Анализ ценовых стратегий на рынке мобильной связи Российской Федерации

  • Вид работы:
    Дипломная (ВКР)
  • Предмет:
    Эктеория
  • Язык:
    Русский
    ,
    Формат файла:
    MS Word
    214,43 Кб
  • Опубликовано:
    2014-09-21
Вы можете узнать стоимость помощи в написании студенческой работы.
Помощь в написании работы, которую точно примут!

Анализ ценовых стратегий на рынке мобильной связи Российской Федерации








БАКАЛАВРСКАЯ РАБОТА

Анализ ценовых стратегий на рынке мобильной связи Российской Федерации



Введение

ценовой рынок сотовый

В настоящее время телекоммуникационная отрасль является наиболее быстроразвивающейся и быстрорастущей. Один из самых привлекательных сегментов телекоммуникационного рынка - это рынок мобильной связи, который активно развивается в России в последнее десятилетие. Эта область является популярной не безосновательно. Современное общество вряд ли можно представить без постоянного информационного обмена, который в наше время в большой степени осуществляется посредством мобильной связи.

Спрос на услуги мобильных операторов в России очень высок, а средний годовой доход компаний исчисляется в миллиардах рублей. Не удивительно, что рынок мобильной связи быстро заняли крупные операторы, которые освоились на нем, установили свои цены и редко допускают появление на рынке других, менее известных, компаний-конкурентов.

Возникает проблема олигополизации рынка мобильной связи. Это в некоторой степени притупляет стимулы к технологическому прогрессу, развитию телекоммуникаций, а главное - снижению цен. На рынке установлены высокие «барьеры» для вхождения новых операторов. Игроками рынка являются крупные компании-олигополисты, вытесняющие конкурентов с рынка. Поэтому цены на сотовую связь в России остаются высокими.

На рынке мобильной связи России существует ценовая и неценовая конкуренция между крупнейшими компаниями, действующими на нем. В целях получения конкурентного преимущества в последние годы предприятия сотовой связи активно осуществляют строительство сетей третьего поколения, которые позволяют значительно улучшить качество связи. Также особое внимание уделяется внедрению новой технологии четвертого поколения - так называемого стандарта LTE, являющегося полноценной альтернативой всем существующим в настоящее время сетям передачи данных.

Кроме того, одним из основных факторов, влияющих на выбор абонентами оператора мобильной связи, является цена на услуги мобильной связи. В связи с этим компании-операторы большое внимание уделяют своим ценовым стратегиям и процессу ценообразования, так как это существенно влияет на их прибыльность и конкурентоспособность.

Ценовые стратегии, используемые мобильными операторами похожи между собой. Чаще всего одновременно осуществляется сразу несколько стратегий, заранее тщательно продуманных. Причем каждый оператор использует разные стратегии в зависимости от региона.

В настоящее время сотовая связь представляет большой общественный интерес. Рынок мобильной связи в России является относительно молодым и быстроразвивающимся. Ситуация, разворачивающаяся на рынке, постоянно меняется по мере его развития. Именно поэтому статьи, написанные по данной теме, быстро устаревают, а новые работы являются востребованными. Интерес представляет количественное исследование проблемы формирования цен на мобильную связь, а также стратегий, которых придерживаются участники рынка.

В работе используется принципиально новый подход к изучению ценообразования на услуги сотовой связи. Выявляется зависимость стоимости мобильной связи от среднего уровня заработной платы в регионе, спроса на услуги мобильной связи, уровня конкуренции на рынке, а не от прямых и косвенных затрат компаний-операторов и себестоимости услуг, как принято считать во многих исследованиях. Благодаря данному подходу можно сделать вывод не только о том, от чего зависит цена на мобильную связь, но также проследить, какие факторы могут повлиять на ее снижение.

Объектом исследования является рынок мобильной связи России. Предметом исследования являются ценовые стратегии, осуществляемые компаниями-операторами мобильной связи с учетом региональной дифференциации.

Целью работы является анализ ценовых стратегий мобильных операторов, а также выявление факторов, влияющих на установление цен на мобильную связь, проверка гипотезы о наличии на российском рынке ценовой дискриминации третьей степени.

Для достижения цели исследования были сформулированы следующие задачи:

изучение и анализ русскоязычной литературы и иностранных источников по теме исследования с целью выделения основных видов ценовых стратегий, используемых на изучаемом рынке, особенностей поведения мобильных операторов на данном рынке в разных странах, а также выделения характерных черт и особенностей рынка мобильной связи России;

изучение понятия «ценовая дискриминация» и определение направления исследования;

изучение понятия «ценовая стратегия» и обзор видов ценовых стратегий с последующим выделением основных видов ценовых стратегий, подходящих для изучаемого рынка;

сбор данных о ценах на тарифы, предоставляемые российским абонентам во всех регионах РФ мобильными операторами, действующими на изучаемом рынке;

расчет модельных данных по ценам на мобильную связь по операторам связи в разрезе отдельных регионов РФ;

эмпирический анализ изменения цен на мобильную связь в зависимости от региона РФ, прослеживание динамики изменения цен и формирование выводов о ценовых стратегиях, применяемых на изучаемом рынке;

построение и тестирование модели множественной регрессии, и определение факторов, влияющих на формирование цены на рынке;

изучение конъюнктуры рынка, анализ конкуренции на рынке, изучение возможности наличия ценовой дискриминации на рынке.

Гипотеза бакалаврской работы следующая: на рынке мобильной связи Российской Федерации имеет место ценовая дискриминация третьей степени.

Вопрос о наличии ценовой дискриминации возникает на многих рынках, поэтому на эту тему проведено много исследований. К примеру, многие статьи посвящены европейскому рынку жилья (Ihlanfeldt, Mayock, 2009), (Carlsson, Eriksson, 2014). Выявляется ценовая дискриминация по расовому признаку: изучается зависимость цены на жилье от расовой принадлежности потребителей. Также изучается зависимость процентной ставки по ипотеке от национальности потребителя. В таких статьях проводится эмпирический анализ цен, стоятся модели множественной регрессии и изучается влияние ценовой дискриминации. Продуктовый рынок также сильно подвержен ценовой дискриминации. На эту тему проводятся различные количественные исследования (Pennerstorfer, Sinabell, 2013) с построениями регрессионных моделей и проведением эмпирического анализа. Подобные исследования часто встречаются и на других рынках, к примеру, на рынке европейских авиалиний (Giaume, Guillou, 2004). На зарубежных рынках мобильной связи также проводятся подобные исследования по изучению не только дискриминации, но и конкуренции на рынке и степени ее влияния на цены (Usero Sánchez, Asimakopoulos, 2012). Подобных исследований очень много, причем, в основном, все они свежие, то есть проведенные в последние годы (2011-2014 гг.). Это говорит об актуальности вопроса изучения ценовой дискриминации на рынке и ее влияния на цену.

В первую очередь в работе изучается понятие ценовой дискриминации третьей степени (Schmalensee et al., 2007), (Сио, 2000), (Чеканский, Фролова, 2008), и формулируются основные этапы исследования, направленные на подтверждение поставленной гипотезы. Согласно изученной теории, три практических условия являются обязательными, если продавец хочет успешно применить ценовую дискриминацию третьей степени: эластичность множественного спроса, меняющаяся в зависимости от дохода, географического положения, имеющихся альтернатив и предпочтений; сегментация рынка компаниями по данным критериям; «запечатывание» рынка, означающее контроль над рынком и установление высоких барьеров для вхождения. В связи с этим ставятся следующие задачи. Во-первых, необходимо изучить ценовые стратегии мобильных операторов и выяснить, применяют ли они стратегию «дифференциации тарифов по сегментам географических рынков». Применение компаниями данной стратегии подтвердит, что компании в разных регионах устанавливают разные цены, а значит, сегментируют рынок, как минимум, по географическому принципу. Во-вторых, необходимо выяснить, осуществляют ли компании сегментацию в соответствии с остальными критериями, для чего необходимо построить модель множественной регрессии зависимости цены на мобильную связь в каждом регионе от тех критериев, которыми определяется эластичность спроса, и протестировать ее. Особое внимание следует обратить на вопрос, может ли себестоимость услуг связи быть причиной изменения цен в зависимости от региона. При ценовой дискриминации третьей степени издержки операторов не должны играть большой роли в процессе ценообразования. В-третьих, важной задачей является изучение конкуренции на рынке и ее влияния на установление цены, а также оценка риска вступления в сговор на рынке с целью извлечения максимальной прибыли.

В первой главе исследования проводится анализ литературы на изучаемую тему, выделяются понятия ценовой дискриминации третьей степени и ценовой стратегии, выявляются основные виды ценовых стратегий, применяемых на рынке, изучается вопрос о себестоимости услуг мобильной связи, определяются факторы, влияющие на установление цены на мобильную связь.

Во второй главе приводится методология и результаты эмпирического исследования рынка мобильной связи Российской Федерации.

Дано описание исходных данных о ценах по крупнейшим мобильным операторам во всех регионах страны. Затем по методике автора проводится оценка стоимости услуг мобильной связи в каждом регионе по каждому из операторов. Оценка проводится на основе средней корзины потребляемых услуг. Далее проводится анализ полученных данных, и выявляются ценовые стратегии, применяемые мобильными операторами. Устанавливается, что «Билайн» осуществляет стратегию «средней цены»; «МТС» пользуется позицией лидера на рынке и практически во всех регионах завышает цены; операторы «Теле2» и «СМАРТС» придерживаются стратегии «облегченного проникновения»; компания «МегаФон» имеет большой разброс цен по регионам, так как компания придерживается стратегии развития дочерних предприятий в регионах, которые имеют самостоятельность в процессе ценообразования. Также подтверждается гипотеза, что все компании, помимо своих основных ценовых стратегий, в определенной степени используют стратегию «дифференциации тарифов по сегментам географических рынков».

Строится модель множественной регрессии зависимости средней цены на мобильную связь в каждом регионе РФ от средней заработной платы в регионе, спроса на услуги мобильной связи и количества компаний мобильной связи, присутствующих на рынке данного региона. Полученная модель является лог-линейной.

В модели полученные коэффициенты являются значимыми. Это значит, что выбранные показатели влияют на стоимость «средней корзины» и факт наличия сегментации рынка в соответствии с данными критериями подтверждается. Значимая отрицательная зависимость цены на услуги мобильной связи от количества операторов в регионе позволяет говорить о положительном эффекте конкуренции, способствующем снижению цен.

Затем строятся регрессионные модели для четырех крупнейших операторов мобильной связи в отдельности: «МТС», «МегаФон», «Билайн», «Теле2». С их помощью подтверждается, что каждый из них осуществляет сегментацию рынка и осуществляет стратегию дифференциации.

После этого проводится анализ конкуренции на рынке, а также определяется вероятность вступления в сговор крупными компаниями на рынке.

В конце работы делаются выводы о подтверждении гипотезы, делаются предположения о способах снижения ценовой дискриминации на рынке, определяются направления для дальнейшего исследования.



1. Теоретические аспекты применения ценовой дискриминации. Изучение рынка мобильной связи. Понятие и виды ценовой стратегии


Для того чтобы проводить анализ ценовых стратегий на рынке мобильной связи, необходимо, для начала, ввести понятие ценовой дискриминации третьей степени и определить основное направление исследования. Затем важно изучить рынок мобильной связи, его особенности в целом, а также его особенности в области ценообразования. На эту тему написано довольно много статей, которые раскрывают суть ценовых стратегий на рынке сотовых операторов, рассматривают проблемы рынка, предлагают различные способы совершенствования стратегий игроками. Обзор данных статей поможет лучше узнать изучаемую сферу телекоммуникационной отрасли, изучить рынок сотовой связи, особенности его развития и ценообразования, сделать выводы относительно того, какие факторы могут влиять на изменение стоимости мобильной связи в разных регионах России.

1.1 Понятие ценовой дискриминации третьей степени


«Дифференциальное ценообразование третьей степени (или ценовая дискриминация третьей степени) имеет место тогда, когда продавец подразделяет покупателей в соответствии с их доходами, географическим размещением, их индивидуальными предпочтениями и взимает разные цены, не являющиеся пропорциональными предельным затратам» [11, с. 544]. Таким образом, продавец сегментирует рынок на отдельные классы в соответствии с эластичностью спроса в каждом сегменте рынка. Сегментация рынка - это разделение рынка на однородные подгруппы в соответствии с какими-то определенными экономическими критериями.

Согласно К.К. Сио [11, с. 544-545], три практических условия являются обязательными, если продавец хочет эффективно применить ценовую дискриминацию третьей степени: эластичность множественного спроса, сегментация рынка и «запечатывание» рынка.

Согласно теории (Чеканский, Фролова, 2008), первое условие, а именно эластичность спроса, меняется в зависимости от дохода, географического положения, а также имеющихся альтернатив и индивидуальных предпочтений. Это означает, что на рынке мобильной связи России, скорее всего, происходит сегментация рынка именно по этим критериям: доход потребителей определяется средним уровнем заработной платы, потребители делятся по географическому критерию в зависимости от принадлежности к разным регионам России, альтернативы определяются количеством компаний-конкурентов на рынке, а индивидуальные предпочтения - спросом на рынке, то есть количеством минут, которое потребители тратят на переговоры в месяц.

Второе условие означает, что продавец должен уметь разделять рынок на разные сегменты в соответствии с эластичностью спроса.

Суть последнего условия в том, что продавец должен пресекать на рынке попытки продажи аналогичного товара по более низким ценам, потому что в таком случае он будет вынужден снизить цену, что в итоге нейтрализует эффект дифференциации.

Чтобы установить, имеет ли место ценовая дискриминация третьего типа на рынке мобильной связи Российской Федерации, нужно выполнить ряд нижеследующих задач.

Во-первых, необходимо изучить ценовые стратегии мобильных операторов и выяснить, используют ли они стратегию «дифференциации тарифов по сегментам географических рынков». Данная стратегия является предпосылкой для применения ценовой дискриминации, так как является одним из условий ее успешного применения. В теории сказано, что покупатель должен уметь сегментировать рынок, а также проводить сегментацию в соответствии с определенными критериями, один из которых местоположение покупателя. Применение мобильными операторами ценовой стратегии «дифференциации тарифов по сегментам географических рынков» подтвердит, что компании в разных регионах устанавливают различные цены, а значит, сегментируют рынок, как минимум, по географическому принципу. Чтобы выяснить, осуществляется ли такая сегментация, необходимо собрать модельные данные по ценам на услуги мобильной связи во всех регионах Российской Федерации, а затем выяснить, меняются ли они в зависимости от региона. Кроме того, наличие привязки номера может быть аргументом в пользу «дифференциации тарифов по сегментам географических рынков», так как потребители не могут использовать тарифы более «дешевого» региона за пределами этого региона.

Во-вторых, необходимо выяснить, осуществляют ли компании сегментацию в соответствии с остальными критериями: в зависимости от доходов покупателей, а также от имеющихся альтернатив на рынке. Для этого необходимо построить модель множественной регрессии зависимости цен на мобильную связь в каждом регионе Российской Федерации от тех критериев, которыми определяется эластичность спроса, а именно: от среднего дохода на душу населения в каждом регионе, от спроса на услуги мобильной связи, от уровня конкуренции на рынке. Полученную модель необходимо протестировать. Если модель окажется значимой, то это подтвердит первое и самое главное условие для успешного осуществления ценовой дискриминации третьего типа.

Кроме того, очень важно изучить вопрос о себестоимости услуг мобильной связи, чтобы определить, может ли она в большой степени повлиять на изменение цены в зависимости от региона. Если себестоимость будет сравнительно мала, то это подтвердит ее незначительность при установлении цены и будет еще одним аргументом в пользу наличия ценовой дискриминации третьего типа на рынке.

В-третьих, важным доказательством гипотезы наличия ценовой дискриминации третьей степени является изучение конкуренции на рынке и ее влияние на установление цены. При изучении понятия ценовой дискриминации было выяснено, что одним из важных условий ее осуществления является «запечатывание» рынка, иными словами, установление барьера для вхождения на рынок новых компаний, а также жесткий контроль со стороны крупнейших компаний на рынке. Таким образом, для подтверждения наличия этого условия на рынке необходимо изучить зависимость цен от уровня конкуренции, чтобы проанализировать, оказывает ли влияние количество компаний на рынке на цену. Если будет установлено положительное влияние, то это будет означать, что в регионах, в которых присутствует малое количество операторов, к примеру, всего 3 мобильных оператора, будут более высокие цены на услуги связи, а значит, более высокий контроль над рынком со стороны этих компаний. В таких регионах есть риск того, что компании будут вступать в сговор с целью извлечения максимальной прибыли. Необходимо оценить данный риск, а также проанализировать, какие существуют барьеры для вхождения на данный рынок. Для этого нужно вычислить, какую долю рынка имеют крупнейшие компании, а также определить вероятность вступления в сговор.

Таким образом, для того чтобы установить, имеется ли на рынке ценовая дискриминация третьей степени, необходимо изучить ценовые стратегии мобильных операторов и выяснить, применяют ли он стратегию «дифференциации тарифов по сегментам географических рынков»; собрать данные о ценах на услуги мобильной связи, вычислить модельные данные стоимости мобильной связи в каждом регионе России и проанализировать их; построить модель множественной регрессии зависимости цены на услуги мобильной связи в каждом регионе от уровня жизни в данном регионе, спроса на мобильную связь и уровня конкуренции; протестировать полученную модель; изучить влияние конкуренции на стоимость мобильной связи, а также определить вероятность вступления в сговор крупнейших компаний на рынке. Если компании действительно применяют стратегию «дифференциации тарифов», полученная регрессионная модель будет значимой, уровень конкуренции будет существенно влиять на цену, будет определено, что на рынке существует высокая вероятность вступления в сговор, то гипотеза о наличии на рынке мобильной связи Российской Федерации ценовой дискриминации третьей степени будет подтверждена.

1.2 Обзор телекоммуникационной отрасли


Теперь, когда определены основные задачи исследования, необходимо в первую очередь ознакомиться с телекоммуникационной отраслью в целом для того, чтобы иметь общее представление об изучаемом рынке.

Как известно, телекоммуникационная отрасль в России на данный момент находится на стадии своего бурного роста и развития. В статьях Е.В. Дударенко (Дударенко, 2011) и А.С. Курасова (Курасов, 2010) рассказывается о том, как важно происходящее в настоящее время развитие мобильных сетей для ценообразования и для конкурентоспособности операторов. Строительство сетей нового поколения позволяет значительно снизить себестоимость мобильной связи и Интернета и, кроме того, повысить качество связи и скорость передачи данных, что ведет к увеличению прибыли операторов. В скором времени в России, по мнению авторов, сети нового поколения LTE будут повсеместно использоваться, что повысит рентабельность компаний, предоставляющих услуги сотовой связи. Кроме того, в статье О.Н. Пищина (Пищин, 2009) изучается и подтверждается важность инновационной деятельности для повышения прибыли и конкурентоспособности компании.

Что касается самой отрасли, то в своей статье Н.М. Розанова и Д.А. Буличенко (Розанова, Буличенко, 2011) проводят обзор телекоммуникационной отрасли и отдельных ее элементов.

Как утверждают авторы, в настоящее время телекоммуникационная отрасль - это самая быстрорастущая отрасль, которая развивается огромными темпами благодаря технологическому прогрессу. Именно эта отрасль в наше время обеспечивает конкурентоспособность страны на международном уровне.

Как подчеркивают авторы Л.А. Журавлева и В.С. Слободкин (Журавлева, Слободкин, 2006), для российской экономики успешное и динамичное развитие телекоммуникационной отрасли очень важно. Техническая база, оставшаяся после СССР, была морально устаревшей и оставляла желать лучшего, а уровень проникновения связи страну был очень низким. А для успешного развития такой большой страны как Россия необходима высокоразвитая телекоммуникационная инфраструктура.

Н.М. Розанова и Д.А. Буличенко (Розанова, Буличенко, 2011) дают определение телекоммуникационной отрасли. «Телекоммуникационная отрасль - это отрасль доступа: клиентам предлагается доступ к технологическим возможностям без права владения ими».

В связи этим возникает ряд вопросов, связанных с формированием ценовой и неценовой политики фирмы.

Традиционно предполагается, что телекоммуникационная отрасль является олигополией или монополистической конкуренцией, как утверждают в статье авторы. Такое мнение было широко распространено среди зарубежных авторов, к примеру, среди Паркера и Роллера (Parker, Röller, 1997), Валетти (Valletti, 1999), Кейва (Valletti, Cave, 1998), Столе (Stole, 1995), и описано в их работах конца 20 века.

К сожалению, эта область мало изучена, исследования практически не проводятся. Данная отрасль имеет свои особенности, и характер ее продукта имеет немного иную природу, нежели в других отраслях. Именно поэтому, по мнению авторов, не вполне корректно применять базовые модели к данной области.

Наиболее подходящей для изучаемой отрасли модель, по мнению Н.М. Розановой и Д.А. Буличенко (Розанова, Буличенко, 2011), является базовая модель рынка с сетевыми эффектами, дифференциальным продуктом и небольшим числом участников (сетевая олигополия), впервые предложенная британскими экономистами Джоном Саттоном и Авнером Шейкидом (Shaked, Sutton, 1984). В основе этой модели лежит дифференциация продукта. Каждый продукт может характеризоваться через набор его свойств. Каждое из свойств может выступать в качестве фактора продуктовой дифференциации. То есть в глазах потребителя этот товар выделяется среди остальных похожих продуктов именно из-за этого свойства. Дифференциация существует до тех пор, пока потребители воспринимают разные товарные марки в качестве заменителей. Так, например, если покупатели считают, что лекарство, выпускаемое фирмой «А» лучше, чем то же самое лекарство (с тем же химическим составом), выпускаемое фирмой «Б», то этот товар можно рассматривать, как дифференциальный. И наоборот: если потребители воспринимают два разных по свойствам товара как близкие друг другу заменители, то такой товар не может считаться дифференцированным.

Такая дифференциация выгодна и покупателям и фирме. Если потребители выделяют товар фирмы среди других, то эта фирма может поднять цену. Если на рынок пришла новая фирма, то для потребителей становится больше продуктового разнообразия, что также для них хорошо.

Кризис 2008 года привнес существенные изменения в отрасль мобильной связи.

Из-за потери абонентов и, соответственно, прибыли операторы были вынуждены искать новые конкурентные решения. В связи с этим стал изменяться рынок и его границы.

В настоящее время, как в своей статье пишет Харно (Harno, 2010), залогом успешности для операторов является улучшение качества предоставляемых услуг, что, безусловно, ведет к повышению цен. В связи с этим необходима тщательная работа над оптимизацией тарифов, разработками новых услуг, правильным ценообразованием.


1.3 Себестоимость услуг сотовой связи


Теперь стоит рассмотреть особенности расчетов себестоимости и издержек на услуги мобильной связи. Необходимо понять, насколько сильно эти показатели влияют на ценообразование в сфере мобильных телекоммуникаций. Себестоимость услуг сотовой связи, несомненно, влияет на стоимость мобильной связи, так как любая компания стремится к максимизации своей прибыли, а для этого необходимо покрывать свои издержки. Способы расчета себестоимости могут быть разными, и, в зависимости от них, цены на услуги сотовых операторов могут существенно меняться, а с ними меняться и цены. Кроме того, в условиях современного российского рынка мобильной связи, являющегося олигополизированным, операторы могут себе позволить устанавливать цены, существенно превышающие себестоимость услуг и издержки.

Рассмотрим статью Н.О. Шпагиной (Шпагина, 2009) «Проблемы исчисления себестоимости услуг в компаниях сотовой связи». В ней рассматривается новый подход к исчислению себестоимости услуг компаний сотовой связи.

Основной проблемой, которую выделяет автор, является проблема ошибочного расчета себестоимости того или иного продукта сотовой связи, влекущего за собой принятие ошибочных управленческих решений и, как следствие, потерю прибыли.

В своем исследовании автор выдвигает гипотезу о том, что требуется создание принципиально нового механизма управления затратами на услуги сотовой связи, который бы учитывал особенности рынка мобильной связи. Это необходимо для принятия верных управленческих решений и проведения разумной ценовой политики.

Н.О. Шпагина (Шпагина, 2009) считает, что нужен не один универсальный метод исчисления себестоимости, а система методов, каждый из которых будет учитывать особенности того или иного продукта. Однако, по мнению Н.О. Шпагиной, «необходимо единство методологического подхода».

За основу автор предлагает использовать метод затрат по функциям, или, так называемый, ABC-метод. Этот метод позволяет более точно оценить себестоимость продукта компании, так как основан на том, что затраты компании исчисляются как совокупность настоящих стоимостей каждой отдельно взятой хозяйственной операции, осуществляемой компанией. Вдобавок, данный метод предполагает перевод накладных расходов в прямые затраты. ABC-метод эффективен в условиях, когда косвенные расходы компании превышают прямые, как в случае с компаниями сотовой связи. Косвенные издержки компаний-операторов подробно описаны и проанализированы в статье Бакмана Ю.А., Панфилова В.С. (Бакман, Панфилов, 2008). Анализ данной статьи показывает, что мобильные операторы действительно имеют больше косвенных издержек, чем прямых.

Для подтверждения эффективности предлагаемой автором методики исчисления в статье приводится пример расчета себестоимости услуг мобильного оператора «Билайн» в Саратовском филиале. По результатам расчетов Н.О. Шпагиной (Шпагина, 2009) было установлено, что себестоимость одной секунды услуг при расчете традиционным методом составляет 0,0048 рублей, себестоимость одного короткого сообщения - 0,0006 рублей, передачи одного мегабайта данных - 2,667 рублей. Но при расчете полной себестоимости услуг, включающей косвенные затраты, установлено, что себестоимость одной секунды услуг составляет 0,0158 рублей, себестоимость одного короткого сообщения - 0,0019 рублей, передачи одного мегабайта данных - 8,738 рублей.

В конце статьи автор, обобщив материалы своего исследования, делает вывод, что предложенный метод расчета себестоимости услуг сотовой связи является более эффективным, что способствует принятию верных управленческих решений и ведению грамотной политики ценообразования.

Расчеты, проведенные в данной статье, позволяют оценить себестоимость услуг сотовой связи и примерно посчитать, какую долю занимает себестоимость в рыночной цене услуг. Как видно, себестоимость сотовой связи намного ниже ее рыночной цены. Так как рынок мобильной связи в России является олигополизированным, операторы могут себе позволить устанавливать цены, существенно превышающие их издержки, а это значит, что себестоимость хоть и оказывает влияние на ценовые стратегии операторов, но не такое значительное, как другие факторы.

1.4 Ценовые стратегии на рынке сотовой связи. Понятие, виды


После того, как было выяснено, что себестоимость не является основным показателем, влияющим на стоимость мобильной связи, необходимо рассмотреть виды ценовых стратегий, существующих на рынке сотовой связи, а также выявить, какие показатели больше всего влияют на ценообразование.

Для начала стоит дать определение понятию «ценовая стратегия».

«Ценовая стратегия - это стратегическая линия, проводимая продавцами товаров в отношении установления цен предложения на рынке» [9, с. 302].

Существует несколько основных стратегий ценообразования на рынке мобильной связи. Обзор работ российских авторов на эту тему показал, что, в основном, мобильные операторы используют сразу несколько ценовых стратегий. Было рассмотрено несколько статей, в которых раскрывается суть ценовых стратегий, а также выделяются и изучаются их виды.

В статье С.В. Фисейского «Современное состояние экономики связи» (Фисейский, 2008) автор рассматривает методы и модели ценообразования на рынке мобильной связи.

Основная предпосылка статьи заключается в том, что в настоящее время рынок сотовой связи в России находится на стадии стабильного развития, а конкуренция на данном рынке приводит к изменению цен на различные тарифы. Мобильная связь становится все более доступной для абонентов с невысокими доходами.

С.В. Фисейский выдвигает гипотезу о том, что гибкая тарифная политика является важнейшим фактором формирования спроса на изучаемом рынке. Причем, согласно автору, ориентироваться при выборе стратегии ценообразования лучше всего на конкурентов.

Всего, согласно автору, существует шесть вариантов стратегий управлением тарифами.

Первая стратегия, именуемая стратегией «снятия сливок» предполагает установление завышенной цены на новую услугу, аналоги которой отсутствуют у конкурентов.

Вторая стратегия - стратегия цен проникновения. Производитель устанавливает минимальную цену на тарифный план, тем самым переманивая к себе клиентов своих конкурентов.

Кроме того, рассматривается стратегия дифференцированного ценообразования. Она предусматривает установление разных цен на услуги в зависимости от сегмента рынка, на который они ориентированы, либо в зависимости от географического положения, а также допускает применение скидок для разных потребителей (например, в зависимости от интенсивности потребления услуг).

Четвертой стратегией, отмеченной автором, является стратегия ассортиментного ценообразования. Придерживаясь такой стратегии, компания сотовой связи назначает цену не на услуги, а на их группы. В группу входит, как правило, набор из основной услуги и дополнительных, которые делают услугу более привлекательной.

Следующая стратегия, отмеченная С.В. Фисейским, называется стратегией психологического ценообразования. Такая стратегия основана на том, чтобы методами психологического воздействия вызвать у клиентов интерес к услуге, создавая иллюзию ее привлекательности и выгодности.

Последняя стратегия, которая отмечается в статье, - стратегия конкурентного ценообразования. Заключается она в том, что компании ориентируются на цены конкурентов при установлении своих цен.

Автор отмечает, что зачастую одновременно используется несколько стратегий ценообразования, но для того, чтобы определить, какой из методов является более эффективным, как отмечено в статье, необходимо провести более глубокое исследование.

В конце статьи автор делает вывод, что, наиболее эффективной является стратегия ориентации на конкурентов. Кроме того, автор отмечает, что для точности ценообразования необходимо правильно рассчитывать себестоимость услуг, а также верно спрогнозировать направления развития телекоммуникационной отрасли.

В другой статье под названием «Перспективные стратегии российских предприятий сотовой связи» (Качалов, Кобылко, 2009) авторы Р.М. Качалов и А.А. Кобылко проводят анализ отрасли сотовой связи, выявляют и структурируют основные направления стратегических решений ценообразования, рассматривают дальнейшие перспективы развития рынка телекоммуникационных услуг, и, в частности, перспективы развития крупных компаний - мобильных операторов.

Авторы в первую очередь отмечают, что с развитием сотовой связи в России происходили изменения в рыночных стратегиях компаний-операторов. Сначала преимущественным для них являлось освоение московского региона, а развитие в остальных регионах проходило более медленно. Затем появилась необходимость переноса активности в другие регионы, и, наконец, в страны СНГ.

Когда рынок сотовой связи России столкнулся с проблемой высокого уровня проникновения мобильной связи, операторы начали уделять особое внимание различным стратегиям ценообразования и комбинировать их.

В статье выделяются наиболее распространенные стратегии, такие как: стратегия «снятия сливок», предполагающая установление завышенных цен; «облегченное проникновение», когда оператор намеренно устанавливает низкие цены; «дифференциация тарифов по сегментам географических рынков», когда цены меняются в зависимости от географического положения абонентов; «гонка за лидером», означающая, что на рынке существует компания-лидер, устанавливающая свою цену, и на эту цену ориентируются все остальные компании при ценообразовании. Разные операторы используют разные стратегии, чаще всего сразу несколько стратегий в зависимости от конъюнктуры рынка в регионах.

Если сначала российские операторы в основном ориентировались на богатые слои населения, то теперь возникла необходимость дифференциации услуг и создания тарифных планов, ориентированных на людей с разным уровнем достатка.

Как отмечают авторы, в настоящее время стратегия ценообразования крупных компаний-операторов зависит не только от себестоимости услуг, но также от положения оператора на рынке в конкретном регионе, от уровня конкуренции на рынке. Выбор ценовой стратегии является очень важным, так как влияет на прибыль сотовых операторов. Несмотря на то, что рынок сотовой связи в России является олигополизированным, в последнее время появляется все больше операторов, готовых предоставлять услуги по более низким ценам.

Авторы считают, что переход крупных компаний сотовой связи на новую технологию 4G значительно повысит их конкурентоспособность на рынке, что поможет им вытеснить более мелких конкурентов с рынка. Новая технология обеспечит более высокую скорость передачи данных и значительно улучшит качество связи и, вдобавок ко всему, в долгосрочной перспективе снизит себестоимость сотовой связи.

В завершение статьи авторы делают выводы о том, что стратегии ценообразования мобильных операторов в целом схожи между собой. В настоящее время предприятия сотовой связи делают упор на дифференциацию услуг и тарифных планов, а также на развитие технологий нового поколения, позволяющих улучшить качество связи.

В следующей статье «Стратегии ценообразования на региональных рынках предприятий сотовой связи России» (Кобылко, 2009) автор А.А. Кобылко рассматривает стратегии ценообразования крупных компаний-операторов сотовой связи, делая основной уклон на изучение разных регионов России.

Основной проблемой, которую выделяет автор, является факт того, что в зависимости от региона операторы устанавливают разные цены на единицу мобильной связи. Особенно разница заметна на примере Москвы и московской области, где цена за минуту разговора в несколько раз выше, чем цены в других регионах.

Гипотезой автора является предположение о том, что на ценовую стратегию оператора в том или ином регионе влияет уровень жизни в этом регионе. Также автор, проведя некий анализ, отмечает, что на ценообразование может влиять не только уровень жизни, но также уровень конкуренции данного региона и, кроме того, в некоторых случаях состояние городской телефонной сети.

В статье автор подчеркивает важность развития 3G сетей для предприятий сотовой связи, так как этот фактор значительно повышает конкурентоспособность мобильного оператора.

В целом, выводы, сделанные А.А. Кобылко, говорят о том, что с развитием в России технологии 4G ценовые стратегии операторов изменятся, так как расширятся их возможности в количестве предоставляемых услуг. Операторы будут предоставлять не только услуги сотовой связи, но также скоростной беспроводной Интернет, так что конкуренция на рынке, по их мнению, сильно возрастет.


1.5 Влияние спроса на ценовые стратегии. Инновационная активность компаний-операторов мобильной связи


Зарубежные рынки мобильной связи также исследовались с точки зрения применения участниками рынка стратегий ценообразования. Многие авторы пишут о важности конкуренции в процессе ценообразования услуг мобильных операторов.

Так, например, в статье «Demand and innovation in services: The case of mobile communication» (Corrocher, Zirulia, 2010) и «Me and you and everyone we know: an empirical analysis on consumers choices and local network externalities in mobile communications» (Corrocher, Zirulia, 2009) авторы производят эмпирический и теоретический анализ стратегий ценообразования на рынке мобильной связи Италии.

Само исследование интересно тем, что авторами изучается не просто поведение игроков на рынке и цены, которые они устанавливают, а анализируется разработка операторами сотовой связи новых тарифных планов. То есть изучается инновационная деятельность компаний. Ценообразование рассматривается в разрезе комбинаций услуг, которые вместе составляют тарифный план.

Основной гипотезой исследования является гипотеза о том, что разработка новых тарифных планов тесно связана с поведением потребителей. Потребители выступают как источник информации, опираясь на который, операторы создают новые тарифы. Таким образом, авторы предполагают, что основной движущей силой меняющихся ценовых стратегий является спрос на те, или иные услуги, которые входят в тарифный план. Кроме того, в статье подчеркивается, что очень важным является количество абонентов у компаний-операторов. У компаний с большим количеством абонентов имеется больше возможностей для получения информации, поэтому они имеют преимущество перед остальными предприятиями сотовой связи.

В статье выделяются основные составляющие каждого тарифа. Авторы обозначают основные пункты, по которым тарифы отличаются друг от друга. В зависимости от своей ценовой стратегии мобильные операторы выбирают, каким в итоге получится новый тарифный план. Тарифы делятся на предоплатные и постоплатные. Кроме того, наблюдается дифференциация либо в зависимости от длительности разговора, либо от региона, в котором находится абонент, либо от дня недели или времени, в которое происходит разговор. Цена на тарифный план может обозначаться либо за единицу (например, за 1 звонок), либо за минуту. Также тариф может учитывать специальные скидки, иметь разные цены на внутресетевые и внешние звонки и т.д. Каждый оператор, согласно авторам, выбирает собственные рычаги, составляющие основу нового тарифного плана.

Кроме того, на эту же тему были написаны статьи авторов Limkeatcherdchoo S., Whalley J., Ackermann F. (Limkeatcherdchoo at al, 2005), которые поддерживают работу авторов Corrocher и Zirulia (Corrocher, Zirulia, 2010) и берут ее за основу своих трудов.

В завершение статьи авторы делают выводы, что спрос оказывает большое влияние на ценовую стратегию мобильных операторов. Это влияние происходит из-за того, что изучение поведения потребителя позволяет осуществить более точную сегментацию рынка, что вызывает необходимость создания разных тарифов для потребителей в зависимости от уровня дохода, места жительства, возраста. Кроме того, спрос на услуги увеличивает стимул к созданию новых тарифных планов. Возрастающая конкуренция только усиливает этот стимул, так как конкуренты стараются опередить друг друга в инновационной деятельности. Поэтому в дополнение ко всему важным является общий размер рынка, степень его насыщенности.

Стоит добавить, что авторы придерживаются мнения, что именно спрос, а не конкуренция влияет на ценовые стратегии предприятий сотовой связи. Конкуренция же интерпретируется как динамический процесс обеспечивающий компаниям дополнительный стимул для создания новых тарифных планов, направленных на удовлетворение потребностей абонентов.

Сначала было выявлено понятие ценовой дискриминации третьей степени, ее основные черты и условия для ее осуществления. Для того чтобы подтвердить гипотезу о ее наличии, необходимо подтвердить выполнение этих условий на изучаемом рынке. В связи с этим были выделены основные направления исследования:

изучение понятия ценовых стратегий и выявление основных ценовых стратегий, применяемых на рынке мобильной связи РФ;

сбор данных о ценах на тарифы, предоставляемые российским абонентам во всех регионах РФ мобильными операторами, действующими на изучаемом рынке;

расчет модельных данных по ценам на мобильную связь по операторам связи в разрезе отдельных регионов РФ;

эмпирический анализ изменения цен на мобильную связь в зависимости от региона РФ, прослеживание динамики изменения цен и формирование выводов о ценовых стратегиях, применяемых на изучаемом рынке;

построение и тестирование модели множественной регрессии, и определение факторов, влияющих на формирование цены на рынке;

изучение конъюнктуры рынка, анализ конкуренции на рынке, изучение возможности наличия ценовой дискриминации на рынке.

Кроме того, при проведении обзора литературы было обнаружено, что в исследованиях рынка мобильной связи выделен ряд ценовых стратегий, используемых операторами. К ним относятся: стратегия «снятия сливок», стратегия «облегченного проникновения», «дифференциации тарифов по сегментам географических рынков», «гонка за лидером», стратегия «конкурентного ценообразования», «психологического ценообразования», «ассортиментного ценообразования».

Также обзор показал, что цены на услуги предприятий сотовой связи зависят не столько от себестоимости этих услуг, сколько от спроса на них, от сегмента рынка, на который рассчитан тот или иной продукт, от уровня конкуренции на рынке, а также от показателя среднего уровня жизни населения, что является аргументом в пользу выполнения на рынке первого условия наличия ценовой дискриминации третьей степени. Так же было выяснено, что ценовая стратегия, которой придерживаются операторы мобильной связи, может меняться, комбинироваться и состоять из нескольких наиболее часто используемых стратегий.

Далее будет произведен расчет цен на услуги сотовой связи в каждом субъекте РФ и произведен анализ стратегий ценообразования операторов мобильной связи. А также особое внимание будет уделено стратегии «дифференциации тарифов по сегментам географических рынков».


2. Исследование рынка мобильной связи Российской Федерации


Как было отмечено ранее, в данной работе исследуется проблема ценообразования на рынке мобильной связи Российской Федерации. Интерес представляют ценовые стратегии, используемые мобильными операторами. Кроме того, наличие на рынке сегментации в соответствии с доходами покупателей, их месторасположением, существующими альтернативами и индивидуальными предпочтениями подтверждает наличие на рынке первого и второго условий применения ценовой дискриминации третьей степени. Поэтому необходимо изучить ценовые стратегии операторов и определить факторы, влияющие на изменение цены в зависимости от региона.

2.1 Сбор данных. Методология расчета стоимости мобильной связи


Для начала были собраны данные о ценах на мобильную связь. Для данной бакалаврской работы не использовались готовые данные по ценам на услуги мобильной связи, а было проведено исследование, сбор и калькуляция данных по собственной методологии автора данной работы, опирающейся на методологию компании «ComNews Research».

Для расчета средней стоимости услуг компаний-операторов мобильной связи был выбран способ, который называется: расчет стоимости единого набора услуг (или, иными словами, рассчитывалась стоимость потребительской «корзины»). Этот метод давно используется зарубежными странами при подсчете стоимостей мобильной связи в разных странах для последующего сравнения их.

Предполагается, что ежемесячно каждый абонент потребляет определенный набор услуг (в дальнейшем этот набор будет называться потребительской «корзиной»): совершает определенное число звонков, отправляет определенное количество текстовых сообщений, пользуется услугами Интернет. Таким образом, потребительская «корзина» включает в себя совокупность тех услуг, которыми пользуется один абонент в течение месяца. Но так как каждый абонент имеет разный набор услуг, а учесть каждого абонента в отдельности практически невозможно, в исследовании используется среднее значение набора услуг, потребляемого одним абонентом каждый месяц. Но некоторые абоненты являются более активными, тогда как другие практически не пользуются услугами мобильной связи, а звонки совершают крайне редко. Именно поэтому, согласно выбранной методологии, все абоненты делятся на три группы: абоненты с низкой активностью - они потребляют «малую корзину», абоненты со средней активностью, потребляющие «среднюю корзину», и наиболее активные абоненты с «дорогой корзиной».

«Малая корзина» включает в себя минимум услуг, которыми пользуются абоненты в течение месяца. Как правило, пользователями малой корзины являются несовершеннолетние люди либо люди старшего поколения. В «малую корзину» входят недорогие тарифы, включающие в себя минимальный набор услуг, скидки, специальные предложения.

«Средняя корзина» рассчитана на абонентов со средним потреблением услуг сотовой связи. Как правило, такой «корзиной» пользуется среднестатистический житель России. Категория тарифов со средней стоимостью услуг занимает большую часть в системе тарифов любого сотового оператора. Абоненты, имеющие среднее потребление услуг мобильной связи, обычно выбирают стандартные постоплатные либо легкие предоплатные тарифы. Чаще всего эти тарифы не имеют запутанной системы скидок и рассчитаны на потребителя, не склонного вникать в тонкости тарификации.

«Дорогая корзина» рассчитана на активных пользователей, использующих большой трафик входных и выходных данных. «Дорогая корзина», как правило, охватывает безлимитные тарифы либо тарифы с высокой абонентской платой.

В данной работе были использованы данные «средней корзины», так как «корзина» со средним потреблением услуг является самой широко используемой и рассчитана на среднего потребителя. То есть, стоимость «средней корзины», которая рассчитывалась для данного исследования, наиболее точно отражает среднюю стоимость мобильной связи в разных регионах России.

Данные об объеме потребления услуг сотовой связи и распределении исходящих звонков по продолжительности и направлениям были взяты из отчета компании «ComNews Research»:

Таблица 1. Данные об услугах, входящих в «среднюю корзину», рассчитанные согласно методологии ОЭСР


Вызовы на городские номера

Междугородные вызовы

Внутресетевые звонки

Звонки на мобильные сети других операторов

Звонки на голосовую почту

SMS

MMS

Интернет, Мбайт

Кол-во единиц

17

9

57

29

9

50

1

8

Кол-во минут

1,8

1,8

1,9

1,7

0,8

-

-

-


Таким образом, из таблицы видно, что в среднем каждый абонент, проживающий на территории Российской Федерации, в месяц совершает 17 вызовов на городские номера продолжительностью 1,8 минут; 9 междугородных вызовов, продолжительностью 1,8 минут; 57 внутресетевых звонков по 1,9 минут каждый; 29 звонков на мобильные сети других операторов по 1,7 минут; совершает 9 звонков на голосовую почту, продолжительностью 0,8 минут; и, кроме того, отправляет 50 текстовых сообщений, 1 MMS и тратит 8 Мбайт трафика сети Интернет.

В данной работе была рассчитана стоимость «средней» потребительской «корзины» в каждом регионе Российской Федерации. Так как в ходе анализа рынка стало известно, что у каждого мобильного оператора в разных регионах страны на один и тот же тарифный план устанавливаются разные цены, то это значит, что стоимость потребительской корзины в каждом регионе разная.

Для вычисления средней стоимости «корзины» производились расчеты стоимости услуг сотовой связи по каждому крупному оператору мобильной связи в каждом регионе. Для этого были выбраны следующие операторы: крупнейшие компании сотовой связи, входящие в «большую тройку», «МТС», «МегаФон» и «Билайн», а также операторы «Теле2», «Ростелеком», «МОТИВ», «СМАРТС».

Для вычисления стоимости «средней корзины» абонента в каждом регионе России у каждого оператора мобильной связи был выбран наиболее экономичный средний тариф. Для этого были изучены цены на звонки, SMS, MMS, Интернет у разных тарифов и выбран наиболее подходящий средний постоплатный или предоплатный тариф.

К таким тарифам относились либо предоплатные тарифы, имеющие среднюю стоимость ежемесячной абонентской платы и включающие пакет услуг, соответствующий потреблению, представленному в Таблице 1, либо постоплатные тарифы, имеющие одинаковую стоимость как на внутресетевые звонки, так и на мобильные номера других операторов.

Из выбранных тарифов брался наиболее экономичный у каждого оператора, и рассчитывалась стоимость «корзины» по каждому субъекту Федерации. Расчеты производились по одному и тому же тарифу у каждого оператора для того, чтобы полученные данные можно было сравнить между собой. После расчетов стоимости «средней корзины» по каждому оператору вычислялась средняя стоимость мобильной связи в регионе как среднее арифметическое от стоимостей «корзин» каждого мобильного оператора в регионе.

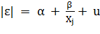
Таким образом, формула вычисления цены на мобильную связь у постоплатного тарифа в i-том регионе у j-го оператора получилась следующая:


где:

 - цена мобильной постоплатного тарифа «корзины» j-го оператора в i-том регионе,

 - стоимость первой минуты звонка на городской номер у j-го оператора в i-том регионе,

 - стоимость последующих минут звонка на городской номер у j-го оператора в i-том регионе,

 - стоимость междугороднего звонка у j-го оператора в i-том регионе,

 - стоимость первой минуты внутрисетевого звонка у j-го оператора в i-том регионе,

 - стоимость последующих минут внутрисетевого звонка у j-го оператора в i-том регионе,

 - стоимость первой минуты звонка на телефоны других операторов у j-го оператора в i-том регионе,

 - стоимость последующих минут звонка на телефоны других операторов у j-го оператора в i-том регионе,

 - стоимость звонка на голосовую почту у j-го оператора в i-том регионе,

 - стоимость SMS-сообщения у j-го оператора в i-том регионе,

 - стоимость MMS-сообщения у j-го оператора в i-том регионе,

 - стоимость 1 мегабайта трафика у j-го оператора в i-том регионе,

 - дополнительные платежи у j-го оператора в i-том регионе.

Что касается предоплатных тарифных планов, то расчет стоимости «корзины» по ним производился по следующей выведенной формуле:

Таким образом, стоимость мобильной связи в каждом регионе Российской Федерации была рассчитана по следующей выведенной формуле:


где:

 - стоимость мобильной связи в i-том регионе,

 - стоимость мобильной связи у j-го оператора в i-том регионе,

 - количество крупных операторов, действующих в i-том регионе.

Данным способом в каждом из 83 субъектов Российской Федерации была вычислена стоимость потребления мобильной связи у каждого оператора и средняя по каждому региону стоимость мобильной связи.

Стоит также отметить, что при расчете стоимости междугородних звонков бралась цена за звонок в любой регион России на мобильные номера абонентов того же оператора. То есть, к примеру, когда производился расчет стоимости междугородних звонков в месяц для абонента сети «МТС», то бралась цена междугородней связи за минуту соединения для этого абонента на мобильные телефоны «МТС». Таким образом, было сделано допущение, что абоненты чаще всего совершают внутресетевые междугородние звонки, так как такие звонки, как правило, дешевле.

Кроме того, если в описании тарифа дополнительно не была указана цена за сообщение на голосовую почту, то учитывалась цена за минуту исходящего вызова на мобильные номера других операторов.

Также стоит отметить, что в стоимости «корзины» учитывалась стоимость исходящих SMS-сообщений, посылаемых в пределах региона, в котором находится абонент.

В случаях, когда в каком-то субъекте федерации оператор мобильной связи не предоставлял выбранный для расчетов тарифный план, в этом регионе расчет производился по тарифу, наиболее приближенному по описанию к выбранному.

У мобильного оператора «МТС» был выбран постоплатный тарифный план «Red Energy», у мобильного оператора «МегаФон» - предоплатный тарифный план «МегаФон - Все включено S», у «Билайна» - предоплатный тарифный план «Все включено L».

У оператора «Теле2» основной выбранный тарифный план - «Все на связи», являющийся постоплатным. В тех регионах, где «Теле2» не имеет данного тарифа, производились расчеты по постоплатному тарифному плану «Так просто».

У оператора «Ростелеком» все расчеты производились по постоплатному тарифному плану «Общение на равных», у оператора «МОТИВ» - по постоплатному тарифу «Оп-па», у оператора «СМАРТС» в основу расчетов был взят предоплатный тарифный план «Хит сезона», в случаях его отсутствия - «Все просто».

2.2 Эмпирическое исследование. Анализ ценовых стратегий


После вычисления стоимости «потребительской корзины» в каждом регионе Российской Федерации был произведен эмпирический анализ полученных цен: были выявлены регионы, в которых мобильная связь наиболее дорогая, а также регионы с самой дешевой мобильной связью. Кроме того, была выявлена средняя стоимость мобильной связи. Это помогло сравнить цену каждого мобильного оператора со средней ценой и выявить, кто из операторов завышает или занижает цену. Кроме того, благодаря анализу можно проследить, меняется ли цена в зависимости от региона или нет, а также сравнить динамику цен у нескольких операторов: похожи ли их стратегии, одинаково ли меняются у них цены. По результату данного исследования можно сделать выводы относительно ценовых стратегий мобильных операторов и выяснить, применяют ли операторы стратегию «дифференциации тарифов по сегментам географических рынков». Применение данной стратегии подтвердит наличие сегментации на рынке в зависимости от месторасположения потребителей и станет первым аргументом в пользу наличия ценовой дискриминации третьей степени на рынке мобильной связи Российской Федерации.

Анализ цен на мобильную связь у разных операторов в разных регионах

Как показали наблюдения, каждый оператор в разных субъектах РФ на один и тот же тарифный план устанавливает разные цены. В основном цена на междугородние соединения является одинаковой во всех регионах. Также практически не изменяется стоимость 1 Мбайта передачи данных в сети Интернет. Чаще всего изменения наблюдаются в стоимости одной минуты исходящего вызова на любые телефоны, а также в цене за отправку одного SMS-сообщения. В предоплатных тарифах, у которых установлена фиксированная ежемесячная плата, изменяется количество услуг, входящих в пакет тарифного плана. В регионах, где стоимость мобильной связи выше, в рамках таких тарифов предусмотрено меньшее количество бесплатных минут и SMS.

После произведенных расчетов было выяснено, что средняя стоимость услуг мобильной связи в России составляет 343,5 рубля в месяц. Также были выделены субъекты с наиболее низкой стоимостью услуг мобильной связи и субъекты с самой дорогой мобильной связью. Полученные данные представлены в таблицах, расположенных ниже.


Таблица 2. Регионы с наиболее низкой ценой «средней корзины»

Регионы

Стоимость корзины, руб.

1. Ивановская область

255,4

2. Владимирская область

259,8

3. Краснодарский край

260,4

4. Республика Адыгея

260,4

5. Калужская область

261,6

6. Рязанская область

261,6

7. Брянская область

263,5

8. Республика Калмыкия

264,5

9. Орловская область

265,0

10. Курская область

265,4

11. Астраханская область

267,9

12. Костромская область

270,7

13. Тверская область

272,6

14. Тульская область

275,8

В среднем по России

343,5


Таблица 3. Регионы с наиболее высокой ценой «средней корзины»

Регионы

Стоимость корзины, руб.

1. Москва и МО

626,1

2. Чукотский АО

512,6

3. Республика Саха (Якутия)

506,1

4. Ханты-Мансийский АО - Югра

485,7

5. Сахалинская область

478,2

6. Ямало-Ненецкий АО

473,0

7. Ненецкий АО

463,3

8. Пермский край

448,8

9. Забайкальский край

417,3

10. Республика Дагестан

417,3

11. Чеченская Республика

417,3

12. Магаданская область

411,6

13. Тюменская область

411,5

14. Хабаровский край

406,9

В среднем по России

343,5


Стоит отметить следующую закономерность: в регионах с наиболее низкой стоимостью услуг сотовой связи действует, как правило, 4 оператора мобильной связи и больше. В регионах с самой дорогой мобильной связью, наоборот, количество предприятий сотовой связи ограничивается операторами «большой тройки».

Данные о средней цене на мобильную связь по операторам представлены на Рисунке 1.

Рисунок 1. Средняя цена на мобильную связь в России по операторам

Расчет цен по регионам показал, что наиболее дешевым оператором сотовой связи является компания «Теле2». Средняя стоимость «корзины» составляет 268 рублей. Это на 22% ниже средней стоимости мобильной связи в России.

Из крупнейших компаний сотовой связи - так называемой «большой тройки» - наиболее дешевыми являются тарифные планы оператора «Билайн», средняя стоимость «корзины» которого составляет 316 рублей, что на 8% ниже средней стоимости мобильной связи в России. Самым дорогим оператором среди компаний «большой тройки» является «МТС» - стоимость потребительской корзины составляет 373 рубля (это на 8,5% выше среднерыночной цены), следом идет оператор «МегаФон», средняя стоимость услуг которого равна 364 рубля (на 6% выше средней цены).

Среди всех изученных предприятий сотовой связи наиболее дорогими являются операторы «МОТИВ» и «Ростелеком» - 411 рублей (почти на 20% выше средней стоимости) и 384 (на 12% выше среднерыночной стоимости) рубля соответственно. Оператор «СМАРТС» имеет такую же низкую цену, как «Теле2», и его можно отнести к разряду наиболее дешевых операторов сотовой связи. Средняя цена «корзины» составляет 270 рублей, что на 21% ниже средней стоимости мобильной связи по России.

Также был составлен рейтинг мобильных операторов по количеству регионов, где оператор предоставляет наиболее дешевый тариф «средней корзины». Результат представлен на Рисунке 2.

Рисунок 2. Рейтинг операторов по количеству регионов, в которых оператор предоставляет наиболее дешевый тарифный план

Как видно, оператор «МегаФон» лидирует в данном рейтинге. Он предоставляет наиболее дешевый тарифный план в 27 регионах. Второе место занимает оператор «Билайн», а «Теле2» находится только на третьем месте, хотя по средней цене на мобильную связь является наиболее выгодным оператором.

В данном рейтинге компания «Теле2» находится на третьем месте потому, что здесь не учитывается количество регионов, в которых действуют операторы мобильной связи. «МегаФон» и «Билайн» действуют в 83 субъектах Российской Федерации и в 27 и 22 из них соответственно предоставляют самый дешевый тариф «средней корзины», а оператор «Теле2» действует всего лишь в 42 субъектах и в 20 из них предоставляет наиболее дешевый тарифный план. Если сравнить эти значения в долях, то получится, что «Теле2» предоставляет наиболее выгодный тарифный план чаще, чем «МегаФон» или «Билайн».

Оператор «МОТИВ» отсутствует в данном рейтинге, потому что не предоставляет наиболее экономный тарифный план ни в одном регионе РФ, а значит, является наименее выгодным. «Ростелеком» также является невыгодным тарифным планом, так как предоставляет наиболее дешевый тариф только в 1 регионе.

Оператор мобильной связи «МТС» предлагает абонентам самый выгодный тарифный план лишь в 6 регионах из 83, в которых он действует. Что касается оператора «СМАРТС», то он действует всего в 13 регионах, из которых в 7 предоставляет наиболее дешевый по региону тариф «средней корзины».

Выводы относительно ценовых стратегий операторов на основе эмпирического анализа

На основе проведенного эмпирического исследования цен на услуги мобильной связи в разных регионах можно сделать однозначный вывод, что все операторы используют одновременно несколько ценовых стратегий. Были изучены ценовые стратегии пяти компаний мобильной связи Российской Федерации: «Теле2», «СМАРТС», «Билайн», «МегаФон», «МТС». Ценовые стратегии операторов «Ростелеком» и «МОТИВ» не анализировались, так как данные операторы работают в очень ограниченном числе регионов, что снижает точность анализа.

Во-первых, можно заметить, что оператор «Теле2» придерживается стратегии «облегченного проникновения». Средняя цена на услуги компании «Теле2» намного ниже среднерыночной цены. Это видно из графика средней стоимости мобильной связи по всем операторам и стоимости на мобильную связь оператора «Теле2», представленного на Рисунке 3.

Рисунок 3. Стоимость мобильной связи у оператора «Теле2» и средняя стоимость мобильной связи по регионам

Как видно из графика, практически во всех регионах оператор «Теле2» устанавливает цену, которая ниже, чем средняя стоимость мобильной связи в регионе.

С помощью такой стратегии «Теле2» стремится привлечь все больше абонентов, «переманить» к себе абонентскую базу других операторов.

Стратегия «облегченного проникновения», как правило, характерна для компаний, которые только осваивают новый рынок, которые еще не обосновались на нем и нуждаются в увеличении абонентской базы.

Стоит отметить, что такая ценовая стратегия у компании «Теле2» не случайна, так как шведская компания «Теле2» сравнительно недавно пришла на Российский рынок - в 2001 году.

«Теле2» в первую очередь обосновалась в Санкт-Петербурге и близлежащих областях. В настоящее время эта компания продолжает расширять свои границы в России, приобретая лицензии на оказание услуг сотовой связи и покупая региональные сети в разных областях, округах, республиках. Таким образом, абонентская база «Теле2» стремительно расширяется и доля на Российском рынке увеличивается.

Во-вторых, такой же стратегии придерживается мобильный оператор «СМАРТС». Хоть эта компания существует на российском рынке довольно давно, она имеет ограниченный круг регионов, в которых предоставляет абонентам свои услуги. К ним относятся регионы Поволжского, Волго-Вятского, Центрального и Уральского районов. Из-за того, что компания не может составить достойную конкуренцию операторам «большой тройки», она вынуждена придерживаться стратегии низких цен для привлечения абонентов.

На Рисунке 4 представлен график цены на мобильную связь оператора «СМАРТС» по сравнению со средней ценой в регионах, в которых действует данный оператор. По графику видно, что практически во всех регионах оператор придерживается стратегии низких цен и лишь в нескольких регионах выходит за рамки своей стратегии.

Рисунок 4. Стоимость мобильной связи у оператора «СМАРТС» и средняя стоимость мобильной связи по регионам

В-третьих, во время анализа цен на мобильную связь оператора «Билайн» было замечено, что цена на тарифный план по всем регионам у этого оператора оставалась примерно на одном и том же уровне. Это видно на графике, представленном на Рисунке 5.

Рисунок 5. Стоимость мобильной связи оператора «Билайн» по регионам

Как видно из точечной диаграммы, стоимость «средней корзины» оператора «Билайн» во всех регионах примерно одинаковая.

Исключение составляли лишь нескольких регионов, в которых стоимость мобильной связи намного выше средней по России (например, в Москве и Московской Области). В остальных случаях стоимость потребительской корзины «Билайна» составляла примерно 300-305 рублей. В каких-то регионах эта цена выше, чем у остальных операторов, а в каких-то наоборот ниже. Возможно, «Билайн» придерживается стратегии средних цен, целью которой является постоянство цены и планомерное получение прибыли.

У «МегаФона» же, в отличие от «Билайна», наблюдается разброс цен. На Рисунке 6 представлена точечная диаграмма стоимости мобильной связи «МегаФон» по регионам. На ней видно, что цены на мобильную связь в разных регионах очень отличаются.



Рисунок 6. Стоимость мобильной связи оператора «МегаФон» по регионам

В каких-то регионах «МегаФон» предоставляет услуги по очень высоким ценам, а в других регионах, наоборот, по очень низким. Лучше всего разброс цен видно на графике Box plot, представленном на Рисунке 7.

Рисунок 7. Стоимость «средней корзины» оператора «МегаФон» по регионам

По графику видно, что минимальная стоимость услуг оператора «МегаФон» составляет примерно 200 рублей, а максимальная примерно 660 рублей. Также имеется выброс - в одном из регионов (в Чукотском АО) стоимость мобильной «корзины» «МегаФон» составляет примерно 840 рублей. В половине регионов, где действует оператор «Мегафон» стоимость мобильной связи у этого оператора ниже 350 рублей, в другой половине - выше. Причем в регионах, где стоимость «корзины» выше 350 рублей разброс цен больше, чем в регионах с низкой стоимостью.

Разброс цен у оператора «Мегафон» можно объяснить тем, что компания придерживается стратегии развития дочерних компаний в регионах, которые имеют самостоятельность в вопросах развития и ценообразования. То есть ценовые решения в основном принимает не центр, а дочерние компании, которые лучше ориентируются на региональных рынках. Филиалы компании «МегаФон» устанавливают цены на сотовую связь в зависимости от особенностей региона.

Что касается абонента мобильной связи «МТС», после расчетов стоимости «средней корзины» было замечено, что цены этого оператора выше средней стоимости на мобильную связь по регионам. График на Рисунке 8 наглядно демонстрирует, что практически в каждом регионе стоимость «средней корзины» оператора «МТС» выше, чем средняя стоимость на мобильную связь в этом регионе.

Рисунок 8. Стоимость мобильной связи у оператора «МТС» и средняя стоимость мобильной связи по регионам

По данным компании «ComNews Research» компания «МТС» занимает на российском рынке мобильной связи наибольшую долю. Данные о долях операторов на рынке представлены в виде диаграммы на Рисунке 9.

Рисунок 9. Доля операторов на рынке сотовой связи (2012)

Благодаря лидирующему положению на рынке компания «МТС» имеет возможность устанавливать более высокие цены на свои услуги, особенно в тех регионах, где действует всего 3 мобильных оператора.

Что касается средней цены в каждом регионе, то на графике, представленном на Рисунке 10, хорошо видно, что цены в регионах значительно отличаются друг от друга.

Рисунок 10. Средняя цена на мобильную связь по регионам

Также, если взглянуть на графики Box plot у крупнейших мобильных операторов, представленные на Рисунке 11, то виден явный разброс цен, за исключением только оператора «Билайн», придерживающегося стратегии «средней цены», но и у него есть выбросы в некоторых регионах, и цена, хоть и незначительно, но меняется в зависимости от региона.

Рисунок 11. Графики Box plot по ценам у крупнейших операторов в разных регионах

Также важно отметить, что мобильные номера имеют привязку к регионам, что, по сути, препятствует тому, чтобы пользоваться более дешевым тарифным планом за пределами «домашнего» региона.

Эти три фактора подтверждают факт того, что операторы используют стратегию «дифференциации цен по сегментам географических рынков».

Таким образом, в результате проведенного эмпирического исследования, можно сделать вывод о том, что операторы придерживаются различных ценовых стратегий, но основной стратегией, используемой всеми операторами мобильной связи, является стратегия дифференциации цен. Особенно заметно то, как отличается стоимость на услуги мобильной связи в зависимости от субъекта РФ. То есть происходит сегментация рынка, как минимум, по географическому положению. На этом стоит заострить внимание, и попытаться выяснить, какие факторы влияют на установление операторами цены в каждом регионе и выполняются ли первые два условия применения ценовой дискриминации третьей степени: эластичность множественного спроса по таким критериям как доход, имеющиеся альтернативы и индивидуальные предпочтения.

2.3 Построение эконометрической модели зависимости стоимости мобильной связи в регионе от выбранных факторов

 

Построение модели

Более подробно стоит остановиться на том, что стоимость услуг мобильной связи в разных регионах отличается. Гипотеза о том, что мобильные операторы осуществляют стратегию «дифференциации тарифов по сегментам географических рынков» подтвердилась, так как расчеты и анализ стоимости «средней корзины» стоимости услуг это наглядно показали.

Теперь необходимо проверить, действительно ли цена на мобильную связь в каждом регионе России зависит от уровня жизни, определяющего доходы населения, степени конкуренции, определяющей наличие альтернатив на рынке, а также спроса на сотовую связь в данном регионе, определяющего индивидуальные предпочтения.

Многие авторы в своих работах отмечают зависимость стоимости мобильной связи именно от этих показателей. Но конкретного анализа никто не проводит.

Для начала необходимо обозначить, почему эти показатели могут влиять на стоимость «средних корзин» в разных регионах.

Уровень жизни населения в регионе оказывает влияние на среднюю стоимость услуг в данном регионе, потому что он определяет возможность и готовность абонентов платить за услуги. Чем ниже уровень жизни в регионе, тем соответственно меньше абоненты пользуются сотовой связью, так как не могут себе позволить лишние затраты. Для того чтобы как-то стимулировать абонентов пользоваться услугами связи, операторы готовы снижать цены. Если в регионе средний уровень жизни высокий, то они готовы платить больше за мобильную связь. Поэтому операторы могут себе позволить завышать цены.

Не менее важным фактором, влияющим на изменение стоимости мобильной связи, является уровень конкуренции в регионе. Если в субъекте действует мало операторов, то конкуренции практически не наблюдается, отсутствуют стимулы для снижения цен на рынке. В таких условиях операторы могут договориться о ценах, так как сговор может обеспечить операторам максимальную прибыль. В регионах с более благоприятной обстановкой - где на рынке действует более трех операторов - цены должны быть существенно ниже, так как повышающаяся конкуренция стимулирует компании к снижению цен.

Спрос на услуги сотовой связи также существенно влияет на их стоимость. В тех регионах, где мобильной связью пользуются больше и чаще, операторы могут установить более высокие цены. Как правило, большой спрос на сотовую связь наблюдается в регионах с большей численностью населения и с большей территорией, так как в маленьких городах и субъектах люди склонны меньше потреблять услуги сотовой связи.

В построенной модели множественной регрессии уровень жизни в регионе определяется показателем уровня средней заработной платы в рублях в этом регионе. Спрос на услуги сотовой связи отражается с помощью показателя объема услуг связи, оказанных населению в расчете на одного жителя, исчисляемый как отношение стоимости оказанных операторами сотовой связи услуг к общей среднегодовой численности населения. Уровень конкуренции определяется количеством крупных операторов мобильной связи, действующих в каждом регионе.

Таким образом, в программе «EViews 6» была построена модель зависимости средней стоимости «корзины» по регионам от перечисленных выше показателей.

На выходе получилась следующая модель:

Таблица 4. Регрессионная модель зависимости средней цены на мобильную связь в регионе от выбранных факторов

Dependent Variable: LOG(AVERAGE)


Method: Least Squares



Sample: 1 83




Included observations: 83



Variable

Coefficient

Std. Error

t-Statistic

Prob.

COMPANIES

-0.089412

0.023303

-3.836893

0.0002

DEMAND

2.37E-05

9.30E-06

2.547476

0.0128

WAGE

9.61E-06

2.00E-06

4.812728

0.0000

C

0.098289

59.37230

0.0000

R-squared

0.560646

Mean dependent var

5.817915

Adjusted R-squared

0.543962

S.D. dependent var

0.200294

S.E. of regression

0.135260

Akaike info criterion

-1.116250

Sum squared resid

1.445316

Schwarz criterion

-0.999679

Log likelihood

50.32436

Hannan-Quinn criter.

-1.069418

F-statistic

33.60321

Durbin-Watson stat

1.628311

Prob (F-statistic)

0.000000





Данная модель является лог-линейной (log-linear), зависимой переменной в данной модели является логарифм стоимости «средней» потребительской корзины в регионе. В такой модели коэффициенты перед регрессорами интерпретируются следующим образом: повышение коэффициента на одну единицу влечет за собой увеличение зависимой переменной на (eβ-1)*100%. Такая спецификация модели наиболее подходит в данном случае, так как помогает отслеживать процентное изменение цены.

Если коэффициент -0.2<β<0.2, то можно говорить, что повышение коэффициента на одну единицу влечет за собой увеличение зависимой переменной на β*100%.

Модель строится с помощью метода наименьших квадратов.

На выходе имеется ряд коэффициентов, с помощью которых можно составить представление о взаимосвязи переменных.

Согласно модели можно составить следующую формулу стоимости мобильной связи:

«Логарифм стоимости «средней корзины»» = 5,84 + 9,61Е-06* «средняя заработная плата по региону» + 2,37Е-05* «спрос на сотовую связь» - 0,0894* «количество операторов, действующих в регионе».

Коэффициенты 9,61Е-06; 2,37Е-05; -0,0894 - это коэффициенты β1, β2, β3, которые отражают, насколько значение «стоимости корзины» зависит от изменения показателей, к которым эти коэффициенты относятся. В модели полученные коэффициенты являются значимыми. Это определяется с помощью T-статистики (t-Statistic), которая рассчитывается как отношение оценки коэффициента к его стандартной ошибке и используется для проверки гипотезы о том, что коэффициент равен нулю. Для проверки необходимо определить уровень значимости, вычислить t-критическое и сравнить с расчетным значением.

Полученные коэффициенты значимы, а это значит, что выбранные показатели влияют на стоимость «средней корзины» и факт наличия сегментации рынка в соответствии с данными критериями подтверждается.

Интерпретировать полученные коэффициенты можно следующим образом: если количество компаний-операторов, действующих в регионе, увеличится 1 единицу, то стоимость мобильной связи в регионе снизится на 9,35%. Кроме того, увеличение на 1 единицу показателя объема услуг связи, оказанных населению, то есть спроса на мобильную связь, увеличивает цену «корзины» на 9,61Е-04%; а увеличение средней заработной платы в регионе на 1 рубль влечет за собой увеличение цены на мобильную связь на 0,00237%. Эти данные подтверждают предположения о направлении зависимостей, описанные выше.. Error (стандартная ошибка) - это показатель надежности расчетного параметра. Стандартная ошибка - это стандартное отклонение оценок, которые будут получены при многократной случайной выборке данного размера из одной и той же совокупности. Как видно по данным, стандартные ошибки коэффициентов небольшие. Полученные значения могут варьироваться в пределах полученной стандартной ошибки.squared, то есть коэффициент детерминации, который равен отношению ESS к TSS, - это доля дисперсии зависимой переменной, объясняемая рассматриваемой моделью зависимости. Его рассматривают как универсальную меру связи одной случайной величины от множества других случайных величин. Чем ближе значение коэффициента к 1, тем сильнее зависимость. С помощью коэффициента детерминации определяют точность модели.

В изучаемой модели коэффициент детерминации равен 0,56. Это говорит о том, что модель не совсем точная, но неплохая. Неточность модели можно объяснить тем, что в ней не учитывается себестоимость мобильной связи, которая тоже влияет на стоимость «корзины». Но, тем не менее, полученная модель верно отражает искомые зависимости.статистика нужна для определения значимости модели. В данном случае модель значимая.

Таким образом, предположение о том, что цена на мобильную связь в каждом регионе России зависит от уровня жизни, степени конкуренции, а также спроса на сотовую связь в данном регионе, подтвердилось. В результате была получена значимая модель множественной регрессии со значимыми коэффициентами.

Также необходимо отметить, что в полученной модели важную роль играет уровень конкуренции в регионе, так как один дополнительный игрок на рынке мобильной связи в регионе снижает стоимость мобильной связи на целых 9%.

Тестирование модели

Для проверки качества модели были проведены различные тесты.

Были проведены самые основные тесты: проверка остатков на нормальность, проверка на правильность спецификации и функциональной формы, проверка на гетероскедастичность.

Рисунок 12. Тест на нормальность остатков

Тест Jarque-Bera не позволяет отвергнуть гипотезу о нормальном распределении остатков модели. Этот тест проверяет распределения на нормальность путем сверки показателей асимметрии и эксцесса со значениями этих показателей, характерными для нормального распределения (асимметрия=0, эксцесс=3). Но данный тест является довольно слабым инструментов для проверки на нормальность.

Следом был проведен другой тест проверки остатков на нормальность распределения:

Таблица 5. Тест проверки остатков на нормальность распределения

Empirical Distribution Test for RESID


Hypothesis: Normal



Date: 06/16/13 Time: 15:33



Sample: 1 83




Included observations: 83



Method

Value

Adj. Value

Probability


Lilliefors (D)

0.058909

NA

> 0.1


Cramer-von Mises (W2)

0.038622

0.038855

0.7031


Watson (U2)

0.033449

0.033650

0.7540


Anderson-Darling (A2)

0.302714

0.305548

0.5672





Данный тест показывает, что распределение остатков близко к нормальному.

Нормальность распределения остатков не влияет на эффективность, несмещенность и состоятельность МНК-оценок, но нормальность их распределения нужна для корректного тестирования гипотез с помощью t- и F-статистик. Она редко наблюдается, но, по возможности, необходимо стремиться к тому, чтобы распределение остатков было близким к нормальному.

Тест на функциональную форму

Затем был проведен Ramsey RESET-test на функциональную форму. Этот тест основан на вспомогательной регрессии зависимой переменной на факторы исходной модели и, плюс, различные степени оцененных по исходной модели значений зависимой переменной.

Таблица 6. Тест на функциональную форму

Ramsey RESET Test:



F-statistic

2.891687

Prob. F (2,77)

0.0615

Log likelihood ratio

6.011012

Prob. Chi-Square(2)

0.0495


P-value близко к 5%, так что ситуация пограничная. На 10% уровне статистика теста значимо отлична от нуля (гипотеза о том, что квадрат и куб предсказанных значений незначимы, отвергается на 10% уровне значимости). На 5% уровне значимости ошибка спецификации не выявляется.

Проверка на гетероскедастичность

Сначала был проведен тест Уайта:

Таблица 7. Тест Уайта на гетероскедастичность

Heteroskedasticity Test: White


F-statistic

1.887664

Prob. F (9,73)

0.0672

Obs*R-squared

15.66953

Prob. Chi-Square(9)

0.0741

Scaled explained SS

12.56083

Prob. Chi-Square(9)

0.1835



Тест White проверяет гипотезу о том, что в модели имеется постоянство дисперсии остатков, то есть, нет гетероскедастичности. P-value также близко к 5%, как и в предыдущем тесте, так что ситуация пограничная. В данном случае гипотеза не отклоняется на 10% уровне значимости.

В тесте White сначала строится зависимость квадратов остатков от объясняющих переменных, их квадратов и всех или некоторых попарных произведений. И проводится тест на значимость регрессии. Проверяется гипотеза о том, что все коэффициенты перед объясняющими переменными равны нулю. Также если , то регрессия значима в целом, и имеет место гетероскедастичность.

В тесте White вспомогательная регрессия более гибкая, что позволяет выявить гетероскедастичность почти любой формы. Но при большом количестве объясняющих переменных в регрессии становится слишком много параметров, из-за чего тест может не обнаружить гетероскедастичности, когда она есть.

Были проведены другие тесты на гетероскедастичность.

Таблица 8. Тест Бройша-Пагана-Годфри на гетероскедастичность

Heteroskedasticity Test: Breusch-Pagan-Godfrey

F-statistic

0.847565

Prob. F (3,79)

0.4720

Obs*R-squared

2.588136

Prob. Chi-Square(3)

0.4596

Scaled explained SS

2.074671

Prob. Chi-Square(3)

0.5571


Тест Бройша-Пагана-Годфри применяется в тех случаях, когда проверяется нулевая гипотеза об отсутствии гетероскедастичности. Альтернативная гипотеза о том, что имеет место гетероскедастичности вида , где - это вектор независимых переменных. Другими словами, данный тест выявляет простую гетероскедастичность линейного типа. В данном случае, так как p-value > 0.05, то нулевая гипотеза о постоянстве дисперсии остатков не отклоняется.

Таблица 9. Тест Харви на гетероскедастичность

Heteroskedasticity Test: Harvey


F-statistic

0.290557

Prob. F (3,79)

0.8321

Obs*R-squared

0.905812

Prob. Chi-Square(3)

0.8240

Scaled explained SS

1.123076

Prob. Chi-Square(3)

0.7715


Тест Харви почти такой же, как тест Бройша-Пагана-Годфри. Он тоже проверяет гипотезу о постоянстве дисперсии остатков. Но в отличие от первого теса тест Харви имеет альтернативную гипотезу о том, что наблюдается гетероскедастичность вида , где  - это вектор независимых переменных. Другими словами, выявляется экспоненциальная зависимость.

В данном случае нулевая гипотеза не отклоняется, что говорит об отсутствии гетероскедастичности такого типа.

Таблица 10. Тест Глейзера на гетероскедастичность

Heteroskedasticity Test: Glejser


F-statistic

0.425702

Prob. F (3,79)

0.7351

Obs*R-squared

1.320425

Prob. Chi-Square(3)

0.7243

Scaled explained SS

1.191964

Prob. Chi-Square(3)

0.7549


Следующий тест - тест Глейзера - так же, как предыдущие тесты, проверяет гипотезу об отсутствии гетероскедастичности.

Тест Глейзера выявляет значимость вспомогательных регрессионных зависимостей модуля остатков от функциональных форм каждого регрессора.

, , , j = {2, … k}

Если коэффициент β значим хотя бы в одной из трех регрессий, то имеет место гетероскедастичность.

В данном случае гипотеза об отсутствии гетероскедастичности не отклоняется, значит, имеет место гомоскедастичность.

Таким образом, гетероскедастичность не была выявлена.

Также при тестировании модели было установлено, что в ней отсутствует мультиколлениарность.

Таким образом, модель получилась значимая и точная, что доказывает влияние выбранных факторов на цену в каждом регионе страны.

Однако может возникнуть вопрос: а что если изменение цен в зависимости от региона в большей степени зависит не от выбранных критериев, а от того, что в каждом регионе операторы имеют разные издержки на услуги мобильной связи? Ответить на этот вопрос помогла статья Н.О. Шпагиной (Шпагина, 2008). В статье проводится детальный расчет себестоимости услуг мобильной связи, согласно которому установленная себестоимость услуг следующая:

одна секунда услуг - 0,0048 рублей;

одно короткое сообщение - 0,0006 рублей.

Как видно, себестоимость мобильной связи намного ниже ее рыночной цены, а значит, она в малой степени влияет на цену.

Таким образом, модель множественной регрессии подтверждает первое и наиболее значимое условие для успешного осуществления ценовой дискриминации третьего типа: на рынке мобильной связи РФ происходит сегментация в зависимости от следующих критериев: зависимости от дохода, географического положения, а также имеющихся альтернатив и индивидуальных предпочтений. Кроме того, из данного вывода вытекает подтверждение того, что на рынке выполняется и второе условие применения ценовой дискриминации третьей степени: продавцы на рынке умеют разделять рынок на разные сегменты в соответствии с эластичностью спроса и успешно это осуществляют.

Модели зависимости цены от выбранных факторов у наиболее крупных операторов мобильной связи.

Кроме того, для того чтобы проследить, от чего зависит стоимость на мобильную связь крупнейших операторов в отдельности, были построены модели по каждому из них. Модели были построены по следующим четырем операторам: «МТС», «МегаФон», «Билайн», «Теле2», так как они занимают наибольшую долю рынка мобильной связи в России.

Модель множественной регрессии по оператору «МТС», представленная в Таблице 11, показала, что коэффициенты являются значимыми на 5% уровне значимости. Коэффициент детерминации равен 0,5. Это является допустимым значением. Кроме того, модель является значимой.

Таблица 11. Модель множественной регрессии по оператору «МТС»

Dependent Variable: MTC



Method: Least Squares



Sample: 1 83




Included observations: 83



Variable

Coefficient

Std. Error

t-Statistic

Prob.

WAGE

0.003719

0.000876

4.246348

0.0001

COMPANIES

-21.96943

10.22213

-2.149203

0.0347

DEMAND

0.009342

0.004078

2.290919

0.0246

C

328.7095

43.11543

7.623940

0.0000

R-squared

0.483063

Mean dependent var

372.9178

Adjusted R-squared

0.463433

S.D. dependent var

80.99956

S.E. of regression

59.33278

Akaike info criterion

11.05119

Sum squared resid

278110.0

Schwarz criterion

11.16776

Log likelihood

-454.6245

Hannan-Quinn criter.

11.09803

F-statistic

24.60779

Durbin-Watson stat

1.854618

Prob (F-statistic)

0.000000





Интерпретировать полученные коэффициенты можно следующим образом: если количество компаний-операторов, действующих в регионе, увеличивается 1 единицу, то стоимость мобильной связи оператора «МТС» снижается на 21,96 рубля. Кроме того, увеличение на 1 единицу показателя объема услуг связи, оказанных населению, то есть спроса на мобильную связь, увеличивает цену «корзины» на 1 копейку; а увеличение средней заработной платы в регионе влечет за собой увеличение цены на мобильную связь на 0,04 копейки.

В целом модель зависимости цены на услуги оператора «МТС» очень похожа на модель средней цены по всем операторам. Стоимость «средней корзины» «МТС» также зависит от количества компаний, предоставляющих услуги сотовой связи на рынке, от спроса на сотовую связь и от средней заработной платы в регионе.

Иная зависимость обнаружилась при построении модели для оператора «Билайн». Как видно из Таблицы 12, коэффициент перед переменной, отражающей количество компаний-операторов на рынке региона, оказался незначимым. Коэффициент средней заработной платы по региону также оказался незначимым. Как было определено ранее, у оператора «Билайн» стоимость мобильной связи по регионам практически не меняется, а значит, особенности региона не влияют на ценообразование данного оператора. Данный оператор использует стратегию «средней цены», и только в нескольких регионах цены на услуги компании «Билайн» значительно превосходят цены на их услуги в остальных регионах. Из Таблицы 12 видно, что значимым является показатель спроса на услуги мобильной связи.

Таблица 12. Модель множественной регрессии по оператору «Билайн»

Dependent Variable: BEELINE



Method: Least Squares



Date: 05/28/14 Time: 23:53



Sample: 1 83




Included observations: 83



Variable

Coefficient

Std. Error

t-Statistic

Prob.

COMPANIES

-12.23677

6.305665

-1.940600

0.0559

DEMAND

0.013123

0.002515

5.217161

0.0000

WAGE

-7.52E-05

0.000540

-0.139100

0.8897

C

304.5114

26.59637

11.44936

0.0000

R-squared

0.405541

Mean dependent var

316.2795

Adjusted R-squared

0.382967

S.D. dependent var

46.59402

S.E. of regression

36.60027

Akaike info criterion

10.08498

Sum squared resid

105826.8

Schwarz criterion

10.20155

Log likelihood

-414.5267

Hannan-Quinn criter.

10.13181

F-statistic

17.96468

Durbin-Watson stat

1.822571

Prob (F-statistic)

0.000000





Что касается мобильного оператора «МегаФон», то модель получилась менее точная, чем модель зависимости средней стоимости мобильной связи по всем операторам, но похожая на нее. Стоимость «средней корзины» «МегаФон» также зависит от количества компаний, предоставляющих услуги сотовой связи на рынке, от спроса на сотовую связь и от средней заработной платы в регионе. Как уже утверждалось ранее, цены на мобильную связь устанавливаются в зависимости от особенностей региона и зависят от уровня жизни в регионе, уровня конкуренции и спроса на рынке. Полученная модель не противоречит этому утверждению. Модель является значимой. Согласно модели, один дополнительный оператор на рынке региона снижает стоимость «средней корзины» «МегаФон» на 60,6 рублей, то есть почти на 18%. Данные по модели представлены в Таблице 13.

Таблица 13. Модель множественной регрессии по оператору «МегаФон»

Dependent Variable: MEGAFON



Method: Least Squares



Sample: 1 83




Included observations: 83



Variable

Coefficient

Std. Error

t-Statistic

Prob.

COMPANIES

-60.62287

19.49810

-3.109168

0.0026

DEMAND

0.022659

0.007778

2.913131

0.0047

WAGE

0.004450

0.001671

2.663866

0.0094

C

393.3715

82.24012

4.783207

0.0000

R-squared

0.425210

Mean dependent var

364.1592

Adjusted R-squared

0.403383

S.D. dependent var

146.5203

S.E. of regression

113.1738

Akaike info criterion

12.34272

Sum squared resid

1011856.

Schwarz criterion

12.45929

Log likelihood

-508.2228

Hannan-Quinn criter.

12.38955

F-statistic

19.48050

Durbin-Watson stat

1.563983

Prob (F-statistic)

0.000000





Стоимость мобильной «корзины» оператора «Теле2» зависит от заработной платы в регионе, а также от показателя, отражающего спрос на сотовую связь. Коэффициент количества компаний в регионе оказался незначимым, что говорит о том, что стоимость мобильной связи «Теле2» не зависит от уровня конкуренции в регионе. Так как «Теле2» придерживается стратегии «облегченного проникновения», то этот оператор не ориентируется на состояние конкуренции в регионе. Зато показатели спроса на сотовую связь и уровня жизни в регионе являются значимыми для установления цен в регионах.

Таблица 14. Модель множественной регрессии по оператору «Теле2»

Dependent Variable: TELE2



Method: Least Squares



Sample (adjusted): 3 78



Included observations: 42 after adjustments


Variable

Coefficient

Std. Error

t-Statistic

Prob.

0.009168

0.001542

5.944625

0.0000

DEMAND

-0.020508

0.007046

-2.910485

0.0059

C

147.4948

35.77334

4.123036

0.0002

R-squared

0.476403

Mean dependent var

268.8769

Adjusted R-squared

0.449551

S.D. dependent var

112.1761

S.E. of regression

83.22592

Akaike info criterion

11.74974

Sum squared resid

270135.6

Schwarz criterion

11.87386

Log likelihood

-243.7446

Hannan-Quinn criter.

11.79524

F-statistic

17.74236

Durbin-Watson stat

1.277255

Prob (F-statistic)

0.000003





Таким образом, были построены значимые модели для четырех крупнейших операторов России, которые показали, от чего зависит стоимость мобильной связи этих операторов. Выводы, сделанные на основе анализа полученных моделей, не противоречат выводам, сделанным на основе эмпирического анализа.

2.4 Изучение конъюнктуры рынка, анализ конкуренции на рынке, изучение возможности наличия ценовой дискриминации на рынке

 

Изучение конъюнктуры рынка мобильной связи России

Рассмотрим российский рынок мобильной связи. Как видно из Таблицы 15, в России наибольшую долю рынка занимает торговая марка «МТС». Ее доля на российском рынке составляет 31%, то есть практически треть всего рынка. Следом за ней идет оператор связи «МегаФон», доля рынка которого немногим меньше, чем у «МТС» и составляет 28%. Чуть меньший процент рынка у торговой марки «Билайн» - 23%. Компания «Теле 2» занимает на российском рынке долю, равную одной десятой рынка (10%). Остальные мобильные операторы России имеют всего 8% рынка.

Таблица 15. Количество абонентов мобильной связи и доли рынка операторов мобильной связи России (данные за декабрь 2013)

Индекс (i)

Торговая марка

РФ



Абонентов, чел

Доля рынка, %

1

МТС

75 321 242

31

2

Билайн

56 512 411

23

3

МегаФон

68 130 108

28

4

Теле2

23 718 000

10

5

Другие

19 108 239

8


Всего

242 790 000

100


Для того чтобы оценить характер рынка сотовой связи России, был использован индекс Херфиндаля-Хиршмана (IHH). С помощью этого индекса определяется степень концентрации рынка. При его расчете используются данные об удельном весе каждого участника рынка в отрасли.

IHH = ,

где Si - это доля i-го оператора в общем объеме услуг рынка сотовой связи, n - число операторов.

Считается, что чем больший удельный вес предприятия имеют в отрасли, тем больше вероятность формирования монополии. Если индекс Херфиндаля-Хиршмана превышает 1800, то отрасль считается высоко монополизированной или олигополизированной.

Для России IHH = 2449, что говорит об очень высокой степени концентрации рынка. Таким образом, можно сделать вывод, что рынок сотовой связи России имеет олигополистический характер.

Определение олигополии, и ее основные черты

В экономике имеет место несколько видов рыночных структур. Одним из таких видов является олигополия. Когда на рынке число компаний невелико, и они имеют влияние на рыночную цену, то можно говорить о наличии олигополии на данном рынке.

По мнению А.Н. Чеканского и Н.Л. Фроловой (Чеканский, Фролова, 2008), «для олигополии характерна высокая степень концентрации», поэтому на рынке представлено ограниченное число крупных производителей. Вследствие малого количества участников рынка, между ними существует взаимозависимость. Одной из характерных черт олигополии является наличие высоких барьеров вхождения новых фирм на рынок, так как олигополисты осуществляют высокую степень контроля над рынком. На рынке мобильной связи Российской Федерации наблюдаются все характерные черты олигополии. Рынок мобильной связи России имеет высокую степень концентрации, а также высокие барьеры для вхождения на него, обусловленные такими факторами как трудностью получения лицензии на осуществление деятельности, а также свободных радиочастот.

При олигополии из-за взаимозависимости производителей каждая компания должна учитывать реакцию соперников на свои решения в отношении цены и объема выпуска. Она делает предположение о реакции соперников на свое поведение. В зависимости от того, какие предположения делают фирмы относительно поведения друг друга, на рынке формируется равновесная цена и выпуск. Из-за многообразия возможных предположений существует несколько моделей олигополии. Но подходящих для рынка мобильной связи России моделей не так много.

Процесс изменения цены с целью получения большей прибыли называется ценовой конкуренцией. Из-за того, что на олигополистическом рынке все производители зависят друг от друга, ценовая конкуренция становится менее продуктивной, так как цены негибкие. Олигополист знает, что если он понизит цену, то его конкуренты сделают то же самое, что снизит его доход.

В связи с этим на олигополистическом рынке присутствует не только ценовая, но и неценовая конкуренция. Если сравнить все модели олигополии: модель Курно, равновесие и неравновесие Стэкльберга, модель кооперативной олигополии - и прибыль операторов в рамках каждой модели, то можно сделать вывод, что наиболее выгодным для участников рынка сотовой связи моделью является последняя модель - кооперативная олигополия.

Суть этой модели в том, что олигополисты для извлечения максимальной прибыли вступают в сговор и договариваются о трафике, о ценах. Такая модель является наиболее выгодной для участников рынка.

Выявление вероятности вступления в сговор крупными компаниями рынка мобильной связи России.

Для того чтобы понять, возможен ли такой исход, при котором крупнейшие участники рынка мобильной связи России вступили в сговор с целью извлечения максимальной прибыли, можно воспользоваться методикой оценки склонности к сговору на рынке олигополии, описанной в статье А.А. Верещагина (Верещагин, 2009). Согласно методике автора, можно присвоить баллы от 1 до 5 критериям, которые оказывают непосредственное влияние на склонность фирм к вступлению в сговор. Затем по сумме присвоенных баллов можно оценить вероятность образования кооперативной олигополии.

В статье выделены следующие критерии:

Количество фирм на рынке. В настоящее время на рынке мобильной связи России оперируют 22 компании. Согласно методике, в таком случае данному критерию присваивается 1 балл.

Количество крупных фирм на рынке. Можно сказать, что на рынке присутствует 4 крупные компании. Данному критерию присваивается 3 балла.

Общая доля рынка крупных фирм. Общая доля рынка составляет 92%, а значит, данному критерию присваивается 5 баллов.

Барьеры для входа на рынок. Чем больше барьеров для входа на рынок, тем более свободно чувствуют себя крупные компании, поэтому риск вступления их в сговор увеличивается. К барьерам относятся такие, как например необходимость обладания внушительным стартовым капиталом для вступления на рынок, проблемы с получением частоты, наличие оборудования и т.д. На рынке мобильной связи России имеются все виды барьеров, поэтому данному критерию присваивается 5 баллов.

Тип продукции на рынке. Если на рынке однородная продукция, то критерию присваивается 5 баллов, если дифференцированная, то 1 балл. Мобильные операторы продают однородные товары и услуги, что повышает вес данного критерия до 5 баллов.

Жизненный цикл отрасли. Рынок мобильной связи России считается перенасыщенным, покрытие составляет более 100%, что означает, что в среднем на каждого жителя страны приходится более чем 1 сим-карта. Поэтому рынок можно считать зрелым, а значит данному критерию, согласно описанной методологии, присваивается 3 балла.

Использование одной дилерской сети. Крупнейшие компании действительно почти все свои подключение производят с помощью таких дилерских сетей, как «Евросеть», «Связной», «Цифроград» и т.п., а значит, данный критерий имеет вес 5 баллов.

Совместные проекты. У компаний «Большой тройки» есть совместный проект по обеспечению мобильной связью магистральных автомобильных дорог федерального значения, как отмечено на сайте мобильного оператора «МегаФон». Поэтому данному критерию присваивается вес 5 баллов.

Таким образом, баллы распределяются следующим образом:

Таблица 16. Критерии оценки риска вступления в сговор

Критерий

Балл

1

Количество фирм на рынке

1

2

Количество крупных фирм на рынке

3

3

Общая доля рынка крупных фирм

5

4

Барьеры для входа на рынок

5

5

Тип продукции на рынке

5

6

Жизненный цикл отрасли

3

7

Использование одной дилерской сети

5

8

Совместные проекты

5


Сумма баллов

32


Сумма баллов составляет 32 при минимальном значении, равном 8, и максимальном, равном 41.

Такое количество баллов, согласно выбранной методологии оценки, означает, что существует высокая вероятность сговора крупных фирм данной отрасли. Рыночная расстановка сил такова, что данная модель поведения является наиболее оптимальной для получения максимальной прибыли.

Таким образом, не исключается факт того, что на рынке мобильной связи России имеет место сговор крупнейших компаний с целью извлечения максимальной прибыли.

Кроме того, доказательствами этому являются факты привлечения данных компаний к ответственности антимонопольной службой за вступление в сговор. Так, к примеру, Федеральной Антимонопольной Службой был выявлен факт ценового сговора, когда крупные операторы установили разные цены внутри «Большой Тройки» и более высокие цены выставили региональным операторам. При заключении договоров по межоператорским расчетам три крупнейших оператора России установили между собой цены в размере 0,95 руб./мин., тогда как с остальными операторами на порядок выше - в размере 1,1 руб./мин. Из-за этого региональные операторы были вынуждены повысить свои цены на услуги, что значительно снизило их конкурентоспособность.

Известны и другие случаи нарушений со стороны операторов «Большой Тройки».

В 2011 году ФАС также привлекала этих трех операторов к административной ответственности за «злоупотребление доминирующим положением» в области установления монопольно высоких цен на услуги связи в национальном и международном роуминге.

Кроме того, антимонопольная служба регулярно пытается привлечь к ответственности комитет, занимающийся выдачей частот для мобильных операторов, так как те затрудняют выход на рынок молодым компаниям, но данный комитет всячески уклоняется от ответственности.

В других странах нарушение антимонопольного законодательства мобильными операторами тоже не редкость. Данная отрасль является одной из самых подверженных вступлению в сговор. К примеру, в Голландии все компании мобильной связи страны были обвинены в сговоре: Libertel, O2 Netherlands, Ben Nederland Royal KPN NV и Dutchtone.

По результату изучения данного вопроса можно сделать вывод, что борьба со сговором на олигополизированном рынке является трудной задачей в такой области как мобильная связь. Все дело в том, что число частот ограничено, а значит, всегда будут существовать барьеры для вхождения на рынок.

В последние годы конкуренция на рынке мобильной связи немного возросла, появились новые компании. Кроме того, вышел закон «Об отмене мобильного рабства», согласно которому номера теперь не привязаны к мобильным операторам, и абоненты могут сменить оператора, оставив свой номер. Но всех этих мер явно недостаточно, так как в регионах, где присутствуют всего три мобильных оператора, по-прежнему высокие цены на мобильную связь из-за отсутствия конкуренции на данном рынке.

Именно поэтому антимонопольной службе следует сделать упор на эти регионы и заняться процессом снижения барьеров для вступления на рынок.

Таким образом, последнее условие наличия ценовой дискриминации третьей степени на рынке, а именно «запечатывание» рынка, было подтверждено. На рынке мобильной связи Российской Федерации» имеются высокие барьеры, а также наблюдается высокий контроль над рынком со стороны крупнейших компаний-операторов.

Подводя итоги исследования, можно сделать вывод, что в ходе работы были подтверждены все три условия успешного применения на рынке ценовой дискриминации третьей степени. Это говорит о том, что гипотеза работы о наличии на рынке мобильной связи Российской Федерации ценовой дискриминации третьей степени была подтверждена.

Из-за того, что компании применяют ценовую дискриминацию, цены на услуги мобильной связи в большинстве регионов Российской Федерации остаются высокими. Было также установлено, что уровень конкуренции влияет на цены услуг мобильной связи на рынке. Соответственно, для того чтобы снизить цены на рынке, необходимо предпринять меры, способствующие повышению конкуренции. Вопрос о том, какие конкретно меры необходимо предпринять, требует более детального изучения и может являться темой дальнейшего исследования.


Заключение


В ходе выполнения бакалаврской работы изучался вопрос о том, применяют ли компании на рынке ценовую дискриминацию третьей степени. Для подтверждения гипотезы о наличии такого рода дискриминации был проведен анализ ценовых стратегий крупных операторов мобильной связи в России и процесса ценообразования, осуществляемого на данном рынке. Сначала были введены некоторые теоретические аспекты понятия ценовой дискриминации третьей степени и сформулированы основные задачи, направленные на подтверждение гипотезы.

В рамках данных задач был изучен российский рынок сотовой связи, выделены основные виды ценовых стратегий, которых придерживаются компании-операторы мобильной связи. Кроме того, был произведен расчет средней стоимости мобильной связи по каждому региону России с помощью собственной методологии автора. Анализ полученных данных позволил составить общее представление о ценовых стратегиях мобильных операторов. Также с помощью эмпирического анализа была подтверждена гипотеза о том, что все операторы в определенной степени используют стратегию «дифференциации тарифов по сегментам географических рынков», что подтвердило одно из условий наличия ценовой дискриминации на рынке.

Во второй части работы была построена модель множественной регрессии зависимости цены на мобильную связь в каждом регионе Российской Федерации от критериев, по которым осуществляется сегментация рынка при применении ценовой дискриминации третьей степени: доходов населения, уровня конкуренции и спроса на услуги мобильной связи в регионе. С помощью тестирования модели было подтверждено, что данные критерии влияют на установление цены в регионе, тогда как себестоимость услуг не оказывает большого влияния на цену. В соответствии с этими результатами, был сделан вывод о том, что первые два условия применения на рынке ценовой дискриминации третьей степени: эластичность множественного спроса и сегментация рынка - выполнены.

Также были построены модели по четырем крупнейшим операторам: «МТС», «МегаФон», «Билайн», «Теле2». По результатам анализа моделей было выявлено, что компания «МТС» устанавливает цены, которые выше средней стоимости на мобильную связь по регионам. Кроме того, оператор «Билайн» придерживается стратегий «средних цен», оператор «МегаФон» имеет большой разброс цен по регионам: стоимости «средней корзины» варьируются от 200 до 600 рублей. Цены на услуги устанавливаются в зависимости от особенностей региона. Оператор «Теле2» придерживается стратегии «облегченного проникновения» и устанавливает цены, существенно ниже средней цены по региону.

В конце работы был проведен анализ конкуренции на рынке, выявлена модель олигополии, характерная для него, а также изучен вопрос антимонопольного регулирования на данном рынке.

Была выявлена значимость уровня конкуренции в регионах. В России рынок мобильной связи является олигополизированным, но исследования показывают, что наличие конкуренции существенно снижает стоимость услуг. Это значит, что необходимо стремиться к снятию барьеров для вхождения на рынок.

Кроме того, было обнаружено, что на рынке высокая вероятность вступления в сговор, а также высокие барьеры и большой контроль со стороны крупных компаний. В связи с этим был сделан вывод, что третье условие применения ценовой дискриминации третьей степени: «запечатывание» рынка - подтверждается.

Таким образом, в ходе работы было подтверждено, что компании, действующие на российском рынке мобильной связи, осуществляют сегментацию рынка по критериям, влияющим на эластичность множественного спроса: по месторасположению потребителей, которое определяется принадлежностью к разным регионам России; по доходу, который определяется средним уровнем заработной платы в регионе; по имеющимся альтернативам, определяющимся количеством компаний-конкурентов на рынке; а также по спросу на услуги мобильной связи, определяющему индивидуальные предпочтения потребителей. Кроме того, было выяснено, что на рынке установлены высокие «барьеры» для вхождения, а также осуществляется жесткий контроль со стороны крупнейших компаний. Все это является признаками успешного применения на рынке ценовой дискриминации третьей степени. Это подтверждает гипотезу о наличии на рынке мобильной связи Российской Федерации ценовой дискриминации третьей степени.

Таким образом, установленная дифференциация цен на услуги мобильной связи по регионам может быть объяснена ценовой дискриминацией третьей степени.

Также установлено, что уровень конкуренции в регионах влияет на цены услуг мобильной связи на рынке. Соответственно, меры, способствующие повышению уровня конкуренции, могли бы снизить цены на рынке.



Список литературы


1.     Бакман Ю.А., Панфилов В.С. Рынок сотовой связи России как сегмент рынка телекоммуникаций: методы прогнозирования. - 2008.

2.      Верещагин А.А. Оценка склонности к сговору на рынке сотовой связи // Сборник научных трудов вузов России» Проблемы экономики, финансов и управления производством. - №. 25.

.        Дударенко Е.В. Перспективы инвестиционного развития операторов мобильной связи // Проблемы современной экономики. - 2011. - №. 3

.        Журавлева Л.А., Слободкин В.С. Рынок телекоммуникационных услуг России: оценка и перспективы развития // АВАЛЬ. Сибирская финансовая школа. - 2006. - №3. - С. 37-41.

.        Качалов Р.М., Кобылко А.А. Перспективные стратегии российских предприятий сотовой связи // Вестник Российской Академии Естественных Наук. - 2009. - №. 2. - С. 4-10.

.        Кобылко А.А. Стратегии ценообразования на региональных рынках предприятий сотовой связи России // Вестник Российской Академии Естественных Наук. - 2009. - №4. - С. 109-113.

.        Курасов А.С. LTE в России // М.: Telecomru. - 2010.

.        Пищин О.Н. Инновационная активность оператора сотовой подвижной радиосвязи // Вестник Астраханского государственного технического университета. Серия: Управление, вычислительная техника и информатика. - 2009.

.        Райзберг Б.А., Лозовский Л.Ш., Стародубцева Е.Б. Современный экономический словарь. - 5-е изд., перераб. и доп. - М.: ИНФРА-М, 2006. - 495 с. - (Библиотека словарей «ИНФРА-М»).

.        Розанова Н.М. Буличенко Д.А. Конкуренция в телекоммуникационной отрасли: сетевой рынок в условиях продуктовой дифференциации //Terra Economicus. -2011. - Том 9. - №1. - С. 17-32.

.        Сио К.К. Управленческая экономика / Сио КК-М. - 2000.

.        Фисейский С.В. Современное состояние экономики связи // Социально-экономические и технические системы: Исследование, проектирование, оптимизация. - 2008. - №. 1. - С. 1.

.        Чеканский А.Н., Фролова Н.Л. Микроэкономика. Промежуточный уровень: Учебник. - М.: ИНФРА-М, 2008. - 685 с.

.        Шпагина Н.О. Проблемы исчисления себестоимости услуг в компаниях сотовой связи // Вестник Саратовского государственного социально-экономического университета. - 2009. - №. 01. - С. 115-118.

15.    Carlsson M., Eriksson S. Discrimination in the rental market for apartments //Journal of Housing Economics. - 2014. - Т. 23. - С. 41-54.

.        Choi S.K., Lee M.H., Chung G.H. Competition in Korean mobile telecommunications market: business strategy and regulatory environment //Telecommunications Policy. - 2001. - Т. 25. - №. 1. - С. 125-138.

17.    Corrocher N., Zirulia L. Demand and innovation in services: The case of mobile communications //Research Policy. - 2010. - Т. 39. - №. 7. - С. 945-955.

.        Corrocher N., Zirulia L. Me and you and everyone we know: An empirical analysis of local network effects in mobile communications //Telecommunications Policy. - 2009. - Т. 33. - №. 1. - С. 68-79.

19.    Diaz-Serrano L., Raya J.M. Mortgages, Immigrants and Discrimination: An Analysis of the Interest Rates in Spain //Regional Science and Urban Economics. - 2014.

.        Giaume S., Guillou S. Price discrimination and concentration in European airline markets //Journal of Air Transport Management. - 2004. - Т. 10. - №. 5. - С. 305-310.

.        Graddy K., Hall G. A dynamic model of price discrimination and inventory management at the Fulton Fish Market //Journal of Economic Behavior & Organization. - 2011. - Т. 80. - №. 1. - С. 6-19.

.        Harno J. Impact of 3G and beyond technology development and pricing on mobile data service provisioning, usage and diffusion //Telematics and informatics. - 2010. - Т. 27. - №. 3. - С. 269-282.

.        Ihlanfeldt K., Mayock T. Price discrimination in the housing market //Journal of Urban Economics. - 2009. - Т. 66. - №. 2. - С. 125-140.

.        Limkeatcherdchoo S., Whalley J., Ackermann F. Differentiation Strategies in the UK Mobile Communication Market: Services, Packages and Prices. - 2005.

.        Parker P.M., Röller L.H. Collusive conduct in duopolies: multimarket contact and cross-ownership in the mobile telephone industry //The RAND Journal of Economics. - 1997. - С. 304-322.

.        Pennerstorfer D., Sinabell F. Spatial Price Differentiation and Regional Market Power. The Case of Food-Retailing in Austria. - WIFO, 2013. - №. 458.

.        Shaked, A., & Sutton, J. (1984). Involuntary unemployment as a perfect equilibrium in a bargaining model. Econometrica: Journal of the Econometric Society. - С. 1351-1364.

.        Schmalensee R. et al. (ed.). Handbook of industrial organization. - Elsevier, 2007. - Т. 3. - С. 2221-2299.

.        Stole L.A. Nonlinear pricing and oligopoly //Journal of Economics & Management Strategy. - 1995. - Т. 4. - №. 4. - С. 529-562.

30.    Valletti T.M. A model of competition in mobile communications //Information Economics and Policy. - 1999. - Т. 11. - №. 1. - С. 61-72.

.        Valletti T.M., Cave M. Competition in UK mobile communications //Telecommunications Policy. - 1998. - Т. 22. - №. 2. - С. 109-131.

32.    Данные с сайта исследовательского агентства «Advanced communications and Media» http://www.acm-consulting.com/

33.    Progress Report on the Single European Electronic Communications Market 2008 (14th Report): Volume 2, Commission of the European Communities, Brussels, 24.03.2009, SEC (2009) 376; Pages 147 - 152.

34.    Открытый отчет по итогам инициативного исследования компании «ComNews Research» - http://www.comnews-research.ru/node/53 [электронный ресурс]

.        Сайт мобильного оператора «МТС» - http://www.mts.ru/ [электронный ресурс]

.        Сайт мобильного оператора «МегаФон» - http://www.megafon.ru/ [электронный ресурс]

.        Сайт мобильного оператора «Билайн» - http://www.beeline.ru [электронный ресурс]

.        Сайт мобильного оператора «Теле2» - http://www.tele2.ru/ [электронный ресурс]

.        Сайт мобильного оператора «Ростелеком» http://www.rt.ru/ [электронный ресурс]

.        Сайт мобильного оператора «МОТИВ» - http://motivtelecom.ru [электронный ресурс]

.        Сайт мобильного оператора «СМАРТС» - http://smarts.ru/ [электронный ресурс]

.        Федеральная служба государственной статистики - http://www.gks.ru [электронный ресурс]

.        Энциклопедический словарь экономики и права - http://enc-dic.com [электронный ресурс]

Похожие работы на - Анализ ценовых стратегий на рынке мобильной связи Российской Федерации

 

Не нашли материал для своей работы?
Поможем написать уникальную работу
Без плагиата!
Без нейросетей!