Математические модели технических систем

  • Вид работы:
    Реферат
  • Предмет:
    Математика
  • Язык:
    Русский
    ,
    Формат файла:
    MS Word
    2,53 Мб
  • Опубликовано:
    2014-08-25
Вы можете узнать стоимость помощи в написании студенческой работы.
Помощь в написании работы, которую точно примут!

Математические модели технических систем

1.      Примеры математических моделей описывающих технические системы

.1      Общие сведения

Математической моделью технической системы называется совокупность математических объектов (чисел, скалярных переменных, векторов, матриц, графов и т. п.) и связывающих их отношений, отражающая свойства моделируемого технического объекта, интересующие инженера - проектировщика.

Математические модели технических систем формально можно классифицировать как:

·              Линейные или нелинейные модели

·              Сосредоточенные или распределённые системы;

·              Детерминированные или стохастические;

·              Статические или динамические;

·              Дискретные или непрерывные.

1.2 Математическая модель гидроприводов главной лебедки и механизма подъема-опускания самоходного крана

На рис.1, а, б приведены расчетные схемы гидросистем кранов: гидропривода грузовой лебедки (а) и гидропривода механизма наклона стрелы (б) с нанесенными на них узлами 1, ..., 31. Каждый типовой гидроэлемент (насос, гидромотор, клапан и т.д.) описывается определенной математической моделью, отражающей его основные динамические свойства.

Рис. 1.

Для предохранительного клапана прямого действия, соединяющего узлы 15 и 16, в рамках рассматриваемой задачи была использована упрощенная математическая модель, описывающая только статическую характеристику. Тормозной клапан представлен на расчетной схеме в виде комбинации подпружиненного поршня регулятора и регулируемого дросселя, проходное сечение которого является функцией перемещения поршня.

В качестве основных возмущающих воздействий были приняты: силы, моменты, приведенные массы, перемещение золотника гидрораспределителя.

Момент на валу барабана лебедки с учетом динамической нагрузки [3]:

б - диаметр барабана; mг - масса груза; Кп - кратность полиспаста; ηп - КПД полиспаста; ω - частота собственных колебаний механической системы крана и груза; nгм - частота вращения вала гидромотора; uл - передаточное число редуктора лебедки; g - ускорение свободного падения.

Зависимости массы mпр стрелы с грузом и силы Rц, приведенных к штоку гидроцилиндра механизма подъема-опускания стрелы, от относительного хода поршня S/Smax, где Smax - максимальный ход поршня, представлены на рис.1, в, г.

Перемещение золотника гидрораспределителя из одной позиции в другую осуществлялось по линейному закону за 1 с.

В процессе моделирования гидросистем проверялась устойчивость режимов опускания крановых механизмов при различных давлениях настройки рт тормозного клапана (давление начала открытия запорно-регулируемого золотника), которое изменялось от 2 до 5 Мпа.

Динамический анализ гидросистем грузовой лебедки и механизма наклона стрелы, например, крана грузоподъемностью 100 т, проводился при следующих значениях основных параметров: рабочие объемы насоса и двух гидромоторов 225 см3/об; диаметры поршня и штока гидроцилиндра 300 мм и 200 мм, ход поршня 2980 мм; диаметр и длина напорной и сливной гидролиний соответственно 32 мм и 2 м; давление настройки предохранительного клапана рпр = 17.5 Мпа; угловая скорость вала насоса 100 рад/с; объемный модуль упругости рабочей жидкости 1000 Мпа; максимальная площадь проходного сечения регулируемого дросселя 9-10 равна 2.4 см2; диаметр условного прохода и ход золотника гидрораспределителя соответственно 32 мм и 24 мм.

В кранах больших грузоподъемностей увеличение количества гидродвигателей учитывалось соответствующим изменением параметров гидроцилиндра или гидромотора.

Анализ полученных результатов показал, что наиболее чувствительным к изменению параметров настройки является механизм грузоподъемной лебедки. Колебания при переходных процессах в гидросистемах лебедок у кранов всех рассматриваемых грузоподъемностей начинаются при значениях рт в 1.5 раза бóльших, чем в гидросистемах подъема-опускания стрелы. На рис. 2, апоказаны зависимости [2], c помощью которых рекомендуется выбирать давления настройки предохранительного и тормозного клапана для механизмов лебедки и подъема-опускания стрелы.

Рис. 2.

На рис. 2, б,в,г приведены типовые расчетные осциллограммы переходных процессов в гидросистемах механизмов грузовой лебедки и подъема-опускания стрелы крана грузоподъемностью 100 т в режиме опускания при рт =3.5Мпа.

Как видно из рис. 2, б, стабилизация скорости v12 опускания стрелы происходит быстрее (0.7 с), чем стабилизация частоты вращения n12вала гидромотора (1.1 с), которая имеет при этом относительно бóльшую амплитуду и меньшую частоту колебаний. Колебания давлений (рис. 2, в) в подводящей и отводящей магистралях гидромотора р22, р23м и гидроцилиндра р24, р23ц имеют одинаковую частоту, но отличаются по амплитуде и фазе. Затухание колебаний этих величин до установившихся значений амплитуды в механизме лебедки происходит через 1.1 с после начала переключения золотника. Колебания давлений в гидроцилиндре происходят с небольшой амплитудой и низкой частотой, что свидетельствует о меньшей подверженности гидросистемы механизма подъема-опускания стрелы автоколебаниям.

Динамика перемещений х14м и х14ц золотника тормозного клапана при работе в гидросистеме лебедки и механизма наклона стрелы, а также закон перемещения х золотника гидрораспределителя показаны на рис. 2, г.

Анализ осциллограмм показал, что гидросистемы обладают достаточной степенью демпфирования элементов для гашения собственных колебаний. Было установлено, что давление настройки предохранительного клапана рпр, ограничивающего давление, развиваемое насосом в процессе опускания груза и стрелы, не оказывает влияния на устойчивость этих процессов. Однако, для предотвращения неоправданных потерь энергии основным условием для выбора величины рпр должно быть обеспечение номинальной скорости опускания.

Расчетами было установлено, что опускание механизмов начинается только при соблюдении условия рпрт > 1, так как только при этом начинается открытие тормозного клапана. Достижение номинальной скорости опускания при полностью открытом канале гидрораспределителя возможно лишь при выполнении условия рпрт ≥ 1.2.

С учетом статической характеристики предохранительного клапана был принят запас по давлению для обеспечения его стабильной работы совместно с тормозным клапаном.

Полученные расчетные результаты были экспериментально проверены на стендах, а также на кранах грузоподъемностью 25 и 40 т [3]. Переходные процессы, полученные опытным путем, носят тот же характер, что и расчетные, а их параметры отличаются не более чем на 5-8%, что свидетельствует о достаточной корректности проведенного численного анализа.

На основе проведенных исследований были откорректированы принципиальные схемы гидросистем кранов, обоснован и снижен уровень давления настройки предохранительных и тормозных клапанов, улучшены динамические характеристики гидросистем.

.3      Математическая модель, описывающая динамику гидропривода механизма поворота стрелы автобетононасоса

 

РАЗГОН

Согласно принятым допущениям упрощенная математическая модель, описывающая динамику гидропривода механизма поворота, имеет вид:


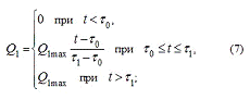
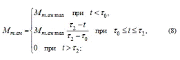
где J - приведенный к валу гидромотора момент инерции вращающихся частей механизма поворота; q- рабочий объем гидромотора;Мт.гм - тормозной момент, приведенный к валу гидромотора; Е - приведенный объемный модуль упругости трубопроводов и рукавов высокого давления (РВД) с жидкостью; V - объем трубопроводов и РВД в напорной магистрали; ω7 - угловая скорость вала гидромотора (узел 7, рис. 2), р6 - давление на входе в гидромотор (узел 6, рис. 2);Q1 - подача насоса в узле 1, рис. 2. Учитывая зависимости Q1( t) и  ( t) на рис. 3, получим в общем виде:


Тогда на промежутке  имеем:


Приняв начальные условия:


и учитывая (9), решаем систему дифференциальных уравнений (6), которая при  является линейной.

В результате решения находим максимальное угловое ускорение поворотной части:


где u - передаточное число механизма поворота.

Расчеты максимальных угловых ускорений механизма поворота, проведенные по формуле (11), дали следующие результаты, приведенные в табл. 3. Там же для сравнения даны величины угловых ускорений, полученные рачетами по программе HYDRA.

Расчеты проводились при следующих значениях исходных данных: Q1max = 17 л/мин = 283 см3/с и 23 л/мин = 383 см3/с; q =17.03 см3/рад; τ0 = 0.024 с; τ1 = 0.043 с; τ2 = 0.054 с; V= 335 см3; E ≈ 570 МПа; Мт.гм max ≈ 118.5 Н·м; J = 0.0216 кг· м2 и 0.0343 кг· м2.


Торможение

Торможение механизма поворота, как отмечалось выше, происходит раньше включения колодочного тормоза, то есть чисто гидравлически, за счет повышения противодавления в сливной магистрали гидромотора со срабатыванием предохранительного клапана. Поэтому максимальные ускорения при торможении механизма поворота могут быть определены из уравнения динамики гидромотора:


где р* - давление настройки (срабатывания) предохранительного клапана, р* = 4.9 МПа.

Тогда


В табл. 4 представлены результаты расчета максимальных угловых ускорений, полученные расчетом по программе HYDRA и по формуле (13).


Полученные формулы дают возможность приближенно определить максимальные угловые ускорения механизма поворота. При выполнении условий, оговоренных выше в допущениях, относительная погрешность не превысила 26% при разгоне и 23% при торможении. Проведенный анализ позволил провести в дальнейшем расчет на прочность металлоконструкции стрелы с учетом динамических нагрузок.

.4      Математическая модель полноповоротного привода для шаровых кранов

Рис. 1

Для преобразования поступательного движения во вращательное входным звеном должна быть поступательно перемещающаяся гайка. Величина вращающего момента на выходном звене будет зависеть от приложенной к гайке осевой силы и угла подъема винтовой канавки. Рассмотрим силовое взаимодействие между гайкой и винтом. На гайку действует осевая сила Fa (рис. 1). Эта сила распределяется между всеми телами качения. Распределение силы зависит от точности выполнения винтовых канавок на винте и гайке, а также тел качения. Для определения условий контакта шара с винтовой поверхностью необходимо знать радиусы кривизны в двух взаимно перпендикулярных плоскостях. Одна плоскость (плоскость "n" на рис. 4) перпендикулярна винтовой линии канавки и в ней определяется радиус профиля винтовой канавки и диаметр шара Dw. Вторая плоскость проходит через линию MAф (рис. 3), определяющую угол давления α тела качения на винтовую поверхность канавки. В этой плоскости определяется радиус винтовой канавки в точке Aф. Теоретически этот радиус равен бесконечности. Перпендикулярное сечение винта и гайки плоскостью τ (положение плоскости показано на рис. 4), проходящей через точку Aф, показано на рис. 2. В этом сечении определяется диаметр DA окружности, проходящей через фактическую точку контакта Aф. и диаметр Dpw окружности расположения шаров, проходящей через точку Mτ. На рис. 3 показан фрагмент этого сечения, где профиль винтовой канавки показан в виде дуги. Он может быть стрельчатым, трапецеидальным, прямоугольным и т.п. Выбор профиля канавки зависит от условий контакта во время работы, допускаемого контактного давления в точке контакта и технологии изготовления.


В фактической точке Аф контакта возникают нормальные к винтовым поверхностям винта силы F An от вращающего момента T. На рис. 3 показаны составляющие нормальной силы F An в плоскости τ, а на рис. 4 - составляющие силы F An в плоскости, проходящей через точки М и Аф, а также развертка винтовой линии, проходящей через фактическую точку контакта Aф и тело качения.

Рисунок 4. Развернутое сечение цилиндром с диаметром DA




где Dpw - диаметр окружности расположения шаров; Dw - диаметр шара;

ψ - угол подъема винтовой линии на поверхности цилиндра диаметром DA.

Из рис. 3 и рис. 4 выводятся следующие соотношения между силами:

проекция силы F An на плоскость τ


- нормальная сила в точке Aф


- единичная осевая сила, приходящаяся на тело качения


где Ftτ - окружная сила в плоскости τ, создающая вращающий момент;

ντ - угол между векторами сил Ftτ и F Aτ в плоскости τ; ϕ - угол наклона винтовой линии к оси винта

Суммарная осевая сила, действующая на гайку:


С учетом КПД и неравномерности нагружения тел качения осевая сила:


где i - число рядов тел качения (витков винтовой канавки);- количество тел качения в одном ряду (витке);- коэффициент запаса по вращающему моменту;- необходимый вращающий момент;

η - коэффициент полезного действия передачи с учетом всех потерь;- коэффициент неравномерности нагружения тел качения. Передаваемый вращающий момент можно определить по формуле


Составляющие силы, выраженные через вращающий момент,


Приведенные зависимости позволяют составить математическую модель привода с учетом конструктивных особенностей. С помощью математической модели привода можно определить изменение основных параметров привода для различных вариантов сочетаний диаметра тел качения Dw, диаметра окружности Dpw, на которой они расположены, угла давления тел качения, угла подъема винтовых канавок, количества двойных ходов поршня. Расчет привода проводился для шарового крана DN 1000 мм, у которого шаровой затвор поворачивается на 90° за 60 с при давлении рабочей среды в системе привода 2,5 МПа. Привод рассчитывался на рабочий момент T = 142300 Нм. Крутящий момент, развиваемый полноповоротным приводом, является равномерным. Известные приводы с кулисным механизмом создают переменный крутящий момент в функции времени. Так, пневмогидропривод фирмы Ledeen с двумя гидроцилиндрами, используемый для крана DN 1000 мм, создает максимальный крутящий момент T = 142300 Нм (Actuator models: HT 255-2/200 S GH, HT 275-2/200 S GH, HT 300-2/200 S GH, MT 255-2/200 S GH, MT 275-2/200 S GH, MT 300-2/200 S GH) [2]; а пневмогидропривод фирмы BIFFI создает максимальный крутящий момент T = 120000 Нм (модели 14C2-235, 14C2-280) [3]. Расчет проводился со следующими конструктивными ограничениями:

) расчетное количество заходов винтовых канавок не менее 3 для обеспечения симметричностиmнагружения винта и гайки;

) расчетное количество тел качения в одной канавке не менее 2 и не более 10 для повышения надежности привода и приемлемой равномерности нагружения шаров;

) общее количество тел качения не менее 6;

) диаметр подвижного элемента - целое число; 5) диаметр корпуса DK неподвижного элемента больше диаметра DП подвижного элемента и больше диаметра Dpw окружности расположения шаров.


Для получения общей картины изменения некоторых параметров привода рассчитаны шесть вариантов (таблица 1), в которых варьировались: угол давления α тел качения (45° и 60°), угол подъема ψ винтовых канавок (30°, 45° и 60°), диаметр тел качения Dw (16, 18…34 мм), диаметр окружности Dpw расположения тел качения (320, 340…480 мм), количество двойных ходов поршня mx (1, 2...11).

Результаты расчета представлены на графиках рис. 5 - 10.





Параметры DП, V и FaΣ (рис. 5, 6 и 9) зависят от диаметра шара Dw и расположения тел качения. Другие параметры зависят только от диаметра окружности Dpw, кроме параметра на рис. 10. На графиках зависимостей параметров от двух аргументов влияние второго параметра, диаметра шара Dw или диаметра окружности Dpw, прослеживается по вертикали. На рис. 7и 10 показаны графики условной высоты привода, причем на рис. 7 изменение параметра показано при однократном ходе поршня, а на рис. 10 изменение параметра связано еще с количеством двойных ходов mx поршня. Кривая диаметра DП поршня (рис. 5) имеет экстремальный характер, что видно на кривой шестого варианта для указанного диапазона значений Dpw. Для других вариантов экстремум находится правее. Это связано с указанными выше конструктивными ограничениями. Кривая условного объема V привода (металлоемкости) также имеет экстремальный характер. Это позволяет принять оптимальные значения указанных параметров.

Из рис. 7, 8 и 10 видно, что практически совпадают варианты 1 и 2, 3 и 4, 5 и 6. Изрис. 10 видно, что имеется возможность существенно сократить высоту привода с увеличением числа двойных ходов mx поршня по сравнению с приводом с однократным ходом поршня.

При выборе привода в качестве главного параметра выгоднее принимать металлоемкость привода (объем привода), а не диаметр DП поршня, или высоты h, hm.

Для сравнения габаритов и оценки массы полноповоротного привода для крана DN 1000 мм с приводом модели MT255-2/200-S-GH фирмы Ledeen был выполнен эскизный проект привода со следующими расчетными параметрами:

) угол давления в контакте шаров с винтовыми канавками α = 60°; 2) угол подъема винтовых канавок ψ = 60°; 3) диаметр шара Dw=16 мм; 4) диаметр окружности расположения шаров Dpw= 405 мм; 5) число двойных ходов mx = 3.

Сравнительные габариты приводов без газо-гидравлических резервуаров, систем управления и датчиков показаны на рис. 11. Масса приводов: MT 255-2/200-S-GH - 1753 кг; полноповоротный привод - 1026 кг. Таким образом, полноповоротный привод, кроме того, что можетуменьшить износ уплотняющих элементов шарового крана, повысить герметичность и долговечность шарового крана, обладает еще и меньшими габаритами и массой, по сравнению с известными приводами.

.        Описание, назначение и возможности работы компьютерной программы Sage

Программа SAGE - это интерактивная система, совместимая с ОС Windows XP, для выполнения анализа изменения параметров работы газотурбинных двигателей (Температура выходящих газов, давление и температура масла, вибрация роторов,…).

Компьютерная программа SAGE содержит несколько интегрированных программ или исполнительных программ.

В этом также заключается гибкость и в тоже время сложность программы. Необходимо знать когда, как и зачем использовать ту или иную программу из пакета программ SAGE.


Каждая программа из пакета программ SAGE работает не зависимо:

либо в интерактивном режиме;

либо в автоматическом фоновом режиме.

Программа SAGE может быть установлена локально или работать в клиентском режиме с добавлением пользователей и присвоением им прав на выполнение действий в системе (администратор, обозреватель,,…).

Для установки программы необходимо иметь дистрибутив на CD диске, либо другом носителе информации.

Последовательность установки:

Создать базу данных.

Установить программу SAGE

Сконфигурировать базу данных.


Для работы с программой SAGE персонал должен пройти обучающие Online курсы на сайте производителя ПО.

После установки, конфигурации базы данных и настройки программы. пользователь получает возможность. обрабатывать данные в автоматическом режиме (загрузка файлов определенного формата) либо в ручную вносить значения параметров через функционал программы ENTER DATA.

В процессе обработки данных программа SAGE в автоматическом режиме, формирует и сохраняет в определенной заранее директории отчеты.

В основном, автоматические отчеты содержат информацию об обнаруженных ошибках и о тревожных сообщениях.

Ниже представлена блок схема работы системы SAGE:


Программа имеет возможность формировать графические и табличные отчеты, позволяющие оператору по графическому отображению параметра или по его количественному значению провести анализ.




Программа SAGE имеет следующие преимущества и недостатки:

Преимущества;

·        многопользовательский режим работы

·        возможность использования различных баз данных (MS Access, Oracle,..)

·        низкие системные требования

·        дружественный интерфейс

Недостатки;

·        не совместима с ОС Windows 7 и выше

Список использованных источников

математический технический гидропривод механизм

1.      Безручко Б. П., Смирнов Д. А. Математическое моделирование и хаотические временные ряды. - Саратов: ГосУНЦ "Колледж", 2005. - ISBN 5-94409-045-6.

2.      Мышкис А. Д. Элементы теории математических моделей. - 3-е изд., испр. - М.: КомКнига, 2007. - 192 с. - ISBN 978-5-484-00953-4

3.     http://hoster.bmstu.ru/~sm7/Metodiky/RomanovaSM7Sapt_tema1_2_Teoria/Zaniatie2.htm

4.      http://www.mmf.spbstu.ru/mese/2014/179.pdf

5.      Водяник Г.М. Математическое моделирование энергосберегающих и энергонакопительных тормозных устройств на основе замкнутых кинематических контуров / Г.М. Водяник, В.С. Исаков ; Юж.-Рос. гос. техн. ун-т. - Новочеркасск : Ред. журн. "Изв. вузов. Электромеханика".- 2006. - 91 с.

6.      http://www.science-education.ru/116-12285

7.      http://venec.ulstu.ru/lib/disk/2012/Poljakov.pdf

8.      http://www.ngpedia.ru/id160015p1.html

9.      http://www.mami.ru/science/mami145/scientific/article/s02/s02_05.pdf

10.    http://www.simumath.net/library/book.html?code=Anal_SDM_literature

11.    Ромашин Р.В. Полноповоротный привод для шаровых кранов //

Электронный научный журнал "Нефтегазовое дело". Уфа, 2008. 12 с.://www.ogbus.ru/authors/Romashin/Romashin_1.pdf

Похожие работы на - Математические модели технических систем

 

Не нашли материал для своей работы?
Поможем написать уникальную работу
Без плагиата!
Без нейросетей!