Свойства анальгина и методы определения его подлинности

  • Вид работы:
    Курсовая работа (т)
  • Предмет:
    Медицина, физкультура, здравоохранение
  • Язык:
    Русский
    ,
    Формат файла:
    MS Word
    130,45 Кб
  • Опубликовано:
    2014-10-11
Вы можете узнать стоимость помощи в написании студенческой работы.
Помощь в написании работы, которую точно примут!

Свойства анальгина и методы определения его подлинности

Содержание


Вступление

. История открытия анальгина

. Фармакология анальгина

. Химия анальгина

. Определение подлинности анальгина

. Количественное определение анальгина

. Экспериментальная часть

Выводы

Список использованной литературы

Вступление


В переводе, слово "анальгин" означает отсутствие боли. Трудно найти человека, который не принимал анальгин.

Анальгин - главный препарат в группе ненаркотических анальгетиков - препаратов, способных уменьшать боль без влияния на психику.

Уменьшение боли - не единственный фармакологический эффект анальгина. Способность уменьшать выраженность воспалительных процессов и способность снижать повышенную температуру тела - не менее ценны (жаропонижающий и противовоспалительный эффект). Тем не менее, анальгин редко используют с противовоспалительной целью, для этого есть куда более эффективные средства. А вот при лихорадке и боли он в самый раз.

Его принимают абсолютно бесконтрольно, без назначения врача и часто злоупотребляют доступность анальгина, не задумываясь о побочном действии и вреде для организма. Анальгин полностью выведен из торгового оборота в ряде стран, а именно: в Италии, Дании, США, Великобритании. Но тем не менее в некоторых государствах Южной Америки, Азии и Европы (в том числе в Украине) его продолжают применять повсеместно.

Метамизол (анальгин) в течение многих десятилетий был в нашей стране препаратом скорой помощи, а не средством для лечения хронических заболеваний. Таким он и должен оставаться.

В последнее время против анальгина развернута достаточно агрессивная кампания в интернете. Многие отечественные специалисты считают её заказной и выгодной, прежде всего, крупным производителям новых дорогостоящих препаратов.

В связи с этим очень актуальным является изучение свойств анальгина и методы определения его подлинности.

1. История открытия анальгина

История практически всех современных синтетических аналгетиков началась в Германии на рубеже ХIХ-ХХ веков с открытия Людвигом Кнорром антипирина, который можно считать праотцом ацетилсалициловой кислоты (аспирина), ацетаминофена (парацетамола) и метамизола (анальгина, дипирона). В клиническую практику анальгин (метамизол) был впервые внедрен в Германии в 1922 году. В отличие от аспирина и парацетамола, он стал первым ненаркотическим аналгетиком, который можно было вводить парентерально.

Химический синтез, производство, не зависящее от растительного сырья, и возможность парентерального применения сделали метамизол незаменимым для госпиталей Германии во время Второй Мировой войны. В течение многих лет метамизол оставался очень популярным лекарственным средством, однако, эта популярность имела и оборотную сторону - широкое и практически бесконтрольное его применение как безрецептурного анальгетика с широким перечнем показаний привело в начале 70-х гг. к нескольким смертельным исходам, связанным с побочными реакциями. При использовании метамизола, как и других пиразолонов (феназона, пропифеназона), наблюдались случаи агранулоцитоза и шока.

В то же время, исследования показали, что пиразолоны, в противоположность ацетаминофену и ацетилсалициловой кислоте, крайне редко вызывают нежелательные реакции со стороны желудочно-кишечного тракта и почек и более безопасны в случае передозировки. Результаты крупного международного исследования, проведенного в 1986 году, подтвердили причинно-следственную связь между приемом метамизола и агранулоцитозом. Это привело к тому, что метамизол был запрещен в ряде стран, в то время как в других он оставался широко доступным, в том числе как безрецептурное средство. Риск серьезных побочных эффектов при использовании комбинированных препартов, содержащих метамизол, выше, чем при приеме "чистого" метамизола, поэтому в большинстве стран подобные средства были изъяты из обращения.

В Нидерландах контроль за рациональностью фармакотерапии осуществляется достаточно жестко и во многих аспектах считается эталонным. По официальным данным, в стране с 1974 по 1990 г было зарегистрировано 425 случаев лекарственного агранулоцитоза, главной причиной которого оказался метамизол. У большинснва больных агранулоцитоз развивался при непродолжительном (<10 дней) приеме препарата. В Швеции метамизол использовался с 1934 года. В 1974 году он был выведен из обращения в связи с регистрацией большого числа случаев лекарственного агранулоцитоза (1:3000). В 1995 году метамизол был вновь зарегистрирован, но уже по более узким показаниям: краткосрочное применение при острой умеренной или выраженной боли, возникающей при повреждении тканей - после хирургических вмешательств, при почечной или печёночной колике.

Однако после повторной регистрации метамизола в 1996 году в Швеции вновь стали регистрировать случаи агранулоцитоза. Особую настороженность вызывало то, что последние 6 случаев были связаны с использованием таблетированого препарата. Учитывая сроки возникновения и количество зарегистрированных реакций, возможная частота реакций составила 1:1700 и значительно превышала ожидаемую. В соответствиии с соглашением между Агенством по медицинским продуктам и компанией "Хехст Марион Руссель" продажи метамизола в Швеции были прекрашены 28 апреля 1999 года.

В Великобритании метамизол выведен из фармацевтического рынка в 1965 году. В Норвегии изъят из обращения 1976 году. В США изъят из обращения в 1977 г. В Саудовской Аравии запрещён с1980 г. В ОАЭ изъят из обращения в 1981 г. В Израиле метамизол-содержащие комбинированные средства изъяты из обращения с 1985г. В Дании запрещены все метамизол-содержащие препараты с 1979 г. Метамизол изъят из обращения в Малазии 1987г, в Пакистане, Гане, Нидерландах, Бахрейне, Ирландии, Сингапуре, Венесуеле, Непале, Германии и др.  Сейчас метамизол-содержащие средства бесконтрольно используются лишь в России и нескольких развивающихся странах. Анальгин является достаточно активным иммуногенным веществом, вызывающим не только аллергические реакции и угнетение функции костного мозга, но и другие серьёзные осложнения со стороны почек (интерстициальный нефрит), печени (гепатит), органов дыхания (альвеолит), синдромы Лайела, Стивенса-Джонсона. Кроме того, анальгин может быть причиной шока. Указанные нежелательные явления могут встречаться чаще и представлять даже большую угрозу, чем агранулоцитоз. Отечественный "амбулаторный" фармацевтический рынок представлен достаточно большим числом отечественных и зарубежных моно- и поликомпонентных неопиоидных анальгетиками.

В отличие от большинства других стран, анальгин и анальгин-содержащие средства до настоящего времени остаются наиболее широко используемыми аналгетиками в Украине и отпускаются без рецепта во всех аптечных пунктах и стационарных аптечных учреждениях. Объяснениями сохраняющейся популярности анальгина являются не только неизменность государственной фармакопеи и программ обучения, но и отсутствие полноценной информации для пациентов. Отношение Всемирной Организации Здравоохранения к метамизолу, как вредному для здоровья препарату, применение которого в практике должно быть максимально ограничено, ставит Украину в достаточно сложное положение.

С одной стороны, медицинская этика и международный опыт требуют прекращения применения анальгина (метамизола) в клинической практике, с другой стороны, сведения о токсических эффектах анальгина в Украине практически не регистрируются. Последнее свидетельствует не о безопасности анальгина в Украине, а об отсутствии регистрации побочных явлений на лекарства в медицинских учреждениях.

Следует также учитывать, что в Украине анальгин используется и в качестве одного из составляющих поликомпонентных препаратов, не имеющих аналогов в западной фармакопее. Уникальные особенности рецептуры и отсутствие полноценной системы фармакотерапевтического мониторинга не позволяют получить доказательства клинической эффективности и потенциальной токсичности подобных средств или экстраполировать международные данные.

По-видимому, государству слишком трудно вывести из обращения один из стержневых продуктов отечественной фармакопеи, приносящий огромный доход. На фармацевтическом рынке Украины отечественный метамизол представлен очень широко, несмотря на достаточно большой объём импорта аналогичных моно- и поликомпонентных препаратов. Метамизол и метамизол-содержащие препараты производятся практически во всех регионах Украины. Производство их неуклонно наращивалось в последние годы.

2. Фармакология анальгина

фармакология химия анальгин ненаркотический

Международное наименование:

Метамизол натрий (Metamizole sodium)

Групповая принадлежность:

Анальгетическое ненаркотическое средство

Описание действующего вещества (МНН):

Метамизол натрий

Лекарственная форма:

капсулы, раствор для внутривенного и внутримышечного введения, суппозитории ректальные (для детей), таблетки, таблетки (для детей)

Фармакологическое действие:

Анальгин относится к НПВП, группе производных пиразолона. По механизму действия похож на другие НПВП (неселективно блокирует ЦОГ и снижает образование простагландинов из арахидоновой кислоты). Препятствует проведению болевых экстра- и проприорецептивных импульсов по пучкам Голля и Бурдаха, повышает порог возбудимости таламических центров болевой чувствительности, увеличивает теплоотдачу.

Отличительной чертой является незначительная выраженность противовоспалительного эффекта, вследствие чего препарат слабо влияет на водно-солевой обмен (задержка Na+ и воды) и слизистую оболочку желудочно-кишечного тракта. Оказывает анальгезирующее, жаропонижающее и некоторое спазмолитическое (в отношении гладкой мускулатуры мочевыводящих и желчных путей) действие. Эффект развивается через 20-40 мин после приема внутрь и достигает максимума через 2 ч. В качестве жаропонижающего является более эффективным средством по сравнению с аспирином, ибупрофеном и парацетамолом.

Хорошо и быстро всасывается в желудочно-кишечном тракте. В стенке кишечника гидролизуется с образованием активного метаболита - неизмененный метамизол в крови отсутствует (только после внутривенного введения незначительная его концентрация обнаруживается в плазме). Связь активного метаболита с белками - 50-60 %. Метаболизируется в печени, выводится почками. В терапевтических дозах проникает в материнское молоко.

Показания:

Лихорадочный синдром (инфекционно-воспалительные заболевания, укусы насекомых - комары, пчелы, оводы и др., посттрансфузионные осложнения); Болевой синдром (слабой и умеренной выраженности): в т.ч. невралгия, миалгия, артралгия, желчная колика, кишечная колика, почечная колика, травмы, ожоги, декомпрессионная болезнь, опоясывающий лишай, орхит, радикулит, миозит, послеоперационный болевой синдром, головная боль, зубная боль, альгодисменорея и т.д.

Противопоказания:

Гиперчувствительность, угнетение кроветворения (агранулоцитоз, цитостатическая или инфекционная нейтропения), печеночная и/или почечная недостаточность, наследственная гемолитическая анемия, связанная с дефицитом глюкозо-6-фосфатдегидрогеназы, "аспириновая" астма, анемия, лейкопения, беременность (особенно в I триместре и в последние 6 нед), период лактации.C осторожностью. Период новорожденности (до 3 мес), заболевания почек (пиелонефрит, гломерулонефрит - в т.ч. в анамнезе), длительное злоупотребление этанолом. В/в введение больным с систолическим АД ниже 100 мм рт.ст. или при нестабильности кровообращения (например на фоне инфаркта миокарда, множественной травмы, начинающемся шоке).

Побочные действия:

Со стороны мочевыделительной системы: нарушение функции почек, олигурия, анурия, протеинурия, интерстициальный нефрит, окрашивание мочи в красный цвет. Аллергические реакции: крапивница (в т.ч. на конъюнктиве и слизистых оболочках носоглотки), ангионевротический отек, в редких случаях - злокачественная экссудативная эритема (синдром Стивенса-Джонсона), токсический эпидермальный некролиз (синдром Лайелла), бронхоспастический синдром, анафилактический шок. Со стороны органов кроветворения: агранулоцитоз, лейкопения, тромбоцитопения. Прочие: снижение АД. Местные реакции: при в/м введении возможны инфильтраты в месте введения.Передозировка. Симптомы: тошнота, рвота, гастралгия, олигурия, гипотермия, снижение АД, тахикардия, одышка, шум в ушах, сонливость, бред, нарушение сознания, острый агранулоцитоз, геморрагический синдром, острая почечная и/или печеночная недостаточность, судороги, паралич дыхательной мускулатуры. Лечение: промывание желудка, солевые слабительные, активированный уголь; проведение форсированного диуреза, гемодиализ, при развитии судорожного синдрома - в/в введение диазепама и быстродействующих барбитуратов.

Способ применения и дозы:

Внутрь, по 250-500 мг 2-3 раза в сутки, максимальная разовая доза - 1 г, суточная - 3 г. Разовые дозы для детей 2-3 лет - 50-100 мг, 4-5 лет - 100-200 мг, 6-7 лет - 200 мг, 8-14 лет - 250-300 мг, кратность назначения - 2-3 раза в сутки. В/м или в/в (особенно при сильных болях): взрослым - по 250-500 мг 3 раза в сутки. Максимальная разовая доза - 1 г, суточная - 2 г. Детям назначают из расчета 5-10 мг/кг 2-3 раза в сутки. Детям до 1 года препарат вводят только в/м. Вводимый раствор для инъекций должен иметь температуру тела. Дозы более 1 г следует вводить в/в. Необходимо наличие условий для проведения противошоковой терапии. Наиболее частой причиной резкого снижения АД является слишком высокая скорость инъекции, в связи с чем в/в введение должно проводиться медленно (со скоростью не более 1 мл/мин), в положении больного "лежа", под контролем АД, ЧСС и числа дыханий. Ректальное применение - для взрослых - 300, 650 и 1000 мг. Доза для детей зависит от возраста ребенка и характера заболевания, при этом рекомендуется использовать детские свечи по 200 мг: от 6 мес до 1 года - 100 мг, от 1 года до 3 лет - 200 мг, от 3 до 7 лет - 200-400 мг, от 8 до 14 лет - 200-600 мг. После введения суппозитория ребенок должен находиться в постели.

Особые указания:

При лечении детей до 5 лет и больных, получающих цитостатические ЛС, прием метамизола натрия должен проводиться только под наблюдением врача. Непереносимость встречается весьма редко, однако угроза развития анафилактического шока после в/в введения препарата относительно выше, чем после приема препарата внутрь. У больных атопической бронхиальной астмой и поллинозами имеется повышенный риск развития аллергических реакций. На фоне приема метамизола натрия возможно развитие агранулоцитоза, в связи с чем при выявлении немотивированного подъема температуры, озноба, болей в горле, затрудненного глотания, стоматита, а также при развитии явлений вагинита или проктита необходима немедленная отмена препарата. При длительном применении необходимо контролировать картину периферической крови. Недопустимо использование для снятия острых болей в животе (до выяснения причины). Для в/м введения необходимо использовать длинную иглу. Возможно окрашивание мочи в красный цвет за счет выделения метаболита (значения не имеет).

Взаимодействие:

Из-за высокой вероятности развития фармацевтической несовместимости нельзя смешивать с др. ЛС в одном шприце. Усиливает эффекты этанола; одновременное применение с хлорпромазином или др. производными фенотиазина может привести к развитию выраженной гипертермии. Рентгеноконтрастные ЛС, коллоидные кровезаменители и пенициллин не должны применяться во время лечения метамизолом. При одновременном назначении циклоспорина снижается концентрация последнего в крови.

Метамизол, вытесняя из связи с белком пероральные гипогликемические ЛС, непрямые антикоагулянты, ГКС и индометацин, увеличивает их активность. Фенилбутазон, барбитураты и др. гепатоиндукторы при одновременном назначении уменьшают эффективность метамизола. Одновременное назначение с др. ненаркотическими анальгетиками, трициклическими антидепрессантами, контрацептивными гормональными ЛС и аллопуринолом может привести к усилению токсичности.

Седативные и анксиолитические ЛС (транквилизаторы) усиливают анальгезирующее действие метамизола. Тиамазол и цитостатики повышают риск развития лейкопении. Эффект усиливают кодеин, блокаторы H2-гистаминовых рецепторов и пропранолол (замедляет инактивацию). Миелотоксические ЛС усиливают проявления гематотоксичности препарата.

 

3. Химия анальгина


Анальгин относится к группе производных пятичленного гетероцикла с двумя гетероатомами азота - пиразола. Пиразол в природе не встречается. Все соединения этого ряда получены синтетическим путем.


С химической точки зрения пиразол является крайне слабым (однокислотным) основанием. С сильными кислотами он образует соли, разлагающиеся под действием воды или при нагревании.

Водород у атома азота в положении 1 имеет кислый характер и способен замещаться на атомы металла. Пиразол имеет ароматический характер и способен вступать в реакции электрофильного замещения. Двойные связи в пиразоле гидрируются частично или полностью с образованием в первом случае пиразолина, а во втором - пиразолидина.

Для препаратов, производных пиразолина, характерно наличие одной оксогруппы в положении 5 и фенильного радикала в положении 1.

Заместители у 4-ого углеродного атома в кольце обусловливают своеобразие химических свойств и фармакологического действия препаратов.

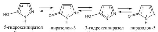
Метамизол-натрий, структура которых содержит молекулу пиразолона, может существовать в виде нескольких таутомерных форм:


Метамизол-натрий можно рассматривать как производные пиразолина или пиразолона-5.

Синтез анальгина в промышленных условиях осуществляют из монометиламиноантипирина и формальдегид-гидросульфита натрия по схеме:


По физическим свойствам анальгин представляет собой белые или бесцветные кристаллические вещества (может иметь желтоватый оттенок), без запаха, горького вкуса.

Анальгин легко растворимы в вод. В этаноле анальгин трудно растворим. В эфире и хлороформе анальгин практически нерастворим (ввиду наличия гидрофильной группы в молекуле).

Анальгин проявляет восстановительные свойства, которые используют для выполнения ряда цветных реакций с окислителями и количественного определения окислительно-восстановительными методами.

Анальгин ввиду наличия в молекуле остатка сульфита натрия образует водные растворы нейтральной реакции (на лакмус).

4. Определение подлинности анальгина

Характеристические полосы анальгина в УФ-спектре: в кислой среде 258 нм


Характеристические полосы анальгина в ИК-спектре: 1672, 1639, 1208, 1179, 1163, 1639 см-1


2. Метамизол-натрий (анальгин) под действием окислителей (например, с раствором железа (III) хлорида) образует продукты окисления, окрашенные в синий цвет. Окраска этих продуктов быстро изменяется под влиянием различных факторов: температуры, рН среды и других.

. Раствор метамизол-натрия (анальгин) при действии 0,1 моль/л раствора йода приобретает фиолетовую или красно-фиолетовую окраску, переходящую от избытка реактива в бурую.

. Специфической реакцией на метамизол-натрий (анальгин) является определение иона натрия с пикриновой кислотой.

. Формальдегида при нагревании с минеральными кислотами можно обнаружить по запаху. В присутствии концентрированной серной и салициловой кислот формальдегид образует ауриновый краситель, имеющий интенсивное красное окрашивание.


. Серу в метамизол-натрии (анальгине) можно обнаружить также путем прокаливания препарата со смесью карбонатов натрия и калия. Плав растворяют в азотной кислоте и в фильтрате обнаруживают сульфат-ионы с помощью раствора бария хлорида.

. При окислении метамизол-натрия (анальгина) раствором калия йодата в присутствии кислоты хлороводородной раствор приобретает малиновое окрашивание, а затем выделяется бурый осадок йода за счет взаимодействия калия йодата с образующимся при гидролизе анальгина серы диоксидом:


. Анальгин, обладая основными свойствами, при нагревании с реактивом Миллона (раствор ртути в азотной кислоте) образует темно-синее окрашивание (характерная реакция с общим осадительным реактивом на алкалоиды).

В метамизоле-натрия посторонние примеси (не более 0,5%) устанавливают методом ТСХ на пластинках «Силуфол УФ-254», сравнивая со стандартным образцом вещества свидетеля - 4-аминофеназона. Хроматографирование проводят восходящим методом в системе растворителей: хлороформ-метанол (9:1), просматривают в УФ-свете и сравнивают значения Rf пятен.

5. Количественное определение анальгина


Для количественного анализа используют реакции замещения, а также восстановительные, основные или кислотные свойства ЛС, производных пиразола.

Иодиметрическое определение метамизол-натрия (анальгина) основано на окислении препарата йодом в слабокислой водно-спиртовой среде (до окисления серы (IV) в серу (VI)):


Конец титрования устанавливают по избытку титрованного раствора йода (желтое окрашивание).

Анальгин особенно чувствителен к действию света и влаги, поэтому его следует хранить в хорошо укупоренных банках оранжевого стекла, по списку Б. Пожелтение метамизола-натрия при хранении (особенно в водных растворах) связано с воздействием температуры, кислорода, света, воздуха, процессом гидролиза и др. Исследования, проведенные методами ГЖХ, ТСХ, УФ-, ИК-, ЯМР-спектроскопии, показали, что при этом могут образовываться примеси 4-оксиаминофеназона, N',N'-метиленбисаминофеназона, 4-метиламино-феназона.

 

. Экспериментальная часть

Методика исследования

Описание. Белый или белый с едва заметным желтоватым оттенком крупноигольчатый, кристаллический порошок без запаха, горьковатого вкуса. В присутствии влаги быстро разлагается. Водные растворы при стоянии желтеют.

Растворимость. Растворим в 1,5 ч. воды, 160 ч. 95% спирта, практически нерастворим в эфире, хлороформе и ацетоне.

Подлинность.

. 0,1 г препарата смачивают 2 каплями воды, прибавляют 5 мл 95% спирта и 0,5 мл разведенной соляной кислоты. После растворения препарата прибавляют 5 мл 0,1 н. раствора йодата калия; раствор окрашивается в малиновый цвет, при дальнейшем добавлении реактива окраска усиливается и выделяется бурый осадок.

. 0,2 г препарата нагревают с 2 мл разведенной соляной кислоты; сначала ощущается острый запах сернистого ангидрида, а затем формальдегида.

. Препарат дает характерную реакцию на натрий.

Прозрачность раствора. 5% водный раствор должен быть прозрачным.

Кислотность или щелочность. 0,1 г препарата растворяют в 10 мл свежепрокипяченной и охлажденной воды. Полученный раствор должен давать зеленую окраску с раствором бромтимолового синего. Если появляется синяя окраска, то она должна исчезать от прибавления не более 0,05 мл 0,01 н. раствора соляной кислоты.

Аминоантипирин. 0,2 г препарата смачивают в пробирке 2-3 каплями воды, прибавляют 3 мл спирта, перемешивают до растворения и прибавляют последовательно при перемешивании по 1 капле раствор» аммиака, раствора феррицианида калия и жидкого фенола. Смесь разводят 5 мл воды; раствор должен быть светло-зеленым и не должен приобретать оранжевый и розовый оттенок.

Потеря в весе при высушивании. Около 0,25 г препарата (точная навеска) сушат при 100-105° до постоянного веса. Потеря в весе не должна превышать 5,5%.

Тяжелые металлы. Сульфатная зола из 0,25 г препарата должна выдерживать испытание на тяжелые металлы (не более 0,002% в препарате).

Мышьяк. 0.5 г препарата должны выдерживать испытание на мышьяк (не более 0,0001 % в препарате).

Количественное определение. Около 0,2 г препарата (точная навеска) помещают в сухую колбу, прибавляют 20 мл спирта, 5 мл 0,01 н. раствора соляной кислоты, перемешивают до растворения и титруют 0,1 н. раствором йода до появления желтой окраски раствора, неисчезающей в течение 30 секунд.

мл 0,1 н. раствора йода соответствует 0,01667 г С13Н16N3NaO4S, которого в пересчете на сухое вещество должно быть не менее 99,0%.

Хранение. Список Б. В хорошо укупоренных банках оранжевого, стекла, в защищенном от света месте.

Высшая разовая доза внутрь 1,0 г.

Высшая суточная доза внутрь 3,0 г.

Высшая разовая доза под кожу, внутримышечно, в вену 0,5 г.

Высшая суточная доза под кожу, внутримышечно, в вену 1,5 г.

Болеутоляющее, жаропонижающее, противовоспалительное средство

Результаты исследования

Название и лекарственная форма препарата

Пока-затель

№ п/п

Методика исследования

Результат

Метамизол натрия (Анальгин) Таблетки по 0,5 г

Подлин-ность

1

К 0,2 г порошка растертых таблеток приливают 5 мл спирта, подкисляют 1 мл разведенной соляной кислоты, взбалтывают и фильтруют. К фильтрату прибавляют 5 мл 0,1 н. раствора йодата калия; раствор окрашивается в малиновый цвет, при дальнейшем добавлении реактива окраска усиливается и выделяется бурый осадок.

Соответ-ствует

Метамизол натрия (Анальгин) Таблетки по 0,5 г

Подлин-ность

2

0,2 г порошка растертых таблеток взбалтывают с 10 мл воды, фильтруют. Фильтрат нагревают с 2 мл разведенной соляной кислоты; сначала ощущается острый запах сернистого ангидрида, а затем формальдегида.

Соответ-ствует

Метамизол натрия (Анальгин) Таблетки по 0,5 г

Прозрач-ность и цветность

3

К 0,2 г порошка растертых таблеток приливают 5 мл спирта, подкисляют 1 мл разведенной соляной кислоты, взбалтывают и фильтруют. 5% раствор фильтрата должен быть прозрачным.

Соответ-ствует

Метамизол натрия (Анальгин) Таблетки по 0,5 г

Кислот-ность и щелоч-ность

4

0,2 г порошка растертых таблеток растворяют в 10 мл свежепрокипяченной и охлажденной воды. Полученный раствор должен давать зеленую окраску с раствором бромтимолового синего. Если появляется синяя окраска, то она должна исчезать от прибавления не более 0,05 мл 0,01 н. раствора соляной кислоты.

Соответ-ствует

Метамизол натрия (Анальгин) Таблетки по 0,5 г

Потеря веса при высуши-вании

Около 0,25 г препарата (точная навеска) сушат при 100-105° до постоянного веса. Потеря в весе не должна превышать 5,5%.

Соответ-ствует

Метамизол натрия (Анальгин) Таблетки по 0,5 г

Количес-твенное опреде-ление

6

Около 0,5 г (точная нареска) порошка растертых таблеток помещают в мерную колбу емкостью 50 мл, прибавляют 10 мл воды и взбалтывают в течение 1 минуты, затем доводят объем раствора спиртом до метки, тщательно перемешивают и фильтруют; 25 мл фильтрата вносят в коническую колбу емкостью 100 мл и титруют 0,1 н раствором йода, до появления желтой окраски раствора, неисчезающей в течение 30 секунд. 1 мл 0,1 н. раствора йода соответствует 0,01757 г С13Н16N3NaO4S • Н2О, которого должно быть 0,475-0,525 г, считая на средний вес одной таблетки

Соответ-ствует


Выводы


Исходным продуктом для синтеза анальгина служит аминоантипирин, который обрабатывают бензальдегидом. Полученный «бензилиден-аминоантипирин метилируют диметилсульфатом, при этом получается монометилантипирин). При обработке его смесью водных растворов формальдегида и гидросульфита натрия получают анальгин.

Анальгин - белый или белый с едва заметным желтоватым оттенком крупноигольчатый, кристаллический порошок без запаха, горьковатого вкуса. Он легко растворим в воде, трудно растворим в спирте, нерастворим в эфире, хлороформе и ацетоне. Водные растворы при стоянии желтеют.

Подлинность препарата определяется:

. реакцией с минеральными кислотами при нагревании; ощущается запах диоксида серы и затем формальдегида (продукты разложения метиленсернистокислого натрия).

. по окрашенным продуктам окисления; при добавлении к подкисленному раствору препарата в спиртовой среде окислителя, например йодата калия, раствор окрашивается в малиновый цвет (промежуточные продукты окисления). При дальнейшем добавлении раствора йодата калия окраска усиливается и выделяется бурый осадок йода.

Эти реакции являются фармакопейными и отличают анальгин от антипирина и амидопирина. ГФ допускает содержание в препарате примесей тяжелых металлов и мышьяка в пределах эталонов и не допускает примеси аминоантипирина.

Количественное определение препарата основано на окислении его молекулы йодом (сульфит-ион переходит в сульфат-ион).

Навеску препарата, растворенную в воде, титруют йодом до появления неисчезающего желтого окрашивания раствора.

Анальгин применяется как болеутоляющее, жаропонижающее и противовоспалительное средство при головных болях, невралгии, радикулите, гриппе, ревматизме.

Выпускается в порошке и таблетках по 0,25 и 0,5 г, 50% раствор в ампулах.

Хранить следует в хорошо закупоренных банках в защищенном от света месте. Список Б.

Список использованной литературы


.        Фармацевтична хімія. Підручник для студентів вищ. фармац. начальних закладів і фарм. фак. вищих мед. навчальних закладів III-IV рівня акредитації / За заг. ред. П.О. Безуглого. - Вінниця: Нова книга, 2008. - 560 с.

.        Арзамасцев А.П. Фармакопейный анализ - М.: Медицина, 1971.

.        Беликов В.Г. Фармацевтическая химия. В 2 частях. Часть 1. Общая фармацевтическая химия: Учеб. для фармац. ин-тов и фак. мед. ин-тов. - М.: Высш. шк., 1993. - 432 с.

.        Гетероциклические лекарственные вещества. Учебное пособие по фармацевтической химии / Д.В. Крыльский, А.И. Сливкин. - Воронеж: Воронежский государственный университет, 2007. - 234 с.

.        Глущенко Н. Н. Фармацевтическая химия: Учебник для студ. сред. проф. учеб. заведений / Н. Н. Глущенко, Т. В. Плетенева, В. А. Попков; Под ред. Т. В. Плетеневой. - М.: Издательский центр «Академия», 2004. - 384 с.

.        Драго Р. Физические методы в химии - М.: Мир, 1981

.        Кольтгоф И.М., Стенгер В.А. Объемный анализ В 2 томах - М.: Государственное научно-техническое издательство химической литературы, 1950

.        Коренман И.М. Фотометрический анализ - М.: Химия, 1970

.        Коростелев П. П, Фотометрический и комплексометрический анализ в металлургии - М.: Металлургия, 1984, 272 с.

.        Краснов Е.А., Ермилова Е.В. Курс лекций по фармацевтической химии: учебное пособие. В 2-х ч. Ч. 1. Лекарственные средства гетероциклического ряда - Томск: СибГМУ, 2010. - 196 с.

.        Логинова Н. В., Полозов Г. И. Введение в фармацевтическую химию: Учеб. пособие - Мн.: БГУ, 2003.-250 с.

12.    Мелентьева Г. А., Антонова Л. А. Фармацевтическая химия. - М.: Медицина, 1985.- 480 с.

13.    Фармацевтическая химия: Учеб. пособие / Под ред. Л.П.Арзамасцева. - М.: ГЭОТАР-МЕД, 2004. - 640 с.

.        Фармацевтический анализ лекарственных средств / Под общей редакцией В.А.Шаповаловой - Харьков: ИМП «Рубикон», 1995

.        Фармацевтичний аналіз: Навч. посіб. для студ. вищ. фармац. навч. закл. III-IV рівнів акредитації/П.О. Безуглий, В. О. Грудько, С. Г. Леонова та ін.; За ред. П.О. Безуглого,- X.: Вид-во НФАУ; Золоті сторінки, 2001.- 240 с.

.        Халецкий A.M. Фармацевтическая химия - Ленинград: Медицина, 1966

.        Эшворт М.Р. Титриметрические методы анализа органических соединений кн.1,2 - М.: Химия, 1972


Не нашли материал для своей работы?
Поможем написать уникальную работу
Без плагиата!
Без нейросетей!