Проектирование системы доставки груза от производителя к потребителю
1. Описание технологии производства и
установление свойств товара (груза), перемещаемого в логистической цепи
груз поставка партия логистический
Молекула полиэтилена представляет из себя не что
иное, как длинную цепь из атомов углерода, к каждому из которых присоединено по
два атома водорода. В зависимости от метода изготовления получаются
макромолекулы с различной степенью разветвления и различной плотностью. Поэтому
ПЭ подразделяется на две основные группы:
Полиэтилен низкой плотности
Полиэтилен высокой плотности
Способы получения:
Пленки изготавливаются экструзией на установках
для получения пленок экструзией рукава с раздувом и установках с применением
щелевых головок и последующей непосредственной намоткой после протяжки через
охлаждающие-вытягивающие валики. Пленки в основном используются для
изготовления пакетов для хлеба, фруктов, овощей, мяса и птицы, сумок, мешков
для мусора, растягивающихся и термоусадочных упаковочных пленок для закрепления
грузопакетов.
Термоусадочные пленки можно изготавливать путем
растяжения обычных пленок при температуре ниже их температуры плавления. При
воздействии температуры 140-180°С подвергнутые такой предварительной обработке
пленки сильно усаживаются, плотно прилегая к поверхности упаковываемых изделий.
Для получения определенных свойств
осуществляется модификация полиэтилена винилацетатом. Пленки из
этиленвинилацетата (EVA) по сравнению с пленками из не модифицированного
полиэтилена при хорошей прочности более прозрачны и лучше свариваются.
Благодаря хорошей способности свариваться при нагреве и сцеплению с другими
материалами EVA пригоден также для нанесения на картон и другие упаковочные
материалы.
Для изготовления пленок толщиной от 7 до 100 мкм
применяется Полимер HDPE.
Наиболее динамично развивающимися секторами ПЭ
пленочной индустрии является производство термоусадочных пленок.
Достоинствами пленки являются повышенная
стойкость к проколу и раздиру, высокая эластичность, большая величина
относительно удлинения. Пленки широко используются для упаковки грузов на поддонах
(паллетные пленки) и различных пищевых продуктов (пищевые пленки). Обмотка
грузов пленкой осуществляется либо вручную, либо с помощью специальных машин.
При упаковке необходима термокамера для усадки
пленки в процессе обмотки груза.
. Определение оптимального размера партии
поставки
Каждое решение, принимаемое грузоотправителем
при управлении запасами, вне зависимости от системы снабжения, связано с
размером и интервалом времени между поставками. Два данных параметра являются
важнейшими исходными данными для транспортно логистического проектирования.
В качестве экономического критерия для выбора
стратегии управления запасами принимают величину совокупных издержек,
характеризующих процесс пополнения заказа и хранения запасов.
Оптимальный размер партии поставки определяется
по формуле Уилсона:
где,
-
издержки на пополнение заказа, у.д.е.;
- годовая
потребность предприятия-потребителя в товаре, т;
- цена за единицу
товара, у.д.е.;
- доля издержек на
хранение в цене товара.
При такой стратегии управления запасами частота
поставок устанавливается на основании динамики производства, в случае если
потребление запасов при производстве осуществляется равномерно, то частота
заказа является постоянной величиной и ориентировочный интервал времени между
поставками может быть определен по формуле:
В соответствии с исходными данными произведём
расчёт по формулам 2.1-2.2.
. Описание транспортной характеристики груза.
Обоснование выбора вида транспорта - участников процесса доставки. Обоснование
выбора маршрута следования подвижных единиц. Обоснование выбора подвижного
состава для доставки товара в транспортно - логистических цепях. Формирование
возможных вариантов доставки
Пленка термоусадочная перевозится в закрытом
подвижном составе, в рулонах. Ширина рулона зависит от желания заказчика и
колеблется от 0,5 м до 2,0 м.
Оптимальный размер партии поставки составил 40
тонн, следовательно можно сделать предположение о возможности осуществления
перевозки в среднетоннажных контейнерах (СТК) по 5 тонн каждый. Для отправки
одной партии понадобится 6 СТК. СТК удобны тем, что их можно транспортировать
всеми видами транспорта.
Для перевозки данного груза могут использоваться
следующие виды транспорта: железнодорожный, автомобильный, речной, морской,
воздушный.
Приведём три варианта доставки груза.
Первый вариант - автомобильным транспортом из
Борисова (Беларусь) в Росток (Германия), расстояние - 1431 км.
Рисунок 3.1 - Маршурт Борисов - Росток
(Германия) по автодорогам
Второй вариант - Автотранспортом из Борисова в
Минск, затем авиатранспортом из Минска в Росток, расстояние 98 +993=1091 км.
Рисунок 3.2 - Маршрут Борисов - Минск по
автодорогам (98 км)
Рисунок 3.3 - Авиамаршрут Минск - Ростока
(Германия) 993 км
Третий вариант
Железнодорожным транспортом: из Борисова до
Бреста (288 км), затем из Бреста до Берлина (810 км), затем из Берлина до
Ростока (199 км). Расстояние перевозки 288+810+199=1297 км.
Рисунок 3.5 - Железнодорожный маршрут Борисов -
Брест
Рисунок 3.6 - Железнодорожный маршрут Брест -
Берлин
Рисунок 3.7 - Железнодорожный маршрут Берлин -
Росток
. Расчёт технических норм параметров
логистических цепей по вариантам. Определение параметров логистических цепей:
размера партии груза, перемещаемого по участку логистической цепи и
интенсивность материального потока
Под логистической цепью понимается множества
звеньев логистической системы, линейно упорядоченных по некоторому
материальному или нематериальному потоку с целью реализации поставленной перед
системой задачи. В общем виде любая логистическая цепь доставки товара от
производителя до потребителя включает в себя звенья двух типов:
· Узлы трансформации потока, при
прохождении через которые меняются его характеристики;
· Участки движения потока, при котором
его количественные характеристики остаются неизменными.
Материальный поток в каждой фазе его движения
можно охарактеризовать двумя параметрами:
-
размер партии груза, перемещаемой по участку в одном транспортном средстве;
-
интенсиваность потока, показывающая количество груза, проходящее в единицу
времени через i-ый участок логистической цепи.
Интенсивность потока определяется по формуле:
где
-
интервал отправления подвижных единиц из узла трансформации материального
потока, рассчитываемый по формуле:
где
-
величина транспортного потока, отправлений;
- период
отправления транспортных единиц, суток.
Величина транспортного потока определяется по
формуле:
где
-
размер перевозок в логистической цепи, т/шт.
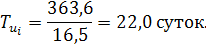
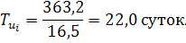
Период отправления подвижных единиц определяется
по формуле:
где
-
срок доставки, определяемый на основании нормирования операций доставки товара
по варианту логистической цепи, суток.
Принимаем, что размер партии груза,
перемещаемого в логистической цепи - постоянная величина и составляет
Приведём пример логистической цепи доставки
полиэтилена по первому варианту.
Рисунок 4.1 - Схема логистической цепи по
первому варианту
Произведём расчёты для этой логистической цепи
по формулам 4.1-4.4.

Приведём пример логистической цепи доставки
полиэтилена по второму варианту.
Рисунок 4.2 - Схема логистической цепи по
второму варианту
Рассчитаем параметры логистической цепи при
перевозке полиэтилена с использованием авто- и авиатранспорта.
Приведём пример логистической цепи доставки
полиэтилена по третьему варианту.
Рисунок 4.3 - Схема логистической цепи по
третьему варианту
Выполним по этой логистической цепи,
представленной на рисунке 4.3.
5. Расчёт экономических показателей системы
доставки груза по вариантам логистических цепей
Расходы на перевозку по варианту системы
доставки складываются из трёх составных частей: расходы на грузовую обработку
подвижного состава, связанные с партией поставки; на перемещение партии; на
обеспечение взаимодействия элементов логистической цепи.
Расходы на перемещение партии груза определяются
по формуле:
где
- стоимость
содержания подвижного состава, у.д.е./пс-час;
-
продолжительность транспортировки, час.
Расходы на грузовую работу подвижного состава
составляют 5 у.д.е./м3.
Расходы на обеспечение взаимодействия элементов
логистической цепи принимаются 20% от расходов на транспортировку.
Определим расходы на перевозку по трём
вариантам.
Первый вариант (доставка автотранспортом):
По второму варианту (автотранспорт +
авиатранспорт):
По третьему варианту (железнодорожный транспорт)
расходы составили:
Себестоимость перевозок по варианту системы
доставки определяется по формуле:
где
-
суммарные расходы на перевозку по варианту, у.д.е.;
- размер
перевозок,
Определим себестоимость перевозок по вариантам:
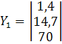
. Выбор оптимального варианта логистической цепи
Выбор оптимального варианта логистической цепи
по можели эталонного сравнения обосновывается на основании ценки его качества.
Исходными данными будут являтся нормированные параметры варианта логистической
цепи и эталонные значения параметров оценки качества системы доставки
(устанавливаются преподавателем).
Постановка задачи выбора наиболее эффективной
логистической цепи из несколких альтернатив при наличии нескольких критериев,
интересующих участников процесса доставки и грузовладельца, на основании
нечетких множеств может быть представлена следующим образом.
Пусть задано множество возможных вариантов
логистических цепей X:
Каждый вариант характеризуется множеством
параметров качества Y:
где
-
срок доставки,
- стоимость
доставки.
Между каждым членом множества X и каждым членом
множества Y имеет место нечёткое отношение
,
которое отражает уровень соответсвия i-го варианта доставки требованиям по j-му
параметру:
Если, например
,
то это значит, что срок доствки груза по варианту 1 совершенно не соответстует
требованиям, предъявляемым к системе доставки; если
,
то срок доставки при реализации логистической цепи варианта 2 идеально
соответсует требованиям.
Таким образом, данные нечёткие отношения
представляют собой матрицу R размером
:
Отношения
могут
быть определены как относительные показатели качества по принципам квалиметрии.
Из всех альтернатив требуется выбрать наилучший
вариант
:
Для выбора варианта транспортно-логистической
цепи будем использовать метод компромиссного решения, который заключается в
следующем. Каждый параметр качества системы доставки задаётся значимостью,
поэтому в задачу вводится множество
:
где
-
уровень важности параметра качества
.
Уровни важности
задаются
по единой шкале (долевой). После установления значений множества
для
всех параметров множества
проводится их
нормализация:
Тогда множество интегральных параметров
качества, с учётом значимости отдельных параметров
может
быть полученго как произведение
то есть
Оптимальным вариантом по модели эталонного
сравнения является вариант с максимальным значением интегрального параметра.
Произведём рассчёт по формулам 6.1 - 6.8 для
трёх вариантов транспортно-логистических цепей, представленных в предыдущих
пунктах работы.
Каждый вариант
характеризуется
тремя параметрами качества:
- срок доставки,
суток;
-
стоимость доставки, у.д.е./т;
- комплексность
системы доставки, %.
;
Таким образом формируется матри M для трёх
вариантов.
Эталонные значения параметров оценки качества
системы доставки устанавливаемые преподавателем составили:
,
у.д.е./т,
Следовательно,
Таким образом, составим матрицу R состоящую из
элементов
.
Зададимся важностью параметров качества: срок
доставки - 4 балла, стоимость доставки - 2 балла, комплексность - 5 баллов.
Выполним нормализацию и сформируем матрицу важностей
:
Сформируем матрицу интегральных параметров
качества
:
На основании полученной матрицы
можео
сделать вывод, что наиболее приемлемым вариантом для грузовладельца является
вариант 3 (доставка из города Борисов до города Росток железнодорожным
транспортом), наименее приемлемый - 2 вариант (доставка автотранспортом до
города Минск и авиатранспортом до города Росток).
Заключение
В данной работе были выполнены расчёты,
связанные с транспортно-логистическим проектированием системы доставки груза от
производителя к потребителю.
В ходе выполнения работы была описана технология
производства товара, перемещаемого в логистической цепи; определён оптимальный
размер партии поставки; описана транспортная характеристика груза, обоснован
выбор подвижного состава для доставки товара; составлены маршруты следования
подвижных единиц; сформированы варианты доставки и определены сроки доставки по
этим вариантам. Также были рассчитаны технические нормы параметров логистических
цепей, рассчитаны экономические показатели системы доставки груза по вариантам.
В итоге выполнения расчётно-графической работы
был выбран оптимальный вариант транспортно-логистической цепи по доставке
товара "Плёнка полиэтиленовая" от производителя ОАО
"Полимиз" (город Борисов, Беларусь) потребителю "RRC"
(город Росток, Германия), с учётом требований потребителя (на основании матрицы
интегральных параметров качества). По данному варианту предполагается доставка
груза железнодорожным транспортом из Борисова до Бреста, затем из Бреста до
Берлина, затем из Берлина до города Росток. Себестоимость перевозки составит
14,0 у.д.е./т.