Повышение эффективности продаж товаров в ООО 'Лабиринт'
Содержание
Введение
. Теоретико-методические аспекты оценки эффективности продаж
товаров
.1 Эффективность продаж: понятие, роль и значение
.2 Виды товаров и их характеристика
.3 Методы оценки эффективности продаж товаров
. Анализ и оценка эффективности продаж отдельных видов
товаров в ООО "Лабиринт"
.1 Организационно-экономическая характеристика ООО
"Лабиринт"
.2 Анализ объемов, структура и динамика продаж
.3 Анализ и оценка эффективности продаж товаров
. Повышение эффективности продаж товаров в ООО "Лабиринт"
.1 Пути повышения эффективности продаж товаров
.2 Регрессионная модель эффективности продаж товаров
.3 Мероприятия по повышению эффективности продаж товаров и их
экономическое обоснование
Заключение
Список использованной литературы
Приложения
товар продажа экономический реализация
Введение
Розничная торговля - одна из важнейших сфер обеспечения населения. При ее
посредстве осуществляется рыночное соглашение товарного предложения и
покупательского спроса. Являясь источником поступления денежных средств,
торговля тем самым формирует основы финансовой стабильности государства.
За период рыночных преобразований она претерпела коренные изменения. В
розничной торговле, как ни в одной другой отрасли хозяйственной системы,
сформировалась богатая конкурентная среда. Предпринимательская и инвестиционная
активность в этой сфере самая высокая.
На предприятиях розничной торговли завершается процесс кругооборота
средств, вложенных в производственные предметы потребления, происходит
превращение товарной формы стоимости в денежную и создается экономическая
основа для возобновления производства товаров. Здесь происходят постоянные
количественные и качественные изменения, вызванные применением передовой
технологии, совершенствованием техники и оборудования, методов управления,
обеспечивающих повышение эффективности работы торговых предприятий и повышение
культуры торговли.
Главная цель торговли потребительскими товарами - удовлетворение
потребностей населения в товарах и услугах. Достижение этой цели
характеризуется общим объемом реализации товаров населению. При реализации
товаров потребителю произведенный продукт находит свое выражение в общественном
признании. Товарооборот характеризует объем потребления материальных благ,
выражен экономическими отношениями, возникающими в процессе движения товаров из
сферы производства и обращения в сферу личного потребления. Сущность
товарооборота проявляется в экономических отношениях, связанных с обменом
товаров и услуг на рынке в процессе купли-продажи.
Оборот розничной торговли - сложный и многогранный показатель. Он
характеризует объем товарной массы, перешедшей из сферы товарного обращения в
сферу личного потребления.
Уровень и качество планирования оборота розничной торговли определяются
следующими важнейшими условиями: компетентностью руководства организации на
всех уровнях управления; квалификацией специалистов, работающих в
функциональных подразделениях; наличием информационной базы и обеспеченностью
компьютерной техникой.
Планирование оборота розничной торговли предполагает обоснованный выбор
целей, определение политики, разработку мер и мероприятий, методы достижения
целей, обеспечение основы для принятия последующих долгосрочных решений.
Планирование заканчивается перед началом действий по реализации плана.
Развитие розничной торговли нуждается в создании специальных служб по
изучению и прогнозированию потребительского спроса, формированию оптимального
ассортимента товаров, анализу и определению прогрессивных форм и методов
розничной торговли на уровне региона, края, области, района при неукоснительной
поддержке государственных и муниципальных органов власти в целях контроля за
ходом розничной торговли, разработки новых видов изделий и товаров. Правильная
организация коммерческой работы в рамках розничной торговли способствует росту
товарооборота, достаточно полному удовлетворению совокупного спроса населения и
получению коммерческого успеха. Все вышеназванное определило актуальность темы
исследования.
Цель выпускной квалификационной работы - оценка эффективности продаж
отдельных видов товаров (на примере ООО "Лабиринт").
Задачи исследования:
) рассмотреть теоретико-методические аспекты оценки эффективности продаж
товаров, в том числе понятие, роль и значение эффективности продаж, виды
товаров и их характеристику, а также методы оценки эффективности товаров;
) провести анализ и дать оценку эффективности продаж отдельных видов
товаров в ООО "Лабиринт", в том числе дать
организационно-экономическую характеристику ООО "Лабиринт", провести
анализ объемов структуры и динамики продаж предприятия, а также
проанализировать и оценить эффективность продажи товаров;
) определить направления повышения эффективности продаж товаров в ООО
"Лабиринт", в том числе определить пути повышения эффективности
продаж товаров, построить регрессионную модель эффективности продаж товаров, а
также разработать мероприятия по повышению эффективности продаж товаров и дать
им экономическое обоснование.
Объект исследования - ООО "Лабиринт".
Предмет исследования - эффективность продажи отдельных видов товаров.
Информационная база исследования - бухгалтерская и экономическая
отчетность предприятия ООО "Лабиринт" за 2011-2013 годы.
Методы исследования: сравнительный, сопоставительный, аналитический.
Теоретическую основу исследования составили труды и монографии следующих
авторов: Абчук В.А., Боровиковой Л.А., Гамидулаева С.Н., Герчиковой И.Н.,
Дашкова Л.П., Памбухчиянц В.К., Егорова В.Ф., Есютиной А.А., Каплиной В.К.,
Коробовой Е.К., Кричец Е.В., Николаевой М.А., Никишкина В., Цветковой А.,
Панкратов Ф.Г. и др.
Структура работы. Работа состоит из введения, трех глав, заключения,
списка используемых источников и приложений. В первой главе
"Теоретико-методические аспекты оценки эффективности продаж товаров"
рассмотрено понятие, роль и значение эффективности продаж, виды товаров и их
характеристика, а также методы оценки эффективности продаж товаров.
Во второй главе "Анализ и оценка эффективности продаж отдельных
видов товаров в ООО "Лабиринт" дана организационно-экономическая
характеристика ООО "Лабиринт", проведен анализ объемов структуры и
динамики продаж предприятия, а также дан анализ и оценка эффективности продажи
товаров.
В третьей главе "Повышение эффективности продаж товаров в ООО
"Лабиринт" определены пути повышения эффективности продаж товаров,
построена регрессионная модель эффективности продаж товаров, а также
разработаны мероприятия по повышению эффективности продаж товаров и дано их
экономическое обоснование.
1.
Теоретико-методические аспекты оценки эффективности продаж товаров
1.1
Эффективность продаж: понятие, роль и значение
Продажи - бизнес-понятие, описывающее практически любую коммерческую
деятельность, бизнес вообще. Продажи чаще всего являются завершающим этапом
бизнес-цикла коммерческого предприятия. Употребляется только во множественном
числе, в отличие от термина "продажа" (разовая продажа чего-то
конкретного).
Продажа является заключительным этапом всех бизнес-процессов, всех
действий в торговом бизнесе. Продажа товаров - это сделка, обмен, это
заключение договора купли-продажи, в результате которой покупатель получает
интересующий его товар, а продавец, бизнесмен, получает в обмен на проданный
товар деньги (прибыль).
Понятие продажи товаров, это термин, который пришел к нам с запада, и
который заменил знакомое всем понятие "сбыт", подчеркнув нацеленность
на конкретный результат торговой деятельности.
Понятие продажи товаров характеризуют самые разнообразные формы продажи,
условия доведения потенциального клиента до покупки товара, а именно:
построение и настройка процесса продаж (магазин, рынок, торговая сеть);
применение разнообразных методов продажи (самообслуживание, через
интернет, через прилавок);
принципы и условия ценообразования (дополнительные услуги и сервисы,
гарантии);
другие характеристики продажи товаров.
Легче всего рассматривать сущность и роль продаж (или искусство торговли,
как иногда эту деятельность называют) только как о функции, имеющей целью
что-то продать. Однако за этим вполне очевидным утверждением часто скрывается
очень сложный процесс, включающий использование полного набора принципов,
приемов и важных личностных навыков и умений, а также охватывающий широкий
диапазон различных типов задач, которые решаются при продаже [13].
Литература о продажах изобилует текстами, начиная от полных
концептуальных подходов до упрощенных вариантов типа "как это
делается". Компании тратят огромные деньги на подготовку персонала,
занятого продажами, стараясь обучить его как можно лучше этому делу, а может
быть, и искусству. Причина столь повышенного внимания к персональным продажам
проста.
Во многих компаниях персонал, занимающийся продажами, является
единственным важным связующим элементом компании с ее потребителем. Даже
наилучшим образом спроектированный и спланированный набор маркетинговых усилий
может провалиться только из-за того; что торговые представители действуют
неэффективно. Такая роль торговых представителей на передней линии означает,
что для многих потребителей компанией является именно торговый представитель. В
соединении с часто большими расходами, которые требуются для найма, подготовки
торговых представителей и поддержания их профессиональных навыков, имеются и
другие явные причины обоснования важности задач, решаемых в сфере продаж, и
попыток повысить здесь эффективность.
Термин "продажа" включает несколько видов деятельности,
связанных с этим направлением бизнеса. Например, в сфере продаж имеются такие
позиции, в которых торговые представители нужны главным образом для того, чтобы
доставлять продукт потребителю на регулярной или периодической основе. Поэтому
акценты в этом виде торговой деятельности значительно отличаются от тех,
которые требуются от торговых представителей, имеющих дело с продажей
капитального оборудования, приобретаемого при промышленных закупках. Кроме
того, одни торговые представители действуют только на экспортных рынках, а
другие продают продукцию непосредственно потребителю у него на дому. Один из
наиболее значимых аспектов термина "продажа" - это то, что под ним
скрывается широкая совокупность разных значений [16].
Но независимо от разнообразия ролей при осуществлении торговой
деятельности имеется одна общая особенность, которая их объединяет, - постоянно
повышающееся внимание к профессионализму при совершении продаж.
Продажа-это процесс взаимодействия Продавца с Клиентом, целью которого
является максимальное удовлетворение потребностей последнего. При этом можно
выделить два вида продажи - пассивную и активную.
Процесс пассивной продажи, как правило, не контролируется продавцом.
Покупатель сам решает, что хочет приобрести, доносит эту информацию до продавца,
продавец отвечает на запрос (находит размер, отвечает на вопросы о
характеристике продукта).То есть в данном случае продавец выполняет функцию
координатора.
Активная продажа подразумевает то, что инициатива будет исходить не от
покупатель, а от продавца. А раз управлять продажей начинает продавец, то
результат в большей степени зависит от него. Результатом активной продажи
является повышение удовлетворенности Покупателя от посещения вашего магазина.
Задача продавца при активной продаже не просто предоставить товар, а
воздействовать на эмоции Клиента путем предугадывания потребностей и
предложения тех товаров, которые нужны Клиенту (так как Клиент может
заблуждаться относительно необходимого с его точки зрения товара или его
свойства; он может забыть или не задуматься о товарах-спутниках; он может не
знать о наличии в магазине необходимого ему товара).
Эффективность продаж - процесс обмена товарами, услугами, ценностями и
деньгами, от которого производитель получает рациональную прибыль, а спрос не
падает. Отдельный вид товара - любая вещь, которая участвует в свободном обмене
на другие вещи. Обычно это продукт труда, специально произведённый для обмена и
способный удовлетворить человеческую потребность.
В современных экономических условиях большинство торговых компаний
столкнулось с падением спроса и замедлением темпов сбыта товаров. Особенно явно
эта тенденция начала проявляться в начале 2002 года наряду с одновременным
снижением темпа роста экономики и конечного потребления, переориентацией
конечных потребителей на экономию и рост сбережений.
Недавние перспективы экономического роста способствовали расширению
деятельности торговых компаний, освоению новых рынков и открытию новых
магазинов. Последовавшие за ними замедление темпов экономического роста и падение
спроса сделали такое расширение деятельности убыточным. В новых условиях
прежние способы управления стали менее результативными. Торговые компании
столкнулись с падением прибыли и ростом товарных запасов.
По мнению ряда представителей торговых компаний эффективность работы
последних заметно снизилась, рынок близок к насыщению, а открытие новых
магазинов может повлечь падение объемов продаж у других участников рынка. Об
обострении конкуренции может свидетельствовать повышенная активность
отечественных розничных компаний в сфере открытия новых магазинов. Российская
сеть "Пятерочка" планирует к концу 2013 года владеть 190-210
универсамами в Москве и Санкт-Петербурге. "Седьмой континент" до
конца года 2014 года откроет дополнительно пять магазинов к существующим
двадцати пяти. В 2015-2016 компания планирует разместить магазины формата
cash&carry дополнительно в спальных районах г. Москвы. Столичные сети
"Перекресток" и "Седьмой континент" начинают продвижение в
регионы, считая этот рынок весьма перспективным.
Еще большее обострение ситуации может произойти в результате внедрения на
отечественный рынок глобальных розничных сетей. В настоящее время ни один
развитый рынок не обеспечивает торговым компаниям двузначные темпы прироста,
которые возможны только на ненасыщенных рынках развивающихся стран. По
результатам исследования консалтинговой компании А.Т. Kearney Россия занимает
четвертое место в рейтинге привлекательности развивающихся рынков для
глобальных розничных сетей, находясь в группе стран, на рынки которых
рекомендуется входить немедленно. По мнению М. Роджерса под напором крупных
сетей количество независимых продавцов розницы будет сокращаться, последние не
смогут удерживать конкурентоспособную торговую наценку и будут вытеснены с
рынка . Многие западные торговые компании в качестве своих побежденных
конкурентов также планируют видеть мелкооптовые рынки и ярмарки [19].
Немецкая сеть Metro Cash&Carry, входящая в список двадцати крупнейших
глобальных розничных сетей, планирует к середине 2017 года открыть в регионах
России дополнительные магазины. Голландская сеть Spar также намеревается
осуществить инвестиции в открытие 30 магазинов на общую сумму около 50 млн.
долл. Немецкий розничный продавец AVA начал строительство гипермаркета площадью
30 тыс. кв.м. стоимостью 60 млн. долл. Показательным для остальных розничных
сетей стал пример компании IKEA, объем продаж одного московского магазина
которой составил 11% общего оборота компании в мире. Менеджеры компании
планируют в 2015 году довести оборот российских магазинов до 1,9 млрд. долл. и
до 42% от общего оборота компании. Крупнейший французский розничный оператор
Auchan планирует иметь в Москве в начале 2016 года еще два крупных торговых
центра. Таким образом, в результате усложнения экономических процессов и возрастания
конкуренции в отечественной торговой отрасли проблема разработки и внедрения
научно-обоснованных методов принятия решений для управления торговыми
компаниями представляется весьма актуальной. Особую актуальность представляет
исследование процесса принятия решений в сложноорганизованных торговых
компаниях (в специальной литературе используется термин "двухуровневые
торговые компании").
.2 Виды товаров и их характеристика
В коммерческой деятельности коммерческие процессы связаны с товаром,
который и выступает как основной предмет купли-продажи. Во всем многообразии
объектов коммерции главенствующую роль играют товары.
Понятие "товар" многоаспектное. Оно включает в себя:
функциональное назначение;
эстетику самого товара и его упаковки;
безопасность в употреблении, безвредность.
Совершенен лишь тот товар, которому свойственны все признаки и показатели
высокого качества.
Товар - продукт деятельности (включая работы, услуги), предназначенный
для продажи или обмена. Товаром принято считать все то, что может составлять
объект сделок в рыночных отношениях между продавцами и покупателями [22].
Объект сделки (товар) должен, прежде всего, благодаря своим свойствам
вызвать интерес покупателя и в конечном счете удовлетворить определенные
потребности, т.е. обладать потребительной стоимостью.
Кроме того, большинство товаров (за некоторым исключением, например,
земельный участок, водоем и др.) - это продукты труда, их продавцами выступают
либо сами производители, либо посредники, которые в результате сделки превращают
свой потенциальный доход в реальный.
Причем не каждый продукт труда выступает в качестве товара, а только тот,
который предназначен для обмена, продажи, передачи кому-либо с условием
возмещения усилий и затрат на его производство (например, изготовленный
хозяином для своей кухни стул не является товаром, но он станет таковым, если
будет передан соседу на каких-либо условиях компенсации).
Объектом коммерческой деятельности является все, что можно продать или
купить. Купле-продаже подлежат товары и услуги, деньги, ценные бумаги,
различное имущество, информация, результаты интеллектуальной деятельности
(патенты и лицензии, компьютерные программы, произведения искусства, науки,
литературы). Исключение составляют те товары, свободная продажа которых запрещена
законом: оружие, яды, наркотики.
Под товаром в широком смысле понимается материальная или нематериальная
собственность, реализуемая на рынке. Товаром могут быть продукт как
физического, так и умственного труда, результат услуги, сама способность к
труду, земля и ее недра - все, что имеет потребительную стоимость и стоимость и
может быть обменено на другой товар (деньги) собственником этой потребительной
стоимости.
В узком смысле под товаром понимают продукт труда, произведенный для
продажи в целях обмена на другие продукты труда или деньги на рынке.
Товар - это все то, что может удовлетворить потребность и предлагается
рынку в целях приобретения, использования или потребления.
Все товары можно подразделить на две большие группы [12]:
материально-вещественные (физические товары);
невещественные (неосязаемые) - различные услуги, консультации.
Виды товаров схематично показаны на рис. 1.1.
Товары в невещественной (нематериальной, неосязаемой) форме достаточно
разнообразны и очень специфичны. Среди них выделяются: наличные и безналичные
деньги, валюта и ценные бумаги, информация, права, услуги.
Рис. 1.1. Виды товаров
Наличные и безналичные деньги, валюта и ценные бумаги (акции, облигации,
векселя, государственные казначейские обязательства), являющиеся объектом
сделок в финансовом предпринимательстве. Главная особенность этих товаров
заключается в подверженности быстрому изменению курса в зависимости от многих
условий (как связанных, так и не связанных с деятельностью предпринимателя).
Информация (сведения о чем-то), которая нередко становится самым
востребованным и дорогим товаром, оцениваемым в зависимости от ее содержания,
новизны, достоверности и своевременности. Предприниматель сталкивается с
первичной и вторичной информацией. Первичную он добывает сам в результате
каких-либо исследований, пользуется ею и может выступать се продавцом;
вторичную получает от других лиц и организаций (научно-исследовательских,
аналитических, статистических и др.) на платной основе.
Информация выступает в качестве специфического товара. Эта специфичность
определяется неделимостью информации и ее относительностью (не всегда приносит
прибыль своему владельцу). При передаче информации ее владелец не лишается
права собственности. Экономически эффективна л ишь достоверная, полная и
оперативная информация.
Таким образом, как товар информация обладает рядом специфических свойств
[18]:
в процессе потребления она не уничтожается и обладает возможностью
многократного потребления многими пользователями. В процессе передачи
потребителю она не теряется дня производителя;
производителю заранее неизвестен потребитель;
невозможна однозначная стоимостная оценка произведенного объема
информации;
неопределенность и субъективность полезности информации;
особый механизм старения информации. Она не изнашивается, но со временем
(за исключением специальных случаев) ее полезность уменьшается. Следовательно,
важна ее актуальность;
информация характеризуется достоверностью, надежностью и доступностью.
При этом ее доступность различна для разных экономических агентов, т.е.
эти агенты располагают неполной, ограниченной информацией. "Информация тем
ценнее, чем малочислен нее ее обладатели".Услуги различного рода - любое
мероприятие или выгода, которые оказывает одна сторона (поставщик) другой
стороне (клиенту). Полезность делает услугу предметом торговли, т.е. товаром.
Производство услуг может быть связано с товаром в его материальном виде,
а может и не связываться с ним.
Материальные товары - товары, имеющие вещественную форму:
твердые материалы - сталь, древесина, уголь;
жидкие материалы - лак, нефть, бензин;
газообразные материалы - водород, углекислый газ, гелий.
Товар как объект коммерческой деятельности имеет четыре основополагающие
характеристики [19]:
ассортиментную;
качественную;
количественную;
стоимостную.
Первые три характеристики удовлетворяют реальные потребности человека
(физиологические, социальные, психологические и др.). Благодаря этим
характеристикам продукция приобретает полезность для определенных групп потребителей
и становится товаром.
Основными составляющими товара являются:
набор физических и потребительских свойств;
сопутствующие товары (шнурки, дискеты);
марочное название (торговая марка);
качественная упаковка;
сопутствующие услуги;
гарантии.
Товар обладает двумя принципиальными свойствами - потребительной
стоимостью и стоимостью.
Рис. 1.2. Составляющие товара
Потребительная стоимость - это способность товара удовлетворять
какую-либо человеческую потребность, т.е. быть общественно полезным благом.
Отличительная особенность потребительной стоимости состоит в том, что она
выступает носителем меновой стоимости, т.е. способности товара обмениваться в
известной пропорции на другие товары. Меновая стоимость является формой
стоимости, внешним проявлением се в акте обмена.
У продавца и покупателя интересы на рынке разные. Для покупателя ценность
товара заключается в его полезности. Продавец же стремится при реализации
товара получить максимальную выгоду в виде дохода. Коммерческая деятельность
должна обеспечить соединение этих интересов, т.е. в процессе купли-продажи
товара должны быть усреднены потери и выгоды продавца и покупателя.
Набор товаров, формируемый по определенным признакам и удовлетворяющий
разнообразные индивидуальные потребности, представляет собой ассортимент.
Многообразие ассортимента товаров подвергается классификации, которая включает
в себя деление на группы, подгруппы, на виды и разновидности.
Среди всех признаков классификации основным признаком является назначение.
По назначению товары подразделяются на роды [12]:
товары индивидуального (конечного) потребления (потребительские). Эти
товары приобретаются для удовлетворения своих личных потребностей, семейного
или домашнего потребления;
товары промежуточного потребления;
товары промышленного (производственного) назначения - товары,
предназначенные для производства других товаров, для хозяйственной деятельности
предприятия. Они создают его сырьевое и технологическое обеспечение.
Потребительские товары с учетом характера потребления (от степени
долговечности):
товары длительного пользования, т.е. используемые в течение длительного
времени (авто, холодильники, сотовые телефоны, мебель, телевизоры);
товары краткосрочного пользования, т.е. те, которые потребляются сразу
(хлеб, сигареты, напитки) или в несколько приемов (мыло, зубная паста,
стиральные порошки):
товары одноразовые - потребляются один раз;
услуги - объект продажи в виде действий, выгод или удовлетворения.
Виды товаров по сырьевому признаку (в зависимости от сырья, из которого
изготовлены):
продовольственные (рыбные, молочные, бакалейные);
непродовольственные (трикотаж, обувь, хозяйственные товары, галантерея).
Эта группировка затем детализируется. Такая классификация необходима для
того, чтобы можно было обеспечить необходимые условия хранения товаров, их
реализацию и эксплуатацию. Иногда сырьевой признак служит характеристикой
качества и безопасности товара (китайские игрушки).
Виды товаров по взаимозаменяемости [12]:
взаимозаменяемые, имеющие одно и то же целевое назначение и пригодные для
использования или потребления одного товара вместо другого (мороженое,
безалкогольные напитки). Они могут быть как одной товарной группы (телевизоры,
холодильники), так и разных (крупы и овощи). При отсутствии одного товара
покупателю предлагают заменяющие виды товаров;
совместимые - товары, одновременное хранение, потребление или
использование которых не вызывает нежелательных взаимодействий (чай и пирожное,
рыба и овощи), несовместимы, например. чай и кофе, рыба и молочные товары;
взаимодополняющие - товары, применение одного из которых требует
одновременного использования и другого товара (зубная щетка и паста, обувь и
шнурки, компьютер и программа, автомобили и шины).
Виды товаров по характеру вторичного использования товара [14]:
утилизируемые, т.е. подлежащие переработке после использования;
не утилизируемые - подлежат уничтожению, захоронению.
Товары могут подразделяться по комплексности покупки, когда помимо одного
вида товара предполагается приобретение еше нескольких видов товаров. Например,
при приобретении компьютера - монитор, клавиатура, мышь, принтер.
По стабильности, по покупательскому восприятию (идентичные, новые,
схожие, дифференцированные) и т.д.
В соответствии с отмеченными признаками формируется портфель заказов
торговых предприятий с предприятиями-поставщиками.
Для товаров производственного, или промышленного, назначения характерно
то, что поставщик обязан выполнять сроки поставки. Их приобретают организации
(предприниматели) для использования в качестве основных или оборотных средств
производства.
Товары промышленного назначения делятся на [17]:
капитальное имущество - стационарные сооружения, оборудование (для
торговых организаций - автомобили, торговое оборудование, стационарные
сооружения; для промышленных - станки, оборудование);
материалы и детали (сырье, полуфабрикаты и детали);
вспомогательные материалы и услуги (не присутствующие в готовом изделии,
но обеспечивающие процесс производства - сетевой шнур, стабилизатор).
Эти товары закупают обычно после предварительной технико- экономической
оценки (особенно капитальное имущество) сравнительно крупными партиями (прежде
всего сырье и материалы) специально подготовленные люди.
Для удобства поиска нужных товаров в условиях насыщения рынка и
расширения ассортимента была разработана их номенклатура и создана
международная Гармонизированная система описания и кодирования товаров (ГС),
которая используется в 50 странах.
Отличительной особенностью этой системы (в отличие от классификации)
является то, что в ГС предусмотрено шесть разрядов кодирования товаров: разделы
(их 21), группы (их 96), подгруппы (их 33), товарные позиции (их 1241),
подпозиции (их 3558) и субпозиции (их 5019).
Для приведения отечественных товаров к единообразию и
конкурентоспособности по признаку информационного обеспечения была использована
система штрихового кодирования (в мире их существует около 50).
1.3 Методы
оценки эффективности продаж товаров
Формирование рыночной экономики в России ведет к появлению новых проблем
в методах оценки эффективности.
Для определения принципов и методов оценки эффективности, следует
рассмотреть взаимоотношение двух важнейших экономических категорий - эффекта и
эффективности. И эффект, и эффективность отражают рост и развитие
экономического объекта, т.е. способность к прогрессивным количественным
изменениям, отраженным в объемных показателях, и к прогрессивным качественным
изменениям, дополняющим количественные, и связанным, как правило, со
структурной динамикой объекта [18].
Но данные понятия различны эффект является отражением результата
деятельности, то есть того состояния, к которому стремится экономический
объект. Эффект и результат тождественны. Управление с использованием данного
критерия - эффекта - получило в международной практике название "управление
по результатам" и направлено на количественный прирост результирующих
показателей, хотя и подразумевает вместе с тем изменение качественных
характеристик.
Эффективность, в отличие от эффекта, учитывает не только результат
деятельности (прогнозируемый, планируемый, достигнутый или желаемый), но и
рассматривает условия, при которых он достигнут. Эффективность определяется
соотношением результата (эффекта) и затрат, обусловивших этот результат.
Поэтому эффективность - сравнительная оценка результата деятельности.
Как и в любой другой отрасли, в сфере торговли существуют как
традиционные методы, так и недавно ставшие популярными в бизнес-практике,
позволяющие оценивать не только количественные, но и качественные показатели
деятельности компании с позиции ее эффективности в динамично меняющихся
условиях внешней и внутренней среды.
В этих условиях старые, традиционные методы могут оказаться
малоэффективными из-за недостатка информации о состоянии отрасли, и в полной
мере проявляется необходимость использования более рациональных методов оценки
эффективности продаж, таких как метод экспертных оценок, метод, используемый
для оценки инвестиционных проектов и метод оценки рентабельности, которые в
настоящее время приобретают все большую распространенность. При этом метод
оценки рентабельности относится к традиционным методам оценки эффективности, а
остальные можно отнести к более современным методам.
В связи с этим возникает необходимость рассмотрения вышеперечисленных
методов как наиболее часто применяемых на практике, более подробно.
Очевидно, что любая деятельность всегда направлена на достижение цели,
хотя не всегда к ней приводит, но обязательно заканчивается результатом, даже
если он и не запланирован или не имеет положительного характера. Первый принцип
оценки эффективности деятельности: если конечный результат совпадает с целью,
то деятельность может быть признана рациональной.
Совпадение результата с поставленной целью особенно важно с позиции
выбора наиболее успешных решений. Здесь эффективность - это совпадение цели и
конечного результата, в практике управление по данным параметрам называется
"Управление по целям" [21].
Второй принцип оценки эффективности - доступность использования
нескольких критериев оптимальности (доступность, но не необходимость). Таким
образом, решается задача многоцелевой оптимизации, т.к. есть три блока:
производство, коммерция и финансы и цели их могут быть взаимоисключающими.
Здесь, как правило, используют маркетинговую стратегию развития предприятия,
опирающуюся на текущее и оперативное планирование количественных и качественных
показателей. Целевые приоритеты ориентируются в сторону управления рынком на
основе маркетинговой концепции для повышения совокупного результата
деятельности в течение периода, обусловленного стратегией. Основной результат -
увеличение доходов и прибыли.
Третий принцип оценки эффективности - в процессе целеполагания
целесообразно отдавать преимущество целям, характеризующим устойчивость
рыночных позиций предприятия, реализуя принципы маркетинга как рыночной
концепции управления. Здесь происходит не только максимизация прибыли, но и
создание условий для успешного функционирования в длительной перспективе.
Оценка эффективности при этом проводится с учетом стратегических приоритетов, а
во множестве возможных оценочных показателей превалируют показатели,
характеризующие результативность усилий, предпринимаемых в том или ином
стратегическом направлении.
Четвертый принцип оценки эффективности связан с жизненным циклом
продукции. Здесь оценочные показатели эффективности меняются в зависимости от
того, на какой стадии жизненного цикла на данный момент находится продукция.
Методы оценки эффективности классифицируются по нескольким критериям
[13]:
. По целям:
для инвестиционных проектов;
для технико-экономического обоснования;
для внедрения новых услуг на рынке;
для внедрения новых сервисов по обслуживанию клиентов;
. По методам:
аналитические;
экономико-математические;
статистические;
нормативные;
логические;
теория очередей
. По показателям:
на основе показателя расчета эффекта (прибыль, доход,
результат);
на основе показателя расчета эффективности (рентабельность,
доходность и др.)
метод многокритериальной оптимизации;
интегральные и иные сложно-расчетные показатели.
При этом применяются различные показатели: конкурентоспособности (выбор
частных показателей, экспертный анализ), доход, исчисляемый с учетом
реализуемой продукции, затрат фирмы и цен, комплексный показатель затрат
(затраты на воспроизводство ОПФ, затраты на маркетинг, затраты на воспроизводство
оборотных фондов, затраты на воспроизводство трудовых ресурсов).
Под эффективностью розничной продажи товаров понимается прирост
результатов от отношений по обмену денег на товар в соотношении с затратами на
их достижение.
Число производимых операций при продаже товаров, их конкретное содержание
и последовательность выполнения зависят от метода продажи, ассортимента
товаров, реализуемых в магазинах и характера спроса на них [19].
Эффективность розничной продажи товаров можно выразить различными
показателями: экономическими, социальными, технико-технологическими и др.
Традиционно все анализируемые показатели для оценки эффективности
розничной продажи товаров условно подразделяются на три группы: экономические,
технико-технологические и социальные [21]. При этом оценить организацию
розничной продажи товаров можно так же с помощью мерчандайзинговых и
комплексных показателей эффективности
Надо заметить, что основным показателем, характеризующим эффективность
розничной продажи товаров является прибыль и рентабельность торгового
предприятия. Все другие показатели, оценивающие эффективность продажи товаров
различными методами, так или иначе, выходят именно на расчет прибыли.
Таким образом, чтобы представим показатели оценки эффективности розничной
продажи товаров (рис. 1.3).
Рисунок 1.3. Показатели оценки эффективности розничной продажи товаров
Проанализируем каждую группу показателей отдельно. Экономический эффект
от внедрения прогрессивных методов продажи товаров и обслуживания выражается в
увеличении пропускной способности магазина, увеличении товарооборота, улучшении
использования торговой площади и тогово-технологического оборудования, снижения
затрат, сокращения количества операций с товаром в магазине, повышения производительности
труда торговых работников и ряде других факторов [3].
Обобщающий коэффициент культуры обслуживания определяется по формуле:
/ 2, (1.1)
В зависимости от обобщающего коэффициента деятельность магазина по организации
торгового обслуживания оценивается по следующим категориям:
магазины с высоким уровнем культуры торгового обслуживания - 0,901 и
более;
со средним - от 0,701 до 0,900;
с низким - до 0,700.
Определим обобщающий коэффициент по второй методике:
КОБ =((ЗПУ × Ку) + (ЗПВ×
КВ) + (ЗИД×КД) +(ЗПО×
КО) +(ЗПЗ×ИЗ) + (ЗКТ ×КТ))×КМ,(1.2)
где КУ - коэффициент устойчивости ассортимента товаров; КВ
- коэффициент внедрения прогрессивных форм продажи товаров; КД -
коэффициент дополнительного обслуживания покупателей; КО -
коэффициент затрат времени на ожидание обслуживания; ИЗ -
коэффициент завершенности покупки; КТ - коэффициент качества труда
коллектива магазина; КМ - коэффициент культуры обслуживания, по
мнению покупателей. Значимость показателей приведена в таблице 1.1.
Таблица 1.1 Значимость показателей в общем уровне качества обслуживания
|
Показатель
|
Значимость показателя
|
Условное обозначение
|
|
А
|
1
|
2
|
|
Устойчивость ассортимента товаров
|
0,21
|
Зпу
|
|
Внедрение прогрессивных форм продажи
|
0,14
|
Зпв
|
|
Дополнительное обслуживание
|
0,08
|
Зид
|
|
Затраты времени на ожидание обслуживания
|
0,18
|
Зпо
|
|
Завершенность покупки
|
0,18
|
Зпз
|
|
Качество труда коллектива
|
0,21
|
Зкт
|
В зависимости от величины обобщающего показателя уровня обслуживания
покупателей, магазины могут быть отнесены к высокому уровню обслуживания:
продовольственные магазины - 0,80 и выше;
непродовольственные магазины - 0,70 и выше.
Количественная оценка отдельных показателей требует периодического
обследования работы магазинов менеджерами торгового предприятия. Такое
обследование рекомендуется осуществлять один раз в квартал. С учетом значимости
отдельных показателей и элементов, определяемой самим торговым предприятием
исходя из задач его развития и условий деятельности, формируется эффективности
розничной продажи в торговом предприятии [20].
Для оценки эффективности оказания дополнительных услуг, целесообразно
провести расчет коэффициента оказания услуг по формуле:
, (1.3)
где Куслуг - коэффициента дополнительных услуг,
∑Nn - сумма наличия услуг в ходе
проверок,
мах N - максимальное значение услуг.
В группу мерчандайзинговых показателей оценки эффективности розничной
продажи товаров относятся показатели, позволяющие провезти анализ
привлекательности отдела при различных вариантах его размещения [12].
Для начала необходимо проанализировать выкладку товаров по отделам в
супермаркете. Для этого используется показатели: расширенная выкладка товаров и
рентабельность выкладки [12 ].
Формула расчета расширенной выкладки:
В = Выкладка по линии пола х Количество уровней представления (1.4)
Расчет рентабельности выкладки осуществляется по формуле:
(1.5)
где Рв - рентабельность выкладки;
ЧП - чистая прибыль;
В - расширенная выкладка товаров.
К показателям оценки эффективности розничной продажи товаров относятся:
А) Коэффициент подхода к отделу (К1), показывает какая часть
посетителей зашла в отдел, определяется по формуле:
К1 = н1/Н, (1.6)
где н1 - количество покупателей, посетивших отдел за
определенное количество времени;
Н - общее количество покупателей за определенное количество времени.
Б) Коэффициент покупки (К2), показывает какая часть
посетителей совершила покупки в данном отделе, определяется по формуле:
К2= н2/Н, (1.7)
где н2 - количество покупателей, сделавших покупки в отделе; Н
- общее количество покупателей за определенное количество времени.
В) Коэффициент привлекательности (К3), указывает на
предпочтительность варианта размещения отдела, определяется по формуле:
К3 = К2/ К1, (1.8)
Надо отметить, чем ближе значение К3 к единице, тем вариант
размещения отдела считается наиболее рациональным.
Г) Так же эффективность розничной продажи товаров на предприятии можно
оценить с помощью потребительской оценки. В данной методике предлагается
выравнивание нормы потребительной стоимости (НПС), как отношение
визуально-информационной модели товарного дисплея и визуально-информационной
модели покупателя [22].
(1.9)
Сущность показателя заключается в том, что визуально-информационная
модель товарного дисплея, состоящая из ряда факторов, в идеале должна быть
близкой к визуально-информационной модели товарного дисплея покупателя, так как
именно в этом случае произойдет процесс покупки товаров.
Но для достижения успеха в бизнесе, необходимо использовать финансовые
аспекты (например, такие как лояльность клиентов, качество обслуживания
клиентов и др.). Данные показатели получили название ключевых показателей
эффективности бизнеса (KPI) [17].
Существует много KPI применяемых в розничной торговле для целей контроля
и управления организацией. Но лучшими KPI будут связанные с кадрами. Есть пять
рейтинговых (наиболее лучших) KPI применяемых на предприятиях розничной
торговли:
Количество штук за продажу (количество проданного за 1 продажу) -
определяет "продавательную" способность. Среднее количество позиций в
чеке полностью отражает успешность среды для совершения покупок. Структура
чеков может считаться удовлетворительной, если не так велика доля чеков с 1-3
позициями и с небольшой суммой.
По данным сайта специалисты выделяют следующие показатели оценки
эффективности продаж при работе с покупателями:
. Соотношение занятости кадров продажами:
, (1.10)
где Зкадров - соотношение занятости кадров продажами;
Зпкл - количество персонала занятых непосредственно работой с
клиентами;
Ч - общее количество работников.
. Соотношение продаж к посещениям, которое определяется как отношение
числа сделок (продаж) за период времени к общему числу посетителей за период
времени [17]. Данный показатель сравним с коэффициентом подхода и покупки по
отделам в магазине.
Приведенные выше ключевые показатели оценки эффективности деятельности
предприятии по продаже товаров, предложенные автором во многом схожи с ранее
рассмотренными показателями оценки эффективности методов продаж на предприятии.
При этом надо заметить, что представленные показатели довольно уникальны
и своеобразны, применение их позволит четко определить эффективность процессов
на предприятии и ответить на вопрос: что нужно сделать для повышения
рентабельности своей работы, и достичь поставленной цели. Путем грамотной
организации и технологии продажи товаров и обслуживания покупателей.
Таким образом, применяя приведенные выше методики оценки эффективности
розничной продажи товаров, позволяют выявить и принять во внимание
отрицательные стороны в деятельности предприятия, впоследствии совершая работу
по их устранению.
Проведенный анализ теоретического материала по данной тематике позволяет
сделать вывод о том, что розничная продажа представляет собой отношения по
поводу обмена денег на товар и услуги, взаимовыгодный для участвующих в нем
сторон. Покупатель при данном обмене стремится приобрести необходимый ему товар
(услугу), а продавец, стремиться получить прибыль [11]. Но не простую прибыль,
которая покроет все текущие издержки, а прибыль, которая позволяет ему работать
продолжительное время за счет "длинных" денег. Однако для получения
данного эффекта необходимо проведение целого комплекса операций, которые
включают в себя экономические и торгово-технологические отношения [18].
Конечным результатом и основным показателем оценки эффективности проведенных
операций и будет являться завершающий этап - продажа товаров, которая имеет
различные формы и методы. Операции, проводимые на данном этапе, являются
наиболее ответственными, так как они связаны с непосредственным обслуживанием
покупателей [19].
При этом надо заметить, что розничная продажа товаров не может
существовать изолировано без системы обслуживания покупателей. Торговые
предприятия, понимая значимость взаимозависимости розничной продажи и
обслуживания покупателей, адаптируют процесс розничных продаж к потребностям
покупателей - в зависимости от предлагаемых товаров и типов решений о покупке.
При этом, принимая во внимание мотивы покупателей и их участие в процессе
принятия закупочных решений [45].
Оптимизация технологических процессов непосредственного обслуживания
покупателей в магазине находит выражение в достижении поставленных предприятием
задач по достижению определенной экономической и социальной эффективности.
Таким образом, можно сделать следующие выводы. Усложнение экономических
процессов и возрастание конкуренции в отрасли торговли предопределяют
повышенный интерес к проблемам разработки и внедрения научно обоснованных
методов оценки эффективности продаж. В связи с наметившимися тенденциями в
развитии, особую актуальность представляет исследование процесса оценки
эффективности продаж, повышающего конкурентоспособность и рентабельность
деятельности торговых предприятия и позволяющего более полно удовлетворять
потребности потребителей.
2. Анализ и
оценка эффективности продаж отдельных видов товаров в ООО "Лабиринт"
2.1
Организационно-экономическая характеристика ООО "Лабиринт"
Объектом исследования явилось предприятие ООО "Лабиринт".
Юридический адрес предприятия: г.Магнитогорск, ул.Советская 23а.
ИНН 7451241509, ОГРН 1067451085602.
Генеральный директор ООО "Лабиринт" - Шаблин Вадим Барисович.
Организационно - правовая форма предприятия: Общество с Ограниченной ООО
"Лабиринт", учреждено на основании действующего законодательства
Российской Федерации в соответствии с Учредительным Договором участников фирмы.
Срок деятельности Общества не ограничен. Деятельность Общества
прекращается по решению общего собрания участников Общества, либо по
основаниям, предусмотренным действующим законодательством Российского
законодательства. Общие положения:
Общество является коммерческой организацией, обладает обособленным
имуществом, имеет самостоятельный баланс, расчетный, валютный и другие счета на
территории РФ и за ее приделами, может от своего имени приобретать и
осуществлять имущественный и личные неимущественные права, нести обязанности,
быть истцом и ответчиком в суде.
Полное наименование Общества: Общество с ограниченной ответственностью
"Лабиринт".
Предприятие действует на основании таких нормативных документов, как:
свидетельство о постановке на учет в Налоговом органе юридического лица;
свидетельство о внесении записи в единый государственный реестр
юридических лиц;
свидетельство о постановке на учет в налоговом органе в качестве
налогоплательщика налога НДС;
свидетельство о постановке на учет в ЕГРПО (комитет статистики).
Основной целью деятельности ООО "Лабиринт" является получение
прибыли, достигается это путем продаж продуктов и товаров народного потребления
через свою торговую сеть, и производства части товаров распространяемых только
через эту сеть, основной деятельностью магазина является получение прибыли
путем продаж продуктов питания и товаров народного потребления.
ООО "Лабиринт" - формат дискаунтер, проводит гибкую ценовую
политику, предоставляя дополнительные скидки. Его ценовая политика направлена
мало защищенные слои населения. Ассортимент продукции не широк, но имеет
практически все наименования товаров. ООО "Лабиринт" постоянно
обновляет ассортимент, замещая один товар другим, предлагая новинки и размещая
товар таким образом, чтобы покупатель тратил минимум своего времени.
Оформление всех универсамов решено в едином фирменном стиле. Регулярно в
магазинах ООО "Лабиринт" проводятся розыгрыши ценных призов.
Большинство магазинов сети работает с 9-00 до 22-05 и обеспечивает
микрорайоны необходим набором товаров; предлагает к продаже продукты и товары
народного потребления, в частности, бытовую химию, одежду и технику. Магазины
входят в торговую сеть, все магазины сети, оформлены в едином формате, создавая
у свои постоянных клиентов стойкую ассоциацию "определенный набор товаров
- в определенном магазине", формируя у покупателя желание вернуться. Набор
товаров постоянно обновляется. Ассортимент универсама достаточно широкий и
глубокий. Но не по всем маркам, которые есть на рынке, а по тем, которые соответствуют
позиционированию торгового предприятия как продавца качественной продукции.
Предприятие заинтересовано в таких марка к которым производитель прикладывает
усилия по продвижению своей марки и поддерживает товарное обслуживание. Также
сформирована собственная торговая марка. Собственная Торговая Марка (СТМ) или
Private Label (PL) - это торговая марка, владельцем которой является розничная
сеть. Создавая частные марки, ТС ООО "Лабиринт" получает больший
контроль над производством, качеством товара, ценообразованием и
распределением.
Товары под собственными торговыми марками всегда значительно дешевле
своих аналогов. Низкие затраты на рекламу и маркетинг, за счет более
эффективного продвижения товара на месте продаж, значительно снижают
себестоимость товара. Отсюда - более низкая цена на продукты СТМ по сравнению с
аналогичными товарами других торговых марок.
ООО "Лабиринт" создает товары Собственных Торговых Марок
специально для покупателей, облегчая выбор в каждой товарной категории.
Благодаря знанию своей аудитории, компания более гибко реагирует на запросы
потребителей, обеспечивая стабильное качество при низкой цене.
Основные принципы СТМ ООО "Лабиринт":
) СТМ - это лучшее соотношение цена/качество.
) Цена на продукты СТМ значительно ниже (за счет сокращения затрат на
рекламу и маркетинг), чем на продукты конкурентов.
) Помимо цены, у товаров СТМ должны быть свои преимущества: рецептура,
качество продукта и упаковки.
) Товары СТМ всегда в наличии.
) Контроль качества товаров Собственной Торговой Марки производится на
регулярной основе.
) Производитель СТМ должен быть технологическим лидером и иметь свою
лабораторию. Рассмотрим основные показатели деятельности предприятия (таблица
2.1)
Таблица 2.1 Динамика основных показателей деятельности ООО "Лабиринт"
за 2011-2013 годы
|
Показатели
|
Годы
|
Отклонения, тыс.руб руб. (+, -)
|
Отклонения, %
|
|
2011
|
2012
|
2013
|
2012 к 2011
|
2013 к 2012
|
2012 к 2011
|
2013 к 2012
|
|
Выручка, тыс. руб.
|
10923,52
|
9289,50
|
14175,94
|
- 1634,02
|
4886,44
|
-14,96
|
52,6
|
|
Себестоимость продаж
|
10272,7
|
8700,35
|
12245,17
|
-1572,35
|
3544,82
|
-15,31
|
40,75
|
|
Среднегодовая стоимость ОС, тыс. руб.
|
11155
|
13964
|
17448
|
2809
|
3484
|
25,19
|
24,95
|
|
Среднегодовая численность рабочих работающих, чел.
|
27
|
27
|
28
|
-
|
1
|
-
|
3,7
|
|
Производительность труда, тыс. руб.
|
404,57
|
344,05
|
506,28
|
-60,52
|
162,23
|
47,16
|
|
Фондоотдача, руб/руб
|
0,98
|
0,67
|
0,82
|
-0,31
|
0,15
|
-31,64
|
18,3
|
|
Фондоемкость, руб/руб
|
1,03
|
1,51
|
1,23
|
0,48
|
-0,28
|
46,61
|
-18,55
|
|
Фондовооруженность труда, тыс. руб/чел
|
413,15
|
517,18
|
632,15
|
104,03
|
114,97
|
25,18
|
22,23
|
|
Прибыль от продаж
|
650,82
|
589,15
|
1930,77
|
-61,67
|
1341,62
|
-9,47
|
227,73
|
|
Чистая прибыль (убыток), тыс. руб
|
115,2
|
130,56
|
164,50
|
15,36
|
33,94
|
113,3
|
125,99
|
|
Рентабельность продаж, %
|
5,96
|
6,35
|
13,62
|
0,39
|
7,27
|
6,54
|
114,49
|
|
Рентабельность ОС, %
|
5,83
|
4,22
|
11,07
|
-1,61
|
6,85
|
-27,62
|
162,33
|
По данным анализа таблицы 2.1 можно сказать, что увеличение всех
показателей наблюдается только в 2013 году. Так, рост выручки по сравнению с
предыдущим годом составил 52,6 %, чистой прибыли - 122,52%. Кроме того,
значительный рост показателей можно наблюдать по строке "Рентабельность
продаж" (114,49%) и "Рентабельность ОС" (162,33%). Согласно
рассчитанным показателям, самым отрицательным с точки зрения получения прибыли
был 2012 год, так как именно в этом году наблюдаются самые низкие показатели по
строке "Выручка" - 9289,5 тыс. руб., "Прибыль от продаж" -
589,15 тыс. руб.
Рентабельность продаж показывает, сколько прибыли от продаж приходится на
единицу реализованных товаров. Рост данного показателя является следствием
роста цен при постоянных затратах на реализацию товаров или снижения затрат при
постоянных ценах. В 2013 году данный показатель также возрос и составил 13,62%.
Таким образом, мы можем отметить, что в течение трех анализируемых лет
предприятие работало нестабильно: в 2012 году объемы снижались, тогда как в
2013 году прибыль предприятия выросла на 122,52 % и составила 164,5 тыс. руб.
по сравнению с 2012 годом. Снижение в 2012 году произошло из-за закрытия двух
магазинов компании.
Анализ ликвидности баланса представлен в таблице 2. Она составлена из
данных сравнительного аналитического баланса по группам актива и пассива.
Сопоставление групп по активу и пассиву имеет следующий вид:
А1
П1;
А2
П2;
А3
П3;
А4
П4
Следовательно, ликвидность баланса является недостаточной. Из первого
неравенства видно, что предприятие не в состоянии будет рассчитываться по своим
наиболее срочным обязательствам с помощью наиболее ликвидных активов.
Таблица 2.1 Показатели ликвидности баланса ООО "Лабиринт" за
2011-2013 годы, тыс. руб.
|
Актив
|
2011
|
2012
|
2013
|
Пассив
|
2011
|
2012
|
2013
|
Платежный излишек или недостаток
|
|
|
|
|
|
|
|
|
2011
|
2012
|
2013
|
|
А1- наиболее ликвидные активы
|
6244
|
13712
|
1006
|
П1 - наиболее срочные обязательства
|
1995,15
|
31803,10
|
15249,88
|
-11327,1
|
-30431,9
|
-15239,82
|
|
А2 - быстрореализуемые активы
|
99830
|
59707
|
28035,19
|
П2 - кратсокроч-ные пассивы
|
-
|
-
|
-
|
99830
|
59707,4
|
28035,19
|
|
А3 - медленнореализуемые активы
|
13262
|
57080
|
7839,02
|
П3 - долгосрочные пассивы
|
-
|
-
|
-
|
13262
|
57080
|
78390,2
|
|
А4- труднореализуемые активы
|
1199
|
41650
|
29440,22
|
П4 - постоянные пассивы
|
1020
|
45148,47
|
50074,61
|
-179
|
34983,5
|
20634,39
|
Из второго неравенства можно сделать вывод, что прослеживается тенденция
к увеличению текущей ликвидности в недалеком будущем. Так как быстрореализуемые
активы имеют тенденцию к росту, а краткосрочные пассивы отсутствуют.
Третье неравенство показывает, что в дальнейшем будущем перспективная
ликвидность имеет тенденцию к увеличению.
Четвертое неравенство показывает, что в относительно отдаленном будущем
увеличиваются постоянные (устойчивые) пассивы. Что говорит об освобождении
предприятия от кредиторов и функционирование за счет собственных средств.
Сопоставление ликвидных средств и обязательств позволяет вычислить показатели
текущей и перспективной ликвидности (таблица 2.3)
Таблица 2.3 Показатели текущей и перспективной ликвидности ООО
"Лабиринт" за 2011-2013 годы
|
Показатели
|
2011
|
2012
|
2013
|
|
Текущая ликвидность
|
-13441
|
292755
|
1279537
|
|
Перспективная ликвидность
|
13262
|
57080
|
783902
|
Характеризуя ликвидность предприятия, следует отметить, что к концу
анализируемого периода наблюдается тенденция к уменьшению наиболее ликвидных
активов. Но, несмотря на данный фактор, текущая ликвидность имеет положительный
знак и имеет тенденцию к увеличению.
У предприятия отсутствуют долгосрочные и краткосрочные пассивы. Трудно
реализуемые активы в 2011 году покрывают постоянные пассивы и, поэтому,
отрицательное значение текущей ликвидности свидетельствует о
неплатежеспособности предприятия в данный период времени. С 2012 года значение
перспективной ликвидности имеет положительный знак, и как положительный момент
имеет тенденцию к увеличению. Это говорит о том, что в перспективе
платежеспособность предприятия восстановлена.
Таким образом, в нашем случае не выполняется первое неравенство. При этом
недостаток по данному неравенству компенсируется избытком по другой группе в
стоимостной оценке.
Данный анализ балансовой ликвидности будет неполным, если его не
дополнить расчетом коэффициентов, характеризующих платежеспособность,
представленных в таблице 2.4.
Таблица 2.4 Коэффициенты, характеризующие платежеспособность ООО
"Лабиринт"
|
Коэффициенты платежеспособности
|
2011
|
2012
|
2013
|
Отклонения
|
|
|
|
|
2012 к 2011
|
2013 к 2012
|
|
1.Общий показатель платежеспособности
|
0,50
|
1,00
|
1,10
|
0,50
|
0,10
|
|
2.Коэффициент абсолютной ликвидности
|
0,05
|
0,04
|
0,0007
|
-0,01
|
-0,04
|
|
3.Коэффициент "критической оценки"
|
0,90
|
1,90
|
1,80
|
1,00
|
-0,10
|
|
4.Коэффициент текущей ликвидности
|
1,00
|
2,10
|
2,40
|
1,10
|
0,30
|
|
5.Коэффициент маневренности функционирующего капитала
|
-74,10
|
0,20
|
0,40
|
74,30
|
0,20
|
|
6. Доля оборотных средств в активах
|
1,00
|
0,10
|
0,50
|
-0,90
|
0,40
|
|
7.Коэффициент обеспеченности собственными средствами
|
-0,02
|
0,50
|
0,60
|
0,50
|
0,10
|
На основе данных таблицы 2.4 можно сделать следующее заключение. Общий
показатель ликвидности в 2011 году составляет 0,5 и имеет тенденцию к
увеличению. Коэффициент абсолютной ликвидности имеет тенденцию к снижению за
счет уменьшения наиболее ликвидных активов. Коэффициент критической точки имеет
значение выше оптимального, хотя за период с 2012 по 2013 год незначительно
снижается. Коэффициент текущей ликвидности к концу анализируемого периода имеет
значение выше оптимального и тяготеет к увеличению. Коэффициент маневренности
функционирующего капитала имеет тенденцию к увеличению за счет увеличения
долгосрочной дебиторской задолженности, а также товарных запасов. Доля
оборотных средств в активах имеет оптимальное значение на конец анализируемого
периода и составляет 0,5, что вполне удовлетворяет требованиям. Коэффициент
обеспеченности собственными средствами имеет тенденцию к увеличению и на конец
анализируемого периода составляет 0,6. Это говорит о том, что предприятие имеет
в достаточном количестве собственные оборотные средства, необходимые для его
финансовой устойчивости.
2.2 Анализ
объемов, структуры и динамики продаж
Экономическая эффективность управления производственно-хозяйственной
деятельности предприятия определяется его финансовым результатом: чем выше этот
результат, тем эффективнее сама производственно-хозяйственная деятельность. На
формирование финансового результата оказывает влияние ряд показателей, среди
которых одно из основных мест занимает оборот розничной торговли.
Произведем анализ динамики оборота розничной торговли ООО
"Лабиринт" за 2011-2013 годы.
Таблица 2.5 Динамика оборота розничной торговли ООО "Лабиринт"
за 2011-2013 годы
|
Показатели
|
Годы
|
Отклонение (+,-)
|
Отклонение, %
|
|
2011
|
2012
|
2013
|
|
|
|
|
|
|
2012 к 2011
|
2013 к 2012
|
2012 к 2011
|
2013к 2012
|
|
1
|
2
|
3
|
4
|
5
|
6
|
7
|
8
|
|
Оборот розничной торговли в действующих ценах, тыс. руб.
|
10923,5
|
9289,5
|
14175,94
|
-1634,02
|
4886,44
|
-14,96
|
52,6
|
|
Оборот розничной торговли в сопоставимых ценах, тыс. руб.
|
10923,5
|
8538,14
|
13029,36
|
-2385,36
|
4491,22
|
-21,84
|
52,61
|
|
Индекс цен
|
-
|
1,088
|
1,088
|
|
|
|
|
|
Себестоимость, тыс. руб.
|
10175,77
|
8700,35
|
12245,17
|
-1475,42
|
3544,82
|
-14,5
|
40,75
|
|
в % к обороту розничной торговли
|
93,16
|
93,66
|
86,38
|
0,5
|
-7,28
|
0,54
|
-7,77
|
|
Товарные запасы, %
|
37,54
|
47,12
|
78,39
|
9,58
|
31,27
|
25,52
|
66,36
|
|
Товарные запасы в днях, дни
|
290,98
|
197,14
|
180,83
|
-93,84
|
- 16,30
|
67,7
|
91,72
|
|
Валовая прибыль, тыс. руб.
|
747,75
|
589,15
|
1930,77
|
-158,6
|
1341,62
|
-21,21
|
227,73
|
|
Рентабельность, %
|
6,8
|
6,35
|
13,62
|
- 4,5
|
7,27
|
-6,62
|
114,49
|
Финансовые результаты деятельности предприятия характеризуются суммой
полученной прибыли и уровнем рентабельности. Основным источником информации при
анализе финансовых результатов служит форма 2 "Отчет о прибылях и
убытках".
В процессе анализа хозяйственной деятельности используются следующие
показатели прибыли: валовая прибыль, прибыль от продаж, прибыль от прочей
реализации, финансовые результаты от внереализационных операций,
налогооблагаемая прибыль, чистая прибыль.
По данным анализа таблицы 2.5 можно сказать, что увеличение всех
показателей наблюдается только в 2013 году. Так, рост оборота розничной
торговли в действующих ценах по сравнению с предыдущим годом составил 52,6 %, в
сопоставимых - 52,61 %. Это вызвано тем, что величина индекса цен за
анализируемый период не изменялась.
Однако вместе с ростом оборота розничной торговли увеличивается и
себестоимость товаров, а также и расходы на реализацию товаров. В абсолютных
показателях их рост составил 3544,82 тыс. руб. на конец 2013 года по сравнению
с 2012 годом.
Товарные запасы на конец 2013 года увеличились на 66,36% по сравнению с
2012 годом, тогда как в 2012 году - только на 25,52% по сравнению с 2011 годом.
Это связано с увеличением помещений для хранения товаров на предприятии.
Товарные запасы в днях постепенно сокращаются. Данные показатели указывают на
увеличение оборачиваемости товаров в ООО"Лабиринт".
На фоне этого мы наблюдаем также рост прибыли, к концу 2013 года она
увеличилась на 1341,62 тыс. руб. по сравнению с 2012 годом, на конец которого,
наоборот, наблюдалось снижение прибыли на 158,6 тыс. руб. по сравнению с 2011
годом. Как следствие, рост рентабельности: по сравнению с 2011 годом, когда
этот показатель составлял 6,8%, в конце 2013 года данный показатель составил
13,62 %.
Анализ данных показывает, что в целом по предприятию произошло увеличение
объема оборота и ускорение оборачиваемости, как следствие положительной
коммерческой работы предприятия, связанной с удовлетворением потребительского
спроса. Вместе с тем, увеличение средних запасов произошло за счет превышающих
темпов роста оборота розничной торговли. Оборот обеспечен за счет превышения
фактического объема поступления товара над плановым показателем. В связи с тем,
что темпы роста оборота и поступления товара практически пропорциональны друг
другу, ООО "Лабиринт"рационально формирует ассортиментную политику,
учитывая спрос потребителей на товары, требования к качеству, упаковке,
оказание дополнительных услуг. Это свидетельствует о высокой степени
удовлетворения покупательского спроса на товары, реализуемые в ООО
"Лабиринт". Бесперебойная продажа товаров обеспечивается наличием
нормального запаса товаров, который образуется за счет незначительного
повышения темпов роста поступления над темпами роста оборота розничной
торговли. Предприятие формирует необходимый объем товарных запасов, стремится заблаговременно
учесть конъюнктуру рынка. Это позволяет ему более полно ориентироваться на
покупательский спрос и удовлетворять его.
Темпы роста физического объема оборота розничной торговли (количества
товаров) невысокие, но тенденция намечается положительная.
По данным этих расчетов можно сказать, что свыше 90% прироста оборота
розничной торговли получено за счет роста цен. Рассмотрим факторы, повлиявшие
на изменение оборота, издержек предприятия. Проанализируем товарные запасы к
обороту розничной торговли в руб. (в процентах):
За счет сокращения товарных запасов в днях происходит увеличение оборота
розничной торговли предприятия.
Проанализируем товарные запасы к себестоимости товара:
За счет сокращения товарных запасов в днях происходит снижение издержек
предприятия.
Рассмотрим структуру оборота розничной торговли в ООО
"Лабиринт" по кварталам за 2011-2013 годы (таблица 2.6).
Таблица 2.6 Оборот розничной торговли в ООО "Лабиринт" по
кварталам за 2011-2013 годы
|
Кварталы
|
2011год
|
2012 год
|
2013 год
|
Отклонение 2013 к 2011
|
|
сумма, тыс. руб
|
удель-ый вес, %
|
сумма, тыс. руб.
|
удельный вес, %
|
сумма, тыс. руб.
|
удель-ый вес, %
|
+, -
|
%
|
|
1
|
2821,3
|
25,82
|
1643,2
|
17,68
|
2521,6
|
17,78
|
-299,7
|
-8,04
|
|
2
|
2843,1
|
26,02
|
2743,1
|
29,52
|
3512,1
|
24,77
|
669
|
-1,25
|
|
3
|
2213,0
|
20,25
|
2943,0
|
31,68
|
3851,2
|
27,17
|
1638,2
|
6,92
|
|
4
|
3046,1
|
27,88
|
1960,2
|
21,10
|
30,27
|
1245
|
2,39
|
|
Всего за год
|
10923,5
|
100,0
|
9289,5
|
100,0
|
14176,0
|
100
|
3252,5
|
-
|
Мы можем видеть, что по кварталам оборот розничной торговли предприятия
распределялся неравномерно. Наибольший удельный вес в годовом обороте розничной
торговли в 2011 и 2013 годах занимает оборот четвертого квартала - свыше 27,0%,
а наименьший удельный вес в годовом обороте 2011 года приходится на третий
квартал - 20,25%, а в 2013году - на первый квартал - 17,78 %.
На развитие оборота розничной торговли ООО "Лабиринт" оказали
следующие факторы: обеспеченность трудовыми ресурсами и эффективность труда
торговых работников; состояние и эффективность использования материальны
технической базы предприятия.
Согласно данным таблицы, произведем расчет коэффициентов ритмичности и
сезонности.
) Рассчитаем средний квартальный объем оборота розничной торговли за
каждый год:
тыс. руб.
тыс. руб.
тыс. руб.
2) Рассчитаем среднеквадратическое отклонение от среднего объема оборота
розничной торговли:
а) в 2011 году

3) Рассчитаем коэффициент ритмичности по кварталам
Критм1 кв = 100-1,65 = 98,35
Критм2 кв = 100-2,05 = 97,95
Критм3 кв = 100-9,48 = 90,52
Критм1 кв = 100-5,77 = 94,23
Средний коэффициент ритмичности за 2011 год:
Кср= (98,35+97,25+90,52+94,23) / 4 = 95,26
б) в 2012 году

3) Рассчитаем коэффициент ритмичности по кварталам
Критм1 кв = 100-14,62 = 85,38
Критм2 кв = 100-9,06 = 90,94
Критм3 кв = 100-13,36 = 86,64
Критм1 кв = 100-7,79 = 92,21
Средний коэффициент ритмичности за 2012 год:
Кср = (85,38+90,94+86,64+92,21) / 4 = 88,79
в) в 2013 году

3) Рассчитаем коэффициент ритмичности по кварталам
Критм1 кв = 100-14,42 = 85,58
Критм2 кв = 100-5,94 = 94,06
Критм3 кв = 100-8,76 = 91,24
Критм1 кв = 100-5,11 = 94,89
Средний коэффициент ритмичности за 2013 год:
Кср= (85,58+94,06+91,24+94,89) / 4 = 91,44
Итак, можно сказать следующее. В 2011 году коэффициент ритмичности
составлял 95,26 пунктов, в 2012 - произошло его снижение до 88,79 пунктов или
на 6,8%, а в 2013 году данный коэффициент снова возрос и составил 91,44 пункта.
Соответственно, повышение ритмичности деятельности предприятия в 2013 году
свидетельствует о благоприятных тенденциях в деятельности предприятия.
Рассчитаем коэффициент сезонности.
а) в 2011 году
Ксез1= 2821,3 / 2730,88 = 1,03
Ксез2 = 2843,1 / 2730,88 = 1,04
Ксез3= 2213 / 2730,88 =0,81
Ксез4= 3046,1 / 2730,88 =1,12
б) в 2012 году
Ксез1 = 1643,2 / 2322,38 = 0,71
Ксез2 = 2743,1 / 2322,38 = 1,18
Ксез3 = 2943 / 2322,38 =1,27
Ксез4 = 1960,2 / 2322,38 =0,84
в) в 2013 году
Ксез1 = 2521,6 / 3544 = 0,71
Ксез2 = 3512,1 / 3544= 0,99
Ксез3 = 3851,2/ 3544=1,09
Ксез4= 4291,1 / 3544=1,21
Можно отметить, что коэффициенты сезонности в течение трех анализируемых
лет имеют значительное отклонение. так, если в 1 квартале 2011 года данный
коэффициент равен 1,23, то в последующие года от, соответственно, равен 0,71 и
0,71. Это говорит о том, что продукция предприятия в первый квартал года не
пользуется значительным спросом. В втором квартале 2011 года коэффициент
сезонности составлял 1,04, а в 2012 и 2013 годах - 1,18 и 0,99. Соответственно,
с течением времени во втором квартале периода также наблюдается постепенное
снижение спроса на товар. В третьем квартале 2011 года рассчитанный коэффициент
составил 0,81, а в 2012 и 2013 годах - 1,27 и 1,09, таким образом, повышение
спроса налицо. И в четвертом квартале 2011 года показатель равен 1,12, в свою
очередь, в 2012 и 2013 годах - 0,84 и 0,91, что говорит о том, что предпочтения
покупателей к концу года уменьшаются.
Главный фактор успешного развития оборота розничной торговли -
обеспеченность и рациональность использования товарных ресурсов.
Данные о движении товарных ресурсов ООО "Лабиринт" приведены в
следующей таблице 2.7:
Таблица 2.7 Товарный баланс по сети ООО "Лабиринт" за 2011-2013
г.г.
|
Показатели
|
2011
|
2012
|
2013
|
Отклонение в сумме (+,-), т.р.
|
Отклонение, %
|
|
|
|
|
2012 к 2011
|
2013 к 2012
|
2012 к 2011
|
2013к 2012
|
|
Запасы товаров на начало года, тыс. руб.
|
14377
|
212,0
|
24441
|
-14165
|
24229
|
-98,52
|
11429
|
|
Поступление товаров, т. руб.
|
-
|
33650,1
|
629925,2
|
33650,1
|
596275,1
|
-
|
596275,2
|
|
Выбытие товаров, т. руб.
|
14165
|
9421,1
|
14280,2
|
-4743,9
|
4859,1
|
-33,5
|
51,57
|
|
Запасы товаров на конец года, т. руб.
|
212,0
|
24441
|
640086
|
24229
|
615645
|
В 115,28 раз
|
В 26,19 раза
|
|
Оборот розничной торговли, тыс. руб.
|
10923,52
|
9289,50
|
14175,94
|
-1634,02
|
4886,44
|
-14,96
|
52,60
|
По итогам анализа таблицы 2.7 можно сказать следующее. Запасы товаров
предприятия возросли в 2013 году по сравнению с 2012 годом в 115,28 раза, рост
поступления товаров увеличился в 17,23 раза, а выбытие товаров составило 112,95
%. Значительное увеличение данных показателей произошло из-за пополнения
запасов на фоне роста цен поставщиков. Соответственно, возросли запасы товаров
и их выбытие.
Недостатком использования поступающих в предприятие товарных ресурсов
является их неполное вовлечение в оборот розничной торговли, что явилось
следствием завоза товаров, имеющих высокую цену, что снижало спрос покупателей
на них, нарушением ритмичности отгрузки товаров поставщиками, связанными
договорными обязательствами.
Часть товаров, поступивших в магазин в излишнем количестве в конце года,
осело на остатках товаров, что может привести к замедлению оборачиваемости
оборотных средств, вложенных в товарные запасы, и возникновению потерь.
Руководству предприятия, в связи с увеличением объема реализации, необходимо
расширить поиски партнеров, которые могли бы предоставить более низкие цены на
продукцию и более выгодные условия поставки.
Одним из факторов успешного развития оборота розничной торговли является
обеспеченность трудовыми ресурсами и эффективность труда торговых работников.
Оценку показателей по труду в ООО "Лабиринт" произведем на
основе таблицы 2.8.
Как видно из таблицы, среднегодовая выработка одного работника в
действующих ценах на конец 2013 года составила 506,28 тыс. руб. и по сравнению
с 2012 годом возросла на 162,23 тыс. руб. или на 47,15%.
Изменение суммы оборота розничной торговли в 2013 году оказало влияние на
увеличение численности работников на одного человека или на 3,7% по сравнению с
2012 годом. Так, как за прошлые годы состав работников менялся, но общая
численность не изменялась и составляла 27 человек в 2011-2012 годах.
В современных условиях конкуренции рынок определяет
необходимый ему ассортимент, поэтому задачей предприятия является удовлетворить
спрос лучше и эффективнее, чем конкуренты. При неоптимальной структуре
ассортимента происходит снижение как потенциального, так и реального уровня
прибыли, потеря конкурентных позиций на перспективных потребительских и
товарных рынках и, как следствие этого, наблюдается снижение экономической
устойчивости предприятия. Поэтому формирование оптимального ассортимента,
способствующего оптимизации прибыли, сохранению желаемой прибыли на длительный
период времени, очень актуально для предприятий, стремящихся быть
конкурентоспособными. Характер и структура операций по продаже товаров зависят
в первую очередь от ассортимента реализуемых товаров и методов их продажи. Под,
методами продажи понимают совокупность приемов и способов реализации товаров
покупателям. В таблице 2.8 представлен ассортиментный перечень товаров по сети
ООО "Лабиринт" по годам:
Таблица 2.8 Ассортиментный перечень товаров по сети
ООО "Лабиринт", количество видов продукции
|
Наименование товара
|
2011
|
2012
|
2013
|
Отклонение (+,-)
|
|
|
|
|
2012 к 2011
|
2013 к 2012
|
|
Мясо и мясопродукты
|
25
|
30
|
45
|
5
|
15
|
|
Колбасы вареные
|
5
|
8
|
12
|
3
|
4
|
|
Колбасы копченые
|
10
|
12
|
21
|
2
|
9
|
|
Сыры твердые
|
6
|
8
|
11
|
2
|
3
|
|
Сыры плавленые
|
10
|
13
|
15
|
3
|
2
|
|
Молоко и молочная продукция
|
49
|
64
|
104
|
15
|
40
|
|
Кондитерские изделия
|
70
|
80
|
110
|
10
|
30
|
|
Чай
|
20
|
25
|
32
|
5
|
7
|
|
Кофе
|
10
|
12
|
13
|
2
|
1
|
|
Хлеб и хлебобулочные изделия
|
30
|
40
|
53
|
10
|
13
|
|
Алкогольная продукция, пиво
|
25
|
30
|
41
|
5
|
11
|
|
Соки, воды
|
28
|
34
|
39
|
6
|
5
|
|
Консервы плодоовощные
|
36
|
39
|
45
|
3
|
6
|
|
Рыба и рыбные полуфабрикаты
|
9
|
14
|
15
|
5
|
1
|
|
Овощи, фрукты
|
9
|
11
|
12
|
3
|
1
|
На основе анализа таблицы 2.8 можно отметить, что в течение трех лет на
предприятии постоянно происходил рост ассортимента продукции. Наибольший рост
произошел по товарной группе "Молоко и молочная продукция" (на 40
наименований). Наименьший рост - по группе "Кофе", "Рыба и
рыбные полуфабрикаты" и "Овощи и фрукты" (на 1 товарную
единицу).
Следовательно, администрация магазина постоянно работает над увеличением
ассортимента продукции, что является следствием привлечения в магазин покупателей.
Проведем факторный анализ прибыли ООО "Лабиринт".
Таблица 2.9 Основные показатели деятельности ООО "Лабиринт"
|
Наименование показателя
|
Код строки в форме № 2
|
За отчетный период (тыс. руб.)
|
За аналогичный период предыдущего года (тыс. руб.)
|
Отклонение +/-
|
|
Выручка (нетто) от продажи товаров, продукции, работ, услуг
(за минусом налога на добавленную стоимость, акцизов и аналогичных
обязательных платежей)
|
010
|
14175,94
|
9289,5
|
+4886,44
|
|
Себестоимость проданных товаров, продукции, работ, услуг
(покупная стоимость)
|
020
|
12245,17
|
8700,35
|
+3544,82
|
|
Коммерческие расходы (И)
|
030
|
1507
|
1034
|
+473
|
|
Прибыль (убыток) от продаж
|
050
|
1930,77
|
589,15
|
+1341,62
|
На основе приведенных данных о деятельности предприятия (таблица 2.9)
валовой доход (D), как разница
между продажной и покупной ценой реализованного товара, составит
0 = 14175,94 - 12245,17 = 1930,77 тыс. руб.
D1 = 9289,5 - 8700,35= 589,15тыс. руб.
Для анализа рентабельности продаж используют следующую смешанную
факторную модель
(2.1)
где N -- выручка; S -- себестоимость.
Степень влияния факторов на изменение рентабельности продаж можно
проследить с помощью способа цепных подстановок.
Таблица 2.10 Факторный анализ рентабельности продаж ООО "Лабиринт"
|
Факторы
|
Расчет влияния факторов на рентабельность продаж
|
Изменение рентабельности за счет факторов, %
|
|
1. Изменение объема выручки, тыс. руб.
|
(2.2) = = = 0,06 - 0,09 = - 0,003
|
- 0,3
|
|
2. Изменение валового дохода, тыс. руб.
|
(2.3) = = = 0,03 - 0,06 = -0,03
|
-0,03
|
|
3. Изменение коммерческих расходов, тыс. руб.
|
(2.4) = = = 0,06 - 0,03 = +0,03
|
+0,03
|
Таким образом, cумма
факторных отклонений даст общее изменение рентабельности за период
ΔrN+ ΔrD+ ΔrИ =r1 - r0, (2.5)
(2.6)
(2.7)
где рентабельность продаж соответственно предыдущего и отчетного
периодов.
Рентабельность продаж составит:
=
= 9,65%.
=
= -9,68%.
Проверка факторной модели: - 0,03 -0,03+0,03 = 9,65-9,68 = - 0,03%.
Таким образом, на основании проведенных расчетов, очевидно, что
рентабельность продаж в целом снизилась на 0,03% (11,7 - 14,3).
Итак, проведенный факторный анализ позволил определить влияние факторов
и, как следствие, уровень планирования и прогнозирования финансовых результатов.
Таким образом, основными резервами роста рентабельности продаж являются:
снижение себестоимости, коммерческих расходов; рост выручки от продажи, валовой
прибыли (дохода).
2.3 Анализ и
оценка эффективности продаж товаров
Проведем анализ эффективности продаж ООО "Лабиринт".
Проанализируем ассортимент товаров ООО "Лабиринт" на основе
АВС-анализа.АВС-анализ - метод, позволяющий классифицировать ресурсы фирмы по
степени их важности. В его основе лежит принцип Парето 20% всех товаров дают
80% оборота. По отношению к ABC -анализу правило Парето может прозвучать так:
надежный контроль 20% позиций позволяет на 80% контролировать систему, будь то
запасы сырья и комплектующих, либо продуктовый ряд предприятия и т.п. Например,
изучая продажи предприятия, мы можем выделить группу А (это, скажем, 10%
товарных позиций, которые приносят 60% всей прибыли предприятия), группу B (20%
товарных позиций, приносящих 30% общей прибыли) и группу C (основной список
товарных позиций, составляющих 70% всей номенклатуры, но приносящих лишь 10%
прибыли предприятия). Таким образом, очевидно, что необходимо жестко
контролировать наличие в ассортименте товарных позиций класса А. По отношению к
товарным позициям класса B контроль может быть текущим, а по отношению к
позициям класса С - периодическим.
Таким образом, в ходе АВС-анализа рассматривается прибыль, доход,
приносимый тем или иным товаром; долю участия товара в товарообороте и т.д.,
тем самым формируется АВС-рейтинг товаров. АВС-анализ может производится для
всех групп товаров, для нескольких подгрупп товаров и для одной группы. Важно
рассматривать результаты АВС-анализа как одну из характеристик каждого
конкретного товара, который участвовал в обороте или находился на складе в
анализируемый период времени.
Произведем АВС-анализ ассортимента товаров по сети магазинов ООО
"Лабиринт" в 2011-2013 годах в таблице 2.11
Таблица 2.11 АВС-анализ ассортимента товаров по ООО
"Лабиринт"
|
Анализируемые показатели
|
Объемы продаж, руб
|
|
2011 год
|
2012 год
|
2013 год
|
|
В сумме, тыс. руб
|
В % к товарообороту
|
В сумме, тыс. руб.
|
В % к товарообороту
|
В сумме, тыс. руб.
|
В % к товарообороту
|
|
Объем товарооборота
|
10923,5
|
100
|
9289,5
|
100
|
14176,0
|
100
|
|
Мясо и мясопродукты
|
2174,3
|
19,90
|
1974,3
|
21,25
|
2649,11
|
18,6
|
|
Колбасы вареные
|
853,46
|
7,8
|
743,15
|
7,9
|
1370,99
|
9,6
|
|
Колбасы копченые
|
642,53
|
5,8
|
632,19
|
6,8
|
794,29
|
5,6
|
|
Сыры твердые
|
841,62
|
7,7
|
9,1
|
953,71
|
6,7
|
|
Сыры плавленые
|
211,74
|
1,9
|
198,10
|
2,1
|
233,64
|
1,6
|
|
Молоко и молочная продукция
|
1275,90
|
11,6
|
1174,11
|
12,6
|
1412,90
|
9,9
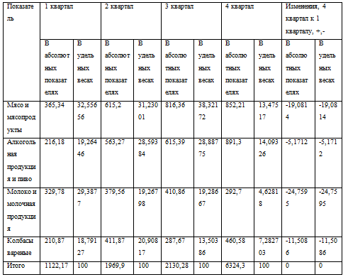
|
|
Кондитерские изделия
|
396,10
|
3,6
|
392,43
|
4,2
|
482,92
|
3,4
|
|
Чай
|
174,95
|
1,6
|
188,16
|
2,0
|
190,42
|
1,3
|
|
Кофе
|
695,11
|
6,3
|
660,38
|
7,1
|
739,64
|
5,2
|
|
Хлеб и хлебобулочные изделия
|
904,32
|
8,2
|
902,74
|
9,7
|
142,57
|
1,0
|
|
Алкогольная продукция, пиво
|
1732,83
|
15,8
|
1273,43
|
13,7
|
2286,14
|
16,12
|
|
Соки, воды
|
653,80
|
5,9
|
123,64
|
1,3
|
742,11
|
5,2
|
|
Консервы плодоовощные
|
106,15
|
0,9
|
50,74
|
0,5
|
294,19
|
2,0
|
|
Рыба и рыбные полуфабрикаты
|
130,16
|
1,1
|
67,32
|
0,7
|
290,71
|
2,0
|
|
Овощи, фрукты
|
130,53
|
1,2
|
55,52
|
5,9
|
312,64
|
2,2
|
Согласно классическому требованию АВС-анализа, распределить товар по
группам в соотношении 10 : 20: 70 процентов не представляется возможным, так
как данный магазин не является узкоспециализированным, товар закупается
небольшими партиями, и ассортимент товара достаточно широк.
Согласно данным таблицы, на конец периода к группе "А"
относятся мясо и мясопродукты (18,6%), алкогольная продукция и пиво (16,12%),
молоко и молочная продукция (9,9%, колбасы вареные (9,6 %), всего данная группа
занимает 54,33% товарооборота.
К группе В отнесем колбасы копченые (5,6%), сыры твердые (6,7%), кофе
(5,2%), соки и воды (5,2%), кондитерские изделия (3 ,4%) в целом группа
составляет 36,1 %.
К группе С относим сыры плавленые (1,6%), , хлеб (1%), консервы
плодоовощные (2%), рыба и рыбные полуфабрикаты (2%), овощи фрукты (2,2%), чай
(1,3%) в целом - 10,1 %.
Таким образом, по результатам АВС-анализа можно сказать, что предприятие
с целью увеличения прибыли должно ориентироваться в первую очередь на товары,
которые находятся в группе А, затем - на товары группы В, и в последнюю очередь
- на товары группы С.
Таблица 2.12 Поквартальный анализ продажи товаров группы А за 2013 год
С целью выявления наиболее продаваемой группы товаров проведем
поквартальный анализ продажи товаров группы А за 2013 год (таблица 2.12).
По данным таблицы можно сделать следующие выводы. Так, в течение почти
всего периода наибольшие продажи наблюдаются по мясу и мясопродуктам. В первом
квартале наибольший объем продаж приходится на мясо и мясопродукты: объем
продаж составил 365,34 тыс. руб. Менее всего было продано колбас вареных - на
210,87 тыс. руб. В структуре также наибольший объем занимает мясо и
мясопродукты - 32,56%, а колбасы вареные - 18,79%. Во 2 квартале объем продаж
мяса и мясопродуктов составил 615,2 тыс. руб. или 31,23 % от объема, менее
всего было продано молока и молочной продукции - 379,56 тыс. руб. или 119,26%
от оборота. В 3 квартале объем продаж мяса составил 816,36 тыс. руб. или 38,32%
от оборота, менее всего было продано колбас вареных - 287,67 тыс. руб. В 4
квартале мяса и мясопродуктов было продано на 852,21 тыс. руб. или 13,47% от
оборота, а лидирующую позицию по продажам занимает алкоголь и алкогольная
продукция - 891,3 тыс. руб. или 14,09% от оборота. Менее всего в 4 квартале
было продано молока и молочной продукции - на 292,7 тыс. руб. или на 4,62% от
оборота. Таким образом, мясо и мясопродукты являются практически самым
продаваемым товаром в магазине, исключение составили алкогольные напитки и пиво
только в 4 квартале, что связано с новогодними праздниками.
Рассчитаем рентабельность продаж товаров различных групп (таблица 2.13).
Таблица 2.13 Расчет показателя рентабельности продаж товаров различных
группы
|
Показатель
|
2011
|
2012
|
2013
|
Темп роста, %
|
|
|
|
|
2012 к 2011
|
2013 к 2012
|
|
Прибыль от продаж, тыс. руб.
|
650,82
|
589,15
|
1930,77
|
90,52
|
327,72
|
|
Рентабельность продаж, товарные группы
|
|
Мясо и мясопродукты
|
29,93239
|
29,84096
|
72,88372
|
99,6945
|
244,2405
|
|
Колбасы вареные
|
76,25665
|
79,2774
|
140,8303
|
103,9613
|
177,6424
|
|
Колбасы копченые
|
101,2902
|
93,19192
|
243,0812
|
92,0049
|
260,8394
|
|
Сыры твердые
|
77,32944
|
69,04452
|
202,4483
|
89,2862
|
293,2141
|
|
Сыры плавленые
|
307,3675
|
297,4003
|
826,3867
|
96,7572
|
277,8702
|
|
Молоко и молочная продукция
|
51,0087
|
50,17843
|
136,653
|
98,3723
|
272,3341
|
|
Кондитерские изделия
|
164,307
|
150,1287
|
399,8116
|
91,3708
|
266,3126
|
|
Чай
|
372,0034
|
313,1112
|
1013,953
|
84,1689
|
323,8316
|
|
Кофе
|
93,62835
|
89,21379
|
261,0419
|
95,285
|
292,6026
|
|
Хлеб и хлебобулочные изделия
|
71,96789
|
65,26242
|
1354,261
|
90,6827
|
2075,101
|
|
Алкогольная продукция, пиво
|
37,55821
|
46,26481
|
84,45546
|
123,1816
|
182,5479
|
|
Соки, воды
|
99,5442
|
476,5044
|
260,173
|
478,6863
|
54,6003
|
|
Консервы плодоовощные
|
613,1135
|
1161,115
|
656,3004
|
189,3801
|
56,5233
|
|
Рыба и рыбные полуфабрикаты
|
500,0154
|
875,1485
|
664,1567
|
175,0243
|
75,8907
|
|
Овощи, фрукты
|
498,598
|
1061,149
|
617,5697
|
212,8266
|
58,1982
|
Анализ показателей рентабельности показывает, что в 2011 году наибольшая
рентабельность отмечена по группе "Консервы плодоовощные" - она
составила 613,11 %. Группа "Мясо и мясопродукты" была наименее
рентабельной: рентабельность продаж по данной группе составила 29,93%.
В 2012 году наибольшую рентабельность продаж можно отметить по группе
товаров "Соки, воды" - 487,68%. Это связано с гибкой ценовой
политикой поставщиков и постоянно проводимыми ими акциями. Наименьшая
рентабельность отмечена по группе "Алкогольная продукция и пиво": на
данную группу товаров в магазине установлена минимальная наценка.
В 2013 году наибольшая рентабельность отмечена по группе "Рыба и
рыбные полуфабрикаты" (664,15 %), это связано со сменой поставщика данной
продукции: поставщики предложили наиболее оптимальные цены, которые позволяют
поднять рентабельность продаж данной группы. Наименьшая рентабельность отмечена
по группе "Мясо и мясопродукты" - 72,88%, это также связано с
минимальной наценкой на продукцию. Таким образом, можно сказать, что по результатам
анализа отмечено следующее: рентабельность продажи то или иной группы товара
зависит от ценовой политики поставщика, в случае применения им гибкой ценовой
политики ООО "Лабиринт" может устанавливать наценку, позволяющую
увеличить рентабельность продаж.
Для определения уровня эффективности продаж необходимо рассчитать
основные показатели экономической эффективности ООО "Лабиринт",
приведенные в таблице 2.14
Таблица 2.14 Показатели эффективности коммерческой деятельности ООО
"Лабиринт" за 2011-2013 годы
|
Показатели
|
2011 год
|
2012 год
|
2013 год
|
Абсолютные отклонения, тыс.руб. (+,-)
|
Темпы роста, %
|
|
|
|
|
2012 к 2011
|
2013 к 2012
|
2012 к 2011
|
2013 к 2012
|
|
Общие показатели
|
|
Производительность труда, тыс. руб.
|
51,87
|
100,91
|
277,74
|
49,04
|
176,83
|
В 1,94 раза
|
В 2,75 раза
|
|
Фондоотдача,%
|
1,18
|
2,38
|
5,92
|
1,2
|
3,54
|
В 2 раза
|
В 2,48 раза
|
|
Оборачиваемость средств в расчетах,об
|
6,14
|
9,84
|
21,65
|
3,7
|
11,81
|
В 1,6 раза
|
В 2,2 раза
|
|
Рентабельность продукции (Rпр),%
|
0,97
|
1,19
|
0,76
|
0,22
|
-0,43
|
В 1,22 раза
|
63,8
|
|
Рентабельность основной деятельности,%
|
4,48
|
5,65
|
3,82
|
1,17
|
-1,83
|
В 1,26 раза
|
67,61
|
|
Рентабельность совокупного капитала,%
|
-6,42
|
3,92
|
7,26
|
10,34
|
3,34
|
В 2,56 раза
|
В 1,85 раза
|
|
Рентабельность собственного капитала,%
|
-0,59
|
0,56
|
0,88
|
1,15
|
0,32
|
в 2,08 раза
|
В 1,57 раза
|
|
Срок окупаемости,дни
|
-166,74
|
177,77
|
113,60
|
344,51
|
-64,17
|
В 2,54 раза
|
63,92
|
|
Добавленная экономическая ценность (EVA), тыс.руб.
|
- 68443
|
-97465
|
-11830
|
-29022
|
-85635
|
В 1,42
|
12,13
|
|
Возмещение стоимости капитала,%
|
-0,013
|
0,06
|
0,09
|
0,073
|
0,03
|
В 3,7 раза
|
В 1,5 раза
|
|
Частные показатели
|
|
Рентабельность i-го товара,%
|
106,12
|
107,7
|
106,42
|
1,58
|
-1,28
|
В 1,01 раза
|
98,81
|
|
Экономический эффект, полученный от реализации коммерческих
бизнес-процессов ,тыс.руб.
|
201,7
|
385,3
|
530,25
|
183,6
|
144,95
|
В 1,91 раза
|
В 1,37
|
|
Индивидуальные показатели
|
|
Производительность труда участников коммерческого процесса,
тыс. руб.
|
1348,76
|
2414,85
|
6745,14
|
1066,09
|
4330,29
|
В 1,79 раза
|
В 2,79 раза
|
|
Эффективность деятельности менеджера по продажам, тыс.руб.
|
10,11
|
18,76
|
34,78
|
8,65
|
16,02
|
В 1,85 раза
|
В 1,85 раза
|
|
Эффективность деятельности коммерческого директора,
тыс.руб.
|
7,4
|
8,3
|
8,4
|
0,9
|
0,1
|
В 1,12 раза
|
В 1,01 раза
|
Рассчитанные показатели отражают деловую активность ООО
"Лабиринт" в целом (производительность труда, фондоотдача,
оборачиваемость средств в расчетах), рентабельность (прибыльность) и
экономическую эффективность коммерческой деятельности.
Производительность труда за анализируемый период растет: так, в 2012 году
рост произошел в 1,94 раза, а в 2013 - в 2,75 раза. Фондоотдача также выросла в
2012 году в 2 раза, а в 2013 году - в 2,48 раза. Соответственно, и трудовые
ресурсы, и основные фонды на предприятии используются эффективно.
Оборачиваемость средств в расчетах также растет: на конец периода рост составил
1,6 раза, на конец 2013 года - 2,2 раза. Следовательно, организация в наконец
периода стала более тщательно планировать свои денежные средства.
Однако показатели рентабельности имеют на конец периода тенденцию к
снижению. Так, рентабельность продукции на конец 2013 года составила 63,8%, рентабельность
основной деятельности - 67,61%. Данный фактор достаточно негативный, так как он
в значительной степени влияет на прибыльность предприятия.
Рентабельность собственного и совокупного капитала в течение периода
выросла , соответственно, в 1,85 раза и в 1,57 раза. Следовательно, предприятие
достаточно грамотно распоряжается своими средствами.
Срок окупаемости к концу периода снизился: его показатель на конец
периода составляет 63,92%.
Проанализируем частные показатели, характеризующие эффективность продаж.
Так, рентабельность i-го товара в 2012
году увеличивается в 1,01 раза, а в 2013 году снижается до 98,81%. Это говорит
о том, что предприятию необходимо пересмотреть технологии производства основных
видов продукции с целью снижения затрат на их производство. Экономическая
эффективность отдельных коммерческих операций (бизнес-процессов) также в 2012
году увеличивается в 1,14 раза, а в 2013 году увеличение составляет 1,02 раза.
Данный показатель указывает на снижение активности коммерческих работников в
области сбыта товара. Необходимо повышение данной активности. Подобную
тенденцию мы наблюдаем, анализируя экономический эффект , полученный от
реализации коммерческих бизнес-процессов: здесь увеличение в 2012 году
составило 191%, тогда как в 2013 году - 137 %. Руководству предприятия
необходимо обратить внимание на процесс коммерческой работы с контрагентами с
целью увеличения эффекта продаж. Рассмотрим индивидуальные показатели,
характеризующие эффективность продаж. Так, производительность труда участников
коммерческого процесса имеет тенденцию к росту (в 1,79 раза в 2012 году и в
2,79 раза - в 207 году). Это вызвано, на наш взгляд, тем, что количество
коммерческих работников невелико (25 человек в 2011 году и 28 человек в 2012и
207 годах), именно поэтому производительность труда растет вместе с выручкой,
однако частные показатели эффективности коммерческой деятельности снижаются.
Необходимо расширить штат коммерческих работников, возложив на них обязанности
по расширению рынка сбыта.
Немаловажный интерес представляет эффективность деятельности менеджера по
продажам и эффективность деятельности коммерческого директора. Данная
деятельность оценивается по коэффициенту трудового участия руководящих
работников в получении прибыли предприятием. Эффективность оценивается по сумме
прибыли, полученной в результате организации работы по договорам, заключенным
тем или иным руководителем.
Эффективность деятельности менеджера по продажам в течение периода
неизменна: рост ее составляет 1,85 раза в 206 и 2013 годах соответственно. Это
также негативный фактор, так как наращивание продаж - непременный фактор
коммерческого успеха предприятия.
Эффективность деятельности коммерческого директора предприятия в течение
периода снижается: в 2012 году рост составил 1,12 раза, а в 2013 году - в 1,01
раза. Это говорит о том, что коммерческом директору необходимо активизировать
свою деятельность, так как снижение эффективности руководящей деятельности
влечет за собой снижение эффективности деятельности подчиненных.
Прибыль, добавленная экономическая ценность и возмещение стоимости
капитала взаимосвязаны: прибыль показывает, как идет торговля товарами, EVA отражает накопление капитала в
денежном выражении, а ВСК характеризует масштабы накопленного капитала.
Рассмотрим взаимосвязь показателей эффективности деятельности предприятия,
рассчитанных согласно таблице 3 (таблица 2.15).
Таблица 2.15 Взаимосвязь показателей эффективности
|
Показатель экономической эффективности
|
Годы
|
|
2011
|
2012
|
2013
|
|
ВСК,%
|
0,06
|
0,09
|
|
EVA,тыс.руб.
|
-68443
|
-97465
|
-11830
|
|
Категория эффективности
|
111
|
111
|
111
|
Анализируя таблицу, мы видим, эффективность продаж достаточно низкая. Для
повышения эффективности продаж в ООО "Лабиринт" необходимо
разработать мероприятия, способствующие оптимизации товарных групп и увеличению
объема продаж товаров.
3. Повышение
эффективности продаж товаров в ООО "Лабиринт"
3.1 Пути
повышения эффективности продаж товаров
Эффективная продажа товаров напрямую влияет на оборот розничной торговли,
именно поэтому необходимо не только организовать соответствующую рекламу
товара, проводить акции и предлагать скидки, но и снижать товарные потери, так
как чем выше товарные потери, тем ниже эффективность торговой деятельности.
Основными путями повышения эффективности продаж товаров являются:
закупка (обновление) холодильного оборудования, что позволит ускорить
объём продажи быстрооборачиваемых групп товаров, требующих специального
температурного режима хранения. Это такие товары, как мясо и птица, колбасные
изделия, майонез, мороженое и др.;
совершенствования технологии торговли на основе:
упорядочения заявочной работы;
оптимизации частоты завоза товаров в магазины;
усиления контроля за товарными запасами (выявление неходовых и залежалых
товаров, их перераспределение, уценка, возврат поставщикам и др.);
рационализации товародвижения (ликвидация излишних, повторных,
неэкономичных перевозок; исключение из торговой цепочки посредников);
увеличения закупки товаров у поставщиков, продукция которых пользуется
повышенным спросом у населения;
установления оптимальных режимов работы магазинов;
использования прогрессивных методов продажи товаров;
укрепление материально-технической базы на основе проведения ремонтов,
реконструкции;
совершенствование организации труда работников, повышение его
производительности, стимулирование труда, нацеленность показателей премирования
на конечные результаты деятельности торговой организации [12, с.261-262].
Также для увеличения эффективности продаж немаловажно для организации
иметь оптимальные размеры товарных запасов. Так как если размер товарных
запасов велик, то это означает, что товарооборачиваемость в торговом объекте
медленная и увеличение поступления товаров может только усугубить положение
магазина. Поэтому для ООО "Лабиринт" немаловажно выявление путей
повышения эффективности управления товарными запасами.
На величину товарных запасов влияет множество постоянно меняющихся
факторов, что вызывает постоянные колебания уровня запасов. Существующая
статистическая отчётность и система нормирования не учитывают таких колебаний,
что приводит к неправильным оценкам состояния запасов, особенно у отдельных
торговых организаций и объектов. Так, товарный запас в период между очередными
завозами колеблется от максимального до минимального. Особенно это чётко
выражается у торговых организаций, где товары завозятся неравномерно. А так как
норматив запасов устанавливается из расчёта среднего запаса, то по торговым
объектам, в которые товар поступил на конец отчётной даты, будут зафиксированы
сверхнормативные запасы, хотя фактически они таковыми не являются, а по другим
торговым объектам в обратной ситуации будет отмечена недостаточность запасов.
Всё это вызывает необходимость перехода к системному управлению запасами.
В связи со сложившейся в настоящее время экономической ситуацией в стране
необходимо совершенствовать методы управления хозяйственно-финансовой
деятельностью предприятий, в частности, внедрять логистические методы
управления производством, товародвижением, материальными и финансовыми
ресурсами.
Также направлением по увеличению поступления товаров является эффективное
заключение сделок. Под эффективностью торговой сделки понимается уровень и
доходности и прибыльности от вложенных ресурсов и текущих затрат по закупке и
реализации отдельной партии товара [3, с.43]. Каждая из заключённых
коммерческих сделок вносит свой вклад в формирование структуры розничного
товарооборота и рентабельности товаров. Поэтому целесообразно перед принятием
решения о заключении сделки рассчитать её эффективность. Это позволит
предусмотреть и избежать рисков, выявить её рациональность. И в случае, если
сделка эффективна, появляется возможность закупки товаров в большем объёме.
Среди множества подходов к расчёту эффективности коммерческой сделки
существуют 2 основных пути: либо от условий сделки к прибыли, оцениваемой на
стадии закупки товара, либо от целевой прибыли к контрольной
товарооборачиваемости, по которой можно проследить выполнение требований
эффективности на стадии реализации товара.
В практической деятельности второй путь расчёта представляется более
востребованным, так как рентабельная на стадии заключения сделка может
оказаться нерентабельной на стадии реализации товаров по причине отсутствия у
специалиста коммерческой службы заранее просчитанного срока, в течение которого
закупленный товар необходимо без остатка реализовать. Упростить соблюдение
этого срока может расчёт средней контрольной товарооборачиваемости методом
окупаемости кредита. С помощью последнего учитываются особенности
взаимодействия основных внешних и внутренних факторов обусловливающих
финансово-экономическое состояние конкретной организации [7, с.295-296]
Таким образом, для того, чтобы ООО "Лабиринт" могла повысить
эффективность продаж товаров, сначала необходимо оценить экономическое
положение и резервы роста: товарооборота, прибыли и доходов от реализации
продукции, объёмы закупаемой продукции в прошлых периодах,
товарооборачиваемость; также требуют контроля и анализа расходы на реализацию
товаров, товарные запасы. Увеличению поступления товаров способствует:
увеличение розничного товарооборота и прибыли, ускорение товарооборачиваемости
и снижение товарных запасов, расчёт эффективности сделки и контроль за
выполнением договорных обязательств.
Можно предложить слелующие мероприятия для увеличения эффективности
продаж товаров.
.Нам удалось выяснить, что достаточно эффективным для ООО
"Лабиринт" является продажа таких групп товаров, как мясо и
мясопродукты, колбаса вареная, колбаса копченая, сыры твердые, кондитерские
изделия, чай, кофе, алкогольная продукция и пиво, консервы плодоовощные. В то
же время магазин реализует товары, эффективность продаж которых недостаточна.
Это такие товары, как сыры плавленые, соки и воды, рыба и рыбные полуфабрикаты,
овощи и фрукты. Необходимо разработать мероприятия по повышению эффективности продажи
указанных групп товаров
. В 2013 году расчет рентабельности продаж показал, что наименее
рентабельной группой товара была группа "Мясо и мясопродукты".
Соответственно, необходимо разработать мероприятия для увеличения уровня
рентабельности продажи данной группы товаров. Для этого возможно заключить
договор на поставку мяса и мясопродуктов с индивидуальными предпринимателями,
которые смогут предложить ООО "Лабиринт" наиболее выгодные условия
поставки, которые будут способствовать снижению текущей себестоимости товара, в
среднем, на 10%.
3. Для повышения эффективности продаж необходимо снизить издержки
обращения, в частности, оптимизировать расходы на оплату труда, а также снизить
расходы на охрану.
. Необходимо активно продвигать новые товары в тех или иных группах
товаров, что позволит покупателям обратить внимание не только на новинки в
группе, но и на текущий ассортимент товаров данной группы
. Ввести дисконтную накопительную систему, в рамках которой покупатели
могут получить накопительные дисконтные карты. На данные карты при каждой
покупке будет начисляться 1 % от суммы, в дальнейшем покупатели смогут
рассчитаться за приобретенные товары с использованием накопленных сумм. Данное
мероприятие позволит привлечь в магазин больше покупателей и повысить
эффективность продажи товаров..
Для разработки конкретных предложений по увеличению эффективности продаж
построим регрессионную модель продаж товаров в ООО "Лабиринт".
3.2
Регрессионная модель эффективности продаж товаров
Построим корреляционно-регрессионную модель
эффективности продаж товаров, то есть математико-статистический прием описания
зависимости двух переменных у и х.
Результатом применения корреляционно-регрессионного
анализа является уравнение связи признаков, которое может быть использовано для
решения комплекса аналитических и прогнозных задач, а также в качестве
информационной основы для изучения зависимости у от нескольких (j) информативных фокторов хj, т.е. для построения более сложного
уравнения связи у = f (xj).
В модель включены следующие признаки:
Y -
результативный признак - выручка от продажи товаров, тыс. руб.;
X1 - факторный признак - прибыль от
продажи товаров, тыс. руб.;
X2 - факторный признак - затраты на
заработную плату;
X3
- факторный
признак - издержки обращения, тыс. руб.
Исходные данные для построения модели эффективности
продаж товаров представлены в таблице 3.1.
Таблица 3.1 данные для построения модели эффективности продаж
|
Период
|
Выручка от продажи товаров, тыс. руб. у
|
Прибыль от продажи товаров, тыс. руб. х1
|
Затраты на заработную плату, х2
|
Издержки обращения
|
|
1
|
673,4
|
125,215
|
57,138
|
24,936
|
|
2
|
478,4
|
101,654
|
33,488
|
16,136
|
|
3
|
384,6
|
80,324
|
22,922
|
12,384
|
|
4
|
432,5
|
91,354
|
29,275
|
14,3
|
|
5
|
211,8
|
49,873
|
18,826
|
6,472
|
|
6
|
273,5
|
59,354
|
20,145
|
8,94
|
|
7
|
673
|
147,24
|
53,11
|
23,92
|
|
8
|
562,1
|
116,325
|
40,347
|
19,484
|
|
9
|
611,9
|
124,245
|
41,833
|
20,476
|
|
10
|
782,5
|
157,369
|
54,775
|
27,3
|
|
11
|
390,6
|
90,325
|
25,342
|
12,624
|
|
12
|
856,3
|
172,358
|
62,941
|
30,252
|
|
13
|
299,9
|
71,568
|
26,993
|
11,996
|
|
14
|
266,4
|
70,235
|
21,648
|
8,656
|
|
15
|
289,5
|
62,987
|
25,265
|
11,58
|
|
16
|
390,54
|
74,354
|
25,337
|
12,621
|
|
17
|
833,5
|
181,259
|
60,345
|
31,34
|
|
18
|
367,2
|
76,981
|
24,704
|
12,688
|
|
19
|
490,3
|
105,665
|
35,321
|
14,612
|
|
20
|
377,6
|
81,765
|
24,432
|
11,104
|
|
21
|
261,5
|
49,685
|
19,305
|
8,46
|
|
22
|
344,9
|
73,211
|
28,143
|
11,796
|
|
23
|
450,4
|
92,224
|
29,528
|
15,016
|
|
24
|
335,6
|
81,35
|
27,492
|
11,424
|
|
25
|
618,4
|
120,759
|
42,288
|
21,736
|
|
26
|
455,3
|
98,287
|
31,871
|
15,212
|
|
27
|
672,9
|
131,983
|
52,103
|
22,916
|
|
28
|
733,92
|
141,679
|
56,3744
|
23,3568
|
|
29
|
367,2
|
72,687
|
23,704
|
12,688
|
|
30
|
389,6
|
91,491
|
25,272
|
12,584
|
|
31
|
490,6
|
109,534
|
36,342
|
16,624
|
|
32
|
821,4
|
171,358
|
58,498
|
28,856
|
|
33
|
782,5
|
151,687
|
56,775
|
27,3
|
|
34
|
390,6
|
94,215
|
25,342
|
11,624
|
|
35
|
599,4
|
128,325
|
40,958
|
20,976
|
|
36
|
478,3
|
110,357
|
31,481
|
16,132
|
Проведем регрессионные трехфакторный анализ зависимости выручка от
продажи товаров, У, от прибыли от продажи товаров, тыс. руб., х1,
затрат на заработную плату, тыс. руб., х2, издержек обращения, тыс.
руб., х3. Анализ проведем с помощью ППП Excel.
С помощью ППП Excel рассчитаем
линейные коэффициенты корреляции в таблице 3.2.
Таблица 3.2 Расчет линейного коэффициента корреляции
|
Y
|
х1
|
х2
|
х3
|
|
Y
|
1
|
|
|
|
|
х1
|
0,983366378
|
1
|
|
|
|
х2
|
0,975334529
|
0,955014798
|
1
|
|
|
х3
|
0,992039519
|
0,975886887
|
0,983418391
|
1
|
Корреляционная таблица 3.2 содержит частные коэффициенты корреляции.
Коэффициенты столбцов матрицы характеризуют степень тесноты связи между
результативным (У) и факторными признаками (х1, х2,х3).
Связь между выручкой от продажи товаров,У и прибылью от продажи товаров (rУХ1= +0,983) прямая (на это указывает
знак +) и сильная, практически функциональная, так как значение rУХ1= +0,983 очень близко к 1. Связь
между выручкой от продажи товаров, У и затратами на заработную плату, х2,так
же прямая и практически функциональная, так как + 0.95<rУХ21= +0,955 < +1. Связь между
выручкой от продажи товаров, У и издержками обращения, х3,так же
прямая и практически функциональная, так как + 0.95<rУХ1= +0,893< +1.
В соответствии с этим данные показатели будут учитываться при построении
регрессионной статистики в таблице 3.3.
Таблица 3.3 Регрессионная статистика
|
Множественный R
|
0,994520069
|
|
R-квадрат
|
0,989070168
|
|
Нормированный R-квадрат
|
0,988045496
|
|
Стандартная ошибка
|
10,14626099
|
|
Наблюдения
|
36
|
Коэффициент множественной корреляции по определению является величиной
положительной и принимает значения от 0 до 1. Из таблицы 3.3 имеем R = 0.994. Так как это значение близко
к 1, можно сделать вывод о сильной взаимосвязи между факторными и
результативными признаками.
Нескорректированный коэффициент детерминации, R - квадрат, R2=0,989, оценивает долю вариации
результата за счет представленных в уравнении факторов в общей вариации
результата. Т.о. на 98,9% вариация выручкой от продажи товаров, У, объясняется
вариацией изучаемых факторов, на остальные 1,1 % влияют факторы, не учтенные в
данном исследовании.
Скорректированный коэффициент множественной регрессии
0,988 оценивает тесноту связи с
учетом степеней свободы общей и остаточной дисперсии. Он дает такую оценку
тесноты связи, которая не зависит от числа факторов в модели и потому может
сравниваться по разным моделям с разным числом факторов. Оба коэффициента
указывают на высокую (более 90%) детерминированность результата Y в модели факторами х1, х2,х3.
Таблица 3.4 Дисперсионный анализ
|
|
df
|
SS
|
MS
|
F
|
Значимость F
|
|
Регрессия
|
3
|
1175310,219
|
391770,0731
|
965,2556352
|
1,90571E-31
|
|
Остаток
|
32
|
12987,89863
|
405,8718321
|
|
|
|
Итого
|
35
|
1188298,118
|
|
|
|
Проверим значимость коэффициента множественной корреляции, для этого
воспользуемся F-критерием, для чего сравним
фактическое значение F с
табличным значением Fтабл. При вероятности ошибки α
= 0,05 и степенях
свободы v1 = k - 1=
3 - 1 = 2, v2= n - k = 36 - 3 = 33, где k - число факторов в модели, n - число наблюдений, Fтабл= 3,29. Так как Fфакт= 965,25>Fтабл = 3,290, то коэффициент корреляции значим, следовательно,
построенная модель в целом адекватна.
Таблица 3.5. Коэффициенты регрессии
|
Коэффициенты
|
Стандартная ошибка
|
t-статистика
|
P-Значение
|
Нижние 95%
|
Верхние 95%
|
|
Y
|
21,1753921
|
7,198181555
|
2,941803324
|
0,353348
|
14,4537247
|
39,3139072
|
|
х1
|
1,68369973
|
0,443362503
|
3,797569071
|
0,0006168
|
0,78059986
|
2,58679959
|
|
х2
|
0,512704204
|
1,369744713
|
0,374306393
|
0,710645
|
-2,2773744
|
3,3027828
|
|
х3
|
16,92349853
|
3,697274726
|
4,577289974
|
6,75E-05
|
9,39239639
|
24,4546006
|
Используя таблицу 3.5, составим уравнение регрессии с учетом округлений:
У = 21,175+1,384х1 + 0,513х2 + 16,923
Интерпретация полученных параметров следующая:
а0 = 21,175 - свободный член уравнения регрессии,
содержательной интерпретации не подлежит;
а1 = 1,384 - коэффициент чистой регрессии при первом факторе
свидетельствует о том, что при увеличении прибыли от продажи товаров на 1 руб.
тыс. выручка от продажи товаров увеличивается на 1,384 тыс. руб., при условии,
что другие факторы остаются постоянными;
а2 = 0,513 - коэффициент чистой регрессии при втором факторе
свидетельствует о том, что при увеличении затрат на заработную плату, на 1 тыс.
руб.выручка от продажи товаров увеличивается на 0,513 тыс. руб., при условии,
что другие факторы остаются постоянными;
а3 = 16,923 - коэффициент чистой регрессии при третьем факторе
свидетельствует о том, что при увеличении издержек обращения, на 1 тыс. руб.,
выручка от продажи товаров увеличивается на 16,923 тыс. руб., при условии, что
другие факторы остаются постоянными.
Значения случайных ошибок параметров а0, а1, а02,
а3.
7,198,
0,443,
1,370,
3,697
Они показывают, какое значение данной характеристики сформировалось под
влиянием случайных величин.
Далее, если стандартная ошибка больше абсолютной величины коэффициента,
это коэффициент незначимый.
Из таблицы 3.5 имеем :
а1 = 1,384 > 0.443
а2 = 0,513 < 1.369
а3 = 16,923> 3.697
Только коэффициент при х2 меньше своей стандартной ошибки. Его
можно исключить из рассмотрения.
Но это грубый анализ. Проверку значимости коэффициентов регрессии
осуществим с помощью t-критерия
Стьюдента. Для этого сравним фактические значения t-критерия с табличным значением t-критерия. При вероятности ошибки α
= 0,05 и степени свободы
v = n - k - 1=
36 - 3 - 1 = 32 где k - число факторов
в модели, n - число наблюдений, tтабл= 2,04. Получим с учетом округлений:
1факт = 3,797 >tтабл = 2,04;,
t2факт = 0.374 <tтабл = 2,04;
t3факт = 4.577| >tтабл = 2,04;
Значит, статистически незначимыми является один из факторов, а именно, х2
- затраты на заработную плату. В этом случае модель пригодна для принятия
решений, но не для прогнозов.
.3
Мероприятия по повышению эффективности продаж товаров и их экономическое
обоснование
Рассмотрим более подробно мероприятия по повышению эффективности продаж
товаров.
1) Повышение эффективности продаж сыров плавленых.
2) Повышение эффективности продаж соков и вод
3) Повышение эффективности продаж рыбы и рыбных полуфабрикатов
4) Повышение эффективности продаж овощей и фруктов
На первом этапе необходимо выяснить причины низкой эффективности продажи
указанных групп товаров.
.Сыры плавленые. Данная группа товаров размещена в углу зала, сразу после
молочных продуктов. При этом, выкладка молочных товаров достаточно неудобна
тем, что загораживает сыры плавленые, и покупатели не видят товар.
Соответственно, товар приобретается только в процесс сознательной покупки,
когда покупатель ищет конкретный товар, в процесс импульсной покупки данный
товар не приобретается. Кроме того, стоимость закупки сыров плавленых у
поставщика достаточно высокая, что с учетом торговой наценки ООО
"Лабиринт" становится достаточно накладным для покупателя.
. Соки и воды. Данный вид товара является сезонным, и поэтому подъем
продаж соков и воды приходится на теплое время года, а снижение - не холодный
период. В связи с этим, нереализованные вовремя большие запасы соков и воды
становятся медленно реализуемым торговым запасом, что значительно
"тормозит" торговый оборот.
. Рыба и рыбные полуфабрикаты. Данный вид товара является достаточно
дорогим, и покупатели предпочитают в большей степени вместо рыбы покупать мясо.
Кроме того, ассортимент рыбы в ООО "Лабиринт" выложен не в
холодильной витрине, а в морозильных ларях, что не позволяет покупателю в
полном объеме рассмотреть товар и сделать покупку.
. Овощи и фрукты. Данный вид товара достаточно быстро портится, и в ООО
"Лабиринт" отмечаются достаточно большие товарные потери по данному
виду товара.
На втором этапе разработаем мероприятия по повышению эффективности продаж
указанных видов товаров.
.Сыры плавленые. Для увеличения продаж данной группы товаров необходимо
расположить их выкладку не после молочных продуктов, а перед ними. Молочные
продукты в магазине пользуются устойчивым спросом, соответственно покупатель,
который приобретает молочные продукты, будет видеть весь ассортимент плавленых
сыров и может совершить дополнительную импульсную их покупку. Поставщиком
плавленых сыров в сеть ООО "Лабиринт" является ООО
"Забава", и цены, предлагаемые указанной компанией, достаточно
высоки. Предлагаем рассмотреть вопрос о смене поставщика (например, ООО
"Молочные реки), цены у которого, в среднем, на 8 % ниже, чем у ООО
"Забава". В этом случае эффективность продажи данного вида товара
возрастет на 7%. Если общий объем реализации сыров плавленых за 2013 год
составил 233,64 тыс. руб., то дополнительный эффект от продаж составит:
,67 х 7% = 16,35 тыс. руб.
2. Соки и воды. Основной объем данной группы товаров (70%), запас которых
на складе достаточно значителен, необходимо реализовать со скидкой 10%. Тогда в
оборот ООО "Лабиринт" поступит следующая сумма:
,11 х 90% х 70% = 467,52 тыс. руб.
.Рыба и рыбные полуфабрикаты. Для повышения эффективности реализации
указанного вида товара необходимо приобрести витрины холодильные. Всего
необходимо приобрести 10 витрин по цене 324500 руб. Стоимость приобретения витрин
составит:
х 32,4 = 324,5тыс. руб.
В случае доступной выкладки товара в холодильной витрине, покупатели
смогут выбрать понравившийся им товар, и объем реализации товара возрастет, в
среднем, на 30% в год. Это также принесет предприятию экономический эффект в
размере:
,71 х 30 % = 87,20 тыс. руб.
.Овощи и фрукты. Для повышения эффективности продажи этой группы товаров
необходимо оборудование в магазинах ООО "Лабиринт" охлаждаемые камеры
с доступом покупателей. В этом случае срок хранения овощей и фруктов
значительно увеличится, а товарные потери снизятся. Стоимость работ по
оборудования охлаждаемых камер будет произведена за счет нераспределенной
прибыли предприятия. При реализации данного мероприятия объем продаж овощей и
фруктов возрастет, в среднем, на 30%:
312,64 х 30% = 93,79
На третьем этапе необходимо рассчитать экономический эффект от
предложенных мероприятий. Совокупный эффект от реализации мероприятий составит:
16,35 + 467,52+87,20 + 93,79 =664,86 тыс. руб.
За минусом затрат экономический эффект составит:
,86 - 324,5 = 340,36 тыс. руб.
2. Заключение договора с индивидуальными предпринимателями-поставщиками
мяса и мясопродуктов для снижения уровня закупочной стоимости продукта.
На сегодняшний день основным поставщиком мяса и мясопродуктов в ООО
"Лабиринт" является ООО "Мясной пир". При сравнении прайса
ООО "Мясной мир" с прайс-листами ИП Василенко С.Я. и ИП Таривердиева
Г.И. было отмечено, что при практически одинаковом ассортименте стоимость мяса
и мясных полуфабрикатов у указанных поставщиков ниже, чем у поставщика ООО
"Мясной пир", на 10%.
Согласно данным отчетности предприятия за 2013 год, на приобретение мяса
и мясопродуктов было затрачено 1579,44 тыс. руб. При снижении суммы закупки на
10% она составит:
9,44 - (1579,44 х 10%) = 1421,49 тыс. руб.
Таким образом, ООО "Лабиринт" сможет установить на данную
группу товаров наценку в размере не 20%, как это было ранее, а 30% за счет
снижения себестоимости. Рост выручки от реализации данной группы товаров
составит:
9,44 х 10% = 157,944 тыс. руб.
3. Для повышения эффективности продаж необходимо снизить издержки
обращения, в частности, оптимизировать расходы на оплату труда, а также снизить
расходы на охрану.
На оплату труда в организации ООО "Лабиринт" в 2013 году была
направлена сумма в размере 4497,5 тыс. руб. Указанная сумма сложилась из
окладов сотрудников компании (руководства и торгового персонала), а также
премий, выплаченных сотрудникам за период. Премиальный фонд составил 10% от
фонда оплаты труда или 449,75 тыс. руб. Предлагаем премиальный фонд на
ближайший год сократить до 5%, пока ООО "Лабиринт" не достигнет
устойчивых показателей по продаже товаров. Таким образом, экономия фонда
заработной платы составит:
,5 х 5% = 224,87 тыс. руб.
На эту же сумму сократится объем издержек.
Также необходимо оптимизировать расходы на охрану, которые также входят в
объем издержек. При охранизации охраны ООО "Лабиринт" пользуется
услугами охранного агентства ООО "Надежда". Услуги данного агентства
обходятся компании в 564 тыс. руб. Альтернативное предприятие - охранное
агентство ООО "Ак Барс" предлагает свои услуги за сумму, которая
составляет 60% от указанной стоимости или 338,4 тыс. руб. Таким образом, при
реализации данного мероприятия объем снижения издержек составит: 225,6 тыс. руб.
Сумма, сэкономленная на данной статьи издержек, также является
экономическим эффектом предприятия.
. Необходимо активно продвигать новые товары в тех или иных группах
товаров, что позволит покупателям обратить внимание не только на новинки в
группе, но и на текущий ассортимент товаров данной группы
Так, в группе "Рыба и рыбные товары" в магазине ООО
"Лабиринт" появился ряд новинок - сельдь-пресервы во фруктовых
соусах. Стоимость данного товара достаточно конкурентоспособна, а вкусовые
качества высоки. Соответственно, создание дополнительной рекламы в магазине в
виде выделения витрины путем POS-материалов,
полученных от поставщика, а также оповещения покупателей по громкой связи
магазина, позволит увеличить объем продаж данной группы товара, в среднем, на
30%. Можно предположить, что также вырастет и объем продаж других рыбных
товаров, поскольку, желая купить новый товар, покупатель обязательно осмотрит
близ лежащий товар и выберет то, что ему понравится. Ожидаемый рост продаж по
данной группе товара, в целом, составит 10% от объема продаж в группе в 2013
году. Соответственно, ООО "Лабиринт" получит дополнительную выручку в
размере:
290,71 х 10% = 29,071 тыс. руб.
5. Ввести дисконтную накопительную систему, в рамках которой покупатели
могут получить накопительные дисконтные карты. На данные карты при каждой
покупке будет начисляться 1 % от суммы, в дальнейшем покупатели смогут
рассчитаться за приобретенные товары с использованием накопленных сумм. Данное
мероприятие позволит привлечь в магазин больше покупателей и повысить
эффективность продажи товаров.
Для введения дисконтной накопительной системы необходимо изготовить
дисконтные карты в количестве 2000 штук. Себестоимость 1 карты составит 110
руб. Соответственно, затраты составят:
х 110 = 22000 руб.
Дисконтная система позволит, в среднем, увеличить объем продаж на 15%.
Соответственно, общий прирост выручки составит:
14176,0 х 15% = 2126,4 тыс. руб.
Суммируем общий экономический эффект от предлагаемых мероприятий:
340,36 + 157,944+224,87+29,071+2126,4 = 2878,64 тыс. руб.
Соответственно, предложенные мероприятия эффективны.
Заключение
Главная цель коммерческой деятельности - получение прибыли через
удовлетворение покупательского спроса при высокой культуре торгового
обслуживания. Эта цель в равной степени важна как для организаций и
предприятий, так и для отдельных лиц, осуществляющих операции купли-продажи на
рынке товаров и услуг. Розничная торговля - это завершающая форма продажи
товаров конечному потребителю в небольших объемах через магазины, павильоны, лотки,
палатки и другие пункты сети розничной торговли. Розничные торговые предприятия
реализуют товары непосредственно населению, то есть физическим лицам, применяя
свои специфические способы и методы розничной продажи, окончательно завершают
обращение от изготовителя продукции до потребителя. В результате усложнения
экономических процессов и возрастания конкуренции в отечественной торговой
отрасли проблема разработки и внедрения научно-обоснованных методов принятия
решений для управления торговыми компаниями представляется весьма актуальной.
Особую актуальность представляет исследование процесса принятия решений в
сложноорганизованных торговых компаниях. В 1970-80 гг. был накоплен
значительный научный и практический потенциал моделирования торгово-экономических
процессов.
Эффективность продаж - процесс обмена , услугами, ценностями и , от
которого производитель получает рациональную прибыль, а спрос не падает. Оценка
эффективности продаж осуществляется при помощи различных методов, включая
сравнительный и структурный анализ основных финансовых показателей. Структурный
анализ позволяет определить наиболее эффективные механизмы сбыта. Коммерческая
деятельность, составляя основу успешного бизнеса, является объектом постоянного
пристального внимания со стороны руководства компании и его структурных
подразделений. Всесторонний анализ показателей продаж, динамики их изменений
позволяют своевременно выявлять проблемные сегменты реализации товаров и услуг,
принимать правильные управленческие решения - это цель оценки эффективности
продаж.
Функции розничной торговли: закупка товаров, их транспортирование и
хранение; информирование рынка и получение информации о рынке; подсортировка,
подработка и придание закупленной продукции товарного вида; продажа товаров;
послепродажное обслуживание покупателей. Правильная организация коммерческой
работы в рамках розничной торговли способствует росту товарооборота, достаточно
полному удовлетворению совокупного спроса населения и получению коммерческого
успеха. Если товарооборот становится выше, значит, спрос покупателей
удовлетворяется, а предложение производителей повышается. Для эффективной
продажи отдельных видов товаров необходимо планирование ассортимента продукции.
Это непрерывный процесс, продолжающийся на протяжении всего жизненного цикла
товара, начиная с зарождения идеи и кончая снятием его с продажи.
Мы рассмотрели особенности организации производственно-хозяйственной
деятельности ООО "Лабиринт". В процессе анализа был выявлен ряд
недостатков.
. На фоне роста оборота розничной торговли увеличивается и себестоимость
товаров, а также и расходы на реализацию товаров. В абсолютных показателях их
рост составил 3544,82 тыс. руб. на конец 2013 года по сравнению с 2012 годом.
. Темпы роста физического объема оборота оптовой торговли (количества
товаров) невысоки.
. Свыше 90% прироста оборота оптовой торговли получено за счет роста цен.
. Отмечен достаточно высокий рост запасов в 2013 году по сравнению с 2012
годом - в 115,28 раза, рост поступления товаров увеличился в 17,23 раза, а выбытие
товаров составило 112,95 %. Значительное увеличение данных показателей
произошло из-за роста цен и необходимости пополнить товарный запас для
возможности получить больший объем прибыли. Соответственно, возросли запасы
товаров и их выбытие. Недостатком использования поступающих в предприятие
товарных ресурсов является их неполное вовлечение в оборот оптовой торговли,
что явилось следствием завоза товаров, имеющих высокую цену. Это снижало спрос
покупателей на них, нарушает ритмичность отгрузки товаров поставщиками,
связанными договорными обязательствами.
. Часть товаров, поступивших в магазин в излишнем количестве в конце
года, осело на остатках товаров. Это может привести к замедлению
оборачиваемости оборотных средств, вложенных в товарные запасы, и возникновению
потерь. Руководству предприятия, в связи с увеличением объема реализации,
необходимо расширить поиски партнеров, которые могли бы предоставить более
низкие цены на продукцию и более выгодные условия поставки.
. Грузооборот склада имеет разнонаправленную динамику: в 2012 году он
уменьшился на 391,5 тонн, по сравнению с 2011 годом. В 2013 году его увеличение
составило 634,55 тонн. Наибольший рост объема грузооборота произошел в 2013
году, а в 2012 году данный показатель имеет минимальное значение за
анализируемый период. Руководству предприятия следует пересмотреть
эффективность грузооборота предприятия.
. Экономическая эффективность отдельных коммерческих операций
(бизнес-процессов) также в 2012 году увеличивается на 91,03%, а в 2013 году
увеличение составляет только 37,62%. Данный показатель указывает на снижение
активности коммерческих работников в области сбыта товара. Необходимо повышение
данной активности. Руководству предприятия необходимо обратить внимание на
процесс коммерческой работы с контрагентами с целью увеличения эффекта
коммерческой деятельности.
С целью преодоления указанных недостатков были разработаны рекомендации
по повышению эффективности продажи товаров ООО "Лабиринт".
1.Нам удалось выяснить, что достаточно эффективным для ООО "Лабиринт"
является продажа таких групп товаров, как мясо и мясопродукты, колбаса вареная,
колбаса копченая, сыры твердые, кондитерские изделия, чай, кофе, алкогольная
продукция и пиво, консервы плодоовощные. В то же время магазин реализует
товары, эффективность продаж которых недостаточна. Это такие товары, как сыры
плавленые, соки и воды, рыба и рыбные полуфабрикаты, овощи и фрукты. Необходимо
разработать мероприятия по повышению эффективности продажи указанных групп
товаров
. В 2013 году расчет рентабельности продаж показал, что наименее
рентабельной группой товара была группа "Мясо и мясопродукты".
Соответственно, необходимо разработать мероприятия для увеличения уровня
рентабельности продажи данной группы товаров. Для этого возможно заключить договор
на поставку мяса и мясопродуктов с индивидуальными предпринимателями, которые
смогут предложить ООО "Лабиринт" наиболее выгодные условия поставки,
которые будут способствовать снижению текущей себестоимости товара, в среднем,
на 10%.
3. Для повышения эффективности продаж необходимо снизить издержки
обращения, в частности, оптимизировать расходы на оплату труда, а также снизить
расходы на охрану.
. Необходимо активно продвигать новые товары в тех или иных группах
товаров, что позволит покупателям обратить внимание не только на новинки в
группе, но и на текущий ассортимент товаров данной группы
. Ввести дисконтную накопительную систему, в рамках которой покупатели
могут получить накопительные дисконтные карты. На данные карты при каждой
покупке будет начисляться 1 % от суммы, в дальнейшем покупатели смогут
рассчитаться за приобретенные товары с использованием накопленных сумм. Данное
мероприятие позволит привлечь в магазин больше покупателей и повысить
эффективность продажи товаров..
Общий экономический эффект от предлагаемых мероприятий составит:
,64 тыс. руб. Соответственно, предложенные мероприятия эффективны.
Список
использованной литературы
1. Закон РФ "О защите прав потребителей"
2. Федеральный Закон Российской Федерации "О
сертификации продукции и услуг" от 10 июня 1993 г. (ред. от 10.01.2003)
№5151-1 - www.consultant.ru/.
3. Федеральный закон "О рекламе" от 13.03.2006
№38-ФЗ - www.consultant.ru/.
. Федеральный закон №381-ФЗ "Об основах
государственного регулирования торговой деятельности в Российской Федерации"
от 28.12.2009 г.
. Федеральный закон Российской Федерации №163-ФЗ
"О внесении изменений в Федеральный закон "Технический регламент на
молоко и молочную продукцию" от 26.07.2010 г.
. Гражданский кодекс Российской федерации: Части
первая, вторая, третья (по сост. на 10 фев. 2005 г.). - М.: Юрайт-Издат, 2005.
- 479 с. - (Правовая библиотека).
7. Инструкция "О порядке приемки продукции
производственно технического назначения и товаров народного потребления по
количеству", утвержденная 16.06.65 №П-6 (с изменениями и дополнениями).
8. Инструкция "О порядке приемки продукции
производственно технического назначения и товаров народного потребления по
качеству", утвержденная от 25.04.66 №П-7 (с изменениями и дополнениями).
9. Правила торговли. Сборник нормативных документов. М.,
2003
10. Абчук В.А. Коммерция: Учебник. - СПб.: Издательство
Михайлова В.А., 2010. С. 189
. Брагина и Т.П. Данько. Торговое дело: экономика,
маркетинг, организация: Учебник. / под ред. Л.А. - М.: ИНФРА-М, 2010
. Берман,Барри, Эванс, Джоэл, Р. Б50 Розничная
торговля: стратегический подход, 8-е издание.: Пер. с англ. - М.: Издательский
дом "Вильяме", 2011. - 1184с
. Боровикова Л.А. и др. Товароведение
продовольственных товаров. - М.: Экономика, 2010.
. Гаммидулаев С.Н. Товароведение и экспертиза
продовольственных товаров: учебное пособие/ С.Н. Гаммидулаев, Е.В. Иванова,
С.Л. Николаева, В.Н. Симонова. - СПб.: Альфа, 2009. - 432с
. Герчикова И.Н. Международное коммерческое дело:
Учебник для вузов. М., 2009
16. Дашков Л.П. Памбухчиянц В.К. Организация, технология и
проектирование торговых предприятий: Учебник для студентов Высших учебных
заведений. 6-е изд., перераб. и доп. - М.: Издательско-торговая корпорация
"Дашков и К?", 2012. - 520 с.
17. Диксон Питер Р. Управление маркетингом / Пер. с англ.;
Под общ. ред. Ю.В. Шлёнова. - М.: Бином, 2010. - 556 с.
. Дихтль Е., Хёршген Х. Практический маркетинг: Учеб.
пособие / Пер. с нем. А.М. Макарова; Под ред. И.С. Минко. - М.: Высш. шк.,
ИНФРА, 2009. - 255 с.
19. Егоров В.Ф. Организация торговли: Учебник для ВУЗов. -
СПб.: Питер, 2010. - 352 с.
20. Есютина А.А. Розничные торговые сети. - М.: Кнорус
2011
. Ефимов В.В. Средства и методы управления качеством:
учебное пособие - М.: КНОРУС, 2009. - С. 232
22. Каплина В.К. Организация коммерческой деятельности. М.:
Издательство ПРИОР, 2011.
23. Коробова Е.К. Коммерческая деятельность. М.: Дело,
2011.
24. Кричец Е.В. Коммерческая деятельность торговых
предприятий. М.: Издательство "НОРМА", 2011
25. Лукич Р. Материальная мотивация продавцов: ключ к
замку прибыли. // Мое дело. - 2010 - №10.
. Мазур, И.И. Управление качеством / И.И. Мазур, В.Д.
Шапиро. - М.: Высшая школа, 2012.
. Микулович Л.С., А.В. Локтев, И.Н. Фурс и др.; Под
общ. ред. О.А. Брилевского. Товароведение продовольственных товаров: учеб.
пособие - Мн: БГЭУ, 2011. - 614 с.
. Николаева М.А. Теоретические основы товароведения:
учеб. для вузов. - М.: Норма, 2009. - С. 448.
. Никишкин В., Цветкова А. Современные тенденции в
торговле и их связь с маркетинговыми решениями. // Маркетинг. - 2010. - №2. - с.
20-25
. Панкратов Ф.Г., Серегина Т.К. Коммерческая
деятельность. - М.: Маркетинг, 2009. - 580 с.
31. Памбухчиянц О.В. Организация и технология коммерческой
деятельности: Учебник: - М.: Издательско-торговая корпорация "Дашков и
К?", 2011. - 636 с.
32. Памбухчиянц В.К. Организация, технология и
проектирование торговых предприятий: Учебник. - 2-е изд. - М.: ИВЦ
"Маркетинг", 2009. - 320 с.
33. Памбухчиянц О.В. Технология розничной торговли. - М.:
Маркетинг, 2010. - 284 с.
34. Половцева Ф.П. Коммерческая деятельность: Учебник. - М.:
ИНФРА-М, 2012. - 248 с.
35. Райкова Е.Ю., Додонкин Ю.В. Теория товароведения:
учебное пособие. - М.: 2010. - С. 240
36. Рацкий К.А. Экономика предприятия: М: Информационно -
внедренческий центр "Маркетинг", 2010-696 с.
37. Строков В.А. Коммерческая деятельность
товаропроизводителя: Учебное пособие. - М.: ХОРС, 2009
. Товароведение и экспертиза продовольственных
товаров. Учебник для ВУЗов. - М.: МЦФЭР, 2009. - С. 800.
39. Яркина Т.В. Основы экономики предприятия: Краткий курс.
Учебное пособие для студентов вузов и средних специальных заведений. М., 2010