Анализ финансово-хозяйственной деятельности предприятия на примере ФГУП "Научно-исследовательский институт систем связи и управления"
Введение
Актуальность изучения
данной проблемы обусловлена тем, что на современном этапе проблеме анализа
финансово-хозяйственной деятельности предприятия не уделяется должного
внимания, хотя финансовое состояние хозяйственного субъекта отражает все
стороны деятельности, поскольку движение любых товарно-материальных ценностей и
трудовых ресурсов сопровождается образованием и расходованием денежных средств.
Отсутствие навыков адекватной оценки собственного финансового состояния,
анализа финансовых последствий принимаемых решений поставили многие из них на
грань банкротства. Одним из важнейших условий успешного управления финансами
предприятия является анализ его финансового состояния.
Обеспечение
эффективного функционирования предприятий требует экономически грамотного
управления их деятельностью, которое во многом определяется умением ее
анализировать. Таким
образом, разработка эффективной системы управления финансовым состоянием
предприятия на основе данных анализа финансовой отчетности на сегодняшний день
является одной из первоочередной и актуальной проблемой в связи с
реформированием экономики России. Этим объясняется актуальность выбранной темы
работы.
Объект исследования –
ФГУП «Научно-исследовательский институт систем связи и управления».
Предмет исследования –
совокупность экономических отношений возникающих в процессе
финансово-хозяйственной деятельности ФГУП «Научно-исследовательский институт
систем связи и управления» и результаты финансово-хозяйственной деятельности.
Цель исследования –
провести анализ финансово-хозяйственная деятельности ФГУП
«Научно-исследовательский институт систем связи и управления».
Достижению
поставленной цели будет способствовать решение ряда задач:
1. Изучить основные
особенности анализа финансово-хозяйственной деятельности в экономической
литературе.
2. Проанализировать
финансово-хозяйственную деятельность предприятия ФГУП «Научно-исследовательский
институт систем связи и управления».
3. Разработать
мероприятия по улучшению финансово-хозяйственной деятельности ФГУП
«Научно-исследовательский институт систем связи и управления».
Теоретической основой
работы послужили многие положения, изложенные в трудах российских ученых экономистов
и финансистов, таких как: М.И. Баканов, И.Т. Балабанов, Т.Б. Бердникова, О.В.
Ефимова, В.В. Ковалев, А.М. Ковалева, М.Н. Крейнина, Н.А. Любшин, Е.В. Негашев,
Г.Б. Поляк, Г.В. Савицкая, Н.Ф. Самсонов, Е.С. Стоянова, Э.А Уткин, А.Д.
Шеремет.
Методологической основой
настоящей работы, являются общенаучные методы исследования:
- диалектический,
- системный,
- классифицированный.
Практическая значимость
результатов исследования заключается в том, что разработанные рекомендации для
совершенствования финансово-хозяйственной деятельности на ФГУП
«Научно-исследовательский институт систем связи и управления» позволят
принимать обоснованные управленческие решения по выбору объекта инвестиций и
выявлению внутрихозяйственных резервов, направленных на увеличение прибыли и
рентабельности предприятия.
Структура
работы: дипломная работа состоит из введения, трех глав, заключения, списка
использованной литературы и приложений.
В первой главе
рассмотрены теоретические основы анализа финансово-хозяйственной деятельности.
Вторая глава представляет собой анализ деятельности ФГУП
«Научно-исследовательский институт систем связи и управления». В третьей главе
на основании проведенного анализа предложены мероприятия по оптимизации
деятельности ФГУП «Научно-исследовательский институт систем связи и
управления».
Глава 1. Методические
основы оценки финансового состояния предприятия
1.1 Финансы
предприятия как объект финансового анализа
Финансовый анализ
является существенным элементом финансового менеджмента и аудита. Практически
все пользователи финансовых отчетов предприятий используют методы финансового
анализа для принятия решений по оптимизации своих интересов. Так, собственники
анализируют финансовые отчеты для повышения доходности капитала, обеспечения
стабильности положения фирмы, а кредиторы и инвесторы анализируют финансовые
отчеты, чтобы минимизировать свои риски по займам и вкладам.
Финансовый анализ — это совокупность аналитических
процедур, основывающихся, как правило, на общедоступной информации финансового
характера и предназначенных для оценки состояния и эффективности использования
экономического потенциала фирмы, а также принятия управленческих решений в
отношении оптимизации ее деятельности или участия в ней[1].
Финансовый анализ является существенным элементом финансового
менеджмента и аудита. Практически все пользователи финансовых отчетов
предприятий применяют методы финансового анализа для принятия решений.
Анализ финансовой
деятельности предприятия необходим для определения степени финансовой
устойчивости предприятия, оценки деловой активности и эффективности
предпринимательской деятельности[2].
Чтобы обеспечить
выживаемость предприятия в современных условиях, управленческому персоналу
необходимо, прежде всего, уметь реально оценивать финансовое состояние как
своего предприятия, так и его реальных и потенциальных контрагентов. Для этого
необходимо: а) владеть методикой оценки финансового состояния предприятия; б)
иметь соответствующее информационное обеспечение; в) иметь квалифицированный
персонал, способный реализовать данную методику на практике.
Содержание финансового анализа
определяется его целями, объектами исследования и предметом и, по существу,
дает ответ на вопросы: что исследуется, как и для чего проводится анализ.
Финансовый анализ можно
определить как способ накопления, трансформации и использования информации
финансового характера, имеющий цель:
·
оценить текущее и
перспективное финансовое состояние предприятия;
·
оценить возможные
и целесообразные темпы развития предприятия с позиции финансового их
обеспечения;
·
выявить доступные
источники средств и оценить возможность и целесообразность их мобилизации;
·
спрогнозировать
положение предприятия на рынке капиталов.
Объект анализа - это то, на что направлен анализ. В зависимости от
поставленных задач объектами анализа финансовой отчетности могут быть: финансовое
состояние организации, или финансовые результаты, или деловая активность
организации и т.д.
Субъектами анализа
выступают две группы, заинтересованных в деятельности предприятия пользователей
информации:
1) собственники,
заимодавцы, поставщики, клиенты, налоговые органы, персонал предприятия,
руководство, интерпретирующие ее исходя из своих интересов;
2) аудиторские фирмы,
консультанты, биржи, юристы, пресса, ассоциации, профсоюзы, которые должны
защищать интересы первой группы пользователей отчетности.
Финансовый анализ решает
следующие задачи:
1) определяет финансовое
состояние предприятия на текущий момент;
2) оценивает структуру
имущества организации и источников его формирования;
3) выявляет степень
сбалансированности между движением материальных и финансовых ресурсов;
4)
выявляет
тенденции и закономерностей в развитии предприятия за исследуемый период;
5) оценивает структуру и
потоки собственного и заемного капитала в процессе экономического кругооборота,
нацеленного на извлечение максимальной или оптимальной прибыли, повышение
финансовой устойчивости, обеспечение платежеспособности и т.п.;
6) оценивает правильное
использование денежных средств для поддержания эффективной структуры капитала;
7) оценивает влияние
факторов на финансовые результаты деятельности и эффективность использования
активов организации;
8) осуществляет контроль
за движением финансовых потоков организации, соблюдением норм и нормативов
расходования финансовых и материальных ресурсов, целесообразностью
осуществления затрат.[3]
9)
определяет
факторы, отрицательно влияющие на финансовое состояние предприятия;
10)
выявляет резервы,
которые предприятие может использовать для улучшения своего финансового
состояния;
11)
Вырабатывает
рекомендации, направленные на улучшение финансового состояния предприятия.
В сегодняшних условиях
для большинства предприятий характерна "реактивная" форма управления
деятельностью, т.е. принятие управленческих решений как реакция на текущие
проблемы. Такая форма управления порождает ряд противоречий между: интересами
предприятия и фискальными интересами государства; ценой денег и рентабельностью
производства; рентабельностью собственного капитала и рентабельностью
финансовых рынков; интересами производства и финансовой службы и т.д.
Анализ
финансово-хозяйственной деятельности предприятия является элементом системы
финансового менеджмента. Такой подход обусловливается неразрывностью общих
функций управления — анализ важен не сам по себе, а лишь как неотъемлемая часть
эффективной системы управления. Действительно, с одной стороны, обоснованное
решение всегда базируется на данных некоторых аналитических процедур; с другой
стороны, анализ выполняется лишь для того, чтобы потом принять какое-то
управленческое решение.[4]
Финансовые показатели - показатели финансовой деятельности
фирмы, данные, характеризующие различные стороны деятельности, связанной с
образованием и использованием денежных фондов и накоплений.
Показатели финансового
состояния предприятия разделяются на две категории: объемные и относительные.
Последние называются финансовыми коэффициентами или финансовыми отношениями
(financial ratios).
Различные показатели
находятся в связи друг с другом и отражают взгляд только с одной из нескольких
возможных точек зрения на предприятие. Поэтому говорят о системе финансовых
показателей.
Среди объемных
показателей деятельности предприятия используются:
1.
Валюта баланса.
2.
Собственный или
оплаченный уставный капитал предприятия.
3.
Чистые активы
предприятия.
4.
Объем продаж
(выручка от реализации) за период.
5.
Объем прибыли за
период.
6.
Денежный поток за
период.
7.
Структура денежного
потока по видам деятельности.
Стремясь решить конкретные вопросы и получить
квалифицированную оценку финансового положения, руководители предприятий все
чаще начинают прибегать к помощи финансового анализа, значение отвлеченных
данных баланса или отчета о финансовых результатах весьма невелико, если их
рассматривать в отрыве друг от друга. Поэтому для объективной оценки
финансового положения необходимо перейти к определенным ценностным соотношениям
основных факторов - финансовым показателям или коэффициентам.[5]
Финансовые коэффициенты характеризуют пропорции между
различными статьями отчетности. Достоинствами финансовых коэффициентов являются
простота расчетов и элиминирования влияния инфляции[6].
Финансовые коэффициенты
используются для сравнения показателей финансового состояния конкретного
предприятия с аналогичными показателями других предприятий или
среднеотраслевыми показателями; для выявления динамики развития показателей и
тенденций изменения финансового состояния предприятия; для определения
нормальных ограничений и критериев различных сторон финансового состояния. Так,
например, в соответствии с Постановлением Правительства РФ от 20 мая 1994г. №
498 “О некоторых мерах по реализации законодательства о несостоятельности
(банкротстве) предприятий” введена система критериев для определения
неудовлетворительной структуры баланса неплатежеспособности предприятий. Такими
критериями являются: коэффициент текущей ликвидности, коэффициент
обеспеченности собственными средствами, коэффициент восстановления (утраты)
платежеспособности. Определены их нормальные ограничения, т.е. предельные размеры.
Для финансового менеджера финансовые коэффициенты имеют
особое значение, поскольку являются основой для оценки его деятельности
внешними пользователями отчётности, акционерами и кредиторами. Целевые
ориентиры проводимого финансового анализа зависят от того, кто его проводит:
управляющие, налоговые органы, владельцы (акционеры) предприятия или его
кредиторы. Сравнительный аналитический баланс можно получить из исходного
баланса путем уплотнения отдельных статей и дополнения его показателями
структуры, а также расчетами динамики. Этот баланс фактически включает
показатели как горизонтального, так и вертикального анализа.
Кроме
того, необходимо просчитать достаточность всех источников для формирования
материальных оборотных средств. К источникам формирования материальных
оборотных средств относят (1):
¨
собственные
оборотные средства;
¨
долгосрочные
обязательства;
¨
краткосрочные
займы и кредиты.
(1)
Превышение
суммы всех источников финансирования оборотных средств над стоимостью
материальных оборотных средств определяет возможности предприятия финансировать
основную деятельность.[7]
Далее
необходимо изучать соотношение более ликвидных оборотных средств с текущими
обязательствами. Считается, что сумма дебиторской задолженности, денежных
средств и краткосрочных финансовых вложений не должна быть меньше общей
величины кредиторской задолженности и краткосрочных займов и кредитов (2)[8]:
(2)
При
нарушении указанных соответствий имеет место неправильное размещение имущества,
что приводит к ухудшению финансового состояния организации.
С целью
проведения более детальной оценки имущества организации может быть определен
темп прироста реальных активов, который характеризует прирост реально
существующего собственного имущества организации и финансовых вложений по их
действительной стоимости. Реальные активы не являются нематериальные активы,
износ основных средств и материалов, использование прибыли, заемные средства. Темп
прироста реальных активов характеризует интенсивность наращивания имущества и
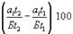
определяется как отношение[9]:
Т=[(
Ск+Зк+Дк)/(Сн+Зн+Дн)-1]*100 , (3)
где, Т –
темп прироста реальных активов, %; Cк, Сн – основные средства и вложения без учета износа, торговой наценки
по нереализованным товарам. Нематериальным активам, использования прибыли
соответственно на начало и конец периода, тыс. руб.; Дк, Дн – денежные
средства, расчеты и прочие активы без учета использования заемных средств, тыс.
руб.
1.2 Понятие, принципы,
виды анализа финансово-хозяйственной деятельности предприятия
Финансовый анализ
организации (медицинского учреждения и т.д.) является составной частью
экономического анализа. Он представляет собой совокупность методов сбора и
обработки данных о производственно-финансовой деятельности, обеспечивающих
оценку и принятие управленческих решений.
Главная цель финансового
анализа - решить, где, когда и как использовать финансовые ресурсы для
эффективного развития производства и получения максимума прибыли.[10]
Финансовый анализ важен
не только для определения стратегии деятельности самих медицинских учреждений,
но и для организации контроля со стороны собственника, вышестоящих органов,
территориального фонда и страховых медицинских организаций за рациональностью
использования средств, для оценки эффективности действующего хозяйственного
механизма в целом.[11]
В процессе финансового
анализа применяются различные методики, используются различные показатели.
Достаточно указать хотя бы такие показатели как рентабельность, ликвидность,
платежеспособность, кредитоспособность, запас финансовой устойчивости (зона
безопасности), степень риска, эффект финансового рычага и другие. Обилие
различных подходов к финансовому анализу требует их определенной классификации
и упорядочения. Иначе трудно оценить значимость этих показателей, дать их
правильную интерпретацию.[12]
Принято выделять три
основных вида (направления) финансового анализа:
1. Анализ имущества
(собственности, капитала) организации;
2. Анализ финансовой
деятельности;
3. Анализ финансового
состояния (положения).
Дадим краткую
характеристику этих направлений финансового анализа и соотношение их между
собой (более подробно эти направления будут рассмотрены в специальных
параграфах).
Целью анализа имущества
организации является изучение состава, структуры и динамики имущества
организации. В силу особенностей имущественных отношений бюджетных медицинских
учреждений, возможности использования в них методов анализа имущества крайне
ограничены.
Под методом финансового анализа понимается способ подхода к
изучению хозяйственных процессов в их становлении и развитии.
К характерным особенностям метода относятся: использование
системы показателей, выявление и изменение взаимосвязи между ними.
В процессе финансового анализа применяется ряд специальных
способов и приемов. [13]
Способы применения финансового анализа можно условно
подразделить на две группы: традиционные и математические.
К первой группе относятся: использование абсолютных,
относительных и средних величин; прием сравнения, сведения и группировки, прием
цепных подстановок.
Прием сравнения заключается в составлении финансовых
показателей отчетного периода с их плановыми значениями и с показателями
предшествующего периода (базисного). При сравнении показателей за разные
периоды необходимо добиться их сопоставимости, т.е. показатели следует
пересчитать с учетом однородности составных элементов, инфляционных процессов в
экономике, методов оценки и др..
Прием
сведения и группировки заключается в объединении информационных материалов в
аналитические таблицы. Это дает возможность для проведения аналитических
расчетов, выявления тенденций развития отдельных явлений и их взаимосвязи,
факторов, влияющих на изменение показателей.
Прием цепных подстановок применяется для расчетов величины
влияния факторов в общем, комплексе их воздействия на уровень совокупного
финансового показателя. Сущность приёмов ценных подстановок состоит в том, что,
последовательно заменяя каждый отчётный показатель базисным, все остальные
показатели рассматриваются при этом как неизменные. Такая замена позволяет
определить степень влияния каждого фактора на совокупный финансовый показатель.
На практике выбранные основные методы анализа финансовой
отчётности: горизонтальный анализ, вертикальный анализ, трендовый, метод
финансовых коэффициентов, сравнительный анализ, факторный анализ.[14]
Горизонтальный (ретроспективный, продольный,
временной) анализ. Предполагает сравнение финансовых показателей с предыдущими
периодами времени с целью определения тенденций в развитии предприятия.
Вертикальный (структурный) анализ – определение структуры
итоговых финансовых показателей с выявлением влияния каждой позиции отчётности
на результат в целом.
Трендовый анализ – сравнение каждой позиции отчётности с
рядом предшествующих периодов и определение тренда. С помощью тренда
формируются возможные значения показателей в будущем, а, следовательно, ведется
перспективный анализ.
Анализ относительных показателей (коэффициентов) - расчет
отношений между отдельными позициями отчета или позициями разных форм
отчетности, определение взаимосвязей показателей.[15]
Сравнительный
(пространственный) анализ - это и внутрихозяйственный анализ сводных
показателей подразделений, цехов, дочерних фирм и т. п., и межхозяйственный
анализ предприятия в сравнении с данными конкурентов, со среднеотраслевыми и
средними общеэкономическими данными. К сожалению, в России на сегодняшний день
отсутствует необходимая статистическая база. Поэтому в некоторых случаях
возможно использование аналогичных западных справочников, наиболее известными
из которых являются бюллетени агентств Dun & Bradstreet и Robert Morris
Associates. Данный вид анализа используется, как правило, при проведении
внешнего финансового анализа.
Факторный анализ - анализ
влияния отдельных факторов (причин) на результативный показатель с помощью
детерминированных и стохастических приёмов исследования. Факторный анализ может
быть как прямым, так и обратным, т. е. синтез - соединение отдельных элементов
в общий результативный показатель.[16] Предполагает оценку влияния
отдельных факторов на итоговые финансовые показатели с целью определения
причин, вызывающих изменения их значений. При этом может использоваться метод
цепных подстановок (элиминирования). Данный метод анализа используется, как
правило, при проведении внутреннего финансового анализа.
Методы экономической кибернетики и оптимального
программирования, экономические методы, методы исследования операций и теории
принятия решения, безусловно, могут найти непосредственное применение в рамках
финансового анализа.
Все вышеперечисленные методы анализа относятся к
формализованным методам анализа. Однако существуют и неформализованные методы:
экспертных оценок, сценариев, психологические, морфологические и т. п., они
основаны на описании аналитических процедур на логическом уровне.[17]
Разные авторы предлагают разные методики финансового анализа.
Детализация процедурной стороны методики финансового анализа зависит от
поставленных целей, а также различных факторов информационного, временного,
методического и технического обеспечения. Логика аналитической работы
предполагает ее организацию в виде двухмодульной структуры: экспресс-анализ
финансового состояния и детализированный анализ финансового состояния.
Целью экспресс-анализа является наглядная и простая оценка
финансового благополучия и динамики развития хозяйствующего субъекта. В
процессе анализа В.В. Ковалев предлагает рассчитать различные показатели и
дополнить их методами, основанными на опыте и квалификации специалиста.
Автор считает, что экспресс-анализ целесообразно выполнять в
три этапа: подготовительный этап, предварительный обзор финансовой отчетности,
экономическое чтение и анализ отчетности (таблица 1).[18]
Цель первого этапа - принять решение о целесообразности
анализа финансовой отчетности и убедиться в ее готовности к чтению. Здесь
проводится визуальная и простейшая счетная проверка отчетности по формальным
признакам и по существу: определяется наличие всех необходимых форм и
приложений, реквизитов и подписей, проверяется правильность и ясность всех
отчетных форм; проверяются валюта баланса и все промежуточные итоги.
Цель второго этапа - ознакомление с пояснительной запиской к
балансу. Это необходимо для того, чтобы оценить условия работы в отчетном
периоде, определить тенденции основных показателей деятельности, а также
качественные изменения в имущественном и финансовом положении хозяйствующего субъекта.
Третий этап - основной в экспресс-анализе; его цель -
обобщенная оценка результатов хозяйственной деятельности и финансового
состояния объекта. Такой анализ проводится с той или иной степенью детализации
в интересах различных пользователей
В.В. Ковалев предлагает проводить экспресс-анализ финансового
состояния по выше изложенной методике и завершать выводом о целесообразности
или необходимости более углубленного и детального анализа финансовых
результатов и финансового положения.
Цель детализированного анализа финансового состояния - более
подробная характеристика имущественного и финансового положения хозяйствующего
субъекта, результатов его деятельности в истекающем отчетном периоде, а также
возможностей развития субъекта на перспективу. Он конкретизирует, дополняет и
расширяет отдельные процедуры экспресс-анализа. При этом степень детализации
зависит от желания аналитика. [19]
Таблица 1.1 Совокупность аналитических показателей для
экспресс-анализа
|
Направление анализа
|
Показатели
|
|
1. Оценка экономического потенциала
субъекта хозяйствования
|
Оценка имущественного положения
|
Величина основных средств и их доля
в общей сумме активов.
Коэффициент износа основных средств.
Общая сумма хозяйственных средств, находящихся в
распоряжении предприятия.
|
Оценка финансового положения
|
Величина собственных средств и их
доля в общей сумме источников.
Коэффициент покрытия (общий).
Доля собственных оборотных средств в общей их сумме.
Доля долгосрочных заемных средств в общей сумме источников.
Коэффициент покрытия запасов.
|
|
Наличие «больных» статей в
отчетности
|
Убытки.
Ссуды и займы, не погашенные в срок.
Просроченная дебиторская и кредиторская задолженность.
Векселя выданные (полученные) просроченные.
|
|
2. Оценка результатов
финансово-хозяйственной деятельности
|
|
Оценка прибыльности
|
Прибыль.
Рентабельность общая.
Рентабельность основной деятельности.
|
|
Оценка динамичности
|
Сравнительные темпы роста выручки,
прибыли и авансированного капитала.
Оборачиваемость активов
Продолжительность операционного и финансового цикла.
Коэффициент погашаемости дебиторской задолженности.
|
|
Оценка эффективности использования
экономического потенциала.
|
Рентабельность авансированного
капитала.
Рентабельность собственного капитала.
|
Характеристика основных показателей, используемых в анализе,
финансово-хозяйственной деятельности будет проведена в практической части
данной работы.
Рассмотрим далее методику анализа финансового состояния,
предлагаемую И.Т. Балабановым в его книге «Основы финансового менеджмента».
Характеристику финансового состояния И.Т. Балабанов предлагает провести по
следующей схеме:
анализ доходности (рентабельности);
анализ финансовой устойчивости;
анализ кредитоспособности;
анализ использования капитала;
анализ уровня самофинансирования;
анализ валютной самоокупаемости.
Анализ доходности хозяйствующего субъекта характеризуется
абсолютными и относительными показателями. Абсолютный показатель доходности -
это сумма прибыли, или доходов. Относительный показатель - уровень
рентабельности. Рентабельность представляет собой доходность, или прибыльность
производственно-торгового процесса. [20]
Финансово устойчивым считается такое предприятие, которое за
счет собственных средств покрывает средства, вложенные в активы (основные
фонды, НМА, оборотные средства), не допускает неоправданной дебиторской и
кредиторской задолженности и расплачивается в срок по своим обязательствам.
Главным в финансовой деятельности, считает И.Т. Балабанов, являются правильная
организация и использование оборотных средств. Поэтому в процессе анализа
финансового состояния вопросам рационального использования оборотных средств
уделяет основное внимание.
Характеристика финансовой устойчивости включает в себя
анализ: состава и размещения активов хозяйствующего субъекта; динамики и
структуры источников финансовых ресурсов; наличия собственных оборотных
средств; кредиторской задолженности; наличия и структуры оборотных средств;
дебиторской задолженности; платежеспособности.
Под кредитоспособностью хозяйствующего субъекта понимается
наличие у него предпосылок для получения кредита и способность возвратить его в
срок. Кредитоспособность заемщика характеризуется его аккуратностью при
расчетах по ранее полученным кредитам, его текущим финансовым состоянием и
перспективами изменения, способностью при необходимости мобилизовать денежные
средства из различных источников.
При анализе кредитоспособности используется целый ряд
показателей. Наиболее важными из них являются, норма прибыли на вложенный
капитал и ликвидность. Норма прибыли на вложенный капитал определяется
отношением суммы прибыли к общей сумме пассива по балансу. Ликвидность
хозяйствующего субъекта - это способность его быстро погашать свою
задолженность. Она определяется соотношением величины задолженности и ликвидных
средств. Более подробно показатели, характеризующие ликвидность будут
рассмотрены во второй главе данной работы. [21]
Следующий источник по рассматриваемой проблеме это учебник
под редакцией Е. С. Стояновой «Финансовый менеджмент: теория и практика».
Данный автор особое внимание уделяет специфическим методом анализа: это расчеты
эффекта финансового рычага и операционного рычага, а также расчету финансовых
коэффициентов.
Важнейшими коэффициентами отчетности, использующимися в
финансовом управлении по Е. С. Стояновой, являются:
- коэффициенты ликвидности (коэффициент текущей ликвидности,
срочной ликвидности и чистый оборотный капитал);
- коэффициенты деловой активности или эффективности
использования ресурсов (оборачиваемость активов, дебиторской задолженности,
производственных запасов и длительность операционного цикла);
- коэффициенты рентабельности (рентабельность активов
предприятия, рентабельность реализации, рентабельность собственного капитала);
- коэффициенты структуры капитала (коэффициент собственности,
финансовой зависимости, защищенности кредиторов);
- коэффициенты рыночной активности (прибыль на одну акцию,
балансовая стоимость одной акции, соотношение рыночной цены акции и ее
балансовой стоимости, доходность акции и доля выплаченных дивидендов).
Важным инструментом финансового менеджмента является не
только анализ уровня и динамики коэффициентов в сравнении с определенной базой,
считает автор, но и определение оптимальных пропорций между ними с целью
разработки наиболее конкурентоспособной финансовой стратегии[22].
Большое внимание Е.С. Стоянова уделяет операционному анализу,
называемому анализом "издержки-объем-прибыль", - отражающим
зависимость финансовых результатов бизнеса от издержек и объемов сбыта.
Ключевыми элементами операционного анализа служат:
операционный рычаг; порог рентабельности; запас финансовой прочности. Действие
операционного рычага проявляется в том, что любое изменение выручки от
реализации всегда порождает более сильное изменение прибыли. В практических
расчетах для определения силы воздействия операционного рычага применяют
отношение валовой маржи (результата от реализации после возмещения переменных
затрат) к прибыли.
Порог рентабельности – эта такая выручка от реализации, при
которой предприятие уже не имеет убытков, но еще не имеет и прибыли. Вычислив
его, получаем пороговое (критическое) значение объема производства – ниже этого
количества предприятию производить не выгодно: обойдется себе дороже. Пройдя
порог рентабельности, фирма имеет дополнительную сумму валовой маржи на каждую
очередную единицу товара.
Разница между достигнутой фактической выручкой от реализации
и порогом рентабельности составляет запас финансовой прочности.
В статье кандидата экономических наук М.И. Литвина, рассматриваются
некоторые возможности применения матричных методов оценки и анализа финансовых
показателей, увязанных с действующей формой бухгалтерского баланса. Матричная
модель представляет собой прямоугольную таблицу, элементы которой отражают
взаимосвязь объектов. Она очень удобна для финансового анализа, поскольку
является простой и наглядной формой совмещения разнородных, но взаимосвязанных
экономических явлений.
Бухгалтерский баланс можно представить как матрицу, где по
горизонтали расположены статьи актива (имущество), по вертикали – статьи
пассива (источники средств). Размерность матрицы может соответствовать
количеству статей по активу и пассиву баланса. В матрице баланса необходимо
выделить четыре квадранта:
|
Актив
|
Пассив
|
|
Внеоборотные средства
|
Собственный капитал
|
|
Оборотные средства
|
Обязательства
|
Выбирается размер матрицы, статьи актива отражаются по
горизонтали матрицы, статьи пассива – по вертикали. Заполняется балансовая
строка и графа матрицы в точном соответствии с данными бухгалтерского баланса.
Последовательно, начиная с первой строки актива баланса, подбираются источники
средств, находящиеся в распоряжении предприятия [23]
1.3 Методика
комплексной оценки финансового состояния предприятия
Финансовый анализ, как
часть экономического анализа, представляет систему определенных знаний,
связанную с исследованием финансового положения организации и ее финансовых
результатов, складывающихся под влиянием объективных и субъективных факторов,
на основе данных финансовой отчетности.
Анализ финансовой
отчетности выступает как инструмент для выявления проблем управления
финансово-хозяйственной деятельностью, для выбора направлений инвестирования
капитала и прогнозирования отдельных показателей.[24]
Одной из задач реформы
предприятия является переход к управлению финансово-хозяйственной деятельностью
на основе анализа экономического состояния с учетом постановки стратегических
целей деятельности предприятия, адекватных рыночным условиям, и поиска путей их
достижения. Результаты финансово-хозяйственной деятельности предприятия интересуют
как внешних рыночных агентов (потребителей и производителей, кредиторов,
акционеров, инвесторов), так и внутренних (работников
административно-управленческих подразделений, руководителей предприятия и др.).[25]
Основными источниками
информации для финансового анализа являются данные бухгалтерского и
управленческого учета:
1.
Данные об
имуществе предприятия (активах) и источниках его образования (пассивах) на
начало и конец исследуемого периода в виде аналитического баланса.
2. Данные о результатах
деятельности предприятия за исследуемый период в виде аналитического отчета о
прибылях и убытках.
При проведении
финансового анализа для более точной интерпретации исходных данных
дополнительно может потребоваться следующая информация:
·
Сведения об
учетной политике предприятия.
·
Сумма
начисленного износа основных средств и нематериальных активов.
·
Среднесписочная
численность персонала и фонд заработной платы предприятия.
·
Доля просроченной
дебиторской и кредиторской задолженности.
·
Доля бартерных
(товарных) расчетов в выручке от реализации.
Бухгалтерская отчетность
коммерческих организаций состоит из:
а) бухгалтерского баланса
(форма N 1);
б) отчета о прибылях и
убытках (форма N 2);
в) приложений к ним,
предусмотренных нормативными актами;
г) аудиторского
заключения, подтверждающего достоверность бухгалтерской отчетности организации,
если она в соответствии с федеральными законами подлежит обязательному аудиту;
д) пояснительной записки.
В соответствии с пунктом
1 Приказа N 67н в состав приложений к бухгалтерскому балансу и отчету о
прибылях и убытках бухгалтерской отчетности включаются:
форма N 3 "Отчет об
изменениях капитала";
форма N 4 "Отчет о
движении денежных средств";
форма N 5 "Приложение
к бухгалтерскому балансу";
форма N 6 "Отчет о
целевом использовании полученных средств" (для общественных организаций).[26]
Бухгалтерский баланс –
основная форма бухгалтерской отчётности. Он характеризует имущественное и
финансовое состояние организации на отчётную дату. В форме баланса по каждой
статье в скобках указаны номера счетов бухгалтерского учета, сальдо по которым
должно быть перенесено в данную статью.
В целях удобства работы,
сокращения места и времени написания формул, применяемых при анализе,
целесообразно показатели бухгалтерского баланса и другие финансовые показатели
записывать в виде условных обозначений.
Форма № 2 «Отчет о
прибылях и убытках» - отражаются финансовые результаты деятельности организации
за отчётный период и аналогичный период предыдущего года.
В форме №3 «Отчет об
изменениях капитала» раскрываются структура и движение капитала предприятия. О
том, что в него входит, сказано в пункте 66 Положения по бухгалтерскому учету и
бухгалтерской отчетности в Российской Федерации, утвержденного приказом Минфина
России от 29 июля 1998г. № 34н. Так, в состав собственного капитала предприятия
включаются: уставный (складочный), добавочный и резервный капиталы,
нераспределенная прибыль и прочие резервы.
Форма №4 «Отчет о
движении денежных средств» состоит из 3 разделов. В форме отражается информация
о том, за счет каких средств организация вела свою деятельность в отчетном году
и как именно она их расходовала по каждому виду деятельности организации:
текущей (основной), инвестиционной и финансовой.
Отчет по форме № 5 «Приложение к бухгалтерскому балансу»
расшифровывает данные формы № 1 «Бухгалтерский баланс». Показатели, подлежащие
отражению в форме №5, по решению организации могут формировать самостоятельные отчеты
или включаться в пояснительную записку.
Пояснительная записка
составляется произвольной формы и содержит информацию о деятельности
предприятия, о численности работающих, основные показатели и факторы,
повлиявшие на результаты деятельности организации, а также решения по
распределению прибыли, остающейся в распоряжении предприятия.[27]
Методика анализа
финансового состояния предприятия включает следующие блоки анализа: общая
оценка финансового состояния и его изменения за отчетный период; анализ
финансовой устойчивости предприятия; анализ ликвидности баланса, анализ деловой
активности и платежеспособности предприятия. Оценка финансового состояния и его
изменения за отчетный период по сравнительному, аналитическому балансу, а также
анализ показателей финансовой устойчивости составляют исходный пункт, из
которого должен логически развиваться заключительный блок анализа финансового
состояния.[28]
В ходе анализа для
характеристики различных аспектов финансового состояния применяются как
абсолютные показатели, так финансовые коэффициенты, представляющие собой
относительные показатели финансового состояния. Последние рассчитываются в виде
отношений абсолютных показателей финансового состояния или их линейных
комбинаций. Согласно классификации одного из основателей балансоведения Н. А.
Блатова, относительные показатели финансового состояния подразделяются на
деления и коэффициенты координации, коэффициенты распределении. Коэффициенты
распределения применяются в тех случаях, когда требуется определить, какую
часть тот или иной абсолютный показатель финансового состояния составляет от
итога включающей его группы абсолютных показателей. Коэффициенты распределения
и их изменения за отчетный период играют большую роль в ходе предварительного
ознакомления с финансовым состоянием по сравнительному аналитическому
балансу-нетто. Коэффициенты координации используются для выражения отношений
разных по существу абсолютных показателей финансового состояния или их линейных
комбинаций, имеющих различный экономический смысл.[29]
Анализ финансовых
коэффициентов заключается в сравнении их значений с базисными величинами, а
также в изучении их динамики за отчетный период и за ряд лет. В качестве
базисных величин используются усредненные по временному ряду значения
показателей данного предприятия, относящиеся к прошлым, благоприятным с точки
зрения финансового состояния, периодам; среднеотраслевые значения показателей,
значения показателей рассчитанные по данным отчетности наиболее удачливого
конкурента. Кроме того, базой сравнения могут служить теоретически обоснованные
или полученные в результате экспертных опросов величины, характеризующие
оптимальные или критические, с точки зрения устойчивости финансового состояния
значения относительных показателей. Такие величины фактически выполняют роль
нормативов для финансовых коэффициентов. [30]
Предварительная оценка
финансового состояния предприятия и изменений его показателей предназначена для общей
характеристики финансовых показателей предприятия, определения их динамики и
отклонений за отчетный период. В целях проведения такого анализа рекомендуется
составить сравнительный аналитический баланс, в который включаются основные
агрегированные показатели бухгалтерского баланса.
Сравнительный
аналитический баланс позволяет упростить работу по проведению горизонтального и
вертикального анализа основных финансовых показателей предприятия. Горизонтальный
анализ характеризует изменения показателей за отчетный период, а вертикальный –
удельный вес показателей в общем итоге (валюте) баланса предприятия. Расчет
изменения удельных весов величин статей баланса за отчетный период проводится
по следующей формуле:
, где ( 4 )
где ai- статья
аналитического баланса;
t1- показатель статьи
аналитического баланса на начало периода;
t2- показатель статьи
аналитического баланса на конец периода.
Расчет изменения статей
баланса в процентах к величинам на начало года проводится по формуле:
или ( 5 )
Расчет изменения статей
баланса в процентах к изменению итога аналитического баланса проводится по
формуле:
или ( 6 )
Полученные показатели
структурных изменений дают возможность выявить, за счет каких источников
менялись активы предприятия.
В целях углубления
анализа финансовых показателей предприятия сравнительные аналитические таблицы
могут составляться также для конкретных показателей, например, основных
средств, запасов, денежных средств, расчетов и прочих активов и т.д.
Анализ ликвидности
баланса должен оценивать текущую платежеспособность и давать заключение о
возможности сохранения финансового равновесия и платежеспособности в будущем.
Сравнительный аналитический баланс и показатели финансовой устойчивости
отражают сущность финансового состояния. Ликвидность баланса характеризует
внешние проявления финансового состояния, которые обусловлены его сущностью.
Под ликвидностью организации понимается его способность
покрывать свои обязательства активами, срок превращения которых в денежную
форму соответствует сроку погашения обязательств. Ликвидность означает
безусловную платежеспособность организации и предполагает постоянное равенство
между его активами и обязательствами одновременно по двум параметрам: по общей
сумме; по срокам превращения в деньги (активы) и срокам погашения (обязательства)[31].
По степени ликвидности, т.е. скорости превращения в денежные
средства, активы организации разделяют на следующие группы:
¨
Наиболее ликвидные
активы А1 (4):
- суммы по всем статьям
денежных средств, которые могут быть использованы для проведения расчетов
немедленно;
- краткосрочные
финансовые вложения (ценные бумаги).
А1=стр.260+стр.250 (7)
¨
Быстрореализуемые
активы А2 (8) – активы, для обращения которых в наличные средства требуется
определенное время. Сюда относятся:
- дебиторская
задолженность (платежи по которым ожидаются в течении 12 месяцев после отчетной
даты);
- прочие дебиторские
активы.
А2=стр.240+стр.270 (8)
Медленнореализуемые
активы А3 (9) – наименее ликвидные активы. Сюда входят:
- запасы, кроме строки «
Расходы будущих периодов»;
- налог на добавленную
стоимость по приобретенным ценностям;
- дебиторская
задолженность (платежи по которой ожидаются более чем через 12 месяцев после
отчетной даты).
А3=стр.210+стр.220+стр.230
(9)
¨
Труднореализуемые
активы А4 (10). В эту группу включаются все статьи I раздела баланса «Внеоборотные активы».
А4=стр.190 (10)
Источники
пассива баланса группируются по срочности их оплаты следующим образом:
¨
Наиболее срочные
обязательства П1 (11):
- кредиторская
задолженность;
- задолженность
участникам (учредителям) по выплате доходов;
- прочие краткосрочные
обязательства;
- ссуды, не погашенные в
срок.
П1=стр.620+стр.630+стр.660
(11)
¨
Краткосрочные
пассивы П2 (12):
- краткосрочные займы и
кредиты;
- прочие займы,
подлежащие погашению в течение 12 месяцев после отчетной даты.
П2=стр.610 (12)
¨
Долгосрочные
пассивы П3 (13).
В группу входят
долгосрочные кредиты и займы, статьи IV раздела баланса.
П3=стр.560 (13)
¨
Постоянные
пассивы П4 (14):
- это статьи III раздела баланса «Капитал и резервы»;
- отдельные статьи V раздела баланса «Краткосрочные
обязательства», не вошедшие в предыдущие группы;
- доходы будущих
периодов;
- резервы предстоящих
расходов.
Для сохранения баланса
актива и пассива итог данной группы следует уменьшить на сумму по статье
«Расходы будущих периодов».
П4=стр.490+стр.640+стр.650
(14)
Для
определения ликвидности баланса предприятия необходимо сопоставить итоги перечисленных
групп по активу и пассиву. Баланс считается абсолютно ликвидным при следующих
соотношениях:
(15)
При этом если выполнены
три следующих условия:
А1≥П1; А2≥П2;
А3≥П3, (16)
т.е. текущие активы
превышают внешние обязательства организации, то обязательно выполняется и
последнее неравенство:
А4≤П4, (17)
которое подтверждает
наличие у организации собственных оборотных средств. Все это означает соблюдение
минимального условия финансовой устойчивости.
Невыполнение же одного из
первых трех неравенств, свидетельствует о нарушении ликвидности баланса. При
этом недостаток средств по одной группе активов, не компенсирующейся их
избытком по другой группе, так как компенсация может быть лишь по стоимости, в
реальной платежной ситуации менее ликвидные активы не могут заменить более
ликвидные.[32]
Сравнение первой и второй
групп активов (наиболее ликвидных активов и быстрореализуемых активов) с
первыми двумя группами пассивов (наиболее срочные обязательства и краткосрочные
пассивы) показывает текущую ликвидность, т.е. платежеспособность или
неплатежеспособность организации в ближайшее к моменту проведения анализа
время.
Сравнение же третьей
группы активов и пассивов (медленно реализуемых активов с долгосрочными
обязательствами) показывает перспективную ликвидность, т.е. прогноз
платежеспособности организации.
Платежеспособность
и финансовая устойчивость являются важнейшими характеристиками
финансово-экономической деятельности предприятия в условиях рыночной экономики[33]. Платежеспособность предприятия
характеризуется коэффициентами ликвидности, которые рассчитываются как
отношения различных видов оборотных средств к величине срочных обязательств[34]. Различают следующие показатели
ликвидности, характеризующие платежеспособность:
1. Коэффициент абсолютной ликвидности (18):
(18)
2. Коэффициент критической ликвидности
(промежуточного (финансового) покрытия, платежеспособности и др.) (19):
(19)
3. Коэффициент текущей ликвидности
(общего покрытия) (20):
(20)
Для
оценки структуры баланса рассчитывается коэффициент утраты платежеспособности
на период 3 месяца, если нет, то восстановления платежеспособности на период 6
месяцев формуле (21):
где: (21)
- коэффициент
утраты/восстановления платежеспособности;
- коэффициент текущей
ликвидности на конец анализируемого периода;
- коэффициент текущей
ликвидности на начало анализируемого периода;
ty – время
утраты/восстановления платежеспособности – 3/6 месяцев;
ta –
продолжительность анализируемого периода в месяцах.
Если
значение коэффициента утраты платежеспособности менее 1, может быть принято
решение об утрате платежеспособности, если значение коэффициента восстановления
окажется выше единицы, предприятие имеет возможность восстановить свою
платежеспособность за этот период. Для разработки конкретных мер по
нормализации структуры баланса и обеспечения платежеспособности организации
необходимо более детально, по направлениям, изучить ее финансовое состояние.
Анализ платежеспособности
необходим не только для самих организаций с целью оценки и прогнозирования их
дальнейшей финансовой деятельности, но и для их внешних партнеров и
потенциальных инвесторов. Оценка платежеспособности осуществляется на основе
анализа ликвидности текущих активов организации, т.е. их способность
превращаться в денежную наличность. При этом понятие ликвидность является более
широким, чем платежеспособность и означает не только текущее состояние
расчетов, но и характеризует соответствующие перспективы развития компании.[35]
Одна из важнейших
характеристик финансового состояния предприятия – стабильность его деятельности
в свете долгосрочной перспективы. Финансовая устойчивость в долгосрочном плане
характеризуется соотношением собственных и заёмных средств. Однако этот
показатель даёт лишь общую оценку финансовой устойчивости. Поэтому в мировой и
отечественной практике разработана система следующих показателей:
1.
Обеспеченность оборотных средств собственными источниками или коэффициент
обеспеченности собственными оборотными средствами (22):
(22)
2. Коэффициент финансовой независимости (автономии) –
показывает удельный вес собственных средств в общей сумме источников
финансирования, нормальное ограничение составляет более или равно 0,4-0,6:
(23)
3.
Коэффициент финансовой устойчивости показывает, какая часть актива
финансируется за счет устойчивых источников, нормальное ограничение ≥ 0,6:
(23)
Сущностью
финансовой устойчивости предприятия является обеспеченность
товарно-материальных запасов источниками средств для их формирования (покрытия).
Финансовая устойчивость предприятия характеризуется системой абсолютных и
относительных показателей. Наиболее обобщающим абсолютным показателем
финансовой устойчивости является соответствие (либо несоответствие — излишек
или недостаток) величины источников средств для формирования запасов. При этом
имеются в виду источники собственных и заемных средств[36]. Задачей анализа финансовой
устойчивости является оценка степени независимости от заемных источников
финансирования, чтобы измерить, достаточно ли устойчива анализируемая
организация в финансовом отношении.
4. Коэффициент манёвренности собственного капитала –
показывает, какая часть собственного капитала используется для финансирования
текущей деятельности, т. е. вложена в оборотные средства, а какая
капитализирована. Значение этого показателя может существенно варьироваться.
Коэффициент маневренности собственных оборотных средств (24):
(24)
5.
Коэффициент капитализации (плечо финансового рычага) (Kкап) показывает, сколько заемных средств организация
привлекла на 1 рубль вложенных в активы собственных средств, нормальное
ограничение не выше 1,5:
(25)
После проведения данных расчетов приведенных выше показателей предприятие может характеризоваться одним из четырех типов финансовой устойчивости:
1. Абсолютная финансовая устойчивость. Такой тип финансовой устойчивости характеризуется тем, что все запасы предприятия покрываются собственными оборотными средствами, т. е. организация не зависит от внешних кредиторов. Такая ситуация встречается крайне редко.
2. Нормальная финансовая устойчивость. В такой ситуации предприятие использует для покрытия запасов, помимо собственных оборотных средств, также и долгосрочные привлеченные средства. Такой тип финансирования запасов является “нормальным” с точки зрения финансового менеджмента. Нормальная финансовая устойчивость является наиболее желательной для предприятия.
3. Неустойчивое финансовое положение. Такая ситуация характеризуется недостатком у предприятия “нормальных” источников для финансирования запасов. В этой ситуации еще существует возможность восстановления равновесия за счет пополнения источников собственных средств, сокращения дебиторской задолженности, ускорения оборачиваемости запасов.
4.
Кризисное финансовое состояние характеризуется ситуацией, при которой
предприятие имеет кредиты и займы, не погашенные в срок, а также просроченную
кредиторскую и дебиторскую задолженности. В этом случае можно говорить о том,
что предприятие находится на грани банкротства[37]
Глава 2. Комплексная
оценка финансового состояния ФГУП "Научно-исследовательский институт
систем связи и управления"
2.1 Краткая
организационно-экономическая характеристика ФГУП "Научно-исследовательский
институт систем связи и управления"
ФГУП "Научно-исследовательский
институт систем связи и управления" далее ФГУП "НИИССУ» создано в
соответствии с приказом Министерства промышленности средств связи СССР от
17.06.1977 г.
Предприятие является
коммерческой организацией. Находится в ведомственном подчинении Министерства
промышленности и торговли РФ.
Полномочия собственника
имущества Предприятия осуществляют Министерство промышленности и торговли и
Федеральное агентство по управлению федеральным имуществом в соответствии с
нормативными правовыми актами Правительства РФ.
Предприятие является
юридическим лицом, имеет самостоятельный баланс, расчетный и иные счета в
банках, круглую печать со своим наименованием, штамп, бланки, фирменное наименование.
Предприятие отвечает по
своим обязательствам всем принадлежащим ему имуществом.
Предприятие от своего
имени приобретает имущественные и личные неимущественные права и несет обязательства,
выступает истцом и ответчиком в суде в соответствии с законодательством РФ.
Целями деятельности
Предприятия являются:
1. осуществление научной и
научно-технической деятельности в отраслях, связанных с обеспечением
безопасности РФ; разработка и изготовление отельных видов продукции,
находящейся в сфере интересов РФ и обеспечивающей безопасность РФ;
2. получение прибыли.
Для достижения целей
Предприятие осуществляет в установленном законодательством РФ порядке следующие
виды деятельности:
- разработка,
производство и испытание автоматизированных систем, комплексов и средств
управления войсками и оружием, автоматизированных систем связи и передачи
данных, стационарных и мобильных всех видов базирования узлов связи, техники
радиосвязи и телесвязи радионавигационного оборудования, бортовых авиационных
комплексов навигации и управления, комплексов радиолокационного обнаружения и
технических средств опознавания объектов специального и гражданского
назначения;
-разработка, производство
и внедрение аппаратно-программных средств вычислительной техники и аппаратуры
для автоматизированной обработки и передачи данных специального и гражданского
назначения;
- разработка,
производство и внедрение автоматизированных радиоцентров общего и специального
назначения с использованием фазированных антенных решеток, аэростатных
высотно-подъемных антенн и аппаратно-программных комплексов ионосферно-волновой
и частотно-диспетчерской службы;
-разработка,
проектирование, внедрение, проведение сертификации и сертификационных
испытаний, реализация, установка, монтаж, наладка, ремонт, сервисное обслуживание
систем и средств защиты информации, в том числе от несанкционированного доступа
и применения;
- разработка и создание
центров сбора и обработки информации для систем экологического мониторинга и
других специальных систем и систем гражданского назначения, включая их
общесистемное, специальное программное обеспечение и экспертные системы;
- разработка и
производство специализированных колесных машин, их шасси и автотранспортных
средств, кроме пассажирских;
- разработка и
производство подвижных средств, специального оборудования для технического
обслуживания, ремонт и эвакуация вооружения и военной техники;
- разработка и
производство техники для лабораторных исследований и экспресс-анализа;
-разработка и
производство систем и комплексов закрытой связи;
-разработка и
производство средств защиты информации от несанкционированного доступа;
-развитие теории и
технологии создания систем связи и управления;
-формирование и
разработка программ фундаментальных научных исследований по созданию
перспективных систем связи и управления;
-координация и
осуществление фундаментальных, теоретических и прикладных исследований и
разработок по важнейшим направлениям создания, развития и применения систем
связи и управления;
-развитие
материально-технической и научной базы, необходимой для осуществления работ
соответствующих высшим научным достижениям;
-осуществление
мероприятий по сохранности сведений, составляющих государственную тайну, а
также подготовка кадров в области защиты информации и защиты государственной
тайны в автоматизированных системах управления и связи;
- подготовка научных
кадров высшей квалификации;
оказание
научно-технических, сервисных, рекламных и коммерческих услуг;
- защита объектов
предприятия от противоправных посягательств;
- обеспечение пропускного
и внутриобъектового режимов;
- внешнеэкономическая
деятельность.
Имущество Предприятия
находится в федеральной собственности, является неделимым и не может быть
распределено по вкладам в том числе между работниками предприятия, принадлежит
Предприятию на праве хозяйственного видения и отражается на его самостоятельном
балансе.
В состав имущества
Предприятия не может включаться имущество иной формы собственности.
Плоды, продукция и доходы
от использования имущества, находящегося в хозяйственном ведении Предприятии, а
также имущество, приобретенное им за счет полученной прибыли, являются
федеральной собственностью и поступают в хозяйственное ведение Предприятия.
Размер уставного фонда
Предприятия составляет 500 000 рублей.
Права предприятия на
объекты интеллектуальной собственности, созданные в процессе осуществления им
хозяйственной деятельности, регулируются законодательством РФ,
Прибыль Предприятия
используется в соответствии с Программой деятельности предприятия в следующих
целях:
1. покрытие расходов предприятия;
2. формирование доходов федерального
бюджета;
3. создание фондов предприятия;
4. развитие материально-технической базы
5. поддержание социальной сферы.
Предприятие возглавляет
директор, назначаемый на эту должность приказом Руководителя министерства
промышленности и торговли РФ.
Взаимоотношения
работников и директора предприятия, возникающие на основе трудового договора,
регулируются трудовым законодательством РФ и коллективным договором.
Рассмотрим основные
экономические показатели предприятия, которые отражены в таблице 2.1.
Таблица 2.1 Основные
экономические показатели
ФГУП "НИИССУ»
|
Показатели
|
Ед. изм.
|
2008г.
|
2009г.
|
2010г.
|
Изменение (+,-) 2009г. к 2008г
|
Изменение (+,-) 2010г. к 2009г
|
|
Объем реализации основной продукции
в сопоставимых ценах
|
тыс. руб.
|
658230
|
713569
|
1102342
|
55339
|
388773
|
|
Себестоимость реализованной
продукции
|
тыс.руб.
|
595369
|
642443
|
1053811
|
47074
|
411368
|
|
Затраты на 1 рубль реализованной
продукции
|
коп.
|
90,4
|
90,0
|
95,6
|
-0,4
|
5,6
|
|
Прибыль от реализации
|
тыс.руб.
|
65861
|
71126
|
48531
|
5265
|
-22595
|
|
Среднегодовая стоимость основных
средств
|
тыс.руб.
|
88445
|
75347
|
59320
|
-13098
|
-16027
|
|
Фондоотдача
|
руб.
|
7,44
|
9,47
|
18,58
|
2,03
|
9,11
|
|
Производительность труда на 1
работающего
|
тыс.руб. чел.
|
2325,9
|
2394,5
|
2218
|
68,6
|
-176,5
|
|
Среднесписочная численность ППР
|
чел.
|
283
|
298
|
497
|
15
|
199
|
|
Рентабельность производственных
фондов
|
%
|
74,5
|
94,4
|
81,8
|
19,9
|
-12,6
|
Из таблицы 2.1. видно,
что объем реализации основной продукции вырос в 2010 году на 388773 тыс.руб. Себестоимость реализованной продукции
возросла на 411368 тыс.руб. В связи с ростом
себестоимости возрос показатель затрат на 1 рубль реализованной продукции в
2010 году на 5,6 рублей.
Прибыль от реализации на
предприятии в 2009 году выросла на 5265 тыс.рублей, а в 2010 году за счет
повышения себестоимости снизилась на 22595 рублей. Среднегодовая стоимость
основных средств за последние три года снижается и на 2010 год составляет она
составила 59320 тыс.руб.
Показатель фондоотдачи
данного предприятия за счет увеличения объема реализации основной продукции в сопоставимых ценах вырос к концу 2010 года на 9,11 руб.
2.2 Оценка и анализ финансового состояния организации
финансовый инвестиционный основные средства
Главная цель финансового
анализа – исследовать финансовое состояние предприятия ФГУП
"Научно-исследовательский институт систем связи и управления" за 2010
года, выявить основные проблемы финансовой деятельности и дать рекомендации по
улучшению финансовой устойчивости хозяйствующего субъекта.
Анализ финансового
состояния предприятия проведем по следующей условно схеме:
1. Анализ изменения
имущественного положения предприятия;
2. Анализ финансовой
устойчивости предприятия;
3. Анализ ликвидности
баланса;
4. Анализ финансовых
результатов;
5. Анализ тенденций
изменения финансового состояния предприятия ( анализ финансовых коэффициентов).
При проведении анализа в
качестве источников информации были использованы данные бухгалтерской
отчетности за три последних года, которые состоят из следующих документов:
-
бухгалтерского
баланса;
-
отчета о прибылях
и убытках;
1. Анализ изменения
имущественного положения предприятия. Первоначальный анализ основывается на
приеме сравнения (то есть их сопоставления с показателями предшествующего
периода с целью выявления разницы).
Проведем вертикальный и
горизонтальный анализ баланса. В вертикальном балансе предприятия итоги пассива
на начало, и конец отчетного периода принимаются за базовые и рассчитывается
процентная доля каждой балансовой статьи к общему итогу (Таблица 2.2).
При проведении
горизонтального анализа данные по каждой балансовой статье на начало отчетного
года были приняты за 100 % и рассчитан прирост каждого показателя в сравнении с базовым (Таблица 2.3).
Таблица 2.2 Вертикальный анализ баланса (тыс.руб.)
|
Наименования статьи баланса
|
Код строки
|
На 31.12.09
|
В % к итогу
|
На 31.12.10
|
В % к итогу
|
Изменение
гр6-гр4 %
|
|
1
|
2
|
3
|
4
|
5
|
6
|
7
|
|
I. Внеоборотные активы
Нематериальные активы
|
110
|
25
|
0,01
|
23
|
0,01
|
-
|
|
Основные средства
|
120
|
67334
|
14,00
|
51305
|
14,60
|
0,60
|
|
Отложенные налоговые активы
|
145
|
43
|
0,01
|
1575
|
0,45
|
0,44
|
|
Итого по разделу
|
190
|
67402
|
14,02
|
52903
|
15,06
|
1,04
|
|
II. Оборотные активы
Запасы
|
210
|
174665
|
36,33
|
59678
|
16,99
|
-19,34
|
|
В т.ч. сырье материалы и
др.аналогичные ценности
|
211
|
36063
|
7,5
|
13247
|
0,38
|
-7,12
|
|
Наименования статьи баланса
|
Код строки
|
На 31.12.09
|
В % к итогу
|
На 31.12.10
|
В % к итогу
|
Изменение
гр6-гр4 %
|
|
1
|
2
|
3
|
4
|
5
|
6
|
7
|
|
Затраты в незавершенном
производстве (издержках обращения)
|
213
|
132721
|
27,61
|
42544
|
12,11
|
-15,5
|
|
Готовая продукция и товары для
перепродажи
|
214
|
833
|
0,17
|
833
|
0,24
|
0,07
|
|
Расходы будущих периодов
|
216
|
5048
|
1,05
|
3054
|
0,87
|
-0,18
|
|
Прочие запасы и затраты
|
217
|
|
|
|
|
|
|
НДС по приобретенным ценностям
|
220
|
|
|
439
|
0,12
|
0,12
|
|
Дебиторская задолженность (платежи
по которой ожидаются в течение 12 месяцев после отчетной даты)
|
240
|
176578
|
36,73
|
119818
|
34,11
|
-2,62
|
|
в том числе покупатели и заказчики
|
241
|
40574
|
8,44
|
44083
|
12,55
|
4,11
|
|
Денежные средства
|
260
|
62138
|
12,92
|
118439
|
33,72
|
20,8
|
|
Прочие оборотные активы
|
270
|
|
|
|
|
|
|
Итого по разделу II
|
290
|
413381
|
85,98
|
298374
|
84,94
|
-1,04
|
|
Баланс
|
300
|
480783
|
100
|
351277
|
100
|
-
|
|
Наименования статьи баланса
|
Код строки
|
На 31.12.09
|
В % к итогу
|
На 31.12.10
|
В % к итогу
|
Изменение
гр6-гр4 %
|
|
1
|
2
|
3
|
4
|
5
|
6
|
7
|
|
III. капитал и резервы
Уставный капитал
|
410
|
500
|
0,10
|
500
|
0,15
|
0,05
|
|
Добавочный капитал
|
420
|
50279
|
10,46
|
50279
|
14,31
|
3,85
|
|
Резервный капитал
|
430
|
55
|
0,01
|
75
|
0,02
|
0,01
|
|
Нераспределенная прибыль
(непокрытый убыток)
|
470
|
65610
|
13,65
|
90171
|
25,67
|
12,02
|
|
Итого по разделу III
|
490
|
116445
|
24,22
|
141025
|
40,15
|
15,93
|
|
IV. Долгосрочные обязательства
Займы и кредиты
|
510
|
|
|
|
|
|
|
Отложенные налоговые обязательства
|
515
|
3656
|
0,76
|
7800
|
2,22
|
1,46
|
|
Итого по разделу IV
|
590
|
3656
|
0,76
|
7800
|
2,22
|
1,46
|
|
V. Краткосрочные обязательства
Займы и кредиты
|
610
|
|
|
|
|
|
|
Кредиторская задолженность
|
620
|
334357
|
69,54
|
195832
|
55,75
|
-13,79
|
|
В т.ч. поставщики подрядчики
|
621
|
105266
|
21,89
|
86505
|
24,62
|
2,73
|
|
Задолженность перед персоналом
организации
|
622
|
3534
|
0,74
|
1832
|
0,52
|
-0,22
|
|
Наименования статьи баланса
|
Код строки
|
На 31.12.09
|
В % к итогу
|
На 31.12.10
|
В % к итогу
|
Изменение
гр6-гр4 %
|
|
1
|
2
|
3
|
4
|
5
|
6
|
7
|
|
Задолженность перед
государственными внебюджетными фондами
|
623
|
1441
|
0,30
|
1137
|
0,32
|
0,02
|
|
Задолженность по налогам и сборам
|
624
|
14974
|
3,11
|
6,11
|
3
|
|
Прочие кредиторы
|
625
|
209142
|
43,5
|
84882
|
24,16
|
-19,34
|
|
Доходы будущих периодов
|
640
|
26325
|
5,48
|
6620
|
1,88
|
-3,6
|
|
Итого по разделу V
|
690
|
360682
|
75,02
|
202452
|
57,63
|
-17,39
|
|
Баланс
|
700
|
480783
|
100
|
351277
|
100
|
-
|
|
|
|
|
|
|
|
|
|
|
Таблица 2.3 Горизонтальный анализ баланса (тыс.руб.)
|
Наименование статьи баланса
|
Код строки
|
На 31.12.09
|
На 31.12.10
|
В абсолютных величинах
|
В % к величине на начало периода
(гр.4/гр3*100)-100
|
В % к изменению итога баланса
|
|
1
|
2
|
3
|
4
|
5
|
6
|
7
|
|
I. Внеоборотные активы
Нематериальные активы
|
110
|
25
|
23
|
-2
|
-8
|
0,001
|
|
Основные средства
|
120
|
67334
|
51305
|
-16029
|
-23,81
|
12,38
|
|
Отложенные налоговые активы
|
145
|
43
|
1575
|
1532
|
3562,79
|
-1,18
|
|
Наименование статьи баланса
|
Код строки
|
На 31.12.09
|
На 31.12.10
|
В абсолютных величинах
|
В % к величине на начало периода
(гр.4/гр3*100)-100
|
В % к изменению итога баланса
|
|
1
|
2
|
3
|
4
|
5
|
6
|
7
|
|
Итого по разделу I
|
190
|
67402
|
52903
|
-14499
|
-21,51
|
11,2
|
|
II. Оборотные активы
Запасы
|
210
|
174665
|
59678
|
-114987
|
-65,83
|
88,79
|
|
В т.ч. сырье материалы и
др.аналогичные ценности
|
211
|
36063
|
13247
|
-22816
|
-63,27
|
17,62
|
|
Затраты в незавершенном
производстве
|
213
|
132721
|
42544
|
-90177
|
-67,94
|
69,63
|
|
Готовая продукция и товары для
перепродажи
|
214
|
833
|
833
|
-
|
-
|
|
|
Расходы будущих периодов
|
216
|
5048
|
3054
|
-1994
|
-39,5
|
1,54
|
|
Налог на добавленную стоимость по
приобретенным ценностям
|
220
|
|
439
|
439
|
-
|
-0,34
|
|
Дебиторская задолженность (платежи
по которой ожидаются в течение 12 месяцев после отчетной даты)
|
240
|
176578
|
119818
|
-56760
|
-32,14
|
43,83
|
|
в том числе покупатели и заказчики
|
241
|
40574
|
44083
|
3509
|
8,65
|
-2,71
|
|
Наименование статьи баланса
|
Код строки
|
На 31.12.09
|
На 31.12.10
|
В абсолютных величинах
|
В % к величине на начало периода
(гр.4/гр3*100)-100
|
В % к изменению итога баланса
|
|
1
|
2
|
3
|
4
|
5
|
6
|
7
|
|
Денежные средства
|
260
|
62138
|
118439
|
56301
|
90,61
|
-43,47
|
|
Итого по разделу II
|
290
|
413381
|
298374
|
-115007
|
-27,82
|
88,80
|
|
Баланс
|
300
|
480783
|
351277
|
-129506
|
-26,94
|
100
|
|
III. капитал и резервы
Уставный капитал
|
410
|
500
|
500
|
-
|
-
|
|
|
Добавочный капитал
|
420
|
50279
|
50279
|
-
|
-
|
|
|
Резервный капитал
|
430
|
56
|
75
|
19
|
33,93
|
-0,01
|
|
Нераспределенная прибыль (непокрытый
убыток)
|
470
|
65610
|
90171
|
24561
|
37,43
|
-18,96
|
|
Итого по разделу III
|
490
|
116445
|
141025
|
24580
|
21,11
|
-18,98
|
|
IV. Долгосрочные обязательства
Займы и кредиты
|
510
|
|
|
|
|
|
|
Отложенные налоговые обязательства
|
515
|
3656
|
7800
|
4144
|
113,35
|
-3,20
|
|
Итого по разделу IV
|
590
|
3656
|
7800
|
4144
|
113,35
|
-3,20
|
|
V Краткосрочные обязательства
Займы и кредиты
|
610
|
|
|
|
|
|
|
Наименование статьи баланса
|
Код строки
|
На 31.12.09
|
На 31.12.10
|
В абсолютных величинах
|
В % к величине на начало периода
(гр.4/гр3*100)-100
|
В % к изменению итога баланса
|
|
1
|
2
|
3
|
4
|
5
|
6
|
7
|
|
Кредиторская задолженность
|
620
|
334357
|
195832
|
-138525
|
-41,43
|
106,96
|
|
В т.ч. поставщики подрядчики
|
621
|
105266
|
86505
|
-18761
|
-17,82
|
14,49
|
|
Задолженность перед персоналом
организации
|
622
|
3534
|
1832
|
-1702
|
-48,16
|
1,31
|
|
Задолженность перед государственными
внебюджетными фондами
|
623
|
1441
|
1137
|
-304
|
-21,10
|
0,23
|
|
Задолженность по налогам и сборам
|
624
|
14974
|
21476
|
6502
|
43,42
|
-5,02
|
|
Прочие кредиторы
|
625
|
209142
|
84882
|
-124260
|
-59,41
|
95,95
|
|
Доходы будущих периодов
|
640
|
26325
|
6620
|
-19705
|
-74,85
|
15,22
|
|
Прочие краткосрочные обязательства
|
660
|
|
|
|
|
|
|
Итого по разделу V
|
690
|
360682
|
202452
|
-158230
|
-43,87
|
122,18
|
|
Баланс
|
700
|
480783
|
351277
|
-129506
|
-26,94
|
100
|
|
|
|
|
|
|
|
|
Как видно из таблиц за
отчетный период (2010 год) имущество данного предприятия ФГУП "Научно-исследовательский
институт систем связи и управления" уменьшилось на 129506 тыс. руб. или на 26,94%. При этом объем
основного капитала уменьшился на 14499 тыс. руб., или на 21,51%. Уменьшение
стоимости имущества произошло за счет снижения оборотного капитала на 115007
тыс. руб. или на 27,82%.
В целом структура
совокупных активов данного предприятия характеризуется существенным превышением
доли текущих (оборотных) активов – 84,94% на конец года над постоянными
(внеоборотными) – 15,06% на конец года.
Относительно дебиторской
задолженности можно отметить положительную тенденцию, она уменьшилась на 56760
тыс. рублей или на 32,14%.
Пассивная часть баланса
характеризуется преобладающим удельным весом краткосрочных обязательств (на
конец года – 57,63%), правда в течение года их доля уменьшилась на 17,39%.
Структура краткосрочных
заемных средств в течение года претерпела ряд изменений: почти в два раза
уменьшилась доля задолженности перед персоналом на 48,16%, доля задолженности
прочих кредиторов на 59,41%. Задолженность по налогам и сборам увеличилась на
6502 тыс. руб. или на 43,42%.
Долгосрочные займы и
кредиты у данного предприятия ФГУП "Научно-исследовательский институт систем связи и
управления"
отсутствуют, в целом долгосрочные обязательства незначительны.
В целом предварительный
анализ бухгалтерского баланса за отчетный 2010 год не дает оснований для вывода
о финансовом состоянии предприятия ФГУП "Научно-исследовательский институт систем связи и
управления" требуется
проведение более углубленного анализа.
2.
Анализ финансовой устойчивости предприятия.
Для анализа
финансовой устойчивости анализируемого предприятия составим таблицу 2.4.
Таблица 2.4 Характеристика
финансовой устойчивости предприятия ФГУП "Научно-исследовательский
институт систем связи и управления" (тыс. руб.)
|
Показатели
|
Условное обозначение
|
2009 год
|
2010 год
|
Изменения (+,-)
|
|
1
|
2
|
3
|
4
|
5
|
|
1. Источники
собственных средств
|
Ис
|
116445
|
141025
|
24580
|
|
2.Основные средства и
вложения
|
F
|
67402
|
52903
|
-14499
|
|
3.Наличие собственных
оборотных средств (стр.1-стр.2)
|
Ес= Ис-F
|
49043
|
88122
|
39079
|
|
4.Долгосрочные и
среднесрочные кредиты и заемные средства
|
Кт
|
-
|
-
|
Ет=Ис-F+Кт
|
49043
|
88122
|
39079
|
|
6.Краткосрочные кредиты
и заёмные средства
|
кt
|
-
|
-
|
|
|
7.Общая величина
основных источников формирования запасов и затрат (стр.5+стр6)
|
Е∑=Ис-F+Кт+кt
|
49043
|
88122
|
39079
|
|
8.Общая величина
запасов и затрат
|
Z
|
413381
|
298374
|
-115007
|
|
9.Излишек (+) или
недостаток (-) собственных оборотных средств (стр.3-стр.8)
|
+- Ес
|
-364338
|
-210252
|
-154086
|
|
10.Излишек(+) или
недостаток(-) собственных и долгосрочных и среднесрочных заемных источников
формирования запасов и затрат (стр.5-стр.8)
|
+- Ет
|
-364338
|
-210252
|
-154086
|
|
Показатели
|
Условное обозначение
|
2009 год
|
2010 год
|
Изменения (+,-)
|
|
11. Излишек(+) или
недостаток(-) общей величины основных источников формирования запасов и
затрат (стр.7-стр.8)
|
+- Е∑
|
-364338
|
-210252
|
-154086
|
|
12.Трехкомпонентный
показатель типа финансовой ситуации S={S(стр9), S (стр.10), S(стр.11)
|
S
|
(0,0,0)
|
(0,0,0)
|
-
|
Из данной таблицы мы
можем сделать выводы, что на конец 2010 года собственные оборотные средства
предприятия увеличились на 39076 тыс. руб. Так как предприятие не имеет
кредитов и займов, то общая величина основных источников формирования запасов и
затрат равна величине собственных оборотных средств. Общая величина запасов и
затрат снизилась на 115007 тыс. руб. Это снижение повлияло на то, что на
предприятии в 2010 году образовался недостаток собственных оборотных средств, а
это оказало негативное влияния на финансовое положение предприятия и поэтому на
конец 2010 года оно является кризисным, поскольку в данной ситуации денежные
средства, краткосрочные ценные бумаги и дебиторская задолженность не покрывают
даже его кредиторской задолженности. В
этом случае если все кредиторы предприятия потребуют вернуть долг, то ФГУП
«НИИССУ» может обанкротиться.
3. Анализ ликвидности
баланса.
Для
определения способности предприятия ФГУП «НИИССУ» своевременно и в полном
объеме производить расчеты по краткосрочным обязательствам за период 2008 –
2010 годов проведем анализ ликвидности и платежеспособности предприятия для
этого рассчитаем ряд коэффициентов и составим таблицу отклонений. Анализ
коэффициентов ликвидности и платежеспособности проведем на основании
бухгалтерского баланса. В зависимости от степени ликвидности, т.е. скорости
превращения в денежные средства, активы организации ФГУП «НИИССУ» разделим на
следующие группы:
А1. Наиболее ликвидные активы - к ним
относятся все статьи денежных средств предприятия и краткосрочные финансовые
вложения:
А1= стр. 250
+ стр. 260
за 2008 год
А1 = 64552 тыс. руб.
за 2009 год
А1 = 62138 тыс. руб.
за 2010 год
А1 = 118439 тыс. руб.
А2. Быстро реализуемые активы -
дебиторская задолженность, платежи по которой ожидаются в течение 12 месяцев
после отчетной даты:
А2 = стр. 240
за 2008 год
А2 = 174233 тыс. руб.
за 2009 год
А2 = 176578 тыс. руб.
за 2010 год
А2 = 119818 тыс. руб.
А3. Медленно реализуемые активы -
статьи раздела II актива баланса, включающие запасы, налог на добавленную
стоимость, дебиторскую задолженность (платежи по которой ожидаются более чем
через 12 месяцев после отчетной даты) и прочие оборотные активы:
А3= стр. 210
+ стр. 220 + стр. 230 + стр. 270
за 2008 год
А3= 94169 тыс. руб.
за 2009 год
А3= 174665 тыс. руб.
за 2010 год
А3= 60117 тыс. руб.
А4. Трудно реализуемые активы - статьи
раздела I актива баланса - внеоборотные активы:
А4 = стр. 190
за 2008 год
А4 = 83404 тыс. руб.
за 2009 год
А4 = 67402 тыс. руб.
за 2010 год
А4 = 52903 тыс. руб.
Сгруппируем
пассивы баланса по степени срочности их оплаты.
П1. Наиболее срочные обязательства - к
ним относится кредиторская задолженность:
П1 = стр. 620
за 2008 год
П1 = 322558 тыс. руб.
за 2009 год
П1 = 334357 тыс. руб.
за 2010 год
П1 = 195832 тыс. руб.
П3. Долгосрочные пассивы - это статьи
баланса, относящиеся к V и VI разделам, т.е. долгосрочные кредиты и заемные
средства, а также задолженность участникам по выплате доходов, доходы будущих
периодов и резервы предстоящих расходов:
П3 = стр.
590+ стр. 630 +стр. 640 +стр. 650
за 2008 год
П3 = 3065 + 26030 = 29095 тыс. руб.
за 2009 год
П3 = 3656 + 26325 = 29981 тыс. руб.
за 2010 год
П3= 7800 + 6620 = 14420 тыс. руб.
П4. Постоянные пассивы или устойчивые -
это статьи IV раздела баланса «Капитал и резервы»:
П4 = стр. 490
за 2008 год
П4 = 64705 тыс. руб.
за 2009 год
П4 = 116445 тыс. руб.
за 2010 год
П4 = 141025 тыс. руб.
Определим
ликвидность баланса, для этого сопоставим итоги приведенных групп по активу и
пассиву.
Баланс
считается абсолютно ликвидным, если имеют место следующие соотношения:
А1 ≥ П1,
А2 ≥ П2, А2 ≥ П3, А4 ≤ П4.
за 2008 год 64552
< 322558; 174233 > 0; 94169 > 29095; 83404 > 64705;
за 2009 год 62138
< 334357; 176578 > 0; 174665 > 29981; 67402 < 116445;
за 2010 год 118439
< 195832; 119817 > 0; 78972 > 14419; 52903 < 141025.
Из данного
неравенства мы определили, что балансы предприятия ФГУП «НИИССУ» за 2008 – 2010
года не являются абсолютно ликвидным, так как наиболее ликвидные активы меньше
наиболее срочных обязательств организации.
Характеристику ликвидности
баланса оформим в виде таблицы №2.5.
Таблица 2.5 Характеристика ликвидности баланса организации ФГУП «НИИССУ»
за 2008 – 2010 года (тыс. руб.)
|
АКТИВ
|
2008 год
|
2009 год
|
2010 год
|
ПАССИВ
|
2008 год
|
2009 год
|
2010 год
|
Платежный излишек или недостаток
|
|
|
|
|
|
|
|
|
2008 г.
|
2009 г.
|
2010 г.
|
|
1.Наиболее ликвидные активы
|
64552
|
62138
|
118439
|
1.Наиболее срочные обязательства
|
322558
|
334357
|
195832
|
-258006
|
-272219
|
-77393
|
|
2.Быстро реализуемые активы
|
174233
|
176578
|
119817
|
2.Краткосрочные пассивы
|
|
|
|
174233
|
176578
|
119817
|
|
3.Медленно реализуемые активы
|
94169
|
174665
|
78972
|
3Долгосрочные пассивы
|
29095
|
29981
|
14419
|
65074
|
144683
|
64553
|
|
4.Трудно реализуемые активы
|
83404
|
67402
|
52903
|
4Постоянные пассивы
|
64705
|
116445
|
141025
|
18699
|
-49043
|
-106977
|
|
БАЛАНС
|
416358
|
480783
|
370132
|
БАЛАНС
|
416358
|
480783
|
370132
|
х
|
х
|
х
|
Из данной таблицы видно,
что на данном предприятии за последние 3 года недостаток наиболее ликвидных активов.
Этот недостаток образовался за счет того, что сумма кредиторской задолженности
превышает сумму денежных средств находящихся в наличии у предприятия на 77393
тыс. руб.. На финансовое состояние предприятия этот недостаток может повлиять
таким образом, что организация не сможет своевременно и в полном объёме
произвести расчеты по краткосрочным обязательствам перед контрагентами. А это
грозит предприятию применением штрафных санкций и пеней за каждый день
просрочки по платежам, что в свою очередь приведет к
увеличению затрат предприятия и уменьшению прибыли.
Сопоставляя
ликвидные средства и обязательства вычислим следующие показатели:
1. Текущая ликвидность ТЛ, которая
свидетельствует о платежеспособности (+) или неплатежеспособности (-)
организации на ближайший к рассматриваемому моменту промежуток времени:
ТЛ = (А1 +
А2) - (П1 + П2)
за 2008 год
ТЛ = (64552 +174233) – 322558 = - 83773 тыс. руб.
за 2009 год
ТЛ = (62138 +176578) – 334357 = - 95641 тыс. руб.
за 2010 год
ТЛ = (118439 +119817) – 195832 = 42424 тыс. руб.
2. Перспективная ликвидность ПЛ - это
прогноз платежеспособности на основе сравнения будущих поступлений и платежей:
ПЛ = А3 – П3
за 2008 год
ПЛ = 94169 – 29095 = 65074 тыс. руб.
за 2009 год
ПЛ = 174665 – 29981 = 144684 тыс. руб.
за 2010 год
ПЛ = 78972 – 14419 = 64553 тыс. руб.
4. Анализ
финансовых результатов
Система
показателей финансовых результатов дает денежную оценку различных сторон
производственной, сбытовой, снабженческой деятельности предприятия. Важнейшим
среди показателей финансовых результатов являются показатели прибыли. Анализ
уровней, динамики и структуры финансовых результатов деятельности предприятия ФГУП «НИИССУ» проведем с помощью
таблицы 2.6.
Из данной
таблицы можно сделать вывод, что показатели финансовых результатов деятельности
предприятия за 2008 – 2009 года имели тенденцию к росту: выручка от реализации
продукции(работ, услуг) без НДС и акцизов, затраты на производство
реализованной продукции и прибыль от реализации продукции возросли на 8 %.
Балансовая прибыль на 23,53%, а чистая прибыль, остающаяся в распоряжении
предприятия на 22,02.
Таблица 2.6 Анализ
уровней, динамики и структуры финансовых результатов деятельности предприятия (тыс.
руб.)
|
Показатель
|
за 2008 г.
|
за 2009 г.
|
за 2010 г.
|
% 2009г.к базису 2008
г.
|
% 2010г.к базису 2009
г.
|
|
1
|
2
|
3
|
4
|
5
|
6
|
|
Выручка от реализации
продукции(работ, услуг) без НДС и акцизов
|
658230
|
713569
|
1102342
|
108,41
|
154,48
|
|
Затраты на производство
реализованной продукции
|
592369
|
642443
|
1053811
|
108,45
|
164,03
|
|
Прибыль от реализации
продукции
|
65861
|
71126
|
48531
|
108
|
68,23
|
|
Результат от прочей
реализации
|
-
|
-
|
-
|
-
|
-
|
|
Сальдо доходов и
расходов от внереализационных операций
|
2368
|
13156
|
-12780
|
-
|
-
|
|
Балансовая прибыль
|
68229
|
84282
|
35751
|
123,53
|
42,42
|
|
Чистая прибыль,
остающаяся в распоряжении предприятия
|
51734
|
63124
|
24561
|
122,02
|
39,54
|
В 2010 году
тенденция роста сменилась снижением показателей: прибыль от реализации
продукции снизилась на 31,77 %, за счет увеличения себестоимости реализованной
продукции на 64,03%. Балансовая прибыль уменьшилась на 57,58% в связи с уменьшением
прибыли от реализации и увеличении расходов от внереализационных операций.
Вследствие снижения балансовой прибили чистая прибыль, остающаяся, в
распоряжении предприятия уменьшилась на 60,46%. Это уменьшение негативно
сказалось на финансовом положении предприятия ФГУП «НИИССУ», так как снизилась
прибыль организации.
5. Анализ тенденций
изменения финансового состояния предприятия (анализ финансовых коэффициентов).
Для
проведения этого анализа рассчитаем специальные коэффициенты, расчет которых
основан на существовании определенных соотношений между отдельными статьями
отчетности. Для сравнения базой возьмем аналогичные коэффициенты предшествующих
лет.
1. Коэффициенты имущественного
положения:
- Сумма
хозяйственных средств, находящихся в распоряжении предприятия = Итог баланса-
нетто (валюта баланса)
за 2008 год
416358 тыс. руб.;
за 2009 год
480783 тыс. руб.
за 2010 год
351277 тыс. руб.
- Доля
активной части основных средств = Стоимость активной части основных средств /
Стоимость основных средств
за 2008 год
65892/93529 = 0,7 тыс. руб.;
за 2009 год
51240/83360 = 0,6 тыс. руб.
за 2010 год
35990/67334 = 0,5 тыс. руб.
- Коэффициент
изношенности основных средств = Износ / Балансовую стоимость основных средств
за 2008 год
10169 / 83360 = 0,12 тыс. руб.;
за 2009 год
16026 / 67334 = 0,24 тыс. руб.
за 2010 год
16029 / 51305 = 0,31 тыс. руб.
2. Коэффициенты финансовой устойчивости:
- Коэффициент
капитализации (U 1):
U 1 = (стр. 590+стр. 690)/стр. 490
за 2008 год
(3065 + 348588) / 64705 = 5,43
за 2009 год
(3656 + 360682) / 116445 = 3,13
за 2010 год
(7800 + 202452) / 141025 = 1,49
Этот
коэффициент показывает, сколько заемных средств организация привлекла на 1 руб. вложенных в активы
собственных средств. Снижение данного показателя в динамике за три года
свидетельствует о снижении зависимости предприятия ФГУП «НИИССУ» от внешних
инвесторов и кредиторов, т.е. о некотором повышении финансовой устойчивости.
- Коэффициент
финансовой независимости (коэффициент собственности)(U 2):
U 2 = стр. 490 / стр. 300
за 2008 год
64705 / 416358 = 0,16
за 2009 год
116445 / 480783 = 0,24
за 2010 год
141025 / 351277 = 0,4
Данный
коэффициент характеризует долю владельцев предприятия в общей сумме средств,
авансированных в его деятельность. Повышение данного показателя в динамике за
три года свидетельствует о том, что положение предприятия становится более
финансово устойчивым и независимым от внешних кредитов.
- Коэффициент
концентрации заемного капитала (финансовой зависимости) (U3):
U3 = (стр. 590+стр. 690)/стр. 300
за 2008 год
(3065 + 348588) / 416358 = 0,84
за 2009 год
(3656 + 360682) / 480783 = 0,76
за 2010 год
(7800 + 202452) / 351277 = 0,60
За период с
2008 по 2010 года этот коэффициент уменьшился, это показывает снижение
зависимости предприятия от заемных источников формирования капитала.
- Коэффициент
покрытия процента = Прибыль до выплаты процента и налога / Расходы по выплате
процента:
за 2008 год
65861 /492 = 133,86 тыс. руб.
за 2009 год
71126 / 528 = 134,71 тыс. руб.
за 2010 год
48531 /4411 = 11 тыс.руб.
3. Коэффициенты ликвидности
(платежеспособности)
- Коэффициент
абсолютной ликвидности (L2):
L2 =стр.
260/стр. 690
за 2008 год
L2 = 64552 /348588 = 0,19
за 2009 год
L2 = 62138 /360682 = 0,17
за 2010 год
L2 = 118439 / 202452 = 0,59
- Коэффициент
быстрой ликвидности
(L3):
L3=(стр. 290-
стр. 210- стр. 220-стр. 230)/стр. 690
за 2008 год
L3 = (332954 – 94169) / 348588 = 0,69
за 2009 год
L3 = (413381 – 174665) / 360682 = 0,66
за 2010 год
L3 = (317228 – 59678 – 439) / 202452 = 1,27
- Коэффициент
текущей ликвидности (L4):
L4=(стр. 290-
стр. 230)/стр. 690
за 2008 год
L4 = 332954 / 348588 = 0,96
за 2009 год
L4 = 413381 / 360682 = 1,14
за 2010 год
L4 = 298374 / 202452 = 1,47
4. Коэффициенты рентабельности: - Рентабельность продаж:
-валовая рентабельность реализованной продукции (GPM):
GPM =
Валовая прибыль / Выручка от реализации
за 2008 год (65861 / 658230) * 100% = 10 %
за 2009 год (71126 / 713569) * 100 % = 10 %
за 2010 год (48531 / 1102342) *100 % = 4 %
- чистая рентабельность реализованной продукции (NPM):
NPM =
Чистая прибыль / Выручка от реализации
за 2008 год (51734 / 658230) * 100 % = 7,9 %
за 2009 год (63124 / 713569) * 100 % = 8,8 %
за 2010 год (24561 / 1102342) * 100 % = 0,02 %
- Рентабельность основной деятельности
Прибыль от реализации / Себестоимость реализованной продукции
за 2008 год (65861 / 592369) * 100 % = 11,1 %
за 2009 год (71126 / 642443) * 100 % = 11,1 %
за 2010 год (48531 / 1053811) * 100 % = 4,6 %
- Рентабельность активов (ROA):
ROA =
(Чистая прибыль + Проценты к уплате) / Итог баланса
за 2008 год ((51734 + 492) / 416358) * 100% = 12,5 %
за 2009 год ((63124 + 528) / 480784) * 100 % = 13,2 %
за 2010 год ((24561 + 4411) / 351277) * 100 % = 8,25 %
- Рентабельность инвестиционного капитала (ROI):
ROI =
(Чистая прибыль + Проценты к уплате) / (Итог баланса – Краткосрочные
обязательства)
за 2008 год ((51734 + 492) / (416358 – 348588)) * 100 % = 77 %
за 2009 год (63124 + 528) / (480784 – 360682)) * 100 % = 53 %
за 2010 год (24561 + 4411) / (351277 – 202452)) * 100 % = 19,47 %
- Рентабельность собственного капитала (ROE):
ROE =
Чистая прибыль / Капитал и резервы
за 2008 год (51734 / 64705) * 100 % = 79,9 %
за 2009 год (63124 / 116445) * 100 % = 54,2 %
за 2010 год (24561 / 141025) * 100 % = 17,42 %
- Норма прибыли (ROS):
Прибыль до налогообложения / Выручка от реализации
за 2008 год (68229 / 658230) *100 % = 10,4 %
за 2009 год (84282 / 713569) *100 % = 11,8 %
за 2010 год (35751 / 1102342) * 100 % = 3,24 %
Для обобщения и сравнения коэффициентов составим таблицу № 2.7.
Таблица 2.7 Коэффициенты
финансового состояния предприятия ФГУП «НИИССУ» за 2008 – 2010 года (%)
|
Показатели
|
2008 год
|
2009 год
|
2010 год
|
Отклонения (+,-)
|
|
2008г от 2009г
|
2009г от 2010г
|
|
1.Коэффициенты имущественного положения:
|
|
|
|
|
|
|
Сумма хозяйственных средств, находящихся в распоряжении предприятия,
тыс.руб.
|
416358
|
480783
|
351277
|
64425
|
-129506
|
|
Доля активной части основных средств, тыс.руб.
|
0,7
|
0,6
|
0,5
|
-0,1
|
-0,1
|
|
Коэффициент изношенности основных средств
|
0,12
|
0,24
|
0,31
|
0,12
|
0,07
|
|
2. Коэффициенты
финансовой устойчивости:
|
|
|
|
|
|
|
Коэффициент капитализации
|
5,43
|
3,13
|
1,49
|
-2,3
|
|
Коэффициент финансовой независимости
|
0,16
|
0,24
|
0,4
|
0,08
|
0,16
|
|
Коэффициент концентрации заемного капитала
|
0,84
|
0,76
|
0,6
|
-0,08
|
-0,16
|
|
Коэффициент покрытия процента
|
133,86
|
134,71
|
11
|
-9,15
|
-123,71
|
|
3.Коэффициенты ликвидности (платежеспособности)
|
|
|
|
|
|
|
Коэффициент абсолютной ликвидности
|
0,19
|
0,17
|
0,59
|
-0,02
|
0,42
|
|
Коэффициент быстрой ликвидности
|
0,69
|
0,66
|
1,27
|
-0,03
|
0,61
|
|
Коэффициент текущей ликвидности
|
0,96
|
1,14
|
1,47
|
0,18
|
0,33
|
|
Показатели
|
2008 год
|
2009 год
|
2010 год
|
Отклонения (+,-)
|
|
2008г от 2009г
|
2009г от 2010г
|
|
4. Коэффициенты
рентабельности:
|
|
|
|
|
|
|
Рентабельность продаж:
|
|
|
|
|
|
|
валовая рентабельность реализованной продукции
|
10
|
10
|
4
|
-
|
-6
|
|
чистая рентабельность реализованной продукции
|
7,9
|
8,8
|
0,02
|
0,9
|
-7,88
|
|
Рентабельность основной деятельности
|
11,1
|
11,1
|
4,6
|
-
|
-6,5
|
|
Рентабельность инвестиционного капитала
|
77
|
53
|
19,47
|
-24
|
-33,53
|
|
Рентабельность собственного капитала
|
79,9
|
54,2
|
17,42
|
-25,7
|
-36,78
|
|
Норма прибыли ROS
|
10,4
|
11,8
|
3,24
|
1,4
|
-8,56
|
|
Доходность активов ROA
|
12,5
|
13,2
|
8,25
|
0,7
|
-4,95
|
Анализируя данную таблицу
можно сказать, что коэффициенты имущественного положения к концу 2010 года
снизились. За счет снижения суммы основных средств и суммы запасов снизился
показатель сумма хозяйственных средств, находящихся в распоряжении предприятия
на 129506 тыс. руб. За счет уменьшения суммы основных средств снизился
коэффициент доля активной части основных средств на 0,1 и возрос коэффициент
изношенности на 0,07. Возрастание коэффициента изношенностисти
показывает, что основные средства предприятия износились морально и физически и
требуют наибольших затрат на восстановление, что в свою очередь приведет к
уменьшению прибыли предприятия.
Анализируя, данную
таблицу мы можем сделать вывод, что коэффициент капитализации за последние 3
года снизился до 1,49 это свидетельствует о снижении зависимости предприятия
ФГУП «НИИССУ» от внешних инвесторов и кредиторов, т.е. о некотором повышении
финансовой устойчивости. Коэффициент финансовой независимости увеличился с 0,16
до 0,4 это говорит о том, что положение предприятия становится более финансово
устойчивым и независимым от внешних кредитов.
Из данной таблицы видно,
что за 2008-2010 года на предприятии ФГУП «НИИССУ» наметилась тенденция к
возрастанию коэффициентов ликвидности. Наиболее возрос за последние 3 года
коэффициент быстрой ликвидности 0,61, это произошло за счет увеличения денежных
средств предприятия находящихся в кассе и на расчетном счете. Из этого можно
сделать вывод, что предприятие свою краткосрочную задолженность может покрыть
за счет имеющихся денежных средств и краткосрочных финансовых вложений. Рост
коэффициента абсолютной ликвидности является положительной тенденцией в
деятельности предприятия, т.к. способствует его финансовой устойчивости.
По результатам 2009 года чистая рентабельность
реализованной продукции составляет 8,8 %, тогда как рентабельность собственного
капитала 54,2 %. Последнее значение можно интерпретировать следующим образом:
при сложившихся условиях работы предприятия ФГУП «НИИССУ» за 2009 год вложения
собственников в активы окупятся в среднем за 1-2 года(100% / 54,2%).
За 2010 год чистая
рентабельность реализованной продукции по сравнению с 2009 годом снизилась на 7,88
%, и стала составлять 0,02 %, рентабельность собственного капитала в сравнении
с 2009 годом снизилась на 36,78 % и составляет 17,42%. Срок окупаемости
вложений в активы предприятия за 2010 год составляет 5-6 года.(100% / 17,42 %).
Сравнивая, показатели
рентабельности 2009 года с показателями 2010 года мы наблюдаем, снижение по всем
показателям рентабельности это снижение произошло за счет того, что на
предприятии снизилась прибыль.
Из проведенного нами
анализа финансового состояния предприятия ФГУП «НИИССУ» можно сделать следующие
выводы:
1.
В целом структура
совокупных активов данного предприятия характеризуется существенным превышением
доли текущих (оборотных) активов – 84,94% на конец года над постоянными
(внеоборотными) – 15,06% на конец года.
2. На конец 2010 года, собственные оборотные средства предприятия увеличились на 39076 тыс. руб.. Так как предприятие не имеет кредитов и займов, то общая величина основных источников формирования запасов и затрат равна величине собственных оборотных средств. Общая величина запасов и затрат снизилась на 115007 тыс. руб. Это снижение повлияло на то, что на предприятии в 2010 году образовался недостаток собственных оборотных средств, а это оказало негативное влияния на финансовое положение предприятия и поэтому на конец 2010 года оно является кризисным, поскольку в данной ситуации денежные средства, краткосрочные ценные бумаги и дебиторская задолженность не покрывают даже его кредиторской задолженности.
3. На данном предприятии за последние 3
года недостаток наиболее ликвидных активов. Этот недостаток образовался за счет
того, что сумма кредиторской задолженности превышает сумму денежных средств
находящихся в наличии у предприятия на 77393 тыс. руб.. На финансовое состояние
предприятия этот недостаток может повлиять таким образом, что организация не
сможет своевременно и в полном объёме произвести расчеты по краткосрочным
обязательствам перед контрагентами. А это в дальнейшем грозит предприятию
применением пеней и штрафов за просроченные платежи.
4. В 2010 году тенденция роста сменилась
снижением показателей: прибыль от реализации продукции снизилась на 31,77 %, за
счет увеличения себестоимости реализованной продукции на 64,03%. Балансовая
прибыль уменьшилась на 57,58% в связи с уменьшением прибыли от реализации и
увеличении расходов от внереализационных операций. Вследствие снижения
балансовой прибили чистая прибыль, остающаяся, в распоряжении предприятия
уменьшилась на 60,46%. Это уменьшение негативно сказалось на финансовом
положении предприятия ФГУП «НИИССУ», так как снизилась прибыль организации.
За 2008-2010 года на предприятии ФГУП «НИИССУ»
наметилась тенденция к возрастанию коэффициентов ликвидности за счет увеличения
денежных средств предприятия находящихся в кассе и на расчетном счете. Снижение
по всем показателям рентабельности произошло за счет того, что на предприятии
снизилась прибыль. За счет снижения суммы основных средств и суммы запасов
снизились коэффициенты имущественного положения.
Все эти изменения
отрицательно сказываются на финансовом положении предприятия, так как снизился
основной показатель деятельности ФГУП «НИИССУ» - прибыль.
В главе III данного
дипломного проекта предложен ряд мероприятий, позволяющих улучшить финансовое
состояние предприятия.
Глава 3. Развитие производственных фондов и их
влияние на улучшение финансового состояния ФГУП "Научно-исследовательский
институт систем связи и управления"
3.1 Разработка инвестиционного проекта на приобретение
основных средств
Для повышения финансового
состояния предприятия необходимо снизить себестоимость выпускаемой продукции.
При проведенном анализе данного предприятия было выявлено, что одним из
способов снижения себестоимости продукции и повышения прибыли предприятия
является внедрение на предприятии ФГУП «НИИССУ» нового оборудования в замен
устаревшего и капитальный ремонт уже имеющегося в распоряжении предприятия
основных средств. Для приобретения и ремонта основных средств составим
инвестиционный проект.
Данный инвестиционный
проект предусматривает вложения в основные средства предприятия.
Одно из направлений
инвестирования это ремонт испытательного оборудования затраты на ремонт
представлены в таблице 3.1:
Таблица 3.1 Потребность в
денежных средствах на ремонт испытательного оборудования по ФГУП «НИИССУ»
|
Объекты
|
Наименование запчастей
|
Количество, шт
|
Цена, руб.
|
Сумма, руб.
|
|
ЗАП -236 для определения частоты
волн
|
Задвижка 400мм
|
1
|
5000
|
5000
|
|
Автомат 600А
|
1
|
6000
|
6000
|
|
Автомат 500А
|
2
|
5550
|
11100
|
|
Объекты
|
Наименование запчастей
|
Количество, шт
|
Цена, руб.
|
Сумма, руб.
|
|
Автомат 500А
|
2
|
5550
|
11100
|
|
Кабель 20
|
|
5000
|
5000
|
|
Контакторы
|
2
|
5000
|
10000
|
|
Задвижка 600мм
|
1
|
70000
|
70000
|
|
Радиочастотный агрегат МП-26
|
Рукава резиновые, м
|
10
|
61,4
|
43000
|
|
Цилиндры гидравлические
|
112
|
1000
|
112000
|
|
Клапан-распредилитель
|
250
|
2024
|
506000
|
|
Концеврой аппарат
|
10
|
500
|
5000
|
|
Дождевальный аппарат
|
10
|
4200
|
42000
|
|
Гидротрубка
|
8
|
3300
|
26400
|
|
Клапан гидрозащитный
|
40
|
105
|
4200
|
|
Гидрозадвижка 150 мм
|
17
|
6114,7
|
103950
|
|
Гидрореле
|
8
|
3625
|
29000
|
|
Фильтр основной
|
80
|
6600
|
132000
|
|
Фильтр на гидрореле
|
8
|
1581,2
|
12650
|
|
ИТОГО
|
|
|
|
1134400
|
Вторым направлением
инвестиционных вложений является приобретение необходимого оборудования для
сборочного участка. Затраты на приобретение данного оборудования представлены в
таблица 3.2:
Таблица 3.2 Приобретение
оборудования для сборочного участка
|
Наименование объекта
|
Цена, руб.
|
Количество, шт
|
Стоимость, руб.
|
|
Установка для обработки
металлов непрерывным излучением твердотельного лазера, масса 0,43 т
|
4598114,66
|
3
|
13794343,98
|
|
Наименование объекта
|
Цена, руб.
|
Количество, шт
|
Стоимость, руб.
|
|
Установка
ультразвуковой сварки, масса 0,26 т
|
4609340,75
|
1
|
4609340,75
|
|
Полуавтомат резки
полупроводниковых пластин, масса 0,3 т
|
3740000
|
1
|
3740000
|
|
Установка совмещения и
экспонирования, масса 0,4 т
|
1015490,25
|
2
|
2030980,5
|
|
Станок доводочный
однодисковый, масса 0,7 т
|
464495,4
|
2
|
928990,8
|
|
Итого
|
|
|
25103656,03
|
Для увеличения объемов
производства продукции экспериментального участка необходимы вложения в
приобретение следующих основных средств таблица 3.3:
Таблица 3.3 Потребность в
денежных средствах для приобретения основных средств для экспериментального
участка
|
Наименование
|
Сумма, руб.
|
|
Оже-спектрометр
электронный, масса, т:
|
1260000
|
|
Установка для испытаний
на воздействие линейных ускорений, масса 1,155 т
|
2501943,97
|
|
Итого
|
3761943,97
|
Инвестиционные вложения
по указанным направлениям предусматривается осуществить в следующие сроки
таблица 3.4:
Таблица 3.4 Этапы
освоения инвестиций
|
Наименование и содержание этапа
|
Общая сумма инвестиций, руб.
|
Продолжительность этапа, дни
|
Начало этапа
|
Конец этапа
|
|
Капитальный ремонт испытательного
оборудования
|
1134400
|
120
|
01.11.2011
|
01.03.2012
|
|
Оже-спектрометр
электронный, масса, т:
|
1260000
|
180
|
01.11.2011
|
30.04.2012
|
|
Установка для испытаний
на воздействие линейных ускорений, масса 1,155 т
|
2501944
|
90
|
01.11.2011
|
30.01.2012
|
|
Приобретение оборудования для
сборочного участка
|
25103656
|
90
|
01.11.2011
|
30.01.2012
|
|
Итого
|
30000000
|
|
|
|
При внедрении данного
инвестиционного проекта будут осуществлены следующие инвестиционные затраты
таблица 3.5:
Таблица 3.5
Инвестиционные затраты предприятия (руб.)
|
Строка
|
11.2011
|
12.2011
|
01.2012
|
02.2012
|
03.2012
|
04.2012
|
|
Капитальный ремонт испытательного
оборудования
|
283600
|
283600
|
283600
|
283600
|
|
|
|
Оже-спектрометр
электронный, масса, 3т
|
210000
|
210000
|
210000
|
210000
|
210000
|
210000
|
|
Строка
|
11.2011
|
12.2011
|
01.2012
|
02.2012
|
03.2012
|
04.2012
|
|
Установка для испытаний
на воздействие линейных ускорений, масса 1,155 т
|
833982
|
833982
|
833980
|
|
|
|
|
Приобретение оборудования для
сборочного участка
|
8408342
|
8408342
|
8286972
|
|
|
|
|
Итого
|
9735924
|
9735924
|
9614552
|
493600
|
210000
|
210000
|
Финансирование данных
капитальных вложений планируется из заемных средств. Заемные средства
привлекаются в форме кредита выделяемого на 3 года под 21% годовых. Получение
кредита в сумме 30000000 рулей, полной суммой обеспечивает оптимальный режим
использования средств по инвестиционному плану, отсутствие больших остатков на
расчетном счете и его бездефицитность.
Возврат кредита
предусматривается разовыми платежами по следующей схеме:
10.2011 год 5000000 руб.
11.2011 год 5000000 руб.
12.2011 год 5000000 руб.
3 кв.2012 год 7500000
руб.
4 кв.2012 год 7500000
руб.
Проценты за пользование
заемными средствами предусматривается выплачивать ежемесячно без отсрочки.
3.2 Оценка инвестиционного проекта и его влияние на улучшения
финансового состояния предприятия
Для оценки
инвестиционного проекта составим отчет о прибылях и убытках предприятия. Он
позволяет определить, из каких составляющих складывается прибыль предприятия.
Структура отчета отражает порядок расчета прибыли. Результаты каждого шага
расчета помещаем в соответствующих строках таблицы 3.6.
Таблица 3.6 Отчет о
прибылях и убытках ФГУП «НИИССУ» (в руб.)
|
Строка
|
2012 год
|
2013 год
|
2014 год
|
2015 год
|
2016 год
|
|
Валовой объём продаж
|
26298956
|
37171966
|
37171968
|
37171968
|
31655454
|
|
Налог с продаж
|
1144991
|
1033219
|
497720
|
371720
|
316555
|
|
Чистый объем продаж
|
25153965
|
36138747
|
36674248
|
36800248
|
31338899
|
|
Материалы и комплектующие
|
9073762
|
10823924
|
10823926
|
10823926
|
9899025
|
|
Суммарные прямые издержки
|
10823924
|
10823926
|
10823926
|
9899025
|
|
Валовая прибыль
|
16080203
|
25314823
|
25850322
|
25976322
|
21439874
|
|
Административные издержки
|
138978
|
119124
|
119128
|
119127
|
99273
|
|
Производственные издержки
|
272370
|
233460
|
233456
|
233455
|
194545
|
|
Маркетинговые издержки
|
88074
|
75492
|
75492
|
75491
|
62909
|
|
Суммарные постоянные издержки
|
499422
|
428076
|
428076
|
428073
|
356727
|
|
Амортизация
|
2983329
|
3284004
|
3284008
|
3284007
|
2736674
|
|
Проценты по кредитам
|
7350000
|
5775000
|
2231250
|
|
|
|
Суммарные непроизводственные
издержки
|
10333329
|
9059004
|
5515258
|
3284007
|
2736674
|
|
Другие доходы
|
3675000
|
2756250
|
525003
|
|
|
|
Другие издержки
|
7005996
|
|
|
|
|
|
Убытки предыдущих периодов
|
|
|
|
|
|
|
Прибыль до выплаты налогов
|
1916456
|
18583993
|
20431991
|
22264242
|
18346473
|
|
Налогооблагаемая прибыль
|
1916456
|
18583993
|
20431991
|
22264242
|
18346473
|
|
Чистая прибыль
|
1916456
|
18583993
|
20431991
|
22264242
|
18346473
|
Из данных таблиц 3.4 и 3.6
мы можем рассчитать показатели эффективности данного инвестиционного проекта:
1.
Срок окупаемости
капиталовложений:
·
Определим
среднегодовую прибыль:
(1916456+18583993+20431991+22264242+18346473)/
5 лет = 16308631 руб.
·
Срок окупаемости
проекта равен:
30000000 / 16308631 = 1,8
года.
Из данных расчетов
следует, что поступления от производственной деятельности предприятия покроют
затраты на инвестиции в течении 1,8 года.
2. Рентабельность
капиталовложений:
(16308631 / 30000000) *
100 % = 54,4 %
Рентабельность данных
капиталовложений в основные производственные фонды составляет 54,4%.
3. Индекс рентабельности
инвестиций:
-
Рассчитываем
дисконтируемые суммы денежных поступлений по годам:
2012 год 1916456 /
(1+0,21) = 1583848 руб.
2013 год 18583993 /
(1+0,21)2 = 12693984 руб.
2014 год 20431991 /
(1+0,21)3 = 11530469 руб.
2015 год 22264242 /
(1+0,21)4 = 10384441 руб.
2016 год 18346473 /
(1+0,21)5 = 7072657 руб.
-
Рассчитаем
дисконтируемые суммы инвестиционных затрат по годам:
2011 год 19471848 /
(1+0,21) = 16092436 руб.
2012 год 10528152 /
(1+0,21)2 = 7191361 руб.
-
Индекс
рентабельности равен:
(1583848+12693984+11530469+10384441+7072657)/
/(16092436+7191361 =
43265399/23283797 = 1,86
4. Расчет ставки дисконтирования.
В данном
проекте мы используем факторный метод расчета скорректированной на риск ставки
дисконтирования. Согласно данному методу, ставка дисконтирования определяется
тремя факторами: безрисковой нормой доходности, ожидаемым темпом инфляции и
премией за специфический риск отрасли (проекта).
Ставка
безрисковой доходности в рублях.
В качестве очищенной от
инфляции безрисковой доходности можно принять эффективную годовую доходность по
депозитным операциям tom-next Центрального банка РФ, она составляет 3,9%.(Положение от 5 ноября 2002 года № 203-П "О порядке
проведения Центральным банком Российской Федерации депозитных операций с
кредитными организациями в валюте Российской Федерации" ; Указание
Банка России от 25.02.2011 № 2585-У "О размере процентных ставок по
депозитным операциям Банка России" )
Темп инфляции.
Расчет
прогнозируемого темпа инфляции осуществляется на основании прогнозируемых
значений индекса потребительских цен, опубликованных в бюллетене «Прогноз
социально – экономического развития российской федерации на 2010 год, Принимая
значение годового темпа инфляции на период 2011-2012 гг. постоянным на уровне
5,00%, вычислим среднегодовой прогнозируемый темп инфляции. Для вычисления
темпов инфляции за год нужно вычесть индекс цен прошедшего года из индекса цен
этого года, разделить эту разницу на индекс прошедшего года, а затем умножить
на 100%.
Прогнозируемый
темп инфляции принимается постоянным на весь горизонт расчета и равным
среднегодовому прогнозируемому темпу инфляции по индексу цен производителей в
размере 5,3%.
Поправка на
специфический риск проекта.
Поправка на
специфический риск проекта, реализуемого отечественными инвесторами на
внутреннем рынке, складывается из двух составляющих: риска ненадежности
участников проекта и риска неполучения предусмотренных проектом доходов.
Риск
ненадежности участников проекта обычно проявляется в возможности
непредвиденного прекращения реализации проекта, обусловленного нецелевым
использованием средств, финансовой неустойчивостью фирмы или недобросовестностью,
неплатежеспособностью других участников проекта. Согласно Методическим
рекомендациям, базовый размер поправки устанавливается в размере 5%.
Риск
неполучения предусмотренных проектом доходов обусловлен, прежде всего,
техническими и организационными решениями проекта, а также случайными
колебаниями объемов выручки и цен на оказываемые услуги и привлекаемые ресурсы.
На стадии инвестиций данный риск отсутствует, следовательно, поправка на этот
вид риска принимается равной 0%.
На стадии
эксплуатации уровень риска неполучения предусмотренных проектом доходов по
результатам экспертного опроса оценивается как средний (доля низких рисков в
общем числе рисков данной стадии проекта составляет 37%, умеренных – 56%,
высоких – 7%). Надбавка за этот вид риска устанавливается в соответствии с
таблицей на нижнем уровне диапазона для среднего уровня риска, т. е. 8%.
Надбавка к
безрисковой ставке дисконтирования на специфический риск проекта принимается
постоянной на весь горизонт расчета и равной средневзвешенной по времени
надбавке за специфический риск проекта = 10,6%.
Итоговая
величина ставки дисконтирования в российских рублях, рассчитанная кумулятивным методом
равна 21%:
rRUB = (1+0,0390)∙(1+0,053)∙(1+0,106)
- 1 = 21%.
5. Текущую стоимость
будущих денежных поступлений от капиталовложений (при ставки дисконтирования
21%. PV:
PV=
1916456/(1+0,21)+18583993/(1+0,21)2+20431991/(1+0,21)3+
+22264242/(1+0,21)4+18346473/(1+0,21)5
= 43265399 руб.
6. Чистую текущую
стоимость денежных поступлений:
NPV = 43265399 – 30000000 = 13265399
руб.
Так как чистая текущая
стоимость денежных поступлений больше нуля, значит доходность проекта выше 21%.
Для получения запланированной прибыли нужно было бы вложить в проект 43265399
руб. Поскольку проект обеспечивает такую доходность при инвестиционных затратах
30000000 руб., то он выгоден так как позволяет получить доходность больше 21%.
Введение данного
инвестиционного проекта поможет предприятию ФГУП «НИИССУ» повысить прибыль
предприятия за счет снижения затрат на производство продукции. Так как новое
оборудование более энергосберегаемое, оно сведет до минимума затраты связанные
с применением ручного труда, обеспечит производство более качественной
продукции, снизит потери от брака и простоев. Приобретение нового оборудования
позволит предприятию выпускать большее количество продукции за минимальные
сроки.
Заключение
В заключении данной
дипломной работы можно сделать ряд важных выводов:
1. Финансовый анализ
является непременным элементом как финансового менеджмента на предприятии, так
и экономических взаимоотношений его с партнерами, с финансово-кредитной
системой, с налоговыми органами и пр. Содержание и основная целевая установка
финансового анализа – оценка финансового состояния и выявление возможности
повышения эффективности функционирования хозяйствующего субъекта с помощью
рациональной финансовой политики.
2. Финансовый анализ – это наука о сфере человеческой
деятельности, направленной на изучение, теоретическую систематизацию,
объяснение и прогнозирование процессов, которые происходят с финансовыми
ресурсами и их потоками, посредством оценки финансового состояния и выявленных
возможностей совершенствования функционирования и эффективного управления
финансовыми ресурсами и их потока как на отдельном предприятии, так и в государстве
в целом.
3. Финансовое состояние
предприятия в самом общем смысле – это экономическая категория, отражающая
состояние капитала в процессе его кругооборота и способность субъекта
хозяйствования к саморазвитию на фиксированный момент времени. Финансовое
состояние фирмы является комплексным понятием, наиболее обобщающей
характеристикой его деятельности. Оно определяется всей совокупностью внешних и
внутренних факторов и характеризуется системой показателей.
4. Финансовое состояние
предприятия считается устойчивым, если оно способно своевременно производить
платежи, финансировать свою деятельность на расширенной основе.
5. Для обеспечения
финансовой устойчивости предприятие должно обладать гибкой структурой капитала,
уметь организовать его движение таким образом, чтобы обеспечить постоянное
превышение доходов над расходами с целью сохранения платежеспособности и
создания условий для воспроизводства.
6. Качество проведения финансового
анализа предприятия гарантируется используемыми методами анализа, которые
позволяют получить достоверную и объективную информацию для оценки как
финансового состояния предприятия в целом, так и отдельных показателей,
характеризующих финансовую деятельность предприятия.
7. Для анализа финансового состояния
ФГУП "Научно-исследовательский институт систем связи и управления"
были выбраны показатели и коэффициенты, которые наиболее полно отражают
результаты деятельности предприятия, позволяют вскрывать причины существующих
недостатков и резервы для их устранения. Анализ проводится путем сравнительного
сопоставления данных за 2008, 2009 и 2010 года. При анализе было выявлено:
Прибыль от реализации на
предприятии в 2009 году выросла на 5265 тыс.рублей, а в 2010 году за счет
повышения себестоимости снизилась на 22595 рублей.
Среднегодовая стоимость
основных средств за последние три года снижается и на 2010 год составляет она
составила 59320 тыс.руб.
Показатель фондоотдачи
данного предприятия за счет увеличения объема реализации основной продукции в
сопоставимых ценах вырос к концу 2010 года на 9,11 руб.
В целом структура
совокупных активов данного предприятия характеризуется существенным превышением
доли текущих (оборотных) активов – 84,94% на конец года над постоянными
(внеоборотными) – 15,06% на конец года.
Относительно дебиторской задолженности
можно отметить положительную тенденцию, она уменьшилась на 56760 тыс. рублей
или на 32,14%.
Пассивная часть баланса
характеризуется преобладающим удельным весом краткосрочных обязательств (на
конец года – 57,63%), правда в течение года их доля уменьшилась на 17,39%.
Структура краткосрочных
заемных средств в течение года претерпела ряд изменений: почти в два раза
уменьшилась доля задолженности перед персоналом на 48,16%, доля задолженности
прочих кредиторов на 59,41%. Задолженность по налогам и сборам увеличилась на
6502 тыс. руб. или на 43,42%.
Долгосрочные займы и
кредиты у данного предприятия ФГУП "Научно-исследовательский институт
систем связи и управления" отсутствуют, в целом долгосрочные обязательства
незначительны.
Анализируя
финансовую устойчивость предприятия ФГУП "Научно-исследовательский
институт систем связи и управления" можем сделать выводы, что на конец
2010 года собственные оборотные средства предприятия увеличились на 39076 тыс.
руб. Так как предприятие не имеет кредитов и займов, то общая величина основных
источников формирования запасов и затрат равна величине собственных оборотных
средств. Общая величина запасов и затрат снизилась на 115007 тыс. руб. Но
несмотря на эти изменения финансовое состояние предприятия на конец 2010 года
является кризисным.
Проводя анализ
ликвидности баланса мы определили, что на данном предприятии за последние 3
года недостаток наиболее ликвидных и трудно реализуемых активов и излишек по
быстро реализуемым и медленно реализуемым активам. Показатели финансовых
результатов деятельности предприятия за 2008 – 2009 года имеют тенденцию к
росту: выручка от реализации продукции(работ, услуг) без НДС и акцизов, затраты
на производство реализованной продукции и прибыль от реализации продукции
возросли на 8 %. Балансовая прибыль на 23,53%, а чистая прибыль, остающаяся в
распоряжении предприятия на 22,02.
В 2010 году
тенденция роста сменилась снижением показателей: прибыль от реализации
продукции на 31,77 %, балансовая прибыль на 57,58%, чистая прибыль, остающаяся
в распоряжении предприятия на 60,46%. Возросли только показатели выручка от
реализации продукции(работ, услуг) без НДС и акцизов на 54,48% и затраты на
производство реализованной продукции на 64,03%.
При анализе финансовых
коэффициентов можно сказать, что коэффициенты имущественного положения к концу
2010 года снизились, кроме коэффициента изношенности он возрос на 0,07. За
2008-2010 года на предприятии ФГУП «НИИССУ» наметилась тенденция к возрастанию
коэффициентов ликвидности. Наиболее возрос за последние 3 года коэффициент
быстрой ликвидности на 0,61.
По результатам 2009 года чистая рентабельность
реализованной продукции составляет 8,8 %, тогда как рентабельность собственного
капитала 54,2 %. Последнее значение можно интерпретировать следующим образом: при
сложившихся условиях работы предприятия ФГУП «НИИССУ» за 2009 год вложения
собственников в активы окупятся в среднем за 1-2 года
За 2010 год чистая
рентабельность реализованной продукции по сравнению с 2009 годом снизилась на
7,88 %, и стала составлять 0,02 %, рентабельность собственного капитала в
сравнении с 2009 годом снизилась на 36,78 % и составляет 17,42%. Срок
окупаемости вложений в активы предприятия за 2010 год составляет 5-6 года.
Сравнивая, показатели рентабельности 2009 года с показателями 2010 года мы
наблюдаем, снижение по всем показателям.
За 2008-2010 года на
предприятии ФГУП «НИИССУ» наметилась тенденция к возрастанию коэффициентов
ликвидности и к снижению всех остальных коэффициентов.
Для повышения финансового
состояния предприятия мы предлагаем приобрести новое оборудование взамен
старого морально и физически устаревшего и повести капитальный ремонт
испытательного оборудования.
Для этого мы предлагаем
инвестиционный проект, предусматривающий вложения в основные средства
предприятия. Что бы его реализовать предприятию предлагается взять кредит в
размере 30000000 рублей на 3 года под 21% годовых. При расчете инвестиционного
проекта мы определили, что чистая текущая стоимость денежных поступлений больше
нуля, значит доходность проекта выше 21%. Для получения запланированной прибыли
нужно было бы вложить в проект 43265399 руб. Поскольку проект обеспечивает
такую доходность при инвестиционных затратах 30000000 руб., то он выгоден так
как позволяет получить доходность больше 21%.
Введение данного
инвестиционного проекта поможет предприятию ФГУП «НИИССУ» повысить прибыль
предприятия за счет снижения затрат на производство продукции. Так как новое
оборудование более энергосберегаемое, оно сведет до минимума затраты связанные
с применением ручного труда, обеспечит производство более качественной
продукции, снизит потери от брака и простоев. Приобретение нового оборудования
позволит предприятию выпускать большее количество продукции за минимальные
сроки.
Список используемой литературы
1. Гражданский кодекс РФ (часть 1,2 и 3).// СПС
"Консультант +".
2. Налоговый кодекс РФ. // СПС "Консультант +".
3. Федеральный закон от 26 октября
2002 года, N 127-ФЗ О несостоятельности (банкротстве). – М.: "Российская
газета" от 02.11.02, № 209-210 (3077-3078).
4.
Федеральным
законом от 21 ноября 1996 года №129-ФЗ "О бухгалтерском учете" с
последующими изменениями и дополнениями
5.
Приказом Минфина
РФ от 13 января 2000г. № 4н утверждены Указания об объеме форм бухгалтерской
отчетности и рекомендованы образцы этих форм.
6.
Положение по
ведению бухгалтерского учета и бухгалтерской отчетности в Российской Федерации,
утвержденное Приказом Минфина России от 29.07.98 г № 34н
7.
Положение по
бухгалтерскому учету "Бухгалтерская отчетность организации" (ПБУ
4/99)
8. Абрютина
М.С. Финансовый анализ коммерческой деятельности: Учебное пособие. - М.:
Издательство «Финпресс», 2008.
9.
Абрютина М.С.
Экспресс-анализ финансовой отчетности: Методическое пособие. – М.: Издательство
«Дело и Сервис», 2008.
10.
Балабанов И.Т.
Основы финансового менеджмента. Учебное пособие. - М.: Финансы и статистика,
2007.
11. Балдин К. В., Зверев В. С., Рукосуев
А. В. Антикризисное управление. Макро- и микроуровень. – М.: "Издательский
дом Дашков и К", 2007.
12. Банк В. Р., Банк С. В., Тараскина А.
В. Финансовый анализ. - М.: "Проспект", 2007.
13.
. Бирюкова О. Ю.,
Бочкова Л. А. Приемы антикризисного менеджмента: учебное пособие. – М.:
"Издательский дом Дашков и К", 2008.
14. Бочаров В.В. Финансовый анализ.
Серия: Краткий курс Издательство: Питер, 2007 г.
15. Гаврилова А.Н. Финансовый менеджмент: учебное пособие – 5-е изд., – М.:
КНОРУС, 2009.
16.
Гаврилова А.Н.
Финансы организаций (предприятий)-учебное пособие – 5-е изд., – М.: КНОРУС,
2009.
17.
Гиляровская Л.Т.,
Ендовицкая А.В. Анализ и оценка финансовой устойчивости коммерческих
организаций. - М.: "ЮНИТИ", 2007.
18.
Грачев А.В.
Анализ и управление финансовой устойчивостью предприятия. – М.: Издательство
«Финпресс», 2008.
19.
Добросердова И.
И., Попова Р. Г., Самонова И. Н. Финансы предприятий - 3 издание – С-П, из. дом
Питер 2010.
20.
Захаров В. Я.,
Блинов А. О., Хавин Д. В. Антикризисное управление: теория и практика. – М.:
"ЮНИТИ", 2007.
21.
Ионова А.Ф.,
Селезнева Н.Н. Финансовый анализ. – учеб. – М.: ТК Велби, Изд-во Проспект, 2008
22. Ковалев В.В. Финансовый менеджмент. –
М.: Проспект, 2008.
23.
Ковалев В.В.
Финансовый анализ: методы и процедуры. – М.: Финансы и статистика, 2008
24.
Колчина Н.В.
Финансовый менеджмент:
учебное пособие. – М.: ЮНИТИ-ДАНА, 2008.
25.
Крейнина М.Н.
Финансовый менеджмент. - М.: Дело и сервис, 2008.
26.
Лапуста М.Г.,
Мазурина Т.Ю., Скамай Л.Г. Финансы организаций (предприятий): Учебник. – М.: ИНФРА-М, 2007.
27. Любушин Н.П. Анализ финансового
состояния организации. – М.: Эксмо, 2007.
28. Любушин М.П., Лещева В.Б., Дьякова
В.Г. Анализ финансово-экономической деятельности предприятия. Учебное пособие
для вузов. – М.: ЮНИТИ-ДАНА, 2009.
29.
Макарова Л. Г.
Экономический анализ в управлении финансами фирмы: учебное пособие – М.: Издательский центр «Академия»,
2008.
30.
Маркарьян Э.А.
Финансовый анализ: учебное посоибе /Э.А. Маркарьян. – М.: КНОРУС, 2007.
31.
.Морозко
Н.И.Финансовый менеджмент. Учебное пособие.- Москва 2009.
32.
Никитина Н.В.
Финансовый менеджмент Издательство: КноРус, 2009 г
33.
Никулина Н., Д.В.
Суходоев, Н.Д. Эриашвили, Финансовый менеджмент организации. Теория и практика
Издательство: Юнити-Дана, 2009
34.
Пласкова Н. С.
Экономический анализ:
учебник. – 2-е изд., перераб. и доп. – М.: Эксмо, 2009.
35.
Рудская И. А.,
Талипова Л. Ф., Кожевникова С. А. Оценка финансовой устойчивости строительного
предприятия, Управленческий учет,-Издательская группа: Дело и сервис, 3, 2008
36. Савицкая Г.В. Анализ хозяйственной
деятельности предприятия – М: Инфа-М, 2008.
37.
Сафронов Н.А.
Экономика предприятия. – М.: ЭКОНОМИСТЬ, 2008.
38.
Сироткин В.Б.
Финансовый менеджмент фирмы: Учебное пособие – М.: Высшая школа, 2008.
39. Титаева А.В. Оценка финансового
состояния организации. – М.: Налоговый вестник, 2007 .
40.
Уткин Э.А.
Финансовый менеджмент. Учебник для вузов. - М.: Изд-во <Зерцало>, 2007.
41. Чечевицына Л.Н. Анализ
финансово-хозяйственной деятельности.–Ростов н/Д: Феникс,2008.
42.
Российский
статистический ежегодник. М., 2009.
43. Журнал "Главбух" № 8 за 2009 год
44. Инвестиционная политика в области
финансовых инвестиций. #"#">www.c-pp.ru
50. Сайт www.b2y.ru
51. Сайт www.market-pages.ru
52. Сайт www.wikipedia.ru
Размещено на
[1]
Ковалев В.В. Финансовый анализ: методы и процедуры. – М.: Финансы и статистика,
2008. – 560с. – С.42.
[2]
Сафронов Н.А. Экономика предприятия. – М.: ЭКОНОМИСТЬ, 2008. – 251с. – С.26 .
[3]
Добросердова И. И., Попова Р. Г.,
Самонова И. Н. Финансы предприятий - 3 издание – С-П, из. дом Питер 2010
[4]
Колчина Н.В. Финансовый менеджмент: учебное пособие. – М.: ЮНИТИ-ДАНА,
2008.
[5] Ковалев В.В. Финансовый менеджмент. – М.: Проспект,
2008.
[6]
Ионова А.Ф., Селезнева Н.Н. Финансовый анализ. – учеб. – М.: ТК Велби, Изд-во
Проспект, 2008. – 624с. – С.44.
[7]
Никитина Н.В. Финансовый менеджмент
Издательство: КноРус, 2009 г
[8] В. В. Бочаров. Финансовый
анализ. Серия: Краткий курс. Издательство: Питер, 2007 г. 240 стр.
[9] Ионова А.Ф., Селезнева
Н.Н. Финансовый анализ. – учеб. – М.: ТК Велби, Изд-во Проспект, 2008. – 624с.
– С.367.
[10] Уткин Э.А. Финансовый менеджмент. Учебник для вузов.
- М.: Изд-во <Зерцало>, 2007.
[11] Сироткин В.Б. Финансовый
менеджмент фирмы: Учебное пособие – М.:
Высшая школа, 2008.
[12]
Никулина Н., Д.В. Суходоев, Н.Д. Эриашвили,
Финансовый менеджмент организации. Теория и практика Издательство: Юнити-Дана,
2009
[13] Морозко Н.И.Финансовый
менеджмент. Учебное пособие.- Москва 2009.
[14] Любушин Н.П. Анализ финансового состояния организации. – М.: Эксмо,
2007.
[15]
Макарова Л. Г. Экономический анализ в управлении
финансами фирмы: учебное пособие – М.:
Издательский центр «Академия», 2008.
[16] Лапуста М.Г., Мазурина
Т.Ю., Скамай Л.Г. Финансы организаций (предприятий): Учебник. – М.: ИНФРА-М, 2007.
[17] Любушин Н.П. Анализ финансового состояния
организации. – М.: Эксмо, 2007.
[18]
Ковалев В.В. Финансовый менеджмент. – М.: Проспект, 2008
[19]
Ковалев В.В. Финансовый анализ: методы и процедуры.
– М.: Финансы и статистика, 2008
[20]
Балабанов И.Т. Основы финансового менеджмента.
Учебное пособие. - М.: Финансы и статистика, 2007.
[21]
Балабанов И.Т. Основы финансового менеджмента.
Учебное пособие. - М.: Финансы и статистика, 2007.
[22] Финансовый менеджмент: теория и практика:
Учебник / Под ред. Е.С. Стояновой. — 6-е изд.- М. : Инфа-М, 2008.
[23]
Морозко Н.И.Финансовый менеджмент.
Учебное пособие.- Москва 2009.
[24] Никулина Н., Д.В. Суходоев, Н.Д. Эриашвили,
Финансовый менеджмент организации. Теория и практика Издательство: Юнити-Дана,
2009
[25] Ковалев В.В. Финансовый менеджмент. – М.: Проспект,
2008.
[26]
Журнал "Главбух" № 8 за 2009 год
[27]
Маркарьян Э.А. Финансовый анализ:
учебное посоибе /Э.А. Маркарьян. – М.: КНОРУС, 2007.
[28] Уткин Э.А. Финансовый менеджмент. Учебник для вузов.
- М.: Изд-во <Зерцало>, 2007.
[29] Чечевицына Л.Н. Анализ финансово-хозяйственной деятельности.–Ростов
н/Д: Феникс,2008.
[30] Любушин Н.П. Анализ финансового состояния организации. – М.: Эксмо,
2007.
[31]
Ионова А.Ф., Селезнева Н.Н. Финансовый анализ. – учеб. – М.: ТК Велби, Изд-во
Проспект, 2008. – 624с. – С.379.
[32] Колчина Н.В. Финансовый менеджмент: учебное пособие. – М.: ЮНИТИ-ДАНА,
2008.
[33]
Грачев А.В. Анализ и управление финансовой устойчивостью предприятия. – М.:
Издательство «Финпресс», 2008. – 208 с.
[34]
Абрютина М.С. Экспресс-анализ финансовой отчетности: Методическое пособие. –
М.: Издательство «Дело и Сервис», 2008. – 256 с.
[35] Гиляровская Л.Т., Ендовицкая А.В. Анализ и оценка финансовой
устойчивости коммерческих организаций. - М.: "ЮНИТИ", 2007.
[36]
Маркарьян Э.А. Финансовый анализ: учебное посоибе /Э.А. Маркарьян. – М.:
КНОРУС, 2007. – 224 с.
[37]
Ковалев В.В. Финансовый анализ: методы и процедуры.
– М.: Финансы и статистика, 2008