто показник 2010 року;

n - тривалість досліджуваного періоду, тобто 3роки.

 (тис. грн.)

2.  Середньорічний темп росту розрахуємо за формулою:

                                                           (2)

3.  Середньорічний темп приросту знаходимо за формулою:

                                          (3)

Висновок : Аналіз даних, наведених в таблиці 2.2. , дозволяє зробити висновок про те, що за період з 2010 по 2012 роки обсяг реалізації продукції збільшився. При цьому щорічний абсолютний приріст становить 15 133 грн., а щорічний тем приросту - 96%.

2.3 Аналіз витрат підприємства ПАТ «ТНТ»


Витрати на виробництво всієї товарної продукції планують та обліковують за двома напрямками: за економічними елементами і за статтями калькуляції.

Елементи витрат - це однорідні за своїм економічним змістом витрати. До них відносять сировину і матеріали, паливо, енергію, заробітну плату, амортизацію, відрахування на соціальне страхування та ін.(8.ст.473-474)

Планування витрат за економічними елементами дає змогу пов’язати їх з іншими розділами плану: планом матеріально-технічного постачання, фондом заробітної плати, планом зростання ефективності виробництва, балансом надходжень і витрат тощо.

Аналіз витрат за економічними елементами уможливлює, у свою чергу, вивчення їхнього складу, питомої ваги кожного елемента, частку живої і уречевленої праці в загальних витратах на виробництво. Порівнювання фактичної структури витрат за кілька періодів виявляє динаміку і напрямок зміни окремих елементів, матеріаломісткості, фондомісткості, енергоємності, трудомісткості, собівартості продукції і вплив технічного прогресу на структуру витрат (табл. 2.3). Дані таблиці 2.3, складеної на підставі даних фін. звітності форми 2. (Дані по окремим видам витрат за 2012рік. відсутні ,так як підприємство з 2012р. перейшло на нову спрощену форму звітності -2-м). З таблиці ми бачимо, що збільшення матеріальних витрат відбувається за рахунок зниження витрат на оплату праці і відрахувань на соціальні заходи. Головним напрямком пошуку резервів зниження собівартості є дослідження складу кожного елемента матеріальних витрат, виявлення причин зростання цих витрат і способів їх зменшення.

Фактичні дані про витрати на виробництво використовуються для планування собівартості на майбутнє, визначення розміру нормованих оборотних засобів та прибутку.

Таблиця 2.3

Динаміка і структура витрат операційної діяльності

№ п/п

Назва показника

2010рік

2011 рік

2012 рік*

Абсолютне відхилення



Абс. зн.

питома вага, %

Абс.зн.

питома вага, %

Абс. зн.

питома вага, %

2011-2010 роки

 2012 -2011 роки

11

Матеріальні витрати, тис.грн..

33,4

15,3

43,7

9

-

-

10,3

-

22

Витрати на оплату праці, тис.грн..

94,5

43,3

127,8

26,1

-

-

33,3

-

23

Відрахування на соціальні заходи, тис.грн..

28,5

13,1

37

7,6

-

-

8,5

-

24

Амортизація, тис.грн..

0

0

0

0

-

-

-

-

55

Інші витрати, тис.грн..

61,8

28,3

279,4

57,3

182,7

100

217,6

-96,7

Разом

218,2

100

487,9

 100

182,7

100

269,7

-305,2

*Дані по окремим видам витрат за 2012рік. відсутні ,так як підприємство з 2012р. перейшло на нову спрощену форму звітності -2-м.

Отже, провівши аналіз витрат ми бачимо, що найбільшу питому вагу в складі витрат операційної діяльності займають інші витрати. Відповідно в 2010, 2011 та 2012 роках ця питома вага становить 28%, 57,3% і 100%. Отже, досліджуване виробництво є збитковим. Частка матеріальних витрат в минулому періоді (2010р.) дорівнює 15%, а в звітному році (2011р.)-9%. Велику питому вагу складають витрати на заробітну плату 43,3% в 2010 році та 26,1 % в 2011р.; по усіх інших елементах операційних витрат також спостерігається збільшення. Це збільшення і забезпечило зростання загальної величини витрат в 2011р. на 269,7 тис. грн.. Разом за тим, порівняно з попередніми періодами 2010 та 2011р . матеріальні витрати і витрати на оплату праці та інші витрати в 2012 році зменшились на 305,2 тис. грн. Це може свідчити проте, що на підприємстві зменшили витрати на заробітну плату за рахунок скорочення персоналу та удосконалили технологію виробництва продукції.

2.4 Аналіз формування прибутку на підприємстві ПАТ «ТНТ»


Економічна доцільність роботи будь - якого підприємства, результати його фінансової діяльності, в значній мірі визначаються станом формування та використання прибутку. Під формуванням прибутку розуміють його створення в процесі господарської діяльності підприємства. Управляти формуванням прибутку означає управляти обсягом реалізації продукції, тобто кількістю та ціною продукції, здійснювати діяльність з найменшими. В процесі формування та використання прибутку розрізняють:

валовий прибуток (збиток) звітного періоду;

фінансові результати від операційної діяльності;

фінансовий результат від звичайної діяльності до оподаткування;

фінансовий результат від звичайної діяльності після оподаткування;

прибуток (збиток) від надзвичайних подій;

чистий прибуток (збиток) підприємства.

Прибуток звітного періоду являє собою алгебраїчну суму одержаних результатів від операційної діяльності, віз звичайної діяльності та надзвичайних подій. Покращення фінансової діяльності підприємства потребує проведення аналізу основних факторів, які впливають на формування чистого прибутку, оцінку їх динаміки. Дані такого аналізу повинні сприяти пошуку резервів зростання прибутку. Порядок формування чистого прибутку проводиться на підставі даних форми 2 «Фінансові результати» (табл.2.4 ). Із таблиці видно, що негативним є відносне зменшення прибутку від операційної діяльності підприємства, що в результаті призводить до збитку на підприємстві.

Таблиця 2.4.

Динаміка формування чистого прибутку

Показники

Роки

Абсолютне відхилення

Абсолютне Відхилення %


2010

2011

2012

2011-2010 роки

2012-2011 роки

2011-2010 роки

2012-2011 роки

1

Чистий дохід (виручка) від реал. прод-ї

6900

1800

52300

-5100

50500

-74

2806

2

Собівартість реалізованої продукції

0

0

29000

0

29000

0

0

3

Валовий прибуток (р. 1 - р. 2)

6900

1800

23300

-5100

21500

-74

1194

4

Адміністративні витрати, . грн.

95200

218000

6600

122800

-211400

129

-97

5

Витрати на збут, грн

123000

269900

147100

146900

-122800

119

-45

6

Повна собівартість реал. Продукції (р.2+р.4+р.5)

218200

487900

182700

269700

-305200

-63

7

Прибуток від реал. продукції (р.1 -р. 4)

-211300

-486100

-130400

-274800

355700

130

-73

8

Інші операційні доходи

1000

324800

1700

323800

-323100

32380

-99

9

прибуток від опер-ї діяльност (р.7+р.8)

-210300

-161300

-128700

49000

32600

-23,3

-20,2

10

Прибуток від участі в капіталі

0

0

0

0

0

0

0

11

Інші фінансові доходи

0

0

0

0

0

0

0

12

Прибуток від звичайної діяльності (сума р.9,10,11)

-210300

-161300

-128700

49000

32600

-23,3

-20,2

13

Податок на прибуток

0

0

0

0

0

 

0

14

Чистий прибуток (збиток) (р. 12 -р13 )

-210300

-161300

-128700

49000

32600

-23,3

-20,2


.5 Аналіз показників рентабельності ПАТ "ТНТ"

Як і кожен абсолютний показник розмір прибутку не завжди характеризує ефективність діяльності підприємства. Тому, щоб оцінити ефективність роботи підприємства, одержаний прибуток необхідно співвідносити зі здійсненими витратами - поточними (собівартість продукції) і авансованими (активи або частини їх).

Співвідношення прибутку із зазначеними вище затратами являє собою рентабельність. Рентабельність можна визначати як відношення певного прибутку до показника, рентабельність якого розраховується. Рентабельність характеризує рівень прибутковості; він більшою мірою, аніж прибуток характеризує кінцеві результати діяльності підприємства. Рентабельність дозволяє зіставити ефективність роботи підприємства, прибутковість різних видів продукції тощо. Рентабельність оцінюється, зазвичай, у відсотках, а у деяких випадках і у коефіцієнтах.

Існує значна кількість показників рентабельності.

У даному розділі розглянемо показники рентабельності, що пов'язані з виробництвом і реалізацією продукції. При розрахунках показників рентабельності, зв'язаних з виробництвом і реалізацією продукції, як повинен використовуватися прибуток від виробництва або реалізації продукції, оскільки лише він характеризує виробничу діяльність підприємства.

Використання ж чистого прибутку для цієї мети недоцільне, оскільки він характеризує результати всіх видів діяльності і тому рентабельність показників, зв'язаних з виробництвом продукції, будуть викривлені і відповідно не відображатимуть реальну виробничу діяльність підприємства.

До показників рентабельності продукції відносять:

рентабельність виготовленої (реалізованої) продукції


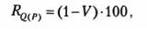
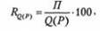
де RQ(Р) - рентабельність виготовленої продукції (продаж);

П - прибуток від виробництва (реалізації) продукції;

рентабельність витрат


де Rв - рентабельність витрат;

П- прибуток від виробництва (реалізації) продукції;

В - витрати (собівартість) на виготовлену (реалізовану) продукцію.

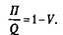
Між витратами на 1 грн. продукції і рентабельністю продукції (продаж) існує такий взаємозв'язок:


де V- витрати на 1 грн продукції;

коефіцієнт рентабельності виготовленої (реалізованої) продукції.

Звідси:


Таким чином:


якщо витрати на 1 грн продукції оцінюються у гривнях або


якщо витрати на 1 грн оцінюються в копійках.

При наявності значення рентабельності виготовленої або реалізованої продукції витрати на 1грн. продукції розраховуються за формулою:


Рентабельність продукції, рентабельність витрат, витрати на 1 грн продукції знаходяться в певному взаємозв'язку:


тобто рентабельність продукції дорівнює добутку рентабельності витрат на витрати на 1 грн продукції.

Аналіз показників рентабельності наведений в табл. 2.5

Таблиця 2.5

 

РОЗДІЛ 3. ВИЗНАЧЕННЯ РЕЗЕРВІВ, ЗАХОДИ З ВПРОВАДЖЕННЯ У ВИРОБНИЦТВО

 

.1 Факторний аналіз формування прибутку на підприємстві «ТНТ"


Факторний аналіз дозволяє виявити об’єктивно існуючі фактори які впливають на поведінку об’єкта, що досліджується. Дуже важливим є те, що, як правило, ці фактори безпосередньо не споглядаються, а лише якимось чином впливають на досліджувані параметри. [18, с.129].

Одним із найважливіших економічних показників, що характеризує фінансовий результат діяльності підприємства є прибуток. На зміну цього показника впливають численні техніко- експлуатаційні й економічні чинники.

У зв’язку з цим актуальне значення має факторний аналіз даного показника, тобто вивчення і вимір впливу окремих чинників на його зміну. В даній курсовій роботі я проведу факторний аналіз формування прибутку від операційної діяльності підприємства на основі використання методу ланцюгових підстановок.

На підставі даних фінансової звітності , визначимо вплив часткових факторів на результуючий показник, розрахунки розмістимо в таблицях 3.1.- 3.2)      

Модель факторного аналізу прибутку від операційної діяльності:

П.о.д. = В без ПДВ - С/В - ВЗ -- ІВ + ІД ,

де В без ПДВ - виручка без ПДВ;

с/В - собівартість виготовленої продукці ( даний показник не включений в таблицю, в звязку з тим, що с\в відсутній в фін.звітності форми 2-м за 2010,2011р., що стосується 2012 р. с\в включена в таблицю в графу в інші операційні витрати.).

ВЗ - витрати на збут;

АВ - адміністративні витрати;

ІВ - інші операційні витрати;

ІД - інші операційні доходи

Таблиця 3.1.


Отже, як бачимо з таблиці за рахунок зменшення виручки , прибуток зменшиться на 3046,7 тис. грн. За рахунок збільшення витрат на збут прибуток зменшиться на 3202,1 тис. грн. За рахунок зменшення амортизаційних витрат прибуток збільшиться на 3013,3 тис. грн. За рахунок збільшення інших операційних витрат, зменшиться - 7490,2 тис. грн. За рахунок іншого операційного доходу, прибуток збільшиться на 4375,8 тис. грн.

Таблиця 3.2.


Отже, за рахунок збільшення виручки, прибуток збільшується на 1065,4 тис. грн. За рахунок зменшення витрат на збут і інших операційних витрат, прибуток збільшиться відповідно на 2409,4 та 6724,4 тис. грн. За рахунок збільшення адміністративних витрат прибуток зменшиться на 5081,4 тис. грн., а щодо іншого операційного доходу - він збільшується, і при цьому прибуток збільшиться на 5245,4 тис. грн.

3.2 Шляхи підвищення прибутку


Прибуток є самим головним призначенням підприємства. Завданням будь-якої компанії або інвестора є отримання прибутку від будь-якої з угод. Адже інвестиції, які витрачаються в процесі виробництва, повинні повернутися і при цьому принести з собою прибуток. Тому однією з найважливіших проблем, з якою стикається підприємство є збільшення прибутку.

На величину прибутку підприємства впливає такий ринковий фактор як коливання цін навколо вартості продукції. Якщо на ринку попит споживачів дорівнює пропозиції продавців, то ціна встановлюється на рівні вартості продукції і підприємець одержить прибуток, котрий дорівнює величині створеної додаткової вартості. Якщо попит на продукцію буде більшим за пропозицію, то ціни на продукцію будуть вищими за її вартість і відповідно прибуток перевищує величину додаткової вартості. У випадку, коли ціна на ринку встановлюється нижче вартості продукції, то прибуток буде меншим ніж додаткова вартість [22, с.129].

За ринкових умов підприємство самостійно визначає напрямки та розмір використання прибутку, який залишається в його розпорядженні після сплати податків. Метою складання фінансового плану є визначення фінансових ресурсів, капіталу та резервів на підставі прогнозування величини фінансових показників: власних оборотних коштів, амортизаційних відрахувань, прибутку, суми податків [23, с.84].

Планування виручки є необхідним для розробки плану прибутку від реалізації продукції, визначення суми планових платежів у бюджет. Від обґрунтованості та правильності розрахунку виручки великою мірою залежить також реальність основного джерела надходження коштів та розмір запланованого прибутку [24, с.115].

Мета планування витрат - визначення можливості економнішого витрачання матеріальних, трудових та грошових ресурсів на одиницю продукції. Зменшення витрат виробництва та обігу є важливим фактором збільшення ефективності виробництва. Зниження собівартості за рахунок економії сировини, матеріалів, палива, енергії та живої праці дає змогу виробити значну кількість додаткової продукції, збільшити прибуток та рентабельність підприємств, створює реальні можливості для самофінансування. Скорочення витрат на виробництво одиниці продукції є матеріальною підставою для зниження цін на неї, а відтак - прискорення обертання оборотних коштів.

Плануючи витрати на виробництво та реалізацію продукції, необхідно враховувати резерви зниження її собівартості, до яких належать:

- поліпшення використання основних виробничих фондів та збільшення у зв'язку з цим випуску продукції на кожну гривню основних фондів;

раціональне використання сировини, матеріалів, палива, енергії та скорочення витрат на одиницю продукції без зниження її якості;

зменшення затрат живої праці на одиницю продукції на основі науково-технічного прогресу;

скорочення витрат на реалізацію продукції за рахунок удосконалення форм її збуту;

зменшення втрат від браку та безгосподарності, ліквідація непродуктивних витрат;

економія в адміністративно-управлінській сфері на основі раціональної організації апарату управління підприємством.

У зниженні собівартості суспільство зацікавлене не менш, ніж виробник. Адже низька собівартість означає, по-перше, що виробництво функціонує ефективно і завжди обмежені ресурси суспільства використовуються раціонально, по-друге, вивільнені завдяки раціональному їх використанню ресурси підуть на створення нової продукції, по-третє, зниження індивідуальної собівартості продукції більшістю виробників створює передумови для зниження цін на товари.

Забезпечення зниження собівартості продукції на підприємстві вимагає підвищення вимог щодо управління витратами виробництва, що передбачає впровадження комплексу заходів щодо зниження собівартості продукції. Підприємство самостійно виходячи із конкретних умов господарювання, необхідності забезпечення прибутковості підприємства визначає заходи щодо зниження собівартості продукції, які можуть дати відповідну віддачу за умови раціонального використання природних, матеріально-технічних, трудових та фінансових ресурсів тощо. Тому в процесі техніко-економічних розрахунків повинна бути обґрунтована величина витрат для виробництва і реалізації продукції. Зниження собівартості виробництва продукції передбачає скорочення витрат з кожного елементу її структури. Наприклад:

-        зниження витрат, пов’язаних з використанням предметів праці (сировини, матеріалів, палива, електроенергії тощо);

         зниження витрат, пов'язаних з використанням засобів праці;

         зменшення витрат на заробітну плату за умови, коли більш високими темпами зростає продуктивність праці;

         зменшення витрат, джерелом покриття яких виступає вартість додаткового продукту;

         поліпшення організації виробництва й праці;

         оптимізація обсягу виробництва продукції на підприємстві.

Отже, підводячи підсумок можна сказатищо є 3 альтернативи для збільшення прибутковості, які необхідно детально розібрати підприємству і які є дуже актуальними: 1. Збільшення цін при збереженому значенні витрат. Заробіток може бути збільшений кількома шляхами:

- Підняттям цін на ваш продукт;

Підняттям рівня продажів;

- Збільшенням різниці між ціною і собівартістю товару.Встановлені ціни можуть переглядатися один або два рази на рік, але збільшувати ціну на товар необхідно в умовах збереження конкурентоспроможності. Іншим важливим критерієм, який необхідно враховувати перед підвищенням цін, є тип продукту або продаваної послуги. Існують такі категорії, до яких покупці відносяться лояльно і готові заплатити трохи більше за них, лише б якість і смак товару залишалися на висоті. До такої категорії належить харчова промисловість, як у нашого підприємства.

2. Зниження витрат або собівартості при збереженому значенні заробітку. Другий альтернативою є зниження суми загальних витрат. Це може бути досягнуто зменшенням собівартості товару. Введення в експлуатацію продукції високих технологій, тобто конвеєрів, які ефективно вирішують цю проблему. Іншим важливим інструментом у зниженні загальних витрат є впровадження нових методів управління, таких як спільна діяльність. Потрібно Ретельно вивчити експлуатаційний цикл для контролю вливань грошових коштів та зниження ризику виробництва надлишкової продукції. Також не потрібно забувати про те, що зменшення собівартості товарів або послуг не повинно вплинути на погіршення їх якості.

. Одночасне збільшення цін та зменшення собівартості. Це може бути досягнуто шляхом масового виробництва. Принцип економіки, зумовлений зростанням масштабу виробництва, може призвести до бажаної мети. На додаток до порушеної теми можна сказати, що важливим фактором для отримання загальної прибутковості служить стратегія і комунікабельність самої компанії-виробника. Потрібно пам'ятати той факт, що неправильне визначення цілей або неспрацьовану стратегія ніколи не приведуть до отримання прибутку.

 

ВИСНОВКИ


На підставі даного дослідження було розглянуто теоретичні аспекти економічної суті прибутку, його шляхи формування та методи розрахунку прибутку на підприємстві.

Проведено аналіз прибутку підприємства та запропоновані шляхи його підвищення.

Аналізуючи основні економічні показники діяльності ПАТ "ТНТ за період 2010-2012 роки можна зробити наступні висновки.

Найкраще ПАТ "ТНТ" працювало у 2012 році, коли його прибуток збільшився на 32,6 тис. грн. в порівнянні з 2011 р. за рахунок збільшення виручки на 50,5 тис. грн.. та зменшення собівартості на 63%.

Аналіз витрат виробництва показав, що найбільшу питому вагу складають матеріальні витрати 2009 році, які становлять 43 %, у 2008 році - витрати на оплату праці 38 %,у 2010 році - витрати на оплату праці 37 %. При зростанні обсягів виробництва автоматично зростають і витрати.

Аналізуючи динаміку формування прибутку ПАТ " ТНТ" можемо зробити такий висновок, що прибуток від реалізації продукції у 2011 році зменшуються на 274,8тис.грн., а у 2012 році збільшуються на 355,7 тис. грн. відповідно за рахунок зменшення та збільшення виручки від реалізації продукції.

Після проведеного аналітичного дослідження формування доходів ПАТ «ТНТ» та їх оцінки дійшли до висновку, що підприємство не отримує чистого прибутку, оскільки має збитки.

Опираючись на загальну закордонну практику зростання прибутковості були запропоновані основні резерви зростання прибутку, які мали б місце на даному підприємстві, враховуючи усі особливості його фінансово-майнового стану.

Таким чином, з метою підвищення результативності діяльності підприємства та його стратегічного розвитку в перспективі, виникає потреба у розробленні стратегії управління підприємством, спрямованої на вдосконалення механізму формування та використання прибутку. Перспектива подальших досліджень, на наш погляд, вбачається у вивченні таких питань: характеристика моделі стратегічного управління розподілом та використанням прибутковістю підприємств з позиції економічної збалансованості, а також проведення оцінювання впливу системи управління формуванням прибутку на господарську діяльність підприємств на основі аналізу руху грошових коштів та розрахунку показників окупності грошових видатків; побудова багатофакторної моделі ефективності використання прибутку підприємства та її вплив на основні кількісні та якісні показники його діяльності.

СПИСОК ВИКОРИСТАНОЇ ЛІТЕРАТУРИ


1. Бєляєв О.О., Бебело А.С. Політична економія: Навч. посібник. - К.: КНЕУ, 2001. - 328 с.

. Основи економічної теорії: Політеконом. аспект: Підруч. / За ред. Г. Н. Климка, В. П. Нестеренка. - 2-ге вид., перероб. і доп. - К.: Вища шк.; Знання, 1997. - С. 234.

. Стельмащук А.М., Смоленюк П.С. Бухгалтерський облік. Навчальний посібник. - К.: Центр учбової літератури, 2007. - 528с.

. Васильців Т.Г., Марчишак М.В. Прибуток підприємства: особливості його формування та використання у ринкових умовах / Васильців Т.Г., Марчишак М.В. // Науковий вісник НЛТУ України. - 2012. - Вип. 22.2.

. Павлишенко М.М., Винярська Н.М. Формування прибутку в умовах ринкових відносин / Павлишенко М.М., Винярська Н.М. // Науковий вісник, 2007, вип. 17.4.

. Азаренкова Г.М., Журавель Т.М., Михайленко Р.М. Фінанси підприємств: Навч. посібник для самостійного вивчення дисципліни / Азаренкова Г.М., Журавель Т.М., Михайленко Р.М. - К.: Знання-Прес, 2009. - 299 с.

. Гриньової В.М. і Коюди О.В. Фінанси підприємств - Харків, Видавничий дім „ІНЖЕК”, 2004. - с. 110 - 111

. Болюх М.А. Економічний аналіз: Навч.посібник/ М.А.Болюх, В.З. Бурчевський, М.І. Горбаток та ін.; За ред. акад. НАНУ, проф. М.Г.Чумаченка. - Вид. 2-ге, перероб. і доп. - К.:КНЕУ, 2003. - 556 с.

.              Фінанси підприємств : Навч. посіб./ В.М.Гриньова, В.О.Коюда. -К.: Знання - Прес, 2006.-424 c..

.              Фінанси підприємств : Навч.посібн.для вузів/ І.В.Зятковський. -К.: Кондор, 2005.-364 c..

.              Фінанси підприємств : Навч. посіб./ О.С.Філімоненков. -К.: Ельга, 2006.-360 c..

.              Фінанси підприємств : Навч.-метод. посібник для самост. вивч. дисц./ Л.Д. Буряк , Є. В. Вакуленко А.П. Куліш. -К.: КНЕУ, 2006.-165 c..

.              Фінансовий менеджмент : Навч. посіб./ Л.В.Кузьменко, В.В.Кузьмін, В.М.Шаповалова. -Херсон: Олді - плюс, 2007.-256 c..

. Економічний аналіз і діагностика стану сучасного підприємства: Навчальний посібник/ Т. Д. Костенко, Є. О. Підгора, В. С. Рижиков та ін.; М-во освіти і науки України, ДДМА. - К.: Центр навчальної літератури, 2005. - 398 с.

. Кіндрацька Г. Економічний аналіз: теорія і практика: Підручник/ Галина Кіндрацька, Микола Білик, Анатолій Загородній,; Ред. А. Г. Загородній. - Львів: Магнолія плюс, 2006. - 426 с.

. Кислиця О. Економічний аналіз: Курс лекцій/ Олена Кислиця, Ірина Мягких, - К.: Вид-во Європейського ун-ту, 2005. - 170 с.

. Ковальчук М. Економічний аналіз діяльності підприємств АПК: Підручник/ Михайло Ковальчук,; М-во освіти і науки України, КНЕУ. - К.: КНЕУ, 2005. - 390 с.

Похожие работы на - Вдосконалення шляхів формування та використання прибутку підприємства (на прикладі ПАТ 'ТНТ')

 

Не нашли материал для своей работы?
Поможем написать уникальную работу
Без плагиата!
Без нейросетей!