Расчёт корреляции между живой массой и косой длиной туловища коров холмогорской породы
Курсовая
работа
Расчёт
корреляции между живой массой и косой длиной туловища коров холмогорской породы
Содержание
Введение
.Обзор литературы
.1 Корреляция, регрессия,
наследуемость
.2 Основные селекционные признаки
крупного рогатого скота
.3 Наследование основных
качественных признаков крупного рогатого скота
.4 Хозяйственно-полезные признаки
.4.1 Воспроизводство
.4.2 Удой и продукция молочного жира
.5 Тип телосложения и экстерьера
.6 Генетические корреляции между
признаками продуктивности
.7 Отбор превосходных молочных коров
. Результаты исследований
.1 Расчет выборочных показателей и
их ошибок
.2 Расчет коэффициентов корреляции,
регрессии, наследуемости
.3 Определение достоверности
разности между двумя выборками
. Сравнение результатов собственных
исследований и данных, полученных с использованием ЭВМ
. Заключение
Список использованной литературы
селекция генетическая корреляция
туловище корова
Введение
Цель: Рассчитать
корреляцию между живой массой и косой длиной туловища коров холмогорской
породы.
Задачи курсовой работы:
1. Построить вариационный ряд и рассчитать
основные статистические показатели (М, m,
σ, Сv)
по исследуемым признакам, определить их статистические ошибки;
2. Построить корреляционную решетку и
вычислить коэффициенты корреляции и регрессии, определить взаимосвязь между
признаками;
. Определить достоверность разности между
двумя группами по следующему признаку: косая длина туловища, см.
n1=18; M1=156;
m1=3, 1
n2=12; M2=140;
m2=2, 3
Биометрия
- совокупность приемов планирования и обработки данных биологических
исследований с применением статистических (математических) методов. Основная
задача биометрии - получение комплекса параметров и коэффициентов,
характеризующих членов изучаемой группы животных по одному или нескольким
признакам.
Методы биометрии основаны на теории вероятностей
и законе больших чисел, которые выявляют закономерности проявления случайных
событий на фоне массового материала. В биометрии такой массовый материал
называют генеральной совокупностью. Изучение генеральной совокупности при
большой численности животных - сложное и дорогостоящее мероприятие, поэтому
применяют так называемый метод выборочной совокупности, с помощью которого
можно оценить генеральную совокупность путем отбора меньшей численности исследуемых
животных. При этом выборочная совокупность должна правильно отражать качества и
особенности животных, составляющих генеральную совокупность. Такое условие
обеспечивается отбором части животных из генеральной совокупности по принципу
случайной выборки. Метод случайного отбора членов выборки принято называть
рендоминизацией. Она дает равную возможность любому члену генеральной
совокупности войти в состав рендоминизированной выборки.
Объектом биометрии служит варьирующий признак,
учтенный в группе особей, имеющей достаточную численность, и однородной по ряду
других признаков.
Все хозяйственно полезные признаки
сельскохозяйственных животных подразделяют на качественные и количественные.
К качественным признакам относят пол (мужской
или женский), окраску оперения шерстного покрова (альбинизм,
пигментированность, пятнистость и др.), тип телосложения (конституция грубая,
крепкая, рыхлая, нежная, плотная), форму гребня у кур, окраску скорлупы яиц и
т. д.
К количественным признакам относят удой, живую
массу, содержание жира и белка в молоке, толщину шпика, яйценоскость, массу
яйца, оплодотворенность и выводимость яиц, конверсию корма и др.[1]
Генетика
- наука о наследственности и изменчивости. Наследственность обычно определяют,
как способность организмов воспроизводить себе подобное, как свойство
родительских особей передавать свои признаки и свойства потомству. Этим
термином определяют также сходство родственных особей между собой. Потомки не
являются точной копией родительских особей, так как наряду с наследственностью
им присуща изменчивость, которая проявляется в различиях отдельных органов,
признаков или свойств, или комплекса их у потомков по сравнению с родителями и
родственными особями.
Задачей генетики является изучение передачи
наследственности от родителей потомкам. Преемственность между поколениями
осуществляется путем полового, бесполого и вегетативного размножения. При
половом размножении возникновение нового поколения происходит в результате
слияния материнской и отцовской половых клеток, поэтому потомки несут признаки
обеих родительских форм. Половые клетки составляют ничтожно малую долю
многоклеточного организма. Они содержат наследственную информацию -
совокупность генов - единиц наследственности. Наследственная информация
определяет четкий план онтогенеза, в процессе которого развиваются и
формируются специфические для данной особи свойства и признаки.
Большое внимание в генетике уделяется изучению
изменчивости - способности организмов изменяется под действием наследственных и
ненаследственных факторов. Различают наследственную (генотипическую)
изменчивость и ненаследственную, возникающую под влиянием внешней среды.
Современное изучение наследственности и
изменчивости ведется на разных уровнях организации живой материи -
молекулярном, клеточном, организменном и популяционном.
Генетика занимает ведущее место в современной
биологии и, в свою очередь, опирается на достижения и методы многих ее
отраслей. Одной из важнейших задач генетики является разработка методов
повышения продуктивности животных и урожайности растений.
Генетика является теоретической основой для
совершенствования пород сельскохозяйственных животных, определения
потенциальной продуктивности, контролируемой генотипом, разработки методов
генетической оценки популяций и отдельных особей по потомству.[2]
1.
Обзор литературы
1.1
Корреляция, регрессия, наследуемость
Корреляция
- это взаимная связь признаков в их изменении. По форме корреляция может быть
прямолинейной и криволинейной.
При прямолинейной связи равномерным изменениям
одного признака соответствуют равномерные изменения второго признака при
незначительных отклонениях. Например, при увеличении длины тела на 1 см ширина
его тоже увеличивается на определенную величину.
При криволинейной связи с увеличением одного
признака другой увеличивается до определенного момента, а затем уменьшается
(или наоборот). Например, с увеличением возраста удой увеличивается до 6 - 7-го
отела, а затем у большинства коров снижается. При криволинейной корреляции
связь сначала положительная, затем отрицательная - при увеличении первого
признака второй, коррелирующий с ним, уменьшается. [3]
В зависимости от изменчивости или степени
развития другого признака коррелятивная (соотносительная) изменчивость может
быть положительной или отрицательной. [4] Например, сильному развитию мышц
соответствует крепкий костяк и больший объем легких (положительная корреляция).
Высокий удой, как правило, не сопровождается увеличением содержания жира в
молоке. Высокая яйценоскость не сочетается с крупным размером яиц (отрицательная
корреляция). Однако, планомерной племенной работой можно изменить корреляцию. В
частности, получены породы крупного рогатого скота, сочетающие повышенную
жирность молока с высокими удоями. Нарушением закрепленных связей служит пример
выведения жирнохвостых овец, у которых этот признак сочетается с тонкой
шерстью, тогда как у исходных жирнохвостых пород она грубая, а у овец с тощим
длинным хвостом - тонкая. [5]
Коррелятивная изменчивость оказывает
существенное влияние на онтогенетическую, комбинативную и мутационную
изменчивость.
Онтогенетическую изменчивость можно определить
как совокупность последовательных изменений признаков и свойств особи в
процессе ее индивидуального развития (онтогенеза). В онтогенезе особи
происходит реализация наследственной информации, полученной от родителей, путем
наследственного совместного действия комплекса генов. В результате у животного
или растения формируются органы, признаки и свойства, характерные для данного
вида и присущие только данным особям. В онтогенетической изменчивости важная
роль принадлежит морфогенетическим корреляциям, благодаря которым сохраняется
строго определенный тип развития органов и их признаков. В процессе онтогенеза
каждый признак формируется самостоятельно, но в строгом соответствии с генетическим
детерминированным общим планом развития данной особи.
При комбинативной изменчивости у потомства
возникают новые наследственные сочетания признаков в результате перекомбинации
признаков отцовской и материнской форм. Этот вид изменчивости широко используют
в животноводстве, растениеводстве. Суть комбинативной изменчивости выражена
законом Г. Менделя о независимом наследовании признаков. Причиной комбинативной
изменчивости может быть кроссинговер, определяющий перекомбинацию генов в
группах сцепления родительских хромосом.
Мутационная изменчивость. Наследственные
изменения отдельных признаков, свойств или их комплекса, возникающие в
результате воздействия мутагенных факторов на наследственный аппарат клетки,
называют мутациями. Процесс возникновения мутаций называют мутагенезом, а
организм, у которого мутировал тот или иной признак, - мутантом. Мутации могут
возникать случайно (спонтанные) или в результате воздействия на животное или
растения различных мутагенов (индуцированные). Индуцированную мутационную
изменчивость довольно широко используют в пушном звероводстве. Так, у норок
насчитывают 27 мутаций окраски меха, многие из них имеют определенную ценность
для пушной промышленности. [6]
Иногда в результате корреляционной изменчивости
у организма развиваются одни признаки, повышающие его жизнеспособность, и
другие, понижающие ее. В зависимости от совокупного влияния таких признаков
организм может быть сохранен естественным или искусственным отбором или,
наоборот, элиминирован (выброшен) им.
Коррелятивная изменчивость в известной мере
ограничивает возможности использования комбинативной изменчивости при создании
новых пород животных и сортов растений и требует учета ее при проведении
подобной работы. [7]
В настоящее время изучение коррелятивной
изменчивости становится более актуальным в связи с необходимостью выведения
животных, пригодных для разведения и эксплуатации в условиях промышленной
технологии комплексов. У таких животных высокая продуктивность должна
сочетаться со способностью к нормальному развитию и воспроизводству в условиях,
которые не были обычными для их родителей и более далеких предков. В решении
этой задачи немалую помощь может оказать генетика. [8]
Регрессия
- биометрический параметр, показывающий меру изменения одного признака в
зависимости от изменения коррелирующего с ним другого признака. В исследованиях
по селекции популяционной генетике регрессионный анализ применяют для оценки
зависимости (в натуральных единицах измерения показателей продуктивности)
племенной ценности потомков от племенной ценности родителей и боковых
родственников.
Наследуемость
- доля фенотипической изменчивости признака, в популяции, обусловленная
наследственностью животных.
По степени наследуемости хозяйственно полезные
признаки сельскохозяйственных животных разделяют на высоко наследуемые
(содержание жира в молоке, масса куриного яйца, площадь длиннейшей мышцы спины
у свиней, густота шерстного покрова у овец и др.) и низконаследуемые признаки
(удой, воспроизводительная способность, яйценоскость, настриг шерсти у овец,
число поросят в помете и др.). В зависимости от степени наследуемости
конкретного признака по-разному осуществляется оценка и отбор животных по
нему.[9]
1.2
Основные селекционные признаки крупного рогатого скота
Основными селекционными признаками в системе
племенной работы с крупным рогатым скотом являются такие, которые обеспечивают
повышение молочной и мясной продуктивности, нормальную функцию
воспроизводительной системы, хорошую форму телосложения, здоровье,
приспособленность к современной технологии производства молока и мяса. В
скотоводстве к селекционным признакам относятся величина удоя за лактацию,
содержание жира и белка в молоке, живая масса, выраженность молочного или
мясного типа телосложения, морфологические и физиологические особенности
вымени, состояние здоровья т. д.
В современной селекционной работе уже применяют
такие методы, которые основываются на достижениях частной и общей генетики,
разных ее разделов и учитывают неаддитивную наследственность. При этом
используют иммуногенетику, цитогенетику, популяционную генетику и биохимический
полиморфизм.[10]
1.3
Наследование основных качественных признаков крупного рогатого скота
Качественные признаки не имеют в скотоводстве
большого значения, в то же время некоторые из них служат показателем
принадлежности к породе. Наиболее доступными и генетически изученными являются
такие признаки, как цвет (масть) шерстного покрова, распределение пигментации
по телу, рогатость или комолость. Указанные признаки проявляют четкое
наследование по законам Г. Менделя. Установлено, что черная (SS)
окраска доминирует над красной (ss),
а белая (WW) - над
красной (ww) или черной
окраской. В шортгорнской мясной породе имеются животные с красной и белой
мастью. При скрещивании таких животных получают потомство, шерстный покров
которых состоит из смеси белых и красных волос (чалая масть). Наследование
пегости у крупного рогатого скота имеет рецессивный характер, а сплошной
окраски тела - доминантный. Поэтому при скрещивании черно-пестрого скота с
животными, имеющими сплошную черную окраску, масть потомства І поколения будет
черной (доминантная окраска). Рогатость крупного рогатого скота - рецессивный (hh)
признак, комолость - доминантный (HH).
Если скрещивают комолых быков черной масти, например абердин-ангусской мясной
породы (HHSS)с коровами
рогатыми, имеющими красную масть (hhss),
гетерозиготные животные І поколения будут комолыми с черной мастью (HhSs).
А во ІІ поколении будет наблюдаться следующее соотношение фенотипов: девять
черных комолых, три красных комолых, три черных рогатых и один красный рогатый
(9:3:3:1). В нашем примере комбинирование гамет, несущих гены H,h,S,s,
привело к появлению новых типов (черных рогатых и красных комолых), то есть
возникло такое сочетание признаков, которое отсутствовало у исходных форм. [11]
1.4
Хозяйственно-полезные признаки
К признакам, имеющим наибольшее хозяйственное и
экономическое значение при разведении молочного скота, относятся
воспроизводство, удой, продукция молочного жира, тип телосложения и
продолжительность продуктивной жизни.
1.4.1
Воспроизводство
Нормальное и регулярное воспроизводство
молочного скота имеет важное значение, поскольку лактационный период коровы
начинается с момента рождения теленка. Оценки наследуемости повторяемости
признаков у молочного скота, так же как и у мясного скота, очень низкие. Эти
оценки указывают, что подавляющая часть изменчивости плодовитости обусловлена
условиями среды и что селекция на улучшение этого признака не будет
эффективной. Успех в улучшении показателей воспроизводства в пределах стада
может быть достигнут путем регулирования паратипических факторов, таких, как
кормление, содержание и профилактика болезней.
Низкие оценки наследуемости и повторяемости
плодовитости не означают, что гены не оказывают влияния на этот признак. Это
говорит о том, что величина аддитивной генетической дисперсии, влияющей на
плодовитость, мала, и вполне возможно, что на этот признак большее влияние
оказывает одна или по крайней мере несколько пар генов. Было сообщение, что
гонадальная гипоплазия снижает плодовитость у крупного рогатого скота.
Полагают, что данный дефект обусловлен действием рецессивного гена. Сообщалось
также о врожденной стерильности быков, у которых семя аномальное, что исключает
нормальное оплодотворение. Кроме того, инбридинг зачастую ведет к снижению
плодовитости, так как он способствует проявлению действия рецессивных генов или
исключению эффекта сочетаемости, обусловливаемого сверхдоминированием и (или)
эпистазом.
1.4.2
Удой и продукция молочного жира
Улучшение скота в целях повышения удоев и
продукции молочного жира находилось в центре внимания в селекционной работе в
течение многих лет. Были выведены породы, коровы которых значительно отличаются
по надою молока и продукции молочного жира. Коровы некоторых пород дают много молока
с небольшим процентным содержанием жира, в то время как от коров других пород
получают меньшие удои с большим процентом содержания жира в молоке. Эти
породные различия дают основание предполагать, что молочная продуктивность
находится под генетическим контролем.
Эти оценки показывают, что удой и продукция
молочного жира характеризуются наследуемостью от средней до высокой, поэтому
отбор должен способствовать улучшению этих признаков. Отбор по проценту жира в
молоке должен быть особенно эффективным, поскольку этот признак имеет
наследуемость от 60 до 65 %.
Оценки наследуемости, полученные на идентичных
двойнях, значительно выше, чем оценки, вычисленные по степени сходства
родителей с потомками или сибсов. (Это сходство характеризует в основном
большую часть изменчивости, обусловленной аддитивным действием генов, и лишь
небольшую часть неаддитивной изменчивости.)
Были получены оценки наследуемости и идентичных
двойнях по методу расщепленных двоен с использованием комбинированных данных по
идентичным и неидентичным двойням. Получение оценок наследуемости на двойнях
выше, чем на других группах родственных между собой животных, может быть
объяснено несколькими факторами. Одно объяснение состоит в том, что двойни
более сходны, чем недвойневые родственники, поскольку условия материнской среды
и внешние условия (ввиду их одинакового возраста) более сходны. При оценке по
двойням повышается величина коэффициентов наследуемости, потому что члены пары
двоен сходны между собой в большей степени. В дополнение к этому оценки
наследуемости, определяемые по данным о двойнях, кроме дисперсии, обусловленной
аддитивным действием генов, характеризуют неаддитивную генетическую дисперсию,
такую, как доминантная и эпистатическая дисперсии, несвойственные недвойневым
особям. Оценки наследуемости, полученные на недвойневом материале, по-видимому,
ближе к реализованной (или истинной) наследуемости, которую можно получить
путем отбора в практических условиях. Эти оценки достаточно высоки, чтобы
предположить, что спаривание по принципу лучший с лучшим является подходящей
системой для повышения удоя и продукции молочного жира.
В научных исследованиях определенное внимание
уделялось выяснению вопроса, различаются ли оценки наследуемости в
низкопродуктивных и высокопродуктивных стадах. При анализе продуктивности 13
тыс. коров, полученных от искусственного осеменения, датскими исследователями
было установлено, что оценки наследуемости продукции молочного жира при высоком
уровне удоев были лишь ненамного выше, чем на среднем уровне продукции молока.
Однако оценки наследуемости обоих признаков были ниже у коров на низком уровне
продуктивности. Ни по одному признаку не было найдено взаимодействия стадо×отец
коров, то есть быки одинаково ранжировались на низком, среднем и высоком уровне
продуктивности.
Было сделано заключение, что отбор быков,
намечаемых для использования в искусственном осеменении, на основе
продуктивности их дочерей в высокопродуктивных стадах будет наиболее
эффективным. Аналогичное исследование, проведенное в Швеции, показало, что
наследуемость и повторяемость удоя и процента жира в молоке в
высокопродуктивных стадах были ненамного выше, чем в низкопродуктивных. Эти два
исследования дают основание предполагать, что отбор и оценку по потомству лучше
проводить в стадах со средним и высоким уровнем продуктивности, хотя
преимущество невелико.
1.5
Тип телосложения и экстерьера
На тип телосложения молочного скота большое
внимание уделяют как посетители выставок скота, так и селекционеры при отборе
ремонтного поголовья. Как показано в таблице 18.2, тип телосложения молочного
скота имеет наследуемость, равную 25%, и это указывает, что путем селекции на
улучшение данного признака может быть достигнут лишь небольшой прогресс.
Тип телосложения и экстерьер являются весьма
ценными показателями, поскольку превосходные в этом отношении животные обычно
имеют долгую и высокопродуктивную жизнь. Желательные стати тела молочной коровы
характеризуются величиной и развитием молочной железы, правильным расположением
сосков, крепостью конечностей и размером туловища. Последний показатель дает
возможность судить о способности животного к поеданию и перевариванию
концентратов и грубых кормов в больших количествах.
Различия между коровами молочного и мясного
направления продуктивности по типу телосложения совершенно очевидны. У
молочного скота в целом существует связь между формами телосложения и молочной
продуктивностью, но в пределах породы или стада эта связь, по всей вероятности,
относительно мала. Исследования взаимосвязи между типом телосложения и
продуктивностью в большинстве случаев указывают на положительную, но невысокую
фенотипическую корреляцию между этими признаками. Генетические корреляции этих
признаков также очень низкие, поэтому селекция только типу телосложения дает
незначительное улучшение продуктивности. По-видимому, эти два признака
наследуются независимо друг от друга и для их улучшения необходимо проводить
одновременно отбор по обоим из них.
1.6
Генетические корреляции между признаками продуктивности
Генетические корреляции между различными
признаками у молочного скота приведены в таблице. Приведенные величины
показывают, что существует тесная генетическая корреляция между удоем и
продукцией молочного жира, среднее значение которой равно 0,81. Таким образом,
на оба признака влияние оказывают по существу одни и те же гены и интенсивный
отбор по одному признаку должен привести к улучшению другого. Это благоприятная
корреляция поскольку величина 0,81 положительна. Генетическая корреляция между
удоем и процентом жира в молоке была отрицательной во всех исследованиях и в
среднем равнялась-0,41. Это дает основание предполагать, что значительная часть
множества генов, ответственных за высокий удой, приводит к снижению процента
жира в молоке. Такие же цифры могут быть, очевидно, получены и по связи этих
признаков на двух различных породах молочного скота. Например,
голштино-фризская порода является обильномолочной, но имеет низкий процент жира
в молоке. Коровы джерсейской породы дают меньше молока, но процент жира в нем
гораздо выше. Такая отрицательная генетическая связь не имеет большого
экономического значения, потому что большинство владельцев молочного скота, по
всей видимости, заинтересованы в общем выходе молочного жира и молока, а не в
проценте жира.
Данные, приведенные в таблице 18.3, показывают,
что между продукцией молочного жира и процентом жира в молоке имеется очень
низкая генетическая корреляция. Это означает, что на рассматриваемые два признака
оказывает совместное влияние лишь небольшое число генов и Селекция по одному из
них не должна вызывать генетические изменения в отношении другого.
1.7
Отбор превосходных молочных коров
Молочные коровы за всю свою жизнь дают очень
ограниченное число потомков, поскольку продолжительность их продуктивной жизни
короткая, а темпы размножения низкие - обычно корова в год даст лишь одного
теленка. Поэтому путем отбора коров по высокой молочной продуктивности в
течение ряда лет невозможно достичь большого улучшения. Тем не менее очень
важно определить продуктивность каждой коровы по удою и продукции молочного
жира за стандартную 305-дневную полновозрастную лактацию при двукратном доении.
Коровы с плохими данными затем могут быть выбракованы, что способствует
повышению средней продуктивности стада. Телки для ремонта должны быть отобраны
от наиболее высокопродуктивных коров, которые генетически также являются
превосходными. Будущие производители для стада должны быть отобраны из числа
бычков, полученных от наилучших коров.[12]
2.
Результаты исследований
2.1
Расчет выборочных показателей и их ошибок
а)
|
Wn-Wk
|
f
|
a
|
f*a
|
f*
|
|
1
|
468-511
|
7
|
-1
|
-7
|
7
|
|
2
|
511,1-554
|
12
|
0
|
0
|
0
|
|
3
|
554,1-597
|
11
|
1
|
11
|
11
|
|
4
|
597,1-640
|
5
|
2
|
10
|
20
|
|
5
|
640,1-683
|
5
|
3
|
15
|
45
|
|
Ʃ
|
40
|
|
29
|
83
|
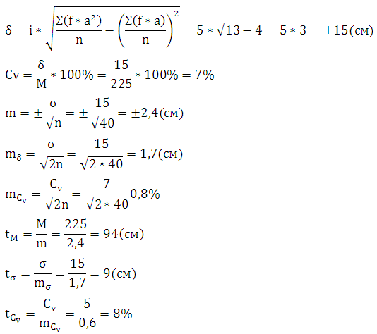
Min=468 max=683=5=40
Вывод: определив средние биометрические
показатели,
получили следующие данные: средняя масса коров холмогорской породы составила
403(кг), при этом стандартное отклонение составило ±22(кг), а коэффициент
изменчивости 5(%), что говорит о средней изменчивости признака.
б)
|
Wн-Wк
|
f
|
a
|
f*a
|
f*
|
|
1
|
142-147
|
12
|
0
|
0
|
|
2
|
147,1-152
|
10
|
1
|
10
|
10
|
|
3
|
152,1-157
|
7
|
2
|
14
|
56
|
|
4
|
157,1-162
|
7
|
3
|
21
|
189
|
|
5
|
162,1-167
|
4
|
4
|
16
|
256
|
|
Ʃ
|
40
|
|
61
|
511
|
Min=142 max=167=5=40
Вывод: определив средние биометрические
показатели,
получили следующие данные: средняя длина туловища коров холмогорской породы,
составила 225(см), при этом стандартное отклонение составило ±15(см), а
коэффициент изменчивости 7%, что говорит о средней изменчивости признака.
2.2
Расчет коэффициентов корреляции, регрессии, наследуемости
|
y x
|
468-511
|
511,1-554
|
554,1-597
|
597,1-640
|
640,1-683
|
|
|
|
|
|
142-147
|
-1
|
-3
|
-2
|
-2
|
|
8
|
-1
|
-8
|
8
|
|
147,1-152
|
0
|
0
|
0
|
0
|
0
|
11
|
0
|
0
|
0
|
|
152,1-157
|
|
2
|
2
|
2
|
1
|
7
|
7
|
7
|
|
157,1-162
|
6
|
6
|
4
|
2
|
2
|
10
|
2
|
20
|
40
|
|
162,1-167
|
|
|
6
|
|
6
|
4
|
3
|
12
|
36
|
|
|
6
|
13
|
10
|
6
|
5
|
Ʃ=40
|
|
Ʃ=31
|
Ʃ=91
|
|
|
-1
|
0
|
1
|
2
|
3
|
|
|
|
|
|
|
-6
|
0
|
10
|
12
|
15
|
Ʃ=31
|
|
|
|
|
|
6
|
0
|
10
|
24
|
45
|
Ʃ=85
|
|
|
|
|
Ʃ
|
5
|
5
|
10
|
2
|
9
|
Ʃ=31
|
|
|
|
|
|
-5
|
0
|
10
|
4
|
27
|
Ʃ=36
|
|
|
|
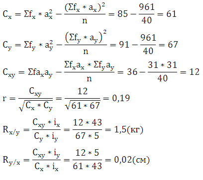
Вывод: Взаимосвязь между живой массой коров и
косой длиной туловища положительная, прямя т. к. r
= 0,19.
При увеличении живой массы коров на 1кг, косая длина туловища увеличивается на
0,02см. При увеличении косой длины туловища на 1см, живая масса коров
увеличивается на 1,5кг.
2.3Определение
достоверности разности между двумя выборками.
=3, 1
ʋ - число степеней свободы
ʋ=
Вывод: расч.>табл. - вероятность достоверная,
разница между двумя группами может быть признана достоверной т.к.
при
вероятности 0,001.
3.
Сравнение результатов собственных исследований и данных, полученных с
использованием ЭВМ
|
Показатели
|
Результаты
|
|
При
построении вариационного ряда и корреляционной решетки
|
С
использованием ЭВМ
|
|
М
по первому признаку
|
403
|
565
|
|
М
по второму признаку
|
225
|
153
|
|
σ
по
первому признаку
|
22
|
54
|
|
σ
по
второму признаку
|
15
|
7
|
|
по
первому признаку
|
5
|
10
|
|
по
второму признаку
|
7
|
5
|
|
r
|
0,19
|
0,17
|
|
|
1,5
|
1,31
|
|
|
0,02
|
2,21
|
|
|
0,38
|
0,34
|
4.
Заключение
1. Определив средние биометрические
показатели, получили следующие данные: средняя масса коров холмогорской породы
составила 403(кг), при этом стандартное отклонение составило ±22(кг), а
коэффициент изменчивости 5(%), что говорит о средней изменчивости признака.
. Определив средние биометрические показатели,
получили следующие данные: средняя длина туловища коров холмогорской породы,
составила 225(см), при этом стандартное отклонение составило ±15(см), а
коэффициент изменчивости 7%, что говорит о средней изменчивости признака.
. Взаимосвязь между живой массой коров и косой
длиной туловища положительная, прямя т. к. r
= 0,19. При увеличении живой массы коров на 1кг, косая длина туловища
увеличивается на 0,02см. При увеличении косой длины туловища на 1см, живая
масса коров увеличивается на 1,5кг.
. расч.>табл. - вероятность достоверная,
разница между двумя группами может быть признана достоверной т.к.
при
вероятности 0,001.
Список
использованной литературы
А. В. Бакай, И. И. Кочиш, Г. Г.
Скрипниченко, Ф. Р. Бакай. Практикум по генетике. Москва 2010г.
Е. К. Меркурьева, З. В. Абрамова, А.
В. Бакай, И. И. Кочиш. Генетика. Москва 1991г.
С. Х. Ларцева, М. К. Муксинов.
Практикум по генетике. Москва 1985г.
А. В. Бакай, И. И. Кочиш, Г. Г.
Скрипниченко. Генетика. Москва 2006г.
Е. К. Меркурьева, Г. Н.
Шангин-Березовский. Генетика с основами биометрии. Москва 1983г.
О. А. Иванова. Генетика. Москва
1974г.
Н. З. Басовский, Н. Г. Дмитриев, Б.
В. Александров и др. Справочник. Племенная работа. Москва
Дж. Ф. Лэсли. Генетические основы
селекции сельскохозяйственных животных. Москва