Проведение вычислительного эксперимента
СОДЕРЖАНИЕ
Введение
1
Исследовательский раздел
.1
Постановка задачи экстремального управления
1.2 Анализ объектов с нелинейными
характеристиками и алгоритмов поиска экстремума
1.3
Постановка задачи дипломного проекта
Специальный
раздел
.1
Структурная схема СЭР, описание системы
2.2 Описание объектов СЭУ с
выделяемой и невыделяемой нелинейной характеристикой
.3 Описание алгоритма поиска
экстремума с запоминанием экстремума
.4 Анализ точности работы СЭУ с
выделяемой и невыделяемой нелинейной характеристикой
3
Технологический раздел
.1
Разработка алгоритма и программы поиска экстремума
4 Проведение вычислительного
эксперимента
4.1 Исследование процессов в СЭУ с
математической моделью объекта с выделяемой нелинейной характеристикой
.2 Исследование процессов в СЭУ с
математической моделью объекта с невыделяемой нелинейной характеристикой
.3 Сравнение работы СЭУ при
различных математических моделях
Заключение
Список используемых источников
Приложения
ВВЕДЕНИЕ
Развитие современной техники и совершенствование
технологии производства обуславливают появление новых специфических классов
динамических объектов, а также повышение требований к качеству работы систем
автоматического управления.
Среди основных направлений современной теории
управления выделяется проблема синтеза автоматических систем в условиях
неполной информации о переменных параметрах объекта и внешних возмущающих
воздействиях. В ситуации, когда требуется на экстремальном уровне поддерживать
некоторый показатель качества работы динамической системы, зависящей от свойств
объекта управления и действующих на него возмущений, необходимо создавать
специальные автоматические системы, которые принято называть системами
экстремального регулирования. Такие системы в процессе работы должны
обеспечивать достижение минимума или максимума функции качества при достаточно
априорной информации о характере ее изменений, а также стабилизацию выхода
относительно точки экстремума. Подобная задача возникает, в частности, при
поддержании скорости самолета, соответствующей минимуму расхода горючего на
единицу длины пути. Другими примерами систем экстремального регулирования могут
служить различные типы топок, реактивные двигатели самолетов, аппараты для
выпаривания соков, флотационные машины обогатительных фабрик, радиотехнические
устройства, объекты химической промышленности и т.д.
Впервые общая постановка задачи экстремального
регулирования, как нового направления автоматизации технологических процессов,
дана Вильямом Викторовичем Казакевичем в 1944 г.
Большой вклад в развитие теории и практики
систем экстремального регулирования внесли отечественные и зарубежные ученые
А.А.Красовский, А.П. Юркевич, JI.A.
Растригин, Ч.Дрейлер, Р.Перре и др.
Значительная инерционность оптимизируемых
процессов, наличие технологических возмущений, приводящих к интенсивному
смещению (дрейфу) статических характеристик, периодический (колебательный)
режим работы системы экстремального регулирования (СЭР) серьезно усложняют и
затрудняют широкое распространение СЭР на производстве.
Появление и широкое распространение современных
свободно программируемых микропроцессорных контроллеров позволяют значительно
расширить область применения СЭР за счет разработки и реализации оптимизирующих
алгоритмов управления (ОАУ).
Использование ОАУ позволит ощутимо повысить эффективность
функционирования СЭР и создать новые, более современные методы поиска,
программно реализуемые на современных технических средствах.
Проблема разработки, исследования и
использования систем экстремального регулирования (СЭР) является одной из важнейших
в области автоматизации. Эти системы относятся к простейшему классу систем
автоматической оптимизации (САО) и обладают высокой эффективностью и повышенным
интеллектом по сравнению с широко используемыми в промышленности системами
автоматического регулирования (САР), в которых требуемое значение регулируемой
величины было заранее задано либо постоянным, либо изменяющимся по определенной
программе во времени.
Преимущество СЭР в том, что при их применении не
требуется значительная начальная информация об оптимизируемом процессе.
Необходимым условием эффективного применения СЭР является наличие нелинейной
экстремального вида статической характеристики оптимизируемого процесса.
Поскольку вид и текущее положение экстремальной
статической характеристики у = f(x)
в реальных условиях заранее не определены, то СЭР действует по принципу поиска.
Здесь х - текущее значение входного управляющего воздействия; у - текущее
установившееся значение выходного параметра оптимизируемого процесса. В
экстремальных системах уровень, на котором поддерживается регулируемая
величина, вырабатывается в процессе поиска при действии системы по условиям ее
оптимизации.
Поиск заключается в следующем. На вход
управляемого объекта (оптимизируемого технологического или производственного процесса)
подается поисковое (тестирующее) воздействие и определяется реакция (отклик)
объекта управления на это входное воздействие. После анализа реакции объекта
управления на поисковое входное воздействие определяется дальнейшее направление
и величина рабочего (последующего) входного воздействия на оптимизируемый
процесс. В результате устанавливается только такое движение системы, при
котором функция приближается к ее экстремуму.
Экстремальные системы совместно с входящими в их
комплект устройствами формирования входного сигнала и некоторыми
дополнительными устройствами позволяют:
ü устанавливать исполнительный
орган объекта в положение, соответствующее экстремуму (максимуму или минимуму)
функции, характеризующей эффективность или экономичность режима работы объекта;
ü поддерживать режим объекта
вблизи экстремума функции при действии низкочастотных возмущений и различных
помех, а также при изменении условий работы объекта, смещающих положение и
уровень экстремума функции;
ü при большой инерционности
объекта осуществлять поиск экстремума функции (с применением специальных
средств) за сравнительно малое время (порядка постоянной времени объекта);
ü устанавливать режим работы
объекта с определенным заданным удалением от точки экстремума функции;
ü устанавливать и поддерживать
режим работы объекта в области, соответствующей заданному оптимальному наклону
функциональной кривой и при отсутствии экстремума;
ü автоматически прекращать
пробные движения после окончания процесса поиска экстремума функции при
неизменном его положении, устанавливать исполнительный орган в среднее
положение после его колебаний вокруг точки, соответствующей экстремуму функции,
и после прекращения пробных движений в случае изменений условий работы объекта
или появления внешних воздействий, автоматически переключаться на режим поиска
экстремума.
Для характеристики процессов поиска при
экстремальном регулировании используются понятия, принятые в теории
регулирования, а именно: качество переходного процесса, переходная функция,
точность регулирования, время регулирования и др.
Неослабевающий интерес к задаче синтеза систем
экстремального регулирования подтверждает тот факт, что не решены многие
вопросы, возникающие в рамках данной проблемы. Несмотря на огромные усилия,
прилагавшиеся с 1940 - 1970 гг., а также успех практического применения,
проектирование автоматических систем поиска экстремума все еще остается без
прочного теоретического обоснования и четких методик синтеза. В большинстве
случаев разработка алгоритмов экстремального регулирования базируется на
предположении, что динамическую часть объекта можно представить в классе
линейных моделей. Однако технологические процессы чаще всего являются объектами
со сложными нелинейными взаимосвязями между регулируемыми параметрами,
функционирующими в условиях неопределенности, поэтому проектируемые для них
автоматические системы должны обеспечивать автономное управление каждой из
совокупности регулируемых величин и инвариантность по отношению к внешним
неконтролируемым возмущениям.
Для объектов с экстремальной характеристикой,
функционирующих в условиях неопределенности, регулярных методик проектирования
автоматических систем к настоящему времени не разработано. В связи с этим
задача синтеза систем экстремального регулирования, свойства которых инвариантны
по отношению к дрейфующему экстремуму, переменным параметрам динамической части
объекта и внешним возмущениям, является актуальной и одной из сложных проблем
современной теории и практики автоматического регулирования.
1 ИССЛЕДОВАТЕЛЬСКИЙ РАЗДЕЛ
1.1 ПОСТАНОВКА ЗАДАЧИ ЭКСТРЕМАЛЬНОГО УПРАВЛЕНИЯ
Задачей всякого управления являются организация
и реализация целенаправленного воздействия на объект управления. Управление
представляет собой процесс изыскания и реализации мер по переводу объекта в
желаемое состояние.
Понятие управления связано с такими исходными
понятиями, как «объект управления», «воздействие» и «цель».
Под объектом управления мы будем понимать часть
окружающего нас мира (среды), выделенную таким образом, что выполняются по
крайней мере два условия:
ü на объект можно
воздействовать;
ü это воздействие в принципе
может приблизить нас к осуществлению поставленных целей в объекте, т.е.
изменить его состояние в желательном направлении.
Рисунок 1.1- Объект управления и его
взаимодействие со средой и управлением
На рисунке 1.1 показано схематическое
изображение объекта. Здесь X- канал воздействия среды на объект, Y
- канал воздействия объекта на среду, U
- канал воздействия управления на объект.
Таким образом, первым и весьма существенным
этапом всякого управления является выделение объекта и выявление каналов
взаимных воздействий X, Y
и U.
Далее следует отметить, что понятие
«воздействие» при решении задач управления рассматривается лишь (и только) в
информационном смысле. Это значит, что с точки зрения управления воздействие
имеет сугубо информационный характер.
Выделение объекта управления и выявление каналов
воздействий сами по себе произойти не могут. Это выделение может (и должно)
производиться только с точки зрения заданной цели управления. Под целью
управления здесь подразумевается совокупность условий, свойств и требований,
которым должен удовлетворять объект. Таким образом, объект управления и каналы
его взаимодействия со средой целиком и полностью определяются целями
управления.
Рисунок 1.2 - Блок-схема системы управления и ее
взаимодействие со средой
Как сказано выше, процесс управления является
процессом организации, т.е. реализации целенаправленного воздействия на объект.
Однако сам процесс организации также целенаправлен. Он подразумевает наличие
умения, способности создать целенаправленное воздействие. Эти свойства и
определяют алгоритм управления. Под алгоритмом управления подразумевается
совокупность правил, методов и способов, позволяющих образовать (синтезировать)
целенаправленное воздействие (управление), коль скоро известно действительное
состояние объекта управления. Проще говоря, алгоритм управления является
инструкцией о том, как добиться целей управления в различных ситуациях.
Теперь объединим объект управления и управляющее
устройство, реализующее алгоритм управления, в систему управления. Будем
называть системой управления такую совокупность объекта управления и
управляющего устройства, процесс взаимодействия которых приводит к выполнению
поставленной цели управления (рисунок 1.2).
Цель экстремального управления состоит в
обеспечении оптимального, наилучшего в некотором смысле, статического режима
работы объекта. Основным критерием оптимальности является обеспечение минимума
или максимума заданной функции качества работы объекта при недостаточной
априорной информации о характере ее изменений.
В качестве априорной информации в худшем случае
может выступать только знание того, что функция качества имеет экстремум. При
этом ни количество экстремумов, ни их положение, ни аналитическое выражение
функции качества не известно.
Таким образом, до опыта известно, что в фазовом
пространстве существует некоторая изменяющаяся во времени (дрейфующая)
поверхность y = f(xl,x2,...,xn,t),
определяемая некоторой функцией качества и имеющая один или несколько
экстремумов. Экстремальная поверхность ограничена, так как всегда ограничены
координаты х1,х2,...,хп.
Система экстремального управления должна вывести
и удержать рабочую точку в глобальном экстремуме (maximum
maximorum или minimum
minimorum).
Рисунок 1.3 - Дрейф экстремальных характеристик
объекта: а - по вертикали; б - по горизонтали и вертикали
Для простоты рассмотрим не экстремальную
поверхность, а экстремальную линию (рисунок 1.3). Под действием различных
возмущающих воздействий экстремальная линия может смещаться или, как принято
говорить, дрейфовать. При этом возможны два случая: экстремум дрейфует по
вертикали с искажением или без искажения формы (рисунок 1.3 - а), экстремум
смещается и по вертикали, и по горизонтали (рисунок 1.3 - б).
Если по оси ординат откладывается величина,
характеризующая качество работы системы, то естественно желание работать в
районе экстремума. В первом случае для этого достаточно каким-либо образом
(аналитически или экспериментально) один раз определить положение экстремума, а
затем использовать систему стабилизации. Во втором случае необходимо следить за
экстремумом. Если закон дрейфа известен, то может быть использована следящая система
или система программного управления. При неизвестном законе дрейфа обе системы
оказываются неспособными обеспечить цель управления и требуется специальная
экстремальная система.
Следовательно, системы экстремального управления
предназначены для стабилизации координат х1,х2,...,хп, объекта управления
относительно наперед неизвестных значении хх =х1э,х2 =х2э,...,хп = хпэ,
соответствующих экстремальному значению функции у = f(xl,x2,...,xn).
Допустим, что в некоторый момент времени рабочая
точка объекта А (рисунок 1.4) определялась координатами ха,уа и находилась в
экстремуме. Возмущающие воздействия скачком сместили экстремальную
характеристику в новое положение. В результате состояние объекта
характеризуется точкой В с координатами хв,ув .Точка В находится между двумя
экстремумами. При случайном выборе направления она может прийти в минимум или в
максимум. И то и другое положение соответствует экстремальному значению
функции.
Рисунок 1.4 - Движение СЭР при скачкообразном
смещении характеристики
Очевидно, что для правильной работы
экстремальной системы необходимо задать вид требуемого экстремума. Предположим,
что необходимо поддерживать максимум выходной координаты. Тогда экстремальный
регулятор должен определить направление движения к максимуму и организовать это
движение. Определив, что рабочая точка пришла в экстремум (точку С), регулятор
должен удержать ее в этом режиме.
Таким образом, задачей экстремального регулятора
является поиск значений х1э,х2э,...,хnэ
, организация движения координат х1,х2,...,хn
к экстремальным значениям и удержание их в экстремальной рабочей точке.
Стабилизация объекта в экстремуме по существу
сводится к многократному повторению решения двух первых задач - определению
экстремальных значений и организации движения к ним.
.2 АНАЛИЗ ОБЪЕКТОВ С НЕЛИНЕЙНЫМИ
ХАРАКТЕРИСТИКАМИ И АЛГОРИТМОВ ПОИСКА ЭКСТРЕМУМА
Рассмотрим несколько примеров объектов
автоматической оптимизации.
Во многих видах производства в качестве
теплоносителя используется тепло газов, получаемых в результате сжигания в
топочных устройствах того или иного вида топлива. Статическая характеристика
топочного устройства по каналу «расход воздуха на горение - температура
топочных газов» имеет экстремальный характер: максимальная температура топочных
газов t◦макс
получается для данного количества сжигаемого топлива QT
при вполне определенном количестве подаваемого в топку воздуха Qв
(рисунок 1.5).
Рисунок 1.5 - Статические характеристики
топочного устройства
Если подавать воздуха меньше, чем необходимо для
горения топлива, то не будет полного сгорания топлива, если - больше, то
избыток воздуха снизит температуру топочных газов.
Предположим, что САР топки должна обеспечить
максимальную температуру топочных газов. При данном расходе топлива QT0
для получения максимальной температуры t◦макс0
нужно регулятору расхода воздуха дать задание поддерживать расход равным Qв0.
Система регулирования расхода сможет поддержать максимальную температуру
топочных газов только при строго постоянной подаче топлива, равной QT0,
и отсутствии неконтролируемых возмущений (нерегулируемых подсосов воздуха в
топку, изменения теплотворной способности топлива и т. д.).
Если существуют любые из этих возмущений, то
температура топочных газов не будет максимальной при работе САР. Например,
измерение QT0 приводит к
смещению статической характеристики t◦
= f(Qв)
топки, и для достижения нового максимального значения температуры, например t◦макс1,
нужно поддерживать другой расход воздуха Qв1.
У топочного устройства, как и у любого объекта,
существуют неконтролируемые возмущения, которые заранее учесть практически
невозможно. К таким возмущениям относятся, например, изменение калорийности
топлива, неконтролируемые подсосы воздуха и т. п., воздействие которых будет
вызывать отклонение режима от оптимального - отклонение температуры топочных
газов от максимальной.
Однако, даже если можно было бы практически
скомпенсировать все возмущения, применение САР расхода топлива или воздуха для
стабилизации режима объекта, имеющего экстремальную статическую характеристику,
вблизи оптимального значения (совпадающего с экстремумом) в принципе
невозможно. Это объясняется тем, что САР может нормально функционировать, если
в процессе ее работы выполняется условие:
где 
- изменение регулируемого
параметра;

: - изменение управляющего
воздействия.
Изменение знака 
в процессе работы САР вызывает
обращение знака в
цепи замкнутых воздействий системы,
что приводит к потере устойчивости. Очевидно, что это условие как раз и не
соблюдается для экстремальной статической характеристики объекта вблизи
экстремума, т. е. вблизи оптимального режима, если он совпадает с экстремумом.
Задача оптимизации возникает и при
автоматизации работы паровых котлов.
Статическая зависимость (рисунок
1.6) между КПД котла η и
коэффициентом избытка воздуха α, подаваемого в топку котла для
сжигания топлива, также имеет экстремальный характер, причем при изменении
расхода пара D с котла,
(являющегося основным возмущением при эксплуатации котлоагрегата) изменяется
значение коэффициента избытка воздуха, соответствующего максимальному значению
КПД для данного расхода пара.
Рисунок 1.6 - Статические
характеристики котлоагрегата
Общепринятые схемы автоматизации
котлоагрегатов с использованием обычных регуляторов стабилизации по самому
принципу своего действия не могут обеспечить работу котлоагрегатов на
оптимальных по экономичности режимах с максимальным КПД при изменении паросъема
с котла.
В применении к двигателю внутреннего
сгорания задача оптимизации сводится к подбору такого значения коэффициента
избытка воздуха и частоты вращения двигателя, с также угла опережения
зажигания, при которых эффективный расход топлива будет наименьшим.
Рассмотрим характеристики двигателя
внутреннего сгорания (рисунок 1.7).
Рисунок 1.7 - Статические
характеристики двигателя внутреннего сгорания изменении частоты вращения
В системе координат мощность N частота
вращения двигателя n построены статические
характеристики двигателя для различных степеней открытия S дросселя.
Характеристики показывают, что мощность двигателя N изменяется
с изменением частоты вращения, достигая при некотором значении попт максимума.
Наивыгоднейшая частота вращения попт зависит от степени дросселирования.
Поэтому при каждом изменении положения дроссельной заслонки оптимальный режим
работы двигателя (максимум мощности) достигается при соответствующем изменении
частоты вращения.
При эксплуатации самолетов возникает
задача обеспечить максимальную дальность полета при заданном запасе топлива.
Зависимость километрового расхода Q топлива от
скорости полета и для различных полетных весов G также имеет
экстремальный характер (рисунок 1.8).
В этом случае при изменении
полетного веса самолета (за счет сгорания топлива) для обеспечения минимального
километрового расхода топлива необходимо все время подбирать соответствующую
оптимальную скорость полета.
Рисунок 1.8 - Статические
характеристики летательного аппарата
При производстве серной кислоты
контактным способом одним из основных технологических процессов является
процесс окисления сернистого ангидрида S02 в серный
ангидрид S03. Процесс
окисления производится в контактном аппарате, в котором имеется несколько слоев
катализатора (окислов ванадия). Газ, содержащий S02 и
кислород, проходит последовательно все слои катализатора, где S02
окисляется в S03. Основной
показатель эффективности работы контактного аппарата - так называемая степень
контактирования х (степень окисления), которая показывает, какая часть
исходного S02
окислилась в S03. Целью
технологического процесса является возможно более полное окисление S02, поэтому
степень контактирования необходимо поддерживать на максимальном уровне.
Управляющим воздействием, влияющим
на процесс окисления, служит изменение температуры газа перед слоем
катализатора tвx.
На рисунке 1.9 показаны статические
характеристики слоя катализатора в координатах «температура газа, входящего в
слой t◦вх, -
степень контактирования х в слое». На рисунке 1.9-а характеристики показаны при
различных расходах газа G1,G2,G3 через слои
катализатора; на рисунке 1.9-б при различной концентрации b1,b2,b3 кислорода
в газе. Из рисунка 1.9 видно, что статические характеристики слоя катализатора
имеют экстремальный характер.
Рисунок 1.9- Статические
характеристики каталитического химического реактора: а - по нагрузке; б - по
концентрации окисления
Таким образом, в любом производстве
(заводе, комбинате) имеется некоторый ведущий технико-экономический показатель
(ТЭП), полностью характеризующий эффективность работы этого производства.
Для большинства технологических
процессов, которые входят в состав производства, исходя из ведущего ТЭП, можно
сформулировать свои частные. ТЭП,
например себестоимость единицы
продукции при заданной производительности. В свою очередь, технологический
процесс обычно можно разбить наряд участков (технологических агрегатов), для
каждого из которых также можно найти критерий оптимальности Q, достижение
экстремума которого будет приближать к экстремуму частный ТЭП процесса и
ведущий ТЭП производства в целом.
Критерий оптимальности Q для
агрегата, как показано выше, часто может быть непосредственно каким-либо
технологическим параметром, например температурой факелатопочного устройства
либо некоторой функцией, зависящей от технологических параметров, например,
коэффициента полезного действия, тепловым эффектом реакции, выходом полезного
продукта за заданный промежуток времени и т. д.
На примере ряда объектов, имеющих
экстремальные статические характеристики, было показано, что обычная САР не
может решить задачу оптимизации. Это происходит потому, что в обычной САР
всегда известно заданное значение регулируемого параметра и, следовательно,
всегда известно, в каком направлении необходимо изменять регулирующее
воздействие, чтобы ликвидировать ошибку системы: разность между заданным и
текущим значением регулируемого параметра.
В отличие от обычных САР, в СЭР не
известно заданное значение регулируемого параметра. Поэтому задача СЭР
принципиально сложнее и заключается в автоматическом поиске такого значения
регулирующего воздействия, которое обеспечивает максимум (минимум) регулируемой
величины. В отличие от обычных САР в СЭР анализ состояния объекта в данный
момент времени не позволяет определить, в каком направлении следует изменять
управляющее воздействие, чтобы получить требуемый результат.
Таким образом, основной процесс в
СЭР - это автоматический непрерывный поиск, заключающийся в изменении
регулирующего воздействия объекта, анализе результатов этого воздействия и
определении дальнейшего направления изменения входного сигнала объекта с целью
достижения экстремума выходного сигнала - критерия оптимальности объекта.
К настоящему времени разработано
большое количество экстремальных регуляторов, отличающихся по принципу
действия, устройству, конструкции и сложности.
Определенное количество типов систем
является необходимым и обусловлено различиями в условиях применения регуляторов
и особенностями объектов. Вместе с тем разработаны разные типы экстремальных
регуляторов, предназначенные для решения одинаковых задач. В ряде случаев это
происходит потому, что пока еще не накоплено достаточно опыта в их промышленной
эксплуатации, на основании которого можно оказать предпочтение той или иной
системе.
Все экстремальные системы делятся на
одномерные, отыскивающие экстремум функции одной переменной, и на многомерные,
отыскивающие экстремум функции многих переменных.
Для экстремального регулирования
ряда объектов по многим переменным требуется создание специальных многомерных
экстремальных систем. Вместе с тем, в некоторых случаях регулирование объектов
по многим переменным осуществляется одномерными регуляторами путем
соответствующего переключения их на разные переменные с помощью специальных
блоков.
Основным в классификации
экстремальных систем является их деление на типы по способу поиска экстремума.
В этом смысле существующие
экстремальные системы можно разделить на следующие типы.
1. СЭР с принудительной модуляцией (с
совмещенным и разделенным поисковым входным воздействием). С помощью
специального генератора вырабатывается гармоническое или ступенчатое изменение
входного сигнала х, являющееся пробным движением. В зависимости от расположения
рабочей точки экстремума слева (участок №1) или справа (участок №3) (рисунок
1.10) фаза выходного сигнала меняется на 180°. С помощью специального
фазочувствительного устройства формируется управляющий сигнал, знак которого
зависит от фазы выходного сигнала, а величина - пропорциональна его амплитуде
колебаний. По знаку и величине этого сигнала устанавливается скорость изменения
выходах, соответствующая основному движению системы. Такие системы особенно
перспективны при быстропротекающих процессах.
Рисунок 1.10- Изменение параметров экстремальной
системы с модулирующим воздействием в процессе поиска
2. СЭР с запоминанием экстремума выходного
параметра или его производных. В известных экстремальных системах с
запоминанием входные координаты изменяются с постоянной скоростью.
Последовательность работы регулятора следующая.
Запоминается значение у = у0, измеряется текущее
значение у, которое сравнивается с у0 и выделяется разность Δy=y-y0.
Каждый раз, как только разность Δy
достигает зоны нечувствительности регулятора δн,
запоминание у0 сбрасывается и запоминается новое значение, равное у в этот
момент. При регулировании на максимум подается команда на реверс каждый раз,
когда разность Δy
становится отрицательной и достигает δн,
а в случае регулирования на минимум, когда разность Δу
становится положительной.
Работа системы показана на рисунке 1.11.
Система с запоминанием менее подвержена действию
высокочастотных помех, чем с регулированием по производной, и проще по
устройству.
Рисунок 1.11- Изменение параметров экстремальной
системы с запоминанием в процессе поиска
3. СЭР с регулированием по производной. Известны
два варианта этих систем. В первом варианте входная координата х изменяется
принудительно с постоянной скоростью, и измеряется производная функции y=f(x).
Работа системы показана на рисунке 1.12. Если при регулировании на максимум
у>0, движение допускается. Как только у становится меньше нуля и достигает
границы зоны нечувствительности регулятора δн,
совершается реверс и снова устанавливается движение к экстремуму. Таким
образом, устанавливаются автоколебания в области экстремума.
Системы такого типа обладают существенными
недостатками: больше, чем другие чувствительны к действию высокочастотных
помех, теряют работоспособность на участках с малым наклоном кривой f(x)
(особенно при медленном движении исполнительного органа), сложны по устройству.
Такие регуляторы практически почти не применяются.
Рисунок 1.12 - Изменение параметров
экстремальной системы с регулированием по производной в процесс поиска
Во втором варианте скорость изменения входной
величины не сохраняется постоянной. В этом случае при нелинейной статической
характеристике объекта y=f(x)
скорость движения исполнительного органа устанавливается пропорциональной
отношению скорости выхода к скорости входа.
Исследование таких экстремальных систем в ряде
случаев может осуществляться обычными в теории регулирования методами.
4. СЭР шагового типа. Имеется
несколько вариантов систем шагового типа. Их отличительной особенностью
является такая последовательность работы: входная координата получает
дискретное приращение 
х, затем во время переходного
процесса или после его окончания обрабатывается информация о соответствующем
изменении функции у. В простейшем случае, обработка информации заключается в
определении после каждого шага знака изменения функции у.
Работа регулятора шагового типа показана на
рисунке 1.13.
Рисунок 1.13 - Изменение параметров
экстремальной системы шагового типа в процессе поиска
В простейшем случае, обработка информации
заключается в определении после каждого шага знака изменения функции у. В
зависимости от знака Δy
устанавливается направление следующего шага.
В различных вариантах систем шагового типа применяется
тот или иной способ обработки информации по изменению у : для уменьшения
влияния помех - интегрирование или вычисление взаимокорреляционной функции (по
х), для снижения влияния инерционности и повышения быстродействия может быть
вычислена (после каждого шага) кривая переходного процесса только по ее
начальному участку.
Шаговые системы успешно применяются для
управления инерционными и медленно протекающими процессами и могут быть
эффективными при наличии сильных помех.
Кроме указанных, имеются типы экстремальных
систем с объединением разных принципов действия, так, например, с модулирующим
воздействием и запоминающим устройством, шаговые с модулирующим воздействием.
1.3 ПОСТАНОВКА ЗАДАЧИ ДИПЛОМНОГО ПРОЕКТА
Целью дипломного проекта является разработка на
основе метода поиска экстремума с запоминанием экстремума системы
экстремального регулирования с требуемым качеством переходных процессов для
класса нелинейных стационарных и нестационарных объектов (с невыделяемой и
невыделяемой нелинейной характеристикой).
Для реализации поставленной задачи необходимо:
ü разработать структурную схему
СЭР;
üописать объекты СЭР с
выделяемой и невыделяемой линейной характеристикой;
ü описать и разработать алгоритм
поиска экстремума с запоминанием экстремума;
ü разработать и написать
программу поиска экстремума с запоминанием экстремума;
ü проверить работоспособность
разработанной СЭУ с использованием метода поиска экстремума с запоминанием
экстремума;
ü исследовать процессы в СЭУ с
математической моделью объекта с невыделяемой нелинейной характеристикой;
ü исследовать процессы в СЭУ с
математической моделью объекта с выделяемой нелинейной характеристикой;
ü сравнить работу СЭУ при
различных математических моделях объекта.
2 СПЕЦИАЛЬНЫЙ РАЗДЕЛ
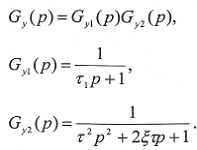
2.1 СТРУКТУРНАЯ СХЕМА СЭР, ОПИСАНИЕ СИСТЕМЫ
Система экстремального управления представлена
на рисунке 2.1 и содержит следующие звенья:
ü Объект управления - элемент 1.
На объект управления воздействует сигнал х, который по заданному алгоритму
меняется для достижения цели управления.
Рисунок 2.1 - Система экстремального
регулирования
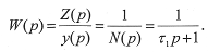
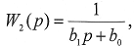
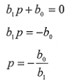
ü Измерительное устройство
(элемент 2) - устройство, предназначенное для измерения выходной величины z.
Его передаточная функция:
W2(p) = 
=
(2.1)
М(р) = b1р + b0, (2.2)
где z(p) - входной
сигнал;
q(t) - выходной
сигнал измерительного устройства.
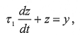
ü Исполнительное
устройство (элемент 4), выходная величина которого х непосредственно
воздействует на производственный процесс (объект управления).
Исполнительное устройство может
рассматриваться, например, как двигатель. Его передаточная функция:
W3(p)=
=
(2.3)
где х(р) - входной сигнал;
V(p)
- выходной сигнал исполнительного устройства. Дифференциальное уравнение имеет
вид:
ü Поисковое управляющее
устройство - элемент 3, в котором формируется сигнал управления V по
информации, которая выдается измерительным устройством.
Алгоритм управления, определяющий поведение
сигнала V, должен обеспечить как можно более быстрое попадание выходной
величины Z в заданную
окрестность ее максимального значения и дальнейшее пребывание Z(t)
в этой окрестности.
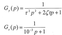
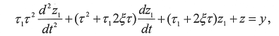
2.2 ОПИСАНИЕ ОБЪЕКТОВ СЭУ С ВЫДЕЛЯЕМОЙ И
НЕВЫДЕЛЯЕМОЙ НЕЛИНЕЙНОЙ ХАРАКТЕРИСТИКОЙ
Для удобства расчета экстремальный объект
управления искусственно разделяют на нелинейную и инерционную линейную части.
Нелинейная часть представляет собой безынерционное звено, имеющее экстремальную
статическую характеристику. Линейная часть содержит линейные инерционные или
интегрирующие звенья.
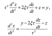
Рассмотрим случай, когда объект управления имеет
инерционность после экстремального нелинейного звена. Структурная схема такой
системы представлена на рисунке 2.2. Она состоит из объекта управления 1 и 2,
исполнительного устройства 3, имеющего постоянную скорость, измерительного
устройства 5, и поискового управляющего устройства - элемента 4.
Рисунок 2.2 - Система экстремального
регулирования с объектом с выделяемой нелинейной характеристикой
Объект управления представляет собой
последовательное соединение двух звеньев: статического и инерционного.
Примем, что статическая экстремальная
характеристика описывается уравнением:
y = f(х)
= с2х2 +c1. (2.5)
Причем известно, что f(x)
- унимодальная функция в формуле (2.5) единственный экстремум - максимум
(рисунок 2.3), который определяется:
dydx=2c2x
2c2x=0
Рисунок 2.3 - Статическая характеристика
Предполагается также известной оценка модуля
скорости изменения нелинейной характеристики f(x)
на некотором интервале изменения величины х:
(2.6)
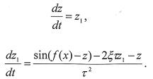
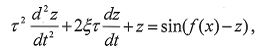
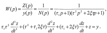
Передаточная функция линейной части
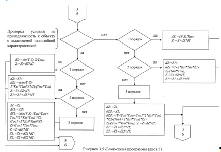
математической модели производственного процесса имеет вид:
- для объекта 1-го порядка:
(2.7)
Поведение линейной части можно описать дифференциальным
уравнением:
(2.8)
Здесь Z(p)
- выходная величина системы, максимальное значение которой должно быть
достигнуто и удержано в результатах эксперимента.
- Для объекта 2-го порядка:
(2.9)
Соответственно
(2.10)
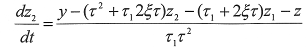
Для объекта 3-го порядка:
(2.11)
Обозначим 
= z1 тогда
а через 
= z2,
Отсюда следует, что:
(2.12)
На практике не всегда удается
разделить экстремальный объект на линейную и нелинейную части. Рассмотрим
структурную схему СЭР с невыделяемой нелинейной характеристикой, изображенную
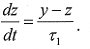
на рисунке 2.4.
Динамические характеристики объекта
управления имеют вид:
- для объекта 1-го порядка:
(2.13)
Отсюда
(2.14)
Рисунок 2.4 - Система экстремального
регулирования с объектом с невыделяемой нелинейной характеристикой
Для объекта 2-го порядка:
(2.15)
Тогда
(2.16)
Для объекта 3-го порядка:
(2.17)
(2.18)
2.3 ОПИСАНИЕ АЛГОРИТМА ПОИСКА ЭКСТРЕМУМА С
ЗАПОМИНАНИЕМ ЭКСТРЕМУМА
Рассмотрим более подробно описанный выше
алгоритм поиска экстремума с запоминанием экстремума.
Алгоритм запоминания экстремума заключается в
использовании разности между текущим и экстремальным значением выходной
величины для нахождения момента реверса системы и имеет вид:

= V1,V(0) = V1>0
(2.19)
Функция V(t)
меняет знак на противоположный в моменты времени t
, для которых выполняется соотношение:
ρ(tj)
= -A0, ρ'(tj)<0
, (2.20)
где(t) = q(t) -
max q(τ),
0< τ
< t,
A0 > 0 , ρ'(t)=
.
В силу этого алгоритма в
вычислительном устройстве запоминается максимальное значение выходного сигнала q
измерительного устройства, реализовавшееся до текущего момента времени t и непрерывно
вычисляется функция:
ρ(t) = q(t) - max q(τ)
0 < τ
≤
t
Если измерительный прибор и линейная часть
модели производственного процесса не слишком инерционны, то процесс поиска
экстремума происходит следующим образом.
В начальный момент t
= 0,V(0) = V1
> 0 и координата х начинает увеличиваться. Если х(0) находится слева от
точки х*, в которой достигается у* - максимум нелинейной характеристики, то
точка х движется к х*, функция ρ(t)
при тождественно равна 0, т.к. max
q(t),
0 < τ
≤ t достигается в текущий
момент времени t. При этом
переключения функции V(t)
не происходит пока точка х не перескочит положение х*, величина у, а значит и Z
и q не начнут
уменьшаться, функция ρ(t)
станет отрицательной, т.к. max
q(t)
> q(t),
0
< τ ≤ t.
В силу приведенного правила переключение произойдет при ρ(t)
= -А0, когда точка х окажется на нисходящей ветви нелинейной характеристики на
некотором расстоянии права от х* (рисунок 2.5).
Рисунок 2.5 - Поиск экстремума с запоминанием
После переключения V(t)
начинается возвратное движение точки х, при котором она через некоторое время
окажется слева от х и второе переключение произойдет, когда снова, уменьшаясь,
функция ρ(t)
не достигнет -А0. Далее возникает колебательное движение точки х в некоторой
двусторонней окрестности точки х’, а значит и выходной координаты Z
относительно ее максимального значения (рисунок 2.6)
Если начальное положение х(0) точки х находится
правее точки х*, то сначала точка х удаляется от х*, поскольку V(0)
= V1>0, затем
происходит переключение и дальнейший процесс аналогичен описанному выше.
Рисунок 2.6 - Колебательные движения в
окрестности экстремума
Параметры V1
и А0 в законе управления выбираются так, чтобы обеспечить попадание величины Z(t)
в заданную достаточно малую окрестность Zmax
за приемлемое время и дальнейшее пребывание ее в этой окрестности, т.е.
выполнении неравенства:
(2.21)
Чем больше величина V1,
тем быстрее изменяется координата x(t),
а значит и Z(t)
и тем быстрее Z(t)
может попасть в окрестность точки Zmax.
Однако при увеличении Vl
возрастают динамические ошибки
воспроизведения входных сигналов линейной частью
математической модели и измерительным устройством. Это может привести к
“проскакиванию“ координатой Z(t)
своего максимального значения Zmax
и к дальнейшим колебаниям относительно Zmax
со значительной амплитудой. При малых значениях V1
перемещение Z(t)
в точку Zmax произойдет
за значительное время.
2.4 АНАЛИЗ ТОЧНОСТИ РАБОТЫ СЭУ С ВЫДЕЛЯЕМОЙ
НЕЛИНЕЙНОЙ ХАРАКТЕРИСТИКОЙ
Анализ существующих методов исследования
экстремальных систем может быть проведен лишь при условии точного определения
требований, предъявляемых к данным системам, и круг задач, которые должны
решаться этими методами.
Для начала рассмотрим метод оценивания точности
функционирования СЭР со стационарной нелинейной характеристикой.
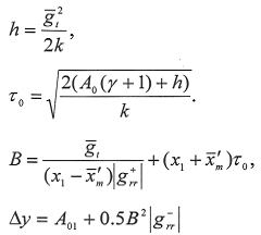
Пусть в алгоритме проведения экстремального
эксперимента (законе управления) величина А0 определяется соотношением:
(2.22)
Предполагается, что возмущение φ0
и помеха ψ0 в измерительном
тракте равны нулю φ0 = ψ0
= 0, тогда
(2.23)
Если в начальный момент времени t=0
выполняются соответствующие установившемуся режиму при отсутствии помех
начальные условия:
(2.24)
то через 
заведомо попадает и в дальнейшем
при t> 
уже не выйдет из окрестности
максимума нелинейной характеристики у* = f(x*) = Zmax, заданной
неравенством:

≤А1 (t≥
),
где 
- момент второго (после начала
работы системы) переключения управления V(t).
Здесь
А1= 2А0 + f1V1δ1 +φ0δ2.
В нашем случае:
А1 = 2A0+f1V1δ1,
(2.25)
Используемые в соотношениях величины f1,
V1 определены в
формулах (2.6)
и (2.19). Параметры δ1, 
, δ2, 
выражается через характеристики
корней характеристических уравнений, соответствующих дифференциальным уравнениям
линейной части и измерительного устройства.
Обозначим через Рj (j =
) корни характеристического
уравнения
N(p) = an+1pn + ... + а2р
+ а1 =0 модели линейной части производственного процесса.
Тогда δ1
определяется как:
ü для объекта
1-го порядка:
(2.26)
ü Для объекта 2-го порядка:
(2.27)
ü Для объекта 3-го порядка:
(2.28)
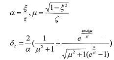
Обозначим через 
( j =
) - корни характеристического
уравнения для измерительного устройства, тогда 
определяется как:
(2.29)
Передаточная функция измерительного устройства
имеет вид:
(2.30)
Характеристики большинства объектов не остаются
с течением времени неизменными, а изменяются иногда со значительными
скоростями. Кроме того, иногда характеристики объектов не определяются
аналитически, а затраты на экспериментальное определение могут быть очень
велики. В то же время любая характеристика аппроксимируется отрезками
достаточно простых кривых - парабол не выше второго порядка, причем вид
аппроксимирующей параболы (коэффициенты управления) зависит от значения входной
координаты. Пределы измерения коэффициентов в большинстве случаев определяются
без значительных затрат. Учитывая, что при поиске экстремума входная координата
изменяется во времени по определенному или случайному закону, характеристику
любого экстремального объекта можно представить квадратичной параболой,
дрейфующей во времени.
Выделяют два основных случая изменения
характеристик во времени: на объект воздействует помеха; происходит регулярный
дрейф характеристики. Обоим случаям нетрудно найти аналоги в теории обычных
систем автоматического регулирования.
В промышленных экстремальных объектах основными
являются случайный или нерегулярный дрейф. Рассмотрим влияние горизонтального
дрейфа характеристик на поиск экстремума.
Уравнение дрейфующей параболы имеет вид:
у = С2 -(х- sin(w
• t))2 + С1, (2.31)
где с1= -1,
с2 = 2,
ω = 0.01.
На рисунке 2.7 представлены характеристики
объекта, соответствующие времени t1
= 0, t2 = 25,t3
= 50.
Их экстремумы равны:
х1* = 0 х2* =0.3 х3*=0.5
y1 =
2
y2* =2
y3*=2
Рисунок 2.7 - Горизонтальный дрейф нелинейной
характеристики
Исследуем точность функционирования СЭР с
дрейфующей нелинейной характеристикой.
Из-за нестационарности НХ естественным
показателем точности функционирования представляется величина модуля разности
текущего значения выхода управляемого объекта и текущего значения максимума
нелинейной характеристики:
ε(t)
= z(t)
- m(t).
(2.32)
Конечно, в силу ряда технологических причин,
величина ε (0) при t=0
может быть достаточно большой, и анализировать точность СЭР целесообразно в
“квазистационарном ” режиме “захвата” экстремума нелинейной характеристики,
наступающем после первого переключения u(t)
в момент t1. Поскольку сигнал
управления имеет релейный характер, то в описываемых условиях
“квазистационарный ” режим будет колебательным.
Приведем несколько терминов, связанных с
точностью функционирования линейных стационарных систем при неполной информации
о внешних воздействиях и используемых в формулировке основного утверждения.
Пусть такая система описывается дифференциальным
уравнением
R(w)
= S(v)
или передаточной функцией
(2.33)
где v(t)
- внешнее воздействие, w(t)
- выходной сигнал;
V(p),W(p)
- их изображения по Лапласу при нулевых начальных условиях для самих функций и
их производных.
Назовем максимальным нормированным отклонением
выходного сигнала w(t)
(k-ой производной w(k)(t)
выходного сигнала) системы соответственно величины
максимальной нормированной ошибкой
воспроизведения входного сигнала системой величину
В этих определениях предполагается, что система
до момента включения t
= 0 находится в состоянии покоя, т.е. w(t)
= v(t)
= 0 при t
≤
0.
Величины Δ,
δ
называются точностными показателями качества (ТПК) системы.
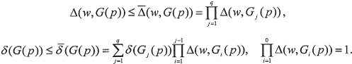
Для систем произвольного порядка справедливо
следующее утверждение.
Если
(2.34)
Заметим еще, что
Δ(w',
G(p))
= Δ(w,
pG(p)).
Максимальная нормированная ошибка δ(G(p))
и максимальные нормированные отклонения Δ(w(k),
G(p))
также определяются и при условиях
w(t)
= v(t)
= с при t
≤
0.
В этом случае под Δ(w,
G(p))
понимается максимальное возможное
отклонение от величины с.
Опишем дополнительные условия, накладываемые на
поведение нестационарной нелинейной характеристики. Требования унимодальности f(t,x)
при любом фиксированном t
недостаточно для получения содержательных утверждений о точности
функционирования СЭР. Положим
r = x-xm(t).
(2.35)
y = f(t,х)
= f(t,r
+ хm(t))
≡ g(t,
r) (2.36)
Функция g(t,r)
при фиксированном t описывает
движение по нелинейной характеристике, а при фиксированном r
- её деформацию во времени. Функция хm
(t) отображает
перемещение абсциссы точки максимума нелинейной характеристики; при этом g(t,0)
= m(t).
Используя введенные выше обозначения (2.34) и
(2.36), положим:
2.37
Априорная информация о поведении нелинейной
характеристики исчерпывается соотношениями:
у = с2х2 + с1 - уравнение стационарной
нелинейной характеристики,
r0 = -0.5 -
начальное положение х,
r = x-xm(t),
Отсюда
y = c2(x-xm(t))2
+с1,
хm
= α sin(ωt).
Таким образом
у = С2 • (х - sin(w
• t))2 + С1, a
g = С2 • r2
+ С1.
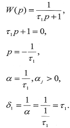
ü Для объекта 1-го порядка:
Где α = 
(α-
положительная часть вещественного корня уравнения τ1p+1=0). Тогда
ü Для объекта 2-го порядка:

ü Для
объекта 3-го порядка:
Представим ПФ Gy(р)
в виде:
Тогда соответствующее Gv2(p)
характеристическое уравнение имеет корни:
р12 =-α(1
± iμ),
Если описанная выше СЭР до начала работы в
момент /==0 находилась в состоянии покоя:
q(t)
= z(t)
= y(t)
= f(0, х(0)) = g(0,
r(0)), x(t)
= x(0) при t
< 0,
r(0) = x(0)
- xm (0) < 0, r(0)
ϵ [-r0,0); (2.38)
величины А, τ0
заданы и выполнены условия
k > О, В < r0,
(2.39)
то после первого переключения сигнала управления
u(t)
в момент t1 > 0 отклонение
текущего значения абсциссы НХ от текущего значения абсциссы её максимума и
отклонение текущего значения выхода СЭР z(t)
от текущего значения m(t)
максимума НХ заведомо удовлетворяют неравенствам
(2.40)
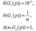
Таблица 1 - параметры системы для объекта 1-го
порядка
Таблица 2 - параметры системы для объекта 2-го
порядка
Более сложен вопрос о выборе желаемого значения
величины х1 - скорости перемещения абсциссы нелинейной характеристики x(t).
При малом х1, абсцисса xm(t)
текущего экстремума нелинейной характеристики будет удаляться от x(t);
большое х1, увеличивает величину А0, связанную с динамическими погрешностями
линейной части управляемого объекта, а значит и величину В. Существует,
следовательно, оптимальное значение скорости х1.
Выполняя расчет точностных показателей качества
для разных порядков объекта управления (Приложение Б), мы получаем данные для
минимизации величины В по параметру х1 которые приведены в таблицах 1, 2, 3.
Таблица 3 - параметры системы для объекта 3-го
порядка
Минимизация величины В по параметру х приводит
при х оценкам:
- для объекта 1-го порядка - |г(/)| < В =
0.282, \z(t)
- m{t)\
< 0.106;
для объекта 2-го порядка - |г(/)| < В =
0.364, \z(t)
- m(t)\
< 0.176;
для объекта 3-го порядка - |г(/)| < В =
0.455, \z(t)
- m(t)\
< 0.275 .
j = 0.055 к
3 ТЕХНОЛОГИЧЕСКИЙ РАЗДЕЛ
.1 РАЗРАБОТКА АЛГОРИТМА И ПРОГРАММЫ ПОИСКА
ЭКСТРЕМУМА
Программа Extreme
предназначена для исследования переходных процессов в СЭР с запоминанием
экстремума (максимума) значения выходного параметра оптимизируемого процесса.
Программа написана на языке Borland
Delphi 6.0.
В приложении А приведен текст рабочей программы.
При запуске программы первоначально активируется
процедура FormCreate
(рисунок 3.1), которая осуществляет нумерацию строк и озаглавливает шапку
таблицы. Далее программа реагирует на нажатие командной кнопки «Вычислить» и
запускает процедуру btnCalculateClick,
которая задает необходимый масштаб графиков, а также очищает область вывода от
предыдущих значений.
С помощью процедуры Calcualte
просчитываются значения текущих параметров системы с помощью метода Эйлера,
определяется сигнал управления V согласно методу определения экстремума с
запоминанием.
В зависимости от условия стационарности системы
в процедуре SetAl (рисунок
3.4) рассчитываются точностные показатели качества системы для различных
порядков объекта управления.
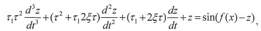
На рисунке 3.5 подробно описан алгоритм
вычисления выходного параметра Z
(процедура NextZ).
При завершении цикла на экран выводятся графики
динамических процессов системы, таблица числовых значений и оценки точности.
Рисунок 3.1 -Блок-схема программы (лист 1)
4 ПРОВЕДЕНИЕ ВЫЧИСЛИТЕЛЬНОГО ЭКСПЕРИМЕНТА
.1 ИССЛЕДОВАНИЕ ПРОЦЕССОВ В СЭУ С МАТЕМАТИЧЕСКОЙ
МОДЕЛЬЮ ОБЪЕКТА С ВЫДЕЛЯЕМОЙ НЕЛИНЕЙНОЙ ХАРАКТЕРИСТИКОЙ
При проведении вычислительного эксперимента
рассматривались динамические процессы в системе экстремального регулирования с
выделяемой и невыделяемой нелинейными характеристиками. При этом
рассматривались ситуации стационарной системы и системы с горизонтальным
дрейфом нелинейной характеристики объекта. В качестве примера приведены
динамические процессы в системе с объектом 1-го порядка. А процессы с объектом
2-го и 3-го порядков представлены в Приложении В.
Рисунок 4.1 - Стационарная СЭР с объектом с
выделяемой нелинейной характеристикой
Из рисунка 4.1 видно, что система экстремального
регулирования поддерживает экстремум с точностью δрасч
= 2.68, δгар
=3.61. Что соответствует условиям: δрасч
<δгар
и δрасч
< 3% .
На рисунке 4.2 изображены динамические процессы
для системы экстремального регулирования, функционирующей в условиях
горизонтального дрейфа.
Рисунок 4.2 - Система экстремального
регулирования с объектом с выделяемой нелинейной характеристикой при
горизонтальном дрейфе
Для СЭР с объектом с выделяемой нелинейной
характеристикой при горизонтальном дрейфе экстремум поддерживается с точностью δрасч
= 2.71,
δгар =3.65.
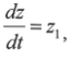
4.2 ИССЛЕДОВАНИЕ ПРОЦЕССОВ В СЭУ С
МАТЕМАТИЧЕСКОЙ МОДЕЛЬЮ ОБЪЕКТА С НЕВЫДЕЛЯЕМОЙ НЕЛИНЕЙНОЙ ХАРАКТЕРИСТИКОЙ
Динамические процессы для стационарной СЭР с
объектом с невыделяемой нелинейной характеристикой приведены на рисунке 4.3.
Рисунок 4.3 - Стационарная СЭР с объектом с
невыделяемой нелинейной характеристикой
Стационарная СЭР с объектом с невыделяемой
нелинейной характеристикой поддерживает экстремум с точностью δрасч
= 2.685, δгар = 3.65 .
Тогда как система экстремального регулирования с
объектом с невыделяемой нелинейной характеристикой при горизонтальном дрейфе
(рисунок 4.4)
поддерживает экстремум с точностью точностью δрасч-2.112,
δгар
=3.72. Мы видим, что δрасч<δгар.
Рисунок 4.4 - Система экстремального
регулирования с объектом с невыделяемой нелинейной характеристикой при
горизонтальном дрейфе
4.3 СРАВНЕНИЕ РАБОТЫ СЭУ ПРИ РАЗЛИЧНЫХ
МАТЕМАТИЧЕСКИХ МОДЕЛЯХ ОБЪЕКТА
Анализ точности переходных процессов в системах
экстремального регулирования показывает, что расчетная точность δрасч
не хуже 3%.
Оценка точности при стационарной нелинейной характеристике
для объекта с выделяемой нелинейной характеристикой приведена в таблице 4, а
при горизонтальном дрейфе в таблице 5.
Таблица 4 - Точностные показатели качества для
стационарной СЭР с объектом с выделяемой нелинейной характеристикой
Таблица 5 - Точностные показатели качества для
СЭР с объектом с выделяемой нелинейной характеристикой при горизонтальном
дрейфе
Для системы экстремального регулирования с
объектом с невыделяемой нелинейной характеристикой при стационарной нелинейной
характеристике приведена оценка точности в таблице 6, а при горизонтальном
дрейфе в таблице 7.
Таблица 6 - Точностные показатели качества для
стационарной СЭР с объектом с невыделяемой нелинейной характеристикой
Таблица 7 - Точностные показатели качества для
СЭР с объектом с невыделяемой нелинейной характеристикой при горизонтальном
дрейфе
Из приведенных таблиц видно, что динамические
процессы как в системе с объектом с выделяемой нелинейной характеристикой, так
и в СЭР с невыделяемой нелинейной характеристикой практически одинаковы.
Точность поддержания экстремума как в первом, так и во втором случае не
превышает 3%.
Из этого можно сделать вывод, что способ
представления объекта с выделяемой и невыделяемой нелинейными характеристиками
практически не влияет на точность поддержания экстремума.
ЗАКЛЮЧЕНИЕ
При разработке дипломного проекта исследовались
свойства экстремальных систем регулирования.
Были получены следующие результаты:
ü разработана структурная схема
СЭР;
ü дано математическое описание
объектов СЭР с выделяемой и невыделяемой линейной характеристикой;
ü описан и разработан алгоритм
поиска экстремума с запоминанием экстремума;
ü разработана и написана
программа поиска экстремума с запоминанием экстремума;
ü проверена работоспособность
разработанной СЭУ с использованием метода поиска экстремума с запоминанием
экстремума;
ü исследованы процессы в СЭУ с
математической моделью объекта с невыделяемой нелинейной характеристикой;
ü исследованы процессы в СЭУ с
математической моделью объекта с выделяемой нелинейной характеристикой;
ü исследована точность
функционирования стационарной системы экстремального регулирования;
ü исследованы и определены
оптимальные параметры управляющего устройства, обеспечивающие максимальную
точность функционирования системы экстремального регулирования при «деформации»
нелинейной характеристики и ее горизонтального дрейфа;
ü сравнительный анализ работы
СЭУ при различных математических моделях объекта показал, что точность
поддержания экстремума у них практически одинакова.
СПИСОК ИСПОЛЬЗОВАННЫХ ИСТОЧНИКОВ
1. Кунцевич В.М., Импульсные
самонастраивающиеся и экстремальные системы автоматического управления.
«Техника», Киев, 1966.
. Хайлов Е.Н., О нахождении моментов
переключения экстремального управления в нелинейной задаче быстродействия.
Дифференциальные уравнения, 1922.
. Уайлд Д. Дж.., Методы поиска
экстремума. Перев. с англ. «Наука», 1967.
. Олейников В.А., Зотов Н. С.,
Пришвин А.М., Основы оптимального и экстремального управления. «Высшая школа»,
1969.
. Воронов А.А., Основы теории
автоматического управления, «Энергия», 1965.
. Бесекерский В.А., Попов Е.П.,
Теория систем автоматического управления. «Наука», 1966.
. Казакевич В.В., Об экстремальном
регулировании. Сб. «Автоматическое управление и вычислительная техника», вып.
6. «Машиностроение», 1964
. Юркевич А.П., О процессах
экстремального регулирования с динамическим преобразованием и запоминанием
входного сигнала при наличии возмущений. ДАН СССР, т.133, №6, 1960.
. Юркевич А.П., Экстремальные
поисковые системы управления. Москва, 1964г.
Ю.Фиокко А., Мак-Кормик Г.,
Нелинейное программирование. Методы последовательной безусловной минимизации.
«Мир», 1972.
11. Казакевич В.В., Системы
экстремального регулирования и некоторые способы улучшения их качества и
устойчивости. В кн. «Автоматическое управление и вычислительная техника»,
Машгиз, 1958.
. Кунцевич В.М., Системы
экстремального управления, «Техника», Киев, 1961.
. Мандровский-Соколов Б.Ю., Туник
А.А., Система экстремального управления при случайных возмущениях. «Наукова
думка», киев, 1970
. Либерзон Л.М., Родов А.Б., Системы
экстремального регулирования. «Энергия», 19656.
15. Красовский А.А., Универсальные
непрерывные системы экстремального управления. Сб СНС, 1965.
. Растригин JI.A.,
Об оптимальном наблюдении при экстремальном регулировании в обстановке больших
помех. Изв. АН Латв. СССР, сер. Физ. И тех. Наук, №1, 1964.
. Неймарк Ю.И., Стронгин Р.Г.,
Информационный подход к задаче поиска экстремума функций. Изв. АН СССР,
Техническая кибернетика, №1, 1966.
. Ермолов Ю.М., Методы решения
нелинейных экстремальных задач. Кибернетика №4, 1966.
. Поляк Б.Т., Метод сопряженных
градиентов в задачах на экстремум. Журн. вычисл. матем. и матем. физики, т. 9,
вып. 4, 1969
. Васильев Д.В., Чуич В.Г., Системы
автоматического управления. «Высшая школа», 1967.
. Воронов А.А., Основы теории
автоматического управления. Часть И.
Специальные линейные и нелинейные
системы автоматического
регулирования одной величины.
«Энергия», 1966.
22. Зубов В.И., Колебания в
нелинейных и управляемых системах.
«Судостроение», 1962.
23. Летов А.М., Устойчивость
нелинейных регулируемых систем. «Физматгиз», 1962.
. Лурье А.И., Некоторые нелинейные
задачи автоматического регулирования, Гостехиздат, 1951.
. Хлыпало Е.Н., Нелинейные системы
автоматического регулирования. «Энергия», 1967.
26. Александровский А.А., Зотов
В.В., Экстремальное управление
нестационарными динамическим
объектом. Труды МЭИ, вып. №68, 1969.
27. Ивахненко А.Г., Проблема
беспоискового экстремального регулирования, Автоматика и ВТ №13, 1966.
28.Казакевич В.В., Щербина Ю.В.,
Исследование систем экстремального
регулирования с непрерывно-дискретным
синхронным детектированием.
Приборостроение и автоматический
контроль, Вып. №3. «Машиностроение», 1986.
29. Французова Г.А., Синтез систем
экстремального регулирования для нелинейных нестационарных объектов на основе
принципа локализации. Новосибирск, 2004.
. Парсункин Б.Н., Бушманова М.В.,
Расчет переходных процессов в системах экстремального регулирования с
запоминанием экстремума. Магнитогорск, 2001.
31 .Ван - Трис Г., Синтез
оптимальных нелинейных систем управления. «Мир», 1969.
. Красовский А.А., Динамика
непрерывных самонастраивающихся систем. Физматгиз, 1963
ПРИЛОЖЕНИЕ А ЛИСТИНГ ПРОГРАММЫ
экстремальный
регулирование нелинейный
program
Extreme; uses
Forms,
uExtreme in 'uExtreme.pas'
{fExtreme};
{$R *.res} begin
Application.Initialize;.Title := 'Система
экстремального
регулирования
с
объектом';
Application.CreateForm(TfExtreme, fExtreme);.Run;.uExtreme;, Messages,
SysUtils, Variants, Classes, Graphics, Controls, Forms, Dialogs, StdCtrls,
ExtCtrls, Grids, TeEngine, Series, TeeProcs, Chart; type= class(TForm)
edExtractable: TRadioGroup; lPower: TLabel; edPower: TComboBox; edTau:
TComboBox;: TLabel; edKsi: TComboBox;: TLabel; sgValues: TStringGrid;:
TCheckBox; btnCalculate: TButton; chQ: TChart;1: TLineSeries; chV: TChart;:
TLineSeries; chP: TChart;: TLineSeries;: TLineSeries; edTaul: TComboBox;:
TLabel; edMaxQ: TEdit;: TLabel; edMinQ: TEdit;: TLabel; edDeltar: TEdit;:
TLabel; edDeltaguar: TEdit;: TLabel;btnCalculateClick(Sender: TObject);
procedure FormCreate(Sender: TObject); private,A1 ,sigmal ,sigmal wave,Taul
,Tau,Ksi,X,Z,Zl ,Z2,dZ,dZl, DZ2,T,Q,V, Y,Ro,Xstar,Y star,,MaxQ,MinQ,DeltaY
:Extended;,Index: Integer; procedure Calcualte; procedure Setsigmal; procedure
SetAl; procedure NextZ;AddPoints; procedure Clear; public { Public declarations
} end;: TfExtreme; implementation uses Math; const C2=-l;
С
1=2;=-0.5;=1;=0;=0.005;=0.055;=1.5;=l;wave=l;=l;=0.01;=50;
mega=0.01;=l;=-0.5;=-1.5;=-2.5;=0;=0;
gty-0;=i;=l.l;
Х1Ю.055;
{$R *.dfm}
{ Tffixtreme
}TfExtreme.FormCreate(Sender: TObject); begin.RowCount:=Ceil(TMax/dT)+1;
sgValues.Cells[0,0]:-i'A''; sgValues.Cells[l,0]:='t'; sgValues.Cells[2,0]q';
sgValues.Celk[3,0]:-V'; sgValues.Cells[4,0]:='p'; end;Tffixtreme.AddPoints;
begin. Series [0].AddXY(T,Q);. Series [0]. AddXY (T, V);.Series[0].AddXY(T,Ro);.
Series [ 1 ] .AddXY (Т,-AO);.Cells
[0,lndex] :=IntToStr(Index);alues. Cells [ 1,Index]: =FloatToStr(SimpleRoundT
o(T,-3));.Cells[2,Index]:=FloatToStr(SimpleRoundTo(Q,-3));.Cells[3,Index]:=FloatToStr(SimpleRoundTo(V,-3));.Cells[4,Index]:=FloatToStr(SimpleRoundTo(Ro,-3));
(Index);;TfExtreme.Calcualte; var,Ro
1 :Extended;irstMaxQF ound:Boolean; begin
SetAl;:=0;:=X0;:=C2*X*X+C1;:=Y;:=0;:=Z;irstMaxQF ound: =F alse;:=Q;:=Q;:=0;:=V
1;:=l;:=0; while T<TMax do begin dQ:=(Z-bO * Q)/b
1;:=Q+dQ*dT;:=Q-MaxQ;(Rol>-A0) and (Ro<-A0) then begin
V:=-V;;:=Ro;;chbDrift.Checked then case edExtractable.Itemlndex of 0:
Y:=C2*Math.Power(X-Alfal*Sin(Omega*T),2)+C 1; 1: Y:=C2*Math.Power(X-Alfal
*Sin(Omega*T),2)+C 1; end:=C2*X*X+C1;;:=T+dT;:=X+V*dT; if MaxQ<Q then
MaxQ:=Qif not FirstMaxQFound and (MaxQ>Q) then
begin:=True;:=Q;;FirstMaxQFound then if MinQ>Q then MinQ:=Q; end;
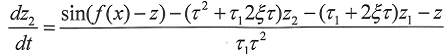
end;TfExtreme.NextZ; var:Extended;:=0;:=0;edExtractable.Itemlndex of 0:Power of
1::=(Y-Z)/Taul;;
::=Zl;:=(Y-2*Ksi*Tau*Zl-Z)/(Tau*Tau);;
::=Zl;:=Z2;:=(Y-(Tau*Tau+Taul*2*Ksi*Taii)*Z2-(Taiil+2*Ksi*Tau)*Zl-
Z)/(Tau 1 * Tau* T au); end; end;
:Power of 1::=Sin(Y-Z)-Z/Taul; end;
::=Zl;:=(Sin(Y-Z)-2*Ksi*Tau*Zl-Z)/(Tau*Tau);;
::=Zl;:=Z2;:=(Sin(Y-Z)-(Tau*Tau+Taul*2*Ksi*Tau)*Z2-(Taul+2*Ksi*Tau)*Zl-
Z)/(T au 1 * T au* T au); end; end; end;:=Z+dZ*dT;:=Zl+dZl*dT;: =Z2+dZ2 * dT;
end;Tffixtreme.SetA 1; var,Xstroke2m,DeltaGz,DeltaGy ,DeltaOmegaG, AO 1, A02
,k,h,T auO, BiExtended;Mu:Extended; begin:=Sqrt( 1 -Ksi*Ksi)/Ksi; end;DeltaGy 1
:Extended; var;:=l/Taul;:=l/Alfa;;DeltaGy2:Extended; var:Extended; begin
Alfa:=Ksi/Tau; if Ksi=l then Result:=l/Alfa else:=2/Alfa*(
/(Mu*Mu+1
)+Exp(ArcTan(Mu)/Mu)/(Sqrt(Mu*Mu+1 )* (Exp (Pi/Mu)-1))); end;DeltaOmegaGl
:Extended; begin Result:=l; end;DeltaOmegaG2:Extended; begin ifKsi=l then
Result:=l else:=(Exp(Pi/Mu)+l )/(Exp(Pi/Mu)-1); end;:=0;:=0;:=();;chbDrifi.
Checked then begin:=Alfal * Omega;m:=Alfal * Omega* Omega; case Power of
1::=0.001;:=DeltaGy 1; DeltaOmegaG:=DeltaOmegaG 1; end;
::=0.001;: =DeltaGy2;
DeltaOmegaG:=DeltaOmegaG2 end;
::=0.001;:=DeltaGy 1 +DeltaOmegaG 1
* DeltaGy 2; DeltaOmegaG:=DeltaOmegaGl*DeltaOmegaG2; end;;
АО 1
:=DeltaGy*(gt+gy*(Xl +Xstrokem));:=DeltaGz*DeltaOmegaG* (gt+gy *(X 1
+Xstrokem));
A0:=2*(A01+A02);:=-(Math.Power(Xl-Xstrokem,2)*gyyplus+gtt+2*gty*(Xl+Xstrokem)
+gy*Xstroke2m);:=gt*gt/(2*k);:=Sqrt(2
* (AO * (Ysmall+1 )+h)/k);
В :=gt/((X 1
-Xstrokem) * Abs(gyyplus))+(X 1 +Xstrokem)* T auO;
DeltaY:=A01+0.5*B*B*Abs(gyyminus); end else:=2 * (V1 * fl * sigma 1+V1 * f 1 *
sigma2 * sigma 1 wave);:=2*A0+fl *V 1 * sigma 1; end;TfExtreme.Setsigmal;
function sigmal lwave:Extended; begin Result:=-Tau; end;sigmal2wave:Extended;
var,Alfa2,Dlcorr:Extended;
begincorr:=Sqrt(Ksi*Ksi-1);:=(-Ksi-Dlcorr)/Tau;:=(-Ksi+D 1 corr)/T
au;:=l/Alfal+1/Alfa2;;sigmal l:Extended; begin Result:=Taul; end;sigmal2:Extended;
var,Alfa:Extended; begin if Ksi=l then Result:=sigmal 1 else begin:=Sqrt( 1
-Ksi*Ksi)/Ksi;:=Ksi/Tau;:=2/Alfa *
( l/(Mu*Mu+l) +
Exp(ArcTan(Mu)/Mu)/(Sqrt(Mu*Mu+l)*(Exp(Pi/Mu)-l))); end; end;case Power of
1:sigmal :=sigmall; end;
:sigmal :=sigmal2; end;
:l:=sigmal l+sigmal2; end;
end;^bl/bO;;TfExtreme.btnCalculateClick(Sender: TObject);
begin.Cursor:=crHourGlass;.UndoZoom;.UndoZoom;.UndoZoom;;:=StrToInt(edPower.Text);:=StrToFloat(edTaul
.Text);:=StrToFloat(edTau.Text);:=StrToFloat(edKsi.Text);;.Text:=FloatToStr(MaxQ);
edMinQ.Text:=FloatToStr(MinQ); edDeltar.Text :=FloatToStr((MaxQ-MinQ) { *
100/2}); if chbDrift. Checked then edDeltaguar.Text:=FloatToStr(DeltaY
{*100/2}) else.Text:=FloatToStr(Al {*100/2});
finally.ZoomPercent(90);.ZoomPercent(90);.ZoomPercent(97);.Cursor:=crDefault;;;TfExtreme.Clear;
begin chQ.Series[0].Clear; chV. Series [0]. Clear; chP. Series [0]. Clear;
chP.Series[l].Clear; end;.