Проектирование трубопровода

  • Вид работы:
    Курсовая работа (т)
  • Предмет:
    Другое
  • Язык:
    Русский
    ,
    Формат файла:
    MS Word
    100,26 Кб
  • Опубликовано:
    2015-06-19
Вы можете узнать стоимость помощи в написании студенческой работы.
Помощь в написании работы, которую точно примут!

Проектирование трубопровода

СОДЕРЖАНИЕ

Введение

. Организационно - технологическая часть

.1 Характеристика и параметры монтируемого объекта

.2 Требования по организации монтажной площадки

.3 Подготовка проведения монтажных работ

.4 Испытания газопроводов

. Расчетная часть

.1 Объем земляных работ

.2 Выбор метода производства работ

.3 Выбор строительных машин

.4 Калькуляция трудовых затрат 

. Техника безопасности

Список используемой литературы        

ВВЕДЕНИЕ

Зарождение газовой промышленности относится к концу 18-начала 19 веков, когда газ, получаемый из каменного угля (светильный газ), стали использовать для освещения родов Западной Европы.

Первые газораспределительные газопроводы в Росси начали строится с 1835г. из чугунных труб и до 1946г. поступление в сети газоснабжения природного газа - не вызывали особых забот у эксплуатационщиков.

Светильный газ содержал в себе небольшие количества паров смолы, которая, поступая с газом в подземные газопроводы при охлаждении сжимались на внутренних стенках труб и защищала раструбные соединения, уплотнение которых осуществлялось конопаткой просмоленным канатом с последующей зачеканкой.

Природный газ, не имеющий смол в своем составе и обессмоленный канат теряет свою уплотняющую способность.

Газ герметизации раструбных соединений также способствовало бурное развитии наземного городского транспорта.

В итоге с 1960г чугунные газопроводы начали выводиться из эксплуатации.

В 1931г в связи с расширением Московского газового завода и вводом в эксплуатацию завода «Нефтегаз» в Москве началось строительство первых газопроводов из стальных труб.

Однако более чем полувековой опыт эксплуатации стальных распределительных газопроводов показал, что в большинстве случаев нормативный срок службы в 40 лет не выдерживается. В этой связи начались поиски альтернативного материала для подземных газопроводов. Многочисленные опыты по использованию для рассматриваемых целей асбестоцементных труб, энтузиастом которых был И.В. Бородин (МИСИ им. В.В. Куйбышева), не обеспечивали стабильных результатов из-за трудности организации крупномонтажного производства труб с необходимой газонепроницаемостью. Серьезным препятствием была высокая стоимость труб, связанная с использованием высококачественного асбеста.

Другой альтернативой стали трубы из полимерных материалов. Наиболее подходящими по свойствам оказались поливинилхлорид и полиэтилен.

По инициативе института «Мосинжпроект» в 1958-1960гг совместно с трестом «Мосгаз» были проведены опытно-конструкторские и экспериментальные работы по определению возможности и условий эксплуатации пластмассовых подземных газопроводов.

Первые в России подземный распределительный газопровод из ПВХ-труб отечественного производства был построен в августе 1959г в Москве. А в августе 1961г в Москве был построен первый полиэтиленовый газопровод.

В течение трех лет, начиная с первого года эксплуатации, сначала еженедельно, а потом ежемесячно на опытных пластмассовых газопроводах, проводились систематические наблюдения и измерения. Эти наблюдения не выявили каких-либо отклонений и нарушений и подтвердили правильность принятых решений.

Несмотря на подходящие для газопроводов свойств ПВХ трубы из него не получили распространения по следующим причинам:

отсутствовали способы получения соединения в условиях строительной площадки

не было достаточно качественных клеев и не было достаточно прочных раструбных соединений, что не позволило осуществлять надежные врезки

В этой связи ПЭ трубы имеют неоспоримое преимущества, поскольку прекрасно соединяются в полевых условиях и могут поставляться на стройку длинномерными плетями.

Но были факторы, которые еще практически целое десятилетие сдерживали рост строительства ПЭ газопроводов:

малый объем производства ПЭ высокой плотности

отсутствие производства литых соединений

отсутствие производства сварочного оборудования

отсутствие системы подготовки квалифицированных сварщиков

неотработанность методов контроля сварных соединений

недостаточная проработка нормативной и методической литературы по строительству

Проведенные ОАО «Гипрониигаз» научно-исследовательские и опытно-конструкторские работы позволили решить большинство задач. Все полученные недоработки нашли отражение в нормативно- технической документации, разработанной в тот период СП 42-101-96, свод правил по строительству и контролю качества сварных соединений, СП 42-105-99.

В этот же период было налажено производство газопроводных труб по специальным сериям ТУ 6-19-352-87 на заводе ОАО «Казаньоргсинтез»

Все это дало возможность нарастить темпы внедрения ПЭ труб. Появление в середине 90-х импортных и отечественных труб, а также

сварочной техники с элементами автоматизации сварки позволило снять ряд ограничений по применению ПЭ труб в городах и применить их для реконструкции стальных изношенных газопроводов. В результате на начало 1998г в РФ эксплуатировалось около 11000 км ПЭ газопроводов.

Анализ динамики строительства ПЭ газопроводов в России за последние 6 лет свидетельствует о том, что, несмотря на сложную экономическую ситуацию, внутри страны, темпы использования ПЭ труб непрерывно нарастают. Наблюдается устойчивая тенденция к перераспределению объемов строящихся газопроводов в пользу ПЭ труб.

Запроектированные и построенные в соответствии с новыми требованиями ПЭ газопроводы показали свою надежность при эксплуатации. За период строительства с 1980 по 1997гг на территории России официально зарегистрировано только 73 аварийные ситуации на ПЭ газопроводов, что на порядок меньше, чем на аналогичных стальных сетях. По данным на 1998г отмечено 12 аварий, 1999 - 3 аварии. Анализ причин, вызвавших разрушение ПЭ труб, показывает, что все без исключения аварии наступали не по причине потери трубам своих качеств, а из-за несоблюдения в ряде случаев соответствующих норм при проведении смр.

Проведенные ОАО «Гипрониигаз» расчеты по стоимости строительства газопроводов из стальных и ПЭ труб свидетельствует о том, что за счет отсутствия изоляционных работ и контроля их качества, сокращение объемов сварочных работ, снижение объема трубоукладочных работ и др. стоимость смр по строительству ПЭ газопроводов, меньше по сравнению со стальными на 15-20%.

Трубы из полиэтилена нашли свое применение и при восстановлении работоспособности городских изношенных газопроводных сетей. Широкое распространение получил метод протяжки ПЭ труб внутри стальных.

В настоящее время в крупных городах реконструкции старых газопроводов единственный путь повышения надежности систем газораспределения.


. ОРГАНИЗАЦИОННО - ТЕХНОЛОГИЧЕСКАЯ ЧАСТЬ

1.1 Характеристика и параметры монтируемого объекта

Исходными данными для курсового проектирования являются:

материал труб - полиэтилен, SDR 17,6 (С);

давление сети - среднее 0,005 до 0,3 МПа;

диаметр трубы - 180x9,1мм;

протяженность газопровода - 6000м;

вид грунта - глина;

условия строительства - город Красный Кут, Саратовская область;

средняя глубина заложения газопровода - 1,2 м;

вид прокладки - подземный.

Климатические условия Саратовской области, согласно СНиП 23-01-99 «Климатологические данные» для данного города:

Среднемесячная температура воздуха составляет 5,8°С

Средняя температура самой холодной пятидневки -27°С

Расчетная температура наружного воздуха для проектирования системы отопления -27°С трубопровод монтажный машина затрата

Расчетная температура наружного воздуха для проектирования системы вентиляции -16°С

Продолжительность отопительного периода 196 суток

Полиэтиленовые трубы для газа сегодня являются наиболее часто используемыми, они давно оставили позади традиционные стальные, которые уже не отвечают всем требованиям надежности и безопасности. Применяются такие трубы при прокладке газопроводов, в коммунально-бытовом хозяйстве при транспортировке горючих газов.

Внешние полиэтиленовые трубы окрашиваются в черный цвет и имеют яркую желтую полосу, чтобы можно было сразу отличить их от прочих. Отличается подобная труба морозоустойчивостью, прочностью.

.2 Требования по организации монтажной площадки

Зона монтажной площадки должна быть спланирована с обеспечением отвода поверхностных вод.

Требования к планировке монтажной площадки, к площадкам складирования, площадкам работы и перемещения кранов, к временным дорогам, помещениям и другим необходимым благоустройствам определяются проектом. План монтажной площадки в обязательном порядке должен быть согласован Монтажником с Заказчиком.

Граница зоны монтажной площадки должна иметь ограждение по всему периметру и обозначена предупредительными знаками. Зона монтажной площадки должна иметь не менее двух въездов (выездов). Ограждения должны соответствовать требованиям настоящего стандарта и рабочих чертежей, утвержденных в установленном порядке, а также утвержденным образцам (эталонам).

Монтажная площадка должна быть обустроена временными дорогами для транспортирования и площадками для монтажа металлоконструкции резервуара. Площадки для работы грузоподъемных кранов должны иметь поверхность с соответствующей несущей способностью.

Монтажная площадка должна быть обеспечена: средствами связи и пожаротушения; технической водой; электроэнергией для работы кранов, механизмов, сварочного и другого оборудования, а также для освещения зоны монтажа, временных бытовых и других помещений.

Организация строительной площадки, участков работ и рабочих мест должна обеспечивать безопасность труда работающих на всех этапах выполнения работ. Все территориально обособленные участки должны быть обеспечены телефонной связью или радиосвязью. При организации строительной площадки, размещении участков работ, рабочих мест, проездов строительных машин и транспортных средств, проходов для людей следует установить опасные для людей зоны, в пределах которых действуют или могут действовать опасные производственные факторы. Опасные зоны должны быть обозначены знаками безопасности и надписями установленной формы.

Строительная площадка, участки работ, рабочие места, проезды и подходы к ним в темное время суток должны быть освещены. Освещенность должна быть равномерной, без слепящего воздействия осветительных приспособлений на работающих.

.3 Подготовка проведения монтажных работ

Подготовку к производству монтажных работ осуществляют в соответствии с требованиями СНиП 3.01.01-85 и СНиП 3.05.05-84 «Организация строительного производства». При организационно-технической подготовке заказчиком должны быть определены и согласованы с генподрядчиком и монтажной организацией: условия комплектования объекта оборудованием и материалами с учетом поставки комплектов оборудования на технологический блок; графики, определяющие сроки поставки оборудования, изделий и материалов с учетом последовательности монтажа, а также производства сопутствующих специальных строительных и пусконаладочных работ; уровень заводской готовности, монтажной технологичности на основе действующих нормативных и директивных документов; перечень оборудования, монтируемого с привлечением шеф-монтажного персонала предприятий-изготовителей; условия транспортирования к месту монтажа крупногабаритного и тяжеловесного оборудования.

Подготовка к производству монтажных работ на объекте является одним из главных направлений технической политики монтажных организаций и охватывает комплекс мероприятий, направленных на повышение эффективности и качества работ монтажного производства. Подготовка монтажных работ состоит из 3-х частей: организационной, инженерно-технической и материально-технической.

Организационная подготовка включает:

организацию рабочих бригад и обеспечение условий для их ритмичной и безопасной работы;

организацию при объектных рабочих мест бригад, складских помещений;

контроль за выполнением стройорганизациями проемов и отверстий в строительных конструкциях и элементах зданий, установке закладных деталей, элементов и конструкций технической укрепленности
объекта;

контроль за своевременным предоставлением строительными и другими подрядными организациями фронта работ для монтажа систем безопасности;

приемку от строительной организации зданий, сооружений и помещений под монтаж систем безопасности.

Инженерно-техническая подготовка включает:

изучение проектно - сметной документации, подготовку обоснованных замечаний и предложений по ней, их согласование с проектной организацией и заказчиком;

разработку план-графика проведения монтажных работ на объекте и его согласование со всеми участниками процесса выполнения работ на объекте;

решение вопросов организации и технологии выполнения монтажных работ на объекте.

Материально - техническая подготовка включает:

заготовку материалов, монтажных изделий и конструкций;

доставку материалов, изделий, инструмента и другого оборудования на место монтажа.

Таким образом, к началу производства работ по монтажу систем безопасности независимо от того, выполняются они по проектно-сметной документации или по акту обследования, должны быть проведены следующие основные подготовительные работы:

разработана, утверждена и передана монтажной организации проектно-сметная документация или акт обследования. Проектно - сметная документация должна иметь штамп “Разрешено к производству” и подпись ответственного представителя заказчика, заверенную печатью;

оформлен договор на выполнение монтажных работ;

принята строительная часть объекта в соответствии с требованиями СНиП 3.05.06-85 <#"810440.files/image001.gif">

г) Объем трубы газопровода:


д) Объем траншеи под приямку для сварки труб:


е) Суммарный объем траншеи:


Объем грунта по ручной доработке (подчистке) траншеи


где hн = 0.05…0,2м - глубина слоя по ручной доработке траншеи.

Объем грунта по обратной засыпке

а) Ручная засыпка (подбивка пазух)

Ширина подбивки пазух поверху:


Площадь подбивки:


Объем подбивки траншеи:


Объем подбивки пазух


б) Механизированная засыпка

Объем обратной засыпки:


в) Устройство кавальера.

При устройстве кавальеров для обратной засыпки, объем грунта в кавальере расчитывается по формуле:

Где Kпр - коэффициент первоначального разрыхления грунта для суглинка Kпр = 1,2

Площадь поперечного сечения кавальера рассчитывается по формуле:

где Fтр - площадь поперечного сечения траншеи

Fmp = α * h = 1,14 * 1,2 = 1,368м2кав = Fmp * Kпр = 1,368* 1,2 = 1,64м2

Высота и ширина кавальера по низу при угле естественного откоса 45о

Выражаются формулами:  


Таблица 2. Ведомость объема земляных работ

№ п/п

Наименование работ

Ед. изм.

Количество

Формула подсчета

Подготовительные работы

 

1

Разбивка трассы

м

6000

По генплану и проекту

2

Ограждение трассы

м

12000

L* 2

3

Устройство временных мостов

180

L / 150 * 4,5

Земляные работы

 

1

Рытье траншеи экскаватором: -в отвал

 

10224

2

Зачистка дна траншеи вручную

684

3

Устройство постели газопровода

459


Монтажные работы

 

1

Опускание труб в траншею

плеть

166

По генплану и проекту

2

Сварка неповоротных стыков

ст

100

По схеме

3

Устройство колодцев

шт

6

По схеме

4

Испытание сварных стыков

шт

520

По схеме

Заключительные работы

 

1

Разработка временных мостов

180

По генплану

 

2

Разборка ограждений

м

12000

По генплану

 

3

Присыпка газопровода в ручную

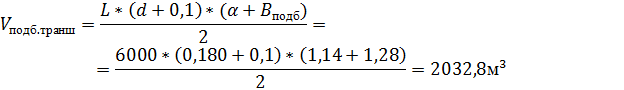
2032,8

По генплану

 

4

Засыпка траншеи бульдозером

9420,6


 

5

Испытание газопровода

м

6000


 


.2 Выбор метода производства работ

Параллельный метод - этот метод предполагает одновременное, т. е. параллельное, строительство всех объектов. Однотипные работы на разных объектах выполняются в одно и то же время, т. е. параллельно, и вследствие этого общее количество исполнителей возрастает во столько раз, сколько одновременно возводится зданий или сооружений.

Параллельный метод обеспечивает минимальную продолжительность строительства, так как работы на всех объектах выполняются одновременно. Но при этом потребление ресурсов возрастает. Следовательно, этот метод организации строительства имеет как преимущества, так и существенные недостатки, что затрудняет их использование на практике в чистом виде.

При строительстве любого объекта по мере выполнения работ в технологической последовательности высвобождаются механизмы и бригады рабочих, закончившие работы определенной стадии. Так, вначале высвобождается землеройная техника, затем бригады трубоукладчиков, монтажников, монтажные краны и т. д. Для того чтобы они не простаивали, их необходимо немедленно переводить на строительство другого объекта или его части.

Таким образом, определенные однотипные работы, заканчиваясь на первом объекте, в то же время начинаются на втором, затем переходят на третий и т. д. А в это время на первом объекте (или его части) выполняются вторые, третьи и четвертые виды работы, которые так же после своего завершения выполняются на втором, третьем и т. д. объекте.

При этом однотипные работы на разных объектах (или их частях) выполняются последовательно, т. е. без совмещения их во времени, а разнотипные - параллельно, т. е. с совмещением, чем достигается непрерывность строительного про­изводства при эффективном использовании трудовых и материаль­но-технических ресурсов.

Таким образом, как бы обеспечивается непрерывное, т. е. поточное производство работ, основанное на, принципе совмещения разнотипных работ и исключения парал­лельного выполнения однотипных.

.3 Выбор строительных машин

Для разработки траншеи необходимо подобрать такой комплект машин, который при минимальных затратах может выполнить работу. Комплект подбирается в зависимости от вида разрабатываемого грунта, глубины и объема разработки, гидрогеологических и климатических условий.

Сначала выбирают ведущую машину, при этом необходимо руководствоваться следующими условиями:

емкость ковша и параметры экскаватора выбираются в зависимости от объема траншеи,

мощность и марка бульдозера, скрепера или грейдера - от дальности транспортировки грунта,

емкость кузова автосамосвалов - от емкости ковша и их количества при загрузке грунтом,

Выбор экскаватора.

Одноковшовый экскаватор -- это самоходная землеройная машина с рабочим органом в виде ковша, предназначенная для разработки грунтов и перемещения их на определенные расстояния в транспортные средства или отвал.

Размер выгрузки грунта в отвал определяется по формуле:размер выгрузки грунта

R=(BH+B)/2+0,5; =(1,89+1,46)/2+0,5=1,34м

Где: Bн- ширина траншеи по верху.ширина отвала по низу будет определятся по формуле:

=2(100+p)Vгр/100*h.=2*(100+1,5)*1,82/(100*1,5)=1,46м3

Vгр объем грунта на 1м траншеипоказатель первоначального разрыхления грунтавысота отвала (1,5-2м)

Объем грунта траншеи на 1м определяются по формуле:

Vгр=Vтр/Lгр=10908/6000=1,82м3

Применяется экскаватор одноковшовый ЭО-4121

Производительность

до 150

м3/ч

Двиг. мощность при 1700 об/мин коленчатого вала

130

л.с

Емкость ковша

1

м3

Наибольшая глубина прямой лопатой

3,6

м

Наибольшая глубина обратной лопатой

5,8

м

Наибольшая глубина грейфером

3,2

м

Скорость передвижения

2,8

км/ч

длина

6,8

м

ширин

3

м

квота

3

м

вес

20

т


Выбор крана

Монтажные стреловые краны на автомобильном ходу выбирается исходя из схемы ширины рабочей зоны и способа строповки компонентов.

На основании этого выбирается:

. Необходимый вылет стрелы-Lс

. Высота подъема крана-Hкр

.Грузоподъемность крана при вылете стрелы

Вылет стрелы при укладке одиночной трубы определяется по формуле:

с=Bн/2+Дн+Бкр/2+1=1,89/2+0,038+3,8/2+1=3,88м

Бкр- ширина базы крана=3,8м

Высота подъема крюка определяется по формуле:

Нкр=h1+h2+h3

Нкр=1+0,038+0,5=1,53м

h1-высота строповки в рабочем положении для трубопровода применяет.- 1м-высота элемента в монтажном положении= 0,038 (h2=Дн)-расстояние от низа монтируемого элемента до земли=0,5м

Автокран подбирается по грузоподъемности для укладки газопровода.

При укладке газопровода определяется масса звеньев труб 1

Масса 1п.т диаметром 200 мм составляет -4,35 кг

Определяем грузоподъемность крана исходя из массы трубы и длины плети(Lпм=50м)

Q=Мтр*Lпл/1000=4,35*50/1000=0,22т

Ширина рабочей зоны при разработки траншеи с отвалом определяется по формуле:

А=Вн+Дн+Бкр+1,5=7,23

Применяем кран SR-700LS

Угол изменения вылета стрела

0°~84°

Длина гуська

8,3 м и 13,2 м

Угол смещения гуська

5°~60°

Максимальная высота подъема

45,5 м / Стрела,58,6 м / Гусек

Максимальная грузоподъемность

70 т x 2,5 м

Длина стрелы

10~44,5 м

Двигатель Mitsubishi 6D24-TLE2A

257 кВт/2200 оборотов/мин

Максимальный крутящий момент

1275 Нм/1500 оборотов/мин

Максимальная скорость перемещения

49 км/ч


Выбор бульдозера

Бульдозер выбирается независимо от объема траншеи, по этому выбираем

Бульдозер марки Т-130

Масса

14,3 т.

Тяговый класс

6 тс.

Габариты длина

5193 мм

высота

3085 мм

ширина

2475 мм

Двигатель Д-160, мощность

118 кВт./ 160 л.с

Колея

1881 мм

Дорожный просвет

416 мм


.4 Калькуляция трудовых затрат

№ п/п

Шифр

Наименование работ

Объем работ

Трудо-емкость

Состав звена

Норма времени Ед/час

Продолжительность




Ед/ изм

Кол-во


Раз-ряд

наименование



Подготовительные работы

1

Е9-1-1

Разбивка трассы

100 м

60

72


Геодезист 2

1,2

4,5

2

Е9-2-34

Устройство временных мостов

м2

180

72

плотник

0,4

4,5

3

Е-9-2-33

Ограждение трассы

м

12000

360

5-3р

рабочие

0,03

9

Земляные работы

1

Е2-1-13

Рытье траншеи экскаватором

100м3

102,24

408,96

2-6р 2-5р

Экскаватор Машинист Помощник

4

12,78

2

Е2-1-13

Зачистка дна траншеи вручную

м3

6,84

8,89

6-1р

землекоп

1,3

18,4

3

Е2-1-56

Устройство постели газопровода

м3

684

1368

10-3р

землекоп

2

17,1

Монтажные работы

1

Е9-2-1

Опускание труб в траншею

м

600

18

1-5р 1-3р

Рабочие

0,03

1,13

2

Е22-2-1

Сварка стыков

ст

599

191,68

1-5р 1-6р

сварщик

0,32

11,98

3

Е9-2-29

Установка колодцев

шт.

6

18

1-3р 3-4р

Монтажники

3

0,6

4

Е9-2-9

Испытание сварных стыков

Шт.

599

5,99

1-6р 1-4р

Рабочие

0,01

0,37

Заключительные работы

1

Е9-2-33

Разборка временных мостов

180

36

2-3р

Плотник

0,2

2,25

2

Е9-2-33

Разборка ограждений

м

120

480

2-3р

Плотник

0,04

0,3

3

Е2-1-58

Присыпка газопровода вручную

20,32

36,58

4-2р

Землекоп

1,8

1,14

4

Е2-1-34

Засыпка траншеи бульдозером

100 м3

94,20

282,6

1-6р 1-5р

Экскаватор Машинист Помощник

3

17,66

5

Е9-2-9

Испытание газопровода

м

60

12

1-6р 1-4р

Рабочие

0,2

0,75




3. ТЕХНИКА БЕЗОПАСНОСТИ

При изготовлении и монтаже пластмассовых трубопроводов необходимо соблюдать правила техники безопасности и охраны труда, установленные "Правилами безопасности в газовом хозяйстве", СНиП Ш-4-80* "Техника безопасности в строительстве", ВСН 003-88/Миннефтегазстрой, РД 102-011-89 "Охрана труда. Организационно-методические документы", ГОСТ 12.1.004-85, ГОСТ 12.3.009-76*, ГОСТ 12.3.003-86*, "Правилами устройства и безопасности эксплуатации грузоподъемных кранов", "Правилами перевозки грузов автомобильным транспортом".

К монтажу трубопроводов допускаются лица не моложе 18 лет, предварительно прошедшие медицинское освидетельствование, специальное обучение, вводный инструктаж по технике безопасности, пожарной безопасности и инструктаж непосредственно на рабочем месте, а также сдавшие экзамены специальной комиссии.

Каждый рабочий, выполняющий работы по соединению труб, должен знать: технологию выполнения работ, специальные инструкции по технике безопасности, тушению пожаров и предотвращению взрывов, правила личной гигиены, способы оказания первой помощи пострадавшим.

Запрещается допускать к работе лиц с заболеванием верхних дыхательных путей.

Допуск к производству работ оформляют записью в журнале инструктажа по технике безопасности и личной подписью получившего инструктаж.

Приступать к монтажу трубопроводов разрешается только при наличии проекта производства работ.

В отдельных случаях (для несложных объектов монтажа) проект производства работ может быть заменен технологической картой или указаниями по выполнению работ, в которых должны быть предусмотрены вопросы по технике безопасности.

В местах складирования полиэтиленовых труб, узлов и соединительных деталей запрещается разводить огонь, производить электро- и газосварочные работы и хранить легко воспламеняющиеся вещества.

В местах производства работ по монтажу полиэтиленовых газопроводов во избежание повреждения и возгорания полиэтиленовых труб, узлов, деталей следует проявлять особую осторожность при проведении работ по электрогазосварке и резке металлических конструкций, соблюдая безопасные расстояния и применяя защитные экраны из негорючих материалов.

Для предотвращения загорания полиэтиленовых труб необходимо предусматривать противопожарные меры, включая обеспечение мест складирования и проведения пожароопасных работ средствами пожаротушения и соблюдение безопасных расстояний от пожароопасных источников.

При сварке полиэтиленовых труб и деталей, а также при работах, связанных с применением чистящих жидкостей (спирта, уайт-спирита, ацетона и др.), выделяются вредные газы (окись углерода, формальдегид, дивинил) и пары, от которых необходимо защищаться респираторами.

Концентрация вредных паров, газов и пыли в воздухе рабочей зоны производственных помещений не должна превышать предельно допустимую, установленную требованиями ГОСТ 12.1.005-76 "Воздух рабочей зоны. Общие санитарно-гигиенические требования".

При нарушении требований пожарной безопасности и длительном воздействии на организм человека газов и паров, выделяющихся при сварке, а также при работе с растворителями, возможно нарушение обмена кислорода, поражение центральной нервной системы.

При работе с пластмассовыми трубами следует учитывать их упругие свойства. Ненадежное закрепление труб может быть причиной травм.

Для предупреждения пожара на рабочем месте не допускается скопление стружек (от обработки пластмассовых труб).

Категорически запрещается нагревать пластмассовые трубы методами, не предусмотренными настоящим СП и другими нормативными документами, утвержденными в установленном порядке, а также применять при сварке открытое пламя, так как это может привести к возгоранию труб и выделению токсичных веществ.

При осуществлении сварочных работ не следует нагревать полиэтилен выше температур, предусмотренных технологией сварки; разлагаясь при перегреве, они могут выделять вредные газы.

При применении сварочных установок и других устройств следует руководствоваться техническими описаниями и инструкциями по их эксплуатации.

СПИСОК ИСПОЛЬЗУЕМОЙ ЛИТЕРАТУРЫ

А.П. Шальнов. «Строительство газовых сетей и сооружений». -М.: Стройиздат, 1980.

СНиП 2.04.08-87*. Газоснабжение

ГОСТ 50838-95. Трубы из полиэтилена для газопроводов.
СП 42-101-96. Проектирование и строительство газопроводов из полиэтиленовых труб диаметром до 300 мм.

СНиП 42-01-2002. Газораспределительные системы

СНиП 3.01.01-85*. Организация строительного производства. Правила безопасности в газовом хозяйстве. Москва, Недра, 1991

Похожие работы на - Проектирование трубопровода

 

Не нашли материал для своей работы?
Поможем написать уникальную работу
Без плагиата!
Без нейросетей!