Витамины пиримидинового ряда (тиамин)

  • Вид работы:
    Контрольная работа
  • Предмет:
    Медицина, физкультура, здравоохранение
  • Язык:
    Русский
    ,
    Формат файла:
    MS Word
    956,38 kb
  • Опубликовано:
    2010-04-13
Вы можете узнать стоимость помощи в написании студенческой работы.
Помощь в написании работы, которую точно примут!

Витамины пиримидинового ряда (тиамин)

Федеральное агентство по здравоохранению и социальному развитию

Саратовский медицинский колледж Росздрава

 

 

 

 

 

 

 

 

 

 

 

Контрольная работа

Учебная дисциплина Фармацевтическая химия

 

 

 

 

 

 

 

 

 

 

 

 

 

 

2009 год

1.   Теоретическая часть

Методы количественного анализа производных пиразола

1) Йодометрическое определение, обратный метод в присутствии ацетата натрия, спирта или хлороформа (антипирин).

2) Йодометрическое определение, прямое титрование (анальгин)

3) Кислотно-основное титрование в неводной среде (амидопирин, бутадион)

Методы установления подлинности никотинамида, никодина, изониазида

Общие реакции на замещенный цикл пиридина.

1.   Пиролиз. При нагревании кристаллических веществ, производных пиридина с карбонатом натрия, образуется пиридин, обнаруживаемый по характерному запаху.

2.   Цветная реакция с лимонной кислотой и уксусным ангидридом. При нагревании препарата с кристаллической лимонной кислотой и уксусным ангидридом возникает вишневое окрашивание.

Никотинамид. 1) Щелочной гидролиз при нагревании. Образуется аммиак.

2) Нагревание безводного препарата с безводным натрия карбонатом. Образуется пиридин, обнаруживаемый по характерному запаху.


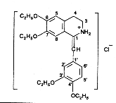
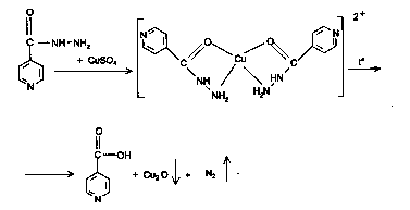
Изониазид. 1) Реакция окисления изониазида аммиачным раствором серебра нитрата и меди сульфата. Если реакцию проводить в нейтральной среде, сначала образуется комплексная соль, а затем (при нагревании) процесс переходит в окислительно-восстановительный с выделением металлического серебра.


2) Реакция с меди сульфатом происходит в 2 этапа. За счет кислотных свойств изониазида сначала образуется комплексная соль голубого цвета. При последующем нагревании происходит окисление препарата с получением желто-зеленого, а затем грязно-желтого окрашивания с одновременным выделением пузырьков газа.

Производные хинолина. Его формула, источники получения

Хинолин (бензопиридин) — конденсированная система, образованная ароматическим бензольным ядром и пиридиновым циклом:


Хинолин представляет собой основание (рКа = 4,9), более сильное, чем анилин (рКа = 4,6), и более слабое, чем пиридин (рКа = 5,2). Как основание хинолин протонируется по атому азота, образуя с минеральными кислотами ограниченно растворимые и устойчивые соли.

Хинолин обладает бактерицидным, антисептическим и жаропонижающим действием, но в медицине не применяется из-за высокой токсичности (низкого значения терапевтического индекса). В настоящее время синтезированы многочисленные производные хинолина с различной фармакологической активностью и среди них хинин, являющийся противомалярийным средством.

К числу природных соединений, производных хинолина, относится большая группа алкалоидов, содержащихся в растениях семейства рутовых, мареновых (в основном в двух родах этого семейства: парнолистниковых, сложноцветных).

Хинное дерево произрастает в Южной Америке (дикорастущее) и культивируется в Индии. В коре этих растений (в «хинной корке») насчитывается более 20 алкалоидов (их содержание колеблется от 2 до 15%). Хинная корка известна как противомалярийное средство с начала XVII в.

Наибольшее значение имеют 4 алкалоида, выделенные из хинной корки, - хинин, хинидин, цинхонин и цинхонидин. Их структурной основой служат две гетероциклические системы: хинолин и хинуклидин (конденсированная система, состоящая из двух пиперидиновых циклов). Эти циклы связаны между собой вторичной спиртовой группой.

Источник получения хинина и его солей — хинная корка «аптечная» и «фабричная». Первую получают главным образом из Cinchona Succiruba, где содержится около 2 % хинина. «Фабричные корки» получают в основном из Cinchona Ledgeriana и Cinchona Calisaya, от 7 до 15 %. Поскольку в растительном сырье алкалоиды находятся в виде солей хинной кислоты, измельченную хинную корку обрабатывают смесью известкового молока со щелочью. Образовавшиеся основания извлекают бензолом: хинин отделяют в виде малорастворимого сульфата, который очищают дальнейшей перекристаллизацией.

Хинина сульфат вновь переводят в основание. Из основания получают хинина дигидрохлорид и гидрохлорид.

Напишите формулу дротаверина гидрохлорида, укажите свойства, применение, условия хранения

Дротаверина гидрохлорид (Но-шпа) – Drotaverini hydrochloridum (No-spa),

1-[(3,4 – диэтоксифенил)метилен]-6,7-диэтокси-1,2,3,4-тетрагидроизлхинолина гидрохлорид.


Зеленовато-желтый кристаллический порошок со слабым запахом. Раствори в оде и спирте.

Действие: Вазодилататор (сосудорасширяющее средство). Миотропный спазмолитик. Применяется при спазмах желудка и кишечника, спазматических запорах, приступах желчно-каменной болезни, язвенной болезни желудка и двенадцатиперстной кишки.

Лекарственные формы: таблетки, раствор для инъекций.

Хранение. Список Б

Отличия рибофлавина от рибофлавина мононуклеотида


Витамин В2 (рибофлавин) представляет собой 6,7-диметил-9-(В-1' -рибитил) -изоаллоксазин:

Кроме рибофлавина, в медицинской практике применяют его коферментную форму - рибофлавина мононуклеотид: 7,8-диметил-10-(1-О-рибитил)-изоаллоксазин-5'-фосфат натрия, или рибофлан – 5 – монофосфат натрия:


Рибофлавин и рибофлавина мононуклеотид - желто-оранжевые кристаллические порошки со слабым специфическим запахом. Мало растворимы в воде, практически нерастворимы в спирте, эфире, хлороформе, растворимы в растворах щелочей. Водные растворы препаратов имеют желтовато-оранжевый цвет с интенсивной флюоресценцией в УФ-свете.

Являются лабильными химическими веществами, легко разлагаются на свету.

Рибофлавин и его производные как полифункциональные вещества обладают определенными кислотно-основными и восстановительными свойствами, а также способностью к гидролитическому расщеплению.

Рибофлавин и его производные — амфотерные соединения. Кислотные свойства связаны главным образом с наличием имидной группы. Очень слабыми кислотными свойствами обладают и спиртовые гидроксильные группы рибитильного остатка. За счет амид-ного фрагмента молекулы рибофлавина образуют комплексные нерастворимые соединения с солями А§+, Со2+, Нg2+ и с солями других тяжелых металлов.

Как основание рибофлавин растворяется в ледяной уксусной кислоте и минеральных кислотах, образует осадки с общеалкалоидными осадительными реактивами.

Окислительно-восстановительные свойства рибофлавина и его производных связаны с наличием сопряженной изоаллоксазиновой системы. Восстановление рибофлавина приводит к образованию бесцветного лейкорибофлавина, который может окисляться до характерно окрашенного рибофлавина.

Химичеcкое строение рибофлавина обусловливает различные типы окисления в зависимости от условий проведения процесса. Рибофлавин окисляется при действии различных окислителей (калия перманганат, калия дихромат и др.).

При окислении препарата концентрированной Н24 образуется продукт красного цвета.

При действии на препарат раствора периодата натрия окисляется рибитильный фрагмент молекулы (реакция Малапрада). Данная реакция лежит в основе одной из методик количественного определения лекарственного вещества:

Выделившуюся в результате реакции кислоту муравьиную оттитровывают (потенциометрически или в присутствии индикатора) стандартным раствором натрия гидроксида.

По другой методике после действия периодатом к раствору прибавляют натрия йодид и кислоту серную. Выделившийся в результате реакции иод оттитровывают стандартным раствором натрия тиосульфата.

Разбавленный раствор рибофлавина в воде имеет яркую зеленую флюоресценцию при подсвечивании в УФ-свете, исчезающую при добавлении как раствора кислоты, так и раствора щелочи.

Добавление гидросульфита натрия приводит к исчезновению и флюоресценции, и окрашивания.

При действии кислоты и УФ-света образуется люмихром (производное изоаллоксазина), а при действии щелочи — люмифлавин (производное изоаллоксазина):

Количественное определение.

Химическая структура рибофлавина позволяет применять для его количественного определения различные методики химического и физико-химического анализа:

1) УФ-спектрофотометрию (Д.тах = 267 нм);

2) спектрофотометрию в видимой области (А,тах = 444 нм);

3) флуориметрические методики;

4) периодатное окисление (реакция Малапрада);

5) метод ацетилирования.

2. Ответ на тестовые задания

8 – В

17 – В

24 – Б,В

33 – В

44 – Г

56 – Б

67 – А

74 – В

85 - А

3. Витамины пиримидинового ряда (тиамин)

Введение

 

Термин «витамин» (буквально «амин жизни») предложен Функом, выделившим фракцию из водного экстракта рисовых отрубей, обладающую выраженными основными свойствами (1911—1912). В 1934 г. Вильяме из 1 т рисовых отрубей выделил несколько граммов витамина В12 а в 1936 г. доказал его строение.

Организм животных и человека нуждается в поступлении витамина В1 (тиамина) извне с продуктами питания. Тиамин содержится в отрубях хлебных злаков (особенно в рисовых отрубях), дрожжах.

Тиамин, всасываясь из кишечника, фосфорилируется и превращается в тиамин-пирофосфат (дифосфат). В этой форме он является коферментом декарбоксилаз, участвующих в окислительном декарбоксилировании кетокислот (пировиноградной, α-кето-глугаторовой).

Тиамин является двукислотным основанием и поэтому образует 2 рода солей — хлориды и гидрохлориды (бромиды и гидробромиды). Фосфотиамин и кокарбоксилаза - сложные эфиры тиамина и фосфорной кислоты, т.е. коферменты.

Эти препараты — белые порошки с характерным запахом, хорошо растворимы в воде, имеют кислую реакцию среды (как соли слабых органических оснований с сильными минеральными кислотами).

Бенфотиамин — синтетический лекарственный препарат, близкий по строению к тиамину и его коферментным формам. В отличие от препаратов-предшественников практически нерастворим в воде.

1. Стабильность. Реакции подлинности


Тиамин и его производные принадлежат к очень неустойчивым соединениям витаминов. Так, тиамин под действием кислорода воздуха превращается в тиохром и тиаминдисульфид.

Разрушение тиамина вызывают также восстановители, сильно кислая или щелочная среда, свет (особенно УФ-лучи), повышение температуры. В растворах тиамина значение рН не должно превышать 4. За пределами оптимальной области рН повышение температуры больше способствует разложению препарата, чем присутствие кислорода.

Реакции подлинности.

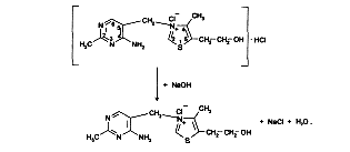
Специфическая общегрупповая реакция подлинности тиамина и его препаратов — образование тиохрома. Сущность испытания заключается в постепенном окислении тиамина в щелочной среде (всего затрачивается 3 эквивалента щелочи) с образованием трицикличе-ского производного тиамина (тиохрома), способного давать синюю флюоресценцию в среде бутанола или изоамилового спирта при УФ-облучении.

Реакция идет в несколько стадий. На 1-й стадии происходит частичная нейтрализация препарата как соли галогеноводородной кислоты (1-й эквивалент щелочи):


На 2-й стадии образовавшийся тиамина хлорид нейтрализуется (2-м эквивалентом щелочи) как соль четвертичного аммониевого основания до тиамина гидроксида:


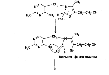
Образовавшийся тиамина гидроксид изомеризуется в псевдооснование тиамина:


При действии 3-го эквивалента щелочи происходит раскрытие тиазолового кольца с образованием тиольной формы тиамина, которая при дегидратации превращается в циклическую форму тиаминтиола. Окисление последнего приводит к образованию тиохрома:



Тиохром образуют также фосфотиамин и кокарбоксилаза, но не бенфотиамин.

Как соли азотистых оснований препараты тиамина взаимодействуют с общеалкалоидными осадительными реактивами (реактивы Вагнера, Драгендорфа, Майера, гетерополикислотами — кремневоль-фрамовой, пикриновой, танином и др.) с образованием характерно окрашенных осадков.

2. Методы количественного определения

 

Химическая структура лекарственных веществ, производных витамина В1, позволяет применить различные методы их химического и физико-химического количественного определения:

1)кислотно-основное титрование (в водной и неводной средах);

2)осадительное титрование (аргентометрия);

3)физико-химические методики (спектрофотометрические, ФЭК, нефелометрические);

4)гравиметрия.

Тиамина бромид количественно определяют гравиметрически в виде комплекса препарата с кремневольфрамовой кислотой.

Для количественного определения тиамина бромида применяют также аргентометрическую методику. Определение проводят в 4 стадии. На 1-й стадии осуществляют нейтрализацию тиамина бромида как NН- кислоты 0,1 М раствором натрия гидроксида.

Далее (2-я стадия) готовят индикатор — железа (III) тиоцианат. Для этого к определенному объему 0,1М раствора аммония тиоцианата добавляют раствор железоаммониевых квасцов.

На 3-й стадии сумму бромидов оттитровывают 0,1М раствором серебра нитрата.

На заключительной, 4-й стадии оттитровывают полученный на 2-й стадии железа (III) тиоцианат 0,1 М раствором серебра нитрата.

Объем 0,1 М раствора серебра нитрата, пошедшего на титрование непосредственно тиамина бромида, рассчитывают по разнице между общим объемом титранта и объемами растворов натрия гидроксида и аммония тиоцианата.

Количественное определение тиамина хлорида проводят методом кислотно-основного титрования в среде ледяной уксусной кислоты (как соли двукислотного основания). Для связывания галогенид-иона добавляют ртути (II) ацетат.

Заключение

 

Недостаток тиамина ведет к нарушению углеводного обмена, а затем и к другим нарушениям метаболизма (в мышечных тканях накапливаются пировиноградная и молочная кислота), функции нервной системы (проявляются полиневритом и мышечной слабостью), к заболеванию бери-бери, парезам, параличам, кожной патологии.

Применяют препараты тиамина при невритах, невралгиях, радикулите, кожных заболеваниях, а также для профилактики и лечения авитаминоза В1.

Потребность человека в тиамине составляет примерно 1 мг в день.

Препараты витамина В1: тиамина бромид (хлорид) и его коферментные формы — кокарбоксилазы гидрохлорид, фосфотиамин и бенфотиамин.

 


Список литературы


1) www.medkurs.ru

2) www.xumuk.ru

3) Фармацевтическая химия: учебное пособие / под ред. А.П. Арзамасцева. – 3 –е изд., испр. – М.: ГЭОТАР – Медиа, 2006.

4) Глущенко Н.Н., Плетнева Т.В., Попков В.А, Фармацевтическая химия – М.: Академия, 2004.

5) Сборник приказов для фармацевта – 2002.

Похожие работы на - Витамины пиримидинового ряда (тиамин)

 

Не нашли материал для своей работы?
Поможем написать уникальную работу
Без плагиата!
Без нейросетей!