Математико-статистические методы изучения связей
КУРСОВАЯ
РАБОТА
Математико-статистические
методы изучения связей
Введение
Математико-статистические
методы, называемые иначе стохастическим моделированием, являются в
определенной степени дополнением и углублением детерминированного анализа. В
АХД стохастические модели используются, когда необходимо:
оценить влияние факторов, по
которым нельзя построить жестко детерминированную модель;
изучить и сравнить влияние
факторов, которые невозможно включить в одну и ту же детерминированную модель;
выделить и оценить влияние
сложных факторов, которые не могут быть выражены одним определенным
количественным показателем.
В отличие от детерминистского,
стохастический подход для своей реализации требует выполнения ряда предпосылок:
наличие достаточно большой
совокупности объектов;
необходим достаточный объем
наблюдений.
Поскольку стохастическая модель -
это, как правило, уравнение регрессии, при ее построении должны выполняться
следующие условия:
случайность наблюдений;
наличие однородности совокупности,
как качественной, так и количественной (показателем количественной однородности
совокупности данных является коэффициент вариации);
наличие специального математического
аппарата (например, инструменты анализа автокорреляций для анализа рядов
динамики).
Основная сфера приложения
стохастических моделей - это проблемно-ориентированный и тематический анализ.
Стохастическое моделирование
предназначено для решения трех основных задач:
установление самого факта
наличия (или отсутствия) статистически значимой связи между изучаемыми
признаками;
прогнозирование
неизвестных значений результативных показателей по заданным значениям факторных
выявление причинных
связей между изучаемыми показателями, измерение их тесноты и сравнительный
анализ степени влияния.
Проведение стохастического
моделирования - сложный процесс, состоящий из нескольких этапов, на каждом их
которых выполняются определенные процедуры.
1.
Корреляционный анализ
Корреляционный анализ - метод
установления связи и измерения ее тесноты между наблюдениями, которые можно
считать случайными и выбранными из совокупности, распределенной по многомерному
нормальному закону.
Корреляционной связью называется такая статистическая связь, при которой различным
значениям одной переменной соответствуют разные средние значения другой.
Основной особенностью корреляционного анализа следует признать то, что
он устанавливает лишь факт наличия связи и степени ее тесноты, не вскрывая
причин.
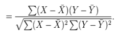
В статистике теснота связи может
определяться с помощью различных коэффициентов (Фехнера, Пирсона, коэффициента
ассоциации и т.д.), а в АХД чаще используется линейный коэффициент
корреляции между факторами x и y:
Значения коэффициента корреляции
изменяются в интервале [-1; +1].
Значение r= -1 свидетельствует о
наличии жестко детерминированной обратно пропорциональной связи между
факторами;=+1 соответствует жестко детерминированной связи с прямо
пропорциональной зависимостью факторов.
Другие значения коэффициента
корреляции свидетельствуют о наличии стохастической связи, причем, чем ближе к
единице, тем связь теснее. При, связь можно считать слабой; при - связь средней
тесноты; - тесная. Существуют и более дробные градации (например, таблица
Чэддока).
Практическая реализация
корреляционного анализа включает следующие этапы:
) постановка задачи и выбор
признаков;
) сбор информации и ее первичная
обработка (группировки, исключение аномальных наблюдений, проверка нормальности
одномерного распределения);
) предварительная характеристика
взаимосвязей (аналитические группировки, графики);
) устранение мультиколлинеарности
(взаимозависимости факторов) и уточнение набора показателей путем расчета
парных коэффициентов корреляции;
) исследование факторной зависимости
и проверка ее значимости;
) оценка результатов анализа и
подготовка рекомендаций по их практическому использованию.
. Регрессионный анализ
корреляционный
регрессивный себестоимость индексный
Регрессионный
анализ - метод установления аналитического выражения стохастической
зависимости между исследуемыми признаками.
Уравнение регрессии
показывает, как в среднем изменяется y при изменении любого из xi,
и имеет вид: y=f (x1, x2,…, xn), где y - зависимая переменная (всегда одна); xi
- независимые переменные (факторы) (их может быть несколько). Если независимая
переменная одна - это простой регрессионный анализ; если же их несколько (n2)
- многофакторный.
В ходе регрессионного анализа
решаются две основные задачи:
построение уравнения
регрессии, т.е. нахождение вида зависимости между результатным показателем и
независимыми факторами x1, x2,…, xn;
оценка значимости
полученного уравнения, т.е. определение того, насколько выбранные факторные
признаки объясняют вариацию признака y.
Применяется регрессионный анализ
главным образом для планирования, а также для разработки нормативной базы.
В отличие от корреляционного
анализа, который только отвечает на вопрос, существует ли связь между
анализируемыми признаками, регрессионный анализ дает и ее формализованное
выражение. Кроме того, если корреляционный анализ изучает любую взаимосвязь
факторов, то регрессионный - одностороннюю зависимость, т.е. связь,
показывающую, каким образом изменение факторных признаков влияет на признак
результативный.
. Элементарные методы
обработки расчетных данных
При изучении совокупности значений
изучаемых величин, помимо средних, используют и другие характеристики. При
анализе больших массивов данных обычно интересуются двумя аспектами:
Величинами, которые характеризуют
ряд значений как целого, т.е. характеристиками общности;
Величинами, которые описывают
различия между членами совокупности, т.е. характеристиками разброса (вариации)
значений.
В качестве показателей общности
используются следующие величины: середина интервала, мода и медиана.
Середина интервала возможных значений
xi рассчитывается по формуле:
.
Мода - такое значение изучаемого
признака, которое среди всех его значений встречается наиболее часто. Если чаще
других встречаются два или более различных значений, такую совокупность данных
называют бимодальной или мультимодальной. Если же ни одно из значений не
встречается чаще других, такая совокупность является безмодальной.
Медиана - такое значение изучаемой
величины, которое делит изучаемую совокупность на две разные части, в которых
количество членов со значениями меньше медианы равно количеству членов, которые
больше медианы. В отличие от средней, величина медианы не зависит от крайних
значений показателя.
В качестве показателей размаха и
интенсивности вариации показателей чаще всего используются следующие величины:
размах вариации, среднее линейное отклонение, среднеквадратическое отклонение,
дисперсия и коэффициент вариации.
Размах вариации рассчитывается по
формуле:
=xmax-xmin
Среднее линейное отклонение (средний
модуль отклонения) от среднего арифметического исчисляется по формуле:
наибольшее распространение при
изучении разброса значений числовых данных получили величины
среднеквадратического отклонения (СКО) у и дисперсии у2:
Чем больше величина у и у2, тем
сильнее разброс значений вокруг среднего.
Величина СКО, как следует из ее
определения, зависит от абсолютных значений самого изучаемого признака. Чем
больше величины xi, тем больше будет у. Поэтому для сравнения рядов данных,
отличающихся по абсолютным величинам, вводят коэффициент вариации:
Этот коэффициент является
показателем «количественной» неоднородности совокупности данных. Критическое
значение его считается равным 33%. Если Var› 33%, то совокупность нельзя
признать однородной.
4. Индексный метод
Один из наиболее востребованных
методов решения - индексный.
Индекс - это статистический
показатель, представляющий собой отношение двух состояний какого-либо признака.
С помощью индексов проводят сравнение с планом, в динамике, в пространстве.
Индекс называется простым (частным, индивидуальным), если исследуемый признак
берется без учета связи с другими признаками изучаемых явлений.
Индекс называется аналитическим
(общий, агрегатный), если исследуемый признак берется не изолированно, а в
связи с другими признаками. Аналитический индекс всегда состоит из двух
компонент: индексируемый признак p (тот, динамика которого исследуется) и
весовой признак g. С помощью признаков - весов измеряется динамика сложного
экономического явления, отдельные элементы которого несоизмеримы. Простые и
аналитические индексы дополняют друг друга.
С помощью индексов в анализе
финансово-хозяйственной деятельности решаются следующие основные задачи:
Оценка изменения уровня явления (или
относительного изменения показателя);
Выявление роли отдельных факторов в
изменении результативного признака;
Оценка влияния изменения структуры
совокупности на динамику.
При индексном методе индекс (I)
любого показателя определяется делением его фактического значения у/ на
базисное (плановое - у или фактическое предыдущего периода - У0).
Различают индивидуальные индексы,
которые отражают соотношение непосредственно измеряемых величин и агрегатные
(групповые, тотальные) - характеризуют соотношение сложных величин, явлений.
Если параметр «у» исчисляется как произведение нескольких элементов, например,
у = в*с, то агрегатный индекс
а индивидуальные
Относительное (Iу) и абсолютное (.у
= у/ - у) отклонение каждого фактора определяется так:
уа = (Уа/*в)/(Уа*в). уа = Уа/*в -
Уа*в и Iув = (Уа/*в/)/(Уа/*в). ув = Уа/*в/ - Уа/*в.
Применительно к изменению
физического объема продаж, если товары учитываются не только по ценам (Ц), но и
по количеству (N), индекс рассчитывается так:
.
Если количественный учет не ведется,
то индекс физического оборота определяется отношением индекса оборота в
действующих ценах и индекса цен, исчисляемый по схеме среднего гармонического
индекса
Расчетная часть
Анализ и диагностика
объема производства и реализации продукции
Основными источниками информации для
проведения анализа служат формы годовой отчетности и приложения к
бухгалтерскому балансу.
Для обобщающей характеристики
выполнения плана по объему продукции проводится сопоставление показателей
реализованной и товарной продукции и с планом, и с предшествующим периодом на
основе табл. 1.
Таблица 1. Анализ объема
производства и реализации продукции
|
Показатели
|
За прошлый год
|
По плану на отчетный период
|
По отчету
|
Изменения по сравнению с прошлым годом
|
Отклонение от плана
|
|
|
тыс. р.
|
|
тыс. р.
|
%
|
тыс. р.
|
%
|
|
1. Реализованная продукция, тыс. р.
|
14581
|
13000
|
14982
|
-401
|
|
1982
|
15,2
|
|
2. Товарная продукция, тыс. р.
|
15460
|
14000
|
15429
|
31
|
|
1429
|
10,2
|
|
3. Валовая продукция, тыс. р.
|
19318
|
15000
|
19417
|
-99
|
|
4417
|
29,4
|
Рисунок.1. Динамика объема
производства и реализации продукции
В ходе проведенного
анализа объема производства и реализации продукции сравнивается процент
выполнения плана по реализованной, товарной и валовой продукциям.
План по реализованной
продукции прошлого года не довыполнен на 401 тыс. руб. по сравнению с этим
годом перевыполнен на 1918 тыс. руб. или 15,2%. План по товарной продукции
перевыполнен на 1429 тыс. руб. или 10,2%, по сравнению с прошлым годом был
выполнен на 31 тыс. руб. При этом был выпущенный одинаковый объем продукции на
сумму 15460 тыс. руб.
Таблица 2. Анализ
выполнения плана по реализации продукции
|
Показатели
|
По плану
|
По отчету
|
Отклонение (+,-)
|
|
|
|
абсолютное
|
относительное, %
|
|
1. Объем реализованной продукции, тыс. р.
|
13000
|
14982
|
1982
|
15,2
|
|
2. Выпуск товарной продукции, тыс. р.
|
14000
|
15429
|
1429
|
10,2
|
|
3. Остатки товаров отгруженных, тыс. р.: а) на начало года б) на
конец года
|
0 0
|
0 0
|
0 0
|
0 0
|
|
4. Остатки готовой продукции на складе, тыс. р.: а) на начало
года б) на конец года
|
120 1120
|
300 747
|
180 -373
|
150 -166,02
|
Из таблицы 2 следует, что остатки
готовой продукции на складе на начало года в отчетном году составили 300 тыс.
руб., что превышает план на 180 тыс. руб. на конец года в отчетном году
составили 747 тыс. руб., что уменьшается на 373 тыс. руб. по сравнению с
планом.
Таблица 3. Структурный состав
продукции
|
Вид продукции
|
В соответствии с договорами
|
Фактически за отчетный год
|
|
тыс. р.
|
удельный вес, %
|
тыс. р.
|
удельный вес, %
|
|
А
|
7400
|
52,85
|
7632
|
49,47
|
|
В
|
6600
|
47,15
|
7797
|
50,53
|
|
Итого
|
14000
|
100
|
15429
|
100
|
Рисунок.2. Изменение структуры
выпуска товарной продукции
Из таблицы 3 видно, что
фактически продукции за отчетный год вида В было выпущено 7797 тыс. руб.,
удельный вес в общем объеме выпуска товарной продукции составил 49,47%, а
фактически за отчетный год продукции вида А было выпущено 7632 тыс. руб.
удельный вес в общем объеме выпуска товарной продукции составил 50,53%. Это
свидетельствует, что продукции видов А произведено больше, а продукции Б -
меньше.
Для расчета коэффициентов
ритмичности строится табл. 4, по результатам делаются соответствующие выводы.
Таблица 4. Анализ ритмичности
выпуска продукции
|
Период
|
По плану, Тыс.р.
|
По отчету, Тыс.р.
|
Засчитывается в выполнение плана, тыс. р.
|
|
Январь
|
1980
|
2000
|
1980
|
|
Февраль
|
1112
|
1150
|
1112
|
|
Март
|
980
|
980
|
980
|
|
Апрель
|
980
|
990
|
980
|
|
Май
|
980
|
880
|
880
|
|
Июнь
|
800
|
800
|
800
|
|
Июль
|
800
|
800
|
800
|
|
Август
|
800
|
800
|
800
|
|
Сентябрь
|
1112
|
1500
|
1112
|
|
Октябрь
|
1500
|
1590
|
1500
|
|
Ноябрь
|
1500
|
1600
|
1500
|
|
Декабрь
|
1456
|
2339
|
1456
|
|
Итого
|
14000
|
15429
|
13900
|
Рисунок.3. Динамика ритмичности
выпуска продукции
Коэффициент ритмичности
(Кр) определяется отношением фактического выпуска продукции в пределах плана к
плановому выпуску:
ВП1,0 13900
Кр = ------- = -------------- = 0,99
или 99% (1)
ВПо 14000
где ВП1,0-фактический
выпуск продукции в пределах плана;
ВП0 - плановый выпуск
продукции
На предприятии соблюдается высокая
ритмичность выпуска продукции. Полученный результат означает, что 99% планового
объема продукции выработано без нарушений планового графика.
Коэффициент аритмичности:
Кар= 100% - Кр =100% - 99%= 1% (2)
Коэффициент аритмичности равен 1%,
что является высоким показателем равномерности выполнения плана.
Коэффициент вариации (Квар)
определяется как отношение среднеквадратичного отклонения от плановых заданий
(за сутки) к среднесуточному плановому выпуску:
У(ВП1-ВП0)2
Квар = √------------------/ВПсро=
0,01 (3)
n
Коэффициент вариации показывает, что
объем фактического выпуска товарной продукции отклоняется от планового графика
на 1,2%, это свидетельствует о небольших отклонениях от плана.
На рисунке 4 показана динамика
ритмичности выпуска товарной продукции
Необходимым элементом
аналитической работы является анализ выполнения плана по ассортименту.
Ассортимент - это перечень наименований продукции с указанием объема ее выпуска
по каждому виду.
В целях анализа
выполнения плана по ассортименту строится табл. 5.
Таблица 5. Выполнение
плана по ассортименту продукции
|
Вид продукции
|
По плану, Тыс. руб.
|
По отчету, Тыс. руб.
|
Выполнение плана, %
|
Засчитывается в выполнения плана, тыс. руб.
|
|
А
|
6500
|
6429
|
46,42
|
6429
|
|
Б
|
7500
|
9000
|
53,57
|
7500
|
|
Итого
|
14000
|
15429
|
|
13929
|
Рисунок.5. Динамика выполнения плана
по ассортименту товарной продукции
Оценка выполнения плана
по ассортименту может производиться:
по способу наименьшего
процента (в нашем случае 46,42%);
по способу среднего
процента по формуле:
ТП0=ТП0/ТП0*100%=13929/15429*100=90,3%
Где ТП0 - сумма фактически
выпускаемых изделий каждого вида, но не более их планового выпуска (графа 5
таблица 5);
ТП0-плановый выпуск
продукции (графа 2 таблица 5).
Анализ и диагностика
состояния и использования основных фондов
В таблице 6 представлены
данные о наличии, движении и структуре основных производственных фондов.
Таблица 6. Наличие, движение и
структура основных производственных фондов
|
Группа основных средств
|
Наличие на начало года
|
Поступило за год
|
Выбыло за год
|
Наличие на конец года
|
|
тыс. р.
|
доля, %
|
тыс. р.
|
доля, %
|
тыс. р.
|
доля, %
|
тыс. р.
|
доля, %
|
|
1. Здания и сооружения
|
7011
|
51,9
|
2433
|
49,5
|
1105
|
57,8
|
8339
|
50,5
|
|
2. Силовые машины
|
1955
|
14,5
|
900
|
18,3
|
145
|
7,6
|
2710
|
16,5
|
|
3. Рабочие машины
|
2000
|
14,8
|
400
|
8,2
|
100
|
5,2
|
2300
|
13,9
|
|
4. Измерительные приборы
|
800
|
6
|
620
|
12,6
|
162
|
8,5
|
1258
|
7,6
|
|
5. Вычислительная техника
|
500
|
3,7
|
105
|
2,2
|
180
|
9,4
|
425
|
2,6
|
|
6. Транспортные средства
|
506
|
3,7
|
208
|
0
|
-
|
714
|
4,3
|
|
7. Инструменты
|
730
|
5,4
|
248
|
5,0
|
220
|
11,5
|
758
|
4,6
|
|
Всего основных производственных фондов
|
13502
|
100
|
4914
|
100
|
1912
|
100
|
16504
|
100
|
На рисунке 6 представлена структура
ОПФ на начало и на конец года.

Оценка движения ОС проводится на
основе коэффициентов (табл. 6.1).
Таблица 6.1. Показатели движения и
состояния ОС
|
Наименование показателей
|
Методы расчета
|
Экономическая интерпретация показателей
|
|
1.1 Коэффициент поступления ввода
|
1. Показатели движения Стоимость вновь поступивших ОС Стоимость
ОС на конец отчетного года
|
Доля поступивших ОС за период
|
|
(Квв) 1.2 Коэффициент обновления (Коб)
|
Стоимость новых ОС Стоимость
ОС на конец отчетного года
|
Доля новых ОС на предприятии
|
|
1.3 Коэффициент выбытия (К выб)
|
Стоимость всех выбывших ОС Стоимость
ОС на начало отчетного года
|
Доля выбывших ОС за период
|
|
1.4 Коэффициент
|
Сумма прироста ОС Стоимость
ОС на начало отчетного года
|
Темп прироста ОС
|
|
прироста (Кпр)
|
|
|
|
2.1 Коэффициент износа (Ки)
|
2. Показатели состояния Сумма износа Первоначальная
стоимость наличных ОС
|
|
|
|
Доля стоимости ОС перенесенная на продукцию Ки= 1 - Кг
|
|
2.2 Коэффициент
|
Остаточная стоимость ОС Первоначальная
стоимость наличных ОС
|
Уровень годности ОС Кг= 1 - Ки
|
|
годности (Кг)
|
|
|
Рассчитываем данные коэффициенты в
таблице 7.
|
Показатель
|
Уровень показателя
|
|
Прошлый год
|
Отчетный год
|
Изменения (+,-)
|
|
1. Коэффициент обновления
|
0,3
|
0,3
|
0
|
|
2. Коэффициент выбытия
|
0,1
|
0,1
|
0
|
|
3. Коэффициент прироста
|
0,2
|
0,2
|
0
|
|
4. Коэффициент износа
|
0,3
|
1,8
|
+1,5
|
|
5. Коэффициент годности
|
0,7
|
0,7
|
0
|
|
6. Средний возраст, лет
|
5
|
5
|
0
|
Примечание сумма износа=25548
Из таблицы 7 следует, что на
предприятии за анализируемый год высокий риск сбоев в производственном процессе
- коэффициент износа на конец года составил 1,8, что показывает выше показателя
прошлого года. Причинами высокого значения данного коэффициента является
следующие обстоятельства:
изношенность фондов
выбран метод ускоренной амортизации
ОПФ
Обобщающим показателем эффективности
использования ОС является фондоотдача (ФО), равная доля объема производства
продукции средней величине стоимости ОПФ за период.
Влияние на изменение объема
продукции фондоотдачи на предприятии проводится с использованием табл. 8.
Таблица 8. Анализ использования
основных фондов
|
Показатели
|
Предыдущий период
|
За отчетный период
|
Темпы роста, %
|
|
|
По плану
|
Фактически
|
к плану
|
к прошлому году
|
|
1. Объем товарной продукции, тыс. р.
|
15460
|
14000
|
15429
|
0,1
|
-0,002
|
|
2. Среднегодовая стоимость ОПФ, тыс. р.
|
11250
|
12430
|
15003
|
0,2
|
0,3
|
|
3. Среднегодовая стоимость рабочего оборудования и машин, тыс.
р.
|
4190
|
4500
|
2150
|
-0,5
|
-0,5
|
|
4. Фондоотдача на 1 р. ОПФ, к.
|
1,4
|
1,1
|
1,0
|
-0,1
|
-0,3
|
|
5. Фондоотдача на 1 р. стоимости рабочих машин и оборудования,
к.
|
3,7
|
3,1
|
7,1
|
1,3
|
0,92
|
Как видно из таблицы фондоотдача за
предыдущий год-1,4 руб. Это означает, что стоимость основных производственных
фондов, приходящихся на 1 руб. ОПФ, снизилась до 1,1 руб. на 3 копейки.
Влияние использования ОПФ на
изменение выпуска продукции рассчитывается с помощью метода абсолютных разниц
как по общей стоимости ОПФ, так и по их активной части, используя следующие
мультипликативные модели:
ТП= ОСср*ФО (4)
ТП = ОСср.*Уда*ФОа
(5)
где ТП - выпуск товарной продукции;
ОСср - среднегодовая
стоимость ОПФ;
ФО и ФОа - фондоотдача
ОПФ и активной части ОПФ соответственно;
Уда - удельный вес
активной части ОПФ
На основе факторной модели (4)
получаем:
ДТПос=ДОС*ФОпл=15003-11250=3753*1,1=5254,2
ДТПфо=ОСф*ДФО=15003*(-0,4)=-6001,2
∑ДТП=ДТПос+ДТПфо=-31
Аналогично проведем анализ в
соответствии с моделью (5):
ДТПос=ДОС*ФОпл=146*0,2598=37,93
ДТПфо=ОСф*ДФО=3321*0,2614=868,1
∑ДТП=ДТПос+ДТПфо=906
т.р. (1731-825=906)!
Аналогично проведем анализ в
соответствии с моделью (6):
ДВП=ОСср8*Уда*ФОа
ДВПОС=ДОС*Удплан*ФОаплан=-2040*0,37*3,7=-2792,76
ДВПуда=ОСфакт*ДУда*ФОплан=2150*(-0,23)*3,7=-1829,65
ДВПфо=ОСафакт*Удфакт*ДФОа=2150*0,14*3,4=1023,4
∑ДВПа=-3599,01
Анализ и диагностика
использования материальных ресурсов
Оценка эффективности использования
материальных ресурсов осуществляется с помощью обобщающих показателей, к
которым относятся: материалоемкость продукции, материалоотдача, удельный вес
материальных затрат в себестоимости продукции, коэффициент использования
материальных ресурсов.
Материалоемкость продукции
определяется как отношение суммы материальных затрат к стоимости произведенной
продукции и показывает материальные затраты, приходящиеся на каждый рубль
выпущенной продукции.
Удельный вес материальных затрат в
себестоимости продукции определяется по формуле
МЗ
Умз = -------*100%,
С
где Умз - удельный вес материальных
затрат в полной себестоимости продукции, %;
МЗ - материальные затраты, тыс. р.;
С - полная себестоимость продукции,
тыс. р.
Коэффициент использования
материальных ресурсов отражает соблюдение норм расхода материальных ресурсов. В
случае, когда данный показатель оказывается больше единицы, это означает
перерасход материалов; в обратном случае это свидетельствует об экономии
ресурсов в отчетном периоде. Рассчитывается он как отношение
Мзф
Ки = -------,
Мзпл
где Мзф - сумма фактических
материальных затрат, тыс. руб.,
Мпл.з - величина материальных
затрат, рассчитанная по плановым калькуляциям и фактическому выпуску и
ассортименту продукции.
4. Анализ обеспеченности
предприятия трудовыми ресурсами и использования фонда заработной платы
Анализ трудовых ресурсов организации
проводят в следующей последовательности:
анализ обеспеченности организации
кадрами (по полу, по возрасту, по профессиям и по квалификации, по семейному
положению и т.д.);
анализ движения рабочей силы в
организации;
анализ состава и структуры персонала
организации;
анализ использования рабочего
времени (целодневного и внутрисменного);
анализ производительности труда;
анализ соотношения темпов роста
средней заработной платы и средней производительности труда;
сводный подсчет резервов роста
выпуска продукции, по факторам, связанным с использованием трудовых ресурсов.
К трудовым ресурсам относится та
часть населения, которая обладает необходимыми физическими данными, знаниями и
навыками труда в соответствующей отрасли хозяйства страны. Достаточная
обеспеченность предприятий нужными трудовыми ресурсами, их рациональное
использование, высокий уровень производительности труда имеют большое значение
для увеличения объемов продукции и повышения эффективности производства. В
частности, от обеспеченности предприятия трудовыми ресурсами и эффективности их
использования зависят объем и своевременность выполнения всех работ,
эффективность использования оборудования, машин, механизмов и, как результат,
объем производства продукции, ее себестоимость, прибыль и ряд других
экономических показателей.
Основными задачами анализа являются:
изучение и оценка обеспеченности
предприятия и его структурных подразделений трудовыми ресурсами в целом, а
также по категориям и профессиям;
определение и изучение показателей
текучести кадров;
выявление резервов трудовых
ресурсов, более полного и эффективного их использования;
изучение и оценка уровня
производительности труда на предприятии;
изучение организации оплаты труда
персоналу предприятия;
изучение динамики роста средней
заработной платы и рассмотрение ее соответствия росту производительности труда
и др.
В таблице 9 приведены данные по
обеспеченности предприятия трудовыми ресурсами.
Таблица 9. Обеспеченность
предприятия трудовыми ресурсами
|
Категории персонала
|
Предыдущий год
|
По плану на отчетный год
|
По отчету
|
Отклонение от плана
|
|
|
|
|
Излишек
|
Недостаток
|
|
1. Промышленно-производственный персонал, чел., всего, В том
числе: - рабочие а) основные б) вспомогательные - специалисты - служащие -
ученики - МОП
|
113 86 53 33 10 4 6 7
|
135 100 65 35 8 13 2 12
|
135 100 65 35 10 15 4 6
|
- - - - 2 2 2 -
|
- - - - - - - 6
|
|
2. Непромышленный персонал, чел.
|
15
|
20
|
18
|
-
|
2
|
|
Итого
|
128
|
155
|
153
|
-
|
2
|
Из таблицы 9 следует, что
промышленно-производственного персонала на предприятии в предыдущем году было
113 человека. Непромышленного персонала 15 человек. Численность ППП на
предприятии составило 135 человек, это на 2 человека больше, чем в прошлом
году. При этом предприятие имеет недостаток 6 человек МОП.
Таблица 10. Изменение структуры
трудовых ресурсов предприятия
|
Категории персонала
|
Структура персонала
|
Изменение удельного веса (+,-)
|
|
Предыдущий год
|
По плану
|
Фактически
|
по сравнению с предыдущим годом
|
по сравнению с планом
|
|
чел.
|
%
|
чел.
|
%
|
Чел.
|
%
|
чел.
|
%
|
Чел
|
%
|
|
1. Промышленно-производственный персонал, чел., всего, В том
числе: - рабочие а) основные б) вспомогательные - специалисты - служащие -
ученики - МОП
|
113 86 53 33 10 4 - -
|
100 76,1 46,9 29,2 8,8 3,5 - -
|
135 100 65 35 8 13 - -
|
100 74,07 48,1 25,9 5,9 9,6 -
|
135 100 65 35 10 15 4 6
|
100 74,07 48,1 25,9 7,4 11,1 2,9 4,4
|
22 14 12 2 0 11 4 6
|
0 0 0 0 -1,4 +7,5 +4 +6
|
0 0 0 0 +2 +2 +4 +6
|
0 +2,03 +1,2 -3,3 -1,4 +7,6 +2,9 +4,4
|
|
2. Непромышленный персонал, чел.
|
-
|
-
|
-
|
-
|
-
|
-
|
-
|
-
|
-
|
-
|
|
Итого:
|
113
|
100
|
12
|
100
|
153
|
100
|
+49
|
-
|
+14
|
-
|
|
|
|
|
|
|
|
|
|
|
|
|
Рисунок.5. Динамика трудовых
ресурсов предприятия
Вывод: Из таблицы 10
видно, что изменение структуры персонала не значительны. Наибольшее изменение в
структуре персонала по сравнению с планом характерны для специалистов и
служащих.
В таблице 11
представлены данные о движении персонала предприятия.
Таблица 11. Анализ
движения персонала
|
Показатели
|
Предыдущий год
|
Отчетный год
|
Изменения (+,-)
|
|
Среднесписочная численность работающих, чел.
|
128
|
153
|
+25
|
|
Принято на предприятие, чел.
|
18
|
21
|
+3
|
|
Выбыло с предприятия, чел., всего, В том числе
|
|
|
|
|
- на учебу
|
2
|
1
|
-1
|
|
- в Вооруженные Силы
|
1
|
2
|
-1
|
|
- на пенсию и по другим причинам, предусмотренным
законодательством
|
4
|
1
|
-3
|
|
- по собственному желанию
|
3
|
2
|
-1
|
|
- за нарушение трудовой дисциплины
|
0
|
0
|
0
|
|
Коэффициенты оборота
|
|
|
|
|
- по приему
|
0,14
|
0,13
|
-0,01
|
|
- по выбытию
|
0,08
|
0,04
|
-0,04
|
|
- коэффициент общего оборота
|
92,1
|
96,1
|
+4
|
|
- коэффициент текучести
|
2,3
|
1,3
|
-1
|
В ходе проведенного анализа движения
персонала было выявлено, что в отчетном периоде количество персонала
увеличилось на 25 человек по сравнению с предыдущим годом. Коэффициент оборота
по выбытию снизился 0,08 до 0,04, так как число уволенных сократилось на 6
человек. Сокращение числа уволенных обусловлено снижение текущих кадров в
отчетном периоде до 1,3, что говорит об улучшении кадровой политики.
При анализе производительности труда
сопоставляются темпы роста производительности труда одного рабочего и
работающего. При этом первые должны опережать вторые, так как должна иметь
место положительная тенденция увеличения удельного веса рабочих.
Для оценки динамики
производительности труда используется табл. 12.
С помощью метода цепных подстановок
изучается влияние на отклонение фактического выпуска продукции от планового
изменения численности рабочих, количества отработанных дней одним рабочим,
продолжительности рабочего дня и среднечасовой выработки одного рабочего. По
результатам расчетов производится подсчет резервов, связанных с улучшением
использования трудовых ресурсов.
Таблица 12. Анализ
производительности труда
|
Показатели
|
Предыдущий год
|
Отчетный год
|
Отклонение (+,-)
|
|
|
по плану
|
Фактически
|
от плана
|
от предыдущего года
|
|
|
|
|
абсолютное
|
%
|
Абсолютное
|
%
|
|
Товарная продукция, тыс. р.
|
15460
|
14000
|
15429
|
1982
|
14,1
|
-31
|
-0,20
|
|
Среднесписочная численность работающих, чел.
|
128
|
155
|
153
|
-2
|
-1,2
|
25
|
19,5
|
|
Среднесписочная численность рабочих, чел.
|
86
|
100
|
0
|
0
|
14
|
16,2
|
|
Количество рабочих дней в году
|
247
|
280
|
230
|
-50
|
-17,9
|
-17
|
-6,8
|
|
Средняя продолжительность рабочего дня, ч
|
7,9
|
7,8
|
7,5
|
-0,3
|
-3,8
|
-0,4
|
-5,06
|
|
Общее число дней, отработанных всеми рабочими
|
21242
|
28000
|
23000
|
-5000
|
-17,9
|
1758
|
8,2
|
|
Общее число часов, отработанных всеми рабочими
|
167812
|
218400
|
172500
|
-45900
|
-21,01
|
4688
|
2,8
|
|
Среднегодовая выработка одного работающего, р.
|
120,7
|
90,3
|
100,8
|
10,5
|
11,6
|
-19,9
|
-16,5
|
|
Среднегодовая выработка одного рабочего, р.
|
179,7
|
140
|
154,29
|
14,29
|
10,2
|
-25,41
|
-14,1
|
|
Среднедневная выработка одного рабочего, р.
|
0,7
|
0,5
|
0,6
|
0,1
|
20
|
-0,1
|
-14,3
|
|
Среднечасовая выработка одного рабочего, р.
|
0,09
|
0,06
|
0,08
|
0,02
|
33,3
|
-0,01
|
-11,1
|
Как показывают расчеты в таблице 12,
среднегодовая выработка на одного работающего снизилась по сравнению с прошлым
годом на -19,9 тыс. руб. или на -16,5% по сравнению с планом на 10,5 тыс. руб.
или 11,6%. При этом среднегодовая выработка одного рабочего уменьшилась по
сравнению с прошлым годом на -25,41 тыс. руб. или -14,1%, по сравнению с планом
на 14,29 тыс. руб. или 10,2. Ухудшилась работа, не эффективно работает
предприятие.
Определим количественное влияние
факторов на изменение выработки по сравнению с предыдущим годом в соответствии
со следующей формулой:
ГВ=УД*Д*t*СВ (11)
где ГВ - годовая выработка одного
работающего (ТП/Ч);
УД - доля рабочих в общей
численности работников;
t - средняя продолжительность рабочего дня;
СВ - среднечасовая выработка
продукции одним рабочим.
Для определения влияния факторов
используем способ абсолютных разниц:
ДГВ(УД)= ДУД*Дпл*tпл*СВпл=91,7
ДГВ(Д)= УДф* ДД*tпл*СВпл=-15,2
ДГВ(t) = УДф*Дф* Дt*СВпл=-2,6
ДГВ(СВ) = УДф*Дф*tф* ДСВ=22,4
Проверка:∑ДГВ=96,3
Таким образом, наибольшее влияние на
увеличение годовой выработки одного рабочего оказало увеличение среднечасовой
выработки одним рабочим на 0,02.
При анализе трудовых ресурсов
оценивается эффективность использования фонда заработной платы (ФЗП).
Фонд заработной платы (ФЗП)
персонала отличается от фонда оплаты труда, так как под фондом оплаты труда
понимается вся сумма выплат, определяемых по тарифу, окладам и сдельным
расценкам, прогрессивным доплатам, премиальным системам, а также материальные
поощрения, социальные доплаты и другие выплаты из прибыли. В фонд заработной
платы социальные доплаты не включаются.
Анализ фонда заработной платы
проводится в целом по предприятию и по категориям персонала по форме табл. 13,
дается оценка использования ФЗП.
Таблица 13. Анализ использования
фонда заработной платы
|
Категории персонала
|
По плану
|
Фактически
|
Отклонение от плана
|
|
|
|
абсолютное, тыс. р.
|
%
|
|
ППП
|
|
Фонд заработной платы, тыс. р.
|
1550
|
1683
|
133
|
1,08
|
|
Среднесписочная численность, чел.
|
155
|
153
|
-2
|
0,99
|
|
Средняя заработная плата, р.
|
10
|
11
|
1
|
1,1
|
|
Рабочие
|
|
Фонд заработной платы, тыс. р.
|
1200
|
1300
|
100
|
1,08
|
|
Среднесписочная численность, чел.
|
100
|
100
|
0
|
1
|
|
Средняя заработная плата, р.
|
12
|
13
|
1
|
1,08
|
|
Служащие
|
|
Фонд заработной платы, тыс. р.
|
104
|
120
|
16
|
1,15
|
|
Среднесписочная численность, чел.
|
13
|
15
|
2
|
1,15
|
|
Средняя заработная плата, р.
|
8
|
8
|
0
|
1
|
Из расчетов таблицы 13 следует, что
фонд заработной платы увеличился на 133 тыс. руб. или на 1,08%. Средняя
месячная заработная плата повысилась на 1 тыс. руб. у ППП и у рабочих, а у
служащих осталась прежней.
Анализ себестоимости
продукции
Анализ себестоимости продукции,
работ и услуг имеет большое значение. Он позволяет выявить тенденции изменения
данного показателя, выполнения плана по его уровню, определить влияние факторов
на его прирост и на этой основе дать оценку работы предприятия по использованию
возможностей и установить резервы снижения себестоимости продукции.
В таблице 14 приведена динамика и
структура затрат на предприятии.
Таблица 14. Анализ затрат на
производство
|
Элементы затрат
|
Затраты на производство, тыс. р.
|
Структура затрат на производство, %
|
Отклонение фактических затрат от
|
|
Предыдущий год
|
по Плану
|
Фактически
|
Предыдущий год
|
По плану
|
Фактически
|
предыдущего года
|
плана
|
|
|
|
|
|
|
|
тыс. р.
|
%
|
тыс. р.
|
%
|
|
1. Материальные
|
6548
|
7500
|
8410
|
35,41
|
47,6
|
51,8
|
+1862
|
+28,44
|
+910
|
+12,13
|
|
2. Трудовые
|
1987
|
0
|
0
|
10,74
|
0
|
0
|
-1987
|
-100
|
0
|
0
|
|
3. Отчисления
|
325
|
440
|
420
|
1,76
|
2,8
|
2,6
|
+95
|
+29,23
|
-20
|
-6,15
|
|
4. Амортизация
|
3964
|
4800
|
4954
|
21,43
|
30,5
|
30,5
|
+990
|
+24,97
|
+154
|
3,88
|
|
5. Прочие
|
5669
|
3000
|
2453
|
30,66
|
19,06
|
15,1
|
-3216
|
-56,72
|
-547
|
-9,65
|
|
Всего
|
18493
|
15740
|
16237
|
100%
|
100%
|
100%
|
+28,4
|
_
|
+12,1
|
_
|
Из таблицы 14 видно, что фактическая
себестоимость продукции значительно изменилась - увеличилась по сравнению с
прошлым годом на 28,4 тыс. руб. и по сравнению с планом увеличилась на 12,1
тыс. руб.
Рисунок.6. Структура затрат на
производство, %
Таблица 15. Анализ
затрат на 1 р. товарной продукции
|
Показатели
|
Сумма, тыс. р.
|
|
Объем товарной продукции по плану
|
14000
|
|
Себестоимость товарной продукции по плану
|
8129
|
|
Объем товарной продукции фактический
|
15429
|
|
Показатели
|
Сумма, тыс. р.
|
|
Себестоимость товарной продукции фактическая
|
6429
|
|
Фактический выпуск в ценах, принятых при составлении плана
|
13900
|
|
Себестоимость товарной продукции плановая, пересчитанная на
фактический объем и структуру выпуска товарной продукции
|
11026
|
|
Затраты на 1 р. товарной продукции по плану
|
0,46
|
|
Затраты на 1 р. товарной продукции фактические в действующих
отпускных ценах
|
0,42
|
|
Фактические затраты на 1 р. товарной продукции в ценах, принятых
при составлении плана
|
1,70
|
|
Затраты на 1 р. товарной продукции, пересчитанные на фактический
объем и структуру продукции
|
0,71
|
Таблица 16. Результаты анализа
затрат на 1 р. товарной продукции
|
Затраты на 1 рубль ТП
|
Отклонения от плана (+,-)
|
|
По плану
|
Фактически
|
Всего
|
В том числе за счет изменения
|
|
|
|
отпускных цен
|
себестоимости
|
объема и структуры продукции
|
|
0,46
|
0,42
|
-0.04
|
-1,28
|
0,99
|
0,25
|
Влияние факторов на изменение затрат
на 1 рубль товарной продукции:
а) отпускные цены = затраты на 1
руб. товарной продукции фактические в действующих отпускных ценах - затраты на
1 руб. товарной продукции в ценах, принятых при составлении плана = 0,42-1,70=
-1,28
б) себестоимость = затраты на 1 руб.
товарной продукции в ценах, при составлении плана - затраты на 1 руб. товарной
продукции, пересчитанные на фактический объем и структуру продукции =1,70-0,71=
0,99
в) объем и структура продукции =
затраты на 1 руб. товарной продукции, пересчитанные на фактический объем и
структуру продукции - затраты на 1 руб. товарной продукции по плану = 0,71-0,46=
0,25
Проверка: -1,28+0,99+0,25=-0,04
В ходе проведенного анализа было
выявлено, что затраты на 1 р. Товарной продукции по факту составил 0,42, по
плану -0,46, т.е. уменьшилось на -0,04 тыс. руб.
Большое значение в анализе
себестоимости имеет анализ расходов по калькуляционным статьям затрат.
Таблица 17. Анализ калькуляции
себестоимости товарной продукции
|
Статьи калькуляции
|
Себестоимость фактически выпущенной продукции, тыс. р.
|
Отклонение (+,-)
|
|
По плану
|
Фактически
|
Абсолютное
|
Темп прироста, %
|
|
Сырье и материалы
|
2856
|
2234
|
-622
|
-21,78
|
|
Возвратные отходы
|
1000
|
963
|
-37
|
-3,7
|
|
Топливо и энергия на технологические цели
|
900
|
0
|
-900
|
-100
|
|
Основная заработная плата производственных рабочих
|
1500
|
0
|
-1500
|
-100
|
|
Дополнительная заработная плата производственных рабочих
|
800
|
734
|
-66
|
-8,25
|
|
Отчисления на социальные нужды
|
1300
|
0
|
-1300
|
-100
|
|
Расходы на подготовку производства
|
150
|
200
|
50
|
33,33
|
|
Общепроизводственные расходы, В том числе
|
|
|
|
|
|
расходы на содержание и эксплуатацию оборудования цеховые
расходы
|
250 300
|
0 324
|
-250 24
|
-100 8
|
|
Общехозяйственные расходы
|
70
|
65
|
-5
|
-7,14
|
|
Потери от брака
|
50
|
78
|
28
|
56
|
|
Прочие производственные расходы
|
1000
|
1003
|
3
|
0,3
|
|
Коммерческие расходы
|
850
|
828
|
-22
|
-2,59
|
|
Полная себестоимость продукции
|
11026
|
6429
|
-41,7
|
Из таблицы 17 видно, что допущен
перерасход по таким статьям, как сырье и материалы, возвратные отходы, топливо
и энергия на технологические цепи, основная заработная плата производственных
рабочих, дополнительная заработная плата производственных рабочих и
общепроизводственные расходы. Именно на эти статьи калькуляции необходимо
обратить усилия руководства в целях снижения себестоимости.
Анализ финансовых
результатов деятельности предприятия
Таблица 18. Факторный анализ прибыли
от реализации
|
Слагаемые прибыли
|
По плану
|
По базису на фактически реализованную продукцию
|
Фактически в отчетном году
|
|
1. Реализация продукции в отпускных ценах, тыс. руб.
|
13000
|
14581
|
14892
|
|
2. Себестоимость реализованной продукции, тыс. руб.
|
10246
|
9310
|
9458
|
|
3. Прибыль от реализации продукции, тыс. руб.
|
2754
|
5271
|
5434
|
1. Влияние на прибыль от реализации
изменений оптовых цен на реализованную продукцию:
ДП1 = Уp1*q1-Уpо*q1=311 (12)
. Влияние на прибыль от реализации
изменений в объеме реализации продукции:
ДП2 = По*К1-По = По (К1-1)= -275,4
(13)
К1 = С1,0/С0
=3910/10246=0,90 (14)
. Влияние на прибыль от реализации
изменений в объеме продукции, обусловленных изменениями в структуре продукции:
ДП3 = По (К2-К1)= 2754
(1,12-0,90)=605,88 (15)
К2 = Уpо*q1/Уpо*qо=14581/13000=1,12 (16)
. Влияние на прибыль от реализации
экономии от снижения себестоимости продукции:
ДП4 = С1,0 - С1=
9310-9458=-148 (17)
. Влияние на прибыль от реализации
изменений за счет структурных сдвигов в составе продукции:
ДП5 = Со*К2 - С1,0=
10246*1,12-3910=7565,52 (18)
Суммарное отклонение дает общее
изменение прибыли от реализации за отчетный период:
ДП=П1-По=ДП1+ДП2+ДП3+ДП4+ДП5 (19)
ДП=128,47+562,0454+(-596,245)+432,54+(-475,4404)=
Расчеты верны.
В зависимости от задач анализа
рассчитываются следующие группы показателей рентабельности:
· рентабельность
реализованной продукции (работ, услуг);
· рентабельность
капитала (имущества);
· рентабельность
источников средств;
· рентабельность
производственных ресурсов.
Рентабельность реализованной
продукции показывает, какую прибыль получает предприятие с каждого рубля
реализованной продукции, и рассчитывается следующим образом:
Rреал.продукции=Пвр.п/Вреал*100%,
где Пвр.п - прибыль,
остающаяся в распоряжении предприятия, тыс. р.,
Вреал - выручка от
реализации продукции, тыс. р.
Рентабельность всей реализованной
продукции зависит от уровня рентабельности отдельных видов продукции и их
удельных весов в общем объеме реализации:
Rвсей РП=УRi*gi,
где Ri - рентабельность i-го вида продукции, %;
gi - доля i-го вида продукции в общем объеме реализации, %.
Анализ влияния рентабельности
отдельных видов продукции на изменение рентабельности всей реализованной
продукции проводится способом абсолютных разниц по форме табл. 19.
Таблица 19. Анализ влияния
рентабельности продаж выпускаемых изделий на изменение средней рентабельности
реализации
|
Вид продукции
|
Рентабельность i-го
вида продукции, %
|
Доля i-го вида
продукции в общем объеме реализации, %
|
Влияние на рентабельность реализации
|
Общее влияние
|
|
Прошлый год
|
Отчетный год
|
Отклонение (+,-)
|
Прошлый год
|
Отчетный год
|
Отклонение (+,-)
|
структуры реализации
|
рентабельности продукции
|
|
|
А
|
16,0
|
14,4
|
-1,6
|
50,1
|
44,0
|
-6,1
|
-0,88
|
-0,008
|
-87,848
|
|
Б
|
16,0
|
18,4
|
2,4
|
49,9
|
56,0
|
6,1
|
1,122
|
0,012
|
112,252
|
|
Итого
|
16
|
16,64
|
|
16
|
16,64
|
|
0,242
|
0,004
|
|
Вывод: Из таблицы 19 видно, что по
продукции А влияние рентабельности реализации, структура реализации составила
-0,88 рентабельность продукции - 0,008. Продукция Б влияние рентабельности
реализации составила 1,122, продукции 0,012.
Таблица 19.1 - Данные из
бухгалтерского отчета
|
Показатель
|
предыдущий год
|
фактически
|
Отклонение
|
|
Прибыль, остающаяся в распоряжении предприятия, тыс. руб.
|
2100
|
2900
|
+800
|
|
Средняя величина имущества, тыс. руб.
|
21100
|
19497
|
-1603
|
|
Средняя стоимость текущих активов, тыс. руб.
|
9100
|
8316
|
-784
|
|
Средняя стоимость собственного капитала, тыс. руб.
|
15230
|
16309
|
+1079
|
|
Средняя стоимость ОПФ и МОС, тыс. руб.
|
18021
|
18461
|
+440
|
По результатам анализа делаются
обоснованные выводы о направлениях изменения структуры выпуска и реализации в
целях повышения рентабельности всей реализованной продукции.
Рентабельность имущества предприятия
характеризует прибыль, полученную с каждого рубля, вложенного в имущество, и
рассчитывается следующим образом:
Rим = П в р.п. / Иим*100%,
где Иим - средняя величина имущества
предприятия, рассчитанная по данным баланса, тыс. р.
Показатели рентабельности средств
характеризуют эффективность использования собственного капитала и
авансированных заемных средств.
Рентабельность собственного капитала
(Rск)
характеризует прибыль, полученную предприятием с каждого рубля собственного
капитала:
Rск = П в р.п/Ск*100%,
где Ск - средняя величина источников
собственных средств, тыс. р.
Важнейшей характеристикой
эффективности работы предприятия является показатель рентабельности
производственных фондов (Rф), который определяется по формуле
Rф = П в р.п/(Сопф+Смос),
где Сопф - средняя стоимость ОПФ,
тыс. р.;
Смос - средняя стоимость
материальных оборотных средств, тыс. р.
Показатели рентабельности
анализируются в динамике за ряд отчетных периодов, результаты расчетов сводятся
в табл. 20.
Таблица 20. Динамика показателей
рентабельности
|
Показатель
|
Предыдущий год
|
Отчетный год
|
Изменение (+,-)
|
|
1. Рентабельность реализованной продукции
|
16
|
16,64
|
+0,64
|
|
2. Рентабельность капитала(имущества): - рентабельность капитала
- рентабельность текущих активов
|
9,95 23,07
|
14,87 34,87
|
+4,92 +11,8
|
|
3. Рентабельность собственного капитала
|
13,8
|
17,8
|
4
|
|
4. Рентабельность производственных фондов
|
11,6
|
15,7
|
4,1
|
Вывод: Из таблицы 20 мы видим, что
изменение рентабельности реализованной продукции составило 0,64
Рентабельность капитала 4,92;
рентабельность текущих активов11,8.
Рентабельность собственного капитала
4.
Рентабельность производственных
фондов 4,1
Мы видим, что рентабельность за
отчетный год выше, чем за предыдущий.
Заключение
Рассмотрев основные методы
статистического исследования, становится отчетливо видно, что такая наука, как
статистика оказывает незаменимую помощь в решении государственных,
экономических, социологических вопросов и во многом способствует развитию
данных наук и сфер деятельности. Учитывая тот факт, что влияние статистики
распространяется на управленческую и экономическую деятельность предприятий и
фирм, можно заключить, что эта наука очень важна для функционирования, роста и
успешности предприятий. Применение статистических данных и проведение
статистического наблюдения, с последующим анализом полученной информации, -
неотъемлемая часть деятельности любого предприятия.
Правильно проведённый сбор, анализ
данных и статистические расчёты позволяют обеспечить заинтересованные структуры
и общественность информацией о развитии экономики, о направлении её развития,
показать эффективность использования ресурсов, учесть занятость населения и его
трудоспособность, определить темпы роста цен и влияние торговли на сам рынок
или отдельно взятую сферу.
Методы исследования операций
основываются на взаимодействии или причинно-следственных связях, существующих
между объектами. Однако в любом конкретном случае объем операционных
исследований ограничивается. Ограничения накладываются на исследуемую систему с
целью достижения определенного результата в определенное время, с определенными
материальными и мыслительными затратами на заранее заданном уровне.
Основная цель исследования операций
сводится к отысканию оптимальных решений задач организационного типа с учетом
функционирования всей организации в целом. Такой характер операционных
исследований можно считать примером системного подхода, если под системой
понимать взаимосвязанный комплекс операционально-соотнесенных компонентов.
Системный подход к постановке и
анализу задач исследования операций является особенностью этой научной
дисциплины. Сущность системного подхода состоит в установлении всех
существенных взаимосвязей между переменными факторами и в выявлении их влияния
на поведение всей системы в целом. Такой подход позволяет совершенно различные
ситуации и процессы рассматривать как стандартные задачи выбора оптимальной
альтернативы, оптимизации процесса достижения цели и т.д.
Другой важной особенностью
исследования операций является математизация решаемых задач, так как сложные
динамические системы и ситуации не могут быть научены обычными методами. Их
можно изучать только экспериментами. Отсюда следует, что основным
математическим методом исследования операций является метод математического
моделирования.
Для систематизации математических
методов исследования операций используют следующую классификацию задач:
) задачи определения эффективности
операции, качества выбранного решения или опирающегося на него способа действия;
это так называемые прямые задачи;
) задачи оптимизации, определения
оптимальных альтернатив, задачи выбора таких условий и зависимых факторов, при
которых критерий эффективности достигает экстремального значения; это так
называемые обратные задачи.
В случае решения прямых задач
используются преимущественно математико-статистические методы. Это объясняется
тем, что исследуемые процессы сильно подвержены воздействию неопределенных,
случайных факторов. Для многих задач максимальные значения функций полезности
могут быть оценены лишь вероятностно.
Список использованных
источников
1. Савицкая, Г.В. Анализ
хозяйственной деятельности предприятия: учебник для студентов, обучающихся по
специальности «Бухгалтерский учет, анализ и аудит» / Г.В. Савицкая. - 5-е изд.,
перераб. и доп. - М.: ИНФРА-М, 2010. - 535 с.
2. Архангельский, С.И.
Учебный процесс в высшей школе, его закономерные основы и методы [Текст] / С.И.
Архангельский. - М.: Высшая школа, 1980. - 368 с.
. Вербицкий А.А.
Активное обучение в высшей школе: Контекстный подход. - М., 1991.
4. Маркарьян, Э.А.
Экономический анализ хозяйственной деятельности: учебное пособие для студентов,
обучающихся по специальностям «Финансы и кредит», «Бухгалтерский учет, анализ и
аудит», «Налоги и налогообложение» / Э.А. Маркарьян, Г.П. Герасименко, С.Э.
Маркарьян. - 2-е изд., перераб. и доп. - М.: КноРус, 2010. - 535 с.
. Ковалев, В.В. Анализ
хозяйственной деятельности предприятия: учебник для студентов высших учебных
заведений, обучающихся по специальностям «Финансы и кредит», «Бухгалтерский
учет, анализ и аудит» / В.В. Ковалев, О.Н. Волкова. - М.: Проспект, 2010. - 421
с.