Наближені методи обчислення визначених інтегралів
КУРСОВА РОБОТА (ПРОЕКТ)
з
математики
Тема:
Наближені методи обчислення визначених інтегралів
Зміст
Вступ
Розділ
1. Наближені методи обчислення визначених інтегралів
.1
Основні поняття та визначення. Постановка задачі
.2
Формула прямокутників обчислення визначених інтегралів
.3
Метод (формула) трапеції обчислення визначених інтегралів
.4
Параболічна формула (формула Сімпсона) обчислення визначених інтегралів
Розділ
2. Абсолютні похибки наближеного обчислення визначених інтегралів
.1
Абсолютна похибка формули прямокутників
.2
Абсолютна похибка формули трапеції
.3
Абсолютна похибка параболічної формули (формули Сімпсона)
.4
Приклади
Висновок
Список
використаної літератури
Вступ
Чисельне інтегрування - одна з найбільш важливих тем
обчислювальної математики. При розв’язуванні математичних, інженерних, фізичних
задач досить часто виникає потреба обчислювати визначені інтеграли. Лише в
небагатьох випадках для їх обчислення можна отримати аналітичні вирази для
первісних підінтегральних функцій. Тому в більшості випадків користуються
чисельними методами інтегрування. В даній курсовій роботі ми розглянемо
наступні наближені методи чисельного інтегрування: метод прямокутників; метод
трапецій; метод парабол (Сімпсона).
Актуальність теми курсової роботи полягає в тому, що при
розв’язанні низки математичних, фізичних або технічних задач застосовуються
визначені інтеграли від функцій, первісні функції яких не виражаються через
елементарні функції. Крім того, в окремих задачах доводиться мати справу з
визначеними інтегралами, у яких самі підінтегральні функції не являються
елементарними. Це приводить до необхідності розробки наближених методів
обчислення визначених інтегралів.Предметом дослідження є методи наближеного
обчислення визначених інтегралів, первісна яких не може бути представлена у
вигляді комплексу елементарних функцій.
Метою роботи є аналіз умов використання та оцінки похибок
обчислень при застосуванні найбільш уживаних методів наближеного обчислення
визначених інтегралів: метод прямокутників, метод трапеції та метод Сімпсона.
Дана курсова робота складається з вступу, двох розділів,
висновку, списку використаної літератури та викладена на 25 сторінках. Перший
розділ присвячено загальним поняттям та основним методам обчислення визначених
інтегралів. У другому розділі розглядаються абсолютні похибки методів
наближеного обчислення визначених інтегралів.
Розділ
1. Наближені методи обчислення визначених інтегралів
.1
Основні поняття та визначення. Постановка задачі
Розглянемо функцію
, що визначена на відрізку
. Нехай функція
диференційована на відрізку
і її похідна в кожній точці
дорівнює
. Тоді функція
називається первісною функції
та записується як:
.
Так як (
=
=
для будь-якої сталої С, то можна говорити про множину
первісних - множину функцій виду
. Множина первісних
функції
називається невизначеним
інтегралом функції
і позначається
:
де
- значення невизначеного інтегралу, тобто множини первісних функції
:
Розглянемо функцію
, що визначена на відрізку
. Розіб’ємо відрізок
на n довільних частин точками
і позначимо
,
,
.
На кожному відрізку
візьмемо довільну точку
і обчислимо в ній значення функції
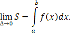
. Вираз 
називається інтегральною сумою функції
. Якщо при
існує границя
, не залежна ні від способу розбиття
відрізку
точками
,
, ні від вибору точок
, то ця границя називається визначеним
інтегралом від функції
на відрізку
, а сама функція - інтегровною на
, та позначається:
визначений інтеграл сімпсон похибка
В основу чисельного інтегрування покладене наближене
обчислення площі під кривою, яка описується підінтегральною функцією інтеграла
виду:
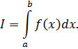
Нехай потрібно обчислити визначений інтеграл
від неперервної функції
Якщо може бути знайдена первісна F(х) підінтегральної функції, то за формулою Ньютона-Лейбніца
Однак, цю цілком зручну формулу на практиці не завжди можна
застосувати. Нерідко доводиться мати справу з інтегралами, які не виражаються
через елементарні функції, це, наприклад, інтеграли виду:
,
,
,
,
,
,…
Також аналізуючи наближенні формули для біномних
ймовірностей, ми можемо спостерігати, що у виразі
обчислення інтеграла ускладнюється
тим, що для функції
не існує первісної в елементарних функціях, тому і вводять
функцію Лапласа
, яка табульована.
Тобто якщо для елементарної функції
первісна функція не є елементарною,
то застосування формули Ньютона-Лейбніца не приводить до мети. Так, для
елементарної функції
=
, неперервної на відрізку
існує первісна F(x) і, отже, за формулою Ньютона-Лейбніца, правильна рівність
Однак значення первісної
в точках
і
, а отже, і значення визначеного
інтеграла, що стоїть у лівій частині рівності (1), не можна обчислити, оскільки
не є функцією елементарною.
Якщо ж первісна не може бути знайдена або якщо функція
задана графічно або таблично, то для
обчислення інтеграла використовують наближені формули, точність яких може бути
зроблена як завгодно великою.
Наближені методи обчислення визначеного інтеграла в більшості
випадків основані на тому, що визначений інтеграл
чисельно рівний площі криволінійної
трапеції, обмеженої кривою
, сегментом
осі
і вертикальними прямими, які проходять через точки
і
. Таким чином, задача про наближене
обчислення інтеграла рівносильна задачі про наближене обчислення площі
криволінійної трапеції.
Суть наближеного обчислення інтеграла полягає в тому, що
крива
замінюється новою, достатньо "близькою" до неї кривою.
Тоді шукана площа наближено рівна площі криволінійної
трапеції, яка обмежена новою кривою.
В якості цієї нової обмежуючої кривої вибирають таку, для
якої площа криволінійної трапеції може бути обчислена. В залежності від вибору
нової кривої ми отримаємо ту чи іншу наближену формулу інтегрування або метод
інтегрування.
Отже, виникає потреба у знаходженні формул для наближеного
обчислення визначеного інтеграла.
.2
Формула прямокутників обчислення визначених інтегралів
Нехай
- неперервна функція на відрізку
. Дістанемо наближене значення
інтеграла від функції
на відрізку
, якщо в цьому інтегралі замість функції
візьмемо сталу функцію, що дорівнює
значенню
в точці
, тобто
Якщо
невід’ємна функція на відрізку
, то наближеній рівності (2) можна
дати геометричне тлумачення. Саме за наближене значення площі криволінійної
трапеції
(рис. 1.2.1) ми прийняли площу
прямокутника
.
рис. 1.2.1
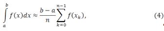
Щоб визначений інтеграл обчислити з більшою точністю,
відрізок
поділимо на n рівних відрізків за допомогою
розбиття
Де
і, застосувавши до кожного відрізка
(
) наближену формулу (2), дістанемо
Наближена рівність
де
і називається формулою прямокутників.
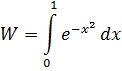
Приклад 1. Застосовуючи формулу прямокутників
обчислити наближене значення відомого інтеграла
де n=10, обчислення провести до 4
знаків після коми.
Розв’язання:
Маємо, що
, обчислимо:

За формулою прямокутників (4) будемо мати:
Відповідь:
.3
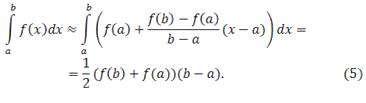
Метод (формула) трапеції обчислення визначених інтегралів
Якщо у визначеному інтегралі
функцію
замінити лінійною
функцією
графік, якої проходить через точки
і
(рис. 1.3.1), то дістанемо наближену
рівність
рис. 1.3.1
Якщо
- неперервна невід’ємна функція на відрізку
, то цій наближеній рівності дати
геометричне тлумачення. Саме за наближене значення площі криволінійної трапеції
, ми прийняли площу звичайної
трапеції
(рис. 1.3.1).
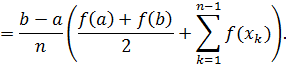
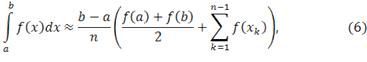
Щоб визначений інтеграл обчислити з більшою точністю,
відрізок
, як і в методі прямокутників, ділимо
на n рівних відрізків (3) і,
застосувавши до кожного відрізка
(
) формулу (5), дістанемо
Наближена рівність
де
і називається формулою трапеції.
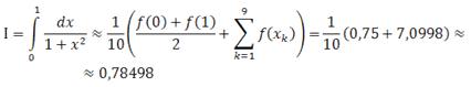
Приклад 2. Застосовуючи формулу трапеції
обчислити наближене значення відомого інтеграла
де n=10, обчислення провести до 4
знаків після коми.
Розв’язання:
Маємо
, обчислимо:
За формулою (6) маємо:
Відповідь:
Два отриманих наближених результати у прикладі 1 та 2 мають
приблизно однакову точність - вони відрізняються від дійсного значення менше
ніж на 0,0005.
.4
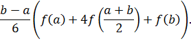
Параболічна формула (формула Сімпсона) обчислення визначених інтегралів
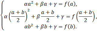
Якщо у визначеному інтегралі
замість функції
взяти квадратний тричлен
, графік, якого проходить через три
точки
, то дістанемо наближену рівність
Оскільки графік квадратного тричлена
проходить через точки A, B, і С, то коефіцієнти
цього тричлена задовольняють рівняння:
Використовуючи ці рівняння, вираз, що стоїть у правій частині
формули (7), можна замінити рівним йому виразом
Після цього формулу (7) перепишемо у вигляді
Якщо
- неперервна невід’ємна функція на відрізку
то наближеній рівності (8) можна
дати геометричне тлумачення. Тут за наближене значення площі криволінійної
трапеції
(рис. 1.4.1) ми прийняли площу
другої криволінійної трапеції, яка відрізняється від першої тільки тим, що
зверху вона обмежена не графіком функції
, а параболою
, яка проходить через точки
, що лежать на кривій
.
рис. 1.4.1
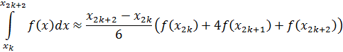
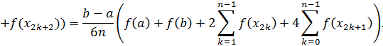
Щоб визначений інтеграл обчислити з більшою точністю,
відрізок
розділимо на 2n рівних відрізків, за допомогою
розбиття
де
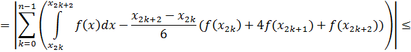
і, застосувавши формулу (8) до кожного відрізка [
, який складається з двох відрізків [
дістанемо:
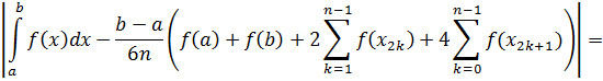
Наближена рівність
де
називається параболічною формулою або формулою
Сімпсона.
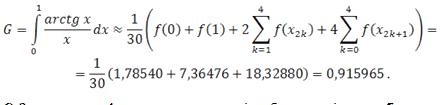
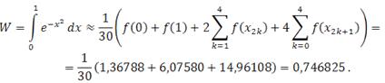
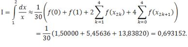
Приклад 3. Застосовуючи формулу Сімпсона
обчислити наближене значення відомого інтеграла
Розв’язання:
Оскільки
, то маємо:
За формулою (9) маємо:
Відповідь: І
(всі п’ять знаків вірні).
Розділ
2. Абсолютні похибки наближеного обчислення визначених інтегралів
.1
Абсолютна похибка формули прямокутників
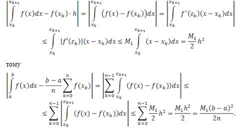
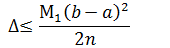
Для кожної наближеної рівності важливо знати абсолютну
похибку. Оцінимо абсолютну похибку в наближеній рівності (4) (формулі
прямокутників) при умові, що
неперервна на відрізку
Якщо
для х
, то
Таким чином, абсолютна похибка
в формулі прямокутників оцінюється
за допомогою нерівності
при умові, що
неперервна на відрізку
і
2.2
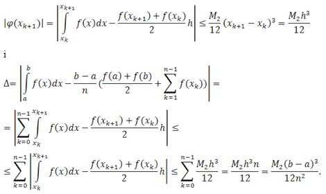
Абсолютна похибка формули трапеції
Оцінимо абсолютну похибку в формулі трапеції при умові, що
похідна другого порядку
неперервна на відрізку
і
Для цього розглянемо функцію:
на відрізку
Не важко помітити, що
Оскільки
Звідси
Таким чином, абсолютна похибка
в формулі трапецій (6) оцінюється за
допомогою нерівності
при умові, що
неперервна на відрізку
і
2.3 Абсолютна похибка
параболічної формули (формули Сімпсона)
Оцінимо абсолютну похибку в цій формулі при умові, що похідна
четвертого порядку
неперервна на відрізку
і
для
.
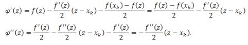
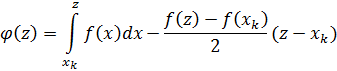
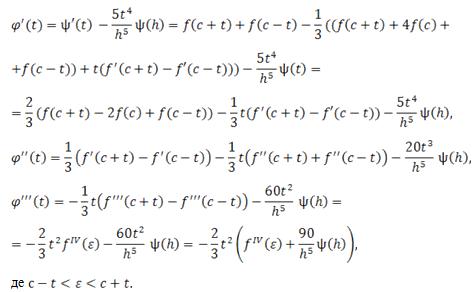
Спочатку оцінимо абсолютну помилку в наближеній рівності (8)
(формулі Сімпсона). Для цього розглянемо допоміжні функції:
Де
Зрозуміло, що
дорівнює різниці лівої і правої частин наближеної рівності
(10), так що
і є абсолютна помилка цієї наближеної рівності.
Продиференціювавши функцію
три рази і застосувавши теорему
Лагранжа про скінченний приріст, дістанемо:
Оскільки
,
, то за теоремою Ролля знайдеться точка t1
, в якій
. Зазначивши, що
, за теоремою Ролля маємо
, де
.
Оскільки
, то застосувавши ще раз теорему Ролля, дістанемо
, де
. Звідси
тобто
Отже,
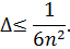
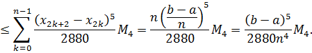
Використовуючи цю оцінку для абсолютної похибки до кожної
наближеної рівності
Дістанемо
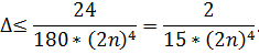
Таким чином, абсолютна похибка
в наближеній рівності (9) оцінюється
за допомогою нерівності
при умові, що
неперервна на відрізку
і
. Зазначимо, що коли
є алгебраїчний многочлен степеня не
вище третього, то
, і, отже,
, тобто формула Сімпсона в цьому випадку є не наближеною, а
точною.
.4
Приклади
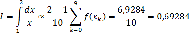
) Обчислимо інтеграл
з точністю до 0,001, використовуючи формулу прямокутників.
Так як для
, то за формулою про оцінку похибки наближеного обчислення
для формули прямокутників
при умові, що
неперервна на відрізку
і
якщо взяти n=10, похибка буде
. обчислювати значення функції
до чотирьох знаків після коми, з
точністю до 0,00005. Маємо:

Звідси
Враховуючи, оцінку похибки і точність
, бачимо, що
міститься між числами
і
, а відповідно між
. Таким чином,
2) Проведемо обчислення того ж інтеграла
за формулою трапеції.
В цьому випадку використаємо формулу оцінки похибки формули трапеції
Спробуємо і тут взяти n=10, але тоді гарантувати можна лиш те, що
. Обчислення проведемо з тією ж
точністю, що й раніше. Маємо:
Звідси,
Враховуючи всі похибки, маємо, що
знаходиться між числами
і
тобто,
і
. Отже,
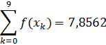
3) З допомогою формули Сімпсона, обчислюючи той же інтеграл,
який дорівнює
можна отримати більш точний результат. Так як четверта
похідна підінтегральної функції -
, то за формулою абсолютної похибки
При n=5 (тоді число значень функції
буде теж саме, що і в попередньому випадку) маємо
. Обчислення проведемо з точністю
0,00005 та до п’яти знаків після коми:
Звідси
міститься між числами
так що будемо мати
В дійсності
і істинна похибка виявляється меншою ніж 0,00005.
4) Обчислимо інтеграл
з точністю до 0,0001 за формулою Сімпсона.
Обчисливши четверту похідну від підінтегральної функції,
переконуємося, що її абсолютна величина не перевищує 12, тому
Досить взяти n=5, або
. Оскільки
, то маємо:
Звідси
Отже,
5) Обчислимо інтеграл

Оскільки
, то маємо:
Звідси
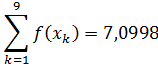
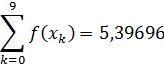
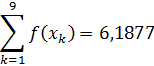
6) Застосовуючи формулу прямокутників, обчислимо інтеграл:
Обчислення проведемо для n=10 з точністю до 5 знаків після коми. Знайдемо значення підінтегральної
функції
у точках відрізка [0; 1]
Далі обчислимо наближене значення інтеграла, воно дорівнює:
Висновок
У даній роботі було розглянуто методи наближених обчислень
визначених інтегралів. Були виведені формули прямокутників, трапеції та парабол
(Сімпсона) та формули оцінки абсолютних похибок цих методів. Застосування цих
формул показано на прикладах.
Звичайно, що при обчисленні інтегралів за допомогою формул
наближеного обчислення визначених інтегралів, ми не отримуємо точного значення,
а тільки наближене. Щоб максимально наблизитися до достовірного значення інтеграла
потрібно правильно вибрати метод і формулу, по якій будуть вестися обчислення.
Наближене значення інтеграла можна обчислити з будь-якою
наперед заданою точністю. Для цього за формулою оцінки похибки визначають на
скільки частин потрібно розбити відрізок інтегрування
, що дає змогу отримати більш точний
результат при обчислені.
Наведені приклади наочно показують, що найбільш точне
значення обчислення певних інтегралів дає використання при обчисленні формули
Сімпсона. Тобто, порівнюючи формули прямокутників, трапеції та Сімпсона, ми
можемо сказати, що формула Сімпсона є найбільш вигідною.
З допомогою виведених формул обчислення абсолютних похибок
методів наближеного обчислення визначених інтегралів ми оцінили похибку кожного
методу на прикладах.
Хоча чисельні методи й не дають точного значення інтеграла,
але вони дуже важливі, тому що не завжди можна вирішити завдання інтегрування
аналітичним способом.
Список
використаної літератури
1. Бойко
Л.Т., Основи чисельних методів:
навч. посібник. - Д.: Вид-во ДНУ, 2011. - 244 с.
2. Давидов Н.А., Курс математичного аналізу / Н.А. Давидов. -К.: Вид-во "Вища школа" , 1976. -378 с.
3. Демидович
Б.П., Марон И.А. Основы вычислительной математики. - М.: Изд-во „Наука" -
„Физматлит", 1979. - 664 с.
. Канторович
А. В., Крылов В.И. Приближенные методы высшего анализа. - М.: Изд.
Физико-математической литературы, 1962. - 708 с.
5. Конет
І.М., Теорія ймовірностей та математична статистика./ Конет І.М. - Кам’янець-Подільський:
Кам’янець-Подільський державний педагогічний університет, інформаційно-
видавничий відділ, 2009.-214с.
6. Крылов
В.И., Вычислительные методы:
учебное пособие / В.И. Крылов, В.В. Бобков, П.И. Монастырный. - М.:
„Наука", 1976. - Т.1. - 304 с.
7. Крылов
В.И., Вычислительные методы:
учебное пособие / В.И. Крылов, В.В. Бобков, П.И. Монастырный. - М.:
„Наука", 1977. - Т.2. - 399 с.
. Марчук
Г.И., Методы вычислительной
математики. Схемы, таблицы. - М.: " Наука", 1977. - 456 с.
. Фихтенгольц
Г.М., Курс дифференциального и
интегрального исчисления. - М.: „Наука", 1970. - Т.2. - 800 с.
. Шнейдер
В.Е., Краткий курс высшей
математики / В.Е. Шнейдер, А.И. Слуцкий.- М.: „Наука",
1972. - 386 с.