Анализ хозяйственной деятельности предприятия

  • Вид работы:
    Контрольная работа
  • Предмет:
    Эктеория
  • Язык:
    Русский
    ,
    Формат файла:
    MS Word
    10,72 Кб
  • Опубликовано:
    2015-04-07
Вы можете узнать стоимость помощи в написании студенческой работы.
Помощь в написании работы, которую точно примут!

Анализ хозяйственной деятельности предприятия

Задание 1

По данным таблицы определить средние тарифные разряды работ и рабочих, дать оценку соответствия квалификации рабочих сложности выполняемых работ и сделать выводы. Исходные данные для анализа состава рабочих по квалификации

Показатели

Разряды

Всего


III

IV

V

VI


Объем работ, тыс. нормо-часов

40

60

80

100

280

Численность рабочих, чел.

20

31

40

50

141


Решение

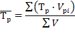
Средний тарифный разряд рабочих и работ можно определить по средневзвешенной арифметической формуле:

 

;          ,

где    Тр - тарифный разряд,

Чp - общая численность (количество) рабочих,

Чpi - численность рабочих i-го разряда,рi - объём работ i-го вида,- общий объем работ.

Средний тарифный разряд рабочих определяется по формуле:


Таким образом, средний тарифный разряд рабочих составляет 4,851.

Средний тарифный разряд работ определяется по формуле:


Отсюда видно, что тарифный разряд работ составляет 4,857.

Из выше изложенного можно сделать вывод, что средний тарифный разряд рабочих ниже среднего тарифного разряда работ, это может привести к снижению качества выпускаемой продукции и, следовательно, необходимо предусмотреть повышение квалификации персонала.

Задание 2

По данным таблицы провести анализ и дать оценку качественным изменениям фондов, их состояния и движения. В выводах охарактеризовать коэффициенты обновления и выбытия основных фондов, реальные возможности обновления основных средств. На основе проведенных расчетов коэффициентов износа и годности охарактеризовать техническое состояние основных средств.

Решение

тарифный персонал технический

Динамика состояния и движения основных средств

Показатели

Прошлый год

Отчетный год

Отклонение, +;-

1. Стоимость основных средств, тыс. руб.




а) на начало года

11 990

14 910

2920

б) на конец года

14 910

19 110

4200

2. Выбытие фондов, тыс. руб.

880

900

20

3. Поступление фондов, тыс. руб.

3 800

5 100

1300

4. Износ фондов, тыс. руб.




а) на начало года

3 200

2 600

-600

б) на конец года

3 306

-506

5. Коэффициенты, характеризующие движение основных фондов:




а) роста (1б:1а)

1,24

1,28

0,04

б) обновления (3:1б)

0,26

0,27

0,01

в) выбытия (2:1а)

0,07

0,06

-0,01

6. Коэффициенты, характеризующие состояние основных фондов




а) износа на начало года (4а:1а)

0,27

0,17

-0,1

б) износа на конец года (4б:1б)

0,22

0,15

-0,07

в) годности на начало года (Единица - 6а)

0,73

0,83

0,1

г) годности на конец года (Единица - 6б)

0,78

0,85

0,07



Вывод

Из выше указанных показателей видно, что стоимость основных средств в начале отчётного года выросла на 2920 тыс. руб. по сравнению с началом прошлого года, а в конце отчётного года также увеличилась на 4200 тысячи рублей по сравнению с концом прошлого года.

Увеличилось выбытие фондов на 20 тысяч рублей. Но поступление фондов увеличилось по сравнению с прошлым годом на 1300 тысяч рублей.

Износ фондов в начале и конце отчётного года по сравнению с началом и концом прошлого года снизился на 600 и 506 тысяч рублей соответственно.

Эти изменения говорят о том, что коэффициент роста и обновления основных фондов увеличились на 0,04 и 0,01 соответственно, а коэффициент выбытия снизился на 0,01.

Коэффициент износа на начало прошлого года составил 0,27, а на начало отчётного года составил лишь 0,17. Что говорит о сокращении износа в начале года основных фондов на 0,1. В конце прошлого года коэффициент износа составил 0,22, а в конце отчётного года составил 0,15. По сравнению с концом прошлого года коэффициент износа снизился на 0,07.

Коэффициент годности основных фондов на начало прошлого года составил 0,73, а на начало отчётного года - 0,83. Это говорит о том, что по сравнению с началом прошлого года коэффициент годности в начале отчётного года увеличился на 0,1.

Коэффициент годности основных фондов на конец прошлого года составил 0,78. Это ниже чем в конце отчётного года на 0,07. В конце отчётного года этот коэффициент составил 0,85.

Сопоставив коэффициенты обновления и выбытия основных фондов, видно что, происходит значительное опережение темпов поступления новых ОПФ по сравнению с их выбытием. Подобное положение приводит к большой обеспеченности ОПФ. На основе выше изложенных выводов и приведённых коэффициентов можно сказать, что техническое состояние основных средств очень хорошее.

Похожие работы на - Анализ хозяйственной деятельности предприятия

 

Не нашли материал для своей работы?
Поможем написать уникальную работу
Без плагиата!
Без нейросетей!