|
Характеристика
|
Значение
|
|
Габаритные
размеры, м
|
18,2x4,4x5,63
|
|
Мощность,
кВт
|
31,8-36
|
|
Число
штабелей, шт
|
2
|
|
Вместимость
камеры, усл. п/м, м
|
30,7
|
|
Количество
вентиляторов, шт
|
2
|
|
Скорость
циркуляции сушильного агента через штабель, м/с
|
1,5…3,5
|
.2 Технологический расчет камеры и потребность
количества камер на цех для реализации годовой программы
.2.1 Пересчет объема фактического пиломатериала
в объем условного материала
Сосна (фактическое и условное)
Объем высушенного или подлежащего сушке
пиломатериала заданной спецификации Фi
, м3 , пересчитывается в объем условного материала Уi
, м3 , по формуле
где 
- объем подлежащего сушке
пиломатериала из сосны размерами 0,04х0,175х2,5 м., м3;Фсосна.=
4800 ,м3;
Кi(сосна) -
коэффициент пересчета
где 
- коэффициентпродолжительности
оборота камеры ;
КЕ-коэффициент
вместимости камеры
где 
или 
как произведение коэффициентов
заполнения штабелей по высоте вв, шириневш и длине вдлс
учетом объемной усушки пиломатериалов Уо
где 
- зависит от номинальной толщины
пиломатериала S и толщины
прокладок Sпр :
где Sпр= 25 мм.
т.к. планируется штабель высотой 3 м.
S - толщина
высушиваемого фактического и условного материала;
S = 40 мм.
вш - зависит от способа
укладки (без шпаций) и вида пиломатериала (обрезные) , вш = 0,9
вдл = при укладке
заготовок «торец в торец», их количество по длине составит:
где lгаб.длина -
габаритная длина штабеля, м (lгаб.длина = 6500 м.);
lзаг. - длина
заготовки,м.;
Округлив nдлдо целого
получим вдл:
Уо- объемная усушка
находится по формуле:
где К0 - коэффициент
объемной усушки зависящий от породы древесины, в случае если породой является
сосна то К0 = 0,44
Wном - влажность
для которой установлены номинальные размеры по толщине и ширине пиломатериалов,Wном = 20% ;
Wк(Wк.у) - конечная
влажность пиломатериалов,Wк = 10(12)%
Коэффициент объемного заполнения
штабелем условным материалом находится по формуле :
Коэффициент продолжительности
оборота камеры определяется по формуле:
где 
- продолжительности оборота камеры
при сушке условного материала, суток.
фоб.ф- продолжительности
оборота камеры при сушке фактического материала данного размеры и породы (
сосна, 0,04х0,175х2,5 м.) , суток.
где 
- продолжительность сушки
фактического или условного материала , суток. Находится в соответствии с
режимом;
фзагр -
продолжительностьзагрузки и выгрузки материала, суток. При механизированной
загрузке и выгрузке принимается 0,1 суток.
Общая продолжительность сушки ( в
часах ), включая начальный прогрев и влаготеплообработку:
где 
- исходная продолжительность сушки
пиломатериалов заданной породы (сосна, 0,04х0,175х2,5 м.), фисх.ф =
88 ч;фисх.у = 88 ч;
Ар - коэффициент,
учитывающий категорию применяемого режима сушки: Ар = 1;
Ац- коэффициент,
учитывающий характер и интенсивность циркуляции воздуха в камере. Находится в
зависимости от произведения Ар,фисх и от скорости
циркуляции: Ац.ф = 0,81; Ац.у = 1;
Ак - коэффициент,
учитывающий категорию качества сушки и характеризующий среднюю длительность
влаготеплообработок. Так как сушка ведется до влажности равной 10 % то выбираем
IIкатегорию
качества сушки при которой: Ак = 1,15;
Ав - коэффициент,
учитывающий начальную и конечную влажность древесины, при начальной влажности
равно 65%(60%) и конечной 10(12)%, Ав.ф= 1,16;Ав.у = 1;
Ад - коэффициент,
учитывающий влияние длины пиломатериалов на продолжительность процесса, Ад
= 1;
Пихта
Объем высушенного или подлежащего
сушке пиломатериала заданной спецификации Фi , м3
, пересчитывается в объем условного материала Уi , м3 ,
по формуле
где 
- объем подлежащего сушке
пиломатериала из сосны размерами 0,05х0,125х2,5 м., м3;Фпихта.=
5900 ,м3;
Кпихта- коэффициент
пересчета
где 
- коэффициентпродолжительности
оборота камеры ;
КЕ-коэффициент
вместимости камеры
где 
или 
как произведение коэффициентов
заполнения штабелей по высоте вв, ширине вш и длине вдлс
учетом объемной усушки пиломатериалов Уо
где 
- зависит от номинальной толщины
пиломатериала S и толщины
прокладок Sпр :
где Sпр= 25 мм.
т.к. планируется штабель высотой 3 м.
S - толщина
высушиваемого материала; S = 50мм.
вш - зависит от способа
укладки (без шпаций) и вида пиломатериала (обрезные) , вш = 0,9
вдл = при укладке
заготовок «торец в торец», их количество по длине составит:
где lгаб.длина -
габаритная длина штабеля, м (lгаб.длина = 6500 м.);
lзаг. - длина
заготовки,м.;
Округлив nдлдо целого
получим вдл:
Уо- объемная усушка
находится по формуле:
где К0 - коэффициент
объемной усушки зависящий от породы древесины, в случае если породой является
пихта то К0 = 0,54
Wном - влажность
для которой установлены номинальные размеры по толщине и ширине пиломатериалов,Wном = 20% ;
Wк(Wк.у) - конечная
влажность пиломатериалов,Wк = 10(12)%
Коэффициент объемного заполнения
штабелем условным материалом находится по формуле :
Коэффициент продолжительности
оборота камеры определяется по формуле:
где 
- продолжительности оборота камеры
при сушке условного материала, суток.
фоб.ф- продолжительности
оборота камеры при сушке фактического материала данного размеры и породы
(пихта, 50х125х2500 мм.) , суток.
где 
- продолжительность сушки
фактического или условного материала , суток. Находится в соответствии с
режимом;
фзагр -
продолжительностьзагрузки и выгрузки материала, суток. При механизированной
загрузке и выгрузке принимается 0,1 суток.
Общая продолжительность сушки ( в
часах ), включая начальный прогрев и влаготеплообработку:
где 
- исходная продолжительность сушки
пиломатериалов заданной породы (сосна, 0,04х0,175х2,5 м.), фисх.ф =
100 ч;фисх.у = 88 ч;
Ар - коэффициент,
учитывающий категорию применяемого режима сушки: Ар = 1;
Ац - коэффициент,
учитывающий характер и интенсивность циркуляции воздуха в камере. Находится в
зависимости от произведения Ар ,фисх и от скорости
циркуляции: Ац.ф = 0,81; Ац.у = 1;
Ак - коэффициент,
учитывающий категорию качества сушки и характеризующий среднюю длительность
влаготеплообработок. Так как сушка ведется до влажности равной 10 % то выбираем
IIкатегорию
качества сушки при которой: Ак = 1,15;
Ав - коэффициент,
учитывающий начальную и конечную влажность древесины, при начальной влажности
равно 65%(60%) и конечной 10(12)%, Ав.ф= 1,16; Ав.у = 1;
Ад - коэффициент,
учитывающий влияние длины пиломатериалов на продолжительность процесса, Ад
= 1;
Береза
Объем высушенного или подлежащего
сушке пиломатериала заданной спецификации Фi , м3
, пересчитывается в объем условного материала Уi , м3 ,
по формуле
где 
- объем подлежащего сушке
пиломатериала из березы размерами 0,038х0,1х5м., м3;Фпихта.=3350
,м3;
Кбереза- коэффициент
пересчета
где 
- коэффициентпродолжительности
оборота камеры ;
КЕ-коэффициент
вместимости камеры
где 
или 
как произведение коэффициентов
заполнения штабелей по высоте вв, ширине вш и длине вдлс
учетом объемной усушки пиломатериалов Уо
где 
- зависит от номинальной толщины
пиломатериала S и толщины
прокладок Sпр :
где Sпр= 25 мм.
т.к. планируется штабель высотой 3 м.
S - толщина
высушиваемого материала; S = 38мм.
вш - зависит от способа
укладки (без шпаций) и вида пиломатериала (обрезные) , вш = 0,9
вдл = при укладке
заготовок «торец в торец», их количество по длине составит:
где lгаб.длина -
габаритная длина штабеля, м (lгаб.длина = 6500 м.);
lзаг. - длина
заготовки,м.;
Округлив nдлдо целого
получим вдл:
Уо- объемная усушка
находится по формуле:
где К0 - коэффициент
объемной усушки зависящий от породы древесины, в случае если породой является
пихта то К0 = 0,39
Wном - влажность
для которой установлены номинальные размеры по толщине и ширине пиломатериалов,Wном = 20% ;
Wк(Wк.у) - конечная
влажность пиломатериалов,Wк = 10(12)%
Коэффициент объемного заполнения
штабелем условным материалом находится по формуле :
Коэффициент продолжительности
оборота камеры определяется по формуле:
где 
- продолжительности оборота камеры
при сушке условного материала, суток.
фоб.ф- продолжительности
оборота камеры при сушке фактического материала данного размеры и породы
(пихта, 50х125х2500 мм.) , суток.
где 
- продолжительность сушки
фактического или условного материала , суток. Находится в соответствии с
режимом;
фзагр -
продолжительностьзагрузки и выгрузки материала, суток. При механизированной
загрузке и выгрузке принимается 0,1 суток.
Общая продолжительность сушки ( в
часах ), включая начальный прогрев и влаготеплообработку:
где 
- исходная продолжительность сушки
пиломатериалов заданной породы (береза, 38х100х5000 м.), фисх.ф =
100 ч;фисх.у = 88 ч;
Ар - коэффициент,
учитывающий категорию применяемого режима сушки: Ар = 1;
Ац - коэффициент,
учитывающий характер и интенсивность циркуляции воздуха в камере. Находится в
зависимости от произведения Ар ,фисх и от скорости
циркуляции: Ац.ф = 0,81; Ац.у = 1;
Ак - коэффициент,
учитывающий категорию качества сушки и характеризующий среднюю длительность
влаготеплообработок. Так как сушка ведется до влажности равной 10 % то выбираем
IIкатегорию
качества сушки при которой: Ак = 1,15;
Ав - коэффициент,
учитывающий начальную и конечную влажность древесины, при начальной влажности
равно 65%(60%) и конечной 10(12)%, Ав.ф= 1,16; Ав.у = 1;
Ад - коэффициент,
учитывающий влияние длины пиломатериалов на продолжительность процесса, Ад
= 1;
Осина
Объем высушенного или подлежащего
сушке пиломатериала заданной спецификации Фi , м3
, пересчитывается в объем условного материала Уi , м3 ,
по формуле
где 
- объем подлежащего сушке
пиломатериала из осины размерами 0,019х0,15х5 м., м3;Фпихта.=2900
,м3;
Косина- коэффициент
пересчета
где 
- коэффициентпродолжительности
оборота камеры ;
КЕ-коэффициент
вместимости камеры
где 
или 
как произведение коэффициентов
заполнения штабелей по высоте вв, ширине вш и длине вдлс
учетом объемной усушки пиломатериалов Уо
где 
- зависит от номинальной толщины
пиломатериала S и толщины
прокладок Sпр :
где Sпр= 25 мм.
т.к. планируется штабель высотой 3 м.
S - толщина
высушиваемого материала; S = 19мм.
вш - зависит от способа
укладки (без шпаций) и вида пиломатериала (обрезные) , вш = 0,9
вдл = при укладке
заготовок «торец в торец», их количество по длине составит:
где lгаб.длина -
габаритная длина штабеля, м (lгаб.длина = 6500 м.);
lзаг. - длина
заготовки,м.;
Округлив nдлдо целого
получим вдл:
Уо- объемная усушка
находится по формуле:
где К0 - коэффициент
объемной усушки зависящий от породы древесины, в случае если породой является
пихта то К0 = 0,41
Wном - влажность
для которой установлены номинальные размеры по толщине и ширине пиломатериалов,Wном = 20% ;
Wк(Wк.у) - конечная
влажность пиломатериалов,Wк = 10(12)%
Коэффициент объемного заполнения
штабелем условным материалом находится по формуле :
Коэффициент продолжительности оборота
камеры определяется по формуле:
где 
- продолжительности оборота камеры
при сушке условного материала, суток.
фоб.ф- продолжительности
оборота камеры при сушке фактического материала данного размеры и породы
(осина, 19х150х5000 мм.) , суток.
где 
- продолжительность сушки
фактического или условного материала , суток. Находится в соответствии с
режимом;
фзагр -
продолжительностьзагрузки и выгрузки материала, суток. При механизированной
загрузке и выгрузке принимается 0,1 суток.
Общая продолжительность сушки ( в
часах ), включая начальный прогрев и влаготеплообработку:
где 
- исходная продолжительность сушки
пиломатериалов заданной породы (осина, 19х150х5000м.), фисх.ф = 40
ч;фисх.у = 88 ч;
Ар - коэффициент,
учитывающий категорию применяемого режима сушки: Ар = 1;
Ац - коэффициент,
учитывающий характер и интенсивность циркуляции воздуха в камере. Находится в
зависимости от произведения Ар ,фисх и от скорости
циркуляции: Ац.ф = 0,67; Ац.у = 1;
Ак - коэффициент,
учитывающий категорию качества сушки и характеризующий среднюю длительность
влаготеплообработок. Так как сушка ведется до влажности равной 10 % то выбираем
IIкатегорию
качества сушки при которой: Ак = 1,15;
Ав - коэффициент,
учитывающий начальную и конечную влажность древесины, при начальной влажности
равно 65%(60%) и конечной 10(12)%, Ав.ф= 1,16; Ав.у = 1;
Ад - коэффициент,
учитывающий влияние длины пиломатериалов на продолжительность процесса, Ад
= 1;
Бук
Объем высушенного или подлежащего
сушке пиломатериала заданной спецификации Фi , м3
, пересчитывается в объем условного материала Уi , м3 ,
по формуле
где 
- объем подлежащего сушке
пиломатериала из бука размерами 0,022х0,15х5 м., м3;Фбук.=2600
,м3;
Кбук- коэффициент
пересчета
где 
- коэффициентпродолжительности
оборота камеры ;
КЕ-коэффициент
вместимости камеры
где 
или 
как произведение коэффициентов
заполнения штабелей по высоте вв, ширине вш и длине вдлс
учетом объемной усушки пиломатериалов Уо
где 
- зависит от номинальной толщины
пиломатериала S и толщины
прокладок Sпр :
где Sпр= 25 мм.
т.к. планируется штабель высотой 3 м.
S - толщина
высушиваемого материала; S = 22мм.
вш - зависит от способа
укладки (без шпаций) и вида пиломатериала (обрезные) , вш = 0,9
вдл = при укладке
заготовок «торец в торец», их количество по длине составит:
где lгаб.длина -
габаритная длина штабеля, м (lгаб.длина = 6500 м.);
lзаг. - длина
заготовки,м.;
Округлив nдлдо целого
получим вдл:
Уо- объемная усушка
находится по формуле:
где К0 - коэффициент
объемной усушки зависящий от породы древесины, в случае если породой является
бук то К0 = 0,47
Wном - влажность
для которой установлены номинальные размеры по толщине и ширине пиломатериалов,Wном = 20% ;
Wк(Wк.у) - конечная
влажность пиломатериалов,Wк = 10(12)%
Коэффициент объемного заполнения
штабелем условным материалом находится по формуле :
Коэффициент продолжительности
оборота камеры определяется по формуле:
где 
- продолжительности оборота камеры
при сушке условного материала, суток.
фоб.ф- продолжительности
оборота камеры при сушке фактического материала данного размеры и породы (бук,
22х150х5000 мм.) , суток.
где 
- продолжительность сушки
фактического или условного материала , суток. Находится в соответствии с
режимом;
фзагр - продолжительность
загрузки и выгрузки материала, суток. При механизированной загрузке и выгрузке
принимается 0,1 суток.
Общая продолжительность сушки (в
часах), включая начальный прогрев и влаготеплообработку:
где 
- исходная продолжительность сушки
пиломатериалов заданной породы (бук, 22х150х5000 м.), фисх.ф = 82
ч;фисх.у = 88 ч;
Ар - коэффициент,
учитывающий категорию применяемого режима сушки: Ар = 1;
Ац - коэффициент,
учитывающий характер и интенсивность циркуляции воздуха в камере. Находится в
зависимости от произведения Ар ,фисх и от скорости
циркуляции: Ац.ф = 0,76; Ац.у = 1;
Ак - коэффициент,
учитывающий категорию качества сушки и характеризующий среднюю длительность
влаготеплообработок. Так как сушка ведется до влажности равной 10 % то выбираем
IIкатегорию
качества сушки при которой: Ак = 1,15;
Ав - коэффициент,
учитывающий начальную и конечную влажность древесины, при начальной влажности равно
65%(60%) и конечной 10(12)%, Ав.ф= 1,16; Ав.у = 1;
Ад - коэффициент,
учитывающий влияние длины пиломатериалов на продолжительность процесса, Ад
= 1;
Таблица 2 - определение коэффициентов объемного
заполнения штабеля фактическим и условным материалом
|
Порода,
вид и размеры пиломатериалов, мм
|
вв
|
вш
|
вдл
|
К0
|
Wном
|
Wк
|
У0
|
ву,
вф
|
КЕ
|
|
Сосна
обр.пиломатериал 40х175х2500
|
0,62
|
0,9
|
0,76
|
0,44
|
20
|
10
|
4,4
|
0,613
|
1,11
|
|
Пихта
обр.пиломатериал 50х125х2500
|
0,66
|
0,9
|
0,76
|
0,39
|
20
|
10
|
3,9
|
0,37
|
1,06
|
|
Береза
обр.пиломатериал 38х100х5000
|
0,6
|
0,9
|
0,76
|
0,54
|
20
|
10
|
5,4
|
0,793
|
1,15
|
|
Осина
обр.пиломатериал 19х150х5000
|
0,43
|
0,9
|
0,76
|
0,41
|
20
|
10
|
4,1
|
0,567
|
1,6
|
|
Бук
обр.пиломатериал 22х150х5000
|
0,47
|
0,9
|
0,76
|
0,47
|
20
|
10
|
4,7
|
0,616
|
1,48
|
|
Сосна
обр.пиломатериал 40х150х5500 (Условный материал)
|
0,62
|
0,9
|
0,84
|
0,44
|
20
|
12
|
3,52
|
0,454
|
-
|
Таблица 3 -определение продолжительности сушки
материалов
|
Порода,
сечение пиломатериалов, мм
|
Категория
режима
|
Категория
качества сушки
|
Wнач
|
фисх,
часы
|
Aр
|
Aц
|
Aк
|
Aв
|
Aд
|
фсуш,
часы
|
фоб.ф,
фоб.ф,суток
|
Кф
|
|
1
|
2
|
3
|
4
|
5
|
6
|
7
|
8
|
9
|
10
|
11
|
12
|
13
|
14
|
|
Сосна,обр.
40х175
|
Н
|
II
|
65
|
10
|
88
|
1
|
0,81
|
1,15
|
1,16
|
1
|
95
|
4
|
0,94
|
|
Пихта,обр.50х125
|
Н
|
II
|
65
|
10
|
100
|
1
|
0,81
|
1,15
|
1,16
|
1
|
108
|
4,6
|
1,07
|
|
Береза,обр.38х100
|
Н
|
II
|
65
|
10
|
100
|
1
|
0,81
|
1,15
|
1,16
|
1
|
108
|
4,6
|
1,07
|
|
Осина,обр.19х150
|
Н
|
II
|
65
|
10
|
40
|
1
|
0,67
|
1,15
|
1,16
|
1
|
35,7
|
1,6
|
0,37
|
|
Бук,
обр.22х150
|
Н
|
II
|
65
|
10
|
82
|
1
|
0,76
|
1,15
|
1,16
|
1
|
83
|
3,6
|
0,82
|
|
Сосна,
обр.40х150 усл.матер.
|
Н
|
II
|
60
|
12
|
88
|
1
|
0,81
|
1,15
|
1
|
1
|
101
|
4,3
|
-
|
|
|
|
|
|
|
|
|
|
|
|
|
|
|
|
|
|
|
|
|
Таблица 4 - пересчет объема фактических
пиломатериалов в объем условного материала
|
Порода,
сечение пиломатериалов, мм
|
Заданный
объем сушки Ф, м3
|
Коэффициент
вместимости камеры КЕ
|
Коэффициент
оборота камеры Кф
|
Коэффициент
пересчета К
|
Объем
в условном материале У, м3
|
|
Сосна,
обр. 40х175
|
4800
|
1,11
|
0,94
|
1,05
|
5058
|
|
Пихта,
обр. 50х125
|
5900
|
1,06
|
1,07
|
1,13
|
6712
|
|
Береза,
обр.38х100
|
3350
|
1,15
|
1,07
|
1,23
|
4126
|
|
Осина,
обр.19х150
|
2900
|
1,6
|
0,37
|
0,595
|
1727
|
|
Бук,
обр.22х150
|
2600
|
1,48
|
0,82
|
1,21
|
3163
|
|
Итого
|
19550
|
|
|
|
20768
|
.2.2 Определение производительности камер в
условном материале
Годовая производительность камеры в уловном
материале, м3/год :
где Еу -вместимость камеры в плотных
кубометрах условного материала, м3;
где Г - габаритный объем всех штабелей в камере,
м3;
ву -коэффициент объемного заполнения
штабеля условным материалом;
где n
- число штабелей в камере;
l,b,h
- габаритная длина, ширина и высота штабеля, м;
nу
- число оборотов камеры в год при сушке условного материала, об/год,
где фоб.у - продолжительность оборота
камеры для условного материала, суток;
- время работы камеры в году, суток;
В итоге формула для определения Пу
примет вид:
.2.3 Определение необходимого количества камер
где ∑У - общий объем условного материала,
м3;
Пу- годовая производительность камеры
в условном материале, м3/год.
.2.4 Определение производственной мощности
действующего лесосушильного цеха
Производственная мощность лесосушильного цеха Пцеха,
м3/год, определяется по формуле:
При правильном планировании лесосушильного цеха
общий годовой объем условного материала должен быть равен его производственной
мощности.
.3 Тепловой расчет камеры и цеха
Проводится с целью определения затрат тепла на сушку,
расхода теплоносителя, выбора и расчета теплового оборудования камер и цеха .
Начинать тепловой расчет целесообразно с выбора
расчетного материала. За расчетный материал принимаются самые быстросохнущие
доски.
Я принимаю за расчетный материал самые быстросохнущие
обрезные доски из спецификации породы осина сечением 19х150мм с
продолжительностью сушки (фсуш) 35,7 часов, начальная влажность 65%,
конечная в связи с тем, что производство мебельное конечная влажность
принимается 10%.
.3.1 Определение массы испаряемой влаги
· Масса влаги, испаряемой из 1 м3
пиломатериалов, кг/м3
где со
-базисная
плотность расчетного материала (осины) кг/м3, со
= 400;
Wн,Wк-
начальная и конечная влажность расчетного материала соответственно, %.
· Масса влаги, испаряемой за время
одного оборота камеры, кг/оборот
где Е-вместимость камеры, м3;
где Г -габаритный объем всех штабелей в камере,
м3;
вф
- коэффициент объемного заполнения штабеля расчетным материалом.
· Масса влаги, испаряемой из камеры в
секунду, кг/с
где фсоб.сушки-
продолжительность собственно сушки, ч;
где фсуш- продолжительность
сушки расчетного материала, ч, фсуш = 35,7;
фпр
- продолжительность начального прогрева материала, ч, фпр =
3,23;
фкон.вто-
продолжительность конечной влаготеплообработки, ч, фкон.вто =
1,5.
· Расчетная масса испаряемой влаги,
кг/с
где k
-
коэффициент неравномерности скорости сушки, k
=
1,3 т.к. конечная влажность меньше 12%.
.3.2 Выбор режима сушки
Так как сушка производится до влажности в 10% а
производством является мебельное то качество сушки выбирается II.
Режим при низкотемпературном режиме сушки
выбирается 3-Г (из таблицы 13, стр.180).
При низкотемпературном режиме сушке с индексом Г
и номером 3 находятся параметры сушильного агента:
Таблица 5 - Режим низкотемпературного процесса
сушки пиломатериалов лиственных пород
|
Индекс
|
Средняя
влажность древесины, %
|
Параметры
сушильного агента
|
|
|
t
|
Дt
|
ц
|
|
1
|
2
|
3
|
4
|
5
|
|
Г
|
25-35
|
80
|
11
|
0,63
|
.3.3 Определение параметров агента сушки на
входе в штабель
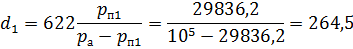
· Влажный воздух
. Влагосодержание d1,
г/кг, определяется по формуле:
где pп1
-
парциальное давление водяного пара, Па;
где ц
- относительная влажность воздуха расчетной ступени режима;
pн1
-
давление насыщенного водяного пара при расчетной температуре режима в 80
градусов, pн1
= 47359 Па;
pа-
атмосферное давление воздуха, pа
=
105 Па
. Теплосодержание воздуха I,
кДж/кг,
Плотность воздуха, кг/м3,
где T
- термодинамическая температура, К, T
= 273+t=273+80=353 К;
. Предельный удельный объем, м3/кг,
1.3.4 Определение объема и массы циркулирующего
агента сушки
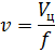
· Определение объема циркулирующего
агента сушки, м3/с,
где vшт-
заданная скорость циркуляции агента сушки через штабель, м/с;
Fж.сеч.шт.
-
живое сечение штабеля, м2
где n
- количество штабелей в плоскости перпендикулярный входу циркулирующего агента
сушки; n = 2;
l,h-
длина и высота штабеля, м, 6,5,3 соответственно;
вв -коэффициент заполнения штабеля по
высоте; вв = 0,43
· Масса циркулирующего агента сушки на
1 кг испаряемой влаги, кг/кг
· Определение параметров воздуха на
выходе из штабеля
2=I1=779,4
кДж/кг;
.3.5 Определение объема свежего и отработанного
воздуха
· Масса свежего и отработанного
воздуха на 1 кг испаряемой влаги кг/кг
где d0
- влагосодержание свежего воздуха, гр/кг.,d0=
12 гр/кг.
· Объем свежего воздуха поступающего в
камеру, м3/с
где vпр
0 -
приведенный удаленный объем свежего воздуха, м3/кг, vпр
0
= 0,87.
· Расчет приточно-вытяжных каналов
камеры
Площадь поперечного сечения приточного канала, м2,
где vкан-
скорость движения свежего воздуха или отработавшего агента сушки в каналах,
м/с, vкан=
3.
Площадь поперечного сечения вытяжного канала, м2,
где Vотр-
объем отработавшего агента сушки, м3/с,
Приточно-вытяжные каналы выбираются круглой
формы диаметр, мм, которых находится по формуле:
Возьмем стандартное : d
= 350 мм.
.3.6 Определение расхода тепла на сушку
· Расход тепла на начальный прогрев 1
м3 древесины,
Для зимних условий, кДж/м3,
где сw-
плотность древесины расчетного материала при заданной начальной влажности Wн
= 65%, сw
= 720 кг/м3;
сб
- Базисная плотность древесины расчетного материала, кг/м3,
сб
= 400;
Wн
- начальная влажность расчетного материала, %, Wн
= 65;
Wгж
- содержание незамерзшей связанной влаги, %, Wгж
=
16;
г - скрытая
теплота плавления льда, г = 335 кДж/кг;
c-;
c+
- средняя удельная теплоемкость соответственно при отрицательной и положительной
температуре, кДж/(кг*°C),
c- =2,12,
c+
= 2,92; t0
- начальная расчетная температура для зимних условий в городе Пенза, t0
=
-27 °C;
tпр
- температура древесины при её прогреве, tпр
= 83 °C
При определении средней удельной теплоемкости
древесины средняя температура, °C,
принимается равной при:
. При отрицательной температуре (c-)
. При положительной температуре (c+)
Для среднегодовых условий, кДж/м3,
где t0
-
среднегодовая температура древесины, °C,
t0
= 5,5;
c+
-
средняя удельная теплоемкость при положительной температуре:
c+
=
2,93 кДж/(кг*°C),.
· Удельный расход тепла при начальном
прогреве на 1 кг испаряемой влаги, кДж/кг
Для зимних условий:
где m1м
- масса влаги, испаряемой из 1 м3 пиломатериалов, кг/м3,
m1м
= 220;
Для среднегодовых условий:
· Общий расход тепла на камеру при
начальном прогреве
Для зимних условий, кВт:
Для среднегодовых условий, кВт:
где E
-
вместимость камеры, м3, E
=
19,7;
фпр
- продолжительность начального прогрева материала, ч, фпр =
3,23.
· Определение расхода тепла на
испарение влаги
Удельный расход тепла на испарение влаги в
камерах многократной циркуляцией при сушке воздухом, кДж/кг
где I2
- теплосодержание воздуха на выходе из штабеля, кДж/кг, I2
= 779,4;
I0
- теплосодержание свежего воздуха, кДж/кг, I0
= 46;
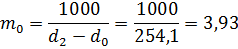
d2
- влагосодержание воздуха на выходе из штабеля, г/кг, d2
= 266,1;
d0
- влагосодержание свежего воздуха, г/кг, d0
=12;
cв
-
удельная теплоемкость воды, кДж/(кг*°C),
cв
= 4,19;
tпр
- температура нагретой влаги в древесине, °C,
tпр
= 83.
Общий расход тепла на испарение влаги, кВт,
где mр
- расчетная масса испаряемой влаги, кг/с, mр
= 0,05.
· Потери тепла через ограждение камеры
. Теплопотери через ограждение камеры в
единицу времени (секунду), кВт,
Для зимних условий:
· Для для боковых стен
где Fог
-
суммарная площадь поверхностей камеры, м2, Fог
= 78;
k
- коэффициент теплопередачи соответствующего ограждения камеры, Вт/(м2*C°)
где aвн
-
коэффициент теплоотдачи для внутренних поверхностей ограждений, Вт/(м2*C°),
aвн
= 25;
aн
-
коэффициент теплоотдачи для наружных поверхностей, Вт/(м2*C°),
aн =
23;
дn
- толщина слоев ограждений, м;
лn
- коэффициент теплопроводности материалов соответствующих ограждений, Вт/(м*C°);
tc
- температура среды в камере, °C,
tc
= ( t1
+ t2)/
2 = 78,6;
t0
-
расчетная температура наружного воздуха для зимних условий,
t0
= -27 °C;
· Для для задней торцевой стены
где Fог
-
суммарная площадь поверхностей камеры, м2, Fог
= 12;
k
- коэффициент теплопередачи соответствующего ограждения камеры, Вт/(м2*C°),
k =
0,481;
tc
- температура среды в камере, °C,
tc
= ( t1
+ t2)/
2 = 78,6;
t0
-
расчетная температура наружного воздуха для зимних условий,
t0
= -27 °C;
· Для передней торцевой стены
где Fог
-
суммарная площадь поверхностей камеры, м2, Fог
= 4,3;
k
- коэффициент теплопередачи соответствующего ограждения камеры, Вт/(м2*C°),
k =
0,481; tc
- температура среды в камере, °C,
tc
= ( t1
+ t2)/
2 = 78,6; t0
-
расчетная температура наружного воздуха для зимних условий, t0
= -27 °C;
· Для перекрытия
где Fог
-
суммарная площадь поверхностей камеры, м2, Fог
= 17,5;
tc
- температура среды в камере, °C,
tc
= ( t1
+ t2)/
2 = 78,6;
t0
-
расчетная температура наружного воздуха для зимних условий,
t0
= -27 °C;
· Для двери
где Fог
-
суммарная площадь поверхностей камеры, м2; Fог
= 7,7;
k
- коэффициент теплопередачи соответствующего ограждения камеры, Вт/(м2*C°)
tc
= 78,6;
t0
=
-27 °C
· Для пола
где Fог
-
суммарная площадь поверхностей камеры, м2; Fог
= 33
k
- коэффициент теплопередачи соответствующего ограждения камеры, Вт/(м2*C°)
c
= 78,6;
t0
=
-27 °C
Для среднегодовых условий:
· Для боковых стен
где Fог
-
суммарная площадь поверхностей камеры, м2, Fог
= 78;
k
- коэффициент теплопередачи соответствующего ограждения камеры, Вт/(м2*C°),
k =
0,481;
tc
- температура среды в камере, °C,
tc
= ( t1
+ t2)/
2 = 78,6;
t0
-
расчетная температура наружного воздуха для зимних условий,
t0
= 5,5 °C;
· Для для задней торцевой стены
где Fог
-
суммарная площадь поверхностей камеры, м2, Fог
= 12;
k
- коэффициент теплопередачи соответствующего ограждения камеры, Вт/(м2*C°),
k =
0,481;
tc
- температура среды в камере, °C,
tc
= ( t1
+ t2)/
2 = 78,6;
t0
-
расчетная температура наружного воздуха для зимних условий,
t0
= 5,5 °C;
· Для передней торцевой стены
где Fог
-
суммарная площадь поверхностей камеры, м2, Fог
= 4,3;
k
- коэффициент теплопередачи соответствующего ограждения камеры, Вт/(м2*C°),
k =
0,481;
tc
- температура среды в камере, °C,
tc
= ( t1
+ t2)/
2 = 78,6;
t0
-
расчетная температура наружного воздуха для зимних условий,
t0
= 5,5 °C;
· Для перекрытия
где Fог
-
суммарная площадь поверхностей камеры, м2, Fог
= 17,5;
k
- коэффициент теплопередачи соответствующего ограждения камеры, Вт/(м2*C°),
k =
0,481;
tc
- температура среды в камере, °C,
tc
= ( t1
+ t2)/
2 = 78,6;
t0
-
расчетная температура наружного воздуха для зимних условий,
t0
= 5,5 °C;
· Для двери
где Fог
-
суммарная площадь поверхностей камеры, м2; Fог
= 7,7;
k
- коэффициент теплопередачи соответствующего ограждения камеры, Вт/(м2*C°)
tc
= 78,6;
t0
=
5,5 °C;
· Для пола
где Fог
-
суммарная площадь поверхностей камеры, м2; Fог
= 33
k
- коэффициент теплопередачи соответствующего ограждения камеры, Вт/(м2*C°)
c
= 78,6;
t0
=
5,5 °C.
Таблица 6 - Расчет поверхности ограждений камеры
|
Наименование
ограждений
|
Формула
|
Площадь,
м2
|
|
1
|
2
|
3
|
|
Наружная
боковая стена
|
Fбок
= L(H1 + H2)
|
Fбок
= 14,6*(1,6536+3,6866)=78
|
|
Торцевая
сторона со стороны коридора управления
|
Fторц1
= Fторц
1 + Fторц
2
|
Fторц1
= 2,422+9,5787=12
|
|
Торцевая
стена со стороны траверсного пути без учета площади двери
|
Fторц2
= Fторц1
- Fдв
|
Fторц2
= 12 - 7,7 = 4,3
|
|
Перекрытие
|
Fпот
= b2*L
|
Fпот
=1,2*14,6 =17,5
|
|
Пол
|
Fпол
= B*L
|
Fпол
= 2,26*14,6=33
|
|
Дверь
|
Fдв
= b1*h
|
Fдв
= 2,14*3,58=7,7
|
Таблица 7 - Расчет потерь тепла через ограждение
камеры
|
Наименование
ограждений
|
Fог,
м2
|
k, Вт/(м2*C°)
|
tc, °C
|
t0,
°C
|
tc - t0,
°C
|
Qог,
кВт
|
|
|
|
|
Зима
|
Среднегодовое
|
Зима
|
Среднегодовое
|
Зима
|
Среднегодовое
|
|
1
|
2
|
3
|
4
|
5
|
6
|
7
|
8
|
9
|
10
|
|
Наружная
боковая стена
|
78
|
0,481
|
78,6
|
-27
|
5,5
|
105,6
|
73,1
|
8
|
5,48
|
|
Торцевая
сторона со стороны коридора управления
|
12
|
0,481
|
78,6
|
-27
|
5,5
|
105,6
|
73,1
|
0,67
|
0,42
|
|
Торцевая
стена со стороны траверсного пути без учета площади двери
|
4,3
|
0,481
|
78,6
|
-27
|
5,5
|
105,6
|
73,1
|
0,22
|
0,15
|
|
Перекрытие
|
17,5
|
0,481
|
78,6
|
-27
|
5,5
|
105,6
|
73,1
|
0,9
|
0,62
|
|
Пол
|
33
|
0,241
|
78,6
|
-27
|
5,5
|
73,1
|
73,1
|
0,84
|
0,58
|
|
Дверь
|
7,7
|
0,6
|
78,6
|
-27
|
5,5
|
105,6
|
73,1
|
0,48
|
0,34
|
|
Итого:
|
11,1
|
7,59
|
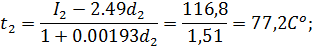
. Удельный расход тепла на потери через
ограждение, кДж/кг,
Для зимних условий:
где mc
- масса влаги испаряемой из камеры в секунду, кг/с, mc
= 0,038.
Для среднегодовых условий:
Определение удельного расхода тепла на сушку,
кДж/кг
Для зимних условий:
qисп
- удельный расход тепла на испарение влаги в камерах многократной циркуляцией
при сушке воздухом, кДж/кг,
qисп
= 2536,92
qпр
-
удельный расход тепла при начальном прогреве на 1 кг испаряемой влаги, кДж/кг;
c1
- коэффициент учитывающий дополнительный расход тепла на прогрев камер,
траспортных средств и оборудования, c1
=1,1.
Для среднегодовых условий:
· Определение расхода тепла на 1 м3
расчетного материала, кДж/м3
Для среднегодовых условий:
где m1м
- Масса влаги, испаряемой из 1 м3 пиломатериалов, кг/м3, m1м
= 220.
.3.7 Выбор типа и расчет поверхности нагрева
калорифера
Для камеры УЛ-2 выбирается биметаллический
калорифер. Тепловая мощность которого определяется по формуле с учетом зимних
условий, кВт
где c2
-
коэффициент неучтенного расхода тепла на сушку, c2
= 1,2;
Qисп
- общий расход тепла на испарение влаги, кВт, Qисп
= 126,84.
· Расчет поверхности нагрева
калорифера, м2
где k
- коэффициент теплопередачи калорифера, Вт/(м2*C°);
tт
- температура теплоносителя, tт
=
144 C°;
c3
-
коэффициент запаса, учитывающий загрязнение поверхности калорифера, c3
= 1,2;
tс
-
температура среды в камере, °C,
tc
= ( t1
+ t2)/
2 = 78,6;
Что бы определить коэффициент теплопередачи
калорифера с начало нужно определить площадь живого сечения калорифера:
где Kf
- коэффициент проекции труб на площадь перпендикулярно потоку, при шаге
размещения труб равным 100 мм. то Kf
= 0,35
Fкан
-
площадь сечения канала перпендикулярная потоку воздуха в котором размещены
трубы, м2, Fкан
= 14,6*1,4=20,44.
Затем определяется скорость агента сушки через
калорифер, м/с,
Так как vк
= 3,34 то k = 19 из таблицы в
2.11[2]
Количество труб определяется как: nтр
= L/l
= 14,6/1,2 = 12
где l
- длина секции, м
L
- Длина сушильной камеры, м.
· Количество труб или компактных
калориферов:
где fк
- площадь нагрева компактного калорифера, м2, fк
=
nтр
* 2,95 * f1м
= 12 * 2,95 * 1,3 = 46,02
f1м
-
площадь нагрева одной биметаллической трубы, м2, f1м
= 1,3.
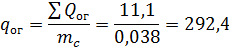
.3.8 Определение расхода пара
· Расчет пара на 1м3
расчетного материала, кг/м3
где qсуш - суммарный
удельный расход тепла на сушку для среднегодовых условий, кДж/кг, qсуш = 
;
iп - энтальпия
сухого насыщенного пара при определенном давлении, кДж/кг; m1м - масса
влаги, испаряемой из 1 м3 пиломатериалов, кг/м3, m1м = 220; iк - энтальпия
кипящей воды при том же давлении давлении, кДж/кг;
∆i - разность
энтальпии кипящей воды и насыщенного пара, кДж/кг, ∆i = при давлении
пара в калорифере p = 0,3…0,5 Мпа, ∆i = 2100.
· Расход пара на камеру, кг/ч
Для зимних условий:
. В период прогрева
где Qпр
-
расход тепла при начальном прогреве, Квт, Qпр
= 476,69;
∑Qог
-
сумма расхода тепла через ограждения, КВт, ∑Qог
=
11,1
c2
- коэффициент, учитывающий учитывающий потери тепла паропроводами,
кондесаторопроводами, кондесатоотводчики при необходимом воздухообмене, c2
=
1,25.
. В период сушки
где Qисп
- общий расход тепла на испарение влаги, кВт, Qисп
=
126,84.
Для среднегодовых условий:
. В период прогрева
где Qпр
-
расход тепла при начальном прогреве, Квт, Qпр
= 276,98;
∑Qог
-
сумма расхода тепла через ограждения, КВт, ∑Qог
=
7,59
. В период сушки
· Расход пара на сушильный цех, кг/ч
Максимальный расход пара в зимних условиях на
сушильный цех, состоящий из камер:
где nкам.пр.
-
число камер, в которых идет одновременно прогрев материала, nкам.пр
=
(1/6) * n = (1/6) * 9 = 1,5
= 2 шт
nкам.суш
- остальные камеры цеха, в которых идет сушка, nкам.суш
=
7 шт.
· Среднегодовой расход пара на сушку
всего заданного объема пиломатериалов, кг/год,
где Ф - объем фактически высушенного или
подлежавшего сушке пиломатериала данного размера и породы, м3, Ф =
2900;
cдлит
-
коэффициент, учитывающий увеличение расхода пара при сушке пиломатериалов
сохнущих медленнее расчетного материала:
Определяется cдлит
в
зависимости от величины отношения фср.ф/фрасч =
90,8/35,7=2,54; cдлит
=
1,31
где фср.ф - средневзвешанная
продолжительность сушки фактических пиломатериалов, ч,
где фn
- продолжительность сушки фактических пиломатериалов отдельно по породам и
сечениям, ч;
Фn
-
годовой объем этих же пиломатериалов отдельно по породам и сечениям, м3;
фрасч - продолжительность сушки
расчетного материала, ч.
1.3.9 Определение диаметров паропроводов и
кондесаторопроводов
Диаметр главной магистрали,
м, в сушильном цехе:
где сп - плотность пара, кг/м3,
сп = 2,12 при давлении пара 0,4 Мпа;
vп
- скорость движения пара, для магистралей vп
=
60 м/с.
Диаметр паропровода
к коллектору камеры, м,
где Pкам.пр
- расход пара на камеру для зимних условий, кг/ч, Pкам.пр
= 1045,3;
vп
- скорость движения пара, vп
=
50 м/с.
Диаметр паропровода к
калориферу камеры, м,
где Pкам.суш
- расход пара на сушку для зимних условий, кг/ч, Pкам.суш
= 295,6;
vп
- скорость движения пара, vп
=
30 м/с.
Диаметр паропровода
к увлажнительным трубам, м,
где vп
- скорость движения пара, vп
=
50 м/с.
Диаметр конденсационного
трубопровода от калорифера камеры, м,
где сп - плотность конденсата,
кг/м3, ск = 925 при давлении пара 0,4 МПа;
vк
- скорость конденсата, vп
=
1 м/с.
Диаметр конденсационной магистрали, м,
где nкам
-
количество камер в цехе, шт;
vк
- скорость конденсата, vп
=
1 м/с.
.3.10 Выбор конденсатоотводчиков
В настоящее время все чаще используются
компактные и надежные в работе термодинамические конденсатоотводчики типа
45ч15нж
Выбор их осуществляется по коэффициенту
пропускной способности, кг/ч,
где ∆p
-
перепад давления в конденсатоотводчике, МПа,
где p1
-
абсолютное давление пара пара перед калорифером, МПа, p1
= 0,95p = 0,95*0,4 = 0,38;
p2
-
абсолютное давление конденсата после конденсатоотводчика, МПа,
p2
=
0,1;
cr
- коэффициент, учитывающий снижение пропускной способности конденсатоотводчика
при удалении горячего конденсата по сравнению с холодным, при ∆p
≥
0,2 то cr
=
0,25.
По коэффициенту kv
определяем техническую характеристику конденсатоотводчика типа 45ч15нж из
таблицы 2.13[2]:
Таблица 8 Краткая характеристика
конденсатоотводчика типа 45ч15нж
|
Проход
условный dу,
мм
|
kv, кг/ч
|
Размеры
|
Резьба
трубная, дюйм
|
Масса,
кг
|
|
|
L
|
L1
|
Hмакс
|
H1
|
D0
|
S
|
|
|
|
1
|
2
|
3
|
4
|
5
|
6
|
7
|
8
|
9
|
10
|
|
32
|
1600
|
140
|
20
|
300
|
35
|
100
|
55
|
11/4
|
8,5
|
Примечание: условные обозначения на рисунке
2.8[2]
.4 Аэродинамический расчет камеры
.4.1 Методика расчета потребного напора вентилятора
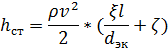
Полный напор вентилятора рассчитывается как:
где hст
- статический напор, Па
где с
- средняя
плотность агента сушки, кг/м3, с
= 0,88;
v
- скорость циркуляции агента сушки на участках системы, м/с;
l
-
длина участка, м;
dэк
-
эквивалентный диаметр, м;
ж -
коэффициент местных потерь
о -
коэффициент трения о стенки каналов и воздуховодов.
Последовательность аэродинамического расчета
состоит из:
. Составление схемы циркуляции агента
сушки в камере и аэродинамическая схема камеры
. Подсчитывается суммарное сопротивление
на всех участках движения агента сушки
. Подбирается типа и номер вентилятора по
соответствующей характеристике
. Определяется теоретическая мощность
вентилятора, мощность электродвигателя для привода вентилятора, по каталогу
выбирается тип электродвигателя, мощность, частота вращения ротора, габаритные
размеры и масса.
. Составление схемы циркуляции агента
сушки в камере и аэродинамическая схема камеры
Таблица 9 Участки циркуляции агента сушки в
камере УЛ-2
|
Номер
участков
|
Наименование
участков
|
|
1
|
2
|
|
1
|
Вентилятор
|
|
2;13
|
Прямой
участок
|
Поворот
под углом 135 градусов
|
|
4
|
Калорифер
|
|
5;11
|
Прямой
участок
|
|
6;10
|
Поворот
под углом 90 градусов
|
|
7
|
Внезапное
сужение
|
|
8
|
Сопротивление
кабеля
|
|
9
|
Внезапное
расширение
|
2. Подсчитывается суммарное сопротивление на
всех участках движения агента сушки
Для этого требуется сначала определить скорость
циркуляции агента сушки и площадь сечений на участках. Находится по формуле:
где Vц
- объем циркулирующего агента сушки, м3/с, Vц
=
44,46;
f
- площадь сечения канала в плоскости, м2.
Участок 1 - Вентилятор
где dвент
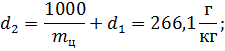
- диаметр вентилятора, м, dвент
=
1;
nвент
- количество вентиляторов, nвент
=
6.
Участок 2;13 - Прямой участок
где h2
= 1,4
м.
Участок 3;12 - Поворот под углом 135
градусов
Участок 4;4,1 - Калорифер
где fж.сеч.кад.
-
площадь живого сечения калорифера, м2;
nкал
-
количество калориферов в камере, в УЛ-2 установлено 12 калориферов в расчетное
берется количество калориферов равное 6 с одной стороны камеры.
Участок 5;11 - Прямой участок
где b
- ширина между краем штабеля и началом стенки в нижней части, м.
Участок 6;10 - поворот под углом 100
градусов
Участок 7 = 8 = 9 - внезапное
сужение = сопротивление штабеля = внезапное расширение соответственно
Таблица 10 Скорость циркуляции агента сушки на
участках камеры
|
Номер
участка
|
1
|
2;13
|
3;12
|
4;4,1
|
5;11
|
6;10
|
7
|
8
|
9
|
|
fi, м2
|
4,21
|
20,44
|
7,3
|
13,3
|
6,72
|
6,72
|
22,23
|
22,23
|
22,23
|
|
vi, м/с
|
9,43
|
2,17
|
6,1
|
3,34
|
6,61
|
6,61
|
2
|
2
|
2
|
· Определение сопротивлений движению
агента сушки на каждом участке, Па
Участок 1 - Вентилятор
где с
- плотность воздуха, кг/м3, с
= 0,88;
v
- скорость
циркуляции, м/с, v
= 9,43;
ж - коэффициент
местных потерь, ж = 0,8.
Участок 2;13 - Прямой участок
где о - коэффициент трения о стенки
каналов и воздуховодов, для металлический каналов о = 0,016
v
- скорость
циркуляции, м/с, v
= 2,17;
l
- длина участка, м, l
= 1,8;
u
- периметр канала, м, u
= 2(l+h2)
= 2(14,6+1,4)
= 32;
f
- площадь
участка, м2, f
=
20,44.
Участок 3;12 - Поворот под углом 135
градусов
где ж - коэффициент местных потерь при
повороте в 135 градусов,
ж = 0,25;
v
- скорость
циркуляции, м/с, v
= 6,1.
Участок 4;4,1 - Калорифер
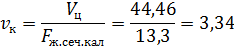
Находится по справочным данным в зависимости от
весовой скорости, которая равна vк
= 3,34 м/с ; В итоге h4;4,1
= 4,3*2 = 8,6
Участок 5;11 - Прямой участок
где о - коэффициент трения о стенки
каналов и воздуховодов, для металлический каналов о = 0,016
v
- скорость
циркуляции, м/с, v
= 6,61;
l
- длина канала, м, l
= 14,6;
u
- периметр канала, м, u
= 2(l+b)
= 2(14,6+0,46)
= 30,12;
f
- площадь
участка, м2, f
=
6,72.
Участок 6;10 - поворот под углом 100
градусов
где жпов - коэффициент местных
потерь при повороте в 100 градусов,
жпов = 0,92;
v
- скорость
циркуляции, м/с, v
= 6,61.
Участок 7 - внезапное сужение
где жсуж - коэффициент
местных потерь при внезапном сужении, при f/F=22,23/(19,5*2)=0,6,
ж = 0,13;
v
- скорость
циркуляции, м/с, v
= 2.
Участок 8 - сопротивление штабеля
где жгаб - коэффициент
местных потерь при проходе через штабель, при S=25
и при толщине досок в 19 мм , ж = 8,6;
vгаб
- скорость
агента сушки пере штабелем, м/с, v
=
Vц/Fгаб.шт
= 44,46/19,5=2,28.
Участок 9 - внезапное расширение
где жрасш - коэффициент
местных потерь при внезапном сужении, при f/F
= 22,23/(19,5*2)
= 0,6, ж = 0,16;
v
- скорость
циркуляции, м/с, v
= 2.
Суммарное сопротивление по кольцу
циркуляции воздуха в камере:
· Выбор вентилятора
Вентилятор выбирается по производительности и по
характерному напору (приведенному) по формуле:
По рисунку 3.8[2] выбираем вентилятор под
номером 14 кпд которого равно з = 0,75
· Определение мощности и выбор
электродвигателя, кВт
Определяется в зависимости от производительности
и характерному напору:
В наши дни в лесосушильных камерах используется
от двух до трех электродвигателей. Мощность электродвигателя для привода
вентилятора, кВт определяется по формуле:
где kз
- коэффициент запаса мощности на пусковой момент при расчетной мощности
электродвигателя, kз
= 1,1.
Таким образом, электродвигатель выбирается из
таблицы 3.17[2] по расчётным данным. В данном проекте я выбираю
электродвигатель модели 4A112MA8У3
с характеристиками:
Таблица 11 - Краткая характеристика
электродвигателя 4A112MA8У3
|
Мощность,
кВт
|
2,2
|
|
Частота
вращения ротора, мин-1
|
750
|
|
Масса,
кг
|
20
|
.5 Технология процесса сушки с выбором основным
параметров, подсобных материалов и оборудования для формирования сушильных
штабелей, дистанционного контроля за параметрами режима, промежуточных операций
и автоматизации процесса сушки пиломатериалов
Технология процесса сушки начинается с одного из
важнейших условий оптимальной эксплуатации сушильных камер и высокого качества
сушки, а именно - это правильная укладка пиломатериалов в штабеля. При правильной
укладке значительно снижается брак от коробления и растрескивания и улучшается
равномерность просыхания пиломатериалов в штабеля. Штабель должен обязательно
состоять из пиломатериалов одной породы древесины и одной толщины.
При сушке пиломатериалов камерного типа
используют штабеля двух типов пакетный и цельный. В моем случае
штабель цельный формирующийся вручную на лифте. Лифт подходит больше для
небольших деревообрабатывающих и как в моем случае мебельных предприятий.
Предназначен для облегчения ручного труда при формировании или разборке штабеля
пиломатериалов на треках. Так как штабель камеры периодического действия УЛ-2
имеет высоту до 3-x метров, то со стороны укладки штабеля делается помост
высотой 500 мм. Лифт расположен в приямке в которой опускается платформа по
мере набора штабеля. В моем случае я выбираю лифт Л-6 характеристика которого
находится в таблице 12.
Таблица 12 Техническая характеристика
погрузочного лифта Л-6
|
Наименование
характеристики
|
Значение
|
|
1
|
2
|
|
Грузоподъемность,
т
|
15
|
|
Габаритные
размеры, мм длина ширина
|
6900
2200
|
|
Ход
платформы, мм
|
2600
|
|
Скорость
перемещения платформы, м/с
|
0,0104
|
|
Электродвигатель
Мощность, кВт Частота вращения, мин-1
|
10
980
|
|
Масса,
кг
|
2930
|
Штабель имеет габаритные размеры соответствующие
характеристикам камеры УЛ-2.
Таблица 12 Размеры штабеля камеры УЛ-2
|
Длина,
мм
|
6500
|
|
Ширина,
мм
|
1800
|
|
Высота,
мм
|
3000
|
Так как циркуляция воздуха является
вертикальной, пиломатериалы укладываются без шпаций (сплошными рядами без
промежутков). Пиломатериалы укладывают комлями в разные стороны. Горизонтальные
ряды пиломатериалов в штабелях должны разделяться межрядовыми прокладками.
Толщина прокладок равна 25 мм т.к. штабель высотой до 3 метров. Прокладки
изготавливают из древесины хвойных или лиственных пород, не имеющей гнили или
синевы. Влажность древесины для изготовления прокладок при сушке пиломатериалов
до транспортной влажности не должна превышать 22%, а при сушке до
эксплуатационной влажности 10%. Закатывается штабель в сушильную камеру с
помощью траверсной тележки.
Проведение процесса сушки пиломатериалов
характеризуется такими операциями как определение начальной и текущей
влажности, назначение режима сушки, загрузка камеры и начальный прогрев
древесины, управление сушильной камерой, контроль за режимом сушки и состоянием
материала, влаготеплообработка древесины, кондиционирующая обработка древесины.
Начальную влажность определяют по секциям, а
текущую по контрольным образцам, выпиливаемых из досок.
Режимом сушки называется расписание параметров
сушильного агента. Стандартные режимы координированы по влажности древесины.
При сушке пиломатериалов применяют режимы с
повышающей по ходу процесса жесткостью которая характеризует скорость испарения
влаги материала в среде заданного этим режимом состояния. При повышении
температуры и снижении степени насыщенности сушильного агента (воздуха)
жесткость режима увеличивается. В начальной стадии при определенной температуре
поддерживается высокая степень насыщенности, а затем при снижении влажности
температура повышается, а степень насыщенности уменьшается. В зависимости от
требований к качеству высушенного пиломатериала, режим может быть низкотемпературным
или высокотемпературным. Так как пиломатериалы данные в задании
высушиваются для мебельного производства то режим выбирается низкотемпературный,
а значит использовать влажный воздух с температурой в начальной стадии ниже 100
градусов цельсия для нормальной категории, которая обеспечивает
бездефектную сушку пиломатериалов при практически полном сохранении прочностных
показателей с возможными незначительными изменениями цвета.
Загрузка камеры и начальный прогрев древесины
проходит следующим образом. В камеру загружают штабеля уложенный в соответствии
с правилами укладки. Первой технологической операцией после загрузки камеры является
первоначальная обработка материала. Древесину прогревают до тех пор пока
разность между температурами среды и в центре доски не достигнет 3-х градусов
цельсия, после чего переходят к первой ступени режима сушки.
Для снятия или уменьшения остаточных внутренних
напряжений, возникающих в древесине при сушке, проводят конечную и
промежуточную обработку древесины в среде повышенной температуры и влажности.
Для создания такой среды в сушильное пространство камеры УЛ-2 подают пар при
включенных калориферах, работающих вентиляторах и закрытых приточно-вытяжных
каналах.
Для выравнивания влажности древесины по объему
штабеля и толщине пиломатериалов проводят кондиционирующую обработку. С этой
целью с помощью калориферов и увлажнительных труб поддерживают такое состояние
среды, при котором недосушенные сортименты подсыхают, а пересушенные
увлажняются.
Затем выгруженные из камер штабеля с сухими
пиломатериалами помещают в остывочное помещение ( склад), где их выдерживают в
течении 1…6 суток. Из остывочного помещения пиломатериалы с помощью траверсной
тележки подаются в отделение сортировки и пакетирования, а затем поступают в
деревообрабатывающий цех.
.6 Календарное планирование в сушильном цехе
Календарное планирование работы сушилок проводят
с целью бесперебойного и своевременного выпуска сушильным цехом материала,
требующегося производству. Календарный план составляют на месячный срок.
Основой для разработки календарного плана служит заказ цехов, потребляющих
высушенную древесину, в котором указывают, какие пиломатериалы, сколько и когда
должен дать сушильный цех.
Для составления плана удобно пользоваться
передвижным графиком, представляющим собой доску - планшет, пригодную для
любого месяца.
Заключение
Разработан проект лесосушильного цеха для сушки
пиломатериалов с годовой программой в количестве 19550 м3 с
назначением для изготовления мебели. Предполагаемое место строительства - город
Пенза.
К установке предложено 9 лесосушильных камер
модели УЛ-2. Вместимость каждой из них составляет 31,8 м3. Проведены
технологический, аэродинамический и тепловой расчеты камеры, чтобы оптимально
качественно высушивать пиломатериал по спецификации. Для формирования и
разборки штабелей, транспортирования, доставки пиломатериалов к камерам и на
склады выбран один лифт и одна траверсная тележка.
Рассчитан календарный план на месяц (Сентябрь)
для качественного и в заданный срок выполнения спецификации, а именно
высушивания пиломатериалов из таких пород как сосна, пихта, береза, осина, бук.
Список использованной литературы
1. Богданов Е.С., Справочник по
сушке древесины. - М.:Лесн. пром-сть, 1990. - 304 с.
2. Серговский П.С., Расев А.И.
Гидротермическая обработка и консервирование древесины.- М.: Лесн. пром-сть,
1987. - 360 с.
. Акниншев С.И., Корнеев В.И.
Проектирование лесосушильных камер и цехов. - Уч. Пособие. - С-Пб: ЛТА, 1992.
88с.
. Соколов П.В. Проектирование
сушильных и нагревательных установок для древесины. - М.:Лесн. пром-сть, 1965.
- 33 с.
. Шубин Г.С. Проектирование
установок для гидротермической обработки древесины. - М.:Лесн. пром-сть, 1983.
- 72 с.
. Пухов А.К., Меркушев И.М.
Конструкция и технико-экономические показатели лесосушильных камер. Уч. пособ.
- М.:Лесн. пром-сть, 1984. - 70