Меліорація земель
Зміст
Вступ
. Загальна частина
.1 Водне господарство України і
його значення
.2 Стан зрошення півдня України
.3 Місце розташування
зрошуваної ділянки, характеристика природних умов, обгрунтування необхідності
зрошення
. Розрахункова частина
2.1 Розрахунок кількості та вартості
сільськогосподарської продукції
.2 Визначення кількості та вартості
одержаної сільськогосподарської культури
2.3 Визначення щорічних витрат
виробництва
.4 Розрахунок затрат праці та
її продуктивності
.5 Визначення очікуваного
доходу і окупності капітальних вкладень
Література
Вступ
Водне господарство України має велике значення
для збільшення виробництва сільськогосподарської продукції.
Основне завдання водного господарства -
забезпечення всіх галузей народного господарства водою в необхідній кількості і
відповідної якості. Ця галузь сформувалася в нашій країні за останні 20.. .25
років.
Водне господарство найбільш пов'язане із
сільським господарством де споживається біля 50% води для зрошення. Подальший
розвиток сільського господарства нерозривно пов'язаний із меліорацією земель.
Меліорація земель представляє собою
комплекс технічних організаційно-господарських та агрохімічних заходів з
корінного поліпшення земель із несприятливими водно- фізичними і хімічними
властивостями.
Розвиток меліорації земель
визначається тим, що в Україні біля 50% ріллі знаходиться у посушливих районах,
чимшіо сільськогосподарських угідь шляхом проведення осушувальних меліорацій,
захист ґрунтів від ерозії.
В окремих областях, в багатьох районах
меліоровані землі стали основою сільського господарства. В Херсонській області
на поливних землях одержують до двох третин загального збору зерна, 90% овочів,
половина збору кормів.
Народногосподарське значення меліорації земель
не обмежується лише приростом обсягу виробництва сільгосппродукції. Велика роль
належить меліорації земель і в соціально-економічному перетворені села, великих
регіонів. Про це свідчить житлове та культурно-побутове будівництво на селі,
будівництво доріг, поліпшення умов в тих регіонах, де проведені значні
меліоративні роботи.
Здійснення меліоративних заходів потребує
значних витрат коштів.
З метою підвищення економічної
ефективності витрат на меліорацію земель необхідно уже на стадії проектування
гідромеліоративних об'єктів проводити економічне обгрунтування капітальних
вкладень, яке повинно бути обов'язковою складовою частиною всіх проектів на
меліорацію земель.
Капітальні вкладення, що використовуються для
здійснення меліорації земель, забезпечують одержання відповідних результатів на
меліорованих землях, які прийнято називати ефектом. Ефект - це наслідок або
результат здійснення тих чи інших меліоративних заходів.
В результаті здійснення меліорації земель
виникають такі види ефекту: економічний, екологічний, соціальний.
Економічний ефект від здійснення
меліоративних заходів представляє собою збільшення обсягів виробництва
продукції, приріст прибутку, чистого доходу, ріст продуктивної праці, зниження
собівартості продукції, тощо.
Соціальний проект від меліорації земель
обумовлений приростом матеріальних благ за їх рахунок, і виражається,
насамперед у підвищенні добробуту населення, культурного
рівня.
Екологічний ефект представляє собою поліпшення
навколишнього природного середовища, створенням сприятливих умов для проживання
населення, поліпшення якості земельних та водних ресурсів.
Підвищення економічної ефективності
капітальних вкладень у меліорацію земель в значній мірі досягається
техніко-економічних заходів, які оцінюються як з технічного так і з
економічного боку.
Економічне обгрунтування (оцінка)
меліоративних заходів спрямоване на визначення економічної ефективності і
господарської доцільності здійснення цих заходів.
Основна мета, яку ставлять при
визначенні економічної ефективності капіталовкладень у меліорацію земель
полягає в тому, щоб відібрати найбільш економічні варіанти капітальних
вкладень, забезпечити одержання максимального ефекту при найменших витратах
праці і засобів виробництва. Ця вимога лежить в основі підвищення економічної
ефективності капітальних вкладень у меліорацію земель в значній мірі
досягається техніко-економічних заходів, які оцінюються як з технічного так і з
економічного боку.
Економічне обґрунтування (оцінка)
меліоративних заходів спрямоване на визначення економічної ефективності і
господарської доцільності здійснення цих заходів.
Основна мета, яку ставлять при
визначенні економічної ефективності капіталовкладень у меліорацію земель
полягає в тому, щоб відібрати найбільш економічні варіанти капітальних
вкладень, забезпечити одержання максимального ефекту при найменших витратах
праці і засобів виробництва. Ця вимога лежить в основі підвищення, ефективності
меліорації земель на всіх стадіях інвестиційного процесу: планування,
проектування, будівництво, експлуатація ГМС і сільськогосподарського
використання меліоративних земель.
Виходячи із сучасних вимог до меліорації земель,
необхідно, щоб методика по визначенню ефективності меліораційних земель
передбачала:
Ø обґрунтування альтернатив, тобто
шляхів вирішення поставлених завдань по збільшенню виробництва сільськогосподарської
продукції;
Ø оцінку кожної альтернативи;
Ø виставлення альтернатив і вибір
оптимального варіанту вирішення завдань по збільшенню виробництва сільської
продукції.
Важливим показником, який характеризує
ефективність вкладання коштів у водогосподарські заходи, є показником
собівартості. В слідуючій таблиці розраховується собівартість продукції
рослинництва, яка вирощується на зрошувальних землях, а також по кожній
культурі одержуємий економічний ефект. Собівартість
визначається для продукції, яка вирощується на зрошенні, як відношення сумарних
витрат до розміру валової продукції. Для продукції, яка вирощується без
меліорації, як відношення сільськогосподарських витрат до розміру валової
продукції. Для цих розрахунків
треба користуватися даними розрахованими в попередніх таблицях. Так із таблиці
2.1
- розмір валової продукції, а із таблиці 2.6 - сільгосп витрати без меліорації
у сумарні витрати з меліорацією.
1.
Загальна частина
.1 Загальні відомості про водне господарство
України
Ставлення до води є мірилом цивілізованості ,
культури і рівня розвитку Нації. Вода є фізичною основою всього живого на
землі.
Людство поступово усвідомлює, що відбувається
глобальне забруднення навколишнього середовища, природні ресурси вичерпуються і
особливо головний з них - вода.
Водні ресурси України в сучасних умовах - один з
головних лімітуючи чинників розвитку і розміщення продуктивних сил. Вони також
повною мірою визначають рівень життя і здоров'я населення.
Усі води на території України є водним фондом
країни.
До цього фонду належать:
· поверхневі води: природні водойми, водотоки,
штучні водойми і канали;
· підземні води та джерела;
· внутрішні морські води.
В сільському господарстві водні ресурси
використовують для потреб сільського населення, тваринництва, а також для
водних меліорацій. Усього сільське господарство споживає 30% об'єму води, яку
збирають з водних джерел для задоволення потреб населення і галузей економіки.
Головним завданням водного господарства є
планомірне забезпечення населення та галузей економіки водою в необхідній
кількості та відповідної якості.
Основні складові водогосподарського комплексу:
· водопостачання населених пунктів,
промисловості, СГ виробництва;
· зрошення земель і обводнення
посушливих районів;
· гідроенергетика;
· водний транспорт;
· рибне господарство.
Усіх їх об'єднає використання або споживання
водних ресурсів.
Водним господарством називається галузь
господарства, що розробляє і впроваджує заходи щодо використання поверхневих і
підземних вод і боротьби з їхньою шкідливою дією. Водогосподарські комплекси -
це сукупність гідротехнічних споруд, соціально-економічних і технічних заходів
щодо використання водних ресурсів в інтересах ефективного розвитку всіх галузей
економіки. Галузі, які
збирають воду або використовують її з даного водогосподарського комплексу
водного об'єкта, називають учасниками. За
своєю дією та характером використання водних ресурсів учасники ВГК поділяють на
водо споживачів і водокористувачів.
Водоспоживачі забирають воду з водних об'єктів,
при цьому частина води витрачається безповоротно. До них належать промислове і
комунальне водопостачання, зрошення, теплова і атомна енергетика.
Водокористувачі
не забирають воду з водних об'єктів, а лише використовують її для виконання
різних операцій. До них належать гідроенергетика, водний транспорт, лісосплав,
рибне господарство. Сільське
господарство є одним із найбільших водо споживачів.У розрахунку на одного
мешканця України припадає 0,65 га ріллі, тоді як у середньому по Європі 0,25
га.
Основними
водоспоживачами в сільському господарстві є зрошення, обводнення і СГ
водопостачання тваринницьких ферм. Найбільш водомісткими є зрошення.
Розорені землі охоплюють 1/10 частину суші планети, з них лише 1/6 зрошується,
проте на цій площі одержують до 50% усієї СГ продукції.
Джерелами води для зрошення є : річки, підземні води, озера, атмосферні води. Залежно
від показників джерела зрошення визначають можливу площу зрошення та характер
подачі води на систему, прогнозують характер впливу зрошення на природні та
штучно створені екосистеми, зокрема на величину та якість урожаю.
1.2 Стан зрошення півдня України
Головним завданням експлуатаційних
підрозділів Херсонського облводгоспу є забезпечення безперебійної подачі води
для поливів сільськогосподарських культур, безаварійної роботи каналів,
трубопроводів гідротехнічних споруд та інших робіт пов'язаних із експлуатацією
меліоративних систем. Щорічно на меліоративних системах
водогосподарськими організаціями виконується цілий комплекс ремонтних та
налагоджувальних робіт, який дозволяє утримувати на високому технічному рівні
зрошувальні системи та забезпечувати їх належну та довгострокову роботу.
Важливими умовами високоефективного використання
зрошуваних земель є технічне обслуговування внутрішньогосподарських мереж.
Управліннями зрошувальних систем надається
практична допомога сільгосптоваровиробникам у виконанні ремонтних робіт,
підготовці мережі до поливу, послуг з подачі води на зрошення, наданню
експрес-інформації щодо призначення строків та норм поливів в залежності від
вологості фунтів. Надання послуг проводиться на платній договірній основі.
Управління
зрошувальних систем мають виробничі бази, необхідну техніку і механізми,
автотранспорт, які дозволяють виконувати весь комплекс робіт по забезпеченню
працездатності меліоративних систем області. В структурі облводгоспу діють
спеціалізовані підприємства по: ремонту електродвигунів потужністю до 400 кВт,
силових трансформаторів потужністю до 1600 кВт.
Досвід роботи передових господарств свідчить про
великий потенціал зрошуваного гектару, про значний резерв, який закладений в
галузі зрошуваного землеробства.
У відповідності з Концепцією розвитку водного
господарства України затвердженою Постановою Верховної Ради України від
14.01.2000р., була розроблена Програма розвитку водогосподарського комплексу
Херсонської області, якою передбачено основні стратегічні цілі та головні
напрямки розвитку водогосподарського комплексу, де головна увага приділяється
відновленню масштабів зрошення на новому технічному рівні, робіт насосних
станцій, міжгосподарської зрошувальної мережі та дренажних систем.
Найголовнішим здобутком меліорації в
Херсонській області є те, що в нових соціально-економічних умовах вдалося, в
цілому, зберегти від руйнації існуючу міжгосподарську інфраструктуру зрошення. Це
сьогодні є добрим підґрунтям для спрямованого поступу вперед. Мова сьогодні йде
не про зведення нових меліоративних об'єктів, а про підтримку в належному стані
існуючих споруд, мереж і обладнання, їх технічне вдосконалення, впровадження
ефективних і перспективних науково-практичних розробок подальшого розвитку
водогосподарського комплексу.
Поряд із суттєвими здобутками у розвитку
водогосподарського і меліоративного комплексу області, на зрошуваних землях є
ряд проблем. До основних проблем, пов'язаних з антропогенною діяльністю, в т.ч.
і гідромеліорацією відносяться, в першу чергу підтоплення зрошуваних ландшафтів
та прилеглих до них територій, включаючи і населенні пункти;
Необхідна
державна підтримка сільгоспвиробників, зокрема, компенсація
витрат на відновлення зрошувальних мереж, на придбання дощувальних машин,
оплату електроенергії, що витрачається на подачу води.
На сучасному етапі науково-технічною
розвитку аграрна наука має обґрунтування для забезпечення необхідного рівня
продуктивності агроценозів для повного задоволення населення вітчизняними
продуктами харчування та сільськогосподарською сировиною.
Однією із головних умов розв'язання
проблеми підвищення родючості фунтів є зрошення. З метою
забезпечення ефективного функціонування водного господарства та раціонального
використання меліорованих земель Указом Президента України від 23.03.98р. №
670/98 "Про заходи щодо державної підтримки водогосподарсько-
меліоративного комплексу" визнано за необхідність здійснити заходи щодо
державної підтримки водогосподарсько-меліоративного комплексу, спрямувавши
основні зусилля на поліпшення якості забезпечення водними ресурсами населення і
галузей економіки, розв'язання надзвичайно гострих водогосподарських і
екологічних проблем, підвищення рівня сталості та ефективності аграрною
виробництва, зменшення його залежності від несприятливих природно-кліматичних
умов. У відповідності з вимогами і цілями сьогодення в Херсонській області
розроблені і діють програми :
· "Комплексна
програма захисту від шкідливої дії вод сільських населених пунктів і
сільськогосподарських угідь в Херсонській області;
· "Комплексна програма розвитку меліорації
земель і поліпшення екологічного стану зрошуваних угідь;
· "Комплексна програма
першочергового забезпечення сільських населених пунктів, що користуються
привозною водою, централізованим водопостачанням.
Незважаючи на проблеми і труднощі, які склалися
в останні роки водогосподарському комплексі Херсонщини, завдяки зусиллям і
допомозі з боку Уряду держави, Держводгоспу України.
Херсонська область розташована у найбільш
посушливій зоні Південного Степу України. Середньорічна кількість атмосферних
опадів, за даними 123- річних спостережень Херсонської обласної
агрометеорологічної станції, становить 373,4 мм, а температура повітря
10,1
оС. Більш 40 % років сума опадів не перевищує 350 мм, а середньорічні витрати
вологи в регіоні становлять 750-850 мм. Науковими дослідженнями і практикою
встановлено, що стабільне ведення ефективного землеробства в Південному Степу
України можливе, якщо річна кількість опадів перевищує 550 мм, а на Херсонщині
таких років було 13 з 123. В цьому зв'язку головним фактором розвитку
сільського господарства на півдні України є гідромеліорація. До 1990 р. в
Херсонській області було 475,2 тис. га зрошуваних земель,
або 25% до загальної посівної площі. У період 1986-1990 рр., коли потенціал
зрошення використовувався на повну потужність, виробництво зерна на поливних
землях становило 28,6%, овочів - 86,6%, технічних
культур - 25,8%, кормових - 63,1% до загального обсягу виробництва.
За
даними Херсонського державного аграрного університету та Інституту зрошуваного
землеробства УААН (зараз Інститут землеробства південного регіону УЛАН),
зрошення в Херсонській області дає позитивні результати щорічно, тому що за всі
роки спостережень на агрометеорологічній станції максимальна річна кількість
опадів становила 679 мм (1997 р.).
Прибавка врожаю від зрошення за роками
забезпеченості досить стабільна, змінюються (і дуже суттєво) витрати
безпосередньо на поливи -в залежності від водності років. Особливо це
стосується зернових і технічних культур.
Так, у вологі роки прибавка врожаю зерна
кукурудзи від зрошення становить 64,7 ц/га, у посушливі - 70.2 ц/га, сої - 20,6
і 21,3 ц/га відповідно.
За даними наукових досліджень середній прибуток
від зрошення (в цінах 2002 року) становить: озимої пшениці 896 грн/га, озимого
ячменю -498, ярого ячменю-302, кукурудзи на зерно - 1758, сої - 1226, соняшнику
- 529, кукурудзи на силос - 2067, люцерни минулих років -1706, картоплі - 4528
грн/га тощо. Дуже високий прибуток (10 -16 тис. грн/га) забезпечує зрошення на
овочевих культурах, винограді, фруктах та ягодах. Зважаючи на це, доцільно
будівництво систем крапельного зрошення в області на площі 49,4 тис. га з метою
вирощування овочевих культур і плодово-ягідних насаджень. Виробництво рису без
зрошення взагалі неможливо. Тому потребують відновлення рисові системи на площі
10,9 тис. га. Крім того, суттєво підвищують прибуток від зрошення насіннєві
посіви зернових, кормових і технічних культур. Незважаючи на суттєве зменшення
водоподачі на зрошення, обсягів застосування агроресурсів, поливні землі і
сьогодні залишаються чинником стабілізації аграрного виробництва в області.
Особливо це стосується підприємств зі значною площею зрошуваних земель.
Аналізуючи прибуток від зрошення
окремих культур, необхідність вирішення економічних і соціальних питань,
збереження родючості грунтів і раціонального використання водних ресурсів,
можна спланувати науково обґрунтовану структуру посівних площ і багаторічних
насаджень на зрошуваних землях області. Питома вага багаторічних насаджень
повинна бути 8-10% від площ зрошення, з розміщенням в центральній, південній і
південно-західних частинах області на супісках і легкосуглинкових фунтах. В
структурі посівних площ на зрошенні у зерновій групі (40-45 %) перевагу слід
надавати кукурудзі та озимій пшениці, у кормовій групі (30-35 %) - багаторічним
травам, кукурудзі на силос і кормовим бурякам, в групі технічних культур (10-15
%) - сої і насіннєвим посівам соняшнику, в групі овоче-баштанних культур і картоплі
(10-15 %) - томатам, перцю, баклажанам
і картоплі. На сьогодні в області реально зрошується 272,8
тис. га, або 64 % до наявних поливних земель.
У попередні роки ця площа була ще меншою.
Верховна Рада України 18 жовтня 2005 року прийняла Закон України "Про
основні засади держаної аграрної політики на період
до 2015 року", яким поряд з іншими пріоритетами державної аграрної
політики, передбачена державна підтримка сільськогосподарських
товаровиробників, які використовують меліоровані землі, особливо щодо утримання
внутрішньогосподарських меліоративних систем та оплати електроенергії, що
витрачається для подачі води для поливу. У відповідності із вищенаведеними
висновками в області підготовлений науково обґрунтований проект програми
розвитку меліорації в Херсонській області на 2006-2010 роки, якою
передбачаються розпочати масштабні роботи по створенню нових площ зрошення та
корінного поліпшення наявних поливних земель, у тому числі: продовження
будівництва зрошувальних систем на площі -186,5 тис. га, з них краплинного
зрошення - 15 тис. га, проведення реконструкції меліоративних систем - 80 тис.
га, з них рисових -10,9 тис. га за рахунок виділених з державного бюджету
коштів в розмірі 750 млн. грн. на вказаний період.
1.3 Місце
розташування зрошувальної ділянки, природні умови, необхідність зрошення
Земельна ділянка розташована в
Херсонській області, Каховському районі, село Архангельська Слобода. Фірма, за
я кою числиться дана ділянка має назву "Смерічка", розташована за 1
кілометр від села. Село Архангельська Слобода розташоване в 37 км на південний
схід від районного центру і за 4 км від автодороги "Каховка -
Новоалексіївка". На території села розміщена центральна садиба радгоспу
імені В.К.Блюхера. Закріплено 5509 га сільськогосподарських угідь, в тому числі
5418 га орної землі, з них 3074 зрошуваної. Недалеко від села прокладений
Каховський магістральний канал імені В.І.Леніна. Господарство спеціалізується
на виробництві овочів, вирощує зернові і баштанні культури, виробляє молоко і
м'ясо. Підсобне виробництво-цех по переробці овочів. За успіхи в розвитку
сільськогосподарського виробництва 36 трудівників села удостоєні орденів і
медалей Союзу Радянських Соціалістичних Республік (СРСР).
Клімат - помірно - континентальний,
посушливий. Тривалість без морозного періоду
в середньому 179 днів на рік. Середньорічна кількість опадів від 300 до 420 мм.
За сильного вітру часом навіть узимку виникають пилові бурі. Нижче, в табличній
формі винесено основні кліматичні показники в Каховському районі. За останні
100-120 років температура в Каховському районі, так само як і в цілому на
Землі, має тенденцію до підвищення. Протягом цього періоду середньорічна
температура повітря підвищилася щонайменше на 1°С.
Найтеплішим за всю історію виявився 2007 рік. Більшим у цілому є підвищення
температури в першу половину року. У межах ділянки зрошення, що описується, є
південна частина області Причорноморської акумулятивної рівнини; за типом
рельєфу вирізняється слабко розглядана лесова рівнина, верхня тераса якої - це
смуга довгого пониження. Рівнинна територія, яка має загальний похил на південь
та трохи на південний захід з більшою кількістю різних за величиною подів.
Ґрунтовий покрив області різноманітний. В північній частині переважають
чорноземи південні на лісових породах, на півдні переходять в каштанові ґрунти
в комплексі з солончаками і солонцями. Чорноземи південні займають 45%
території області, темно-каштанові і каштанові ґрунти - 43%, піщані ґрунти -
2%, подові - 7%, інші - 3%. Природні ресурси села, де розташована зрошувана
ділянка багаті, але не різноманітні. Мінерально-сировинні ресурси
характеризуються незначними запасами корисних копалин, порівняно невисоким
ступенем їх геологічної вивченості та освоєння. Із добре вивчених тільки глина
і солі. Земельні ресурси - це один з найважливіших видів природних ресурсів.
Земля є базисом розвитку продуктивних сил та розселення, виступає головним
засобом виробництва і предметом праці в сільському господарстві. Природна
родючість земель знаходиться на великому рівні. Суттєві зміни в земельному
фонді, які виявились в структурних зрушеннях в результаті земельної реформи,
вимагають здійснення заходів по охороні земель, зокрема, створення захисних
лісових насаджень. За гідрогеологічним районуванням зрошувана ділянка
знаходиться в зоні недостатнього водопостачання рівнинної частини України.
Природними чинниками формування підземних вод є
інфільтрація
атмосферних опадів і поверхневих вод в межах басейну і надходження атмосферних
опадів і поверхневих вод з Українського кристалічного щита. Загальний напрям
руху підземних вод - на південь, в цьому ж напрямі збільшується мінералізація
води. Водоносний комплекс відкладень на глибині 1.5 - 240 метрів складається з
гідравлічно-зв’язаних між собою водоносних пісків і вапняків, розділених водостійкими
породами. Прогнозовані ресурси підземних вод з мінералізацією до 3 грам/літр
складають в херсонській області 4.05 мільйонів кубічних метрів, що становить
65% прогнозованих ресурсів Причорноморського артезіанського басейну. Ґрунтові
води розташовані на глибині 25 - 40 метрів. На ступінь мінералізації ґрунтових
вод основний вплив створює близькість до Каховського водосховища. Водоносний
комплекс неочищених відкладень на глибині 1.5 - 220 метрів з
гідравлічно-зв’язаних між собою водоносних пісків і вапняків, розділені
водостійкими породами. Забезпеченість питними підземними водами на одного
жителя складає 0.2-0.6 м3/добу. На природні умови залягання,
формування ресурсів і хімічний склад води істотно впливають антропогенні
чинники. Фільтрація поверхневих вод з гідротехнічних споруд ( Каховського
водосховища, каналів) і на зрошувальних масивах зумовили на великих територіях
інтенсивне підняття рівня, збільшення мінералізації і забруднення підземних
вод. Термальні води - це води з температурою більшою ніж +20°С
виявлені на значній території області на південь від широти Горностаївки.
Температура води на глибині близько 1 кілометра складає +45…+50°С,
глибше за 1 кілометр - +50…+60°С,
2 кілометри - +70…+80°С.
Рівень урожайності на ґрунтах ділянки високий, але тільки при правильному
зрошенні. Для ефективного використання земель даної ділянки необхідно створити
оптимальний водний режим. Нижче, в табличній формі дана порівняльна
характеристика сільськогосподарських культур при зрошенні та на богарі.
Степи України - це унікальний
регіон, житниця держави. Він спроможний вирішувати головну проблему сьогодення
- забезпечувати населення високоякісною продукцією, а переробну промисловість -
повноцінною сировиною. Родючі ґрунти, сприятливий клімат дають змогу вирощувати
в цьому регіоні сільськогосподарські культури з різною тривалістю вегетаційного
періоду й отримувати екологічно чисту продукцію. Проте, основною перешкодою для
щорічного отримання високих врожаїв є недостатня кількість опадів, значне
надходження теплових ресурсів і, як наслідок, низький гідротехнічний
коефіцієнт. Зменшення негативного впливу ґрунтової та повітряної посухи на
продукційні процеси рослин, оптимізація умов вирощування культур, максимальне
використання фотосинтетичноактивної радіації, генетичних можливостей сортів,
родючості ґрунтів, добрив та інших агроресурсів у посушливих районах
досягається за рахунок зрошення. За результатами наукових досліджень було
обґрунтовано необхідність розвитку зрошення в Україні, і, починаючи з 60-х
років минулого століття, розпочалося широкомасштабне будівництво потужних
зрошувальних систем. Можна навести достатньо прикладів плідної роботи на
зрошення власних, спільних та іноземних фірм, які отримують щороку високі
врожаї культур, спеціалізуються на реконструкціях зрошувальних систем,
відновлюють насосні станції та дощувальну техніку, створюють додаткові робочі
місця і вирішують соціальні питання. Серед них можна назвати українську фірму
"Радан", представництво американської фірми "Фрідом Фарм",
спільне українсько-шведське підприємство "Чумак" та інші.
2.
Розрахункова частина
2.1 Розрахунок кількості та вартості
сільськогосподарської продукції
водний зрошення
сільськогосподарський дохід
Розрахунок починається з визначення кількості та
вартості продукції в господарства на меліоративних землях, служить основою для
розрахунків показників ефективності.
Для визначення обсягу валової продукції
рослинництва необхідно знати використання земельних угідь запроектованого
меліоративного об'єкта під сільськогосподарські
культури, до і після проведення меліорації земель. Склад сільськогосподарських
культур і їх площа визначається на основі запропонованих сівозмін на
меліоративних землях.
Величина врожайності сільськогосподарських
культур до проведення меліоративних робіт визначається за фактичною
середньорічною 3...5 років, а після меліорації земель рівень врожайності
визначається на основі економічного обґрунтування.
Як відомо, на рівень урожайності
впливають такі фактори: бонітет грунту, кількість внесених органічних та
мінеральних добрив, забезпеченість виробничими фондами, водозабезпеченість
культур на меліоративних землях.
Розмір валової продукції визначається множенням
урожайності сільгоспкультури на займану площу. Вартість валової продукції - це
валова продукція помножена на реалізаційну ціну.
При цих розрахунках доцільно розраховувати також
побічну продукцію для таких культур: яровий ячмінь ,люцерна,
озима
пшениця, кукурудза на зерно, зернобобові, соняшник,
цукровий буряк, кормовий буряк.
Вихід побічної продукції приймається
у відсотках до основної: солома озимих культур - 150% солома ярових і
зернобобових - 130% - сухі стебла кукурудзи - 150% гичка цукрового і кормового
буряка - 35% Всі данні по розрахунку зведені в таблицю.
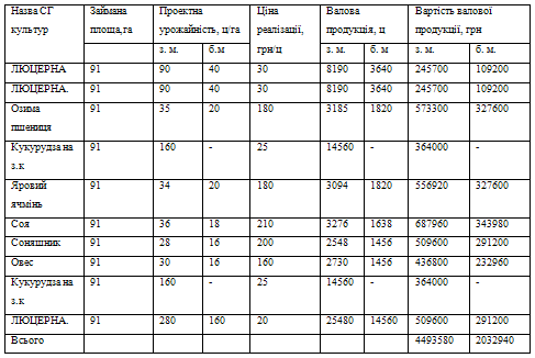
Таблиця 2.1 Валова продукція і її вартість
2.2 Визначення щорічних витрат
виробництва
Щорічні витрати виробництва
пов'язані з вирощуванням продукції рослинництва. Вони
включають:
· на землях до проведення
меліоративних робіт сільськогосподарські витрати;
· на меліоративних землях - витрати по
технічній експлуатації гідромеліоративних систем
і сільгоспвитрати.
Сільськогосподарські витрати - це витрати
пов'язані з вирощуванням сільгоспкультур. Величина цих витрат визначається на
основі технологічних карт, виходячи з проектного рівня врожайності
сільськогосподарських культур.
Витрати по експлуатації гідромеліоративних
систем пов'язані із створенням оптимальних умов зволоження на меліоративних
землях. Ці витрати включають поточні витрати підприємств - землекористувачів по
підтриманню ГМС в робочому стані, а саме: амортизаційні відрахування, заробітну
плату експлуатаційного персоналу підприємства, витрати на електроенергію для
подачі води, інші витрати. Ці витрати повністю відносяться на собівартість
сільськогосподарської продукції, яка вирощується на меліоративних землях. Між
окремими видами сільськогосподарської продукції витрати по експлуатації
внутрігосподарської частини розподіляється пропорційно кількості поданої для
зрошення вирощуваної культури води.
Розрахунок амортизаційних відрахувань визначають
по кожному виду споруд системи, згідно нормам амортизації по окремим видам
споруд та їх первісної вартості.
Капітальні вкладення визначають по питомим
нормативним даним на один гектар площі.
Розрахунки по визначенню амортизаційних
відрахувань проводяться у слідуючій табличній формі:
Таблиця 2.2 Амортизаційні відрахування
|
Споруди
системи
|
Первісна
вартість
|
Амортизаційні
відрахування
|
|
%
|
т.
грн
|
%
|
грн
|
|
1.
Зрошувальна мережа
|
35
|
1739500
|
5
|
86975
|
|
2.
Споруди на мережі
|
16
|
795200
|
15
|
119280
|
|
3.
Насосна станція
|
14
|
695800
|
15
|
104370
|
|
4.
Напірний трубопровід
|
5
|
248500
|
15
|
37275
|
|
5.
Дороги
|
4
|
198800
|
5
|
9940
|
|
6.
Лісосмуги
|
3
|
149100
|
5
|
7455
|
|
7.
Обладнання насосної станції
|
12
|
596400
|
15
|
89460
|
|
8.
Водозабір
|
6
|
298200
|
15
|
44730
|
|
9.
Інші обладнання і пристрої
|
5
|
248500
|
5
|
12425
|
|
Ітого
|
100
|
4970000
|
|
|
|
Дощувальна
тхніка
|
-
|
400000
|
15
|
60000
|
|
Всього
|
-
|
|
-
|
571910
|
Витрати на електроенергію для роботи насосної
станції визначають по даним про витрати електроенергії за вегетаційний період
по вартості 1 кВт/год.
Енергії.
Загальна витрата електроенергії за вегетаційний
період розраховується по формулі:
Вел= N×T×t×c
= 415×140×24×0.11=153.84
де: N
- потужність насосної станції, кВт;
Т - кількість діб роботи насосної станції за
сезон; t - кількість годин
роботи насосної станції за добу;с - тариф на електроенергію, грн.
Потужність насосної станції визначається по
формулі:

N = 3600/86.7
= 415 кВт
де: Q - витрата
насосної станції, л/с;
Н - напір насосів, м;

- ККД насосу (0,7...0,85);

- ККД передачі (0,98... 1)
к= 1,1... 2
Витрати на заробітну плату обслуговуємого
персоналу зрошувальної мережі визначається з урахуванням нарахувань на
заробітну плату в слідкуючій табличній формі.
Таблиця 2.3 Заробітна плату
персоналу
|
Займана
посада
|
Кількість
робітників
|
Місячний
оклад
|
Річні
витрати на заробітну плату, грн
|
|
Гідротехнік
|
1
|
2500
|
30000
|
|
Оператор
ДТ
|
4
|
1800
|
86400
|
|
Механік
НС
|
4
|
1200
|
57600
|
|
Ітого
|
|
|
174000
|
|
Нарахування
на заробітну плату 35% від ітого
|
|
1950
|
60900
|
|
Всього
|
|
|
234900
|
Всі розрахункові витрати по експлуатації
зрошувальної мережі зводимо в таблицю, де також розраховується структура цих
витрат.
Таблиця 2.4 Щорічні меліоративні витрати
|
Види
витрат
|
Загальна сума
витрат, грн
|
Витрати
на 1 га, грн
|
Структура
витрат, %
|
|
1.
Амортизаційні нарахування
|
571910
|
850
|
58
|
|
2.
Витрати на електроенергію
|
153384
|
216
|
16
|
|
3.
Заробітна плата
|
234900
|
330
|
24
|
|
4.Адміністративно-
господарські
|
23490
|
33
|
2
|
|
Всього
|
983684
|
1385
|
100
|
Для визначення меліоративних витрат
по окремих культурах необхідно розрахувати показники собівартості 
води поданої на зрошення:

С1м = 983684/2611000 = 0.37
де: Вмел
- меліоративні витрати;

- потреба води для зрошення
прийнятої сівозміни.
Таблиця 2.5 Потреба води для зрошення сівозміни
|
Назва сільгосп. культур
|
Площа
поля, га
|
Зрошувальна
норма, /гаКількість
води
на
всю площу,
|
|
|
ЛЮЦЕРНА
|
91
|
2900
|
295800
|
|
ЛЮЦЕРНА.
|
91
|
2900
|
295800
|
|
Озима пшениця
|
91
|
3000
|
306000
|
|
Кукурудза на з.к
|
91
|
2900
|
255000
|
|
Яровий ячмінь
|
91
|
2000
|
204000
|
|
Соя
|
91
|
4000
|
408000
|
|
Соняшник
|
91
|
2800
|
285600
|
|
Овес
|
91
|
2500
|
265000
|
|
Кукурудза на з.к
|
91
|
2900
|
255000
|
|
ЛЮЦЕРНА.
|
91
|
2900
|
295800
|
|
Всього
|
|
|
2611000
|
В наступній таблиці визначається також і розмір
чистого доходу. Чистий дохід, одержаний від рослинництва на меліорованих
землях, визначається як різниця між вартістю валової продукції і витратами на
її виробництво.
Таблиця 2.6 Щорічні витрати виробництва і чистий
дохід по культурам
|
Назва
сільгосп культур
|
Площа
поля, га
|
Сільськогосподарські
витрати, грн
|
Меліоративні
витрати, грн
|
Сумарні
витрати, грн
|
|
|
|
на 1га
|
на
всю площу
|
|
|
Чистий дохід,грн
|
|
|
з.м
|
б.м
|
з.м
|
б.м.
|
|
|
з.м
|
б.м
|
|
ЛЮЦЕРНА
|
91
|
1600
|
1200
|
163200
|
122400
|
111441
|
274641
|
313280
|
213600
|
|
ЛЮЦЕРНА.
|
91
|
1600
|
1200
|
163200
|
122400
|
111441
|
274641
|
231400
|
178000
|
|
Озима пшениця
|
91
|
1700
|
1100
|
173400
|
112200
|
115284
|
288684
|
21360
|
26700
|
|
Кукурудза на з.к
|
91
|
1700
|
1300
|
174800
|
132600
|
96070
|
288684
|
22160
|
1100
|
|
Яровий ячмінь
|
91
|
1800
|
1200
|
183600
|
122400
|
76856
|
260456
|
302600
|
222500
|
91
|
2200
|
1800
|
224400
|
183600
|
182600
|
197958
|
302600
|
222500
|
|
Соняшник
|
91
|
91
|
2000
|
1300
|
183600
|
182600
|
197958
|
291198
|
496620
|
247420
|
|
Овес
|
91
|
91
|
1800
|
1300
|
204000
|
132600
|
107598
|
311542
|
380920
|
169100
|
|
Кукурудза на з.к
|
91
|
1700
|
1300
|
173400
|
102800
|
99837
|
273211
|
293700
|
142400
|
|
ЛЮЦЕРНА.
|
91
|
1600
|
1200
|
163200
|
122400
|
111441
|
274641
|
461100
|
295800
|
|
Всього
|
|
|
|
1447100
|
1019200
|
983684
|
2271780
|
2541140
|
1496620
|
2.3 Розрахунок затрат праці та її продуктивності
Одним із важливих показників, що
характеризують ефективність меліорації земель, є ріст продуктивності праці. Рівень
продуктивностіпраці визначається обсягами сільськогосподарської продукції з
розрахунку на одиницю витрат праці. Цей показник може визначатися як в
натуральному, так і вартісному виразі. Продуктивність
праці визначається по окремих сільськогосподарських культурах і в цілому по
гідромеліоративній системі як відношення обсягу валової продукції до витрат
праці.
Таблиця 2.7 Затрати праці та продуктивність
праці.
|
Назва
сільгосп. культур
|
Займан
а площа, га
|
Затрати
праці, люд.дн.
|
Продуктивність
праці
|
|
|
на
1 га
|
на
всю площу
|
ц/люд.дн.
|
грн/люд.дн
|
|
|
з.м
|
б.м.
|
з.м.
|
б.м.
|
з.м.
|
б.м.
|
з.м.
|
б.м.
|
|
ЛЮЦЕРНА
|
91
|
16
|
10
|
1456
|
910
|
17.5
|
16.0
|
278
|
257
|
|
ЛЮЦЕРНА.
|
91
|
16
|
10
|
1456
|
910
|
17.5
|
16.0
|
278
|
257
|
|
Озима пшениця
|
91
|
20
|
16
|
1820
|
1456
|
2.2
|
1.6
|
150
|
100
|
|
Кукурудза на з.к
|
91
|
19
|
12
|
1456
|
1092
|
10
|
-
|
328
|
225
|
|
Яровий ячмінь
|
91
|
22
|
14
|
2002
|
1274
|
1.5
|
1.4
|
350
|
270
|
|
Соя
|
91
|
26
|
20
|
2366
|
1820
|
1.9
|
1.5
|
390
|
210
|
|
Соняшник
|
91
|
24
|
18
|
2184
|
1638
|
1.2
|
1.3
|
233
|
280
|
|
Овес
|
91
|
18
|
14
|
1456
|
1109
|
9.1
|
1.9
|
211
|
178
|
|
Кукурудза на з.к
|
91
|
19
|
12
|
2002
|
1092
|
10
|
-
|
328
|
225
|
|
ЛЮЦЕРНА.
|
91
|
16
|
10
|
1456
|
910
|
17.5
|
16.0
|
278
|
257
|
|
Всього
|
|
|
|
|
|
|
|
|
|
Таблиця 2.8 Собівартість продукції
та одержуваний економічний ефект
|
Назва
сільгосп культури
|
Валова
продукція
|
Сільгосп
витрати , з.м.
|
Сумарні
витрати, з.м.
|
Собівартість
СГ продукції, грн/ц
|
Закупна
ціна, грн/ц
|
Одержаний
економічний ефект, грн/ц
|
|
з.м.
|
б.м.
|
|
|
з.м.
|
б.м.
|
|
з.м.
|
б.м.
|
|
ЛЮЦЕРНА
|
8190
|
3640
|
122400
|
365400
|
44
|
100
|
120
|
76
|
20
|
|
ЛЮЦЕРНА.
|
8190
|
3640
|
122400
|
365400
|
44
|
100
|
120
|
76
|
20
|
|
Озима пшениця
|
3185
|
1820
|
112200
|
281940
|
88
|
154
|
180
|
92
|
126
|
|
Кукурудза на з.к
|
14560
|
-
|
132600
|
386100
|
27
|
-
|
85
|
57
|
-
|
|
Яровий ячмінь
|
3094
|
1820
|
122400
|
280160
|
90
|
154
|
180
|
90
|
26
|
|
Соя
|
3276
|
1638
|
183600
|
310180
|
94
|
110
|
190
|
96
|
80
|
|
Соняшник
|
2548
|
1456
|
132600
|
360010
|
141
|
160
|
200
|
59
|
40
|
|
Овес
|
2436
|
1321
|
120978
|
287091
|
101
|
128
|
160
|
43
|
36
|
|
Кукурудза на з.к
|
14560
|
-
|
132600
|
386100
|
27
|
-
|
85
|
57
|
-
|
|
ЛЮЦЕРНА.
|
8190
|
3640
|
122400
|
365400
|
44
|
100
|
120
|
76
|
20
|
|
Всього
|
|
|
|
|
|
|
|
|
|
|
|
|
|
|
|
|
|
|
|
|
.4 Визначення очікуваного доходу
Водогосподарське будівництво звичайно
проводиться паралельно з сільськогосподарським, необхідним для меліоріруємих
земель.
Народногосподарське значення меліорації земель
не обмежується лише приростом обсягу виробництва сільгосп. продукції.
Велика роль належить меліорації земель і в
соціально-економічному перетворенні села, великих регіонів. Про це свідчить
житлове та культурне-побутове будівництво на селі, будівництво доріг, Виконання
комплекса заходів по сільськогосподарському засвоєнню поливних земель потребує
додаткових капіталовкладень, об'єми яких визначаються згідно додаткових робіт і
заходів, пов'язаних зі зрошенням.
Таблиця 2.9 Затрати на сільськогосподарське
засвоєння меліоріруємих земель
|
Види
затрат
|
Затрати
на 1га площі, грн/га
|
Затрати
на всю площу, грн
|
|
1.
Вартість дощувальної техніки
|
|
400000
|
|
2.Додаткове
придбання сільськогосподарської техніки
|
220
|
156200
|
|
3.Землевпорядкування
|
180
|
85200
|
|
4.
Підготовка кадрів
|
80
|
56800
|
|
5.
Протиерозійні заходи
|
90
|
63900
|
|
6.
Резерв на непередбачені роботи
|
70
|
49700
|
|
Всього
|
-
|
411800
|
Економічну ефективність меліорації земель можна
досягнути за допомогою системи показників, що характеризують:
1.ефективність
використання ресурсів:
· землі, це вихід валової продукції,
чистого доходу з одиниці площі, урожайність сільськогосподарських культур,
коефіцієнт земельного використання;
· зрошувальної води, це коефіцієнт
корисної дії зрошувальної системи, собівартість зрошувальної води;
Таблиця 2.10 Техніко-економічні показники по
проекту зрошувальної ділянки
|
Назва
показників
|
Позначення
формули
|
Розрахунки
|
|
1
група - обсяг і вартість валової продукції
|
|
1.1
Вартість валової продукції одержаної з меліорації, грн
|
ВВП
з.м.
|
4493580
|
|
1.2
Вартість валової продукції до проведення меліорації, грн
|
ВВП
б.м.
|
2032940
|
|
1.3
Вартість додаткової продукції одержаної завдяки меліорації, грн
|
ДВВП
з.м.
|
2460640
|
|
1.4
Продуктивність 1га зрошувальних земель, грн/га
|
П
зр
|
8844
|
|
1.5
Продуктивність 1га землі до зрошення, грн/га
|
П
баг
|
3176
|
|
2
група - капітальні вкладення
|
|
2.1
Капітальні вкладення на будівництво зрошувальних систем, грн
|
Кбуд.
|
4970000
|
|
2.2
Капітальні вкладення на додаткове сільськогосподарське освоєння, грн
|
411800
|
|
2.3
Сумарні капітальні вкладення, грн
|
К
сум.
|
5381800
|
|
2.4
Продуктивність капітальних вкладень, грн
|
П
к
|
0.95
|
|
|
3
група - щорічні витрати виробництва
|
|
3.1
Щорічні витрати пов'язані з експлуатацією ГМС, грн
|
В
мел.
|
983684
|
|
3.2
Сільськогосподарські витрати на меліоріруємих землях, грн
|
Вс.г
|
1447100
|
|
3.3
Сумарні витрати на меліоріруємих землях, грн
|
В
сум.
|
2430784
|
|
3.4
Щорічні витрати до проведення меліоративних заходів, грн
|
В
бм.
|
983684
|
|
3.5
Додаткові витрати пов'язані з меліорацією, грн
|
ДВ
з.р.
|
1447100
|
|
4
група - затрати праці і продуктивність праці
|
|
4.1
Затрати праці на меліоріруємих землях, люд.дн
|
ЗПз.м
|
16198
|
|
4.2
Затрати праці до проведення меліоративних заходів, люд.дн.
|
ЗПб.м
|
10120
|
|
4.3
Додаткові затрати праці, пов'язані з меліорацією, люд.дн.
|
дзп
|
6078
|
|
4.4
Продуктивність праці на меліоріруємих землях, грн/люд.дн
|
ППз.м
|
277
|
|
4.5
Продуктивність праці до меліорації, грн/люд.дн.
|
ППб.м
|
201
|
|
5
група - використання засобів виробництва
|
|
5.1
Кількість зрошувальної води, яка використовується за вегетаційний період мЗ
|
W
|
2611000
|
|
5.2
Коефіцієнт корисної дії системи
|
ккд
|
0.95
|
|
5.3
Продуктивність зрошувальної води, грн/мЗ
|
Пз.в
|
2748421
|
|
6
група - економічна ефективність продуктивних заходів
|
|
6.1
Чистий дохід одержуємий з меліорацією, грн
|
ЧДз.м
|
2681149
|
|
6.2
Чистий дохід одержуємий до меліоративних заходів, грн
|
ЧДб.м
|
1996680
|
|
6.3
Додатковий чистий дохід одержуємий внаслідок меліорації, грн
|
ДЧД
|
684469
|
|
6.4
Рівень рентабельності на меліоративних землях, %
|
Рр
|
38.6
|
|
6.5
Коефіцієнт економічної ефективності капіталовкладень.
|
Кек
|
2.1
|
|
6.6
Строк окупності капітальних вкладень, років
|
То
|
6.8
|
Література
І .С.І.Михайлов "Елономіка
аграрного підприємства" - К;Укр. "Центр духовної культура* І .к-
2. М.М.Ільчук
"Організація і планування сільськогосподарського виробництва'-Вінниця
"Нова книга" 2008
3. Збарський
В.К. "Єкономіка сільського господарства"-Київ "Каравела"
2009
М.Г Грещак "Єкономіка
підприємства"-Київ 2000
5. Батіг
А І."Планування та організація діяльності аграрного
підприємства"-Київ "Аграрна освіта" 2003
6. О.В.Березін
"Єкономіка підприємства"-Київ "Знання" 2009 7.1.М.Бойчих
"Зкономіка підприємства"-Київ "Каравела" 2000