Особенности нагревательных печей

  • Вид работы:
    Курсовая работа (т)
  • Предмет:
    Другое
  • Язык:
    Русский
    ,
    Формат файла:
    MS Word
    588,14 Кб
  • Опубликовано:
    2015-07-14
Вы можете узнать стоимость помощи в написании студенческой работы.
Помощь в написании работы, которую точно примут!

Особенности нагревательных печей

Введение

Промышленной печью называется устройство, где химическая энергия топлива, электроэнергия или другие виды энергии, превращающиеся в тепло, под действием которого совершаются технологически необходимые превращения обрабатываемых материалов или изменения их свойств. При этом имеется в виду, что обработка материалов ведется в промышленных масштабах. Если в печах обрабатывается малые количества материалов в опытных целях, такие печи называют лабораторными или полупромышленными. В случаях, когда выделяющееся в печи тепло расходуется для бытовых нужд (обогрева помещений, приготовление пищи и т.п.), печь называется бытовой.

1. Особенности нагревательных печей

Разнообразие печей, обусловленное их технологическими назначениям и особенностями конструкции, чрезвычайно велико. Печи широко применяют в топливоперерабатывающей, металлургической, машиностроительной, химической и пищевой промышленности.

В производстве строительных материалов и других отраслях производства. Печи предназначаются для: 1) разделения или синтеза веществ; 2) воздействие на строение материала (макро- и микроструктуру) с целью получения желательных свойств; 3) придание материалу пластичности или текучести для изменения его формы.

Обычно печь выполняет несколько технологических функций. Так, в мартеновской печи. Наряду с окислением примесей и восстановлением железа, может производиться легирование стали, в расплавленное состояние металла используется, чтобы придать ему желательную форму.

Особенно своеобразны и наиболее трудно поддаются расчету тепловые процессы, происходящие при изменении агрегатного состояния или химического состава основной массы обрабатываемых материалов.

Это обусловлено рядом причин (в разных случаях не одних и тех же): неодинаковым по ходу процесса поглощением или выделением теплоты превращений, сложностью распределения температур в обрабатываемых твердых телах, непостоянством размеров и формы тел, изменчивостью условий теплообмена (например, при слоевых процессах или при плавлении материала) и т.д.

В то же время можно выделить группы печей различного технологического назначения, обладающих большим сходством, как по условиям своей работы, так и по конструкции. Например, могут быть объединены печи для нагрева металлов и кирпичеобжигательные печи. В таких печах, которые можно назвать нагревательными, тепло передается обрабатываемым твердым материалом с целью получения структуры, обеспечивающей заданные физические и рабочие свойства, или придания структуры, обеспечивающей заданные физические и рабочие свойства,

Или придания этим материалом пластичности, необходимой для последующей механической обработки. В том и другом случае не происходит существенных изменений химического состава, формы и размеров изделий при их нагреве. Нагревательные печи характеризуются наличием свободного, т.е. незанятого нагреваемыми изделиями объема рабочего пространства, которое необходимо для развития процесса горения и переноса тепла движущимися газами. Однако некоторые нагревательные печи, особенно низкотемпературные, могут иметь топки, расположенные вне рабочего пространства, или электрические нагреватели. В этих печах промежутки между стенками и изделиями, а также между последними служат для прохода теплоносителей (продуктов горения, воздуха или иных, например, защитных газов) и для осуществления лучистого теплообмена.

Все промышленное оборудование можно разделить на три большие группы: энергетическое, технологическое и вспомогательное. Энергетическое оборудование предназначено для получения рабочего вида энергии из другой энергии без изменения ее вида. Назначением технологического оборудования является использование с максимально возможным коэффициентом полезного действия (к. п. д.) рабочего вида энергии для осуществления какого-либо технологического процесса. К вспомогательному относится такое оборудование, работа которого не связана в явном виде с получением, преобразованием или использованием энергии.

Металлургические печи относятся к технологическому оборудованию. Рабочим видом энергии служит тепло. Основным назначением печей как технологического оборудования является создание таких тепловых условий, которые бы обеспечили наиболее благоприятное протекание технологического процесса в рабочем пространстве печей.

При работе всех печей можно выделить с теплотехнической точки зрения два основных процесса: генерацию (получение) тепла и перенос тепла от источника к генерации, для других - процесс переноса тепла. Исходя из этого, различают три большие группы, объединение печи - теплогенераторы; печи теплообменники; печи смешанного типа. К печам - теплогенараторам относят все печи, в которых возникновение тепла происходит в самом материале, подвергаемом тепловой обработки. В этих печах отсутствует процесс переноса тепла из какой-то другой зоны печи к нагреваемому материалу, поскольку тепло выделяется внутри самого материала, и поэтому тепловым процессом для них является генерация тепла. Примером печей - теплогенераторов могут служить конверторы для получения стали из чугуна. Такие как: индукционные нагревательные и плавильные печи, конверторы для переработки медных, медноникелевых и никелевых штейнов для получения черной меди. Печи кипящего слоя для обжига сульфидов цветных металлов и др. В печах-теплообменниках тепло выделяется вне обрабатываемого материала и передается к нему благодаря протеканию таких процессов передачи тепла, как конвекция, излучение и теплопроводность. В этих печах основным является процесс теплообмена, поскольку теплообмен целиком определяет протекание технологического процесса. К печам-теплообменникам относят большое число печей для плавления металлов и сплавов, печей для нагрева изделий под прокатку, ковку, штамповку, т. е под операции пластической деформации, а также печи для нагрева под термообработку (отжиг, отпуск, нормализация, закалка) и др.

К группе печей смешанного типа принадлежит такие печи, в которых процессы генерации и переноса тепла имеют одинаковое важное значение. Примером таких печей служит современная мартеновская печь, работающая с продувкой ванны кислородом. Наряду с переносом тепла к ванне от факела, который в данном случае является источником тепловой энергии, внутри самой жидкости ванны происходит выделение тепла при окислении таких примесей, как углерод, кремний, марганец, а так же при окислении части железа, что является, конечно, недостатком мартеновских печей, работающих с продувкой ванны кислородом. Как было отмечено выше, рабочим видом энергии является тепловая энергия (тепло), с точки зрения теплотехники не имеет значения источник получения тепла. Тепло может быть получено за счет сжигания газообразного, жидкого и твердого топлива (топливные печи); в тепло может быть превращена электрическая энергия (электрические печи - дуговые, индукционные, и электроннолучевые, печи сопротивления, установки диэлектрического нагрева и др.), а также атомная энергия солнечного излучения (солнечные печи). По технологическому назначению металлургические печи делят на плавильные и нагревательные.

Плавильные печи предназначены для получения из руд металлов и сплавов заданных свойств, а также для переплавки металлов и сплавов с целью изменения их свойств. Эти процессы всегда сопровождаются переходом материала из твердого состояния в жидкое, т.е изменением агрегатного состояния. Плавильные печи в свою очередь подразделяют на чугуноплавильные, сталеплавильные, печи для плавки цветных тяжелых и легких материалов и т.д.

Печи, предназначение для проведения в них определенных технологических операций, могут классифицироваться по конструктивным признакам. Например, нагревательные печи для нагрева перед прокаткой подразделяют на нагревательные колодцы, методические печи, печи, с вращающим подом, секционные печи скоростного нагрева и т.д.

Топливные печи группируют по виду применяемого топлива. Например, сталеплавильные мартеновские печи могут быть газовыми (топливо - природный газ), мазутными (топливо - мазут) или газомазутными (топливо - природный газ плюс мазут).

Электрические печи классифицируют по способу превращения электрической энергии в тепловую: дуговые печи, печи сопротивления, индукционные печи и др. В нагревательных печах обрабатываемый материал не изменяет своего агрегатного состояния (нагревательные, сушильные, обжиговые печи). Нагревательные печи применяют для нагрева материалов с целью обжига (известняка, магнезита, огнеупорных материалов, сульфидов цветных металлов и т.д.), сушки (литейных форм, песка, руд, концентратов и т.д.). Большая группа нагревательных печей служит для нагрева металла с целью придания ему пластических свойств перед прокаткой, ковкой, штамповкой, прошивкой. Нагревательные печи применяют также для нагрева металла с целью изменения внутренней металлографической структуры и, следовательно, свойств (термообработка), а так же для нагрева под термохимическую обработку.

По способу утилизации тепла отходящих дымовых газов печи подразделяют на регенеративные (мартеновские печи, регенеративные нагревательные колодцы) и рекуперативные (рекуперативные нагревательные колодцы, методические печи и др.).

Таким образом, все отмеченные выше несомненные достоинства электрических печей не означают, что электрификация термических процессов в черной металлургии является целесообразной абсолютно во всех случаях. Во многих процессах, когда применение электрической энергии не вызывается технологической или теплотехнической необходимостью, технико-экономические показатели оказываются лучшими при использовании топливных установок.

Индукционные печи

Поскольку в этих печах тепло выделяется внутри зоны технологического процесса, внешний теплообмен в них практически отсутствует, и они являются печами - теплогенераторами. Индукционные печи применяются для плавления черных и цветных металлов и сплавов, нагрева с целью термической обработки стальных изделий. Эти печи начинают использовать для нагрева металла перед прокаткой и ковкой.

Установки электро-лучевого нагрева.

В этих условиях электрическая энергия превращается в тепло за счет столкновения ускоренного потока электронов с поверхности расплавляемого металла. Такие установки применяют для вакуумного переплава особо чистых металлов и сплавов, так как в этих печах отсутствуют источники загрязнения металла (электроды или футеровка), свойственные другим электроплавильным устройствам.

К другим классификационным признакам относят режим работы электрических печей. По этому признаку печи разделяют на камерные или непрерывные (методические).

Зависимости от осуществляемого технологического процесса печи могут быть разделены на плавильные и нагревательные.

Общим для конструкции всех электрических печей является то, что все они состоят из двух основных частей: собственно печи, т.е. рабочей камеры, где происходит технологический процесс, и электрического оборудования включающего тот или иной преобразователь электроэнергии (трансформатор, высокочастотный генератор), а также пусковые, распределительные, защитные и сигнальные устройства. Для вакуумных печей свойственна еще одна (третья) важная часть конструкции: вакуумное оборудование, с помощью которого создается и поддерживается необходимое разрешение в рабочей камере.

. Классификация печей по принципу тепловыделения

Тепловыделение в печах представляет собой процесс превращения какого-либо вида энергии в тепловую энергию. Источниками получения тепла является химическая энергия топлива (топливные печи), химическая энергия жидкого металла, электрическая энергия.

Превращение химической энергии топлива в тепловую происходит в результате сгорания топлива в топливных печах. В черной металлургии к таким печам относят пламенные печи и печи, работающие по слоевому режиму (шахтные печи). Рабочее пространство пламенных печей только в очень малой степени заполнено обрабатываемым материалом, который обычно располагается на поду. Основная часть рабочего пространства заполнена пламенем и раскаленными дымовыми газами, передающие тепло материалу. Подобные печи работают на газообразном, жидком и иногда пылевидном твердом топливе.

В шахтных печах все рабочее пространство заполнено сыпучими материалами, в состав которых входит и сжигаемое кусковое твердое топливо. При сгорании кусков топлива образуются продукты сгорания, и выделяется тепловая энергия, которая передается материалу излучением, конвекцией и теплопроводностью. В этих печах расстояние между кусками и поверхность теплообмена практически неопределенны.

Превращение химической энергии металла в тепловую происходит при выгорании примесей, находящихся в состава жидкого металла. В этих агрегатах, представителями которых являются конверторы, процесс тепловыделения происходит непосредственно в материале, и поэтому органически сочетаются с технологией; при этом выделяющиеся тепло равномерно распределяется по всей массе жидкого металла.

Существуют и такие печи. В которых тепловыделение обусловлено химической энергией топлива и химической энергией жидкого металла. К таким печам относят мартеновские и двухванные печи. В этих печах топливо сгорает над ванной металла, т.е. идут процессы, присущие пламенным печам. Вместе с тем в металлической ванне происходит выгорание примесей, сопровождаемое выделение тепла. Причем очень существенным (в некоторые периоды плавки выделение тепла за счет химической энергии жидкого металла может иметь решающее значение).

В основе превращения электрической энергии в тепловую могут лежать следующие принципы:

Тепловыделение при прохождении электрического тока через газ;

Тепловыделение при воздействии электрического тока через газ;

Тепловыделение при прохождении электрического тока на магнитное поле и создание вихревых токов в металле;

Тепловыделение при перемагничивании и поляризации диэлектриков;

Тепловыделение при прохождении электрического тока через твердое (иногда и жидкое) тело, обладающее электропроводностью;

Тепловыделение за счет кинетической энергии электронов.

Перечисленные принципы теплогенерации лежат в основе следующих групп печей и установок: 1-й - дуговых и плазменных печей, 2-й - индукционных печей, 3-й - установок диэлектрического нагрева, 4-й - печей сопротивления, 5-й - электроннолучевых печей.

. Применение электрического нагрева и его особенности

Электрические печи получают все более широкое распространение во многих отраслях промышленности и особенно металлургии. Электронагрев используется здесь для расплавления металлов и сплавов, восстановление металлов из руд, нагрева различных изделий и заготовок.

Электрические печи позволяют в ряде случаев осуществить процессы, которые невозможно было бы провести в топливных печах, не говоря о многих других существенных достоинствах электрического нагрева. Так, получению качественных сталей в электропечах способствует легкость регулирования теплового режима. Минимальный угар легирующих элементов и возможность создания малоокислительной или слабовосстановительной атмосферы. Легирование стали некоторых марок вообще можно получать исключительно в электрических печах. Ферросплавы, широко применяющиеся в современном производстве наиболее эффективно осуществляется в мощных дуговых печах. Где концентрируются выделение большого количества тепла в сравнительно малом объеме. Плавка высокореакционных и тугоплавких металлов (титан, молибден, вольфрам и др.) и сплавов на основе ведется исключительно в электрических дуговых вакуумных печах или электронно-лучевых установках.

При использовании электрических печей для нагрева деталей и заготовки существенно облегчается регулирование теплового режима, резко возрастает точность соблюдения заданной температуры в печи и обеспечивается высокая степень равномерности нагрева всех изделий, находящихся в печной камере. Кроме того, электронагрев позволяет осуществить при необходимости местный нагрев отдельных участков изделия, а так же нагрев поверхности (для поверхности закалки). Рабочая камера электрической печи может сравнительно легко герметизирована, что позволяет широко применять нагрев в защитных или специальных атмосферах или в вакууме.

Чистота, хорошие условия труда в цехах, оборудованных электрическими печами, отсутствие отходящих дымовых газов, что резко повышает тепловую эффективность работы электрических печей и упрощает их конструкции по сравнению с топливными, являются также очень существенными преимуществами электрического нагрева.

Все эти преимущества предопределяют ту большую роль, которую электрохимические процессы играют в производстве и обработке металлов и сплавов.

Однако электроэнергия остается пока сравнительно дорогой, поэтому ее применение должно быть четко технически и экономически обосновано, а исходя из других народнохозяйственных соображений (месторасположение предприятия, сравнительная доступность различных энергетических ресурсов и т.д.). Поскольку для получения тепла в рабочих камерах металлургических печей обычно используют химическую энергию топлива, при выборе наиболее рационального способа теплогенерации необходимо в каждом отдельном случае способствовать преимущества и недостатки применения для этой цели топлива или электроэнергии.

4. Индукционные нагревательные печи

Индукционный нагрев металла для различных целей, начиная с нагрева заготовок перед прокаткой и кончая термической обработкой сортового проката является чрезвычайно перспективным. Благодаря выделению тепла в нагревательном металле могут быть достигнуты очень высокие скорости повышения температуры при минимальном образовании окалины без возникновения значительной разности температур по сечению и, следовательно, без опасных термических напряжений.

Магнитное поле переменного тока индуцирует вихревые токи в нагреваемом изделии, которые, протекая по металлу, выделяют джоулево тепло. При токе промышленной частоты, создающем магнитном поле, плотность вихревых токов практически одинаковая по всему сечению изделия.

При повышенной и высокой частоте тока плотность индуцируемого тока у поверхности изделия выше, чем внутри сечения. Это явление называется поверхностным эффектом. Магнитное поле, создаваемое индуктором, разделяется на два потока: полезный поток, идущий через нагреваемое изделие, и поток рассеяния - поток потерь. Для индукционного нагрева стальных изделий с учетом поверхностного эффекта применяют ток следующей частоты: для нагрева деталей толщиной от 0.03 до 1 мм частота тока 200 кГц. Для питания нагревательных печей прогрева деталей на глубину более 2 мм применяют ток промышленной частоты 50 Гц. Источниками тока от 400 Гц до 10 Гц является машинные генераторы, вращаемые синхронными двигателями, работающими на токе промышленной частоты.

Индукционный нагрев при термической обработке или при нагреве перед обработкой давлением позволяет проводить прогрев на любую глубину изделия и осуществлять местный нагрев.

Индуктор - основной элемент печи. Это электромагнитное устройство, предназначенное для индукционного нагрева. Практически во всех промышленных печах индуктор изготавливают из медной водоохлаждаемой трубки. При нагреве круглых изделий не большего диаметра (до 60 мм) между индуктором изделием был минимальный. Форма индуктора соответствует сечению нагреваемого изделия.

При нагреве круглых изделий диаметром более 70 мм время нагрева достаточно велико, поэтому с целью уменьшения тепловых потерь индуктор помещают в огнеупорный чехол, который образует стену печи, сохраняет тепло садки, разделяет витки индуктора между собой, защищает от окалины, отскакивающей от металла садки.

Каркас печи делают достаточно жестким. Его металлические части не должны создавать замкнутый контур вокруг индуктора, так как при этом индуктор будет нагревать каркас печи.

Необходим элемент установки для индукционного нагрева является устройство для фиксирования садки в центре индуктора. Эксцентрично расположенная садка в местах с минимальным зазором между садкой и индуктором перегревается.

Слиток или изделие, нагреваемые в горизонтальной плоскости, поддерживаются по окружности короткими лотком или стержнями.

Время нагрева изделия в индукторе контролируется по температуре садки.

При нагреве однородных деталей, как правило, опытным путем устанавливают время нагрева и контроль за временем осуществляют с помощью реле времени.

Индукционный нагрев удобен и экономичен при нагреве массовой продукции и нагреве в непрерывной технологической линии.

Теплоизоляция индуктора.

Обычный способ выполнения электрической, тепловой изоляции и крепления индукторов нагревательных установок состоит из многих трудоемких операций. Электрическая изоляция индуктора включает покрытие катушки лаком и обмотку стеклолентой, на которую накладывается обмоточная изоляция или покровная эмаль. Между электрической изоляцией и тепловой изоляцией из огнеупоров прокладываются листовой миканит и асбест. Крепление индукторов выполняется стойками, зажатыми между плитами, которые изготавливаются из асбоцемента или тексолита. С этой целью к виткам катушки привариваются шпильки с нарезкой для затяжки гайками в стойках.

Следует отметить, что, кроме недостатков, связанных с трудоемкостью изготовления, указанная конструкция не обеспечивает достаточной надежной и экономичной работы установок. Нередко наблюдаются случаи электрического пробоя катушки, а короткий срок службы применяемых для тепловой изоляции огнеупоров приводит к простоям оборудования и удорожанию производства.

Применение монолитной заформовки индукционных нагревателей в жаростойкий бетон во многих случаях позволяет упростить технологию изготовления и улучшить эксплуатационные характеристики индукторов. В общем случае преимущества монолитной заформовки в жаростойкий бетон, по сравнению с указанным выше способом выполнения электрической и тепловой изоляции индукторов, заключается в следующем: улучшается электрическая и тепловая изоляция индуктора; повышается виброустойчивость установки; имеется возможность изготовления материала футеровки на местах; отпадает необходимость крепления индуктора к стяжным стойкам; снижается стоимость, повышаются стойкость и надежность тепловой изоляции.

При изготовлении монолитной футеровки катушек могут применяться различные конструктивно-технолгические решения. Она может быть выполнена из бетона одного или нескольких видов. Футеровка из одного вида бетона рекомендуется в том случае, если требуется повышенная механическая прочность материала. Это бывает тогда, когда бетон испытывает воздействие обрабатываемых в установке заготовок или подвержен вибрации, которая может передаваться от катушки индуктора, работающей на промышленной частоте тока.

Если бетон не испытывает воздействия обрабатываемых заготовок или вибрации, то с целью улучшения теплового к.п.д. футеровка может быть выполнена из двух видов бетона, один из которых с более высокими плотностью и прочностью обеспечивает надежное крепление катушки в монолите, а другой с более низкой плотностью - лучшую тепловую изоляцию. При разработке конструктивных решений индукторов с монолитной футеровкой следует учитывать следующие обстоятельства:

. Адгезия бетона с медью невелика, если же медная трубка покрыта электроизоляционным лаком. То адгезия практически отсутствует.

. Футеровка цилиндрических катушек длиной свыше 1000-1300 мм технологически неудобна - плохо уплотняется бетон при вибрировании, требуются мощные вибростолы и т.д.

. Желательно иметь зазор порядка 4-5 мм между витками с тем, чтобы обеспечить сцепление наружного и внутреннего слоев бетона.

Основные компоненты марки сплава Д1

Алюминий не менее 99,30%

Медь - 3,8-4,8%

Магний 0,4-0,8%

Марганец 0,4-0,8%

Сплав Д1

Относится к 4-х компонентной системе Al-Cu-Mg-Mn. Он интенсивно упрочняется термической обработкой; Основные упрочнители ,  и . Сплав хорошо обрабатывается с холодом и горячем состояниях. Температурный интервал горячей деформации 380-470.

Охлаждение после горячей деформации на воздухе.

Прессованные профили имеют пониженную коррозионную стойкость. При нагреве до 100 возникает склон к межкристаллической коррозии, поэтому, как и для сплава Д20, необходимы анодирование и лакокрасочные покрытия.

Сплав хорошо сваривается точечной сваркой, однако газовая и оргоно-дуговая сварки сплава затруднены и могут быть применены только для неответственных узлов.

Профили из сплава Д1 могут поставляться в заколенном и естественно состаренном, а так же в оттоженном состояниях.

Отжиг может проводить по двум режимам: сокращенному (нагрев до 350-370 охлаждение на воздухе) и полному - (нагрев до 390-430, охлаждение до 250- 270 с печью по 30 градусов в час затем на воздухе) Второй режим обеспечивает значительно более высокие пластические характеристики профилей.

Плотность сплава Д1 составляет:  

. Расчет индуктора

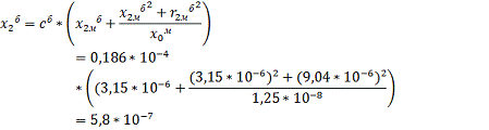
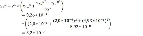
Индекс «м» сверху, обозначает заготовку малых размеров 190*720 мм относительно заготовки с индексом «б» размеров 265*800 мм

.        Определяем внутренний диаметр индуктора:


где  - диаметр нагреваемой заготовки

.        Принимаем зазор между теплоизоляцией и заготовкой равной 0,5 см, тогда:


.        Определяем толщину тепловой изоляции «S»:


.        При часовой производительности печи G, темп выдачи заготовок:


Производительность печи в час при нагреве заготовок 190х720 из сплава марки Д1 равна 450 кг/час.

Производительность печи в час при нагреве заготовок 265х800 из сплава марки Д1 равна 1000 кг/час.

.        Определяем число заготовок одновременно нагреваемых в индукторе:

.        Определяем длину спирали индуктора:


где  - увеличение длины для устранения краевого эффекта рассеяния магнитного потока:


.        Определяем полезную мощность индуктора для нагрева заготовок до температуры прессования:


где - масса заготовки

.        Определяем мощность, теряемую индуктором в окружающую среду:

.       
Средняя мощность. Необходимая для нагрева заготовки определяется по формуле:


10.    Вычисляем активное сопротивление индуктора () и внутреннее реактивное сопротивление заготовки () в (Ом):


где  - удельное электросопротивление сплава Д1 в горячем состоянии:



где  - глубина проникновения тока в заготовку:

Определяем функции А и В;

.        Вычисляем коэффициент активного сопротивления заготовки по формуле:


где  - площадь поперечного сечения заготовки:


.        Определяем приведенное активное сопротивление  и реактивное сопротивление  заготовки:


.        Активное сопротивление  и внутреннее реактивное сопротивление  индуктирующего провода определяем:


где  - коэффициент заполнения индуктора медью по высоте:

- глубина проникновения тока в медь:

.        Вычисляем реактивное сопротивление рассеяния в индукторе:


Средняя длина индуктора:

.       
Определяем эквивалентное сопротивление индуктора:

печь тепловыделение индуктор электрический

16.    Определение эквивалентности реактивного сопротивления индуктора:


.        Находим полные сопротивления индуктора:


.        Определяем электрический коэффициент полезного действия индуктора:


.        Определяем мощность подводимую к индуктору:


.        Определяем коэффициент мощности индуктора:


.        Определяем силу тока в одновитковом индукторе по формуле:


.        Определяем напряжение в одновитковом индукторе:


.        Определяем число витков в индукторе:


где

.        Находим плотность тока в индукторе:


где  глубина проникновения тока в медь



.        Определяем потерю мощности в индукторе:


где  - тепловые потери

.        Находим объем воды, расходуемой на охлаждении, считая что разность температур, входящей в индуктор и входящей из него воды :

.       


.        Принимаем скорость воды в трубке индуктора , тогда сечение трубки, свободное для прохода воды определяем по формуле:


.        Внутренняя ширина трубки:

,

.        Определяем силу тока в индукторе:


.        Сила тока генератора равна:


.        Находим реактивную мощность конденсаторной батареи:


.        Число конденсаторов в батарее рассчитывается по формуле:

где   - мощность одного конденсатора в батареи

Заключение

Рассчитал расчет индуктора для каждой из заготовок размерами 190*720 мм и 265*800 мм при этом я получил значения исходя из расчета индуктора такие как:

число заготовок нагреваемых одновременно в индукторе -  и ;

определил длину спирали индуктора - и

средняя мощность необходимая для нагрева заготовки - и ;

коэффициент полезного действия индуктора составил -  и ;

Список литературы

1.      Слухоцкой А.Е., Рыскин С.Е. «Индуктор для индукционного нагрева»

.        Скворцов А.С., Акименко Н.А. «Нагревательные устройства»

.        Маслюков А.Е. 2 часть «Расчет индукционной печи»

.        Гитгарц Д.А. «Индуктор основные понятия».

Похожие работы на - Особенности нагревательных печей

 

Не нашли материал для своей работы?
Поможем написать уникальную работу
Без плагиата!
Без нейросетей!