Розробка керуючого автомата і синтез комбінаційних схем
КУРСОВА РОБОТА
Розробка керуючого автомата і синтез комбінаційних схем
Вступ
Керуючий автомат - це електрична
схема, призначена для зберігання й перетворення двійкових змінних по заданому
алгоритму.
Комбінаційні схеми здійснюють
відображення визначеної множини вхідних логічних змінних у вихідні.
Практичнее застосування данного
автомата можливе в області обчислювальної техніки.
У даній роботі розробка
керуючого автомата і синтез комбінаційних схем виконується на підставі «Технічного
завдання ІАЛЦ.463626.002 ТЗ».
1. Синтез автомата
1.1 Побудова
графічної схеми алгоритму та розмітка станів автомата
алгоритм
автомат алгебра комбінаційний
Відповідно до технічного
завдання складаємо графічну схему алгоритму (рис 1.1) з урахуванням тривалості
сигналів і виконуємо розмітку станів автомата.
1.2 Побудова графа та
кодування станів автомата
Згідно з блок-схемою
алгоритму будуємо граф автомата Мура та виконуємо кодування станів (рис 1.2).
Рисунок 1.2 Граф
автомата зі закодованими вершинами
1.3 Побудова таблиці
переходів тригера
Для синтезу логічної
схеми автомата необхідно виконати синтез функцій збудження тригерів та вихідних
функції автомата. Автомата має 9 станів, тому кількість тригерів за формулою
дорівнює K >= ]log2N[ = ]log29[ = 4.
Рисунок 1.3 Таблиця
переходів тригера
Запишемо таблицю
переходів RS-тригерів, на яких необхідно використати у побудові автомата
(рис.1.3).
1.4 Побудова
структурної таблиці автомата
Використовуючи дані
графа автомата з рис.1.2 заповнюємо структурну таблицю (табл. 1.1).
Таблиця 1.1 Структурна
таблиця автомата.
|
Перехід
|
Старий стан
|
Новий стан
|
Вхідні сигнали
|
Вихідні сигнали
|
Функції збудження тригерів
|
|
Q4
|
Q3
|
Q2
|
Q1
|
Q4
|
Q3
|
Q2
|
Q1
|
X2
|
X1
|
Y1
|
Y2
|
Y3
|
Y4
|
Y5
|
R4
|
S4
|
R3
|
S3
|
R2
|
S2
|
R1
|
S1
|
|
Z1->Z2
|
0
|
0
|
0
|
0
|
0
|
1
|
0
|
0
|
1
|
-
|
0
|
0
|
0
|
0
|
0
|
-
|
0
|
0
|
1
|
-
|
0
|
-
|
0
|
|
Z2->Z3
|
0
|
1
|
0
|
0
|
0
|
1
|
0
|
1
|
-
|
-
|
1
|
1
|
0
|
0
|
0
|
-
|
0
|
0
|
-
|
-
|
0
|
0
|
1
|
|
Z3->Z2
|
0
|
1
|
0
|
1
|
0
|
1
|
0
|
0
|
1
|
-
|
1
|
0
|
0
|
0
|
0
|
-
|
0
|
0
|
-
|
-
|
0
|
1
|
0
|
|
Z3->Z4
|
0
|
1
|
0
|
1
|
0
|
0
|
0
|
1
|
0
|
-
|
1
|
0
|
0
|
0
|
0
|
-
|
0
|
1
|
0
|
-
|
0
|
0
|
-
|
|
Z1->Z4
|
0
|
0
|
0
|
0
|
0
|
0
|
0
|
1
|
0
|
-
|
0
|
0
|
0
|
0
|
0
|
-
|
0
|
-
|
0
|
-
|
0
|
0
|
1
|
|
Z4->Z5
|
0
|
0
|
0
|
1
|
0
|
0
|
1
|
1
|
-
|
-
|
0
|
0
|
0
|
1
|
1
|
-
|
0
|
-
|
0
|
0
|
1
|
0
|
-
|
|
Z5->Z5
|
0
|
0
|
1
|
1
|
0
|
0
|
1
|
1
|
0
|
-
|
0
|
1
|
0
|
0
|
0
|
-
|
0
|
0
|
-
|
0
|
-
|
0
|
-
|
|
Z5->Z6
|
0
|
0
|
1
|
1
|
0
|
1
|
1
|
1
|
1
|
-
|
0
|
1
|
0
|
0
|
0
|
-
|
0
|
0
|
1
|
0
|
-
|
0
|
-
|
|
Z6->Z7
|
0
|
1
|
1
|
1
|
1
|
1
|
1
|
1
|
-
|
-
|
0
|
0
|
1
|
0
|
0
|
0
|
1
|
0
|
-
|
0
|
-
|
0
|
-
|
|
Z7->Z8
|
1
|
1
|
1
|
1
|
1
|
1
|
1
|
0
|
-
|
-
|
1
|
0
|
1
|
0
|
0
|
0
|
-
|
0
|
-
|
0
|
-
|
1
|
0
|
|
Z8->Z9
|
1
|
1
|
1
|
0
|
0
|
1
|
1
|
0
|
-
|
1
|
1
|
0
|
0
|
0
|
0
|
1
|
0
|
0
|
-
|
0
|
-
|
-
|
0
|
|
Z8->Z1
|
1
|
1
|
1
|
0
|
0
|
0
|
0
|
0
|
-
|
0
|
1
|
0
|
0
|
0
|
0
|
1
|
0
|
1
|
0
|
1
|
0
|
-
|
0
|
|
Z9->Z1
|
0
|
1
|
1
|
0
|
0
|
0
|
0
|
0
|
-
|
0
|
0
|
1
|
0
|
0
|
-
|
0
|
1
|
0
|
1
|
0
|
-
|
0
|
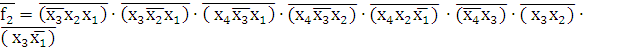
На основі структурної
таблиці автомата (табл.1.1) виконаємо синтез комбінаційних схем для вихідних
сигналів та функцій збудження тригерів. Аргументами функцій збудження тригерів
у автоматі Мура є коди станів та вхідні сигнали, для вихідних сигналів - лише
коди станів. Виконаємо мінімізацію вищевказаних функцій за допомогою діаграм
Вейча (рис. 1.4, 1.5). Зауважимо, що операторні представлення функцій
сформовані враховуючи елементний базис: 3І-НЕ, 2І.
Рисунок 1.4 Мінімізація
функцій збудження тригерів



Рисунок 1.5 Мінімізація
функцій збудження тригерів та вихідних сигналів
R4 =
S4 =
3 =
S3 =
2 =
S2 =
1 =
S1 =
Y1 =
2 =
3 =
4 = Y5 =
Даних достатньо для
побудови функцій збудження тригерів та вихідних сигналів, з яких складається
автомат. Автомат будуємо на RS-тригерах, роботу яких синхронізує генератор.
Схема даного пристрою
виконана згідно з єдиною системою конструкторської документації (ЕСКД) і
наведена у документі «Автомат керуючий. Схема електрична функціональна
ІАЛЦ.463626.003 Э2».
2. Синтез
комбінаційних схем
Функцію задано таблицею істинності:
Таблиця 2.1 Таблиця
істинності функції
|
X4
|
X3
|
X2
|
X1
|
F4
|
|
0
|
0
|
0
|
0
|
0
|
|
0
|
0
|
0
|
1
|
1
|
|
0
|
0
|
1
|
0
|
0
|
|
0
|
0
|
1
|
1
|
1
|
|
0
|
1
|
0
|
0
|
0
|
|
0
|
1
|
0
|
1
|
0
|
|
0
|
1
|
1
|
0
|
0
|
|
0
|
1
|
1
|
1
|
0
|
|
1
|
0
|
0
|
0
|
1
|
|
1
|
0
|
0
|
1
|
1
|
|
1
|
0
|
1
|
0
|
1
|
|
1
|
0
|
1
|
1
|
0
|
|
1
|
1
|
0
|
0
|
1
|
|
1
|
1
|
0
|
1
|
0
|
|
1
|
1
|
1
|
0
|
0
|
|
1
|
1
|
1
|
1
|
1
|
2.1 Представимо функцію
f4 в канонічних формах алгебри Буля, Желагкіна, Пірса та Шеффера
Алгебра Буля (І, АБО,
НЕ)
Запишемо функцію в
диз’юнктивній та кон’юнктивній нормальних формах:
FДДНФ =
.
FДКНФ = 
Алгебра Жегалкіна (викл.
АБО, І, const 1)
Одержуємо з ДДНФ шляхом
наступних замін:
- АБО замінити на викл. АБО
-
= X
1
FДДНФ =

Алгебра Пірса(АБО-НЕ)
Одержуємо з ДКНФ шляхом
застосування правила де-Моргана:
FДКНФ =

Алгебра Шеффера (І-НЕ)
Отримуємо з ДДНФ шляхом
застосування правила де-Моргана
FДДНФ =
2.2 Визначимо
належність функції f4 до 5 передповних класів
К0 - включає
всі функції, які зберігають 0;
К1 - включає
всі функції, які зберігають 1;
КС - включає
всі самодвоїсті функції;
КЛ - включає
всі лінійні функції;
КМ - включає
всі функції, які монотонні.
|
Класи
|
К0
|
К1
|
КС
|
КЛ
|
КМ
|
|
|
f4
|
+
|
+
|
-
|
-
|
-
|
|
0 - зберігає нуль f(0000)=0;
K1 - зберігає одиницю
f(1111)=1;
КС - не
самодвоїста f(0001)=1 f(1110)=1;
КЛ - поліном
Жегалкіна не є лінійним;
КМ - не
монотонна f(0011)=1 f(0111)=0.
2.3 Мінімізація функції
f4
Мінімізація функції
методом невизначених коефіцієнтів
Суть методу полягає в
знаходженні ненульових коефіцієнтів при кожній імпліканті. Запишемо рівняння
для знаходження коефіцієнтів у вигляді таблиці (таб.2.1). Викреслимо рядки, де
функція приймає нульові значення. Викреслимо вже знайдені нульові коефіцієнти в
тих рядках таблиці, що залишилися. Не викреслені імпліканти поглинають імпліканти
розташовані справа від них.
Таб.2.2 Мінімізація
методом невизначених коефіцієнтів
|
f4
|
X4
|
X3
|
X2
|
X1
|
X4X3
|
X4X2
|
X4X1
|
X3X2
|
X3X1
|
X2X1
|
X4X3X2
|
X4X3X1
|
X4X2X1
|
X3X2X1
|
X4X3X2X1
|
|
0
|
0
|
0
|
0
|
0
|
00
|
00
|
00
|
00
|
00
|
00
|
000
|
000
|
000
|
000
|
0000
|
|
1
|
0
|
0
|
0
|
1
|
00
|
00
|
01
|
00
|
01
|
01
|
000
|
001+
|
001
|
001-
|
0001*
|
|
0
|
0
|
0
|
1
|
0
|
00
|
01
|
00
|
01
|
00
|
10
|
001
|
000
|
010
|
010
|
0010
|
|
1
|
0
|
0
|
1
|
1
|
00
|
01
|
01
|
01
|
01
|
11
|
001
|
001+
|
011
|
011
|
0011*
|
|
0
|
0
|
1
|
0
|
0
|
01
|
00
|
00
|
10
|
10
|
00
|
010
|
010
|
000
|
100
|
0100
|
|
0
|
0
|
1
|
0
|
1
|
01
|
00
|
01
|
10
|
11
|
01
|
010
|
011
|
001
|
101
|
0101
|
|
0
|
0
|
1
|
1
|
0
|
01
|
01
|
00
|
11
|
10
|
10
|
011
|
010
|
010
|
110
|
0110
|
|
0
|
0
|
1
|
1
|
1
|
01
|
01
|
01
|
11
|
11
|
11
|
011
|
011
|
011
|
111
|
0111
|
|
1
|
1
|
0
|
0
|
0
|
10
|
10
|
10
|
00
|
00
|
00
|
100-
|
100+
|
100+
|
000
|
1000*
|
|
1
|
1
|
0
|
0
|
1
|
10
|
10
|
11
|
00
|
01
|
01
|
100-
|
101
|
101
|
001-
|
1001*
|
1
|
0
|
1
|
0
|
10
|
11
|
10
|
01
|
00
|
10
|
101
|
100+
|
110
|
010
|
1010*
|
|
0
|
1
|
0
|
1
|
1
|
10
|
11
|
11
|
01
|
01
|
11
|
101
|
101
|
111
|
011
|
1011
|
|
1
|
1
|
1
|
0
|
0
|
11
|
10
|
10
|
10
|
10
|
00
|
110
|
110
|
100+
|
100
|
1100*
|
|
0
|
1
|
1
|
0
|
1
|
11
|
10
|
11
|
10
|
11
|
01
|
110
|
111
|
101
|
101
|
1101
|
|
0
|
1
|
1
|
1
|
0
|
11
|
11
|
10
|
11
|
10
|
10
|
111
|
110
|
110
|
110
|
1110
|
|
1
|
1
|
1
|
1
|
1
|
11
|
11
|
11
|
11
|
11
|
11
|
111
|
111
|
111
|
111
|
1111+
|
Ядро
FТДНФ1 =
FТДНФ2 =
FМДНФ =
.
Мінімізація методом
Квайна-Мак-Класкі
Виходячи з таблиці
істинності запишемо стовпчик ДДНФ, розподіливши терми за кількістю одиниць.
Проведемо попарне склеювання між сусідніми групами.
К0:
К1:
1111
X1
X001
X
10X0
X00
Подальше склеювання не
можливе. Виконаємо поглинання термів:
К0: К1:0001
1000
0011
1100
1111
X1+
X001+
X+
X0+
X00+Побудуємо таблицю
покриття (таб.2.3):
Таблиця 2.3 Таблиця
покриття
|
0001
|
1000
|
0011
|
1001
|
1010
|
1100
|
1111
|
|
00X1
|
V
|
|
V
|
|
|
|
|
|
X001
|
V
|
|
|
V
|
|
|
|
|
100X
|
|
V
|
|
V
|
|
|
|
|
10X0
|
|
V
|
|
|
V
|
|
|
|
1X00
|
|
V
|
|
|
|
V
|
|
|
1111
|
|
|
|
|
|
|
V
|
Ядро
FТДНФ1 =
FТДНФ2 =
FМДНФ =
.
Мінімізація методом діаграм Вейча
Виконаємо мінімізацію
методом діаграм Вейча. Цей метод зручний, коли кількість аргументів функції не
перевищує п’яти. Кожна клітинка відповідає одній костітуенті, а об’єднання з
декількох клітинок - імпліканті (рис. 2.1):
Рисунок 2.1 Діаграма
Вейча
FМДНФ =
2.4 Спільна мінімізація
системи функцій f1, f2, f3
Система перемикальних
функцій задана таблицею істинності (таб.2.4):
Таблиця 2.4 Таблиця
істинності системи функцій
|
X4
|
X3
|
X2
|
X1
|
F1
|
F2
|
F3
|
F4
|
|
0
|
0
|
0
|
0
|
1
|
1
|
1
|
0
|
|
0
|
0
|
0
|
1
|
1
|
1
|
0
|
1
|
|
0
|
0
|
1
|
0
|
1
|
1
|
1
|
0
|
|
0
|
0
|
1
|
1
|
0
|
0
|
0
|
1
|
|
0
|
1
|
0
|
0
|
▬
|
0
|
1
|
0
|
|
0
|
1
|
0
|
1
|
0
|
0
|
0
|
0
|
|
0
|
1
|
1
|
0
|
1
|
▬
|
▬
|
0
|
|
0
|
1
|
1
|
1
|
▬
|
▬
|
1
|
0
|
|
1
|
0
|
0
|
0
|
1
|
1
|
1
|
1
|
|
1
|
0
|
0
|
1
|
0
|
0
|
1
|
1
|
|
1
|
0
|
1
|
0
|
0
|
0
|
0
|
1
|
|
1
|
0
|
1
|
1
|
0
|
0
|
0
|
0
|
|
1
|
1
|
0
|
0
|
1
|
▬
|
1
|
1
|
|
1
|
1
|
0
|
1
|
0
|
0
|
0
|
0
|
|
1
|
1
|
1
|
0
|
0
|
0
|
0
|
0
|
|
1
|
1
|
1
|
1
|
1
|
1
|
1
|
1
|
Щоб одержати схему з
мінімальними параметрами, необхідно виконати сумісну мінімізацію системи
функцій.
Виконаємо мінімізацію
системи функцій f1, f2, f3 методом
Квайна-Мак-Класкі. Цей метод базується на співвідношеннях неповного склеювання
та поглинання. Особливістю методу є використання цифрової форми запису термів
перемикальних функцій. У цьому випадку зменшується кількість символів для
подання термів і кількість операцій у процесі мінімізації, що робить метод
зручним для програмної реалізації.
Визначимо кожну з функцій
(базис І/АБО-НЕ):
Представимо функції у
базисі І-НЕ/І:
Представимо функції у
базисі АБО/І:
Представимо функції у
базисі АБО-НЕ/АБО-НЕ:

2.5 Одержання
операторного представлення функцій на ПЛМ
Для програмування ПЛМ
використовують нормальні форми І/АБО та І/АБО-НЕ. Розглянемо програмування ПЛМ
для реалізації системи перемикальних функцій, що подані в нормальній формі
І/АБО:
1 =
2 =
3 =
Зробимо заміну позначень
термів системи:
Р1
Р2
Р3
Р4
Р5
Р6
Р7
Тоді функції виходів
описуються системою:
1 =
Р1
Р2
Р3
Р42 =
Р3
Р4
Р5
Р63 =
Р1
Р2
Р3
Р7
Визначимо мінімальні
параметри ПЛМ:
N = 4 - кількість інформаційних входів, що дорівнює кількості
аргументів системи перемикальних функцій.
Р = 7 - число проміжних
внутрішніх шин, яке дорівнює кількості різних термів системи.
М = 3 - число
інформаційних виходів, що дорівнює кількості функцій виходів.
Побудуємо спрощену
мнемонічну схему ПЛМ (4,7,3) (рис. 2.2):
Рисунок 2.2
Мнемонічна схема ПЛМ
Складемо карту
програмування ПЛМ (4,7,3) (табл.2.7):
Таблиця 2.5. Карта
програмування ПЛМ
|
№ шини
|
Входи
|
Виходи
|
|
Х1
|
Х2
|
Х3
|
Х4
|
Y1
|
Y2
|
Y3
|
|
1
|
0
|
-
|
-
|
0
|
1
|
-
|
1
|
|
2
|
0
|
-
|
-
|
1
|
-
|
1
|
|
3
|
1
|
1
|
1
|
-
|
1
|
1
|
1
|
|
4
|
-
|
0
|
0
|
0
|
1
|
1
|
-
|
|
5
|
0
|
0
|
0
|
-
|
-
|
1
|
-
|
|
6
|
0
|
-
|
0
|
0
|
-
|
1
|
-
|
|
7
|
-
|
0
|
0
|
1
|
-
|
-
|
1
|
Висновок
Згідно з завданням даної
курсової роботи необхідно було за номером залікової книжки, переведеним в
двійкову систему числення, побудувати
блок-схему автомата, визначити тип автомата, типи використовуваних тригерів,
набір логічних елементів, сигнал з подвійною тривалістю, визначити систему з
чотирьох перемикальних функцій. Використовуючи ці дані, треба було провести
абстрактний та структурний синтез автомата і побудувати його. Систему з перших
трьох перемикальних функцій із заданої таблиці необхідно було мінімізувати і
отримати операторні представлення для реалізації системи на програмованих
логічних матрицях.
Для виконання завдання
були розкодовані вихідні таблиці завдання варіанта. При побудові автомата була
проведена побудова графа з урахуванням сигналів подвійної тривалості, зашифровані
стани автомата, побудована структурна схема автомата, мінімізована система з
функцій виходів і функцій збудження тригерів, був побудований і відлагоджений
автомат. При виконанні другої частини роботи: мінімізована функція f4
різними методами, f4 представлена в канонічних формах алгебр Буля,
Жегалкіна, Пірса і Шеффера, а також проведена сумісна мінімізація системи
функцій з наступною реалізацією на програмованих логічних матрицях.
Список літератури
1. Жабин В.И.,
Жуков И.А., Клименко И.А., Ткаченко В.В.. Прикладная теория цифровых автоматов.
- К.: Книжное издательство НАУ, 2011. - 364 с.