Финансовая отчетность предприятия
МИНОБРНАУКИ
РОССИИ
Федеральное
государственное образовательное учреждение высшего профессионального
образования
«Нижегородский
государственный педагогический университет
имени
Козьмы Минина»
Факультет
управления и социально-технических сервисов
Кафедра
страхования, финансов и кредита
КОНТРОЛЬНАЯ
РАБОТА
по
дисциплине «Финансы»
На
тему: Финансовая отчетность предприятия
Выполнила: студентка
Группы ЭЗС-13-1 курс 2
Шулепина С. В.
Приняла: пр. Кузнецова Е.А.
г.
Нижний Новгород - 2014 г.
Содержание
Введение
. Экономическое содержание финансовой отчетности
. Требования, предъявляемые к финансовой
отчетности предприятия
. Особенности бухгалтерской отчетности
предприятия за 2014 год
.1 Законодательные нормы
.2 Изменения в годовой бухгалтерской отчетности
в 2014 году
.3 Изменения в отношении форм бухгалтерской
отчетности
.4 Порядок составления и заполнения
бухгалтерской отчетности в 2014 году
. Практическая часть
Заключение
Список литературы
Введение
Бухгалтерская (финансовая)
отчетность - это единая система учетных данных об имуществе, обязательствах, а
также результатах хозяйственной деятельности, составляемых на основе данных
бухгалтерского учета по установленным нормам.
Практически во всех странах на
законодательном уровне действует норма обязательности составления бухгалтерской
отчетности, чтобы обеспечить многочисленных пользователей нужной им информацией
о том или ином субъекте рынка (организации).
Финансовая отчетность
предназначена для отражения достоверных и полных сведений об имущественном и
финансовом состоянии организации и о финансовых результатах ее деятельности.
Эта информация необходима внутренним пользователям бухгалтерской отчетности
(руководителям, учредителям, участникам и собственникам имущества организации)
для принятия экономически обоснованных решений при осуществлении хозяйственной
деятельности, а также внешним пользователям (инвесторам, кредиторам,
государственным органам исполнительной власти и др.).
Если в состав организации
входят филиалы, представительства и иные структурные подразделения, то в
бухгалтерской отчетности следует отражать показатели деятельности по
организации в целом - как по головному подразделению, так и по всем структурным
подразделениям (даже если они выделены на отдельный баланс).
Бухгалтерская (финансовая)
отчетность является связующим звеном между организацией и другими субъектами
рынка. Недостаток информации, предоставляемой пользователям, может негативно
сказаться на развитии деятельности организации. Если потенциальные деловые
партнеры организации не получат интересующих их сведений о финансовой
устойчивости, платежеспособности, перспективах развития организации, то вряд ли
они захотят иметь с ней деловые отношения. Знакомство партнеров с организацией
происходит при изучении публично предъявляемой бухгалтерской отчетности. Анализ
финансово-хозяйственной деятельности организации, проводимый на основе
бухгалтерской отчетности, помогает ее пользователям принимать оптимальные
решения.
Все вышеперечисленное является
значимостью и актуальностью темы работы.
Цель работы - рассмотреть
понятие финансовой отчетности предприятия.
Для достижения поставленной
цели необходимо решить ряд задач.
раскрыть экономическое
содержание финансовой отчетности;
рассмотреть требования,
предъявляемые к финансовой отчетности предприятия
сделать анализ особенностей
бухгалтерской отчетности предприятий за 2014 год.
1. Экономическое
содержание финансовой отчетности
В условиях рыночных отношений
резко возрастает значение достоверной и объективной бухгалтерской отчетности,
так как анализ ее показателей позволяет определить истинное имущественное и
финансовое положение организации.
Бухгалтерская (финансовая)
отчетность - это единая система данных об имущественном и финансовом положении
организации и результатах ее хозяйственной деятельности, формируемая на основе
данных бухгалтерского (финансового) учета.
Бухгалтерская (финансовая)
отчетность позволяет оценить общую стоимость имущества, стоимость
иммобилизованных и мобильных средств, материальных оборотных средств, величину
собственных и заемных источников средств организации.
По данным бухгалтерской
(финансовой) отчетности устанавливается излишек или недостаток источников
средств для формирования оборотных фондов организации, то есть определяется
обеспеченность организации собственными и заемными источниками.
Бухгалтерская (финансовая)
отчетность дает возможность оценить кредитоспособность организации, то есть
способность полностью и своевременно рассчитываться по обязательствам.
Бухгалтерская отчетность
является информационной базой финансового анализа, результаты которого
используются для управления финансово-хозяйственной деятельностью организации,
для оценки эффективности деятельности ее руководства, для выбора направлений
инвестирования капитала. Финансовый анализ может выступать в качестве
инструмента прогнозирования отдельных показателей и финансовой деятельности в
целом.
Составление бухгалтерской
(финансовой) отчетности - одна из стадий бухгалтерского (финансового) учета,
который включает:
) документирование различных
хозяйственных фактов;
) классификацию учетных данных
и отражение на счетах бухгалтерского учета - в учетных регистрах и Главной
книге;
) формирование бухгалтерской
(финансовой) отчетности;
) анализ деятельности
организации, результаты которого используются для принятия различных
управленческих решений.
Посредством бухгалтерской
(финансовой) отчетности реализуется основная задача бухгалтерского учета -
формирование полной и достоверной информации о деятельности организации и ее
имущественном положении и представление этой информации внутренним и внешним
пользователям.
Для удовлетворения общих
потребностей заинтересованных пользователей бухгалтерская отчетность содержит
информацию о финансовом положении организации, финансовых результатах ее
деятельности и изменениях в ее финансовом положении.
Финансовое положение
организации определяется существующими в ее распоряжении ресурсами, структурой
источников этих ресурсов, ликвидностью и платежеспособностью организации, а
также ее способностью адаптироваться к изменениям в среде функционирования.
Информация о финансовых
результатах деятельности организации требуется, чтобы оценить потенциальные
изменения в ресурсах, которые организация будет контролировать в будущем,
прогнозировать способность генерировать денежные потоки на основе имеющихся
ресурсов, обосновать эффективность, с которой организация может использовать
дополнительные ресурсы.
Информация об изменениях
финансового положения организации дает возможность оценить ее инвестиционную,
финансовую и операционную деятельность в отчетном периоде.
Информация о финансовом
положении формируется главным образом в виде бухгалтерского баланса. Информация
о финансовых результатах деятельности организации отражается показателями
отчета о прибылях и убытках. Информация об изменениях в финансовом положении
организации обеспечивается данными отчета о движении денежных средств.
Полнота информации о финансовом
положении организации, финансовых результатах ее деятельности и изменениях ее
финансового положения обеспечивается единством указанных отчетов, а также
соответствующими дополнительными данными.
В условиях рыночной экономики
любая коммерческая организация стремится к извлечению экономических выгод.
Именно целевая направленность является существенной в деловой активности
организации, это же обстоятельство признается важнейшим с точки зрения условий
формирования финансовых ресурсов любой организации, ее финансового капитала.
Все заинтересованные лица могут быть рассмотрены как потенциальные инвесторы
[15].
Заинтересованными
пользователями информации, формирующейся в бухгалтерском учете и отражаемой в
бухгалтерской отчетности, считаются лица, имеющие какие-либо потребности в
информации об организации, обладающие достаточными познаниями и навыками для
того, чтобы понять, оценить и использовать эту информацию, а также желающие
изучать эту информацию.
Физические и юридические лица,
являющиеся пользователями информации, содержащейся в бухгалтерской отчетности,
условно делятся на две основные группы - внутренние и внешние (рисунок 1.).
Рис. 1. Состав внутренних и
внешних пользователей бухгалтерской отчетности
Внутренние пользователи ведут
свою деятельность в рамках данного экономического субъекта. Информация
бухгалтерской отчетности используется ими, прежде всего, для обоснования и
принятия различных управленческих решений, для разработки стратегии и тактики
функционирования и развития организации. Внутренние пользователи, в отличие от
внешних, располагают возможностью использовать данные не только бухгалтерской отчетности,
но и бухгалтерского, оперативного и статистического учета. Для внешних
пользователей эта информация недоступна, так как составляет коммерческую тайну
организации.
С точки зрения информационных
потребностей внутренних пользователей следует отметить, что им необходима
информация о текущем и перспективном финансовом состоянии организации и о
финансовых результатах ее деятельности в разрезе различных отраслевых и
географических сегментов. Работники заинтересованы в информации о стабильности
и прибыльности работодателей; способности организации гарантировать оплату
труда и сохранение рабочих мест.
Внешние пользователи в своей
деятельности обособлены по отношению к данному экономическому субъекту, но
нуждаются в информации о нем. Они могут иметь прямой или косвенный финансовый
интерес к данной организации [6].
2. Требования, предъявляемые к финансовой отчетности предприятия
Объективная необходимость
бухгалтерской отчетности вытекает из потребности оперативного управления
хозяйством и принятия обоснованных решений для оценки эффективности предстоящих
вложений капитала и величины и величины финансовых рисков. В условиях рыночной
экономики процесс формирования показателей, характеризующих результаты
финансово хозяйственной деятельности организации, приобретает новые
количественные и качественные особенности. В этих условиях основное требование
к информации, отраженной в финансовой отчетности, заключается в том, что она
должна быть полезной для заинтересованных в деловых отношениях с данной
организацией. Чтобы информация, содержащаяся в отчетности, была необходимой
пользователям она должна отвечать определенным качественным критериям.
Качественными признаками
отчетной информации, прежде всего, являются: понятность, полнота,
достоверность, существенность, нейтральность, сопоставимость.
Понятность информации
предоставленной в финансовой отчетности, является важнейшим качеством, по
которому отчетность становится полезной пользователям. Суть такого качества
информации заключается в том, что содержание финансовой отчетности должно быть
доступно для понимания пользователей, даже если они не имеют специальной
профессиональной подготовки.
Достоверной и полной считается
финансовая отчетность, сформированная в соответствии с правилами,
установленными нормативными актами по ведению бухгалтерского учета, и ее данные
дают правдивое представление о финансовом положении и финансовых результатах
деятельности организации, а также об изменениях и финансовом положении.
Исходя из принципа
существенности, показатели об отдельных активах, обязательствах, доходах,
расходах и хозяйственных операциях, а также составляющих капитала, должны
приводиться в бухгалтерской отчетности обособлено в случае их существенности,
если без знания о них заинтересованными пользователями, невозможна оценка
финансового положения или финансового результата организации. Каждый
существенный показатель представляется в бухгалтерской отчетности отдельно.
Несущественные суммы аналогичного характера или значения могут объединяться.
Отдельные показатели, не существенные для их обособленного отражения в бухгалтерском
балансу и отчете о прибылях и убытках, могут быть достаточно существенными для
их обособленного представления в пояснениях к бухгалтерской отчетности, без
знания о которых пользователи не смогут оценить прошлые, настоящие или
предстоящие события.
Нейтральность отчетной
информации предполагает ее беспристрастность по отношению к любым пользователям
бухгалтерской отчетности. Поэтому исходя из этого принципа при формировании
финансовой отчетности организацией должно быть исключено одностороннее
удовлетворение интересов одних групп пользователей отчетности перед другими.
Сопоставимость бухгалтерской
отчетности предусматривает возможность сравнения отчетных данных с показателями
предыдущего отчетного периода. Поэтому в соответствии с этим требованием по
каждому показателю бухгалтерской отчетности должны быть приведены данные
минимум за два года - отчетный и предшествующий отчетному, иначе данные
отчетности не могут характеризовать динамику работы организации и,
следовательно, теряют свою аналитичность. Организация может принять решение
сопоставлять данные и за более продолжительный период, включив соответствующие
графы и строки в формы бухгалтерской отчетности и приведя к сопоставимым
единицам. Составление бухгалтерской отчетности в сопоставимых единицах позволяет
осуществлять сравнимость данных о деятельности аналогичных организаций.
Сопоставимость показателей достигается за счет последовательности применения
учетной политики от одного отчетного периода к другому.
Соблюдение указанных принципов
и требований при подготовке финансовой отчетности способствует тому, что
пользователи отчетной информации могут составить правдивую и объективную
картину о деятельности интересующей их организации.
3. Особенности
бухгалтерской отчетности предприятия за 2014 год
.1 Законодательные
нормы
Нормативное регулирование
бухгалтерской отчетности в 2014 году осуществляется практически по тем же
документам, что и в предыдущие годы: Гражданскому, Налоговому и
Административному кодексам Российской Федерации; Постановлениям и Указам
Правительства, Приказам, Положениям и рекомендациям Министерства финансов
Российской Федерации. А также по внутренним актам предприятия. С первого января
2014 года вступил в силу новый закон «О бухгалтерском учете» №402 от 06.12.2011
года - именно его нормами надлежит руководствоваться при оформлении отчетности
в 2014 году.
Согласно новым требованиям, в
состав бухгалтерской отчетности в 2014 году должны входить: бухгалтерский
баланс; отчет о финансовых результатах. и приложения к ним. Пояснительная
записка отныне в состав годовой отчетности не входит. Отчетом о финансовых
результатах теперь будет называться отчет о прибылях и убытках. Те организации,
которые для годовой бухгалтерской отчетности 2014 года должны проходить
аудиторскую проверку и получать заключение аудиторов, по-прежнему проходят
проверку и получают заключение, но заключение теперь не входит в состав годовой
отчетности. Его можно не публиковать в открытом доступе и не предоставлять в
налоговую службу. Но аудиторское заключение подается в обязательном порядке в
Государственный комитет статистики.
3.2 Изменения в
годовой бухгалтерской отчетности в 2014 году
В 2014 году в бухгалтерской
отчетности произошли некоторые изменения. Самое главное изменение касается
периодичности предоставления отчетов и сроков подачи годовой отчетности. Отныне
предприятия (кроме тех, деятельность которых оговаривается специальными
Федеральными законами) не подают в налоговую службу промежуточные бухгалтерские
отчеты, а только годовые. Сроки подачи отчетности за 2012 год были установлены
до первого апреля 2014 года (официально - до тридцать первого марта, но этот
день приходился на воскресение, поэтому срок перенесли).
Кроме этого произошли следующие
изменения: с 2014 года бухгалтерский учет должен вестись всеми предприятиями
вне зависимости от их формы собственности и системы налогообложения. Исключение
составляют лишь индивидуальные предприниматели. Поскольку они по-прежнему не
ведут бухгалтерский учет, то и бухгалтерская отчетность в 2014 году для ИП не
нужна; используемые первичные бухгалтерские документы должны быть утверждены
руководителем предприятия; введено понятие регистры бухгалтерского учета,
которые должны использоваться вместе с приходно-расходными ордерами и
ведомостями. Регистры должны содержать все реквизиты предприятия; как уже было
сказано выше, аудиторское заключение и пояснительная записка не входят в состав
бухгалтерской годовой отчетности, хотя все так же получаются и составляются;
отчет о прибыли и убытках предприятия с 2014 года переименован в отчет о
финансовых результатах; отчет о целевом использовании полученных средств
переименован в отчет о целевом использовании средств; один экземпляр
бухгалтерской финансовой отчетности 2014 в течение трех месяцев с окончания
отчетного периода должен быть предоставлен в Государственный комитет
статистики; учетные, финансовые и бухгалтерские сведения должны храниться в
течение пяти лет.
Изменения в отношении
бухгалтерской отчетности малых предприятий.
Стоит отметить, что в 2012 году
субъектам малого предпринимательства уже были сделаны некоторые послабления по
показателям, учитываемым в отчетности. В 2014 году бухгалтерская отчетность
малых предприятий может содержать сведения без дополнительной детализации - это
что касается бухгалтерского баланса. Отчет о финансовых результатах в 2014 году
также содержит укрупненные показатели, то есть существенно упростился.
.3 Изменения в
отношении форм бухгалтерской отчетности
В новом отчетном году изменения
претерпел не только состав годовой бухгалтерской отчетности 2014 года. С 2014
года для составления бухгалтерского баланса и отчета о финансовых результатах
(бывшего отчета о прибылях и убытках) должны использоваться новые бланки. Их
форма должна быть законодательно установлена. Старые бланки в новом отчетном
году использовать запрещено.
Также установлены новые формы
бухгалтерской отчетности в 2014 году для подачи отчетов в электронном виде.
Согласно новым требованиям, первичные учетные формы имеет право предоставлять
лишь тот работник предприятия, который ведет бухгалтерский учет. Сами формы
этих документов могут быть разработаны на предприятии и утверждены его
руководителем - понятие унифицированной формы отныне упраздняется. Первичные
учетные документы также могут быть оформлены в электронном виде (и заверены
электронной цифровой подписью уполномоченного лица).
Формы учетных документов должны
содержать все обязательные по закону реквизиты и быть зафиксированы в учетной
политике предприятия.
3.4 Порядок
составления и заполнения бухгалтерской отчетности в 2014 году
Несмотря на некоторые изменения
в названиях, бланках и требованиях к ведению бухгалтерского учета отдельных
предприятий (особенно это касается предприятий малого бизнеса), порядок
заполнения и составления бухгалтерской отчетности в 2014 году остался
практически прежним.
Отчетность должна:
отражать все хозяйственные
операции, полученные доходы и обязательства предприятия в полной мере;
быть в полном соответствии с
данными аналитического и синтетического учетов;
содержать достоверные, точные,
существенные, целостные, последовательные данные.
При составлении бухгалтерской
отчетности необходимо: Провести бухгалтерский аудит (для тех предприятий,
которым это требование законодательно установлено). Утвердить и подписать
состав отчета у руководства предприятия. Подать в установленные сроки
отчетность в налоговую службу и Государственный комитет статистики. В случае
если предприятие подпадает под требование о публичности бухгалтерской
отчетности, опубликовать отчетность в открытом доступе.
4. Практическая
часть
финансовый
отчетность бухгалтерский инвестирование
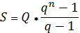
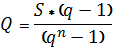
Задание № 1
Оборудование нужно заменять
через 5,5 лет после установки, стоимость замены 18,5 млн. руб. Какую сумму
нужно инвестировать компании в конце каждого года для того, чтобы заменить
оборудование, если инвестиции приносят 20,1 процентов годовых?
Дано:
S=
18,5млн.руб.
n=
5,5 лет
i
= 20,1 %
Найти:Q=
?
Решение:

, где
S- наращенная
сумма,
Q- сумма
ежегодных инвестиций,
i -
процентная ставка.
Q =
2,14млн.руб.
Ответ: 2,14 млн.
руб. необходимо инвестировать компании в конце каждого года.
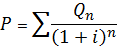
Задание № 2
Ссуда, выданная на год под ставку i= 10,8%
сложных процентов, погашается тремя платежами Q1 = 50 тыс.
руб., Q2 = 60 тыс.
руб., Q3 = 140 тыс.
руб. через каждые четыре месяца. Определить размер ссуды. Каким разовым
платежом может быть погашена ссуда в конце срока? Какими равными
ежеквартальными платежами может быть погашена ссуда?
Дано:
Q1 = 50 тыс.
руб.
Q2= 60 тыс.
руб.
Q3= 140 тыс.
руб.
i = 10,8%
Найти: P, Q0, Q
Решение:
P - размер
ссуды,
Qn - размер
платежей,
i -
процентная ставка,
n- срок
платежа.
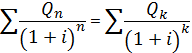
P = 230,7тыс.руб.
Q0 - разовый
платеж в конце срока,
Qn - размер
объединяемых платежей,
i -
процентная ставка,
tn - изменение
срока платежа.
Q0=
255,3тыс.руб.
Qn - размер
заменяемых платежей,
Qk - размер
заменяющих платежей,
n- срок
заменяемых платежей
i -
процентная ставка.
Q=
55,65тыс.руб.
Ответ: размер
ссуды 230,7 тыс. руб.; разовый платеж, которым может быть погашена ссуда в
конце срока 255,3 тыс.руб.; размер ежеквартального платежа55,65 тыс.руб.
Задание 3
Определить,
какой реальной убыточностью обладает финансовая операция, если при уровне инфляции
14% в год капитал вкладывается на два года под номинальную ставку 8% при
ежеквартальном начислении.
Дано:
m = 4= 2
Найти:f- ?
Решение:
, где
S - общая
величина долга;
P - сумма,
которую получает заемщик;
n -
длительность финансовой операции в годах;
m -
количество интервалов в течении 1 года, по окончании которых происходит
начисление процентов;
f-
номинальная учетная ставка.
)
2)
, где
- номинальная учетная ставка,
компенсирующая инфляционные потери
Iu - индекс
инфляции.
Ответ: реальная
убыточность финансовой операции 5 %.
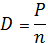
Задание 4
Величина потребительского кредита Р
= 148 тыс. руб., со сроком погашения кредита n = 8 мес.
под процентную ставку i = 20,1% годовых.
При погашении кредита равными
частями и начислении простых процентов на сумму оставшегося долга составить
план погашения процентов I и платежей по кредиту Q в конце
каждого месяца.
Дано:
Р = 148 тыс. руб.
n= 8 мес.
i= 20,1%
Найти: I, Q
Решение:
D - сумма,
ежемесячно идущая на погашение основного долга,
P - величина
кредита,
n - срок
кредита.
D =
18,5тыс.руб.
In -
ежемесячная сумма процентов по кредиту,
in -
ежемесячная ставка по кредиту, 

тыс. руб.

тыс. руб.

тыс. руб.

тыс. руб.

тыс. руб.

тыс. руб.

тыс. руб.

тыс. руб.
Составим план погашения кредита в
форме таблицы:
|
Месяц
|
Остаток
основного долга на начало месяца, руб.
|
Платежи
по кредиту Q, руб.
|
Погашение
основного долгаD, руб.
|
Процентный
платеж I, руб.
|
|
1
|
148000
|
20979
|
18500
|
2479
|
|
2
|
129500
|
20669
|
18500
|
2169
|
111000
|
20359
|
18500
|
1859
|
|
4
|
92500
|
20049
|
18500
|
1549
|
|
5
|
74000
|
19740
|
18500
|
1240
|
|
6
|
55500
|
19430
|
18500
|
930
|
|
7
|
37000
|
19120
|
18500
|
620
|
|
8
|
18500
|
18810
|
18500
|
310
|
Заключение
На основании проделанной работы
можно сделать следующие выводы. Бухгалтерская (финансовая) отчетность - это
единая система данных об имущественном и финансовом положении организации и
результатах ее хозяйственной деятельности, формируемая на основе данных
бухгалтерского (финансового) учета.
В работе рассмотрены следующие
вопросы:
Раскрыто экономическое
содержание бухгалтерской (финансовой) отчетности.
Бухгалтерская (финансовая)
отчетность позволяет оценить общую стоимость имущества, стоимость
иммобилизованных и мобильных средств, материальных оборотных средств, величину
собственных и заемных источников средств организации.
Рассмотрены актуальные
проблемы, отражаемые в экономической литературе по вопросам совершенствования
бухгалтерской (финансовой) отчетности:
Одним из обязательных требований
к бухгалтерской отчетности является ее открытость для всех заинтересованных
лиц. Совершенствование бухгалтерской отчетности международные, финансовые и
хозяйственные связи выдвигают в число первых вопросов мирового уровня, стараясь
приблизить ее содержание и методы к общепринятым международным нормам.
Ознакомлено с
нормативно-правовым регулированием бухгалтерской (финансовой) отчетности в 2014
году. Рассмотрены изменения в годовой бухгалтерской отчетности в 2014 году,
порядок составления и заполнения бухгалтерской отчетности, изменения в
отношении форм бухгалтерской отчетности.
Список литературы
1. Абрютина М.С., Грачев А.В. Анализ
финансово-экономической деятельности предприятия, М., «Дело и сервис», 2012 г.
- 450 с.
. Артеменко В.Г. Финансовый анализ. - М.
ДИС, НГАЭиУ, 2010. - 128 с.
. Артеменко В.Г., Беллиндир М.В.
Финансовый анализ: - М.: ДИС, НГАЭиУ, 2011 г. - 126 с.
. Бережной В.И. Управление финансовой
деятельностью предприятий (организаций). М.: Финансы и статистика, 2010 г. -
336 с.
. Бороненко С.А. Финансовый анализ
предприятий. - Екатеринбург: Изд. Урал. гос. университета, 2010. - 340 с.
. Владимирова Т.А., Соколов В.Г. Анализ
финансовой отчетности предприятия. М: «Дело и сервис», 2010 г. - 150 с.
. Волчков С.А. Оценка финансового состояния
предприятия // Методы менеджмента качества. - 2013. - №3 - С. 22-24.
. Воронов К.Е., Максимов О.А. Финансовый
анализ. Некоторые положения и методики - М: ИКФ «Альф», 2011 г. - 125 с.
. Гиляровская Л.Т. Экономический анализ.
- М.: ЮНИТИ-ДАНА, 2010. - 615 с.
. Грачев А.В. Анализ и управление
финансовой устойчивостью предприятия. - М.: Финпресс, 2012. - 346 с.
. Грачев А.В. Рост собственного капитала,
финансовый рычаг и платежеспособность предприятия // Финансовый менеджмент. -
2013. - №2. - С. 21 - 35.
. Егорова Е.Б. Оценка деловой активности
предприятия // Экономические науки - 2013 - № 11 - С. 31-33.
. Ефимова О.В. Финансовый анализ. М.:
Бух. учет, 2012 г. - 526 с.
. Когденко В.Г. Экономический анализ. М.:
ЮНИТИ-ДАНА, 2010 г. - 390 с.;
. Крейнина М.Н. Финансовое состояние
предприятия: методы оценки. - М.: Дис, 2010 г., 45 с.
. Кузнецова Е.В. Финансовое управление
компанией. - М.: Фонд Правовая культура, 2012. - 247 с.
. Пястолов С.М. Экономический анализ
деятельности предприятий. - М.: Академический проект. - 2011 г. - 156 с.