Кредит у ринковій економіці

  • Вид работы:
    Реферат
  • Предмет:
    Финансы, деньги, кредит
  • Язык:
    Украинский
    ,
    Формат файла:
    MS Word
    1,08 Мб
  • Опубликовано:
    2014-09-20
Вы можете узнать стоимость помощи в написании студенческой работы.
Помощь в написании работы, которую точно примут!

Кредит у ринковій економіці














Тема

Кредит у ринковій економіці

1. Економічна суть кредиту


Кредит (лат «creditum» - позичка, борг; «credo» - вірити) - провідна форма руху позичкового капіталу, що виникла на певному етапі розвитку суспільного виробництва і ринкового обміну, де продавці товарів протистоять один одному як власники.

Продаж товарів у кредит означає лише реальність переміщення споживних вартостей від продавця до покупця. А вартість товарів у боргових зобов´язаннях позичальників набуває ідеального виразу і реалізує себе на основі кредитного механізму обороту суспільного капіталу, що включає такі складові елементи: принципи кредитування, кредитне планування й планування та способи кількісного регулювання кредиту.

За економічною суттю і механізмом функціонування кредит є складною і однією з найдавніших категорій товарно-грошових відносин. Прагнення з´ясувати значення кредиту для прискорення суспільного прогресу впродовж багатьох століть породжували пильну увагу людей і дискусії серед вчених. Але й нині точне визначення економічної суті і ролі кредиту ще не вироблено. Виникнувши ще понад 3000 pp. до н.е., кредит вдосконалювався одночасно з розвитком обміну грошей і товарного виробництва. Історичними етапами з´ясування економічної суті кредиту стали:

) ототожнення кредиту з довірою кредитора до боржника;

) кредит, як мінова вартість, що складається з двох частин - передачі цінностей та їх повернення;

) кредит, як тимчасове користування позичальником цінностями кредитора;

) лише пізніше кредит стали ототожнювати з механізмом взаємодії з економічним середовищем, що відповідає сучасним уявленням про механізм реалізації кредитних відносин.

Загалом сучасне тлумачення кредиту зводиться до наступного.

Кредит - це суспільні відносини, що виникають між економічними суб´єктами у зв´язку з передачею один одному в тимчасове користування вільних коштів (вартості) на засадах зворотності, платності та добровільності. Лише пізніше кредит стали ототожнювати з механізмом взаємодії з економічним середовищем, що відповідає сучасним уявленням про механізм реалізації кредитних відносин. Основними ознаками поняття «кредитних відносин» є:

• учасники кредитних відносин мають бути економічно самостійними власниками певної маси вартості і вільно нею розпоряджатися, функціонувати на основі самодостатності й самоокупності, нести економічну відповідальність за своїми зобов´язаннями;

• кредитні відносини є добровільними і рівноправними;

• кредитні відносини не змінюють власника цінностей, з приводу яких вони виникають;

• кредитні відносини є вартісними, оскільки виникають у зв´язку з рухом вартості;

• нееквівалентність кредитних операцій (Г - Г") значно посилює роль платності в їх механізмі реалізації. Плата за кредит компенсує кредитору втрати від передачі його коштів у чуже використання і можливі втрати на випадок неповернення позики;

• кредитні відносини на мікроекономічному рівні є перервними, тобто після повернення відданої в борг вартості і сплати відсотків вони зникають. Але на макроекономічному рівні кредитні відносини підтримуються безперервно, як безперервний рух вартості в процесі задоволення потреб розширеного суспільного відтворення. Вивільнені кошти з однієї кредитної операції вступають у кредитні відносини з іншими контрагентами чи із тими самими, але з приводу інших сум вартості;

• безперервність і платність кредитних відносин визначають їх здатність до капіталізації. Внаслідок чого формується особлива самостійна форма капіталу - позичковий капітал.

В процесі вивчення кредитних відносин і механізмів реалізації кредиту студенти повинні з´ясувати суть кредиту, його місце і роль в системі ринкової економіки, оволодіти принципами його реалізації, з´ясувати особливості сучасних форм кредиту та їх функції, ознайомитись з еволюційним процесом розвитку і вдосконалення кредитування та формами використання кредитних грошей, навчитися визначати межі кредиту, давати кількісну та якісну оцінку процента за кредит, обґрунтувати необхідність розвитку кредитних відносин в Україні.

2. Межі кредиту


Межі кредиту визначаються таким рівнем розвитку кредитних відносин, в якому процес реалізації кредиту врівноважує попит і пропозицію на кредитні ресурси в умовах стабільної, помірної і доступної для переважної більшості нормально функціонуючих позичальників процентної ставки. На мікроекономічному рівні межі кредиту визначаються: а) обсягами попиту на кредит з боку позичальників за номінальної ставки банківського кредиту і доступної ринкової ставки позичкового процента; б) характером коливання потреб позичальника в основному й оборотному капіталі; в) станом забезпеченості позичальника власним капіталом й ефективності його використання; г) ефективністю і окупністю проектів, на реалізацію яких позичаються кошти. За таких умов динаміка банківського відсотка стає основним показником дотримання і порушення меж кредиту. Суб´єктивні спроби підвищити рівень кредитування неминуче ведуть до появи в обороті зайвих платіжних засобів і негативних наслідків для окремих підприємств і економіки в цілому. І навпаки, швидке зростання банківського відсотка свідчить про недостатньо пропозицію кредиту, тобто порушення меж кредиту і недокредитування економіки.

Макроекономічний рівень меж кредиту охоплює об´єктивний обсяг кредитних вкладень в економіку в цілому, охоплюючи усі індивідуальні мікромежі кредиту. Він формується під дією обсягів і темпів зростання ВВП, структури і рівня розвитку фінансової системи і стану державних фінансів, цілей і методів реалізації державної грошово-кредитної політики, розвитку ринкових відносин тощо.

Характерні ознаки кредиту в ринковій економіці:

Позичальники

Як правило, ними виступають суб´єкти господарювання, що тимчасово потребують додаткових ресурсів

Кредитори

Переважно банківські установи, кредитно-фінансові заклади, суб´єкти господарювання

Кредитні ресурси

Гроші, надані в позику позичальником, використовуються як капітал (на виробничі потреби). Тимчасово вільні матеріальні цінності

Джерело позичкового процента

Прибуток, що отриманий від використання позичених коштів

Мета використання кредиту

Як механізм ефективного перерозподілу капіталів у суспільному виробництві для вирівнювання норми прибутку


За допомогою кредиту відбувається стимулювання економічного зростання, забезпечується перелив капіталу у найефективніші сфери господарського життя суспільства, підвищується ефективність грошового обігу. Він є важливим інструментом державного регулювання економічних процесів.

Поглиблюючи знання, студенти мають з´ясувати особливості фінансової і кредитної сфер грошового обороту, оволодіти фінансовими і кредитними методами перерозподілу коштів, оцінювати переваги і недоліки кожного з них та знати сфери їх застосування. Механізм кредитування склався історично на основі неспівпадіння періодів виробництва і реалізації виробленої продукції, розривів у часі надходження і видатків товаровиробників, сезонності виробничих і збутових періодів. Внаслідок цього у одних товаровиробників тимчасово вивільняються кошти, а в інших виникає нагальна потреба у додаткових ресурсах для задоволення потреб підтримання безперервності виробничих процесів. Так на основі реальних процесів склалася система мобілізації тимчасово вільних коштів та їх спрямування туди, де склалася тимчасова нестача або виникла потреба у додаткових коштах на розширення виробництва і реалізації товарів, що в сукупності складає економічну суть одного з найскладніших понять - кредиту.

Студенти мають засвоїти, що передумовами виникнення кредитних відносин були достатньо високий рівень розвитку продуктивних сил і товарного виробництва, що забезпечило високу ефективність господарювання економічних агентів і сформувало високу довіру взаємовідносин між ними. Можливості для використання чужої власності у господарському обороті іншого суб´єкту економічних відносин сформувалися на основі здатності капіталу в процесі свого руху розділятися на капітал-власність, який і породив суб´єкта кредитних відносин - кредитора, та капітал-функцію, що творить позичальника.

Кредитором стає суб´єкт кредитних відносин, який надав позичку іншій особі у тимчасове використання. Джерелами позички можуть бути як власні, так і позичені кошти. На певному етапі розвитку кредитних відносин кредитні функції зосередилися у спеціалізованих фінансових закладах - банках, які здатні акумулювати тимчасово вільні кошти багатьох кредиторів.

Позичальником виступає той суб´єкт кредитних відносин, який отримав позичку. Ним може стати будь-яка юридична або фізична особа, яка потребує додаткових коштів. Економічна роль позичальника суттєво відмінна від функції кредитора. Насамперед позичальник не є власником позичених коштів. Отриманням кредитованих цінностей він лише реалізує право тимчасового їх використання. На основі цього склалися загальні принципи кредитування: поворотності, строковості, платності, забезпеченості, цільовий характер використання позички і диференційований підхід до позичальників.

Взаємодія кредитора з позичальником виникає навколо позиченої вартості, яка стає об´єктом кредиту, має бути наявною і фактично передаватися у розпорядження і використання позичальника. Позичена вартість є реальною величиною у формі грошової суми, товарів, виконаних робіт чи наданих послуг і має бути збережена, але не в первісній формі, а за своїм обсягом. Запорукою збереження позиченої вартості є її ефективне використання позичальником. Це стосується і вживання позиченої вартості на виробничі цілі і на особисте споживання. Їх взаємодія на основі передачі і повернення кредитованих ресурсів сформувала механізм захисту інтересів кредитора та забезпечила дієздатність кредитних відносин.

Принципи кредитування - це визначальні правила поведінки банку і позичальника в процесі реалізації кредитних операцій.

Основні принципи банківського кредитування:

Назва принципу кредиту

Економічний зміст принципу

Строковість

Повернення позики в строки, що передбачені кредитною угодою

Довершеність

Надання позики чужої власності у тимчасове кредитування позичальника і повне повернення вартості основного боргу

Платність

За користування позикою клієнт сплачує банкові додаткову суму у вигляді процентів

Цільовий характер

Вкладення позичених коштів у конкретно вказані господарчі процеси

Забезпеченість

Відповідність між заборгованістю за позикою і вартістю майна, що є заставою за позикою

Диференційований підхід

Практично, індивідуальний підхід до визначення величини позичкового процента для будь-якого позичальника


На основі дотримання принципів кредитування виник особливий кредитний механізм, який включає також кредитне планування і управління кредитом, умови і методи кредитування, способи їх кількісного регулювання. В умовах інфляційної нестабільності кредит і механізм його реалізації здатний стати провідним структурним елементом антиінфляційного комплексу заходів досягнення стабільності грошей і економіки.

Реалізація норм кредитного процесу здійснюється на основі наявності матеріальної відповідальності учасників кредитних угод за тимчасово позичену чужу власність, чіткого виконання взятих зобов´язань, економічної відособленості суб´єктів кредитних відносин як власників, що володіють юридичною самостійністю і функціонують на основі комерційного розрахунку, співпадіння економічних інтересів кредиторів і позичальників.

Особливостями кредиту, що відрізняють його від інших економічних категорій, є:

) позичальник, отримавши кредит, лише реалізує право тимчасового користування наданими коштами чи цінностями (об´єкт кредиту залишається у власності кредитора);

) суб´єкти кредитних відносин здатні одночасно почергово виступати в ролі кредитора і позичальника;

) позичальник, щоб отримувати позичку, зобов´язаний пред´явити кредиторові економічні та юридичні гарантії повернення боргу;

) повернення кредиту (боргу) здійснюється позичальником, а у виключних випадах - третьою особою - гарантом, якщо позичальник неспроможний це зробити сам;

) конкретний термін повернення кредиту залежить від двох обставин: особливостей і часу кругообігу коштів і ефективної діяльності самого позичальника. Він розраховує, на який час необхідні кошти і коли він зможе нагромадити їх, щоб погасити позику;

) можливостей кредитора. На який час у нього з´являються тимчасово вільні кошти, які й стають предметом кредитування;

) характерної рисою кредиту є сплата процентів за користування кредитованими ресурсами як товаром. Формула руху позичкового капіталу має вигляд


Кредитні відносини реалізуються тоді, коли інтереси кредитора і позичальника відносно конкретних параметрів позики співпадають, насамперед цільового призначення, забезпечення терміну та величини процента.

Основна маса кредитів надається під забезпечення. Захист майнових інтересів кредиторів на випадок можливого невиконання зобов´язань позичальника забезпечується у кредитах під заставу чи під фінансові гарантії. Комерційні банки використовують такі форми забезпечення

 <#"813994.files/image003.gif"> <#"813994.files/image004.gif">

де Г - грошова позичка; Т - товар у формі виробничого капіталу; В - процес виробництва нової вартості; Т´ - новий виріб, що висувається на ринок як товар; Г´ - грошова виручка внаслідок реалізації товару; К - позичений капітал; П - прибуток позичальника.

З´ясовуючи еволюційний характер процесу розвитку кредитних відносин, важливо знати місце і роль спеціалізованих кредитно-фінансових закладів у формуванні середньорегіональних і загальнонаціональних ставок позичкового процента, централізованого регулювання кредиту з боку держави та її органів у формуванні високоорганізованої системи безготівкового грошового обігу, становленні ринку позичкових капіталів і використанні кредитних важелів для ефективного регулювання механізму ринкової економіки. Загалом, роль кредиту і сфери його застосування з поглибленням суспільного поділу праці та зростанням масштабів суспільного виробництва постійно зростає. Зокрема, в процесі відходу від обігу повноцінних грошей до паперово-кредитних зростала залежність грошей в обігу від застосування кредитних операцій. Ще важливішою стає роль кредиту в умовах інфляції. Кредитні, операції за цих умов стають основою досягнення стабілізації купівельної сили грошей.


3. Функції кредиту


Загалом функція - це специфічне відображення дії. Функціями кредиту в ринковий економіці є специфічні ознаки і дії, які відрізняють кредити від інших економічних категорії і виражають його суть. Функцією кредиту є його робота, що охоплює всі форми й різновиди кредиту і формує його як цілісне явище економічного життя.

 <#"813994.files/image006.gif"> <#"813994.files/image007.gif"> <#"813994.files/image008.gif"> <#"813994.files/image009.gif">

де т - кількість разів нарахування процентів протягом року.

Отже, розмір номінальної процентної ставки відображає фактичну величину процентної ставки, що визначається на базі номінальної ставки за мінусом індексу інфляції.

Здатність кредитних інструментів виконувати функції засобів обігу і платежу так поширилась, що нині дозволяє називати їх кредитними грошима. Студенти мають засвоїти специфіку механізму функціонування видів кредитних знарядь векселів, банкнот і чеків та оволодіти особливостями їх розвитку в Україні.

Важливо оволодіти позичковим процентом як знаряддям плати за кредит, його джерелами, навчитися розрізняти види процентних ставок і зрозуміти механізми дії тих факторів, які впливають на зміну ринкових ставок процента, навчитися розраховувати норму процента, ознайомитися з методикою нарахування процентів за кредитами:


де H - норма позичкового процента; Д - дохід, отриманий на позичений капітал; К - сума наданого кредиту.

Депозитна ставка на основі простих процентів розраховується так:


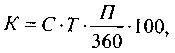
де К - розмір плати за користування коштами; С - сума депозиту чи кредиту; Т- термін користування грошима (у днях); П - процентна ставка.

Дана формула ефективно використовується для обрахунків короткострокового депозиту. Для нарахування заощаджувальних вкладів довготермінового зберігання вживається формула:

= P (1+ R)n

де FV - розмір плати за користування коштами; Р - сума наданих коштів; R - процентна ставка; n - кількість періодів.

Простий процент нараховується за початковим вкладом у кінці одного банківського терміну. Його обчислення виконується на основі такої формули:

= P0·n·R,

де Р0 - початкова сума вкладу; n - кількість нарахувань у роках; R - ставка процента (десятковий дріб).

Приміром, якщо на депозит банку покладено суму в 10 000 грн. на 2 роки за ставки процента у 20% річних, то після завершення строкової угоди власникові буде нараховано за простим процентом:= 10 000 ·0,2·2 = 4000 грн

А загальна сума складе 14 000 грн.

Складні проценти нараховуються з урахуванням нарощення суми у попередньому періоді. Для цього використовується така формула:

= P0·(1+ R)n

За формулою складних процентів депозиторові банк нараховує наступну суму:=10000 · (1+0,2)2 = 14 400 грн

Студентам важливо з´ясувати суть основної ставки процента, за якою комерційні банки надають кредити своїм найкредитоздатнішим клієнтам, ставки процента плаваючої за середніми і довготерміновими кредитами, розмір якої періодично переглядається з узгодженням її між кредитором і позичальником, а ризик перекладається на одержувача кредиту.

Слід звернути увагу на номінальну ставку процента, яка не враховує інфляційного впливу, і реальну ставку процента, що визначається шляхом порівняння товарних еквівалентів у різних інфляційних періодах. Ставка процента реальна (R) розраховується за формулою:= (N-P):(100 + P)100,

де N- номінальна річна процентна ставка, %; Р - річне зростання цін, %.

Якщо проценти нараховуються частіше, ніж раз на рік, то ставка процента реальна (Rm) обчислюється за формулою:


де т - кількість разів нарахування процентів протягом року.

Список використаної літератури

 

1.      Адамик Б.П. Національний банк і грошово-кредитна політика: Навчальний посібник. - Тернопіль: Карт-бланш, 2012. -278 с.

.        Александрова М.М., Маслова СО. Гроші. Фінанси. Кредит: Навчально-методичний посібник. - 2-е видання, перероблене і доповнене. - К.: ПУЛ 2011. - 336 c.

.        Банківські операції/Під. ред. А.М.Мороза. -К.:Лібра, 2010.

.        Бірюков В., Єфімов Ю., Залетов О. та інші Страхове посередництво: теорія та практика. Навчальний посібник. За редакцією О.М.Залєтова - К: Міжнародна агенція "Вве2опв", 2012. -416 с.

.        Бобровников А. 10% за безделье//Бізнес. -2011. - № 41(612). - С 54-55.

.        Боринець СЯ. Міжнародні валютно-фінансові відносини: Підручник. - 2-ге вид., перероб. й доп. -К.: Т-во "Знання", КОО, 2012. -305с

.        Боринець СЯ. Міжнародні фінанси: Підручник. -К: Знання-Прес, 2012. 311с.

.        Васюренко О. В. Банківські операції: Навчальний посібник. -4-тевид. випр. і доп. -К: Т-во "Знання": КОО, 2004. -324с.

.        Гроші та кредит: Підручник / За ред. проф. Б. С. Івасіва. - Тернопіль: Карт-бланш, 2012.-510 с

.        Деньги. Кредит. Банки: Учебник для вузов/Е.Ф. Жуков, Л.М. Максинова, А.В. Печникова и др.;Под.ред. академ. РАЕНЕ.Ф.Жукова. -2-еизд., перераб. и доп . - М.: ЮНИТИ-ДАНА, 2013. - 600с.

.        Загородиш А.Г., Вознюк Г.Л.Ю Смовженко Т.С. Фінансовий словник. -4-те вид., випр. та доп. -К: Т-во "Знання", КОО;Л.:Вид-воЛьвів банк. Ін-ту НБУ, 2012. -566 с

.        Дзюблюк О. В. Організація грошово-кредитних відносин суспільства в умовах ринкового регулювання економіки. - К.: Поліграф книга, 2012. -512 с.

.        Дмитрієнко М., Ющенко В., Литвин В., ЯковлєваЛ. Гроші в Україні: факти і документи. -K..ARC Ukraine, 2011. - с. 454.

.        Коваленко М. А., Білінкіс В.М., СухомлинЛ.Є.: Операції сучасного комерційного банку: Навчальний посібник. Херсон: Олді-плюс, 2012. - 472 с

.        Любунь О. С, Любунь В. С, Іванець І.В. Національний банк України: основні функції, грошово-кредитна політика, регулювання банківської діяльності: Навчальний посібник. - К.: Центр навчальної літератури, 2012. -351 с

.        Кумицький С. Світова ієрархія валют і перспективи її трансформації// Вісник НБУ - К: -2010. -№10. - С 49-53.

.        Лагутін В.Д. Гроші та грошовий обіг: Навч. посіб. -5-тевид., стер . -К.: Т-во "Знання", КОО, 2012. - 199с.

.        Миллер Р.Л., Ван-ХузД.Д. Современные деньги и банковское дело. - М.: ИНФРА.-2012.

.        Міжнародні валютно-кредитні відносини: Підручник/А.С. Філіпенко, В.І. Мазуренко, В.Д. Сікоратаін.;заред. А.С. Філіпенко. -К:Либідь. 2011 с.

.        Міжнародні організації: Навчальний посібник/За редакцією Ю.Г. Козака, В. В. Ковалевського.-К: ЦУЛ, 2013. -288 с

.        Міжнародні фінанси в питаннях і відповідях: Навчальний посібник: 2-е вид., перероб. і допов.-К: ЦУЛ, 2013. -294с.

.        Міжнародні фінанси: Підручник /О. І. Рогач, А.С. Філіпенко, Т.С. Шемет та ін.; за ред. О.І. Рогача. -К.Либідь, 2012. - 784 с

.        Маконнел К.Л., Брю С.Л. Экономике: принципы, проблемы и политика. -К.: Хачар-Демос. -2013. - 263 с.

.        Маслова СО., Опалов О.А. Фінансовий ринок: Навч. посібник. - К: "Каравена", 2012. - 304 с.

.        Трифонов С.В. Україна і МВФ: шляхи подальшої співпраці // Фінанси України. -К. -2012. -№9. - С 113-117.

.        Финансы, денежное обращение и кредит: Учебник. -2-е изд., перебидоп./ В.К. Сенчагов, А.И. Архипов и др.:Пос1 редак. В. К. Сенчагова, А.И. Архжова.- М.: ТКВенби, Изд-ео Проспект, 2004. - 720 с.

.        Ходаківська В.П., Беляева В.В. Ринок фінансових послуг: теорія і практика.: Навчальний посібник. - К.: ЦУЛ, 2012. - 616 с.

.        Борисов СМ. Трансформация мирового рынка золота //Деньги и кредит. - М. -2012. -№1. - С.57-64

.        Ватманюк З І., Дорош О.Л. Небанківські фінансові інститути в економічній системі США//Фінанси України. -2011. -№3. - С 119-127.

.        Геєць В. Ще раз про складові економічного піднесення в Україні//Економіка України. -2011. - №11.-С 17- 26.

.        Дербенцев В. Особливості інфляційних процесів в Україні//Вісник КНЕУ.-2011.-№1.-C. 11-23.

.        Ковбасюк Ю. Стратегічні пріоритети діяльності світового банку в Україні//Економіка України. -К. -2012. -№2. -С. 13-17.

.        Ковбасюк Ю. Участь європейського банку реконструкції і розвитку в реформуванні економіки України//Економіка України. -К. -2011. -№4.

.        Красавина Л. Проблемы денег в экономической науке//Деньги и кредит. - 2011. -№10.

.        Литвицький В. Цінова тахікардія// Банківська справа. -2013. -№ 4.-С. 33 41.

.        Ляшенко В. МВФ в Украине//Общество в экономике. - М. - 2012. -№7-8.- С. 233-267.

.        Найдьонов В. До питання рівняння обміну та монетарної теорії//Економіка України. -2013. -№9.- С 23-29.

.        Нікіфоров П. Глобалізація грошових відносин і проблеми валютної політики України//Вісник ТАНГ. - Тернопіль. -2012. -№ 8-1. - С. 144-148.

.        Шамшетдінов Ю. Пріоритети валютно-курсової політики НБУ// Вісник НБУ. - К. -2012. -№8.- С 9-11.

.        Шаров О. Україна та МВФ: "У пошуках втраченого часу "//Вісник НБУ. - К-2012.-№9.-С 38-46.


Не нашли материал для своей работы?
Поможем написать уникальную работу
Без плагиата!
Без нейросетей!