Анализ финансовой отчетности ОАО 'Хлебозавод №1'
Курсовая
работа
по
дисциплине «Анализ финансовой отчетности»
на
тему: Анализ финансовой отчетности ОАО «Хлебозавод №1»
Содержание
Введение
. Горизонтальный
и вертикальный анализ баланса предприятия
. Анализ
актива и пассива бухгалтерского баланса
. Анализ
платежеспособности и ликвидности предприятия
. Анализ
финансовой устойчивости предприятия
. Анализ
денежных потоков
. Анализ
дебиторской и кредиторской задолженностей
. Анализ
эффективности использования оборотных средств
. Анализ
эффективности использования основных производственных фондов
. Анализ
состояния и движения капитала
. Анализ
прибыли
. Анализ
показателей рентабельности
. Оценка
кредитоспособности предприятия
Заключение
Список
использованных источников
Введение
Экономический анализ - это научный способ
познания сущности экономических явлений и процессов, основанный на разделении
их на составные части и изучении их во всем многообразии связей и зависимостей.
Экономический анализ финансово-хозяйственной
деятельности - объективно необходимый элемент управления организацией, этап
управленческой деятельности, система специальных знаний, связанных с
исследованием тенденций хозяйственного развития, научным обоснованием планов,
управленческих решений, контролем за их выполнением, оценкой достигнутых
результатов, поиском, измерением и обоснованием величины хозяйственных резервов
повышения эффективности производства и разработкой мероприятий по их
использованию [4].
Главная цель анализа - своевременно выявлять и
устранять недостатки в финансовой деятельности и находить резервы улучшения
финансового состояния предприятия и его платежеспособности.
Целью данной курсовой работы является
формирование объективного мнения и достоверной оценки финансового положения
организации, ее платежеспособности и финансовой устойчивости.
Для достижения данной цели, я буду анализировать
финансовую отчетность Воронежского хлебозавода №1.
Воронежский хлебозавод №1 расположен на улице Ф.
Энгельса в центре города. Он был основан в 1929г. в помещении бывшей мельницы.
Первоначально завод был оборудован 7 печами ХВ. Оборудование
тестоприготовительного цеха составляли тестомесильные машины ХТШ и подкатные
дежи ХДШ. Во время войны завод был разрушен, а затем в 1943г. восстановлен.
Печи ХВ были заменены печами ХВЛ на 55 люлек. В 1955г. на заводе был впервые
смонтирован расстойно-печной агрегат, в тестоприготовительном отделении
установлено 7 безопарных агрегатов ХТР. В последующем подвергся реконструкции
дрожжевой цех, введены частичная автоматизация и механизация. С 1986г. начали
выпускать кондитерские изделия. Была установлена линия по выработке печенья
овсяного и ромовой бабы.
С 1987г. хлебозавод начал выпускать новые сорта
хлеба: дарницкий, белый I
сорта, белый II сорта.
С 1994г. запущена линия по выработке батонов, а
в мае 1998г. окончена установка второй такой же линии с печью ФТЛ-2. В
настоящее время на предприятии установлены и работают 3 мини пекарни. На
хлебозаводе идет постоянное внедрение новых видов продукции.
Освоены два полуавтомата по упаковке изделий, планируется
внедрить еще три. Упаковываются булочные и сдобные изделия.
Ассортимент изделий, выпускаемых на АО
«Хлебозавод №1»: хлеб «Дарницкий», хлеб «Украинский», хлеб белый из пшеничной
муки I сорта, хлеб
«Аппетитный», хлеб «Сельский», хлеб «Любительский», хлеб «Ржаной
диабетический», хлеб «Йодированный», хлеб «Горчичный», батон «Подмосковный» из
муки в/с, батон «Молочный нарезной» пшеничная мука в/с, батон «Нарезной»
пшеничная мука в/с, батон «Нарезной» пшеничная мука I
сорта, батон с изюмом, батон «Любительский», батон «Ситный», батон «Нива»,
батон «Облепиховый», батон к чаю из муки в/с, булка городская из муки I
сорта, булочка с корицей, рулетик с маком, рулетик с повидлом, плюшка русская с
маком, «Ромовая баба», печенье «Овсяное новое», печенье «Овсяно - фруктовое»,
печенье «Российское», печенье «Зарница», пряник «Комсомольский», пряник
«Северный», восточные сладости типа мягких конфет «Неженка».
Необходимо сказать, что предприятие занимает не
большую площадь, на которой размещаются: склад БХМ, мастерские, автомобильный
парк, проходная, здание основного корпуса и администрации (отдельно), магазин
для продажи горячего хлеба.
1. Горизонтальный и вертикальный анализ
баланса предприятия
Вертикальный (структурный) финансовый анализ
базируется на структурном разложении отдельных показателей финансовой
отчетности предприятия. В процессе осуществления этого анализа рассчитывается
удельный вес отдельных структурных составляющих агрегированных финансовых
показателей.
Данный анализ проводится на предприятиях в целях
определения структуры итоговых финансовых показателей, то есть выявления
удельного веса отдельных статей отчетности в общем итоговом показателе.
Позволяет получить представление о структуре важнейших итоговых сумм финансовой
отчетности [4].
Вертикальный анализ АО «Хлебозавод №1»
представлен в таблице 1.
Таблица 1 - Вертикальный анализ баланса
|
Наименование
статей
|
Коды
строк
|
Абсолютные
величины, тыс.р.
|
Относительные
величины, %
|
|
|
На
начало года
|
На
конец года
|
Изменение
(+,-)
|
На
начало года
|
На
конец года
|
Изменение
(+,-)
|
В
% к величине на начало года
|
В
% к изменению итога баланса
|
|
1
|
2
|
3
|
4
|
5
|
6
|
7
|
8
|
9
|
10
|
|
Актив
|
|
|
Основные
средства
|
1150
|
25723
|
24334
|
-1389
|
38,57
|
37,86
|
-0,71
|
-5,4
|
57,44
|
|
Финансовые
вложения
|
1170
|
10316
|
10316
|
0
|
15,47
|
16,05
|
0,58
|
0
|
0
|
|
Отложенные
налоговые активы
|
1180
|
913
|
851
|
-62
|
1,369
|
1,32
|
-0,04
|
-6,79
|
2,56
|
|
Запасы
|
1210
|
12464
|
13471
|
1007
|
18,69
|
20,96
|
2,27
|
8,08
|
-41,65
|
|
Дебиторская
задолженность
|
1230
|
14721
|
12274
|
-2447
|
22,07
|
19,09
|
-2,98
|
-16,6
|
101,2
|
|
Денежные
средства и денежные эквиваленты
|
1250
|
2561
|
3034
|
473
|
3,84
|
4,72
|
0,88
|
18,5
|
-19,56
|
|
Баланс
|
1600
|
66698
|
64280
|
-2418
|
100
|
100
|
0
|
-
|
100
|
|
Пассив
|
|
|
Уставный
капитал
|
1310
|
3256
|
3256
|
0
|
4,88
|
5,07
|
0,18
|
0
|
0
|
|
Переоценка
внеоборотных активов
|
1340
|
4594
|
4594
|
0
|
6,89
|
7,15
|
0,26
|
0
|
0
|
|
Резервный
капитал
|
1360
|
163
|
163
|
0
|
0,24
|
0,25
|
0,01
|
0
|
0
|
|
Нераспределенная
прибыль
|
1370
|
40986
|
44684
|
3698
|
61,5
|
69,5
|
8,06
|
9,02
|
-153
|
|
Отложенные
налоговые обязательства
|
1420
|
207
|
215
|
8
|
0,31
|
0,33
|
0,02
|
3,86
|
-0,33
|
|
Кредиторская
задолженность
|
1520
|
13217
|
7522
|
-5695
|
19,8
|
11,7
|
-8,11
|
-43,1
|
236
|
|
Оценочные
обязательства
|
1540
|
4275
|
3846
|
-429
|
6,41
|
5,98
|
-0,43
|
-10
|
17,7
|
|
Баланс
|
1700
|
66698
|
64280
|
-2418
|
100
|
100
|
0
|
-
|
100
|
Вертикальный анализ актива и пассива показал
удельный вес каждой статьи баланса в его общем итоге. Наибольший вес в активе
имеют дебиторская задолженность, основные средства, наименьший - запасы и
денежные средства. В пассиве баланса наибольший вес имеет кредиторская
задолженность, наименьший - нераспределенная прибыль.
Горизонтальный (трендовый) финансовый анализ
базируется на изучении отдельных финансовых показателей во времени. В процессе
использования этой системы анализа рассчитываются темпы роста (прироста)
отдельных показателей финансовой отчетности за ряд периодов и определяются
общие тенденции их изменения.
Горизонтальный анализ заключается в построении
одной или нескольких аналитических таблиц, в которых абсолютные балансовые
показатели дополняются относительными темпами роста (снижения) [4].
Горизонтальный анализ АО «Хлебозавод №1»
представлен в таблице 2.
Таблица 2 - Горизонтальный анализ баланса
|
Наименование
статей
|
На
начало года
|
На
конец года
|
Изменение
(+,-)
|
Темп
роста, %
|
|
тыс.р.
|
%
|
тыс.р.
|
%
|
тыс.р.
|
%
|
|
|
1
|
2
|
3
|
4
|
5
|
6
|
7
|
8
|
|
Актив
|
|
|
Основные
средства
|
25723
|
38,6
|
24334
|
37,86
|
-1389
|
-0,71
|
94,6
|
|
Финансовые
вложения
|
10316
|
15,5
|
10316
|
16,05
|
0
|
0,58
|
100
|
|
Отложенные
налоговые активы
|
913
|
1,37
|
851
|
1,324
|
-62
|
-0,04
|
93,21
|
|
Запасы
|
12464
|
18,7
|
13471
|
20,96
|
1007
|
2,27
|
108,1
|
|
Дебиторская
задолженность
|
14721
|
22,1
|
12274
|
19,09
|
-2447
|
-2,98
|
83,38
|
|
Денежные
средства и денежные эквиваленты
|
2561
|
3,84
|
3034
|
4,72
|
473
|
0,88
|
118,5
|
|
Баланс
|
66698
|
100
|
64280
|
100
|
-2418
|
0
|
96,37
|
|
Пассив
|
|
|
Уставный
капитал
|
3256
|
4,88
|
3256
|
5,07
|
0
|
0,18
|
100
|
|
Переоценка
внеоборотных активов
|
4594
|
6,89
|
4594
|
7,15
|
0
|
0,26
|
100
|
|
Резервный
капитал
|
163
|
0,24
|
163
|
0,25
|
0
|
0,01
|
100
|
|
Нераспределенная
прибыль
|
40986
|
61,5
|
44684
|
69,5
|
3698
|
8,06
|
109
|
|
Отложенные
налоговые обязательства
|
207
|
0,31
|
215
|
0,33
|
8
|
0,02
|
103,9
|
|
Кредиторская
задолженность
|
13217
|
19,8
|
7522
|
11,7
|
-5695
|
-8,11
|
56,91
|
|
Оценочные
обязательства
|
4275
|
6,41
|
3846
|
5,98
|
-429
|
-0,43
|
89,96
|
|
Баланс
|
100
|
64280
|
100
|
-2418
|
0
|
96,37
|
Горизонтальный анализ показал темп роста
(снижения) балансовых показателей. Запасы, денежные средства, нераспределенная
прибыль, отложенные налоговые обязательства имеют значение больше 100, значит
на предприятии наблюдается их прирост. Темп снижения имеют основные средства,
отложенные налоговые активы, дебиторская и кредиторская задолженность,
оценочные обязательства.
. Анализ актива и пассива бухгалтерского баланса
Актив баланса содержит сведения о размещении
капитала, имеющегося в распоряжении предприятия, то есть о вложении его в
конкретное имущество и материальные ценности, о расходах предприятия на
производство и реализацию продукции и об остатках денежной наличности.
Главным признаком группировки статей актива
баланса считается степень их ликвидности. По этому признаку все активы баланса
подразделяются на долгосрочные и текущие [11].
Таблица 3 - Состав и структура актива
|
Показатели
|
На
начало года
|
На
конец года
|
Абсолютное
отклонение
|
|
тыс.р.
|
%
|
тыс.р.
|
%
|
тыс.р.
|
%
|
|
I Внеоборотные
активы
|
|
|
|
|
|
|
|
Основные
средства
|
25723
|
38,57
|
24334
|
37,86
|
-1389
|
-0,71
|
|
Финансовые
вложения
|
10316
|
15,47
|
10316
|
16,05
|
0
|
0,58
|
|
Отложенные
налоговые активы
|
913
|
1,37
|
851
|
1,32
|
-62
|
-0,04
|
|
Итого
по разделу I
|
36952
|
55,4
|
35501
|
55,23
|
-1451
|
-0,17
|
|
II Оборотные активы
|
|
|
|
|
|
|
|
Запасы
|
12464
|
18,69
|
13471
|
20,96
|
1007
|
2,27
|
|
Дебиторская
задолженность
|
14721
|
22,07
|
12274
|
19,09
|
-2447
|
-2,98
|
|
Денежные
средства и денежные эквиваленты
|
2561
|
3,84
|
3034
|
4,72
|
473
|
0,88
|
|
Итого
по разделу II
|
29746
|
44,6
|
28779
|
44,77
|
-967
|
0,17
|
|
Баланс
|
66698
|
100
|
64280
|
100
|
-2418
|
0
|
Анализ актива показал, что в целом по
внеоборотным активам наблюдается снижение показателей. В оборотных активах
запасы и денежные средства возросли, по сравнению с предыдущим периодом, а
дебиторская задолженность уменьшилась. В общем, анализируя активы предприятия
можно сказать об их снижении в отчетном периоде по сравнению с предыдущим.
Сведения, которые приводятся в пассиве баланса,
позволяют определить, какие изменения произошли в структуре собственного и
заемного капитала, сколько привлечено в оборот предприятия долгосрочных и
краткосрочных заемных средств, то есть пассив показывает, откуда взялись
средства, кому обязано за них предприятие.
Финансовое состояние предприятия во многом
зависит от того, какие средства оно имеет в своем распоряжении и куда они
вложены. По степени принадлежности используемый капитал подразделяется на
собственный и заемный [11].
Анализ структуры пассива и динамики представлен
в таблице 4.
Таблица 4 - Состав и структура пассива
|
Показатели
|
На
начало года
|
На
конец года
|
Абсолютное
отклонение
|
|
тыс.р.
|
%
|
тыс.р.
|
%
|
тыс.р.
|
%
|
|
III Капитал и
резервы
|
|
|
|
|
|
|
|
Уставный
капитал
|
3256
|
4,88
|
3256
|
5,07
|
0
|
0,18
|
|
Переоценка
внеоборотных активов
|
4594
|
6,89
|
4594
|
7,15
|
0
|
0,26
|
|
Резервный
капитал
|
163
|
0,24
|
163
|
0,25
|
0
|
0,01
|
|
Нераспределенная
прибыль
|
40986
|
61,5
|
44684
|
69,5
|
3698
|
8,06
|
|
Итого
по разделу III
|
48999
|
73,5
|
52697
|
82
|
3698
|
8,52
|
|
IV Долгосрочные
обязательства
|
|
|
|
|
|
|
|
Отложенные
налоговые обязательства
|
207
|
0,31
|
215
|
0,33
|
8
|
0,02
|
|
Итого
по разделу IV
|
207
|
0,31
|
215
|
0,33
|
8
|
0,02
|
|
V Краткосрочные
обязательства
|
|
|
|
|
|
|
|
Кредиторская
задолженность
|
13217
|
19,8
|
7522
|
11,7
|
-5695
|
-8,11
|
|
Оценочные
обязательства
|
4275
|
6,41
|
3846
|
5,98
|
-429
|
-0,43
|
|
Итого
по разделу V
|
17492
|
26,2
|
11368
|
17,7
|
-6124
|
-8,54
|
|
Баланс
|
66698
|
100
|
64280
|
100
|
-2418
|
0
|
Анализируя пассивы, можно сказать, что капитал и
резервы, а также долгосрочные обязательства в отчетном периоде возросли, а
краткосрочные обязательства снизились. В целом, баланс предприятия снизился на
2418 тыс.р., в основном из-за краткосрочных обязательств.
. Анализ платежеспособности и ликвидности
предприятия
Ликвидность - это способность активов
предприятия принимать денежную форму по той стоимости, которая зафиксирована в
балансе, а степень ликвидности определяется продолжительностью периода, в
течение которого осуществляется трансформация активов в денежные средства [7].
Активы классифицируют следующим образом:
А1 (наиболее ликвидные активы) - суммы по всем
статьям денежных средств, которые могут быть использованы для выполнения
текущих расчетов немедленно. Сюда включают денежные средства и краткосрочные
финансовые вложения. - А2 (быстро реализуемые активы) - активы, для обращения
которых в наличные средства требуется определенное время. В эту группу относят
дебиторскую задолженность со сроком погашения менее одного года. - А3 (медленно
реализуемые активы) - складываются из запасов, НДС, прочих оборотных активов и
дебиторской задолженности со сроком погашения более одного года.
А4 (трудно реализуемые активы) - активы, которые
предназначены для использования в хозяйственной деятельности в течение
относительно продолжительного периода, это сумма внеоборотных активов.
Пассивы группируют следующим образом:
П1 (наиболее срочные обязательства) - это сумма
кредиторской задолженности.
П2 (краткосрочные пассивы) - краткосрочные
кредиты и займы, задолженность участников по выплате доходов и прочие
краткосрочные обязательства.
П3 (долгосрочные пассивы) - долгосрочные
обязательства, доходы будущих периодов и резервы предстоящих расходов и
платежей.
П4 (постоянные пассивы) - капитал и резервы [2].
Анализ ликвидности предприятия осуществляется с
привлечением агрегированного баланса. Для этого объединяют активы - по убыванию
степени их ликвидности, а пассивы - по возрастанию сроков погашения
обязательств. Расчет агрегированного баланса представлен в таблице 5.
Таблица 5 - Агрегированный баланс предприятия
для оценки ликвидности
|
Агрегированные
статьи
|
Значение
на начало года, тыс.р.
|
Значение
на конец года, тыс.р.
|
Агрегированные
статьи
|
Значение
на начало года, тыс.р.
|
Значение
на конец года, тыс.р.
|
|
А1
|
2561
|
3034
|
П1
|
13217
|
7522
|
|
А2
|
14721
|
12274
|
П2
|
4275
|
3846
|
|
А3
|
12464
|
13471
|
П3
|
207
|
215
|
|
А4
|
36952
|
35501
|
П4
|
48999
|
52697
|
Для абсолютной ликвидности баланса должна
выполняться система неравенств:
А1≥П1;
А2≥П2;
А3≥П3;
А4≤П4.
На начало года:
≤ 13217;
≥4275;
≥207;
≤48999.
На конец года:
≤7522;
≥3846;
≥ 215;
≤52697.
В отчетном и предыдущем периоде первое
неравенство не выполняется, это говорит о том, что баланс не является абсолютно
ликвидным, у организации не хватает денежных средств для покрытия кредиторской
задолженности. Анализ финансового состояния предприятия осуществляется на
основе расчетов коэффициентов ликвидности, платежеспособности, капитализации и
их сравнения с нормативными значениями. Расчет финансовых коэффициентов
представлен в таблице 6.
Таблица 6 - Финансовые коэффициенты
|
Показатели
|
Расчет
|
Значение,
тыс.р.
|
Норм.
знач.
|
Отклонение
|
|
|
Пред.
период
|
Отч.
период
|
|
Абс.
|
TR, %
|
|
1
|
2
|
3
|
4
|
5
|
6
|
7
|
|
Коэффициенты
капитализации
|
|
1 Коэффициент
независимости
|
|
0,73
|
0,82
|
>0,3
|
0,09
|
112,33
|
|
2
Доля заемных средств в стоимости имущества
|
|
0,26
|
0,18
|
<0,7
|
-0,08
|
69,23
|
|
3
Коэффициент задолженности
|
|
2,77
|
4,55
|
|
1,78
|
164,26
|
|
4
Доля дебиторской задолженности в стоимости имущества
|
|
0,22
|
0,19
|
|
-0,03
|
86,35
|
|
Коэффициенты
ликвидности
|
|
1
Коэффициент абсолютной ликвидности
|
|
0,15
|
0,27
|
>0,1
|
0,12
|
180
|
|
2
Коэффициент промежуточной ликвидности
|
|
0,98
|
1,35
|
>0,8
|
0,37
|
137,75
|
|
3
Коэффициент покрытия
|
|
1,7
|
2,53
|
>2
|
0,83
|
148,8
|
|
Показатели
деловой активности
|
|
|
1
Коэффициент оборачиваемости
|
|
4,9
|
4,97
|
|
0,07
|
101,4
|
|
|
2
Оборачиваемость запасов
|
|
26,25
|
23,73
|
|
-2,52
|
90,4
|
|
|
3
Оборачиваемость собственных оборотных средств
|
|
27,15
|
18,59
|
|
-8,56
|
68,47
|
|
|
4
Коэффициент обеспеченности собственными оборотными средствами
|
|
0,4
|
0,6
|
>0,1
|
0,2
|
150
|
|
|
|
|
|
|
|
|
|
|
|
|
|
|
Общий показатель платежеспособности:
≥1
=0,88
=1,39
Вывод: Исследуя финансовые коэффициенты, можно
сказать о том, что предприятие в целом является платежеспособным. Коэффициент
независимости имеет значение больше нормального, значит, предприятие имеет
высокую долю собственных средств в стоимости имущества. Коэффициенты
ликвидности в отчетном периоде имеют значения выше нормы, это говорит о том,
что в ближайшее время предприятие может погасить краткосрочную задолженность,
также, если предприятие своевременно проведет расчеты с дебиторами, оно повысит
свои платежные возможности. Коэффициент обеспеченности собственными оборотными
средствами показал наличие у организации собственных оборотных средств,
необходимых для текущей деятельности.
В целом, оборачиваемость собственных оборотных
средств, запасов, доля дебиторской задолженности в стоимости имущества и доля
заемных средств в стоимости имущества в отчетном периоде имеют меньшее
значение, чем в предыдущем, наблюдается их снижение. Значительнее остальных
возросли коэффициент обеспеченности собственными оборотными средствами,
коэффициент абсолютной ликвидности и коэффициент задолженности.
Общий показатель платежеспособности в отчетном
периоде имеет значение 1,39, значит предприятие платежеспособно по сравнению с
предыдущим периодом, когда показатель был 0,88.
баланс платежеспособность рентабельность прибыль
4. Анализ финансовой устойчивости предприятия
Финансовая устойчивость отражает финансовое
состояние организации, при котором оно способно за счет рационального
управления материальными, трудовыми и финансовыми ресурсами создать такое
превышение доходов над расходами, при котором достигается стабильный приток
денежных средств, позволяющий предприятию обеспечить его текущую и долгосрочную
платежеспособность, а также удовлетворить инвестиционные ожидания
собственников. Анализ финансовой устойчивости проводится для выявления
платежеспособности предприятия - способности предприятия рассчитываться по
платежам для обеспечения процесса непрерывного производства. Финансовая
устойчивость определяется показателем обеспеченности запасов предприятия
собственными и заемными источниками формирования основных и оборотных
производственных фондов. В соответствии с обеспеченностью запасов и затрат собственными
и заемными источниками формирования различают следующие типы финансовой
устойчивости:
Абсолютная устойчивость финансового состояния
отражает ситуацию, когда все запасы полностью покрываются собственными
оборотными средствами, то есть организация совершенно не зависит от внешних
кредиторов. S={1;1;1}
Нормальная устойчивость финансового состояния
организации отражает наличие источников формирования запасов, величина которых
рассчитывается как сумма собственных оборотных средств, ссуд банка, займов,
используемых для покрытия запасов, и кредиторской задолженности по товарным
операциям. S={0;1;1}
Неустойчивое финансовое состояние сопряжено с
нарушением платежеспособности, при котором организация для покрытия части своих
запасов вынуждена привлекать дополнительные источники покрытия.S={0;0;1}
Кризисное финансовое состояние характеризуется
ситуацией, при которой организация находится на грани банкротства, поскольку в
данной ситуации денежные средства, краткосрочные ценные бумаги и дебиторская
задолженность организации не покрывают даже его кредиторской задолженности и
просроченных ссуд. S={0;0;0}
По типу финансовой устойчивости и его изменению
можно судить о надежности организации с точки зрения платежеспособности [4].
Для определения типа финансовой устойчивости
предприятия, необходимо произвести динамику обеспеченности запасов и затрат
предприятия финансовыми источниками, расчет представлен в таблице 7.
Таблица 7 - Динамика обеспеченности запасов и
затрат предприятия финансовыми источниками
|
Показатели
|
Условные
обозначения
|
Значение,
тыс.р.
|
Абсолютное
отклонение
|
|
|
Предыд.год
|
Отчетный
год
|
|
|
1
|
2
|
3
|
4
|
5
|
|
1
Собственные источники оборотных средств
|
СИ
|
48999
|
52697
|
3698
|
|
2
Внеоборотные активы
|
ВА
|
36952
|
35501
|
-1451
|
|
3
Наличие собственных оборотных средств
|
СОС
|
12047
|
17196
|
5149
|
|
4
Долгосрочные пассивы
|
ДП
|
207
|
215
|
8
|
|
5
Наличие собственных и долгосрочных источников формирования запасов и затрат
|
СД
|
12254
|
17411
|
5157
|
|
6
Краткосрочные заемные средства
|
КЗС
|
17492
|
11368
|
-6124
|
|
7
Общая величина источников формирования запасов и затрат
|
ОИ
|
29746
|
28779
|
-967
|
|
8
Запасы
|
З
|
12464
|
13474
|
1010
|
|
9
Трехкомпонентный показатель
|
S
|
0;0;1
|
1;1;1
|
|
В предыдущем периоде у предприятия было
неустойчивое финансовое положение, однако, в отчетном периоде у предприятия
абсолютно устойчивое финансовое состояние, что характеризуется полным
обеспечением запасов и затрат собственными оборотными средствами. Предприятие
не зависит от кредиторов, наблюдается высокая платежеспособность.
. Анализ денежных потоков
Денежный поток организации представляет собой
совокупность распределенных во времени поступлений и выплат денежных средств,
создаваемых его хозяйственной деятельностью.
На практике самой распространенной является
классификация денежных потоков по видам хозяйственной деятельности:
) текущая деятельность - деятельность
организации, преследующая извлечение прибыли в качестве основной цели
производства продукции, выполнение работ, оказание услуг;
) инвестиционная деятельность - деятельность
организации, связанная с капитальными вложениями во внеоборотные активы, а
также с их продажей, осуществлением долгосрочных финансовых вложений в другие
организации, выпуском ценных бумаг долгосрочного характера;
) финансовая деятельность - деятельность
организации, связанная с осуществлением краткосрочных финансовых вложений,
выпуском ценных бумаг краткосрочного характера, погашением ранее приобретенных
краткосрочных облигаций и т. п.
Анализ движения денежных средств можно проводить
прямым и косвенным методами.
При использовании прямого метода сопоставляются
абсолютные суммы поступления и расходования денежных средств по видам
деятельности.
Анализ денежных средств прямым методом дает
возможность оценить ликвидность предприятия, так как детально раскрывает
движение денежных средств на его счетах и позволяет делать оперативные выводы
относительно достаточности средств для платежей по текущим обязательствам, для
инвестиционной деятельности и дополнительных выплат. Информация, полученная при
использовании данного метода, применяется при прогнозировании денежных потоков.
Одно из главных направлений анализа денежных
потоков - обоснование степени достаточности (недостаточности) формирования
объема денежной массы в целом, а также по видам деятельности,
сбалансированности положительного и отрицательного денежных потоков по объему и
во времени. Этому способствует анализ денежных потоков прямым методом. Однако
этот метод имеет серьезный недостаток, потому что он не раскрывает взаимосвязи
полученного финансового результата и изменения денежных средств на счетах
предприятия.
Косвенный метод предполагает корректировку
чистой прибыли (убытка) для преобразования величины полученного финансового
результата в величину чистого денежного потока. Для этого следует установить
влияние изменений по каждой статье активов и пассивов бухгалтерского баланса на
состояние денежных средств предприятия и его чистой прибыли [13].
Движение денежных средств ОАО «Хлебозавод №1»
прямым и косвенным методами представлены в таблицах 8 и 9.
Таблица 8 - Движение денежных средств
предприятия (прямой метод)
|
Наименование
показателя
|
Отчетный
год
|
Прошлый
год
|
Отклонение
|
|
Сумма,
тыс. р.
|
Удельный
вес, %
|
Сумма,
тыс. р.
|
Удельный
вес, %
|
Тыс.
р.
|
%
|
|
1
|
2
|
3
|
4
|
5
|
6
|
7
|
|
Остаток
денежных средств на начало года
|
2561
|
-
|
4078
|
-
|
(1517)
|
-
|
|
1
Движение денежных средств по текущей деятельности:
|
|
1.1
Поступления:
|
366134
|
99,96
|
350503
|
99,97
|
15631
|
(0,01)
|
|
От
продажи продукции, товаров, работ и услуг
|
365469
|
99,78
|
349983
|
99,82
|
15486
|
(0,04)
|
|
Прочие
поступления
|
665
|
0,18
|
520
|
0,15
|
145
|
0,03
|
|
1.2
Платежи:
|
(362769)
|
(99,16)
|
(347979)
|
(98,803)
|
14790
|
0,357
|
|
Поставщикам
за сырье, материалы, работы
|
(217595)
|
(59,48)
|
(200765)
|
(57)
|
16830
|
2,48
|
|
В
связи с оплатой труда работников
|
(90092)
|
(24,63)
|
(90357)
|
(25,66)
|
(265)
|
(1,03)
|
|
|
Налог
на прибыль
|
(300)
|
(0,08)
|
(9)
|
(0,003)
|
291
|
0,077
|
|
|
Прочие
платежи
|
(54782)
|
(14,97)
|
(56848)
|
(16,14)
|
(2066)
|
(1,17)
|
|
|
1.3
Сальдо денежных потоков от текущих операций
|
3365
|
0,8
|
2524
|
1,167
|
841
|
(0,367)
|
|
|
2
Движение денежных средств по инвестиционной деятельности
|
|
|
2.1
Поступления:
|
127
|
0,04
|
112
|
0,03
|
15
|
0,01
|
|
|
От
продажи внеоборотных активов
|
127
|
0,04
|
112
|
0,03
|
15
|
0,01
|
|
|
2.2
Платежи:
|
(3019)
|
(0,84)
|
(4153)
|
(1,18)
|
(1134)
|
(0,34)
|
|
|
В
связи с приобретением, созданием, модернизацией, реконструкцией и подготовкой
к использованию внеоборотных активов
|
(3019)
|
(0,84)
|
(4153)
|
(1,18)
|
(1134)
|
(0,34)
|
|
|
2.3
Сальдо денежных потоков от инвестиционных операций
|
(2892)
|
(0,8)
|
(4041)
|
(1,15)
|
(1149)
|
(0,35)
|
|
|
Сальдо
денежных потоков за отчетный период
|
473
|
0
|
(1517)
|
0
|
(1044)
|
0
|
|
|
Остаток
денежных средств и денежных эквивалентов на конец отчетного периода
|
3034
|
-
|
2561
|
-
|
473
|
-
|
|
|
Поступило
денежных средств, всего
|
366261
|
100
|
350615
|
100
|
15646
|
0
|
|
|
Израсходовано
денежных средств, всего
|
365788
|
100
|
352132
|
100
|
13656
|
0
|
|
Исследуя движение денежных средств, можно сказать,
что в отчетном периоде у предприятия наблюдается приток денежных средств, по
сравнению с отчетным периодом. Денежные средства по текущей деятельности в
отчетном периоде занимают 99,96%, а по инвестиционной - 0,04%. Основную часть
дохода организация получает от продажи продукции, товаров, работ и услуг, а
расходы в основном идут на выплаты поставщикам за сырье, материалы и на оплату
труда работников. В общем по организации, денежные средства по текущей
деятельности возросли, по инвестиционной - уменьшились, по финансовой
деятельности движение денежных средств отсутствует.
Таблица 9 - Движение денежных средств (косвенный
метод)
|
Показатели
|
Приток
денежных средств, тыс. р.
|
Отток
денежных средств, тыс. р.
|
|
1
|
2
|
3
|
|
1
Движение денежных средств от текущей деятельности
|
|
|
|
1.1
Чистая прибыль
|
3698
|
|
|
1.2
Начисленная амортизация по внеоборотным активам
|
2642
|
|
|
1.3
Изменение суммы сырья, материалов и других аналогичных ценностей
|
1143
|
|
|
1.4
Изменение объема готовой продукции и товаров для перепродажи и отгруженных
|
|
145
|
|
1.5
Изменение расходов будущих периодов
|
9
|
|
|
1.6
Изменение суммы дебиторской задолженности
|
|
2467
|
|
1.7
Изменение величины задолженности перед поставщиками и подрядчиками
|
|
2980
|
|
1.8
Изменение задолженности по оплате труда
|
112
|
|
|
1.9
Изменение задолженности по налогам и сборам
|
|
2870
|
|
1.10
Изменение величины задолженности перед внебюджетными фондами
|
|
685
|
|
Итого
денежных средств от текущей деятельности
|
7604
|
9147
|
|
2
Движение денежных средств от инвестиционной деятельности
|
|
|
|
2.1
Изменение денежных средств от реализации основных средств
|
|
258
|
|
Итого
денежных средств от инвестиционной деятельности
|
|
258
|
|
Изменения
состояния денежных средств
|
7604
|
9405
|
Косвенный метод показал, что у предприятия
наблюдается отток денежных средств, это связано с оттоком суммы дебиторской
задолженности, задолженности перед поставщиками и подрядчиками и задолженности
по налогам и сборам.
. Анализ дебиторской и кредиторской
задолженности
Для более полной оценки финансового положения
организации важно исследовать состояние, динамику и структуру дебиторской и
кредиторской задолженности.
Дебиторская задолженность - это средства,
отвлеченные из оборота данного предприятия, которые находятся у других
физических и юридических лиц. Источником их покрытия являются собственные
средства предприятия или средства других предприятий.
Как увеличение дебиторской задолженности, так и
резкое ее снижение оказывают на деятельность организации негативное
воздействие. С одной стороны, рост дебиторской задолженности снижает объем
оборотных средств организации и как следствие - увеличивает потребность в
привлечении дополнительных ресурсов для своевременного погашения собственных
обязательств. С другой стороны, резкое снижение дебиторской задолженности может
указывать на возможное снижение объема реализации продукции в результате потери
части покупателей, приобретавших эту продукцию в кредит.
Кредиторская задолженность - это средства,
временно привлеченные от других физических и юридических лиц. Они временно
используются в обороте данного предприятия. При наступлении срока их оплаты они
должны быть возвращены из суммы оборотных средств.
Методика анализа кредиторской задолженности
аналогична методике анализа дебиторской задолженности. Основные задачи анализа
- оценка динамики и структуры кредиторской задолженности по сумме и кредиторам;
определение суммы просроченной кредиторской задолженности, оценка факторов,
повлиявших на ее образование; определение сумм штрафных санкций, возникших в
результате образования просроченной кредиторской задолженности [13].
Таблица 10 - Состояние дебиторской и
кредиторской задолженности предприятия
|
Наименование
показателя
|
Значение,
тыс. р.
|
Удельный
вес, %
|
Изменение
|
|
Предыд.
год
|
Отчетный
год
|
Предыд.
год
|
Отчетный
год
|
+,-
|
%
|
|
1
Дебиторская задолженность (до 12 месяцев)
|
14741
|
12274
|
52,73
|
62
|
-2467
|
83,26
|
|
2
Кредиторская задолженность:
|
|
|
|
|
|
|
|
2.1
поставщики и подрядчики
|
5898
|
294
|
21,09
|
1,48
|
-5604
|
4,98
|
|
2.2
по оплате труда
|
4641
|
4753
|
16,6
|
24,01
|
112
|
102,41
|
|
2.3
выплаты в бюджет
|
-
|
498
|
-
|
2,53
|
498
|
-
|
|
3.4
прочие кредиторы
|
2678
|
1977
|
9,58
|
9,98
|
-701
|
73,83
|
|
Итого
кредиторской задолженности
|
13217
|
7522
|
47,27
|
38
|
-5695
|
56,9
|
|
Всего
ДЗ и КЗ
|
27958
|
19796
|
100
|
100
|
-8162
|
70,8
|
Анализируя состояние дебиторской и кредиторской
задолженности, можно сказать, что дебиторская задолженность превышает
кредиторскую, особенно в отчетном периоде, значит у предприятия достаточно
денежных средств для покрытия своих обязательств. Для анализа дебиторской и
кредиторской задолженности рассчитаем следующие показатели:
. Оборачиваемость дебиторской
(кредиторской) задолженности:
. Период погашения дебиторской
(кредиторской) задолженности:
. Доля дебиторской задолженности в общем
объеме оборотных средств:
Увеличение показателя оборачиваемости
дебиторской задолженности означает сокращение продаж в кредит. Оборачиваемость
кредиторской задолженности в отчетном периоде возросла, значит в организации
увеличилась сумма коммерческого кредита. В отчетном периоде период погашения
дебиторской задолженности снизился, это говорит о нормальном состоянии
финансовых ресурсов. Доля дебиторской задолженности в отчетном периоде
снизилась, значит, уменьшилась иммобилизация, то есть отвлечение из
хозяйственного оборота оборотных средств организации.
Оборотные средства предприятия обеспечивают
непрерывность производственного процесса. Ускорение оборачиваемости оборотных
активов уменьшает потребность в последних, позволяя снизить запасы, размеры
незавершенного производства. На скорость оборота оборотных средств оказывает
влияние: отраслевая принадлежность, масштабы предприятия, экономическая
ситуация в стране, ценовая политика предприятия, структура активов [11].
Анализ использования оборотных средств ОАО
«Хлебозавод №1» представлен в таблице 11.
Таблица 11 - Показатели оборачиваемости
оборотных средств
|
Показатели
|
Ед.
изм.
|
Значение,
тыс.р.
|
Отклонения
|
|
|
Предыд.
год
|
Отчетн.
год
|
Абсол.
(+,-)
|
Относ.,
TR
|
|
1
Выручка от продаж
|
Тыс.р.
|
319690
|
327150
|
7460
|
102,33
|
|
2
Оборотные средства
|
Тыс.р.
|
29746
|
28779
|
-967
|
96,75
|
|
3
Коэффициент оборачиваемости
|
Обороты
|
10,75
|
11,37
|
0,62
|
105,77
|
|
4
Длительность оборота оборотных средств
|
Дни
|
33
|
32
|
-1
|
96,97
|
|
5
Коэффициент закрепления оборотных средств
|
-
|
0,09
|
0,08
|
-0,01
|
88,88
|
. Используя данные таблицы, определим
величину абсолютной экономии (привлечения) оборотного капитала предприятия по
формулам:
∆ОС=(ОС1-ОC0)*Квр=(28779-29746)*1,02=-986,34
тыс.р.
∆ОС=(Д1-Д0)*ВР1одн=(32-33)*896,3=-896,3
тыс.р.
. Определим величину прироста объема
продукции за счет ускорения оборачиваемости оборотных средств:
∆ВР=(Коб1 - Коб0)*ОС1
∆ВР=(11,37-10,75)*28779=17843 тыс.р.
. Оценим влияние оборачиваемости на
приращение прибыли:
∆Р=Р1 -
=10135-1,05*1475=8574,93
тыс.р.
. Определим потребность в оборотном
капитале:
Поб=З+ДЗ-КЗ
Поб отч=13471+12274-7522=18223 тыс.р.
Поб пред=12464+14721-13217=13968 тыс.р.
Анализируя показатели оборачиваемости, можно
сказать, что за отчетный период увеличились выручка от продаж и коэффициент
оборачиваемости, оборотные средства, длительность оборота и коэффициент
закрепления оборотных средств - снизились. У предприятия наблюдается
относительная экономия оборотных средств, значит фактическая величина оборотных
средств меньше той их величины, которая понадобилась бы в анализируемом
периоде, исходя из условий их использования в базовом году.
. Анализ эффективности использования ОПФ
Основные фонды предприятия - совокупность
произведенных общественным трудом материально-вещественных ценностей,
действующих в неизменной натуральной форме в течение длительного периода
времени и утрачивающих свою стоимость по частям. Стоимость, авансирования в
основные фонды, в процессе их полезного использования совершает непрерывный
кругооборот. Основные фонды функционируют длительный период и по частям
переносят свою стоимость на стоимость изготовленной продукции, выполненных
работ или оказания услуг при сохранении своей вещественной формы.
В зависимости от участия в производстве основные
фонды подразделяются на производственные и непроизводственные. Основные
производственные фонды прямо или опосредованно принимают участие в производстве
материальных ценностей, включают здания, сооружения, рабочие машины и
оборудование и т.п. Основные непроизводственные фонды не принимают участия в
производстве и к ним относятся жилые дома, поликлиники, детские сады,
санаторно-курортные учреждения и другие объекты непроизводственной сферы. По
роли, занимаемой в процессе производства продукции, различают активные и
пассивные основные фонды. Активные основные фонды принимают непосредственное
участие в процессе производства товаров, работ и услуг. Это машины, оборудование,
передаточные устройства, вычислительная техника, контрольно-измерительные и
регулирующие приборы, транспортные средства. Пассивные основные фонды
непосредственно не участвуют в производстве, переработки и перемещении сырья,
материалов, полуфабрикатов, но создают необходимые для производства условия. К
ним относятся здания, сооружения и т.д. [7].
Таблица 12 - Характеристика, наличие, состояние
и движение основных фондов
|
Виды
ОПФ
|
На
начало года
|
Введено
в действие
|
Наличие
на конец года
|
Изменение
за год
|
|
тыс.р.
|
уд.
вес, %
|
тыс.р.
|
уд.
вес, %
|
тыс.р.
|
уд.
вес, %
|
тыс.р
|
уд.
вес, %
|
|
1
Здания и сооружения
|
2012г
|
10195
|
19,44
|
3804
|
14,23
|
10437
|
19,44
|
242
|
0
|
|
2011г
|
10023
|
19,92
|
3594
|
14,77
|
10195
|
19,44
|
172
|
-0,48
|
|
2
Машины и оборудование
|
2012г
|
30080
|
57,35
|
16829
|
62,98
|
29915
|
55,7
|
-165
|
-1,65
|
|
2011г
|
28062
|
55,77
|
14228
|
58,48
|
30080
|
57,35
|
2018
|
1,58
|
|
3
Земельные участки
|
2012г
|
1584
|
3,02
|
-
|
-
|
1584
|
2,95
|
0
|
-0,07
|
|
2011г
|
1584
|
3,15
|
-
|
-
|
1584
|
3,02
|
0
|
-0,13
|
|
4Производствен.
инвентарь
|
2012г
|
93
|
0,18
|
91
|
0,34
|
93
|
0,17
|
0
|
0
|
|
2011г
|
93
|
0,18
|
86
|
0,35
|
93
|
0,17
|
0
|
-0,01
|
|
5
Транспортные средства
|
2012г
|
10494
|
20,01
|
5999
|
22,45
|
11670
|
21,73
|
1176
|
1,72
|
|
2011г
|
10556
|
20,98
|
6423
|
26,4
|
10494
|
20,01
|
-62
|
-0,97
|
|
Итого
|
2012г
|
52446
|
100
|
26723
|
100
|
53699
|
100
|
1253
|
-
|
|
2011г
|
50318
|
100
|
24331
|
100
|
52446
|
100
|
2128
|
-
|
Анализ движения ОФ проводится на основе расчета
следующих показателей:
) Коэффициент ввода основных фондов
) Коэффициент выбытия основных фондов
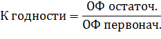
) Коэффициент годности основных фондов
) Коэффициент износа основных фондов
В 2012 году активная и пассивная части ОПФ
увеличились, по сравнению с 2011. В пассивной части наиболее увеличился
удельный вес зданий и сооружений, а в активной - транспортных средств. В
отчетном периоде, производственный инвентарь и земельные участки остались
прежними.
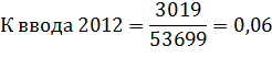
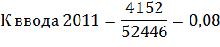
Коэффициент ввода показал, что доля введенных в
эксплуатацию основных фондов составляет 0,06 от их общей стоимости на конец года.
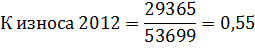
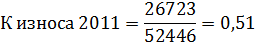
Коэффициент годности в отчетном году уменьшился, значит, состояние основных
средств на предприятии ухудшается. Так же коэффициент износа увеличился в 2012
г., что говорит о необходимости ремонта, модернизации и реконструкции основных
фондов.
Обобщающим показателем использования основных
фондов является фондоотдача, которая характеризует не только использованные
основные фонды, но и общую эффективность производства. Анализ использования ОПФ
представлен в таблице 13.
Таблица 13 - Показатели эффективности
использования ОПФ
|
Показатели
|
Ед.
изм.
|
Значение,
тыс.р.
|
Изменение
|
|
|
Пред.
год
|
Отч.
год
|
Абсол.
|
Относ.
|
|
1
|
2
|
3
|
4
|
5
|
6
|
|
Выручка
|
Тыс.р.
|
319690
|
327150
|
7460
|
102,3
|
|
Среднегодовая
стоимость ОПФ
|
Тыс.р.
|
51382
|
53072,5
|
1690,5
|
103,29
|
|
Прибыль
до налогообложения
|
Тыс.р.
|
324
|
5762
|
5438
|
1778,4
|
|
Стоимость
активной части ОПФ
|
Тыс.р.
|
40667
|
41678
|
1011
|
102,48
|
|
Фондоотдача
ОПФ
|
|
6,22
|
6,16
|
-0,06
|
99,03
|
|
Фондоотдача
активной части ОПФ
|
|
7,86
|
7,85
|
-0,01
|
99,87
|
|
Фондоемкость
ОПФ
|
|
0,16
|
0,16
|
0
|
100
|
|
Фондоемкость
активной части ОПФ
|
|
0,13
|
0,13
|
0
|
100
|
|
Фондорентабельность
ОПФ
|
%
|
0,63
|
10,85
|
10,22
|
1722,22
|
|
Фондорентабельность
активной части ОПФ
|
%
|
0,79
|
13,83
|
13,04
|
1750,63
|
Превышение товарооборота над средней стоимостью
ОФ говорит об эффективности использования основных средств. Фондоотдача ОПФ
показывает, что в отчетном году, 6,16 часть произведенной продукции приходится
на единицу стоимости ОПФ. Фондорентабельность в отчетном году значительно
возросла и составила 10,85%, значит 10,85% прибыли приходится на единицу
стоимости ОПФ.
. Анализ состояния и движения капитала
Капитал - это средства, которыми располагает
субъект хозяйствования для осуществления своей деятельности с целью получения
прибыли.
Формируется капитал предприятия как за счет
собственных (внутренних), так и за счет заемных (внешних) источников. Основным
источником финансирования является собственный капитал. В его состав входят
уставный капитал, накопленный капитал (резервный и добавочный капитал,
нераспределенная прибыль) и прочие поступления (целевое финансирование,
благотворительные пожертвования и др.) [7].
Для того чтобы проанализировать состояние и
движение собственного капитала организации, необходимо составить аналитическую
таблицу.
Таблица 14 - Показатели движения собственного
капитала
|
Наименование
показателя
|
Остаток
на 1 января предыдущего года
|
Остаток
на 31 декабря предыдущего года
|
Отклонение
|
Темп
роста, %
|
|
|
|
Пред.
год
|
Отч.
год
|
Пред.
год
|
Отч.
год
|
|
1
Уставный капитал
|
3256
|
3256
|
0
|
0
|
100
|
100
|
|
2
Добавочный капитал
|
4594
|
4594
|
0
|
0
|
100
|
100
|
|
3
Резервный капитал
|
163
|
163
|
0
|
0
|
100
|
100
|
|
4
Нераспределенная прибыль
|
51420
|
40986
|
-10434
|
3698
|
79,71
|
109
|
|
Итого
собственного капитала
|
59433
|
48999
|
-10434
|
3698
|
82,44
|
107,5
|
В отчетном периоде собственный капитал
увеличился, так как увеличилась нераспределенная прибыль. В предыдущем периоде
было снижение данного показателя. В целом, уставный, резервный и добавочный
капиталы остались прежними.
Анализ состояния и движения капитала проводится
на основе расчета следующих показателей:
) Коэффициент автономии
) Коэффициент соотношения собственного и
заемного капитала
) Коэффициент левериджа
Коэффициент автономии показал финансовую
устойчивость предприятия, в отчетном периоде он приближается к 1, значит
предприятие менее зависимо от поставщиков, кредиторов и инвесторов. Коэффициент
финансирования показал, что в отчетном году большая часть деятельности
предприятия финансируется за счет собственных средств. Коэффициент левериджа
отразил долю заемных средств в источниках финансирования активов предприятия.
. Анализ прибыли предприятия
Прибыль от реализации продукции - это финансовый
результат, полученный от основной деятельности организации, которая может
осуществляться в любых видах, зафиксированных в его уставе и не запрещенных
законом [13].
В процессе анализа прибыли от
финансово-хозяйственной деятельности различают прибыль от продаж, валовую,
налогооблагаемую, чистую прибыль.
Основные показатели, участвующие в формировании
чистой прибыли, представлены в таблице 15.
Таблица 15 - Динамика показателей прибыли
|
Показатели
|
Значение,
тыс.р.
|
Откл.
абсолют. (+, -)
|
|
Пред.
год
|
Отч.
год
|
|
|
|
1
Прибыль от продаж
|
1475
|
10135
|
8660
|
687,12
|
|
2
Прочие доходы
|
747
|
950
|
203
|
127,18
|
|
3
Прочие расходы
|
(1898)
|
(5323)
|
3425
|
280,45
|
|
4
Прибыль до налогообложения
|
324
|
5762
|
5438
|
1778,4
|
|
5
Текущий налог на прибыль
|
141
|
1994
|
1853
|
1414,2
|
|
6
Чистая прибыль
|
245
|
3698
|
3453
|
1509,4
|
Чистая прибыль в 2012 году значительно возросла,
по сравнению с 2011 годом, это связано с увеличением прибыли от продаж и прибыли
до налогообложения. В целом в отчетном году все показатели значительно
возросли. Для увеличения прибыли, необходимо: увеличить выпуск продукции,
улучшить ее качество, продать излишнее оборудование, рационально расходовать
экономические ресурсы, снизить затраты на производство, расширить рынок продаж.
. Анализ показателей рентабельности
Эффективность функционирования предприятия
зависит от ее способности приносить прибыль.
Финансовые результаты могут измеряться
относительными и абсолютными показателями. Наиболее объективными в условиях
инфляции становятся относительные показатели и уровень рентабельности, которые
характеризуют размер прибыли с каждого рубля средств, вложенных предприятием.
Рентабельность - это относительный показатель,
который обладает свойством сравнимости, может быть использован при сравнении
деятельности разных хозяйствующих субъектов. Рентабельность характеризует
степень доходности, выгодности, прибыльности [13].
Результативность и экономическая
целесообразность функционирования предприятия оценивается не только
абсолютными, но и относительными показателями.
К относительным относится система показателей
рентабельности. Расчет показателей уровня рентабельности представлен в таблице
16.
Таблица 16 - Результативные показатели деятельности
предприятия
|
Показатели
|
Значение,
тыс.р.
|
Отклонение,
(+,-)
|
Темп
роста, %
|
|
Пред.
год
|
Отч.
год
|
|
|
|
1
|
2
|
3
|
4
|
5
|
|
1
Общая величина имущества предприятия
|
66698
|
64280
|
-2418
|
96,37
|
|
2
Собственный капитал
|
48999
|
52697
|
3698
|
107,55
|
|
3
Оборотные средства
|
29746
|
28779
|
-967
|
96,749
|
|
4
Выручка от продаж продукции
|
319690
|
327150
|
7460
|
102,33
|
|
5
Прибыль от реализации
|
1475
|
10135
|
8660
|
687,12
|
|
6
Чистая прибыль
|
245
|
3698
|
3453
|
1509,4
|
|
7
Рентабельность активов
|
0,37
|
5,75
|
5,39
|
1566,2
|
|
8
Рентабельность текущих активов
|
0,83
|
12,85
|
12
|
1560,1
|
|
9
Рентабельность инвестиций
|
0,49
|
6,98
|
6,49
|
1403,7
|
|
10
Рентабельность собственного капитала
|
0,5
|
7,02
|
6,52
|
1404
|
|
11
Рентабельность продукции
|
0,09
|
1,4
|
1,31
|
1555,5
|
|
12
Рентабельность продаж
|
0,5
|
3,1
|
2,6
|
620
|
|
13
Рентабельность основной деятельности
|
0,
5
|
3,2
|
2,7
|
640
|
|
|
|
|
|
|
|
Результативные показатели деятельности
предприятия показали, что в отчетном году оборотные средства и имущество
предприятия уменьшилось, остальные показатели - возросли. Рентабельность
активов в 2012 году показала увеличение величины прибыли, полученной
организацией, приходящейся на каждый рубль вложений ее активов.
Показатель рентабельности инвестиций значительно
вырос, значит, предприятие эффективно использует средства, полученные от
инвесторов. Рентабельность собственного капитала показала, что 7,02% от
величины чистой прибыли приходится на каждый рубль собственных средств,
вложенных в активы.
Рентабельность продукции показала, что 1,4%
величины прибыли приходится на каждый рубль себестоимости проданной продукции.
Рентабельность продаж в 2012 году увеличилась, значит, доля прибыли от продаж в
выручке возросла.
Дополним результаты исследований факторным
анализом показателей рентабельности по результатам расчетов, выполненных в
таблице 17.
Таблица 17 - Расчет уровня рентабельности объема
продаж
|
Показатели
|
Пред.
год
|
Отч.
год
|
Отклонение,
(+,-)
|
|
1
Выручка от реализации продукции (ВР)
|
319690
|
327150
|
7460
|
|
2
Себестоимость реализованной продукции (С)
|
278902
|
271695
|
-7207
|
|
3
Прибыль от реализации (Р)
|
1475
|
10135
|
8660
|
|
4
Рентабельность объема продаж (R)
|
0,5
|
3,2
|
2,7
|
) Определим изменение рентабельности
объема продаж за счет изменения объема реализации:
) Определим изменение рентабельности
объема продаж за счет увеличения себестоимости реализации:
) Выполним расчет по совокупному влиянию
факторов:
В анализируемом периоде, на увеличение
рентабельности объема продаж наибольшим образом повлияло увеличение
себестоимости реализации, наименьшим - изменение объема реализации.
Для дальнейшего увеличения рентабельности
основной деятельности, предприятию необходимо уменьшить себестоимость
продукции, расширить ассортимент, снизить цены.
12. Оценка кредитоспособности предприятия
Под кредитоспособностью следует понимать такое
финансово - хозяйственное состояние предприятия, которое дает уверенность в
эффективном использовании заемных средств, способность и готовность заемщика
вернуть кредит в соответствии с условиями договора [11].
Методика расчета рейтинговой оценки
кредитоспособности:
) Определим классность коэффициентов
Таблица 18 - Шкала значений коэффициентов
ликвидности и обеспеченности собственными средствами
|
Показатели
|
Промышленность
|
|
Классы
|
|
1
|
2
|
3
|
|
Коэф.
промежуточной ликвидности
|
1,35
|
-
|
-
|
|
Коэф.
текущей ликвидности
|
2,53
|
-
|
-
|
|
Коэф.
автономии
|
0,82
|
-
|
-
|
) Рассчитаем рейтинг:
Р=1*40+1*35+1*25=100
Так как рейтинг равен 100 значит, предприятие
имеет 1 класс кредитоспособности, что говорит об устойчивом финансовом
состоянии, что подтверждается наилучшими значениями, как всех показателей, так
и рейтингом в целом. В целом, данному предприятию можно давать денежные
средства в кредит, так как оно имеет высокую платежеспособность и
кредитоспособность.
Заключение
Анализируя финансовую отчетность ОАО «Хлебозавод
№1» за 2011 и 2012 г., можно сделать вывод о том, что в 2012 г. у предприятия
наблюдается значительное увеличение практически всех показателей, возможно, это
связано с кризисом прошлых лет.
Данное предприятие в целом платежеспособно, оно
не зависит от внешних кредиторов, хотя имеет 1 класс кредитоспособности и при
необходимости может взять кредит. Дебиторская задолженность превышает
кредиторскую, это говорит о том, что у предприятия достаточно денежных средств
для покрытия своих обязательств.
В 2012 г. у предприятия абсолютно устойчивое
финансовое состояние, что характеризуется полным обеспечением запасов и затрат
собственными оборотными средствами.
Предприятие имеет достаточно высокую прибыль, но
для ее сохранения и дальнейшего увеличения, необходимо увеличить выпуск
продукции, улучшить ее качество, продать излишнее оборудование, рационально
расходовать экономические ресурсы, снизить затраты на производство, расширить
рынок продаж.
Однако у данного предприятия имеются некоторые
недостатки, например, состояние основных средств на предприятии ухудшается, так
же есть необходимость ремонта, модернизации и реконструкции основных фондов.
Список использованных источников
1
Абдукаримов И.Т. Анализ финансово-хозяйственной деятельности предприятия
[Текст] : учебное пособие / И.Т. Абдукаримов, В.В. Смагина. - Тамбов :
Издательский дом ТГУ им. Г.Р. Державина, 2010.
- 666 с.
Алексеева
А. И., Васильев Ю. В., Малеева А. В., Ушвицкий Л. И. Комплексный экономический
анализ хозяйственной деятельности [Текст] : учебное пособие. - Изд. «Кнорус».,
2008. - 672 с.
Басовский
Л.Е., Лунева А.М., Басовский А.Л. Экономический анализ (Комплексный
экономический анализ хозяйственной деятельности) [Текст] : Учеб. пособие / Под
ред. Л.Е. Басовского. - М.: ИНФРА - М, 2010. - 222 с.
Безрукова
Т.Л., Морковина С.С. Анализ и диагностика финансово - хозяйственной
деятельности предприятия [Текст] : учебник. - Изд. «Кнорус». - М., 2010. - 356
с.
Донцова
Л. В., Никифорова Н. А. Анализ финансовой отчетности [Текст] : практикум. - М.:
ДИС, 2008. - 336 с.
Ефимова
О.В., Мельник М.В. Анализ финансовой отчетности [Текст]: учебное пособие. - М.:
Омега - Л, 2012. - 451 с.