Анализ финансовых результатов деятельности организации

  • Вид работы:
    Курсовая работа (т)
  • Предмет:
    Эктеория
  • Язык:
    Русский
    ,
    Формат файла:
    MS Word
    113,88 Кб
  • Опубликовано:
    2014-06-24
Вы можете узнать стоимость помощи в написании студенческой работы.
Помощь в написании работы, которую точно примут!

Анализ финансовых результатов деятельности организации

Содержание

Введение

Глава I. Теоретические основы анализа финансовых результатов

.1 Понятие и система показателей финансовых результатов

.2 Порядок формирования и расчет показателей прибыли

.3 Информационная база анализа финансовых результатов в РФ и международной практике

Глава II. Методические основы анализа финансовых результатов организации

.1 Анализ показателей прибыли от основной деятельности

.1.1 Факторный анализ валовой прибыли

.1.2 Факторный анализ прибыли от продаж

.1.3 Анализ рентабельности по обычным видам деятельности организации

.2 Анализ прибыли (убытка) от прочих видов

.3 Анализ чистой прибыли

Заключение

Список использованной литературы

Введение

Финансовые результаты деятельности предприятий в конечном итоге характеризуются показателями прибыли (убытка). Известно, что без получения прибыли предприятие не может развиваться в рыночной экономике, за исключением организаций, финансируемых за счёт государства или других источников. Поэтому задача улучшения финансового результата является жизненно важной для хозяйствующего субъекта.

В экономической теории прибыль коммерческой организации представляет собой конечный финансовый результат его хозяйственной деятельности за отчетный период, выраженный в приросте стоимости совокупного капитала такой организации. Если же стоимость совокупного капитала организации за отчетный период уменьшилась, то она понесла убыток.

Прибыль - особый систематически воспроизводимый ресурс коммерческой организации (предприятия), конечная цель развития бизнеса. Сущность рассматриваемой экономической категории заключается в том, что необходимый уровень прибыли - это:

• основной внутренний источник текущего и долгосрочного развития организации (предприятия);

• главный источник возрастания рыночной стоимости организации (предприятия);

• индикатор кредитоспособности;

• главный интерес собственника, поскольку он обеспечивает возможность возрастания капитала и бизнеса;

• индикатор конкурентоспособности организации (предприятия) при наличии стабильного и устойчивого уровня прибыли;

• гарант выполнения организацией своих обязательств перед государством, источник удовлетворения социальных потребностей общества.

Также следует отметить, что полноценное функционирование коммерческой организации невозможно без получения прибыли, перераспределение которой служит источником образования различных фондов и резервов. В свою очередь, такие фонды и резервы служат источником покрытия установленных расходов.

Анализ финансовых результатов деятельности предприятия - важнейшая характеристика экономической деятельности предприятия. Анализ финансовых показателей позволяет выявить возможности улучшения финансового положения и по результатам расчётов принять экономически обоснованные решения.

Цель данной работы заключается в изучении теоретических и практических аспектов анализа финансовых результатов.

Задачи данной курсовой являются:

)        рассмотреть понятие и систему показателей финансовых результатов деятельности организации;

)        рассмотреть порядок формирования и расчет показателей прибыли;

)        определить информационную базу анализа финансовых результатов в РФ и международной практике;

)        рассмотреть основные методики анализа: показателей прибыли от основной деятельности, прибыли от прочих видов деятельности, чистой прибыли и рентабельности.

Глава I. Теоретические основы анализа финансовых результатов

.1 Понятие и система показателей финансовых результатов деятельности организации

Показатели финансовых результатов характеризуют абсолютную эффективность хозяйствования предприятия.

Финансовые результаты деятельности предприятия характеризуются суммой полученной прибыли и уровнем рентабельности.

Прибыль - это выраженный в денежной форме чистый доход предпринимателя на вложенный капитал, характеризующий его вознаграждение за риск осуществления предпринимательской деятельности, представляющий собой разность между полученными совокупным доходом и совершенными совокупными затратами в процессе этой деятельности.

В экономической литературе различают:

1.      Экономическая прибыль - это остаток от общего дохода после вычета всех издержек.

Экономическая прибыль исчисляется как разность валового дохода фирмы и всех альтернативных издержек (внешних и внутренних) производства поставляемых фирмой товаров и услуг.

.        Бухгалтерская прибыль (убыток) - представляет собой окончательный финансовый результат (прибыль или убыток), выявленный за отчетный период на основании бухгалтерского учета всех хозяйственных операций организации и оценки статей бухгалтерского баланса.

Таким образом, бухгалтерская прибыль - это разница между ценой реализации (доходами от продажи) и бухгалтерскими издержками.

Экономическая прибыль - учитывает дополнительные издержки, такие как некомпенсированные собственные издержки предпринимателя, не учтённые в себестоимости, в том числе «упущенная выгода», затраты на «стимулирование» чиновников, дополнительные премиальные работникам.

.        Налоговая прибыль - прибыль, рассчитанная по данным налогового учета.

Данный показатель отражается в налоговой отчетности, цель которой в предоставлении информации акционерам, менеджерам и налоговым органам о суммах денежных средств, которые компания должна уплатить в качестве налогов, сборов, обязательных платежей, штрафов, пеней.

В налоговом учете прибыль определяется согласно гл. 25 Налогового кодекса РФ как показатель, сформированный специально для целей налогообложения по данным налогового учета. Как объект налогообложения прибыль определяется различным способом для трех категорий налогоплательщиков:

ü  для иностранных организаций, осуществляющих деятельность в РФ через постоянные представительства в России и получающих доходы от источников в РФ:

Налоговая база = Доходы представительства - Расходы представительства;

ü  для иных иностранных организаций:

Налоговая база = ∑ Доходов, полученных от источников в РФ;

ü для российских организаций:

Налоговая база = ∑ Полученных доходов - ∑ Произведенных расходов.

При этом доходы и расходы для целей налогообложения делятся на доходы от реализации продукции имущественных прав (доходы от реализации) и внереализационныe доходы. Расходами признаются обоснованные и документально подтвержденные затраты налогоплательщика. Они подразделяются также на две группы: расходы, связанные с производством и реализацией, и внереализационные расходы.

Как уже отмечалось выше, система показателей финансовых результатов включает в себя не только абсолютные (прибыль), но и относительные показатели (рентабельность) эффективности использования. Чем выше уровень рентабельности, тем выше эффективность хозяйствования.

Рентабельность - относительный показатель, который обладает свойством сравнения. Рентабельность характеризует степень доходности, выгодности, прибыльности.

Показатели рентабельности позволяют оценить, какую прибыль имеет субъект хозяйствования с каждого рубля средств, вложенных в активы.

Показатели рентабельности более полно, чем прибыль, отражает конечные результаты хозяйствования, потому что их величина показывает соотношение эффекта с наличными или использованными ресурсами.

Основными задачами анализа финансовых результатов являются:

· изучение данных о формировании финансового результата и использовании прибыли;

·              исследование динамики показателей прибыли и рентабельности предприятия;

·              выявление и измерение влияния основных факторов, воздействующих на финансовый результат;

·              выявление узких мест (отрицательных сторон в работе, не позволяющих достичь желаемых результатов);

·              выявление резервов и их использование для повышения прибыли и рентабельности предприятия;

·              разработка рекомендаций, мероприятий по улучшению финансовых результатов.

Прибыль организации отражается рядом показателей, каждый из которых имеет свое значение при анализе.

Прибыль в общем виде представляет собой превышение в денежном выражении доходов над расходами организации (затратами на производство и сбыт этих товаров и услуг).

. Доходы организации

Доходами организации признается увеличение экономических выгод в результате поступления активов (денежных средств, иного имущества) или погашения обязательств, приводящее к увеличению капитала организации, за исключением вкладов участников (собственного имущества).

К доходам не относятся поступления от других юридических лиц и граждан:

) суммы налога на добавленную стоимость, акцизов, экспортных пошлин и иных обязательных аналогичных платежей;

) по договорам комиссии, агентским и другим аналогичным договорам в пользу комитента, принципала и др.;

) в порядке предварительной оплаты продукции, товаров, работ и услуг;

) авансов в счет оплаты продукции товаров, работ и услуг;

) в залог, если договором предусмотрена передача заложенного имущества залогодержателю;

) в погашение кредита, займа, предоставленного заемщику. В зависимости от вида деятельности и условий получения

Доходы организации классифицируются на доходы от обычных видов деятельности и прочие доходы.

. Расходы организации

Расходы организации - это все затраты, которые в данный период времени в ходе хозяйственной деятельности приводят к изменению (уменьшению или другое расходование) активов организации и служат для получения соответствующих доходов. Основные виды расходов организации:

) расходы по обычным видам деятельности - расходы, связанные с изготовлением и продажей продукции, приобретением и продажей товаров; с выполнением работ, оказанием услуг и осуществлением других обычных видов деятельности. К ним также относится возмещение стоимости основных средств, нематериальных активов и иных амортизируемых активов, осуществляемых в виде амортизационных отчислений;

) прочие расходы организации - это расходы, включающие в себя все расходы, кроме расходов по обычным видам деятельности. Таким образом, прочие расходы включают в себя: а) операционные расходы; б) внереализационные расходы; в) чрезвычайные расходы.

В бухгалтерской отчетности рассматриваются следующие показатели прибыли:

1.      валовая прибыль;

2.      прибыль от продаж;

.        прибыль до налогообложения;

.        чистая прибыль.

(Данные показатели прибыли будут рассмотрены подробнее далее).

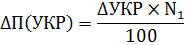
1.2 Порядок формирования и расчет показателей прибыли

Прибыль - это часть чистого дохода, созданного в процессе производства и реализованного в сфере обращения. Она:

♦ характеризует финансовый результат предпринимательской деятельности;

♦ является основой экономического развития организации;

♦ наиболее полно отражает эффективность производства, объем и качество произведенной продукции, состояние производительности труда, уровень себестоимости.

Прибыль оказывает стимулирующее воздействие на укрепление коммерческого расчета, интенсификацию производства при любой форме собственности. Рост прибыли создает финансовую базу для самофинансирования, расширенного воспроизводства, решения социальных проблем, удовлетворения материальных потребностей трудовых коллективов. За счет прибыли выполняются обязательства организации перед бюджетом, банками и другими организациями. Показатели прибыли характеризуют степень деловой активности и финансового благополучия. По прибыли определяются уровень отдачи авансированных средств и доходность вложений в активы.

Хозяйственная деятельность организации достаточно разнообразна, это производственная, снабженческая, сбытовая и коммерческая деятельности. Поэтому прибыль организации принимает разные формы. Исходным моментом в расчетах показатели прибыли является выручка от продаж продукции, товаров и услуг, которая характеризует завершение производственного цикла организации, возврат авансированных на производство средств и превращение их в денежную форму, а также начало нового цикла в обороте всех средств. Изменение в объеме продаж оказывает наиболее чувствительное влияние на финансовые результаты деятельности организации.

Модель формирования прибыли в современных условиях рыночной экономики России содержит ряд итераций, или расчетов. Рассмотрим их подробнее.

1-я итерация. Определение брутто-прибыли (валовая прибыль) от реализации продукции (работ, услуг).

Прибыль от реализации продукции определяется как разница между выручкой от реализации продукции в отпускных ценах предприятия (без налога на добавленную стоимость, акцизов и других косвенных налогов и сборов) и затратами, включаемыми в производственную себестоимость. В себестоимость продукции при определении брутто-прибыли включаются прямые материальные затраты, прямые расходы на оплату труда и начисления, а также косвенные общепроизводственные расходы. Валовая прибыль является показателем эффективности работы производственных подразделении предприятия.

-я итерация. Определение прибыли от продаж. Она определяется вычитанием из валовой (брутто-прибыли) текущих периодических расходов (коммерческих и общехозяйственных расходов). Отметим, что в соответствии с международными бухгалтерскими стандартами такие периодические расходы в полном объеме вычитаются из валовой прибыли от реализации продукции, благодаря чему государство как бы разделяет риск предпринимателя от возможной непродажи продукции. Прибыль от продаж есть показатель экономической эффективности основной деятельности предприятия, т.е. производства и реализации продукции.

-я итерация. Определение прибыли отчетного периода, т.е. общей, бухгалтерской прибыли, или прибыли до налогообложения. Такая прибыль есть алгебраическая сумма прибылей от основной, операционной деятельности и результата внереализационных доходов и расходов. Бухгалтерская прибыль есть показатель экономической эффективности всей хозяйственной деятельности.

-я итерация. Определение прибыли от обычной деятельности, т.е. прибыли после налогообложения. Как видно из схемы, чистая бухгалтерская прибыль отчетного года получается вычитанием из бухгалтерской прибыли (прибыли до налогообложения) текущего налога на прибыль и, если организация имеет, иных обязательных платежей из прибыли (например, штрафы и пени по расчетам с бюджетом и др.), а также величины отложенных налоговых активов и прибавлением отложенных налоговых обязательств (ранее учтенных в текущем налоге на прибыль). Текущий налог на прибыль учитывает отложенные налоговые активы (+) и обязательства (-), если таковые имеют место.

Под отложенным налоговым активом согласно ПБУ 18/02 понимается та часть налога на прибыль, которая должна привести к уменьшению налога на прибыль, подлежащего уплате в бюджет в следующем (или последующих) за отчетным периоде. Отложенные налоговые обязательства равняются величине отложенного налога на прибыль, которая должна привести к увеличению налога на прибыль, подлежащего уплате в бюджет в следующем (или последующих) за отчетным периоде.

На базе бухгалтерской прибыли можно рассчитать условный расход по налогу на прибыль, который определяется как произведение бухгалтерской прибыли на ставку налога на прибыль. Текущий налог на прибыль (для целей налогообложения) определяется исходя из величины условного расхода, скорректированной на сумму постоянного налогового обязательства (актива), отложенного налогового актива и отложенного налогового обязательства отчетного года. Под постоянным налоговым обязательством понимается сумма налога, которая приводит к увеличению налоговых платежей в отчетном периоде из-за различий в формировании бухгалтерской прибыли и налогооблагаемой прибыли для целей налогообложения. Величина постоянных налоговых обязательств (активов) справочно приводится в форме № 2 бухгалтерской отчетности.

Анализ взаимосвязи бухгалтерской прибыли, исчисленной в порядке, установленном нормативными правовыми актами по бухгалтерскому учету РФ, и налогооблагаемой прибыли, рассчитанной по законодательству РФ о налогах и сборах, позволяет определить все факторы отличия условного расхода по налогу на прибыль и текущего налога на прибыль, отраженного в ф. № 2 бухгалтерской отчетности и налоговой декларации организации.

При наличии постоянных налоговых обязательств, отложенных налоговых активов и отложенных обязательств организации в приложениях к бухгалтерской отчетности отдельно раскрывают информацию о них.

Величина условного расхода (условного дохода) по налогу на прибыль для целей определения текущего налога на прибыль (текущего налогового убытка) корректируется по следующей схеме:

Условный расход по налогу на прибыль

+

Постоянное налоговое обязательство

+

Отложенный налоговый актив

-

Отложенное налоговое обязательство

=

Текущий налог на прибыль


При отсутствии постоянных разниц, вычитаемых временных разниц и налогооблагаемых временных разниц, которые влекут за собой возникновение постоянных налоговых обязательств, отложенных налоговых активов и отложенных налоговых обязательств, условный расход (условный доход) по налогу на прибыль будет равен текущему налогу на прибыль (текущему налоговому убытку).

Чистая прибыль - основной показатель финансовых результатов предприятия, характеризующий его экономический эффект.

-я итерация. Определение нераспределенной прибыли отчетного периода производится путем вычитания из величины чистой прибыли суммы распределенной прибыли. В соответствии с приказом Министерства финансов РФ от 22.07.2003 № 67-н в годовом бухгалтерском балансе данные статьи «Нераспределенная прибыль (непокрытый убыток)» показываются с учетом рассмотрения итогов деятельности организации за отчетный год, принятых решений о покрытии убытков, выплаты дивидендов и пр.

В условиях рыночной экономики величина чистой прибыли и показатели, характеризующие финансовое положение, дают обобщенную характеристику деятельности предприятия. Очевидно, что предприятию важно не только получить, возможно, большую прибыль, но и правильно использовать ту ее часть, которая остается в его распоряжении, т.е. обеспечивать оптимальное соотношение темпов научно-технического, производственного и социального расширенного воспроизводства. В динамике темпов роста собственных средств за счет прибыли предприятия проявляются, в конечном счете, успехи или недостатки его развития.

Данная модель формирования и распределения финансовых результатов деятельности предприятия отражает основные черты системы принятых нормативных распределительных отношений между интересами государства и отдельными предприятиями (предпринимателями). Для предприятия налог на прибыль как система безвозмездного изъятия определенной доли прибыли в государственный и местные бюджеты является неизбежным необходимым элементом в процессе функционирования капитала данного предприятия. Величина этого элемента может быть минимизирована за счет улучшения системы внутрипроизводственного планирования и контроля издержек и инвестиций, за счет комплексной рационализации хозяйственной деятельности и обоснованного выбора учетной политики.

Прибыль формируется в процессе хозяйственной деятельности организации. Это находит отражение в бухгалтерском учете и отчетности.

Общий финансовый результат хозяйственной деятельности в бухгалтерском учете определяется на счете «Прибыли и убытки» путем подсчета и балансирования всех прибылей и убытков за отчетный период. Хозяйственные операции на счете «Прибыли и убытки» отражаются по кумулятивному (накопительному) принципу, т.е. нарастающим итогом с начала отчетного периода.

Другим принципом определения финансовых результатов является использование метода начисления, а не кассового способа. По этой причине прибыль (убыток), показанная в отчете о финансовых результатах, не отражает реального притока (оттока) денежных средств предприятия в результате его хозяйственной деятельности. Для восстановления реальной картины о величине финансового результата деятельности предприятия как приросте (или уменьшении) стоимости его капитала, образовавшегося за отчетный период, необходимы дополнительные корректирующие расчеты.

На счете «Прибыли и убытки» финансовые результаты деятельности предприятия отражаются в двух формах:

) как результаты (прибыль или убыток) от реализации продукции, работ, услуг, материалов и иного имущества, с предварительным выявлением их на отдельных счетах реализации;

) как результаты, не связанные непосредственно с процессом реализации, так называемые операционные и внереализационные доходы и расходы (потери).

Конечный финансовый результат (чистая прибыль или чистый убыток) слагается из финансового результата от обычных видов деятельности, а также прочих доходов и расходов. По дебету счета «Прибыли и убытки» отражаются убытки (потери, расходы), а по кредиту - прибыли (доходы) организации. Сопоставление дебетового и кредитового оборотов за отчетный период показывает финансовый результат отчетного периода.

1.3 Информационная база анализа финансовых результатов в РФ и международной практике

Источники информации для анализа финансовых результатов в России.

Основными источниками информации анализа финансовых результатов являются данные бухгалтерского учёта и бухгалтерской (финансовой) отчётности. Объем форм, порядок составления и представления бухгалтерской отчетности регламентируется Приказом Минфина РФ от 22.07.03 №67-н «О формах бухгалтерской отчетности организаций». Из форм бухгалтерской отчётности используют:

. Бухгалтерский баланс, форма № 1, где отражаются нераспределённая прибыль или непокрытый убыток отчётного и прошлого периодов (раздел III пассива).

. Отчёт о прибылях и убытках, форма № 2, составляется за год и по внутригодовым периодам. Он является главным источником информации о формировании и использовании прибыли. В нём показаны статьи, формирующие финансовый результат от всех видов деятельности. В разделе «Доходы и расходы по основным видам деятельности» приводятся: выручка (нетто) от продажи товаров без НДС, акцизов и аналогичных обязательных платежей (стр. 010); валовой доход торговли, отражаемый по строке 029 «Валовая прибыль»; себестоимость товаров (стр. 020), издержки обращения (стр. 030 «Коммерческие расходы»); прибыль (убыток) от продаж (стр. 050).

В разделе «Прочие доходы и расходы» формы №2 отражают доходы и расходы, не относящиеся к обычным видам деятельности, прибыль (убыток) до налогообложения (стр. 140), сумму текущего налога на прибыль и иных аналогичных обязательных платежей и чистую прибыль (убыток) отчетного периода по стр. 190.

В конце отчета о прибылях и убытках предусмотрена справка с отражением базовой и разводненной прибыли на акции. В отдельном разделе проводится расшифровка отдельных видов прибыли и убытков по приводимым статьям.

. Годовой отчет об изменениях капитала, форма №3, содержит информацию о чистой, нераспределенной прибыли прошлых лет по составу. В нем отражены источники увеличения и уменьшения капитала по отдельным статьям, состояние и изменение резервного капитала, резервов предстоящих расходов, оценочные резервы.

В настоящее время принят новый приказ - Приказ Минфина РФ № 66-н от 02.07.10 «О формах бухгалтерской отчетности организаций», вносящий изменения в объемы форм, порядок составления и представления бухгалтерской отчетности. Изменения, закрепленные данным Приказом, вступят в силу с 2011 года. Таким образом, в условиях 2011 года:

1)      Формы бухгалтерской отчетности не имеют типовых форм (т.е. отменена нумерация типовых форм бухгалтерской отчетности).

Данным Приказом Минфина РФ №66-н утверждены:

·  Форма бухгалтерского баланса;

·        форма отчета о прибылях и убытках;

·        форма отчета об изменениях капитала;

·        форма отчета о движении денежных средств;

·  форма отчета о целевом использовании полученных средств, включаемого в состав бухгалтерской отчетности общественных организаций (объединений), не осуществляющих предпринимательской деятельности и не имеющих кроме выбывшего имущества оборотов по продаже товаров (работ, услуг).

2)      В числе приложений к бухгалтерскому балансу отсутствует форма Приложение к бухгалтерскому балансу (в условиях 2010 г. форма №5)

)        К Приказу Минфина имеется приложение кодов строк показателей отчетности.

)        Приложения к бухгалтерскому балансу и отчету о прибылях и убытках определяются организацией самостоятельно и оформляются в табличной или текстовой форме.

)        В бухгалтерском балансе приводятся значения показателей в трех цифровых графах:

-       Указывается отчетная дата отчетного периода.

-       Указывается предыдущий год.

-       Указывается год, предшествующий предыдущему.

)        Организации самостоятельно определяют детализацию показателей по статьям отчетов.

)        Отменен порог существенности показателей. Показатель считается существенным, если его нераскрытие может повлиять на экономические решения заинтересованных пользователей, принимаемые на основе отчетной информации. Решение организацией вопроса, является ли данный показатель существенным, зависит от оценки показателя, его характера, конкретных обстоятельств возникновения.

Данные изменения можно оценивать положительно т.к. благодаря этим нововведениям бухгалтерская отчетность организации стала более аналитична. Организации получили большую самостоятельность в детализации статей баланса. А введение в отчетность данных года, предшествующего предыдущему (третья цифровая графа) дает возможность пользователям отчетности оценить изменения показателей в динамике (не за 2 года, как было раньше, а за 3отчетных года).

В составе статистической отчетности используется месячная унифицированная форма федерального государственного статистического наблюдения № П-3 « Сведения о финансовом состоянии организации», утвержденная приказом Росстата от 7 августа 2008г. № 184. Данные в ней приводятся за отчетный период и за соответствующий период предыдущего года. По строкам 01 и 02 в разделе 1 «показатели финансового состояния и расчетов» формы № П-3 отражается прибыль (убыток) до налогообложения. Строки 01 и 02 формы № 2 «Отчета о прибылях и убытках» за отчетный и аналогичный период предыдущего года.

В разделе № 2 «Доходы и расходы» по строке 30 показывается выручка от продажи продукции, товаров, работ, услуг от обычных видов деятельности (за вычетом НДС, акцизов и аналогичных обязательный платежей). Строка 30 соответствует показателю «Выручки (нетто) от продажи товаров, продукции, работ, услуг (за вычетом НДС, акцизов и аналогичных обязательный платежей)» формы № 2 «Отчет о прибылях и убытках».

По строке 31 организации, осуществляющие торговую деятельность, отражают покупную стоимость товаров, выручка от продажи которых отражена в данном отчетном периоде. Эта строка соответствует показателю «Себестоимость проданных товаров, продукции, работ, услуг» формы № 2 «Отчет о прибылях и убытках».

По строке 32 показываются общепроизводственные расходы, расходы, связанные со сбытом продукции, издержки обращения. Строка 32 соответствует сумме показателей «Коммерческие расходы», «Управленческие расходы» формы № 2 «Отчет о прибылях и убытках».

По строке 33 показывается прибыль (убыток) от продажи товаров, продукции, работ, услуг, которая рассчитывается путем вычитания из выручки (нетто) от продажи товаров, продукции, работ, услуг (за вычетом НДС, акцизов и аналогичных обязательный платежей) себестоимости проданных товаров, продукции, работ, услуг, а также издержек обращения. Данные приводятся за отчетный период и за соответствующий период предыдущего года. Строка 33 соответствует показателю «Прибыль (убыток) от продаж» формы №2 «Отчет о прибылях и убытках».

По строке 34 показывается выручка от продажи основных средств (за вычетом НДС и других обязательный платежей), т.е. сумма, причитающаяся организации за проданные основные средства, отраженная по кредиту счета 91 «Прочие доходы и расходы» за отчетный период и за соответствующий период предыдущего года.

Другой источник информации - унифицированная квартальная форма федерального государственного статистического наблюдения № П-5 (М) «Основные сведения о деятельности организации», утвержденная постановлением Росстата от 15 октября 2007 г. № 77. По строке 02 в ней отражается стоимость проданных товаров, приобретенных на стороне для перепродажи (их приобретение отражалось в бухгалтерской учете на дебете счета 41). По строке 03 приводится прибыль (убыток) до налогообложения.

По строке 14 показывается выручка (нетто) от продажи продукции, работ, услуг (за вычетом НДС, акцизов и аналогичных обязательный платежей), по строке 15 - себестоимость проданных товаров, продукции, работ, услуг. Издержки обращения приведены в строке 16 «Коммерческие и управленческие расходы».

По строке 23 отражается оборот розничной торговли, а по строке 24 - оборот общественного питания. Объем платных туристических услуг с учетом НДС, акцизов и аналогичных обязательный платежей приводится по строке 25.

В разделе 3 «Производство и отгрузка по видам продукции и услуг» форма № П-5 (М) приведены сведения о розничной продаже товаров (код 70) по группам. В свободных строках раздела 3 (по коду 60) проводится распределение объема платных услуг населению, учтенного по строке 25.

Информационная база анализа финансовых результатов по МСФО.

Международные стандарты финансовой отчётности (МСФО; IFRS англ. International Financial Reporting Standards) - набор документов (стандартов и интерпретаций), регламентирующих правила составления финансовой отчетности, необходимой внешним пользователям для принятия ими экономических решений в отношении предприятия.

Международные стандарты финансовой отчётности приняты как обязательные в нескольких странах Европы. В большинстве стран Европы отчётность в соответствии с МСФО обязаны подготавливать компании, чьи ценные бумаги обращаются на бирже.

Основными источниками информации анализа финансовых результатов по МСФО являются данные бухгалтерского учёта и финансовой отчётности. В состав в финансовой отчетности по МСФО включаются:

·        баланс (balance sheet) (с 1 января 2009 года - отчет о финансовом состоянии на конец периода (statement of financial position);

·        отчет о прибылях и убытках (income statement) (с 1 января 2009 года - отчет о совокупном доходе за период (statement of comprehensive income);

·        отчет об изменениях в собственном капитале за период (statement of changes in equity);

·        отчет о движении денежных средств за период (statement of cash flows);

·        примечания (notes), включая краткое описание существенных элементов учетной политики и прочие пояснения.

Основные компоненты бухгалтерской отчетности и показатели (информация), отражаемые в отчетности регулируются МСФО 1 «Представление финансовой отчетности» (Presentation of financial statements).

Из форм бухгалтерской отчётности используют:

1.      Отчет о финансовом состоянии на конец (Баланс).

Компания должна представлять баланс, разделяющий оборотные (current) и внеоборотные (noncurrent) активы и краткосрочные и долгосрочные обязательства, за исключением случаев, когда классификация на основе ликвидности предоставляет более надежную и значимую информацию.

Дополнительные требования в отношении классификации статей вводятся МСФО (IFRS) в отношении внеоборотных активов, предназначенных для продажи и групп выбытия. Данные категории активов, а также обязательства, связанные с группами выбытия, должны представляться отдельно от прочих активов/обязательств. Кроме того, отдельно должна раскрываться информация по накопленным доходам и расходам, связанным с данными категориями активов/обязательств и признанным непосредственно в капитале

.        Отчет о совокупном доходе за период (отчет о прибылях и убытках).

В отчете о прибылях и убытках должны, как минимум, быть представлены следующие статьи:

-       выручка;

-       затраты по финансированию;

-       доля организации в прибыли или убытках ассоциированных компаний и совместных предприятий, учтенная по методу учета по долевому участию;

-       прибыль или убыток до налогообложения, признанные в связи с выбытием активов или погашением обязательств, относящихся к прекращаемой деятельности;

-       расходы по налогу на прибыль;

-       прибыль или убыток, включая: а) прибыль или убыток, относящиеся к доле меньшинства; б) прибыль или убыток, относящиеся к владельцам собственного капитала материнской компании.

Если статьи доходов и расходов являются существенными, то они должны быть раскрыты в отчете о прибылях и убытках или в примечаниях к отчетности.

Расходы должны быть классифицированы в отчете о прибылях и убытках или в приложениях к отчетности либо по статьям (материалы, затраты на персонал, амортизация и др.), либо по их функциональному назначению (себестоимость, расходы на реализацию, управленческие расходы и др.). Если компания предоставляет классификацию расходов по функциональному назначению, то должна быть также раскрыта дополнительная информация о статьях затрат.

Международные стандарты в отличие от РСБУ не содержат условия о жесткой привязке показателей отчетности к данным бухгалтерского учета, выводя порядок отражения конкретных фактов хозяйственной деятельности за рамки регулирования стандартами составления отчетности.   Кроме того, МСФО не указывают на наличие установленных форм отчетности.

В МСФО целью финансовой отчетности общего назначения является представление информации о финансовом положении, финансовых результатах деятельности и движении денежных средств компании, полезной для широкого круга пользователей при принятии экономических решений. Финансовая отчетность также показывает результаты управления ресурсами, доверенными руководству компании (п. 7 МСФО 1).

При формулировании цели составления финансовой отчетности МСФО делают акцент на удовлетворении информационных потребностей широкого круга пользователей для принятия экономических решений. При этом согласно МСФО к пользователям отчетности относятся реальные и потенциальные инвесторы, работники, кредиторы (займодавцы), поставщики и иные торговые кредиторы, покупатели, правительства и их органы, общественность.

Таким образом, МСФО устанавливают приоритет потребностей инвесторов перед другими группами пользователей финансовой отчетности и одновременно исходят из предположения о том, что информация о финансовом положении организации, результатах ее деятельности и изменениях в финансовом положении необходима широкому кругу пользователей и способна удовлетворить их потребности должным образом.

В этой связи, в МСФО предъявляются довольно четкие требования к информации, отражаемой в отчетности:

-       уместность и понятность информации;

-       существенность информации и ее достоверность;

-       информация должна быть нейтральна, т. е. не направлена на какую-либо группу лиц;

-       обязательна полнота информации;

-       преобладание экономической сущности над юридической формой, т.е. информация должна приниматься исходя из ее экономической сущности, а не юридического оформления;

-       неопределенность и осмотрительность, т. е. активы не должны быть переоценены, а обязательства занижены (на практике надо исходить из минимальной стоимости активов и максимальной - обязательств, а также из того, что вы отдадите долги, а вам, скорее всего, нет;

-       соотношение полезности и затрат;

-       сопоставимость данных.

Отметим, что цель бухгалтерской отчетности, сформулированная в РСБУ, в целом совпадает с формулировкой цели в МСФО. Однако российская практика сложилась таким образом, что в большинстве случаев отчетность составляется не в целях удовлетворения интересов широкого круга пользователей в информации, необходимой им для принятия экономических решений, а для формального исполнения требований законодательства в части порядка составления и представления отчетности. И несколько "обезличенное" определение финансовой (бухгалтерской) отчетности, данное в нормативных документах, полностью оправдывает такую практику.

Если для российских пользователей отчетности наибольший интерес представляет информация о финансовых результатах деятельности компании, то конкретное содержание международных стандартов, с нашей точки зрения, в большей степени направлено на формирование достоверной информации о финансовом положении компании, чем о ее финансовых результатах. Свидетельством тому являются и жесткие требования, предъявляемые к процедурам признания активов, и введение требований по их оценке на основании справедливой стоимости.

Глава II. Методические основы анализа финансовых результатов организации

.1 Анализ показателей прибыли от основной деятельности

Главными показателями прибыли от основной деятельности являются:

валовая прибыль,

прибыль от продаж,

прибыль до налогообложения,

чистая прибыль,

рентабельность продаж:

·              рентабельность продаж по прибыли от продаж;

·              рентабельность продаж по чистой прибыли;

·              рентабельность производства продукции.

Изучение экономической литературы позволяет нам сделать вывод, что основными направлениями анализа финансовых результатов являются:

-       исследование изменения каждого показателя прибыли;

-       исследование структуры соответствующих показателей;

-       измерение динамики исследуемых показателей;

-       факторный анализ показателей прибыли.

2.1.1 Факторный анализ валовой прибыли

Валовая прибыль - разность между выручкой от продаж и себестоимостью реализованной продукции за тот же период.

Валовая прибыль является показателем эффективности работы производственных подразделений предприятия.

Факторный анализ валовой прибыли может быть осуществлен 2 способами. Существенные различия способов анализа данного показателя в а) информационной базе анализа и б) степени детализации анализа, т.е. в количестве рассматриваемых факторов, влияющих на изменение валовой прибыли.

способ - по данным формы №2 «Отчет о прибылях и убытках». Согласно данной методике на изменение величины валовой прибыли оказывает влияние две группы факторов:

·        изменение объема продаж;

·        изменение себестоимости продаж.

В формализованном виде данную методику можно представить:

1)       - прямая связь

 - обратная связь, т.е. увеличение уровня себестоимости в отчетном периоде приведет к уменьшению величины валовой прибыли.

Проверка:

способ - используя данные формы №2 и дополнительные данные. В данной методике на изменение величины валовой прибыли рассматривается влияние следующих факторов:

·        изменение цен на реализуемые товары;

·        изменение количества реализуемых товаров;

·        изменение уровня себестоимости продаж.

1)      ;

;  

2)     

3)       (обратная связь)

Рассмотрим применение данной методики анализа валовой прибыли на условном примере.

Проведем факторный анализ валовой прибыли по данным формы №2

«Отчета о прибылях и убытка» (Приложение 9) и введем дополнительные аналитические данные.

Для применения данной методики, в рассматриваемый пример необходимо ввести дополнительные данные об изменении цен на реализуемые товары за анализируемый период.

Допустим, в анализируемом периоде цены на реализуемые товары возросли в среднем на 5%, тогда:

А) Изменение валовой прибыли вследствие изменения цен на реализуемые товары:

;

Б) Изменение валовой прибыли вследствие изменения количества реализуемых товаров:

В) Изменение валовой прибыли вследствие изменения уровня себестоимости продаж:

Проверка:

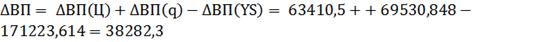
Таким образом, в отчетном периоде произошло увеличение валовой прибыли на  Это произошло под влиянием следующих факторов:

-       вследствие изменения цен на реализуемые товары на + 5%, валовая прибыль увеличилась на

-       вследствие роста количества реализуемых товаров на , валовая прибыль возросла на 69530,848 т. р.

-       за счет роста уровня себестоимости на 287600 тыс. руб. (27,4%), валовая прибыль сократилась на  тыс. руб

.1.2 Факторный анализ прибыли от продаж

Основную часть прибыли предприятия получают от продажи продукции и услуг. В процессе анализа изучаются динамика, выполнение плана прибыли от реализации продукции и определяется факторы изменения ее суммы.

В экономической литературе рассматриваются 3 методики факторного анализа прибыли от продаж.

Данные методики различаются информационной базой, используемой для анализа и количеством факторов, влияющих на величину прибыли от продаж.

методика. Факторный анализ прибыли от продаж проводится только по данным формы №2 «Отчет о прибылях и убытках».

Данный способ рассмотрен в учебнике Мельник М.В. и Ефимовой О.В. На изменение суммы прибыли от продаж оказывают влияние следующие факторы:

)        изменение объема реализованной продукции.

Объем реализации может оказывать положительное и отрицательное влияние на сумму прибыли. Увеличение объема продаж рентабельной продукции приводит к пропорциональному увеличению прибыли. Если же продукция является убыточной, то при увеличении объема реализации происходит уменьшение суммы прибыли;

)        изменение уровня валовой прибыли;

)        изменение уровня коммерческих расходов;

)        изменение уровня управленческих расходов.

Таким образом, данную методику можно представить в формализованном виде:

;

А) Изменение прибыли от продаж за счет объема продаж:


Б) Изменение прибыли от продаж за счет уровня валовой прибыли:


В) Изменение прибыли от продаж за счет уровня коммерческих расходов:


Г) Изменение прибыли от продаж за счет уровня управленческих расходов:


Проверка:


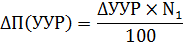
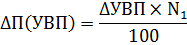
2 методика: В учебнике Донцовой Л.В. приведена методика расчета факторных влияний на прибыль от обычных видов деятельности с использованием данных формы №2 и дополнительных данных.

По данной методике на изменение прибыли от продаж оказывают влияние следующие факторы:

) изменение уровня цен. Изменение уровня среднереализационных цен и величина прибыли находится в прямо пропорциональной зависимости: при увеличении уровня цен сумма прибыли возрастает, и наоборот.

) изменение количества реализованной продукции;

) изменение уровня себестоимости. Себестоимость продукции и прибыль находятся в обратно пропорциональной зависимости: увеличение себестоимости приводит к соответствующему росту суммы прибыли, и наоборот.

) изменение уровня коммерческих расходов

)изменение уровня управленческих расходов.

;

А) Изменение прибыли от продаж за счет цен на реализуемую продукцию:

;

;

Б) Изменение прибыли от продаж за счет количества реализуемой продукции:


В) Изменение прибыли от продаж за счет изменение: а) уровня валовой прибыли, б) уровня себестоимости:

а)

б)

Г) Изменение прибыли от продаж за счет изменение уровня коммерческих расходов:


Д) Изменение прибыли от продаж за счет изменение уровня управленческих расходов:


Проверка:

 

(Расходы - это факторы обратного влияния по отношению к прибыли).

Рассмотрим данную методику на условном примере. Для проведения факторного анализа прибыли от продаж возьмем данные формы №2 «Отчета о прибылях и убытках» (Приложение 9) и введем дополнительные данные об изменении индекса цен в анализируемом периоде.

Пусть цены на продукцию в отчетном периоде возросли по сравнению с базисным в среднем на 5%. Тогда:

1)      ;

2)     

3)     

Или

4)     

5)     

Проверка:  

Таким образом, на сокращение за отчетный год прибыли от продаж на

,5 т.р. оказали влияние следующие факторы:

-       вследствие изменения цен на реализуемые товары на + 5%, прибыль от продаж увеличилась на

-       вследствие роста количества реализуемых товаров на , прибыль от продаж возросла на  т. р.

-       за счет снижения уровня валовой прибыли на  ( либо за счет увеличения уровня себестоимости на , прибыль от продаж сократилась на  тыс. руб.;

-       вследствие роста уровня коммерческий расходов на , прибыль от продаж сократилась на  т.р.;

-       и соответственно, за счет увеличения уровня управленческий расходов на , прибыль от продаж уменьшилась на

Для увеличения суммы прибыли от продаж организации необходимо повысить выручку, уменьшить себестоимость и коммерческие и управленческие расходы. Сделанные расчеты наглядно показывают, что организация обладает достаточными резервами увеличения прибыли.

Следовательно, дальнейший анализ должен быть направлен на выявление причин снижения уровня валовой прибыли и роста уровней коммерческий и управленческих расходов.

методика. В экономической литературе рассматривается и альтернативная методика прибыли от продаж, для реализации которой используются данные аналитического учета.

Оказывают влияние следующие факторы:

·        изменение физического объема продаж;

·        изменение себестоимости отдельных видов продукции;

·        изменение цен на отдельные виды продукции;

·        изменение структуры реализуемой продукции, т.е. соотношение долей отдельных видов продукции с разными уровнями рентабельности (относительный показатель доходности);

·        изменение управленческих и коммерческих расходов.

Алгоритм расчета перечисленных факторов (т.к. в рассматриваемом примере отсутствуют дополнительные аналитические данные, следовательно, данная методика будет представлена только в формализованном виде):


А) Изменение прибыли от продаж за счет физического объема продаж:


Б) Изменение прибыли от продаж за счет изменение себестоимости отдельных видов продукции:


В) Изменение прибыли от продаж за счет изменение цен на отдельные виды продукции:


Г) Изменение прибыли от продаж за счет изменение структуры реализуемой продукции:


Д) Изменение прибыли от продаж за счет управленческих и коммерческих расходов:


Проверка:


2.1.3 Анализ рентабельности по обычным видам деятельности организации

Уровень общей рентабельности организации существенно зависит от уровня рентабельности производственной деятельности, реализованной продукции. Рентабельность реализованной продукции характеризует эффективность использования текущих затрат живого и прошлого труда. Изменение уровня рентабельности продукции происходит под влиянием таких факторов, как: изменение оптовых цен на рынке сырья и материалов, труда, продукта; изменение структуры (ассортимента) продукции.

Анализ динамики рентабельности реализованной продукции

Анализ рентабельности реализованной продукции должен предусматривать определение динамики рентабельности основных видов продукции предприятия. Это позволяет определить роль производства и реализации продукции отдельных изделий в формировании прибыли в целом, определить выгодность или убыточность для предприятия производства того или иного вида продукции.

При анализе рентабельности продукции следует учитывать основную особенность данного показателя: он не учитывает вероятный эффект долгосрочных инвестиций. При переходе на новые технологии или виды продукции, требующие больших инвестиций, рентабельность продукции может временно снижаться, поэтому снижение рентабельности в отчетный период не всегда является отрицательным фактором.

Показателями рентабельности реализованной продукции являются: рентабельность продаж, доля прибыли от продаж в полной себестоимости, затраты на один рубль реализованной продукции.

Рентабельность продаж

Рентабельность продаж по прибыли от продаж

Рентабельность продаж по прибыли от продаж (Рп) - это отношение прибыли от продаж (П) к выручке от продаж (N):

Рп = П ÷ N.

Рост показателя в динамике свидетельствует о повышении спроса на продукцию, повышении уровня производственной и сбытовой деятельности.

По отчетности рассчитывается:

[ф. 2. (стр. 050) / стр. 010];

Рп0 = П0 ÷ N0 = 296474÷ 645959 = 0,46 (руб./руб.);

Pп1 = П1 ÷ N1 = 173894 ÷ 713901 = 0,24 (руб./руб.).

Изменение рентабельности продаж:

абсолютное:

ΔРп = Рп1 - Рп0 = 0,24 - 0,46 = -0,22;

относительное:

Тпр(Рп) = ΔРп ÷ Рп0 × 100% = -0,22 ÷ 0,46 × 100% = -47,8%.

Рентабельность продаж в отчетный период снизилась на 22%, и соответственно темп прироста рентабельности продаж составил -47,8%,что свидетельствует о снижении спроса на продукцию данного предприятия и является негативным фактором. Рентабельность продаж по чистой прибыли Рентабельность продаж по чистой прибыли (Рпч) - отношение чистой прибыли (ПЧ) к выручке от продаж (N):

Рпч = ПЧ ÷ N.

По балансовой отчетности рассчитывается:

[ф. 2 [(стр. 190) / стр. 010]];

Рпч0 = ПЧ0 ÷ N0 = 134691 ÷ 645959 = 0,21 (руб./руб.);

Рпч1 = ПЧ1 ÷ N1 = 132159 ÷ 713901 = 0,19 (руб./руб.).

Изменение рентабельности продаж по чистой прибыли:

абсолютное:

ΔРпч = Рпч1 - Рпч0 = 0,19 - 0,21 = -0,02;

относительное:

Тпр(Рпч) = ΔРпч ÷ Рпч0 × 100% = -0,02 ÷ 0,21 × 100% = -9,5%.

Рентабельность продаж по чистой прибыли в отчетный период снизилась на 2%, а темпы прироста составили -9,5%, что связано со снижением уровня управления финансовыми ресурсами от операционных и внереализационных операций организации.

Рентабельность производства продукции

Рентабельность производства продукции определяется как отношение прибыли от продаж (П) к себестоимости реализованной продукции (S):

Рпрс = П ÷ S.

Значение Рпрс показывает, сколько рублей прибыли от продаж приходится на 1 руб. затрат на производство продукции. Увеличение показателя в динамике свидетельствует о повышении уровня управления производственными затратами.

По балансовой отчетности рассчитывается:

[ф. 2 ((стр. 050) / стр. 020)].

По данным балансовой отчетности доля прибыли от продаж в себестоимости реализованной продукции равна:

Рпрс0 = П0 ÷ S0 = 296474 ÷ 245585 = 1,21;

Рпрс1 = П1 ÷ S1 = 173894 ÷ 378583 = 0,46.

Изменение рентабельности реализованной продукции:

абсолютное:

Рпрс = Рпрс1 - Рпрс0 = 0,46 - 1,21 = -0,75;

относительное:

Тпр(Рпрс) = ΔРпрс ÷ Рпрс0 × 100% = -0,75 ÷ 1,21 × 100% = -61,9%.

Рентабельность продукции в отчетный период снизилась на 75%, а темпы прироста составили -61,9%.Следовательно, уровень управления производственными затратами снизился.

Факторный анализ рентабельности по основным видам деятельности.

Рентабельность организации по основным видам деятельности существенно зависит от таких факторов, как:

П - прибыль от продаж;- себестоимость реализованной продукции;

КР - коммерческие расходы за период;

УР - управленческие расходы за период.

Для оценки влияния изменения этих факторов на изменение рентабельности организации по основным видам деятельности воспользуемся четырехфакторной моделью вида:

Рпр = П ÷ (S + КР + УР).

По данным балансовой отчетности имеем:

Себестоимость:0 = 245585 тыс. руб.; S1 = 378583 тыс. руб.

Коммерческие расходы:

КР0 = 11890 тыс. руб.; КР1 = 12118 тыс. руб.

Управленческие расходы:

УР0 = 92010 тыс. руб.; УР1 = 149306 тыс. руб.

Общие расходы:

ОР = S + КР + УР

ОР0= 349485 тыс. руб.; ОР1 = 540007 тыс. руб.

Прибыль от продаж:

П0 =296474 тыс. руб.; П1 = 173894 тыс. руб.

Рентабельность организации по обычным видам деятельности (расчеты проводим с точностью до пять знаков) в базисный и отчетный периоды равна:

Рпр0 = 296474 ÷ (245585 + 11890 + 92010) = 296474 ÷ 349485 = 0,848317;

Pпp1 = 173894 ÷ (378583 + 12118 + 149306) = 173894 ÷ 540007 = 0,322022.

Изменение рентабельности полных расходов на реализацию продукции:

абсолютное:

ΔРпр = Рпр1 - Рпр0 = 0,322022 - 0,848317 = -0,5263.

Рентабельность организации по обычным видам деятельности снизилась на 52,6%.

Оценим влияние перечисленных факторов на изменение рентабельности полных расходов в следующей последовательности:

) Определим влияние изменения прибыли от продаж на прирост рентабельности, первый фактор (П) рассматриваем в сравнении, а следующие (S, УР, КР), по базису:

ΔРпр(П) = (П1 - П0) ÷ (S0 + КР0 + УР0) = (173894 - 296474) ÷ (245585 + 11890 + 92010) = -122580 ÷ 349485 = -0,35.

За счет снижения прибыли от продаж на 122580 тыс. руб. рентабельность по обычным видам деятельности снизилась на - 0,35 пункта.

) Определим влияние изменения себестоимости продукции на прирост рентабельности (первый фактор (П) рассматриваем по отчету, второй (S) - в сравнении, а следующие (КР, УР) по базису):

ΔРпр(S) = [П1 ÷ (S1 + КР0 + УР0)] - [П1 ÷ (S0 + КР0 + УР0)] = 173894 ÷ (378583 + 11890 + 92010) - 173894 ÷ (245585 + 11890 + 92010) = -0,1372, или на -13,7%.

Увеличение себестоимости продукции на 132998 тыс. руб. привело к снижению рентабельности на -0,1372 пункта.

) Определим влияние изменения коммерческих расходов на прирост рентабельности по обычным видам деятельности (первый и второй факторы (П), (S) рассматриваем по отчету, третий фактор (КР) - в сравнении, а следующий (УР) по базису):

ΔРпр(КР) = [П1 ÷ (S1 + КР1 + УР0)] - [П1 ÷ (S1 + КР0 + УР0)] = 173894 ÷ (378583 + 12118 + 92010) - 173894 ÷ (378583 + 11890 + 92010) = -0,0002, или на -0,02%.

Увеличение коммерческих расходов на 228 тыс. руб. привело к уменьшению рентабельности на - 0,0002 пункта.

) Определим влияние изменения управленческих расходов на прирост рентабельности по обычным видам деятельности (первый фактор (П), второй (S) и третий (УР) рассматриваем по отчету, а (УР) - в сравнении):

ΔРпр(УР) = [П1 ÷ (S1 + КР1 + УР1)] - [П1 ÷ (S1 + КР1 + УР0)] = 173894 ÷ (378583 + 12118 + 149306) - 173894 ÷ (378583 + 12118 + 92010) = -0,038.

Увеличение управленческих расходов на 57296 тыс. руб. (привело к снижению рентабельности на -0,038пункта.

Совместное влияние факторов:

,35 + (-0,1372) + (-0,0002) + (-0,038) = -0,5263.

Наибольшее влияние на уменьшение рентабельности организации по основным видам деятельности оказало увеличение себестоимости продукции и увеличение управленческих расходов, поэтому необходимо провести углубленный анализ, позволяющий наметить мероприятия по снижению расходов по основным видам деятельности.

2.2 Анализ прибыли (убытка) от прочих видов деятельности

Общая схема анализа:

·    изучение состава и структуры прочих доходов и расходов;

·        выявление отклонений от базы сравнения по каждому составляющему операционному и внереализационному финансовому результата;

·        определение причин и виновников возникших отклонений;

·        поиск возможностей по снижению действия негативно влияющих факторов.

Объективность оценки величины прочих доходов и расходов в значительной степени определяется их классификацией на зависящие и не зависящие от деятельности организации.

А. Доходы и расходы от операционной деятельности:

) зависящие от деятельности организации:

-       поступления (расходы), связанные с предоставлением за плату во временное пользование (временное владение и пользование) активов организации;

-       поступления (расходы), связанные с предоставлением за плату прав, возникающих из патентов на изобретения, промышленные образцы и других видов интеллектуальной собственности;

-       поступления (расходы), связанные с продажей основных средств и иных активов, отличных от денежных средств (кроме иностранной валюты), продукции, товаров;

-       проценты, полученные за предоставление в пользование денежных средств организации, а также проценты за использование банком денежных средств, находящихся на счете организации в этом банке;

-       проценты, уплачиваемые организацией за предоставление ей в пользование денежных средств (кредитов, займов);

-       расходы, связанные с оплатой услуг, оказываемых кредитными организациями;

-       отчисления в оценочные резервы, создаваемые в соответствии с правилами бухгалтерского учета (резервы по сомнительным долгам, под обесценение вложений в ценные бумаги и др.), а также резервы, создаваемые в связи с признанием условных фактов хозяйственной деятельности;

) не зависящие от деятельности организации

-       поступления, связанные с участием в уставных капиталах других организаций (включая проценты и иные доходы по ценным бумагам);

-       прибыль, полученная организацией в результате совместной деятельности (по договору простого товарищества);

Б. Доходы и расходы от внереализационной деятельности, не зависящие от деятельности организации:

-       штрафы, пени, неустойки за нарушение условий договоров;

-       активы, полученные безвозмездно, в том числе по договору дарения;

-       поступления в возмещение причиненных организации убытков;

-       прибыль/убытки прошлых лет, выявленная/признанные в отчетном году;

-       суммы кредиторской и депонентской задолженности, по которым истек срок исковой давности;

-       курсовые разницы;

-       сумма дооценки активов;

-       возмещение причиненных организацией убытков;

-       суммы дебиторской задолженности, по которой истек срок исковой давности, других долгов, нереальных для взыскания;

-       сумма уценки активов;

Анализ финансовых результатов от прочих видов деятельности.

Выполнение плана по прибыли в значительной степени зависит от финансовых результатов деятельности, не связанных с реализацией продукции. Это финансовые результаты, полученные от операционных, внереализационных операций и чрезвычайных обстоятельств.

Анализ сводится в основном к изучению динамики и причин полученных убытков и прибыли по каждому конкретному случаю. Убытки от выплаты штрафов возникают в связи с нарушением отдельными службами договоров с другими предприятиями, организациями и учреждениями. При анализе устанавливаются причины невыполненных обязательств, принимаются меры для предотвращения допущенных ошибок.

Изменение суммы полученных штрафов может произойти не только в результате нарушения договорных обязательств поставщиками и подрядчиками, но и по причине ослабления финансового контроля в отношении их. Поэтому при анализе данного показателя следует проверить, во всех ли случаях нарушения договорных обязательств были предъявлены поставщикам соответствующие санкции.

Убытки от списания безнадежной дебиторской задолженности возникают обычно на тех предприятиях, где постановка учета и контроля за состоянием расчетов находится на низком уровне. Прибыли (убытки) прошлых лет, выявленные в текущем году, также свидетельствуют о недостатках бухгалтерского учета.

Особого внимания заслуживают доходы по ценным бумагам (акциям, облигациям, векселям, сертификатам и т.д.). Предприятия-держатели ценных бумаг получают определенные доходы в виде дивидендов. В процессе анализа изучается динамика дивидендов, курса акций, чистой прибыли, приходящейся на одну акцию, устанавливаются темпы их роста или снижения.

В заключение анализа разрабатываются конкретные мероприятия, направленные на предупреждение и сокращение убытков и потерь от данных видов деятельности.

Рассмотрим методику анализа финансовых результатов от прочих видов деятельности на конкретном примере. В результате анализа квартальных форм №2 «Отчет о прибылях и убытка» организации N, получим следующие данные:

Анализ динамики прочих доходов и расходов

Таблица 1 Форма №2 «Отчет о прибылях и убытках организации N» (Годовой)

Показатели

За предшествующий год, тыс. руб.

За отчетный период, тыс. руб.

Отклонение (+;-), тыс. руб.

Темпы роста, %

Темп прироста, %

Прочие доходы и расходы

 

 

 

 

 

Проценты к получению

-

-

-

 

 

Проценты к уплате

-

-

-

 

 

Доходы от участия в других организациях

-

-

-

 

 

Прочие операционные доходы

-

47000

47000

 

 

Прочие операционные расходы

118300

116200

-2100

98,22

-1,78

Внереализационные доходы

74300

154100

79800

207,40

107,40

Внереализационные расходы

151500

64900

-86600

42,84

-57,16


Из данных таблицы видно, что в отчетном году по сравнению с предшествующим годом:

-       прочие операционные доходы возросли в совокупном объеме на 47000 тыс. руб., внереализационные доходы - на 79800 тыс. руб. (107,40%).

-       Прочие операционные расходы в общем объеме сократились на -2100 тыс. руб. (-1,78%), внереализационные расходы -86600 тыс. руб. (-57,16%).

Таким образом, мы наблюдаем увеличение прибыли от прочей деятельности, что можно оценивать положительно, т.к. в конечном итоге данное изменение прибыли от прочей деятельности привело к увеличению чистой прибыли.

Далее рассмотрим изменение прибыли от прочей деятельности более детально, на основе квартальных отчетов о прибылях и убытках.

Таблица 2 Отчет о прибылях и убытках на 01 апреля «n» года

Показатели

За аналогичный период прошедшего года, тыс. руб.

За отчетный период, тыс. руб.

Отклонение (+;-), тыс. руб.

Темпы роста, %

Темп прироста, %

Прочие доходы и расходы, в т.ч:






Проценты к получению

-

-

-



Проценты к уплате

-

-

-



Доходы от участия в других организациях

-

-

-



Прочие операционные доходы

-

-

-



Прочие операционные расходы

33135

28300

-4835

85,41

-14,59

Внереализационные доходы

4763

6700

1937

140,67

40,67

Внереализационные расходы

42216

48400

6184

114,65

14,65


На основе данных таблицы получим, что в отчетном периоде произошло увеличение внереализационных доходов на 1973 тыс. руб. (40.67%), и внереализационных расходов на 6184тыс. руб. (14,65%), снижение прочих операционных расходов на -4835 тыс. руб. (- 14,59%). Прочие операционные расходы в данном отчетном периоде отсутствуют. В целом, мы видим положительную динамику, однако настораживает факт увеличение внереализационных расходов. Дальнейший анализ должен быть направлен на выявление причин увеличения внереализационных расходов.

Таблица 3 Отчет о прибылях и убытках на 01 июля «n» года

Показатели

За аналогичный период прошедшего года, тыс. руб.

За отчетный период, тыс. руб.

Отклонение (+;-), тыс. руб.

Темпы роста, %

Темп прироста, %

Прочие доходы и расходы, в т.ч:

 

 

 

 

 

Проценты к получению

-

-

-

 

 

Проценты к уплате

-

-

-

 

 

Доходы от участия в других организациях

-

-

-

 

 

Прочие операционные доходы

-

-

-

 

 

Прочие операционные расходы

6335

31100

24765

490,92

390,92

Внереализационные доходы

-605

-370

235

61,16

38,84

Внереализационные расходы

34185

18530

-15655

54,21

-45,79


В данном отчетном периоде мы наблюдаем, факт снижения внереализационных расходов на -15655 тыс. руб. (-45,79%), и увеличение внереализационных доходов на 235 тыс. руб. (38,84%) и прочих операционных расходов на 24765 тыс. руб. (390,92%), что нельзя оценивать положительно. Дальнейший анализ должен быть направлен на выявление причин увеличение прочих операционных расходов.

Таблица 4 Отчет о прибылях и убытках на 01 октября «n» года

Показатели

За аналогичный период прошедшего года, тыс. руб.

За отчетный период, тыс. руб.

Отклонение (+;-), тыс. руб.

Темпы роста, %

Темп прироста, %

Прочие доходы и расходы, в т.ч:

 

 

 

 

 

Проценты к получению

-

-

-

 

 

Проценты к уплате

-

-

-

 

 

Доходы от участия в других организациях

-

-

-

 

 

Прочие операционные доходы

-

47000

47000

 

 

Прочие операционные расходы

11630

27800

16170

239,04

139,04

Внереализационные доходы

70142

109970

39828

156,78

56,78

Внереализационные расходы

23050

-10830

-33880

-

-


Из данных таблицы видно, что в отчетном периоде возросли прочие операционные доходы на 47000 тыс. руб. и внереализационные доходы на 39828 тыс. руб. (56,78%),и снизились внереализационные расходы на -33880 тыс. руб., что является положительной динамикой. А вот увеличение прочих операционных расходов на 16170 тыс. руб. (139,04%) нельзя оценивать положительно, и соответственно следует выявить причины роста величины прочих операционных расходов.

Таблица 5 Отчет о прибылях и убытках на 01 января «n+1» года

Показатели

За аналогичный период прошедшего года, тыс. руб.

За отчетный период, тыс. руб.

Отклонение (+;-), тыс. руб.

Темпы роста, %

Темп прироста, %

Прочие доходы и расходы, в т.ч:

 

 

 

 

 

Проценты к получению

-

-

 

 

Проценты к уплате

-

-

-

 

 

Доходы от участия в других организациях

-

-

-

 

 

Прочие операционные доходы

-

-

-

 

 

Прочие операционные расходы

67200

29000

-38200

43,15

-56,85

Внереализационные доходы

-

37800

37800

 

 

Внереализационные расходы

52049

8800

-43249

16,91

-83,09


Из произведенных расчетов следует, что в данном квартале произошло увеличение внереализационных доходов на 37800 тыс. руб., и снижение внереализационных расходов на -43249 тыс. руб. (-83,09%) , и прочих операционных расходов на -38200 тыс. руб. (-56,85%). Данные изменения являются положительной динамикой.

2.3 Анализ чистой прибыли

Чистая прибыль - это разница между облагаемой налогом бухгалтерской прибылью отчетного периода и величиной налога с учетом льгот.

Чистая прибыль является основой развития экономики организации.

Направления использования прибыли и принципы распределения определяются организацией самостоятельно и отражаются в учетной политике. Организация при определении принципов распределения и направлений использования исходит из масштабов прибыли, конкретных направлений деятельности и перспектив развития экономики, с учетом чего отдельные направления использования прибыли могут меняться в зависимости от конкретной ситуации.

В соответствии с законодательством и учредительными документами организация распределяет и использует чистую прибыль по следующим основным направлениям.

В течение года организация направляет на текущие нужды прибыль в соответствии с их назначением, т.е. расходует прибыль прошлых лет.

Часть прибыли может быть нераспределенной. Это дополнительный финансовый резерв, который может быть использован для пополнения фондов и увеличения уставного капитала.

За счет чистой прибыли выплачиваются дивиденды акционерам предприятия, создаются фонды накопления, потребления, резервный фонд, часть прибыли направляется на пополнение собственного оборотного капитала.

В процессе формирования и использования фондов специального назначения за счет прибыли реализуется ее стимулирующая роль.

Основная задача анализа распределения и использования прибыли состоит в выявлении тенденций и пропорций, сложившихся, в распределении прибыли за отчетный год по сравнению с прошлым годом. По результатам анализа разрабатываются рекомендации по изменению пропорций в распределении прибыли и наиболее рациональному ее использованию.

Анализ распределения и использования чистой прибыли проводится в следующем порядке:

) дается оценка изменений суммы и удельного веса средств по каждому направлению использования прибыли по сравнению с планом и базисным периодом;

) проводится факторный анализ образования фондов;

) проводится анализ движения специальных фондов;

) дается оценка эффективности использования фондов накопления и потребления в соответствии с показателями эффективности экономического потенциала.

Чистая прибыль используется в соответствии с уставом предприятия. За счет нее осуществляется инвестирование производственного развития, выплачиваются дивиденды акционерам предприятия, создаются резервные и страховые фонды и т.д. При распределении чистой прибыли необходимо добиваться оптимизации пропорций между капитализируемой и потребляемой ее суммой с целью обеспечения:

·              необходимого объема инвестиций для производственного развития;

·              необходимой нормы доходности на инвестированный капитал собственникам предприятия.

Факторы, влияющие на пропорции распределения прибыли, делятся на внешние и внутренние.

Внешние факторы:

·              правовые ограничения (ставки налогов на прибыль, процентные отчисления в резервные фонды и др.);

·              система налоговых льгот при реинвестировании прибыли;

·              рыночная норма прибыли на инвестируемый капитал, рост которой сопровождается тенденцией повышения дол и капитализированной части прибыли, и наоборот, ее снижение обусловливает увеличение доли потребляемой прибыли;

·              стоимость внешних источников формирования инвестиционных ресурсов (при высоком ее уровне выгоднее использовать прибыль, и наоборот).

Внутренние факторы.

·              уровень рентабельности предприятия, при низком значении которого и соответственно небольшой сумме распределяемой прибыли большая ее часть идет на создание обязательных фондов и резервов, на выплату дивидендов по привилегированным акциям, на социальные программы и др.;

·              наличие в портфеле предприятия высокодоходных инвестиционных проектов;

·              необходимость ускоренного завершения начатых инвестиционных проектов;

·              уровень коэффициента финансового левериджа (соотношение заемного и собственного капитала), который является одним из индикаторов финансового риска и одним из факторов, определяющих доходность собственного капитала;

·              наличие альтернативных внутренних источников формирования инвестиционных ресурсов (амортизационного фонда, выручки от реализации основных средств и финансовых активов и др.);

·              текущая платежеспособность предприятия, при низком уровне которой предприятие должно сокращать потребляемую часть прибыли.

В процессе анализа необходимо изучить динамику и выполнение плана по использованию чистой прибыли, для чего фактические данные об использовании прибыли по всем направлениям сравнивают сданными бюджета и прошлых лет, после чего выясняют причины отклонения от бюджета по каждому направлению использования прибыли.

Таким образом, как уже было отмечено, направления использования чистой прибыли определяются организацией самостоятельно. За ее счет создается резервный капитал; производятся выплаты дивидендов, выплаты работникам (в доле, утвержденной акционерным собранием), перечисления на благотворительные и иные цели.

На основе этого делается вертикальный и горизонтальный анализ использования чистой прибыли, рассчитывается коэффициент капитализации, темпы устойчивого прироста собственного капитала и коэффициент потребления прибыли. Более детально оценка сложившегося положения может быть проведена с использованием метода цепной подстановки путем факторного анализа.

Методом цепной подстановки определяют влияние основных факторов на динамику чистой прибыли.

Таблица 6 Горизонтальный и вертикальный анализ использования чистой прибыли (условные данные)

Показатели

Отчетный период (тыс. руб.)

Аналогичный период предыдущего года (тыс. руб.)

Отклонения




Абсолютные

Относительные

1. Чистая прибыль, тыс. руб

480,6

344,0

136,6

39,70%

2. Распределение чистой прибыли:

 

 

 

 

на выплату дивидендов

150,0

140,0

10,0

7,1

 резервный фонд

24,0

17,0

7,0

41,2

на развитие бизнеса (капитализация)

226,0

157,0

69,0

43,9

работникам организации

18,0

15,0

3,0

20,0

благотворительные и прочие цели

62,6

15

47,6

317,3

3. Доля в чистой прибыли %: (Коэф-т капитализации = )

 

 

 

 

на выплату дивидендов

31,2

40,7

-9,5

 

 резервный фонд

5,0

4,9

0,1

 

на развитие бизнеса (капитализация)

47,02 %

45,6

1,4

 

работникам организации

3,7 %

4,4

-0,6

 

благотворительные и прочие цели

13,03

4,4

8,7

 

Справочно

 

 

 

 

Собственный капитал

1680

1776

 

 


Особое внимание необходимо уделить анализу дивидендной политике предприятия, которая оказывает большое влияние не только на структуру капитала, но и на инвестиционную привлекательность субъекта хозяйствования. Если дивидендные вы платы достаточно высокие, то это один из признаков того, что предприятие работает успешно и в него выгодно вкладывать капитал. Но если при этом малая доля прибыли направляется на обновление и расширение производства, то ситуация может измениться. В процессе анализа изучают динамику дивидендных выплат, курса акций, чистой прибыли на одну акцию за ряд лет, определяют темпы их роста или снижения, а затем производят факторный анализ изменения их величины.

Темп устойчивого прироста собственного капитала компании определяется по формуле:

= или =

где ПЧ - чистая прибыль организации;  прибыль, направленная на выплату дивидендов и работникам компании;  - прибыль, направляемая на капитализацию (реинвестирование); СК - собственный капитал компании.

Для рассматриваемого примера:

 =  100%=13,4%

 =100% = 8,84 %

Таким образом, при росте чистой прибыли на 39.7% темпы роста собственного капитала повысились с 8,84% до 13,4%%. Это вызвано тем, что основную часть чистой прибыли организация направляет на развитие бизнеса. Доля чистой прибыли, приходящейся на выплату дивидендов, снизилась с 40,7 % до 31,2%; выплаты работникам снизились с 4,4 % до 3,7 %, а отчисления благотворительные цели, наоборот, возросли с 4,4% до 13,03 %.

На величину прибыли влияет также эффект производственного и финансового рычага. Эффект производственного (операционного) рычага показывает, во сколько раз изменение прибыли больше темпов прироста объема реализации. Рост прибыли идет за счет эффекта масштаба производства. При этом чем больше доля постоянных расходов в Общей сумме издержек, тем сильнее эффект производственного рычага.

Эффект финансового рычага характеризует изменение прибыли при рациональном использовании заемных средств. Рост доли заемного капитала по отношению к собственному позволяет при определенных условиях снизить налогооблагаемую прибыль и собственно налог на прибыль. Однако возрастает степень финансового риска деятельности организации.

финансовый прибыль рентабельность

Заключение

Подводя итоги, можно отметить, что все задачи, поставленные в начале курсовой работы были выполнены.

В первой главе данной курсовой работы раскрыты понятие и система показателей финансовых результатов деятельности организации.

В процессе написания курсовой работы было установлено, что финансовый результат деятельности предприятий в конечном итоге характеризуется показателями прибыли (убытка).

Прибыль - это часть чистого дохода, созданного в процессе производства и реализованного в сфере обращения. Она:

♦ характеризует финансовый результат предпринимательской деятельности;

♦ является основой экономического развития организации;

♦ наиболее полно отражает эффективность производства, объем и качество произведенной продукции, состояние производительности труда, уровень себестоимости.

Прибыль оказывает стимулирующее воздействие на укрепление коммерческого расчета, интенсификацию производства при любой форме собственности. Рост прибыли создает финансовую базу для самофинансирования, расширенного воспроизводства, решения социальных проблем, удовлетворения материальных потребностей трудовых коллективов. За счет прибыли выполняются обязательства организации перед бюджетом, банками и другими организациями. Показатели прибыли характеризуют степень деловой активности и финансового благополучия. По прибыли определяются уровень отдачи авансированных средств и доходность вложений в активы.

Система показателей финансовых результатов включает в себя не только абсолютные (прибыль), но и относительные показатели (рентабельность) эффективности использования. Чем выше уровень рентабельности, тем выше эффективность хозяйствования.

Основными показателями финансовых результатов предприятия являются: 1) валовая прибыль; 2) прибыль от продаж; 3) прибыль до налогообложения; 4)чистая прибыль, 5)рентабельность продаж.

Также, в первой главе курсовой работы составлена схема формирования основных показателей прибыли. Из данной схемы видно, что на изменения валовой прибыли оказывают влияние изменения выручки от продаж и себестоимости продукции. На прибыль от продаж оказывают влияние изменения валовой прибыли, а также коммерческих и управленческих расходов. Прибыль до налогообложения изменяется под влиянием изменения прочих доходов и расходов и прибыли от продаж. Чистая прибыль зависит изменения всех вышеназванных факторов и суммы налога на прибыль. Данная схема лежит в основе факторного анализа основных показателей прибыли организации

Информационной базой анализа финансовых результатов являются данные бухгалтерской отчетности организации - основная информация которая, дает полное представление о текущей эффективности деятельности предприятия. В основном необходимы данные «отчета о прибылях и убытках». При анализе финансовых результатов организация, как правило, использует только внутренние источники информации. Но также при анализе финансовых результатов предприятие может использовать данные органов статистики, данные о ценах на продукцию, об их изменениях и другие необходимые данные, которые не относятся к внутренним источникам.

В международной практике источниками анализа финансовых результатов являются отчет о финансовом состоянии на конец периода и отчет о совокупном доходе за период. Следует отметить, что по МСФО финансовая отчетность более ориентирована на удовлетворение информационных потребностей широкого круга пользователей для принятия экономических решений, чем отчетность в РСБУ.

Во второй главе данной курсовой работы были рассмотрены основные методики показателей прибыли от основной деятельности, прибыли от прочих видов деятельности, чистой прибыли и рентабельности.

В ходе анализа показателей прибыли от основной деятельности было выявлено, что в отчетном периоде величина валовой прибыли и прибыли от продаж сократились. Для выявления причин данного снижения были проведены факторные анализы данных показателей прибыли. В результате факторного анализа выяснилось, что причиной снижения, например, прибыли от продаж стало снижение объемов реализации, повышение себестоимости продукции, а также рост коммерческих и управленческих расходов. Данный анализ проводился по методикам разных авторов. Различаются данные методики составом и количеством факторов влияющих на прибыль от продаж, а также при варианте анализа, предложенного в учебнике Ефимовой О.В. используются только внутренние источники информации. При варианте анализа представленного в учебнике Донцовой Л.В. используются не только внутренние источники, но и данные об изменениях цен.

Факторный анализ рентабельности по основным видам деятельности показал, что основное влияние на уменьшение рентабельности оказало увеличение себестоимости продукции и управленческих расходов в анализируемом периоде.

Анализ финансовых результатов от прочих видов деятельности сводится в основном к изучению динамики и причин полученных убытков и прибыли по каждому конкретному случаю. В ходе анализа выяснилось, что на величину прибыли от прочих видов негативно влияет увеличение прочих операционных и внереализационных расходов.

Основная задача анализа распределения и использования прибыли состоит в выявлении тенденций и пропорций, сложившихся, в распределении прибыли за отчетный год по сравнению с прошлым годом. В процессе анализа необходимо изучить динамику и выполнение плана по использованию чистой прибыли, для чего фактические данные об использовании прибыли по всем направлениям сравнивают сданными бюджета и прошлых лет, после чего выясняют причины отклонения от бюджета по каждому направлению использования прибыли.

Направления использования чистой прибыли определяются организацией самостоятельно. Чистая прибыль используется в соответствии с уставом предприятия. За счет ее создается резервный капитал; производятся выплаты дивидендов, выплаты работникам (в доле, утвержденной акционерным собранием), перечисления на благотворительные и иные цели.

Чистая прибыль является основой развития экономики организации

Таким образом, анализ финансовых результатов, правильное понимание и использование результатов данного анализа руководителями, менеджерами инвесторами и конкурентами позволяет выявить возможности улучшения финансового положения организации и по результатам расчетов принять экономически обоснованные решения.

Список использованной литературы:

1.   Гражданский кодекс Российской Федерации: Части первая, вторая, третья и четвертая (по состоянию на 25 июня 2009г.). - М.: Издательство Юрайт, 2009. - 589 с. - (Правовая библиотека).

.     Положение по бухгалтерскому учету (ПБУ 9/99) «Доходы организации», утвержденное приказом Министерства финансов № 32н от 06.05.99.

3.      Положение по бухгалтерскому учету (ПБУ 10/99) «Расходы организации», утвержденное приказом Министерства финансов № 33н от 06.05.99.

.        Ларионов А.Д., Нечитайло А.И. Бухгалтерский и налоговый учет финансовых результатов. - СПб.: Издательство «Юридический центр Пресс», 2002. - 318 с.

5. Ковалев В.В., Волкова О.Н.. Анализ хозяйственной деятельности предприятия. Учебник. - M.: OOO «ТКВелби», 2002. - 424 с.

6.      Мельник М.В. и Ефимова О.В. Финансовый анализ : М.: бухгалтерский учет, 2002.

7.   Селезнева Н.Н., Ионова А.Ф. Финансовый анализ. Управление финансами: Учеб. пособие для вузов. - 2-е изд., перераб. и доп. - М.: ЮНИТИ-ДАНА, 2006. - 638 с.

8.      Чуев И.Н., Чуева Л.Н. Комплексный экономический анализ хозяйственной деятельности: Учебник для вузов.- 2-е изд., перераб. и до. - М.: Издательско-торговая корпорация «Дошков и К˚», 2007. - 368 с.

.        Шеремет А.Д. Комплексный анализ хозяйственной деятельности. - М.: ИНФРА-М, 2006. - 415 с. - (Высшее образование).

.        Анализ финансовой отчетности: уч.- Донцова Л.В.-М.: Дело и сервис, 2008.

.        Комплексный экономический анализ предприятия / Под ред. Н.В. Войтоловского, А.П. Калининой, И.И. Мазуровой. - СПб.: Питер, 2010. - 576 с.: ил. - (Серия «Учебник для вузов»).

12. Методология и методика экономического анализа в системе управления коммерческой организацией: монография / В.Г. Когденко. - М.: ЮНИТИ-ДАНА, 2008. - 543 с.

.     Финансовый анализ: учебник / Л.С. Васильева, М.В. Петровская. - М.: КНОРУС, 2006. - 544 с.

14.    Экономический анализ: торговля, общественное питание, туристический бизнес: учеб. пособие для студентов вузов, обучающихся по экономическим специальностям / В.А. Чернов; под ред. М.И. Баканова. - 2-е изд., перераб. и доп. - М.: ЮНИТИ-ДАНА, 2009. - 639 с.

15. Экономический анализ: Основы теории. Комплексный анализ хозяйственной деятельности организации: Учебник / Под ред. Н.В. Войтоловского, А.П. Калининой, И.И. Мазуровой. - М.: Высшее образование, 2005. - 509 с.

16. Андрюхина Н.В. Комплексный экономический анализ. Раздел «Финансовый анализ»: задания для практических занятий.- Тверь: изд-во твер. гос. Ун-т,2006.- 36 с.

.     Матвейчева Е.В., Вишнинская Г.Н.. «Традиционный подход к оценке финансовых результатов деятельности предприятия (на примере ЗАО "Уралсельэнергопроект")» //Аудит и финансовый анализ.- 2000г. - №1.

Похожие работы на - Анализ финансовых результатов деятельности организации

 

Не нашли материал для своей работы?
Поможем написать уникальную работу
Без плагиата!
Без нейросетей!