Исследование взаимосвязей между рядами данных
Министерство
образования и науки, молодежи и спорта
Одесский
национальный морской университет
Кафедра
"Системный анализ и логистика"
Дисциплина
"Статистика"
Расчетно-графическое
задание
на
тему: "Исследование взаимосвязей между рядами данных"
Исполнила студентка
ФТТС 3 курс 2 группа
Меленец М.А.
Проверила
Смрковская В.Ю.
Одесса -
2013
План
. Дисперсионный анализ
. Корреляционно-регрессионный анализ
1. Дисперсионный анализ
Необходимо выявить взаимосвязь между случаями
несвоевременной доставки (х) и временем работы на рынке (у).
Разобьем данную совокупность на несколько групп
по факторному признаку. Так как число групп не должно быть очень большим и
очень маленьким, поэтому разобьем совокупность сначала на 4 группы (табл. 1).
m=4: 
⇒3.
Таблица 1
|
4
группы
|
|
Группы
по х
|
ni
|
Σy
|
|
|
0,85-3,84
|
15
|
83
|
5,53
|
|
3,85-6,84
|
18
|
127
|
7,05
|
|
6,85-9,84
|
5
|
20
|
4
|
|
9,84-12,85
|
7
|
34
|
4,86
|
|
Σ
|
45
|
264
|
|
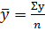
Среднее значение у для всей совокупности
рассчитаем по формуле:

(1)

=5,87.
Группировка на 4 группы не является
корректной, поскольку значения 
во первой, третьей и четвертой
группах меньше, чем во второй группе, что не позволяет задать тенденцию
взаимосвязи. Поэтому уменьшаем количество групп до 3 (табл. 2).=3: 
⇒ 4
Таблица 2
|
3
группы
|
|
Группы
по х
|
ni
|
Σy
|
|
|
0,85-4,84
|
25
|
159
|
6,36
|
|
4,85-8,84
|
11
|
61
|
5,54
|
|
8,85-12,85
|
9
|
44
|
4,88
|
|
Σ
|
45
|
264
|
|
Группировка на 3 группы является оптимальной. В
общем виде она задает тенденцию взаимосвязи.
На базе аналитической группировки проведем дисперсионный
анализ, который позволяет количественно определить тесноту связи.
Рассчитаем общую и межгрупповую дисперсию:

(2)

((4-5,87)2 + (3-5,87)2
+ (2-5,87)2 + (2+5,87)2 + (3-5,87)2 +
(8-5,87)2 + (10-5,87)2 + (10-5,87)2 + (2-5,87)2
+ (9-5,87)2 + (3-5,87)2 + (9-5,87)2 +
(9-5,87)2 + (4-5,87)2 + (5-5,87)2 + (6-5,87)2
+ (7-5,87)2 + (2-5,87)2 + (8-5,87)2 +
(9-5,87)2 + (8-5,87)2 + (10-5,87)2 + (8-5,87)2
+ (8-5,87)2 + (10-5,87)2 + (7-5,87)2 +
(7-5,87)2 + (7-5,87)2 + (7-5,87)2 + (6-5,87)2
+ (6-5,87)2 + (6-5,87)2 + (5-5,87)2 +
(2-5,87)2 + (3-5,87)2 + (5-5,87)2 + (4-5,87)2
+ (6-5,87)2 + (5-5,87)2 + (5-5,87)2 +
(9-5,87)2 + (4-5,87)2 + (3-5,87)2 + (6-5,87)2
+ (2-5,87)2) / 45=6,52

(3)

=0,34.
Эмпирический коэффициент
детерминации определяется как

(4)

⇒5,2 %.
Эмпирический коэффициент
детерминации показывает, что фактор "Случаи несвоевременной доставки"
на 5,2% определяет вариацию результативного признака "Время работы
компании на рынке".
Эмпирическое корреляционное отношение
определяется как

(5)

=0,224.
Эмпирическое корреляционное
отношение показывает, что связь между группировочным признаком "Случаи
своевременной доставки" и результативным признаком "Время работы
компании на рынке" составляет всего 0,224, т.е. время работы на рынке
практически не зависит от случаев несвоевременной доставки.
Для оценки существенности
корреляционного отношения используется критерий Фишера при заданном уровне
значимости α=0,05.
Расчетное значение Фишера
определяется из формулы:

(6)

=
+
⇒
=
-
=6,52-0,34=6,18.

Определим табличное значение
критерия Фишера, 
≈3,2.
Так как 
, то следует утверждать, что
группировочный признак не является варьирующим.
. Корреляционно-регрессионный анализ
дисперсионный корреляция
регрессия вариационный
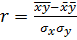
Определяем коэффициент корреляции

(7)
где 
- показатель тесноты линейной связи
и коэффициент корреляции, изменяется от -1≤r≤1.

(8)

(9)
Все необходимые данные указаны в
таблице 3.
Таблица 3
|
хi
|
yi
|
x2
|
х3
|
х4
|
xiyi
|
(xi- )2(yi- )2
|
|
|
1
|
2
|
3
|
4
|
5
|
6
|
7
|
8
|
|
0,85
|
4
|
0,72
|
0,61
|
0,52
|
3,4
|
21,81
|
3,5
|
|
1,52
|
3
|
2,31
|
3,51
|
5,34
|
4,56
|
16,00
|
8,24
|
|
2,17
|
2
|
4,71
|
10,22
|
22,17
|
4,34
|
11,22
|
14,98
|
|
2,19
|
2
|
4,80
|
10,50
|
23,00
|
4,38
|
11,09
|
14,98
|
|
2,22
|
3
|
4,93
|
10,94
|
24,29
|
6,66
|
10,89
|
8,24
|
|
2,53
|
8
|
6,40
|
16,19
|
40,97
|
20,24
|
6,85
|
4,54
|
|
2,86
|
10
|
8,18
|
23,39
|
66,91
|
28,6
|
7,07
|
17,06
|
|
3,03
|
10
|
9,18
|
27,82
|
84,29
|
30,3
|
6,2
|
17,06
|
|
3,5
|
2
|
12,25
|
42,88
|
150,06
|
7
|
4,08
|
14,98
|
|
3,53
|
9
|
12,46
|
43,99
|
155,27
|
31,77
|
3,96
|
9,8
|
|
3,6
|
3
|
12,96
|
46,66
|
167,96
|
10,8
|
3,69
|
8,24
|
|
3,65
|
9
|
13,32
|
48,63
|
177,49
|
32,85
|
3,5
|
9,8
|
|
3,7
|
9
|
13,69
|
50,65
|
187,42
|
33,3
|
3,31
|
9,8
|
|
3,7
|
4
|
13,69
|
50,65
|
187,42
|
14,8
|
3,31
|
3,5
|
|
3,8
|
5
|
14,44
|
54,87
|
208,51
|
19
|
2,96
|
0,76
|
|
3,9
|
6
|
15,21
|
59,32
|
231,34
|
23,4
|
2,62
|
0,02
|
|
4
|
7
|
16,00
|
64,00
|
256,00
|
28
|
2,31
|
1,28
|
|
4,04
|
2
|
16,32
|
65,94
|
266,39
|
8,08
|
2,19
|
14,98
|
|
4,1
|
8
|
16,81
|
68,92
|
282,58
|
32,8
|
2,02
|
4,54
|
|
4,2
|
9
|
17,64
|
74,09
|
311,17
|
37,8
|
1,74
|
9,8
|
|
4,2
|
8
|
17,64
|
74,09
|
311,17
|
33,6
|
1,74
|
4,54
|
|
4,3
|
10
|
18,49
|
79,51
|
341,88
|
43
|
1,49
|
17,06
|
|
4,32
|
8
|
18,66
|
80,62
|
348,29
|
34,56
|
1,2
|
4,54
|
|
4,47
|
8
|
19,98
|
89,31
|
399,24
|
35,76
|
1,1
|
4,54
|
|
4,81
|
10
|
23,14
|
111,28
|
535,28
|
48,1
|
0,5
|
17,06
|
|
4,87
|
7
|
23,72
|
115,50
|
562,49
|
34,09
|
0,42
|
1,28
|
|
4,99
|
7
|
24,90
|
124,25
|
620,01
|
34,93
|
0,28
|
1,28
|
|
5,24
|
7
|
27,46
|
143,88
|
753,92
|
36,68
|
0,08
|
1,28
|
|
5,27
|
7
|
27,77
|
146,36
|
771,33
|
36,89
|
0,06
|
1,28
|
|
5,54
|
6
|
30,69
|
941,97
|
33,24
|
0,0004
|
0,02
|
|
5,66
|
6
|
32,04
|
181,32
|
1026,28
|
33,96
|
0,02
|
0,02
|
|
6,01
|
6
|
36,12
|
217,08
|
1304,66
|
36,06
|
0,24
|
0,02
|
|
6,33
|
5
|
40,07
|
253,64
|
1605,52
|
31,65
|
0,66
|
0,76
|
|
6,97
|
2
|
48,58
|
338,61
|
2360,10
|
13,94
|
2,1
|
14,98
|
|
8,02
|
3
|
64,32
|
515,85
|
4137,11
|
24,06
|
6,25
|
8,24
|
|
8,24
|
5
|
67,90
|
559,48
|
4610,08
|
41,2
|
7,4
|
0,76
|
|
9,07
|
4
|
82,26
|
746,14
|
6767,51
|
36,28
|
12,6
|
3,5
|
|
9,29
|
6
|
86,30
|
801,77
|
7448,40
|
55,74
|
14,21
|
0,02
|
|
10,1
|
5
|
102,01
|
1030,30
|
10406,04
|
50,5
|
20,98
|
0,76
|
|
10,12
|
5
|
102,41
|
1036,43
|
10488,71
|
50,6
|
21,16
|
0,76
|
|
10,26
|
9
|
105,27
|
1080,05
|
11081,27
|
92,34
|
22,17
|
9,8
|
|
10,87
|
4
|
118,16
|
1284,37
|
13961,05
|
43,48
|
28,62
|
3,5
|
|
11,64
|
3
|
135,49
|
1577,10
|
18357,43
|
34,92
|
37,45
|
8,24
|
|
12,32
|
6
|
151,78
|
1869,96
|
23037,90
|
73,92
|
46,24
|
0,02
|
|
12,41
|
2
|
154,01
|
1911,24
|
23718,49
|
24,82
|
47,47
|
14,98
|
|
Σ=248,41
|
264
|
1775,19
|
Σ=15311,95
|
Σ=148745,26
|
1396,40
|
Σ=401,26
|
Σ=295,34
|
|
 =5,52 5,87 =31,03 =2,92 =2,56
|
|
|
|
|
|
|
|

= -0,18.
Линейный коэффициент корреляции
показывает и тесноту, и направление. Поскольку 
0 и приближается к нулю, то
характеризуется обратной связью другого характера.
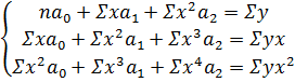
Выравнивание динамического ряда
будем производить по параболе.
т= a0+a1∙x+
a2∙x2,
где a0, a1 и а2
- параметры уравнения, которые находим из системы уравнений:

(10)

Решив систему уравнений методом
Крамера, получили следующие значения:
а0=0,38; а1=1,31;
а2=-1,07.
Уравнение регрессии принимает вид:
т= 0,38+1,31∙x-1,07∙x2.
Полученные значения указаны в
таблице 4.
Таблица 4
|
хi
|
yi
|
ут
|
(yi- )2(ут- )2
|
|
|
1
|
2
|
3
|
4
|
5
|
|
0,85
|
4
|
0,72
|
3,5
|
26,52
|
|
1,52
|
3
|
-0,10
|
8,24
|
35,65
|
|
2,17
|
2
|
-1,82
|
14,98
|
59,07
|
|
2,19
|
2
|
-1,88
|
14,98
|
60,11
|
|
2,22
|
3
|
-1,99
|
8,24
|
61,70
|
|
2,53
|
8
|
-3,15
|
4,54
|
81,44
|
|
2,86
|
10
|
-4,63
|
17,06
|
110,16
|
|
3,03
|
10
|
-5,47
|
17,06
|
128,69
|
|
3,5
|
2
|
-8,14
|
14,98
|
196,35
|
|
3,53
|
9
|
-8,33
|
9,8
|
201,61
|
|
3,6
|
3
|
-8,77
|
8,24
|
214,36
|
|
3,65
|
9
|
-9,09
|
9,8
|
223,91
|
|
3,7
|
9
|
-9,42
|
9,8
|
233,82
|
|
3,7
|
4
|
-9,42
|
3,5
|
233,82
|
|
3,8
|
5
|
-10,09
|
0,76
|
254,81
|
|
3,9
|
6
|
-10,79
|
0,02
|
277,41
|
|
4
|
7
|
-11,50
|
1,28
|
301,72
|
|
4,04
|
2
|
-11,79
|
14,98
|
311,94
|
|
4,1
|
8
|
-12,24
|
4,54
|
327,82
|
|
4,2
|
9
|
-12,99
|
9,8
|
355,81
|
|
4,2
|
8
|
-12,99
|
4,54
|
355,81
|
|
4,3
|
10
|
-13,77
|
17,06
|
385,78
|
|
4,32
|
8
|
-13,93
|
4,54
|
392,02
|
|
4,47
|
8
|
-15,14
|
4,54
|
441,58
|
|
4,81
|
10
|
-18,07
|
17,06
|
573,34
|
|
4,87
|
7
|
-18,62
|
1,28
|
599,63
|
|
4,99
|
7
|
-19,73
|
1,28
|
655,17
|
|
5,24
|
7
|
-22,14
|
1,28
|
784,29
|
|
5,27
|
7
|
-22,43
|
1,28
|
801,08
|
|
5,54
|
6
|
-25,20
|
0,02
|
965,51
|
|
5,66
|
6
|
-26,48
|
0,02
|
1046,75
|
|
6,01
|
6
|
-30,40
|
0,02
|
1315,18
|
|
6,33
|
5
|
-34,20
|
0,76
|
1605,72
|
|
6,97
|
2
|
-42,47
|
14,98
|
2336,84
|
|
8,02
|
3
|
-57,94
|
8,24
|
4071,29
|
|
8,24
|
5
|
-61,48
|
0,76
|
4535,49
|
|
9,07
|
4
|
-75,76
|
3,5
|
6663,74
|
|
9,29
|
6
|
-79,80
|
0,02
|
7338,58
|
|
10,1
|
5
|
-95,54
|
0,76
|
10283,93
|
5
|
-95,95
|
0,76
|
10366,54
|
|
10,26
|
9
|
-98,82
|
9,8
|
10959,10
|
|
10,87
|
4
|
-111,81
|
3,5
|
13848,15
|
|
11,64
|
3
|
-129,35
|
8,24
|
18283,22
|
|
12,32
|
6
|
-145,89
|
0,02
|
23030,48
|
|
12,41
|
2
|
-148,15
|
14,98
|
23722,64
|
|
Σ=248,41
|
264
|
|
Σ=401,26
|
Σ=149058,58
|
|
 =5,52 5,87σ2=8,92 =33312,41
|
|
|
|
|
Определим теоретический коэффициент детерминации
R2, который покажет долю общей вариационной зависимости переменной,
обусловленной регрессией. Он рассчитывается по формуле:
R2=
(11)
Из таблицы 4

=
=
;

=
.
2=
371,35.
Теоретический коэффициент
детерминации показывает, что доля общей вариации переменной, обусловленной
регрессией, составляет всего 0,081.
Рассчитаем теоретическое
корреляционное отношение:
R=
(12)
=
19,27.
Теоретическое корреляционное
отношение показывает, что связь между вариацией факторного признака
"Случаи несвоевременной доставки" и вариацией результативного
признака "Время работы на рынке" достаточно высокая.
Проверяем значимость уравнения
регрессии, используя значение Фишера. Расчетное значение получаем по
эмпирическим данным:

(13)
